Расчёт теплообменника
Содержание
Введение
1.
Классификация теплообменных аппаратов
.2
Схемы движения теплоносителей
Задание
.
Расчёт ПСВ
.1
Тепловой расчёт подогревателя
.2
Гидродинамический расчёт
Заключение
Список
литературы
Введение
Теплообменники - устройства, в которых тепло
переходит от одной среды к другой.
Теплообмен между теплоносителями является
одним из наиболее важных и часто используемых в технике процессов. Например,
получение пара заданных параметров в современном парогенераторе основано на
процессе передачи тепла от одного теплоносителя к другому. В конденсаторах и
градирнях тепловых электростанций, воздухоподогревателях доменных печей и
многочисленных теплообменных устройствах химической промышленности основным
рабочим процессом является процесс теплообмена между теплоносителями. По
принципу действия теплообменные аппараты могут быть разделены на
рекуперативные, регенеративные и смесительные.
Рекуперативные теплообменные аппараты
представляют собой устройства, в которых две жидкости с различными
температурами текут в пространстве, разделенной твердой стенкой. Теплообмен
происходит за счёт конвекции и теплопроводности стенки, а если хоть одна из
жидкостей является излучающим газом, то и за счёт теплового излучения.
Тепловые расчёты теплообменников могут быть
конструктивными и поверочными. Конструктивные тепловые расчёты выполняются при
проектировании новых аппаратов, и целью расчёта является определение
поверхности теплообмена.
Теплообменными аппаратами принято называть
устройства, предназначенные для передачи тепла от одних тел к другим. В
теплообменных аппаратах могут происходить различные тепловые процессы:
изменение температуры, испарение, кипение, конденсация, расплавление,
затвердевание и, наконец, более сложные, комбинированные процессы. Количество
тел, участвующих в этих процессах, может быть больше двух, а именно: тепло
может передаваться от одного тела к нескольким другим телам или, наоборот, от
нескольких тел к одному. Эти тела, отдающие или воспринимающие тепло, принято
называть теплоносителями.
1. Теоретическая часть
.1 Классификация теплообменных
аппаратов
Теплообменные аппараты имеют большое
распространение во всех отраслях промышленности и широко применяются в
теплосиловых установках. В зависимости от назначения теплообменные аппараты
называются подогревателями, конденсаторами, испарителями, пароперегревателями и
т.д.
По принципу действия теплообменные аппараты
делятся на поверхностные и смесительные.
В поверхностных аппаратах теплоносители
разделены твёрдыми теплопроводными стенками, через которые происходит
теплообмен между теплоносителями. Та часть поверхности стенок, через которую
передаётся тепло, называется поверхностью нагрева.
В свою очередь поверхностные теплообменные
аппараты делятся на рекуперативные и регенеративные.
Если теплообмен между теплоносителями
происходит через разделительные стенки, то теплообменник называют
рекуперативным. В аппаратах этого типа в каждой точке разделительной стенки
тепловой поток сохраняет постоянное направление.
Если же два или больше теплоносителей попеременно
соприкасаются с одной и той же поверхностью нагрева, то теплообменный аппарат
называют регенеративным. В период соприкосновения с одним из теплоносителей
стенки аппарата получают тепло и аккумулируют его; в следующий период
соприкосновения другого теплоносителя с той же поверхностью стенок
аккумулированное тепло передаётся теплоносителю. Направление теплового потока
во втором периоде изменяется на противоположное.
В большинстве рекуперативных аппаратов
осуществляется непрерывная передача тепла через стенку от теплоносителя к
другому. Эти аппараты, как правило, являются аппаратами непрерывного действия.
Рекуперативные аппараты, в которых производится периодический нагрев или
охлаждение одного из теплоносителей, относят к аппаратам периодического действия.
Регенеративные теплообменники в большинстве
случаев являются аппаратами периодического действия; в них разные теплоносители
поступают в различные периоды времени. Непрерывная работа осуществляется в
таких аппаратах лишь в том случае, если они снабжены движущимися стенками или
насадками, попеременно соприкасающимися с потоками разных теплоносителей и
непрерывно переносящими тепло из одного потока в другой.
.2 Схемы движения теплоносителей
При рассмотрении теплообменных аппаратов с
непрерывно изменяющейся температурой теплоносителей следует различать аппараты:
1. Прямого тока
2. противоточные
. Перекрестного тока
. Со сложным направлением движения
теплоносителей (смешанного тока)
Если в теплообменном аппарате первичный
(горячий) и вторичный (холодный) теплоносители протекают параллельно в одном
направлении, то такая схема движения называется прямотоком. Если теплоносители
протекают параллельно, но в противоположных направлениях, то такая схема
называется противотоком. Если жидкости протекают во взаимно перпендикулярных
направлениях, то схема движения называется поперечным током. Помимо таких
простых схем движения, на практике осуществляются и более сложные: одновременно
прямоток и противоток, многократно перекрестный ток и др.
1.3 Расчет температурного напора
Изменение температур рабочих жидкостей для
простейших случаев можно получить аналитически. Рассмотрим простейший
теплообменный аппарат, работающий по схеме прямотока. Для элемента поверхности
теплообмена dF уравнение теплопередачи
запишется как:
При этом температура первичного теплоносителя
понизится на
, а вторичного
теплоносителя повысится на
. Следовательно,
Изменение температурного напора при этом
Где
Подставив в уравнение значение
из уравнения
теплопередачи, найдем:
Обозначив
, последнее уравнение запишем как
Принимая m и k постоянными,
проинтегрируем последнее уравнение от 0 до F:
Из уравнения следует, что вдоль поверхности
теплообмена температурный напор изменяется по экспоненциальному закону.
Следовательно, в аппаратах прямого тока перепад температур между
теплоносителями вдоль поверхности теплообмена непрерывно убывает.
Эта формула может применятся как при прямотоке,
так и в противотоке.
В тех случаях, когда температура теплоносителей
вдоль поверхности теплообмена изменяется незначительно, среднюю разность
температур можно вычислять как среднюю арифметическую из крайних напоров:
При расчете средней температурной разности для
сложных систем движения теплоносителя поступают следующим образом:
1. Определяют температурный напор по формуле
2. Вычисляют вспомогательные величины P и R
3. По значениям P и R берется поправка.
Например, для теплообменника с перекрестным током
и противоточной схемой включения температурный напор найдется как:
Уравнение теплового баланса. Изменение
энтальпии теплоносителя вследствие теплообмена определяется соотношением:
(1)
где G- расход массы, кг/с;удельная энтальпия,
Дж/кг;измеряется в Дж/с или Вт.
Для конечных изменений энтальпии, полагая, что
расход массы неизменен,
(2)
где h’ и h”- начальная и конечная энтальпии теплоносителя.
Если теплота первичного (горячего) теплоносителя
воспринимается вторичным (холодным), то уравнение теплового баланса без учета
потерь теплоты запишется как
(3)
или для конечного изменения энтальпии
, (4)
здесь и в дальнейшем индекс «1» означает, что
данная величина отнесена к горячей жидкости, а индекс «2»- к холодной.
Обозначение (штрих) соответствует данной величине на входе в теплообменник,
(два штриха)- на выходе.
Полагая, что
и
, предыдущее уравнение можно записать так:
(1')
(4')
Удельная теплоемкость ср зависит от
температуры. Поэтому в практических расчетах в уравнение (4) подставляется
среднее значение изобарной теплоемкости в интервале температур от t' до t''.
В тепловых расчетах часто пользуются понятием
полной теплоемкости массового расхода теплоносителя в единицу времени,
определяемой выражением
(5) и измеряющейся в
Вт/К.
Из уравнения (4) следует, что
(6)
Последнее уравнение указывает на то, что отношение
изменений температур однофазных теплоносителей обратно пропорционально
отношению их расходных теплоемкостей. Нетрудно видеть, что при изменении
агрегатного состояния теплоносителя температура его сохраняется постоянной.
Следовательно, для такого теплоносителя теплоемкость массового расхода
Соотношение (6) справедливо как для конечной
поверхности теплообмена, так и для любого элементарного участка.
Уравнение теплопередачи. Чаще всего для
определения поверхности теплообмена используют следующее уравнение
(7)
где k- коэффициент теплопеедачи;
t1 и t2-
соответственно температуры первичного и вторичного теплоносителей;
F- площадь поверхности
теплопередачи.
Уравнение справедливо в предположении, что
температуры остаются постоянными по всей поверхности теплообмена, однако это
частный случай. В общем случае температуры изменяются по поверхности и,
следовательно, изменяется и температурный напор, изменяется и коэффициент
теплоотдачи на поверхности теплообмена. Значения изменения температур и
коэффициента теплопередачи можно принять постоянными только пределах
элементарной площадки поверхности теплообмена. Следовательно, уравнение
теплопередачи справедливо лишь в дифференциальной форме для элемента
теплообмена:
(8)
Для решения уравнения необходимо знать закон
изменения
по поверхности.
Коэффициент тепло передачи k, Вт/(м2*К), в большинстве случаев изменяется
незначительно и его можно принять постоянным. Для случаев, когда коэффициент
теплопередачи существенно изменяется на отдельных участках поверхности
теплообмена, его усредняют:
(9)
Приняв, таким образом, постоянное значение коэффициента
теплопередачи по всей поверхности, умножить и разделив на F, то получим:
(10)
где Q измеряется в ваттах.
Выражение (10) является вторым основным
уравнением при тепловом расчете теплообменных аппаратов и называется уравнением
теплопередачи.
При конструктивном расчете теплообменных
устройств тепловая производительность Q, Вт, задается; требуется определить площадь
поверхности теплообмена F. Последняя найдется из уравнения (10):
(11)
Из этого уравнения следует, что при нахождении
поверхности теплообмена задача сводится к вычислению коэффициента теплопередачи
и усредненного по всей поверхности температурного напора.
Для плоской стенки, например, коэффициент
теплопередачи находим из уравнения
(12)
Коэффициенты теплоотдачи могут учитывать не
только конвективную теплопередачу, но и теплопередачу излучением. В этом
случае, например,
.
Член в знаменателе
представляет собой полное термическое
сопротивление теплопроводности твердой стенки, разделяющей теплоносители.
Разделяющая стенка может быть как многослойной, так и однородной.
.4 Гидравлическое сопротивление элементов теплообменного
аппарата
Полный перепад давления, необходимый при движении
жидкости или газа через теплообменник, определяется формулой
, (13)
где
- сумма сопротивления трения на всех участках
поверхности теплообмена (каналов, пучков труб, стенок и др.);
- сумма потерь давления в местных сопротивлениях;
- сумма потерь давления, обусловленных ускорением
потока;
- суммарная затрата давления на преодоление
самотяги.
Потери давление на преодоление сил трения при
течении несжимаемой жидкости в каналах на участке безотрывного движения в общем
случае рассчитывается по формуле
(14)
где l- полная длина канала;
d- гидравлический диаметр,
который в общем случае ищется как
(f- поперечное сечение канала; u- периметр поперечного
сечения);
- средняя плотность жидкости или газа в канале,
кг/м3, и средняя скорость, м/с;
- коэффициент сопротивления трения. Он является
безразмерной величиной, характеризующей отношение сил трения и инерционный сил
потока и остается постоянным для канала l>30d; если l<30d, необходимо учитывать изменение
его на входном участке канала;
измеряется в паскалях.
Коэффициент сопротивления трения зависит от
режима движения потока и поэтому при ламинарном и турбулентном течении
определяется по-разному.
Местные сопротивления определяются по формуле
(15)
где
- коэффициент местного сопротивления;
измеряется в Па.
Коэффициент местного сопротивления зависит
от характера препятствия, которым вызываются указанные сопротивления.
Потеря давления, обусловленная ускорением
потока вследствие изменения объема теплоносителя при постоянном сечении канала,
, (16)
где
- скорость, м/с; и плотность газа, кг/м3;
соответственно во входном и выходном сечениях потока.
Для капельных жидкостей
, Па, мало по сравнению с
общим сопротивлением потока, и это сопротивление можно не принимать во
внимание.
Если аппарат сообщается с окружающей средой,
необходимо учитывать сопротивление самотяги. Это сопротивление можно вычислить
по формуле
(17)
где h- расстояние по вертикали между входом и выходом
теплоносителя, м;
- средние плотности теплоносителя и окружающего
воздуха, кг/м3;
измеряется в паскалях.
Знак «+» берется при движении теплоносителя
сверху вниз, знак «-»- при движении снизу вверх. Это значит, что в первом
случае общее сопротивление движению теплоносителя увеличивается на
, а во втором случае-
уменьшается на
. Если теплообменник не
сообщается с окружающим воздухом (включен в замкнутую систему), то
=0.
Для получения полного сопротивления
теплообменного устройства выбранной конструкции и с конкретным теплоносителем
полученные составляющие подставляются в уравнение (13).
1.5 Расчет мощности, необходимой для перемещения
жидкости
Гидравлическое сопротивление
, подсчитанное по формуле
(13), предопределяет мощность, необходимую для перемещения теплоносителя через
теплообменный аппарат.
Мощность N, Вт, на валу насоса или
вентилятора определяется по формуле
(18)
где V -
объемный расход жидкости, м3/с;
G- массовый расход
жидкости, кг/с;
- полное сопротивление, Па;
- плотность жидкости или газа, кг/м3;
- КПД насоса или вентилятора.
При выборе оптимальных форм и размеров
поверхности нагрева теплообменника принимают наивыгоднейшее соотношение между
поверхностью теплообмена и расходом энергии на движение теплоносителей.
Добиваются, чтобы указанное соотношение было оптимальным, т.е. экономически
наиболее выгодным. Это соотношение устанавливается на основе
технико-экономических расчетов.
теплообменный аппарат
вертикальный подогреватель
2. Расчёт ПСВ
Задание
Подобрать нормативный подогреватель сетевой
воды вертикальный (ПСВ и ПСВК) для подогрева сетевой воды. Тепловая мощность
подогревателя равна 24 МВт, давление греющего пара Pп = 0,15
МПа, температура греющего пара t1 = 130 0С,
температура сетевой воды на входе в подогреватель t2 = 65 0C.
Выполнить тепловой и гидравлический расчёты
подогревателя.
Принятым значениям параметров греющего пара
соответствуют:
hс.п. = 2732
кДж/кг и h`с.п. =
466,64 кДж/кг.
Расход греющего пара, поступающего в
подогреватель
Недогрев сетевой воды до температуры
насыщения греющего пара в водоподогревателе принимаем νс.п. = 50С.
Расход сетевой воды через подогреватель
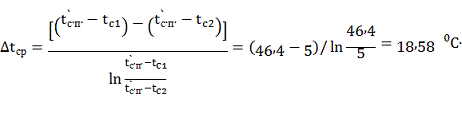
Среднелогарифмический температурный напор
Средняя температура стенки трубок
Число Рейнольдса для плёнки конденсата при
принятом значении H=1 м
Коэффициент теплоотдачи от конденсирующего
пара к стенкам трубок
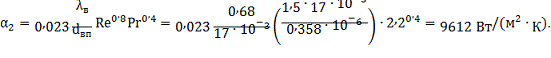
Коэффициент теплоотдачи от стенок трубок к
подогреваемой воде в подогревателе при принятой скорости воды Wв = 1,5 м/с и использовании
трубок из латуни с dв = 19 мм
и толщиной стенки, равной 1 мм,
Коэффициент теплопередачи для подогревателя
Площадь поверхности нагрева подогревателя
Необходимая площадь живого сечения трубок
Необходимое число трубок при четырёх ходах
воды
Необходимая площадь теплообмена одной трубки
Длина трубок при dрасч = dпар (так как d1 < d2)
Необходимая площадь трубной доски
Необходимый диаметр корпуса подогрева
При скорости воды в патрубках подвода и
отвода Wв.п. = 3 м/с
внутренний диаметр патрубков
Принимаем стандартный диаметр dнS = 219
7 мм и
уточняем скорость:
.2 Гидродинамический расчёт
Длину каждого патрубка (подвода и отвода
сетевой воды) принимаем
Для оценки гидравлического
сопротивления подогревателя принимаем следующие значения коэффициентов местных
сопротивлений
поворот во входной и выходной
камерах - 1,5; поворот потока на 1800 - 2,5; вход в трубки из камеры
- 0,5; выход из трубок в камеру - 1.
Число Рейнольдса для потока воды в патрубках
Значение
В этом случае коэффициент сопротивления
трения:
Суммарный коэффициент сопротивления участка
входа
Потеря давления сетевой воды на участке
входа
Коэффициент сопротивления трения в трубках
подогревателя:
Суммарный коэффициент сопротивления второго
участка
Потеря давления сетевой воды на втором
участке
Общее гидравлическое сопротивление подогревателя
Здесь
Заключение
В результате проведённого теплового и
гидравлического расчётов подогревателя были определены следующие параметры:
Площадь поверхности нагрева подогревателя: F =
Внутренний диаметр патрубков:
Уточнили скорость питательной воды:
Общее гидравлическое сопротивление
подогревателя:
Список литературы
1. Назмеев Ю. Г. “ Теплообменные аппараты ТЭС”, 2005
2. ‘’Справочник по теплообменным аппаратам паротурбинных
установок’’, под ред. Бродова Ю. Н., 2008
. ‘’Теплообменное оборудование паротурбинных установок:
отраслевой каталог’’, 1984