Расчет асинхронного двигателя с короткозамкнутым ротором
СОДЕРЖАНИЕ
Введение
1. Задание на проект и исходные данные
2. Расчет асинхронного двигателя с короткозамкнутым ротором
.1
Выбор главных размеров
2.2 Расчет зубцовой зоны и обмотки статора
2.3 Выбор воздушного зазора
2.4 Расчет ротора
2.5 Расчет магнитной цепи
2.6
Расчет параметров двигателя для номинального режима
.7
Расчет потери
.8
Рабочие характеристики асинхронного двигателя
.9
Расчет пусковых характеристик
Заключение
Список литературы
Введение
Асинхронные машины большее распространение
получили как двигатели. Это основной двигатель, применяемый в промышленности,
сельском хозяйстве и в быту. Только асинхронных двигателей единых серий
мощностью от 0,06 до 400 кВт в нашей стране ежегодно выпускается несколько млн.
штук.
Серия 4А была спроектирована в 1969-1971гг. и
внедрена в производство. Она базируется на рекомендациях МЭК (международной
электротехнической комиссии) по шкале мощностей и установочным размерам, что
обеспечивает взаимозаменяемость с электрическими машинами, изготавливаемыми
другими фирмами. Благодаря применению электротехнической стали с улучшенными
магнитными свойствами, реализации запасов по нагреву и усовершенствованию
охлаждения, переходу на более высокие классы изоляции мощность двигателей серии
4А при заданных высотах оси вращения на 2-3 ступени шкалы мощностей больше по
сравнению с двигателями серии А2. Это позволило уменьшить массу двигателей в
среднем на 15-18%, сэкономить объемы обмоточной меди и электротехнической стали
на 20-25%, при оставшихся неизменными энергетических показателях.
В данном курсовом проекте мы спроектируем
машину, ориентируясь на следующий двигатель:
Исполнение по степени защиты: IP44 - по первой
цифре соответствует защите от возможности соприкосновения инструмента,
проволоки или других подобных предметов, толщина которых превышает 1 мм, с
токоведущими или движущимися частями внутри машины; по второй цифре - защите от
водяных брызг любого направления, попадающих на оболочку.
Конструктивное исполнение по способу монтажа:
IM1001 - по первой цифре - двигатель на лапах, с подшипниковыми щитами; по
второй и третьей цифрам - с горизонтальным расположением вала и нижним
расположением лап; по четвертой цифре - с одним цилиндрическим концом вала.
Климатические условия работы: У3 - по букве -
для умеренного климата; по цифре - для размещения в закрытых помещениях с
естественной вентиляцией без искусственно регулируемых климатических условий,
где колебания температуры и влажности воздуха, воздействия песка и пыли,
солнечной радиации существенно меньше, чем на открытом воздухе (каменные,
бетонные, деревянные и другие неотапливаемые помещения).
Таким образом, данному двигателю соответствует
следующее условное обозначение:
А100L4УЗ
где:
- порядковый номер серии;
А - род двигателя - асинхронный;
- высота оси вращения;- условная длина станины
по МЭК;
- число полюсов;
У - климатическое исполнение - для умеренного
климата;
- категория размещения.
1. Задание на проект и исходные данные
Рассчитать двигатель постоянного тока с данными
представленными в таблице
Таблица 1.1 Данные двигателя постоянного тока
серии 4А100L4УЗ
|
Наименование
|
Единицы
измерения
|
Величина
|
|
Номинальная
мощность, Р2н
|
кВт
|
4,0
|
|
Номинальное
напряжение, U1н
|
В
|
220/380
|
|
Число
главных полюсов, -4
|
|
|
|
Коэффициент
полезного действия, h
|
%
|
84
|
|
о.е.0,84
|
|
|
|
Частота
сети, Гц50
|
|
|
|
Исполнение
по степени защиты
|
-
|
IP44
|
|
Способ
охлаждения
|
-
|
IC01
|
|
Режим
работы
|
-
|
Длительный
|
|
Назначение
|
-
|
Электродвигатель
|
Конструкция двигателя должна соответствовать
требованиям ГОСТ на установочные размеры выступающего конца вала, а также общим
техническим требованиям на машины электрические (ГОСТ 183).
Остов двигателя
Подшипниковый щит
Вентилятор
Статор
Ротор
Вал
Кожух
Вентиляционные лопатки
Подшипник
Подшипник
Крышка
Обмотка статора
Рисунок 1. Асинхронный двигатель с
короткозамкнутым ротором.
2. Расчет асинхронного двигателя с
короткозамкнутым ротором
.1 Выбор главных размеров
По [2, рисунок 6-7,а] для данных
кВт и
предварительно
определим высоту оси вращения h:
мм.
Из ряда высот оси вращения [2,
таблица 6-6] возьмем наружный диаметр статора Dа , соответствующий выбранной
высоте оси вращения:
м.
Из [2, таблица 6-7] берем значение
коэффициента КD:
.
Определим внутренний диаметр статора
D:
м.
Полюсное деление
м.
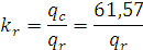
Расчетная мощность
кВт,
где
- отношение ЭДС обмотки статора к
номинальному напряжению, определенное по [2, рисунок 6-8].
Предварительно выберем
электромагнитную нагрузку и магнитная индукция в воздушном зазоре по [рисунок
2]:
А=25600 А/м - линейная нагрузка;
Вδ=0,89 Тл -
магнитная индукция в воздушном зазоре.
Так как у нас h<160 мм - обмотка
однослойная, значит предварительное значение обмоточного коэффициента Коб=0,96.
Синхронная угловая скорость
рад/с.
Расчетная длина воздушного зазора
м,
где КВ=1,11.
Для проверки правильности выбора
главных параметров вычислим отношение
Это отношение находится в пределах, указанных в
пределах [рисунок 3].
Рисунок 2 - Значение
двигателей
серии 4А.
Полная конструктивная длина
и длина
стали
сердечника
статора определим с учетом наличия радиальных вентиляционных каналов.
Но так как
мм, то
радиальных каналов не устраивают, т.е.
асинхронный двигатель
статор ротор
мм.
Длина сердечника ротора при этом
принимается
0мм.
Длина стали сердечника ротора
мм.
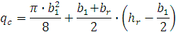
2.2 Расчет зубцовой зоны и обмотки статора
Так как у нас машина мощностью до 1000 кВт, то
применим всыпную обмотку.
Выбор предельных значений зубцового деления
статора t1 произведем по графику [рисунок 4]
Рисунок 3 - Зубцовое деление статора асинхронных
двигателей со всыпной обмоткой.
м,
м.
Возможные числа пазов статора
Окончательное значение Z1 выберем в этих
пределах с учетом того, что оно должно быть кратным числу фаз, а число пазов на
полюс и фазу q должно быть целым
Т.е. возьмем Z1=36.
м.
Число эффективных проводников в пазу
где
- число эффективных проводников в
пазу для случая, когда число параллельных ветвей обмотки а=1,
где
А,
пусть а=1.
Число витков в фазе обмотки
Окончательное значение линейной нагрузки
кА/м.
Значение обмоточного коэффициента
находим как
,
- коэффициент укорочения,
- коэффициент распределения.
Утончённое значение магнитной
индукции в воздушном зазоре
Тл.
Допустимая плотность тока
А/м2,
где
- допустимое значение произведения
линейной нагрузки и плотности тока.
Из [рисунок 5] определим:
А2/м3.
Сечение эффективного проводника
мм2.
Т.к. h<132 мм, то класс
нагревостойкости изоляции примем B.
Для всыпной обмотки применим круглые
медные эмалированные провода марки ПЭТВ (класс В). Диаметр изолированного
провода должен быть не более 1,4 мм механизированной укладке.
Возьмем
,
Уточним плотность тока
А/м2.
Конфигурация пазов статора.
Марку стали выбираем по [2, таблица
6-11].
Марка стали: 2013. Способ изолировки
листов: оксидирование.
Кс=0,97 - коэффициент заполнения
сердечника сталью.
При всыпных обмотках параллельные
стенки имеют зубцы, а не пазы статора. Т.к. у нас
мм и серия
4А, то применим трапецеидальные пазы с углом наклона
и
мм,
показанные на рисунке 1.
Высота ярма статора
м,
где
Ва=1,6 Тл - значение индукции в ярме
статора,
Вz1=1.9 Тл - значение индукции на
зубцах.
Ширина зубца
м.
Размеры паза, в штампе
м - полная высотам паза,
м - большая ширина паза,
м
меньшая ширина паза,
где
мм,
мм.
м
высота обмотки в пазу.
Размеры паза в свету
м,
м,
м,
где
мм,
мм.
Площадь корпусной изоляции
м2,
где
мм, односторонняя толщина изоляции в
пазу.
Площадь прокладок в пазу
м2.
Площадь поперечного сечения паза,
остающаяся для размещения проводников обмотки
м2.
Произведем контроль правильности
размещения обмотки в пазах по коэффициенту заполнения проводниками свободной от
изоляции площади паза
.
Полученное значение входит в
допустимый диапазон значений
при механизированной укладке.
Рисунок 4. К расчету пазов статора
Рисунок 5 - Трапецеидальный паз статора
.3 Выбор воздушного зазора
По [рисунок 8] выбираем воздушный
зазор, соответствующий
м:
мм.
Рисунок 6 - К выбору воздушного зазора
асинхронных двигателей.
2.4 Расчет ротора
Короткозамкнутый ротор.
Количество пазов ротора Z2 выбираем в
зависимости от Z1 и наличия скоса пазов по [2, таблица 9-11].
Т.к. у нас
мм, то нужно
выполнить скос пазов, т.е.=30.
Принимая
и W1=180,
найдем коэффициент приведения токов
.
Ток фазы
А,
где
.
Сечение стержня обмотки ротора
где
А/м2.
Т.к.
мм, значит применим трапецеидальные
пазы и литую обмотку ротора с размерами шлица
мм,
мм,
Размеры грушевидного паза
рассчитываем, исходя из сечения стержня и постоянства ширины зубцов ротора.
Ширина зубца
мм,
где
Тл по [2, таблица 6-10],
м - зубцовое деление ротора,
м - внешний диаметр ротора.
Размеры паза
мм,
мм,
мм.
Проверим при
мм
мм. Верно.
Рассчитанные размеры паза округлим
до десятых долей миллиметра и уточним площадь
Определим ширину зубца в двух сечениях
мм,
мм,
где
мм - полная высота паза.
мм.
Расчетная высота зубца:
Конструкция сердечника ротора
Т.к. у нас
мм, то
сердечник ротора непосредственно садим на вал без промежуточной втулки.
Применим горячую посадку сердечника на гладкий вал без шпонки.
Внутренний диаметр сердечника ротора
м,
где КВ=0,23 принимаем в соответствии
с [1, таблица 6-16].
Плотность тока в сердечнике
А/м.
Коротко-замыкающие кольца. Площадь
поперечного сечения кольца.
мм2
А/м2
Размеры коротко-замыкающих колец
мм,
мм,
мм.
Рисунок 7 - Грушевидный паз
короткозамкнутого ротора
2.5 Расчет магнитной цепи
Расчет магнитной цепи производят с целью
определения намагничивающего тока двигателя.
Расчет магнитной цепи асинхронных двигателей
производят для режима холостого хода при номинальном напряжении.
Магнитное напряжение воздушного зазора:
A,
Магнитное напряжение зубцовой зоны
статора:
А,
где
м.
Расчет индукции в зубцах
Тл.

по таблице П 1.7
.
Магнитное напряжение зубцовой зоны
ротора:
А,
Индукция в зубце:
Тл;
по таблице П 1.7 для
Тл находим
А/м.
Коэффициент насыщения зубцовой зоны
Магнитное напряжение ярма статора
А,
м,
где
мм;
для
Тл по таблице П 1.6
А/м.
Магнитное напряжение ярма якоря
А.
м;
где
Тл,
мм,
по таблице П 1.6 для
Тл находим
А/м.
Магнитное напряжение на пару полюсов
А.
Коэффициент насыщения магнитной цепи
.
Намагничивающий ток
А.
Относительное значение
Т.к. у нас двигатель мощностью 4,0
кВт, то это значение входит в пределы:
.6 Расчет параметров двигателя для
номинального режима
Активное сопротивление обмотки
статора
Ом,
(для класса нагревостойкости
изоляции B расчетная температура
; для медных проводников
Ом м).
Длина проводников фазы обмотки
м;
Где
м;
м;
м;
м.
Длина вылета лобовой части катушки
мм;
где по таблице 9.23
.
Относительное значение
.
Активное сопротивление фазы медной
обмотки ротора
Ом;
Ом;
здесь
Ом;
где для литой медной обмотки ротора
Ом м.
Приводим
к числу
витков обмотки статора
Ом;
здесь
Относительное значение
Индуктивное сопротивление фазы
обмотки статора
где
где
Коэффициент магнитной проводимости
лобового рассеяния
Коэффициент магнитной проводимости
дифференциального рассеяния для обмотки статора
где
при полузакрытых пазах статора с
учетом скоса пазов равен
для
и
по рисунку 9.51, д
.
Относительное значение
.
Индуктивное сопротивление фазы
обмотки ротора
Ом,
где по таблице 9.27 (см. рис. 9.52,
а, ж)
где (см. рис. 9.52, а, ж и рис.
9.73)
мм,
мм,
мм,
мм,
мм2
При условии, что ротор будет с
литыми обмотками при замыкающих кольцах, прилегающих к торцам сердечника ротора
[рисунок 10] для расчета коэффициента магнитной проводимости лобового рассеяния
используем формулу
;

Коэффициент магнитной проводимости
дифференциального рассеяния для обмотки ротора
где
соответствующий [рисунок 11]
Рисунок 9. Коэффициент
в
зависимости от размерных соотношений
и
.
Приведенное к числу витков первичной
обмотки индуктивное сопротивление рассеяния фазы ротора
Ом.
Относительное значение
2.7 Потери в двигателе
Основные потери в стали
где
удельные потери для стали 2013 по
таблице 9.28.
кг;
кг;
где
удельная масса стали,
Поверхностные потери
Вт;
Вт/ м2,
где
.
для
по рис. 9.53
.
Пульсационные потери в зубцах ротора
Вт;
Тл;
где
Тл из п. 7.3 расчета;
из п. 2.7.1
расчета;
кг;
мм из п. 2.7.3 расчета;
мм из п.
2.6.1 расчета.
Сумма добавочных потерь в стали
Вт;
(
и
)
Полные потери в стали
Вт.
Механические потери
Вт,
[для двигателей с
коэффициент
]
Холостой ход двигателя
А,
А.
Вт;
Расчет рабочих характеристик
Параметры
Ом;
Ом;
.
Используем приближенную формулу, так
как
:
Активная составляющая тока
синхронного холостого хода
А;
Потери, не изменяющиеся при
изменении скольжения
2.8 Рабочие характеристики асинхронного
двигателя
Рассмотрим рабочие характеристики
для скольжений S = 0,005; 0,01; 0,015; 0,02; 0,025 0,03; принимая
предварительно, что
.Результаты
расчетов представлены в таблице 2.
На рисунке 12 представлены рабочие
характеристики, по которым найдено Sном=0,03, соответствующее Р2н.
кВт;
В;
;
кВт;

Таблица 1. Рабочие характеристики АД
с короткозамкнутым ротором.

.9 Расчет пусковых характеристик
Расчет токов с учетом влияния
изменения параметров под влиянием эффекта вытеснения тока (без учета влияния
насыщения от полей рассеяния).
кВт;
В;
;
Таблица 2.1 Пусковые характеристики
с учетом эффекта вытеснения тока
Активное сопротивление обмотки
ротора с учетом влияния эффекта вытеснения тока
Расчет пусковых характеристик с
учетом влияния вытеснения тока и насыщения от полей рассеяния.
кВт;
В;
;
Критическое скольжение определяем
после всех точек пусковых характеристик (таблицу 12.2) по средним значениям
сопротивлений
и
,
соответствующим скольжениям
после чего рассчитываем кратность
максимального момента:
(см. таблицу 12.2).
Таблица 2.2 Пусковые характеристики
с учетом эффекта вытеснения тока и эффектом насыщения
Заключение
Выбирая базовую модель для проектирования новой
машины, мы остановились на двигателях серии 4А, которые удовлетворяют
рекомендациям МЭК. Благодаря применению электротехнической стали с улучшенными
магнитными свойствами, реализации запасов по нагреву и усовершенствованию
охлаждения, переходу на более высокие классы изоляции мощность двигателей этой
серии при заданных высотах оси вращения на 2-3 ступени шкалы мощностей больше
по сравнению с двигателями серии А2. Это позволило уменьшить массу двигателей в
среднем на 15-18%, сэкономить объемы обмоточной меди и электротехнической стали
на 20-25% при оставшихся неизменными энергетических показателях.
В данном курсовом проекте, ориентируясь на
данные асинхронного двигателя 4АН200М6УЗ, был спроектирован новый асинхронный
двигатель с короткозамкнутым ротором, который соответствует последним
достижениям в области расчета и конструирования электрических машин переменного
тока.
Список литературы:
«Расчет
асинхронных двигателей» В. Л. Горохов, А. Н. Лукин, Г. М. Жигалов;
«Проектирование
электрических машин» И. П. Копылов, Б. К. Клоков; 2005;
«Расчет
трехфазных асинхронных двигателей с короткозамкнутым ротором» В. Е. Воробьев;
2000.
1.