Автоматизированная система управления блоком подготовки сырья на установке каталитического риформинга ОАО 'Газпром нефтехим Салават'
Министерство образования и науки РФ
Федеральное государственное бюджетное
образовательное учреждение высшего профессионального образования
МОСКОВСКИЙ ГОСУДАРСТВЕННЫЙ
УНИВЕРСИТЕТ ТЕХНОЛОГИЙ И УПРАВЛЕНИЯ
им. К.Г. Разумовского
Кафедра
«Систем управления»
ДОПУЩЕН К ЗАЩИТЕ
Зав. кафедрой _________ Н.И. Шиянова
«___» _______________ 2012 г.
ДИПЛОМНЫЙ ПРОЕКТ
Тема: «АСУ блоком подготовки сырья на
установке каталитического риформинга ОАО «Газпром нефтехим Салават»
Исполнитель: Михайлычев А.Б.
Руководитель: Рахматуллина Ф.Т.
Консультанты:
по специальной части: Валитова Е.Г.
по экономической част: Павлова Л.Г.
по безопасности жизнедеятельности: Козлов В.Н.
2012 г.
Аннотация дипломного проекта
Тема дипломного проекта - «АСУ блоком подготовки сырья на установке каталитического риформинга ОАО «Газпром нефтехим Салават».
Автор Михайлычев А.Б. Руководитель Рахматуллина Ф.Т.
Проект включает в себя 91 листов страниц пояснительной записки, 5 листов
графической части, 13 таблиц, 15 рисунков, 12 литературных источников.
Разработанная система управления основана на использовании технических
средств нижнего уровня фирмы «Метран», «Сапфир» и др.; верхнего уровня АСУ ТП и
программного обеспечения фирмы Siemens. Внедрение системы обеспечит высокое
качество продукции, уменьшение затрат на сырьё, катализатор и энергоносители,
улучшение условий труда обслуживающего персонала, предупреждение аварийных
ситуаций, снижение вредных выбросов в атмосферу.
В дипломном проекте изучена схема автоматизации блока подготовки сырья,
создана АСУ ТП, при проектировании которой использовался двухуровневый принцип
построения, приведен перечень технических средств автоматизации. В качестве
верхнего уровня была предложена SCADA-система
реального времени Simatic
WinCC v5.1. В процессе работы были рассмотрены вопросы по охране
труда, по взрыво- и пожаробезопасности, экономической эффективности
модернизированной АСУ.
Объектом исследования является ректификационная колонна К-2.
Цель работы - разработка АСР температуры смеси бензиновых фракций
ректификационной колонны К-2.
В дипломном проекте выбран канал регулирования температуры верха колонны
К-2 по расходу орошения. Экспериментально получена переходная характеристика
колонны К-2, определены динамические характеристики объекта регулирования,
выбран тип регулятора и определены его настройки, дана оценка качества
регулирования и определена устойчивость замкнутой АСР.
Введение
автоматизированная
система управление каталитический риформинг
Автоматизация производства является важнейшим фактором научно-технического
прогресса во всех отраслях промышленности.
Важной задачей автоматизации предприятий является создание локальных
автоматических систем регулирования (АСР), характеризующимся высоким
быстродействием, точностью и надежностью.
Принципы построения АСР являются общими независимо от природы
регулируемой величины и конструкции регулирующей аппаратуры. Изучение и
практическое использование этих принципов в ходе расчета реальной системы
регулирования является целью выполнения настоящей работы.
Важнейшее условие нормального функционирования системы автоматического
управления - получение информации, правильно отражающей состояние объекта
управления, ход технологического процесса и взаимодействие всех
производительных звеньев. Основным средством получения информации, поступающей
в систему автоматического управления, служат измерительные устройства и
информационно-измерительные системы.
Качество функционирования системы автоматического управления в
значительной мере зависит от метрологических качеств измерительных приборов, а
также от статических и динамических свойств регулирующих и исполнительных
устройств.
Наиболее высокая эффективность работы производственных объектов
достигается при автоматическом управлении технологическими процессами.
Автоматизация производственного процесса приведет к увеличению выпуска,
снижению себестоимости и улучшению качества продукции, уменьшит численность
обслуживающего персонала, даст экономию материалов, улучшит условия труда и
техники безопасности, будет способствовать росту производительности труда и
коренным образом изменит роль человека в процессе производства.
1 Анализ существующей системы управления
.1 Описание технологического процесса
Получение частично обессоленной воды из речной состоит из следующих
стадий:
- осветления и умягчения речной воды в осветлителе позиция
О-4/1,2 методом известкования с коагуляцией;
- доосветления известково-коагулированной воды на
осветлительных механических фильтрах позиция Ф-7/1-8;
- противоточного обессоливания на одной ступени Н-катионитных и
ОН-ионитных фильтров;
- аминирования ХОВ и выдачи ее в сеть Общества;
- приготовления регенерационных растворов кислоты, щелочи;
- регенерации Н-катионитных фильтров;
- регенерации ОН-ионитных фильтров;
- нейтрализации кислых стоков в нейтрализаторе позиция
Е-52/1-3;
- приготовления и подачи реагентов на узел осветления исходной
воды.
Известкование с коагуляцией осуществляется для одновременного снижения
щелочности исходной воды и удаления взвешенных и коллоидных веществ.
Для этого в исходную воду вводят растворы реагентов - известкового молока
и коагулянта.
В процессе известкования и коагуляции происходит частичное умягчение и
снижение сухого остатка обрабатываемой воды, а также удаление взвешенных
веществ, соединений кремния и железа; кроме того, снижается цветность воды.
При известковании воды протекают следующие процессы:
- удаляется свободная углекислота (СО2) и образуется
труднора-створимое, выпадающее в осадок соединение - карбонат кальция (СаСО3):
СО2 + Са(ОН)2 ®
СаСО3↓ + Н2О;(1)
- при введении извести в большем количестве, чем это необходимо
для связывания свободной углекислоты, в воде повышается содержание
гидроксильных ионов (ОН-), что приводит к переходу бикарбонатов (НСО3-) в
карбонаты (СО32-):
ОН- + НСО32- ®
СО32 - + Н2О (1.1)
Карбонаты образуют с находящимися в воде ионами кальция карбонат кальция,
выпадающий в осадок:
Са2+ + СО32- ®
СаСО3↓(1.2)
Ионы магния, взаимодействуя с гидроксильными ионами, выпадают в осадок в
виде труднорастворимого гидрата окиси магния:
Мg2+ + 2ОН- ® Мg(ОН)2↓(1.3)
Коагуляция при известковании является процессом, улучшающим формирование
осадка и процесса удаления примесей. В качестве коагулянта используется
железный купорос - FeSO4∙∙7H2O. При введении в воду совместно с известью раствора железного
купороса, происходит его гидролиз и окисление растворенным в воде кислородом с
образованием гидроокиси железа Fe
(ОН)3:
FeSO4
+ Cа(ОН)2 ® Fe(ОН)2
+ СаSO4(1.4)
4Fe(ОН)2 +О2 +2Н2О ® 4Fe(ОН)3↓(1.5)
Гидроокись железа является нерастворимым соединением, имеющим рыхлую
абсорбирующую поверхность.
Совместное известкование и коагуляция обеспечивают наилучший эффект
протекания обоих процессов, так как Са(ОН)2 является поставщиком
гидроксил-ионов при гидролизе FeSO4,
что резко ускоряет выпадение осадка Fe(ОН)3.
В свою очередь, при удалении коллоидных веществ в процессе коагуляции,
создаются благоприятные условия для роста кристаллов СаСО3.
Для полноты протекания процесса известкования с коагуляцией:
- в воде поддерживается избыток извести (создается гидратная
щелочность 0,1÷0,35 мг-экв/дм3 т.3);
- обрабатываемая вода нагревается до температуры 29-31о С;
- образующийся осадок используется в качестве контактной среды.
Повышение эффективности осветления воды достигается с помощью
высокомолекулярного вещества - флокулянта.
Механизм действия флокулянта заключается в том, что ионогенные окончания
каждой молекулы этого полимера адсорбируют различные микрочастицы, содержащиеся
в воде и образующиеся в процессе известкования с коагуляцией. Каждая частица
может адсорбироваться несколькими ионогенными окончаниями, принадлежащими
различным молекулам активатора. В результате происходит слипание агрегативно
неустойчивых частиц и образование крупных хлопьев. Дозируется флокулянт с
массовой долей основного вещества до 0,1%.
Смешивание воды с дозируемыми в нее реагентами (FeSO4, Са(ОН)2, и флокулянта), образование осадка,
контактирование обрабатываемой воды со взвешенным слоем осадка, надлежащее
осветление воды, уплотнение осадка и удаление его с продувкой происходит в
осветлителе позиция О-4/1,2.
Обработанная в осветлителях вода при нормальном режиме работы осветлителя
содержит небольшое количество механических примесей - до 10,0 мг/дм3. При
нарушении режима работы осветлителя и в паводковый период (при ухудшении
качества исходной воды) количество примесей резко возрастает. Для улавливания
этих примесей служат осветлительные механические фильтры позиция Ф-7/1-8,
загруженные фильтрующим материалом (антрацитом).
Антрацит фракцией до 2 мм обладает эффектом как пленочной (взвешенные
вещества задерживаются в виде пленки на поверхности фильтрующего слоя, образуя
как бы дополнительный фильтр), так и объемной фильтрации.
При работе напорных осветлительных механических фильтров допускается
потеря напора на фильтре до 0,1 МПа (1,0 кгс/см2), при таком перепаде фильтр
отключается на взрыхляющую промывку.
Содержание взвешенных веществ после осветлительных механических фильтров
- до 3,0 мг/дм3. Затем осветленная известково-коагулированная вода направляется
на отделение обессоливания для обработки методом ионного обмена.
Ионообменное обессоливание воды основано на способности некоторых
практически нерастворимых в воде материалов - ионитов вступать в ионный обмен с
диссоциированными на катионы и анионы солями, растворенными в воде, при этом в
раствор переходит эквивалентное количество катионов или анионов, которыми
периодически насыщается ионит при регенерации. Способность ионитов к ионному
обмену объясняется их специфической структурой, состоящей из твердой,
нерастворимой в воде молекулярной сетки, к которой на поверхности и внутри
присоединены химически активные функциональные группы ионов. Каждая молекула
является твердым электролитом. В результате электролитической диссоциации
ионита вокруг нерастворимого в воде ядра образуется ионная атмосфера с
подвижными, способными к обмену ионами.
В зависимости от характера активных функциональных групп ионита его
подвижные, способные к обмену ионы, могут иметь положительные заряды, и тогда
ионит называется «Катионитом», или отрицательные заряды - ионит называется
«Анионитом».
По своей способности к ионному обмену (селективности) ионы, содержащиеся
в воде, располагаются в следующем порядке:
Катионы:
Fe+2→Ba+2→Sr+2→Ca+2→Mg+2→K+→NH4+→Na+(1.6)
Анионы:
SO42-→Cl-→NO3-→HCO3-→HSiO3-(1.7)
Каждый предыдущий ион способен вытеснять последующий из ионита при
отсутствии избытка предыдущего иона в этом ионите; при наличии избытка возможна
и обратная реакция. Различная активность обусловлена различной подвижностью
ионов.
Существуют две технологии ионного обмена - параллельноточная и
противоточная. При параллельнотоке обрабатываемая вода и регенерационный
раствор подаются в одном направлении, а при противотоке - в противоположных
направлениях.
Противоточная технология имеет ряд преимуществ перед параллельнотоком:
- низкие удельные расходы реагентов на регенерацию, воды на
собственные нужды;
- высокие допустимые скорости фильтрования (до 40 м/час) и,
следовательно, большая производительность установки при низкой металлоемкости;
- высокое качество фильтрата после одной ступени ионирования.
Для обессоливающей установки используется противоточная технология
«Обратный Амберпак» со смолами фирмы «ROHM and Haas».
В технологии «Обратный Амберпак» рабочий поток обрабатываемой воды в
фильтре подается сверху вниз, а регенерационный раствор реагента - снизу вверх.
Подача обрабатываемой воды сверху вниз позволяет исключить зависимость качества
очистки от колебания нагрузки на установку. Эффект улучшения качества фильтрата
и снижения расхода реагентов достигается за счет того, что в первую очередь
свежим раствором реагента регенерируются наименее загрязненные выходные слои
ионита. При этом избыток реагента в этих слоях, обеспечивающий глубину очистки
воды, превышает расчетные в несколько раз.
По мере продвижения регенерационного раствора в более истощенные слои
создается равновесие между концентрацией десорбируемых ионов в растворе и слое,
что исключает нежелательные повторные процессы сорбции - десорбции, характерные
для параллельнотока.
Использование противотока позволяет получить минимальную остаточную
концентрацию удаляемых ионов на одной ступени обработки.
При противоточном обессоливании практически весь объем фильтра
загружается ионообменной смолой.
При противоточном Н-катионировании все катионы, содержащиеся в воде (Ca2+, Mg+2, Na+),
заменяются катионом водорода, содержащимся
в ионообменной смоле. Фильтрующую загрузку (катионит) условно разбивают на 4
зоны:
- верхняя зона насыщена кальцием и магнием;
- под верхней зоной - зона, в которой вытесняются ионы натрия
ионами кальция и магния;
- ниже - зона замещения Н-катиона катионом натрия;
- еще ниже - зона катионита, еще не участвующая в реакции
обмена катионов.
По мере поглощения катионитом солей жесткости высота зоны с Ca+2 и Mg+2 увеличивается и смещается вниз. Как только зона замещения
Н-катиона катионом натрия сместится до нижней границы катионита, начинается
проскок иона Na+ в фильтрат.
При противоточном обессоливании ионообменные смолы не работают до полного
истощения ( до проскока Na ),
оставляется резерв рабочей обменной емкости около 5%.
Н-катионитный противоточный фильтр загружен сильнокислотным
монодисперсным катионитом марки Амберджет 1200Н.
Регенерационный раствор переменной концентрации подается снизу вверх, что
дает возможность снизить расход кислоты на регенерацию.
После Н-катионирования воды в фильтрате остаются анионы сильных кислот SO42-, Cl-, NO3- и
анионы слабых кислот HCO3-,
HSiO3-.
При противоточном ОН-анионировании все анионы, содержащиеся в воде,
замещаются анионом ОН-. Анионы сильных кислот поглощаются на слабоосновном
анионите марки Амберлайт IRA67RF, анионы слабых кислот и остаточные
анионы сильных кислот задерживаются на сильноосновном анионите марки Амберлайт IRA458RF.
Слабоосновный анионит марки Амберлайт IRA67RF
загружается в верхнюю секцию анионитного противоточного фильтра, сильноосновный
анионит марки Амберлайт IRA458RF загружается в нижнюю секцию.
Обрабатываемая вода подается в верхнюю секцию фильтра.
Сильноосновный анионит марки Амберлайт IRA458RF не
работает до полного истощения (до проскока НSiO3-), оставляется резерв рабочей обменной емкости около
5%.
Регенерационный раствор щелочи 3,5+-0,2% концентрации подается снизу
вверх и последовательно проходит нижнюю, а затем верхнюю камеру.
В процессе работы ионообменные смолы постепенно истощаются и снижается их
обменная емкость. По мере истощения обменной емкости смол производится процесс
регенерации (восстановление обменной емкости).
Отключение противоточных фильтров на регенерацию производится по
количеству обработанной за фильтроцикл воды в зависимости от ионного состава
исходной воды. Противоточные фильтры полностью не срабатываются, остается
несработанный нижний выходной слой ионита, так называемая «полировочная» зона,
обеспечивающая высокую глубину обессоливания.
.2 Описание действующей функциональной схемы
Обессоливание осветленной воды на блоке противоточного обессоливания.
Умягченная вода из емкости позиция Е-8/1,2 насосом позиция Н-10/1-3 из
отделения предочистки подается на блок противоточного обессоливания.
Процесс обессоливания осуществляется в одну ступень: очищаемая вода последовательно
проходит Н-катионитные и ОН-анионитные противоточные фильтры.
При фильтровании воды через Н-катионитные фильтры происходит обмен
катионов Ca+2, Mg+2, Na+,
находящихся в воде, на катионы водорода смолы. В состав установки входят 6
Н-катионитных противоточных фильтров позиция Ф-28/1¸6 диаметром 3000 мм. Из них 5
фильтров являются рабочими, один фильтр - пустой, для гидроперегрузки на случай
ремонта. Фильтр гидроперегрузки используется также как фильтр для обратной
промывки смолы.
Конструктивно Н-катионитный фильтр представляет собой стальной
вертикальный цилиндрический сосуд с эллиптическими днищами. Верхнее и нижнее
распределительные устройства фильтра выполнены по типу «ложного днища» из
толстолистовой стали с ребрами жесткости и представляют собой колпачковую
тарелку с отверстиями 35 мм, в которые вкручены пластмассовые щелевые колпачки.
Колпачки верхней тарелки имеют щели шириной 0,5 мм; нижней тарелки - 0,25 мм.
Фильтр оборудован смотровыми окнами для контроля за процессами.
Материал загрузки - сильнокислотный катионит марки Амберджет 1200Н.
В фильтр загружается также инертный материал RF12 высотой 200 мм. Плотность инерта меньше единицы, поэтому
он плавает вверху фильтра и прикрывает колпачки верхнего дренажного устройства,
предотвращая вынос ионита в процессе регенерации.
Фильтры практически полностью загружаются ионитом и инертным материалом
из расчета обеспечения свободного пространства между слоем ионообменной смолы и
слоем инерта 50÷100 мм. Схема работы фильтров -
параллельная, с подключением фильтров к одному коллектору.
Диапазон рабочей производительности фильтра составляет 35÷225
м3/ч.
Расход воды на фильтре контролируется электромагнитным расходомером
позиция FQIRA
312÷317, установленном
на трубопроводе подачи осветленной воды на фильтр. Фильтр оборудован
манометрами на трубопроводах входа и выхода воды для определения перепада
давления. На трубопроводах выхода обработанной воды из Н-катионитных фильтров
установлены ионитные ловушки позиция ФЛ-28/1-6 для предотвращения выноса
ионообменной смолы из фильтра. На ионитных ловушках установлены дифманометры
позиция PDIAН-268¸273 для контроля перепада давления.
При увеличении перепада давления на ловушке до 0,05 МПа (0,5 кгс/см2) фильтр
отключается от рабочего потока и ловушка промывается обратным током воды со
сбросом в дренажный канал.
На входе и выходе фильтров установлена электроприводная арматура (затворы
дисковые). С помощью запорно-регулирующего затвора на входе в фильтр
регулируется расход отмывки во время регенерации и при необходимости может
корректироваться расход обрабатываемой воды на фильтре.
Показания расходомеров и дифманометров выведены на АРМО
(автоматизированное рабочее место оператора); предусмотрена сигнализация при
выработке Н-катионитным фильтром расчетного фильтроцикла и при превышении
перепада давления на фильтре-ловушке. Управление электроприводной арматурой на
фильтрах осуществляется с АРМО или по месту с группового пульта местного
управления.
Превышение расчетного фильтроцикла и перепада давления на фильтр-ловушке
не является нарушением норм технологического режима, а является окончанием
фильтроцикла фильтра.
Н-катионированная вода поступает на анионитные противоточные фильтры. При
фильтровании воды через анионитные фильтры происходит обмен содержащихся в воде
анионов SO42-, Cl-, NO3-, HCO3-, НSiO3- на гидроксильный анион ОН-.
Анионитный фильтр по своей конструкции является двухсекционным и имеет
внутреннюю перегородку на границе раздела ионитов. Перегородка представляет
собой колпачковую тарелку, аналогичную тарелке верхней и нижней
распределительных систем. В отверстия средней тарелки вкручены двухсторонние
колпачки со щелями 0,25 мм. Верхняя секция фильтра загружена слабоосновным
анионитом марки Амберлайт IRA67RF, осуществляющим обмен анионов
сильных кислот на анион ОН-. В верхней части камеры имеется слой инертного
плавающего материала марки Амберлайт RF12 высотой 200 мм. Нижняя секция загружена сильноосновным анионитом марки
Амберлайт IRA 458RF Cl, который обменивает анионы HCO3- и НSiO3-
на гидроксильный анион ОН-. Обе секции фильтра практически полностью загружены
ионообменной смолой; свободное пространство между слоем смолы и инертом или
колпачковой тарелкой составляет 50÷100 мм. Каждая секция фильтра оборудована
смотровыми окнами для контроля за процессами.
В состав установки входят 6 ОН-анионитных фильтров позиция Ф-29/1-6
диаметром 3000 мм. Пять фильтров загружены смолой, один фильтр - пустой, для
гидроперегрузки на случай ремонта. Фильтр гидроперегрузки используется также
как фильтр для обратной промывки смолы.
Схема работы фильтров - параллельная, с подключением фильтров к одному
коллектору. Минимальная производительность фильтра - 35 м3/ч, максимальная -
225 м3/ч.
Расход воды на фильтре контролируется электромагнитным расходомером
позиция FQIRAH-318÷323,
установленном на
трубопроводе подачи Н-катионированной воды на фильтр. Фильтр оборудован
манометрами на трубопроводах входа и выхода воды для определения величины
потери напора.
На трубопроводах выхода обработанной воды из ОН-анионитных фильтров
установлены ионитные ловушки позиция ФЛ-29/1-6 для предотвращения выноса
ионообменной смолы из фильтра.. На ионитных ловушках установлены дифманометры
позиция PDIAН-286¸291 для контроля перепада давления.
При увеличении перепада давления на ловушке до 0,05 МПа (0,5 кгс/см2) фильтр
отключается от рабочего потока и ловушка промывается обратным током воды со
сбросом в дренажный канал.
Для контроля работы анионитных фильтров на трубопроводе выхода
обработанной воды из фильтра установлены кондуктометры позиция QIRAHœ-501÷506,
измеряющие
электропроводимость.
На входе и выходе фильтров установлена электроприводная арматура (затворы
дисковые). С помощью запорно-регулирующего затвора на входе в фильтр
регулируется расход отмывки во время регенерации и при необходимости может
корректироваться расход обрабатываемой воды на фильтре.
Показания расходомеров, дифманометров и кондуктометров выведены на АРМО
(автоматизированное рабочее место оператора); предусмотрена сигнализация при
выработке механическим фильтром расчетного фильтроцикла, при превышении
перепада давления на фильтре-ловушке и электропроводности. Управление
электроприводной арматурой на фильтрах осуществляется с АРМО или по месту с
группового пульта местного управления.
Превышение расчетного фильтроцикла, перепада давления на фильтр-ловушке и
электропроводности не является нарушением норм технологического режима, а
является окончанием фильтроцикла фильтра.
Полученная обессоленная вода по общему коллектору поступает в гребенку,
откуда подается в емкости обессоленной воды позиция Е-36/1,2.
Производительность обессоливающей установки регулируется автоматически с
помощью регулирующего затвора позиция Т-20, установленного на коллекторе.
Регулятор позиция Т-20 работает по сигналу от гидростата позиция LIRCSLHАLН-404, измеряющего уровень в баках позиция Е-36/1,2. Контроль
качества обессоленной воды после установки производится непрерывно приборами,
установленными на коллекторе: кондуктометром позиция QIRAHœ-509, рН-метром позиция QIRAHрН-510, натриймером позиция QIRAHNa-511. Показания приборов качества
выведены на АРМО, предусмотрена сигнализация при превышении нормативных
параметров.
Емкость позиция Е-36/1,2 снабжена уровнемером позиция LIRALH-150/1,2 с сигнализацией по минимуму
- 1000 мм и максимуму - 5340 мм; позиция Е-32/3-5 - уровнемером позиция LIRALH-231/3-5 с сигнализацией по минимуму
670 мм и максимуму 3260 мм. Показания этих приборов выведены на щит ХВО.
Из емкости позиция Е-36/1,2 частично-обессоленная вода насосом позиция
Н-37/1,2 (расходомер позиция UIR(f(F))-83) подается на блок 10 для приготовления
глубоко-обессоленной воды, которой питаются котлы-утилизаторы агрегата аммиака
и насосом позиция Н-38/1,2 с объемным расходом до 120 м3/ч (расходомер позиция FIR-222) на впрыск в аппараты воздушного
охлаждения (АВО). Регулирование объемной подачи обессоленной воды на впрыск АВО
производится задвижкой, установленной на трубопроводе подачи воды с нагнетания
насоса позиция Н-38/1,2 на возврат в емкость позиция Е-36/1,2 (байпасная
линия).
Из емкости позиция Е-36/1,2 насосом позиция Н-33/1,2 частично
обессоленная вода подается также в коллектор химочищенной воды ОАО «ГНС»; для
корректировки водородного показателя (рН) производится ее амминирование.
Регулирование расхода ХОВ производится с помощью регулирующего затвора позиция
Т-23 и контролируется ультразвуковым расходомером позиция FQIRC-324. Регулирование расхода
амминированной воды, подаваемой насосом позиция Н-21/1,2 в напорный коллектор
насосов поз Н_33/1,2, производится клапаном позиция FCV-91г. слабоаммиачный
раствор необходимой концентрации для амминирования готовится в емкости позиция
Е-32/5 путем разбавления обессоленной водой крепкого аммиачного раствора
концентрацией до 25%, завозимого с агрегата аммиака в переносной таре.
Необходимая конценрация слабоаммиачного раствора достигается заливкой аммиачной
воды в емкость позиция Е-32/5. Дозировка слабоаммиачного раствора в ЧОВ
осуществляется насосом позиция Н-21/1,2.
Выдача ХОВ в коллектор воды ОАО «ГНС» может также производиться по
резервной линии от напора насоса позиция Н-37/1,2.
При остановке насосов позиция Н-37/1,2, Н-38/1,2 и Н-33/1,2 предусмотрена
световая и звуковая сигнализация.
Показания расходомера позиция FQIRC-324 выведены на АРМО, управление
электроприводными затворами позиция Т-21, Т-22 на напоре насосов позиция Н-33/1,2
и регулирующим затвором позиция Т-23 может производиться с АРМО или по месту с
группового пульта местного управления.
Приготовление регенерационных растворов кислоты, едкого натра
Приготовление регенерационного раствора серной кислоты с массовой долей
основного вещества 1; 1,5 и 3,0% .
Серная кислота с массовой долей основного вещества не менее 92,5 %
поступает из сети Общества в рабочую емкость позиция Е-40/3 (резервную позиция
Е-49). Расход и давление кислоты измеряется прибором позиция UIR(f(F;P))-142.
Емкость позиция Е-40/3 снабжена:
- двумя уровнемерами позиция LIRAHL-105/2а и
105/2б.
При достижении максимального уровня (80% шкалы вторичного прибора - 1700
мм) и минимального (10% шкалы вторичного прибора - 300 мм) включается световая
и звуковая сигнализация;
- прибором контроля температуры позиция TJR-2 (т. 3);
- системой дыхания;
- наружным обогревом отопительной водой.
Емкость позиция Е-49 снабжена:
- двумя уровнемерами позиция LIRAHL-108а и 108б.
При достижении максимального (32% - 1450 мм) и минимального (9% - 400 мм)
уровней включается световая и звуковая сигнализация;
- прибором контроля температуры позиция TJR-2 (т.5);
- системой дыхания.
Из емкости позиция Е-40/3 (резервная - позиция Е-49) серная кислота
поступает через фильтр позиция Ф-46/1,2 на всас насоса позиция Н-41/1,2 и далее
в емкость-мерник позиция Е-40/1 (резервная - позиция Е-40/2).
Герметичные насосы позиция Н-41/1,2 оснащены блокировками с одновременной
выдачей светового и звукового сигналов на:
а) отключение насоса при отсутствии среды в корпусе насоса (позиция LSL-210);
б) отключение насоса при давлении на нагнетании более 0,5 МПа (5,0
кгс/см2), прибор позиция PISН-193.
Емкости позиция Е-40/1,2 оснащены:
а) двумя независимыми уровнемерами позиция LIRAHL-105/1а, 105/1б и позиция LIRAHL-105/2в. При достижении минимального (9% - 440 мм) и
максимального (50% - 1840 мм) уровней подаются световой и звуковой сигналы;
б) приборами контроля температуры позиция TJR-2 (т.1 и т.2);
в) системой дыхания.
В емкости позиция Е-40/1,2,3 и позиция Е-49, на насосы позиция Н-41/1,2 и
позиция НД-42/1,2 предусмотрена подача осушенного воздуха и умягченной воды, а
также отвод газовой среды для подготовки оборудования к ремонту.
На емкостях позиция Е-40/1,2,3 и позиция Е-49 предусмотрен коллектор
дыхания с парами серной кислоты, связанный перед сбросом в атмосферу с емкостью
для поглощения паров кислоты позиция Е-40/4, заполненную умягченной водой с
рН-10,0-10,5 и к которой подведен азот. На линии подачи азота на установку ХВО
установлены приборы контроля расхода позиция UIRС(f(F))-143 (не более 80 м3/ч), давления
позиция UIRС(f(P))-143 (не более
0,6 МПа (6,0 кгс/см2)), установлен клапан-регулятор позиция PCV-143, который держит давление «после
себя» 0,002 МПа (0,02 кгс/см2) в коллекторе дыхания, контролируется прибором
позиция PRCAL-145.
Емкость поглощения позиция Е-40/4 оснащена:
а) подачей умягченной воды;
б) переливом в производственную канализацию;
в) прибором контроля температуры позиция TJR-2 (т.5);
г) наружным обогревом отопительной водой.
Схемой предусмотрено аварийное перекачивание серной кислоты из рабочей
емкости позиция Е-40/3 в резервную позиция Е-49 насосом позиция Н-41/1,2 и
обратно, а также перекачивание кислоты с об.1902 на блок 10 насосом позиция
Н-41/1,2.
Регенерационный раствор серной кислоты готовится путем смешения раствора
серной кислоты с массовой долей основного вещества 92,5 % и обессоленной воды в
смесителе позиция Х-78. Концентрированная серная кислота подается в смеситель
из емкости позиция Е-40/1,2 насосом-дозатором позиция НД-42/1-3, обессоленная
вода из емкости (резервуара) обессоленной воды позиция Е-36/1,2 подается
насосом собственных нужд позиция Н-30/1-3. При регенерации раствором серной
кислоты с массовой долей основного вещества 1 и 1,5 % работает один
насос-дозатор, при регенерации раствором кислоты массовой долей основного
вещества 3% - два насоса-дозатора. Требуемый расход кислоты устанавливается
вручную путем изменения хода плунжера насоса-дозатора.
Массовая концентрация раствора серной кислоты, получаемая при смешении
кислоты с водой, измеряется концентратомером позиция QIRAН-507, установленном на трубопроводе регенерационного
раствора серной кислоты, и ареометром при ручном отборе анализа.
Расход обессоленной воды на приготовление регенерационного раствора
измеряется расходомером позиция FQIRAН-326
и составляет 55¸110 м3/ч; необходимый расход обессоленной воды достигается изменением
частоты вращения электродвигателя насоса позиция Н-30/1-3. Управление насосом
позиция Н-30/1-3 и его частотным преобразователем производится по месту.
Имеется возможность подачи серной кислоты на приготовление регенерационных
растворов непосредственно из емкостей позиция Е-49, 40/3 насосами-дозаторами
позиция НД-42/1-3.
Все емкости расположены на площадках с защитным ограждением, не допускающим
растекание кислоты при аварийной разгерметизации оборудования.
Приготовление регенерационного раствора едкого натра с массовой долей
основного вещества - 4%.
Натр едкий технический (гидроксид натрия, сода каустическая) с массовой
долей основного вещества не менее 42% поступает в емкости позиция Е-32/1,2 из
реагентного хозяйства по линии МЦК или может завозиться автомашиной.
Емкости позиция Е-32/1,2 снабжены:
а) двумя независимыми уровнемерами позиция LIRALH-231/1а, 1б и 231/2а, 2б. При достижении минимального
(11% шкалы вторичного прибора - 500 мм) и максимального (40% шкалы вторичного
прибора - 1450 мм) уровня включается световая и звуковая сигнализация;
б) приборами контроля температуры позиция TJR-2 (т.6 и т.7);
в) внутренним обогревающим устройством отопительной водой.
Схемой предусмотрено аварийное перекачивание едкого натра из рабочих
емкостей позиция Е-32/2 и позиция Е-44/2 в пустые резервные емкости позиция
Е-32/1 и позиция Е-44/1 насосом позиция Н-50 и обратно, а также прием едкого
натра из автомашин в рабочую емкость позиция Е-32/2 насосом позиция Н-50.
Регенерационный раствор едкого натра готовится путем смешения раствора
едкого натра с концентрацией 42% и обессоленной воды в смесителе позиция Х-79.
Раствор едкого натра с концентрацией 42% подается в смеситель насосом-дозатором
позиция НД-45/1,2 из емкости позиция Е-32/1,2. Обессоленная вода подается
насосом позиция Н-30/1-3 ( расходомер позиция FQIR-326).
Концентрация регенерационного раствора при проведении регенерации
измеряется концентратомером позиция QIRAH-508, установленным на трубопроводе
регенерационного раствора едкого натра, и ареометром при ручном отборе анализа.
Требуемый расход 42% едкого натра устанавливается вручную, путем
изменения хода плунжера насоса-дозатора. Необходимый расход обессоленной воды
достигается изменением частоты вращения электродвигателя насоса Н-30/1-3.
Управление насосом позиция Н-30/1-3 и его частотным преобразователем
производится по месту.
Все емкости расположены на площадках с защитным ограждением, не допускающим
растекание едкого натра при аварийной разгерметизации оборудования.
Регенерация ионитных фильтров
При противотоке «Обратный Амберпак» процесс регенерации состоит из
следующих операций:
- поджатие слоя ионообменной смолы к верхней дренажной системе;
- снижение расхода воды до регенерационного и обеспечение ее
пропуска по линии регенерации;
- пропуск регенерационного раствора;
- вытеснение регенерационных растворов из фильтра обессоленной
водой по линии подачи регенерационных растворов (первый этап отмывки по линии
регенерации);
- осаждение ионитов в течение 10 минут;
- отмывка по рабочей схеме с расходом 100-150 м3/ч.
Все переключения и отключения фильтров осуществляются аппаратчиком на
основании автоматического и аналитического контроля за фильтроциклом и
качеством воды.
Операция поджатия как Н-катионитных, так и ОН-анионитных фильтров
производится обессоленной водой из емкости позиция Е-36/1,2 насосом собственных
нужд позиция Н-30/1-3 с частотным преобразователем. Продолжительность операции
3¸5 минут. Обессоленная вода на
поджатие подается снизу вверх.
Расход на поджатие Н-катионитных фильтров составляет 240-270 м3/ч ; на
поджатие ОН-анионитных фильтров 230¸250 м3/ч. Регулирование расхода на поджатие производится
оператором вручную изменением частоты вращения электродвигателя насоса позиция
Н-30/1-3 и контролируется расходомером позиция FQIR-325.
Дренажные воды от поджатия сбрасываются в баки-нейтрализаторы позиция
Е-52/1-3 одновременно по кислому и щелочному дренажным коллекторам.
При регенерации Н-катионитных фильтров восстановление обменной емкости
осуществляется по реакции:
К2Ca +
H2SO4 ® 2HK + CaSO4(1.8)
K2Mg + H2SO4 ® 2HK + MgSO4(1.9)
KNa + H2SO4 ® 2HK + Na2SO4(1.10)
Подача регенерационного раствора кислоты на Н-катионитные фильтры
производится снизу вверх в следующей последовательности:
- в течение 10 минут на фильтр подается 1,0+-0,2 % раствор
серной кислоты;
- в течение 16 минут на фильтр подается 1,5+-0,2 % раствор
серной кислоты;
- в течение 20 минут на фильтр подается 3+-0,2 % раствор серной
кислоты.
При снижении обменной емкости Н-катионитного фильтра время пропуска 1,0%;
1,5 % и 3 % раствора серной кислоты увеличивается в 2 раза.
После пропуска необходимого количества серной кислоты насосы-дозаторы
позиция НД-42/1-3 отключаются и на фильтры насосом позиция Н-30/1-3 по линии
регенерации подается обессоленная вода для вытеснения из фильтра
регенерационного раствора (отмывка по линии регенерации) расходом 70-85 м3/ч
(контроль по расходомеру позиция FQIR-326)
в течение 40 минут. По истечении этого времени подача обессоленной воды
прекращается, и катионит осаждается в течение 10 минут без перемешивания слоя.
Затем начинается этап быстрой отмывки по рабочей схеме от продуктов регенерации
расходом 100¸150 м3/ч.
Регулирование расхода отмывочной воды производится запорно-регулирующим
затвором на входе в фильтр и контролируется расходомером позиция FQIRAL-312¸317.
Отмывка Н-катионитных фильтров ведется до следующих параметров фильтрата:
- жесткость - не более 5,0 мкг-экв/дм3;
- кислотность - К раб+0,5 мкг-экв/дм3.
Регенерационные и отмывочные воды Н-катионитных фильтров сбрасываются в
нейтрализаторы позиция Е-52/1-3.
При регенерации анионитных фильтров восстановление обменной емкости
осуществляется по реакции:
An2SO4 + 2NaOH ® 2AnOH + Na2SO4(1.11)
AnCl + NaOH ® AnOH + NaCl(1.12)
AnHSiO3 + NaOH ® AnOH + NaHSiO3(1.13)
AnHCO3 + NaOH ® AnOH + NaHCO3(1.14)
Регенерационный раствор едкого натра подается на фильтр снизу вверх,
поступая сначала в секцию с высокоосновным, а затем в секцию с низкоосновным
анионитом. Регенерация осуществляется в два этапа:
- в течение 10 минут подается раствор щелочи с концентрацией
1,0±0,2 % и расходом 100 м3/ч;
- в течение 13 минут подается раствор щелочи с концентрацией
3,5±0,2 % и расходом 55 м3/ч.
Расход регенерационного раствора щелочи контролируется расходомером
позиция FQIR-326. После подачи расчетного
количества щелочи насос-дозатор щелочи позиция НД-45/1,2 отключается и
начинается процесс вытеснения регенерационного раствора из фильтра (отмывка по
линии регенерации) подачей обессоленной воды насосом позиция Н-30/1,2 с
расходом не менее 55 м3/ч (расходомер позиция FQIR-326) в течение 50 минут.
В периоды паводка при увеличении содержания органических веществ в
осветленной воде требуется увеличение расхода едкого натра на регенерацию
анионитного фильтра.
После стадии вытеснения регенерационного раствора едкого натра подача
обессоленной воды прекращается, и ионит свободно осаждается в фильтре в течение
10 минут. Затем проводится отмывка по рабочей схеме от продуктов регенерации
декатионированной водой расходом 100¸150 м3/ч в течение 40 минут до следующих показателей:
- щелочность - не более 0,1 мг-экв/дм3;
- кремнекислоты - менее 200,0 мкг/дм3;
- электропроводность - менее 10,0 мкСм/см.
На последнем этапе отмывки сброс дренажных вод производится через дренаж
ионитной ловушки для контроля электропроводности по кондуктометру позиция QIRAH-501¸506.
Расход отмывочной воды регулируется запорно-регулирующим затвором на
входе в фильтр и контролируется расходомером позиция FQIRAH-318¸323.
Регенерационные и отмывочные воды ОН-анионитных фильтров подаются в
баки-нейтрализаторы позиция Е-52/1-3.
.3 Перечень контролируемых и регулируемых параметров
Перечень основных параметров представлен в таблице .
Таблица 1 - Перечень основных контролируемых и регулируемых параметров
|
Место отбора пробы
(установки прибора)
|
Контролируемые показатели
|
Методы контроля (тип
прибора)
|
|
Осветлитель позиция 0-4/1,2
|
Водородный показатель (рН),
в пределах
|
QIRCALHрН-134
|
|
После фильтров позиция
Ф-29/1-6
|
Электропроводность,
мкСм/см, в пределах
|
QIRАH-501÷506
|
|
Трубопровод подачи раствора
на Н-канионитные фильтры
|
Концентрация раствора
серной кислоты, %, в пределах
|
QIRАН-507
|
|
Трубопровод подачи раствора
на анионитные фильтры
|
Концентрация раствора
едкого натра, %, в пределах
|
позиция QIRАН-508
|
|
Перед емкостью позиция
Е-36/1,2
|
1 Электропроводность,
мкСм/см,не более 2 Водородный показатель (рН), в пределах 3 Массовая
концентрация ионов натрия, мкг/дм3, в пределах
|
позиция QIRAH-509
позиция QIRCAрН-1361,2 или позиция QIRAH-510 позиция QIRАH-511
|
|
С коллектора выдачи в сеть
Общества
|
Водородный показатель (рН),
в пределах
|
QIRрН-148
|
|
На выходе с установки ХВО
|
Водородный показатель (рН),
в пределах
|
QIRpH-147
|
|
Фильтр-ловушкапозиция
ФЛ-28/1-6
|
Перепад давления на
фильтр-ловушке Н-катионитных фильтров
|
PDIAН-268÷273
|
|
Фильтр-ловушкапозиция
ФЛ-29/1-6
|
Перепад давления на фильтр-
ловушке ОН-анионитных фильтров
|
PDIAН-286÷291
|
|
Насос позиция Н-30/1,2
|
Давление на нагнетательном
трубопроводе насоса
|
PISL-248, 250
|
|
Емкость позиция 32/1,2
|
Уровень едкого натра
|
LIRALH-231/1,2
|
|
Емкость позиция Е-32/3-5
|
Уровень обессоленной воды
|
LIRA LH-231/3-5
|
|
Емкость позиция Е-36/1,2
|
Уровень обессоленной воды
|
LIRCALH-150/1,2
|
|
Емкость позиция Е-36/1,2
(прибор установлен на всасывающем трубопроводе насоса позиция Н-33/1,2)
|
Уровень обессоленной воды
|
LIRСSLНАLН-404
|
|
Насос позиция Н-33/1,2
|
Давление на нагнетательном
трубопроводе насоса
|
PISL-244, 246
|
|
Емкость позиция Е-40/1,2
|
Уровень серной кислоты
|
LIRALH-105/1а,б
|
|
Емкость позиция Е-40/3
|
Уровень серной кислоты
|
LIRALH-105/2а,б
|
|
Насос позиция Н-41/1,2
|
Давление на нагнетательном
трубопроводе
|
РISH-193
|
|
Насос-дозатор поз
.НД-42/1-3
|
Уровень серной кислоты в
колонке корпуса насоса
|
LSL-210
|
|
Емкость позиция Е-44/1,2
|
Давление на нагнетательном
трубопроводе
|
PISH-253÷255
|
|
Насос-дозатор позиция
НД-45/1,2
|
Уровень едкого натра
|
LIRALH-106/1,2
|
|
Емкость позиция Е-49
|
Давление на нагнетательном
трубопроводе
|
PISH-251,252
|
|
Нейтрализатор позиция
Е-52/1-3
|
Уровень серной кислоты,
|
LIRALH-108а,б
|
|
Емкость позиция Е-54
|
Уровень сточных вод
|
LIAH-146
|
|
Фильтры позиция Ф-29/1-6
|
Расход воды на фильтре
|
FQIRAH-318÷323,
|
|
Ионитные ловушки
|
Давление до и после ловушки
|
PDIAН-286¸291
|
|
После затвора позиция Т-23
|
Регулирование расхода ХОВ
|
FQIRC-324
|
|
Ёмкости Е-40/1-3
|
Расход и давление кислоты
|
UIR(f(F;P))-142
|
|
После насосов позиция
Н-30/1-2
|
Расход обессоленной воды
|
FQIR-326
|
|
После насосов позиция
Н-30/1-2
|
Расход на поджатие
Н-катионитных
|
FQIR-325.
|
|
Во всех емкостях
резервуарного парка
|
Температура
|
TJR
|
.4 Недостатки существующей системы управления
Изучив технологический процесс и функциональную схему автоматизации, а
также проанализировав применяемые технические средства автоматизации можно
сделать выводы, приведенные ниже.
Применяемые приборы для измерения уровня в расходных емкостях не отвечают
современным критериям надежности, так как имеют в своем составе большое
количество подвижных механизмов, которые часто выходят из строя. Так же
существующая система измерения уровней имеет последовательную структуру
соединения датчиков, при которой, как известно, выход из строя одного датчика
ведет к неполадкам всей системы в целом, что очень не удобно для оператора.
Так же недостатком является и то, что регулирование расхода, давления и
изменение концентрации реагентов осуществляется оператором вручную при помощи
задвижек.
Учет хозрасчетных показателей ведется при помощи вторичных приборов А -
100 (установленных на щите автоматизации) и регистрируется на диаграммных
лентах, что не удобно для подсчета.
Также целый ряд показателей имеют не прямое отображение в измеряемых
величинах а косвенное.
В системе блокировок используются устаревшие приборы ЭКМ, ввиду наличия в
них подвижных механических частей и специфике производства вызывающие ложные
срабатывания, что приводит к остановке работы всей установки.
.5 Постановка задачи
На основании вышеизложенного, предлагается внедрить двухуровневую систему
управления технологическим процессом регенерации фильтров на основе
микропроцессорной техники с отображением всей необходимой информации на экране
монитора.
Для измерения уровня расходных емкостях предлагается применить датчики
уровня марки ВМ - 100 фирмы Krohne, которые не имеют подвижных и вращающихся
механизмов и имеют погрешность измерения ± 1 мм. Это позволит более точно вести
учет имеющегося в емкостях продукта.
Для удобства и точности учета и контроля коммерческих показателей,
заменить устаревшие датчики расхода, давления, температуры, уровня,
концентрации и подключить их к микропроцессору и вывести показания на экран
монитора.
Это необходимо для того, чтобы уменьшить влияние человеческого фактора на
ход данного процесса, а также увеличения полезного времени оператора при
наблюдении непосредственно за процессом .
Замена существующей схемы автоматизации на схему управления, основанной
на микропроцессоре позволит отказаться от использования щитов КИП, занимающих в
помещении операторной много места. Благодаря этому увеличится рабочее
пространство операторной и исключатся посторонние шумы, создаваемые вторичными
приборами (имеющие в своем составе лентопротяжные механизмы).
Используя в АСУТП микропроцессорную технику, получим отображение всех
технологических параметров на экране монитора одного пульта управления
оператора, что очень удобно для контроля и управления технологическим
процессом.
2 Автоматизированная система управления
.1 Описание предлагаемой автоматизированной системы управления
.1.1 Структурная схема предлагаемой АСУ ТП
Предлагаемая система автоматизации имеет двухуровневую распределен-ную
архитектуру (рисунок 2.1).
Рисунок 2.1 - Структурная схема АСУ ТП блока подготовки сырья
.1.2 Нижний уровень
На нижнем уровне реализуются следующие функции:
· сбор информации о технологическом объекте управления;
· контроль за технологическими параметрами;
· сигнализация параметров выходящих за допустимые пределы, т.е.
обеспечение безопасности производства;
· блокировка управлений, являющихся результатом ошибочных
действий людей или техники;
· ПАЗ по факту аварийного события.
Нижний уровень реализован на базе 2 подсистем функционально независимых
контроллеров семейства SIMATIC S7-400 - S7-414-4H для ведения технологического
процесса и S7-414-4H для системы ПАЗ. Сбор
оперативной информации от датчиков и выдача управляющих воздействий на приводы
осуществляется через станции распределенной периферии ET 200M.
Для нижнего уровня рекомендовано оставить существующие на установке
датчики, преобразователи и исполнительные механизмы серии «Сапфир-22»,
«Метран-43» и другие, поскольку они отвечают предъявляемым требованиям в полной
мере и их замена будет экономически не оправдана.
Температура измеряется термопреобразователями типа ХК Метран-202. Эти
термопары имеют встроенный нормирующий преобразователь, преобразующий термо-ЭДС
в стандартный токовый сигнал 4…20мА. Данный термопреобразователь имеет такие
достоинства, как, например, высокую точность; отсутствие дополнительных
проводов для питания; наличие выходного унифицированного токового сигнала,
который без усиления может быть передан на значительные расстояния вплоть до
контроллера.
Для измерения давления используется преобразователь измерительный
взрывозащищенный Метран-43Ф-ДИ-Ех, предназначенный для работы в системах
автоматического контроля, регулирования и управления технологическими
процессами взрывоопасных производств и обеспечивающий непрерывное
преобразование значения изменяемого параметра в унифицированный токовый сигнал
дистанционной передачи.
Для измерения уровня используется преобразователь измерительный
взрывозащищенный Метран-43Ф-ДУ-Ех, предназначенный для работы в системах
автоматического контроля, регулирования и управления технологическими
процессами взрывоопасных производств и обеспечивающий непрерывное
преобразование значения изменяемого параметра в унифицированный токовый сигнал
дистанционной передачи.
Преобразователь измерительный взрывозащищенный Метран-43Ф-ДД-Ех
используется в качестве дифманометра для снятия показаний перепада давления на
сужающем устройстве. В качестве первичного преобразователя для измерения
расхода используется сужающее устройство - диафрагма ДКС, принцип действия
которой основан на возникновении разности давлений, квадратично зависимой от
расхода потока проходящего через сужающее устройство.
Преобразователь измерительный уровня буйковый Метран-43-ДД-Ех-Вн предназначен
для работы в системах автоматического контроля, регулирования и управления
технологическими процессами и обеспечивает непрерывное преобразование значения
измеряемого параметра - уровня жидкости, уровня границы раздела жидких фаз в
стандартный токовый сигнал дистанционной передачи.
Блок питания БПД-40-Ex
предназначен для питания датчиков типа "Метран" в искробезопасном
исполнении. Блоки изготавливаются одно-, двух-, четырехканальные.
Основные преимущества датчиков Метран-43:
· долговременная стабильность сигнала;
· высокая точность преобразования;
· стойкость к вибрации и гидроударам;
· повышенная стойкость к изменению температуры окружающей
среды;
· долговечность.
Определение концентрации водорода в ВСГ осуществляется при помощи
газоанализатора серии S4100.
Чувствительный элемент может быть встроен в датчик или установлен на расстоянии
до 600 метров. Датчик измеряет и отображает концентрацию газа, регистрирует
калибровки, сохраняет их в памяти. У анализатора унифицированный выход 4…20мА,
напряжение питания 24В.
Определение влажности ВСГ осуществляется с помощью поточного анализатора
влажности модели 5000, предназначенного для работы во взрывоопасных зонах.
Применяется для определения влажности сложных технологических потоков.
Анализатор состоит из взрывозащищенного блока 560В и контроллера. Действие
анализатора основано на измерении частоты колебания кварцевого кристалла с
гидрофильным покрытием. Эта технология обеспечивает высокую чувствительность и
точность измерений, быстрый отклик, нечувствительность к помехам. Имеет
нормированный токовый выход 4…20мА, напряжение питания 230±20В.
Для определения наличия пламени у печных форсунок используются детекторы
погасания пламени «Факел 3 М». В качестве чувствительного элемента используется
фотодатчик, преобразующий пульсацию света в электрический сигнал. Имеет уставку
срабатывания по входному сигналу: сигнализация от 50-200мВ, блокировка от
5-50мВ. Мощность детектора 25ВА, питание 220В, 50Гц.
Спецификация на КИП приведена в приложении А.
.1.3 Система ПАЗ
Для системы ПАЗ используется полностью автономный резервированный
контроллер S7-414-4H.
При разработке ПАЗ учитывались нормы технологического регламента. На
верхнем уровне предусмотрена звуковая и световая сигнализация. Все действия
системы ПАЗ, блокировки, сигнализации о превышении допустимых параметров,
сообщения о действиях оператора записываются в журнал.
С целью обеспечения надежности для контроллера ПАЗ предложено
использовать переключаемую конфигурацию ввода-вывода (система с повышенным
коэффициентом готовности) (рисунок 2.2). Такая система включает в свой состав:
· 2 центральных процессора CPU 414-4H;
· 2 линии PROFIBUS-DP;
· станцию распределенного ввода-вывода ET 200M с двумя
интерфейсными модулями IM 153-2 для подключения к резервированной сети
PROFIBUS-DP.
Рисунок 2.2 - Одноканальная переключаемая конфигурация ввода/вывода
При отказе активного центрального процессора, интерфейсного модуля IM
153-2 или канала связи PROFIBUS-DP управление передается резервному процессору,
производится переключение на резервную линию PROFIBUS-DP, управление
технологическим процессом не прерывается.
Операционная система центральных процессоров CPU 414-4H выполняет все
необходимые функции резервирования контроллера S7-400H автономно:
· обмен данными между центральными процессорами контроллера;
· выявление отказов и включение горячего резерва;
· синхронизация двух центральных процессоров контроллера;
· самодиагностика.
.1.4 Верхний уровень
Верхний уровень - АРМ оператора - реализован на базе промышленного
персонального компьютера под управлением SCADA-системы WinCC версии 5.1.
Разработанная система диспетчеризации верхнего уровня обеспечивает
выполнение следующих функций:
· отображение технологического процесса на дисплее оператора в
виде графических мнемосхем;
· отображение в реальном времени значений технологических
параметров и управляющих воздействий;
· формирование и отображение на дисплее различных групп
графиков технологических параметров;
· автоматическую сигнализацию и регистрацию достижения
параметром предаварийной и предупредительной границы;
· ведение журнала аварийных и системных сообщений, где
фиксируются все сообщения о срабатывании предаварийной и предупредительной
сигнализации, сообщения о действиях оператора по их квитированию
(подтверждению), сообщения об изменении состояния исполнительных механизмов,
системные сообщения;
· возможность ведения архива технологических параметров.
Связь модулей ET 200M с контроллерами осуществляется по
высокоскоростной коммуникационной шине PROFIBUS на витой паре. Связь контроллеров с
операторской станцией осуществляется по протоколу Industrial Ethernet (OSM 62 ITP) и
оптоволоконный кабель.
Спецификация на программно-технические средства приведена в приложении Б.
.2 Обоснование выбора системы управления верхнего уровня
Программные продукты класса SCADA широко представлены на российском
рынке. Поэтому выбор SCADA-системы представляет собой достаточно трудную
задачу. Был проведен сравнительный анализ порядка 10 SCADA-пакетов по их техническим, стоимостным и
эксплуатационным характеристикам. В результате был признан оптимальным вариант
использования пакета SIMATIC WinCC фирмы Siemens, который не уступает другим
продуктам по основным критериям и кроме того обладает рядом
преимуществ.придерживается открытых стандартов в коммуникационных драйверах.
Кроме наличия пакета коммуникационных драйверов для SIMATIC S5, S7, WinCC
поддерживает также известные спецификации обмена данными, среди которых: Modbus
Serial, Industrial Ethernet, Allen Bradley-DF1, Mitsubishi FX и другие. В WinCC
также используются коммуникационные драйвера, которые не зависят от
производителя. В состав этих драйверов входят DDE, OPC (OLE for Process Control), Profibus DP/FMS.
WinCC является модульной системой (рисунок 2.3). Она включает в себя
стандартный набор модулей (базовый пакет) и дополнительные опции, список
которых постоянно увеличивается. Каждый модуль представляет собой редактор,
который выполняет определённую функцию и состоит из системы исполнения и
системы разработки.
Ядром WinCC является приложение Control Center, которое позволяет легко
ориентироваться по проекту и исполняет роль менеджера всех опций WinCC. В
Control Center осуществляется объявление и настройка протокола передачи данных,
а также объявление внутренних и внешних тегов. В объявление тегов входит
нормирование, преобразование форматов, установка начальных значений и ряд
других функций.
Рисунок 2.3 - Модульная структура WinCC
В стандартный набор опций входят следующие редакторы:
· Graphics Designer - графический редактор, предназначенный для
создания мнемосхем;
· Global Scripts - служба обработки событий - это общее
название для С-функций и обработчиков событий во всём WinCC-проекте. С помощью
этой подсистемы можно обрабатывать событие, инициированное любым графическим
объектом, а также изменять из скрипта эти объекты;
· Tag Logging - служба архивации для ведения оперативных и
долговременных архивов;
· Alarm Logging - служба сообщений, предназначенная для вывода
сообщений о ходе контролируемого технологического процесса в процессе работы
WinCC-приложения, подтверждения сообщений оператором и ведения архивов этих
сообщений;
· Report Designer - встроенный генератор отчётов, состоящий из
редактора схемы отчётов и системы генерации отчётов;
· Text Library - редактор для многоязыковой поддержки;
· User Administrator - администратор пользователей для контроля
прав доступа пользователей WinCC-приложения.
Кроме того существует дополнительный набор модулей, куда входят следующие
опции:
· BPC (Basic Process Control) и APC (Advanced Process Control)
упрощают решение различных задач по обработке и мониторингу технологических
процессов;
· Server - создание клиент-серверных WinCC-приложений;
· User Archives - пользовательские архивы;
· Storage позволяет перемещать данные, накопленные в
долговременных архивах на другие накопители, а также удалять устаревшие данные
с указанием времени или в зависимости от процента заполнения диска;
· Redundancy обеспечивает отказоустойчивость системы.
Достигается это параллельной работой двух WinCC-серверов. При отказе одного из
них WinCC-клиенты переключаются на другой работающий сервер;
· ProAgent предоставляет дополнительные диагностические
функции;
· IndustrialX - это набор графических объектов
(ActiveX-компонент) для использования в Graphics Designer, которые упрощают
разработку мнемосхем;
· Web Navigator - позволяет организовать просмотр
WinCC-приложения через Web;
· ODK (Open Development Kit) предоставляет описание внутренних
структур и функций для разработчика;
· СDK (Channel Development Kit) позволяет разработчику
создавать свои коммуникационные драйвера.
Открытость WinCC позволяет разработчикам третьих фирм создавать
дополнения (Add-ons) для WinCC, например:
· FuzzyControl++ Neurosystems - программа для организации
нейронных сетей для WinCC и SIMATIC S7;
· FuzzyTECH - среда разработки с помощью нечёткой логики;
· OPC Server TCP/IP & H1 for SIMATIC S5 & S7 может
использоваться совместно c OPC-клиентами в WinCC, позволяя передавать данные из
SIMATIC S5 & S7 по OPC.
Пятая версия WinCC предлагает качественно новый инструментарий для
создания распределённых систем. WinCC 5.1 поддерживает до 6 WinCC-серверов в
одном проекте и позволяет обслуживать до 16 мульти-клиентов. Термин
мульти-клиент означает, что доступ может быть одновременным ко многим серверам.
Использование ресурсов и служб WinCC может оптимально распределяться между
WinCC-серверами. Каждый из серверов может быть подключен к ПЛК и принимать
данные. В этом случае система становится более гибкой и позволяет распределять
затраты на ресурсы между серверами. Архивация параметров также может быть
распределена.
Кроме того при выборе WinCC
в качестве системы управления верхнего уровня были учтены следующие
преимущества:
· техническая поддержка в региональных центрах Siemens;
· пакет WinCC на 128 процессорных тегов в настоящее время
поставляется фирмой Siemens бесплатно;
· возможность интеграции в комплексное решение для систем
управления процессами SIMATIC PCS 7 фирмы Siemens.
.3 Обоснование выбора системы управления нижнего уровня
.3.1 Контроллер SIMATIC S7-400H
К аппаратно-программным средствам контроллерного уровня управления
предъявляются жесткие требования по надежности, времени реакции на
исполнительные устройства, датчики и т.д. Программируемые логические контроллеры
должны гарантированно откликаться на внешние события, поступающие от объекта,
за время, определенное для каждого события.
Для рассматриваемого производства предъявляются повышенные требования к
надежности функционирования системы управления. Простой системы может вызвать
большие экономические потери.
Обеспечить высокие требования надежности способны только резервированные
системы. Программируемый контроллер SIMATIC S7-400H отвечает подобным
требованиям. Он способен продолжать работу в случае возникновения одного или
нескольких отказов в его компонентах. S7-400H обеспечивает:
· резервирование всех основных функций;
· высокий коэффициент готовности системы ввода-вывода,
обеспечиваемый применением переключаемых конфигураций системы ввода-вывода;
· возможность использования стандартных конфигураций систем
ввода-вывода;
· горячее резервирование: автоматическое безударное
переключение на резервный блок в случае отказа ведущего блока;
· использование резервированных сетей PROFIBUS-DP для
построения переключаемых конфигураций системы ввода-вывода;
· свободное наращивание возможностей при модернизации системы;
· высокую мощность, благодаря большому количеству встроенных
функций.
Контроллер Simatic S7-400 - это мощный программируемый контроллер (ПЛК)
для решения задач автоматизации средней и высокой степени сложности,
реализующий практически любые задачи автоматического управления. Он обладает
широким спектром модулей различного назначения и возможностью построения
мультипроцессорных систем, высокой гибкостью благодаря простому использованию
распределенных систем ввода-вывода и мощным сетевым возможностям.
К его достоинствам также относятся простота конструкции и монтажа, работа
с естественным охлаждением, простота расширения при модернизации системы для
решения задач автоматизации средней и высокой сложности.
Система автоматизации S7-400 имеет модульную конструкцию. Он может
комплектоваться широким спектром модулей, в любом сочетании.
Во многих областях автоматизации предъявляются повышенные требования к
надежности ПЛК и непрерывности протекания процесса, особенно там, где простой
оборудования очень дорог. В подобных случаях только резервированные системы
могут отвечать необходимым требованиям к надежности. Программируемый контроллер
Simatic S7-400H отвечает подобным требованиям. Он способен продолжать работу в
случае возникновения одного или нескольких отказов в его компонентах.
Преимущества отказоустойчивого контроллера:
· прозрачное программирование. Программы могут быть написаны на
всех доступных для Simatic S7-400 языках. Программа, написанная для обычного
центрального процессора, может выполняться и центральным процессором
отказоустойчивого контроллера и наоборот. При написании программы учитываются
только технологические особенности объекта управления. Вопросы повышения
отказоустойчивости системы решаются операционной системой и аппаратной частью
контроллера;
· стандартная обработка данных. С точки зрения пользователя в
контроллере Simatic S7-400 есть только один центральный процессор и одна
программа;
· быстрое безударное переключение с ведущего на ведомый
процессор с типовым временем переключения 30 миллисекунд. На период
переключения операционная система исключает возможность потери данных или
сигналов прерываний;
· автоматическая синхронизация центральных процессоров после
замены одного из них. После замены одного из центральных процессоров
предусмотрено выполнение автоматической безударной синхронизации с передачей в
память включенного в работу процессора всех текущих данных, блоков данных, динамических
данных и т. д.;
· отказоустойчивая связь. В Simatic S7-400H реализован новый
вариант отказоустойчивой связи. Его механизм проверок и синхронизации исключает
возможность потери передаваемых данных. Отказоустойчивая связь может
осуществляться между контроллерами Simatic S7-400H или между Simatic S7-400H и компьютерами (например, WinCC
станциями), на которых установлено стандартное программное обеспечение.
Коммуникационный процессор CP 443-5 Extended. Он предназначен для
подключения контроллеров Simatic S7-400 к сети Profibus-DP и выполнения функций
ведущего сетевого устройства. CP 443-5 Extended разгружает центральный
процессор ПЛК от решения коммуникационных задач и упрощают подключение
контроллеров к Profibus-DP, выполнение функций связи S7, интерфейс
приемопередатчика Send/Receive сети. Он поддерживает коммуникационный обмен
данными по сети. С его помощью может поддерживаться связь со станциями
распределенного ввода-вывода ET 200, с программаторами, устройствами
человеко-машинного интерфейса, контроллерами Simatic S7/S5. Коммуникационный
процессор СР 443 Extended предоставляет пользователю следующие сервисные
возможности:
· коммуникационный обмен данными в сети Profibus-DP (в соответствии с EN 50 170);
· выполнение коммуникационных функций S7 (PG, OP, контроллеры S7);
· функции интерфейса приемопередатчика Send/Receive.
.3.2 Интерфейс PROFIBUS(PROcess FIeld BUS) - это промышленная сеть
полевого уровня, отвечающая требованиям части 2 европейских норм EN 50170 и
международного стандарта IEC 61158-3 Ed2. Она используется для организации
связи между программируемыми контроллерами с одной стороны, и станциями
распределенного ввода-вывода ET 200, устройствами человеко-машинного интерфейса
и другими приборами полевого уровня с другой. Кроме того, PROFIBUS позволяет
выполнять дистанционное программирование и конфигурирование систем
автоматизации, их отладку и диагностирование.позволяет использовать как
электрические, так и оптические каналы связи. В последнем случае существенно
возрастает стойкость сети к воздействию электромагнитных помех. Существенному
снижению затрат на построение оптоволоконных каналов связи способствует наличие
широкой гаммы интерфейсных модулей, коммуникационных процессоров и других
сетевых компонентов, оснащенных встроенным оптическим интерфейсом.позволяет
использовать следующие протоколы передачи данных:
· PROFIBUS-FMS (Fieldbus Message Specification - спецификация
сообщений полевого уровня); протокол PROFIBUS-FMS используется для решения
универсальных коммуникационных задач на полевом уровне;
· PROFIBUS-PA (Process Automation - автоматизация процессов)
используется для организации обмена данными с оборудованием, расположенным в
зонах повышенной опасности; c его
помощью производится передача данных по сети, отвечающей требованиям международного
стандарта IEC 1158-2, а также согласование работы сетей PROFIBUS-DP и
PROFIBUS-PA;
· PROFIBUS-DP (Distributed I/O stations - скоростной протокол
обмена данными с периферийным оборудованием) ориентирован на организацию связи
с устройствами распределенного ввода-вывода; он обеспечивает высокоскоростной
циклический обмен небольшими объемами данных.
Все протоколы могут быть использованы совместно в рамках одной сети.
Основными преимуществами сети PROFIBUS являются высокая степень готовности,
защита данных, стандартная структура сообщений и возможность свободного
подключения и отключения сетевых узлов во время работы сети.
.3.3 Станции распределенного ввода/вывода ET 200 M
В современных системах автоматизации получили признание распределенные
конфигурации ввода-вывода, которые существенно снижают затраты на прокладку
кабеля, значительно повышают гибкость и надежность системы автоматического
управления.
На полевом уровне передача данных осуществляется по стандартной шине
PROFIBUS-DP. На уровне датчиков и исполнительных механизмов для передачи данных
используется AS-интерфейс. Это позволяет производить надежный обмен данными
между всеми компонентами системы управления.200M - это модульная станция
ввода-вывода со степенью защиты IP 20. В ее составе могут использоваться
сигнальные, функциональные и коммуникационные модули программируемых
контроллеров S7-300. Кроме того, ET 200M может использоваться в резервированных
и обычных системах распределенного ввода-вывода программируемых контроллеров
SIMATIC S7-400H/ S7-400F/ S7-400FH.200M является пассивной станцией (ведомым
устройством) PROFIBUS-DP. Максимальная скорость передачи данных равна 12 Мбод.
Станция ET 200M может комплектоваться активными шинными модулями,
позволяющими производить замену модулей ввода-вывода без отключения питания.
.4 Перечень контролируемых параметров
Таблица 2.1 - Перечень контролируемых параметров
|
Наименование параметра
|
Позиция
|
|
Температура перевала (П-1)
|
TI-1
|
|
Температура перевала (П-2)
|
TI-2
|
|
Температура перевала (П-3)
|
TI-3
|
|
Температура сырья в К-2
|
TI-4
|
|
Температура газопродуктовой
смеси
|
TI-5
|
|
Расход сырья на входе
|
FI-10
|
|
Расход ВСГ из блока
аминовой очистки
|
FIA-11
|
|
Давление сырья на входе
|
PI-23
|
|
Давление в К-1
|
PIA-24
|
2.5 Перечень
регулируемых параметров
Таблица 2.2 - Перечень регулируемых параметров
|
Наименование
параметраПозиция
|
|
|
Температура верха К-2
|
TICA-6
|
|
Температура после П-1
|
TICA-7
|
|
Температура после П-2
|
TICA-8
|
|
Температура после П-3
|
TICA-9
|
|
Расход сырья после Н-1
|
FICA-12
|
|
Расход нестабильного
гидрогенизата
|
FIC-13
|
|
Расход стабильного
гидрогенизата
|
FIC-14
|
|
Расход орошения в К-2
|
FIC-15
|
|
Расход топливного газа в
П-1
|
FICA-16
|
|
Расход сырья в П-1
|
FICA-17
|
|
Расход топливного газа в
П-2
|
FICA-18
|
|
Продолжение таблицы 2.2
|
|
Наименование параметра
|
Позиция
|
|
Расход сырья в П-2
|
FICA-19
|
|
Расход топливного газа в
П-3
|
FICA-20
|
|
Расход продукта в П-3
|
FICA-21
|
|
Расход свежего ВСГ из блока
риформинга
|
FICA-22
|
|
Давление в емкости Е-1
|
PIRC-25
|
|
Уровень в буферной емкости
Е-3
|
LICA-26
|
|
Уровень сероводородной воды
в отстойнике емкости Е-3
|
LICA-27
|
|
Уровень в сепараторе С-1
|
LICA-28
|
|
Уровень в К-1
|
LICA-29
|
|
Уровень в емкости Е-2
|
LICA-30
|
3 Синтез АСР
.1 Обоснование выбора структурных схем АСР
Общая задача управления технологическим процессом - это минимизация
(максимизация) некоторого критерия (себестоимость, затраты энергии и т.д.) при
выполнении ограничений на технологические параметры, накладываемых регламентом.
Решение этой задачи для всего процесса в целом затруднительно (много
влияющих факторов), весь технологический процесс следует разбить на отдельные
участки, причем обычно участок соответствует законченной технологической
операции, имеющей свою подзадачу.
Технологические процессы одного типа (например, процессы нагрева) могут
отличаться исполнением аппаратуры, физико - химические свойствами участвующих в
них потоков сырья и т.д.
К числу типовых технологических параметров, подлежащих контролю и
регулированию, относят расход, уровень, давление, температуру и ряд показателей
качества.
Формальную модель объекта моделирования можно представить в виде
множества величин, описывающих процесс функционирования реального объекта и
образующих в общем случае следующие подмножества:
- x(t)совокупность
входных воздействий на объект
- f (t) совокупность
воздействий внешней среды
- y(t) совокупность
выходных характеристик объекта
Цель управления, в первую очередь, определяет ограничения на переменную
выхода объекта y(t). Неконтролируемые воздействия среды f(t), называемые
возмущениями, вызывают нежелательные отклонения выхода объекта.
Одним и тем же выходным параметром объекта управления можно управлять по
разным каналам. В этой работе будем рассматривать главный канал «расход воды -
концентрация щелочи » показанный на рисунке 3.1
x(t) - расход воды; y(t) - концентрация щёлочи; f(t) - воздействия
внешней среды; ОУ - смеситель Х-79
Рисунок 3.1 - Структурная схема объекта управления
Рассматривая данный объект как объект управления, определим его
передаточную функцию по выбранному каналу управления «расход воды -
концентрация щелочи ».
Выбираем замкнутую схему автоматической системы регулирования (АСР),
реализующую принцип регулирования по отклонению.
На рисунке 3.2 представлена структурная схема автоматизации системы
регулирования с одной регулируемой величиной построенная по этому принципу.
Рисунок 3.2 - Структурная схема АСР
ЗУ - задающее устройство/регулятор SIMATIC S7-200; Yз(t) - заданное значение регулируемой величины концентрации
щёлочи; ИУ - исполнительное устройство электропривод MODACT; x(t) - входное регулирующее воздействие; Объект управления -
Смеситель х-79 F1(t) - 1-е возмущение, Fn(t) - n-ое
возмущение; ε(t) -
величина рассогласования;u(t) - управляющее воздействие с
регулятора; r(t) - изменение состояние регулирующего органа;
Yт(t) - текущее значение регулируемой
величины; Датчик -
.2 Идентификация переходной функции объекта управления
Экспериментальным путем на реально действующем объекте построены графики
переходного процесса (рисунок 3.3 и рисунок 3.4).
Подается ступенчатое воздействие на вход x(t) - расход воды
на входе в смеситель от 55 м3/ч до 100 м3/ч
На рисунке 3.3 представлен график скачкообразного входного воздействия х(t).
Рисунок 3.3 - График скачкообразного входного воздействия х(t)
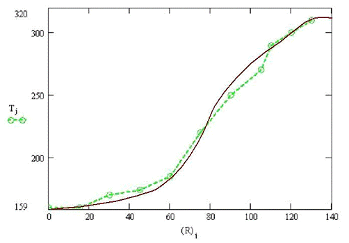
После чего данные выходной величины Т(t) - температура этилена на выходе из реактора заносятся в
таблицу 3.1.
Таблица 3.1 - Экспериментальные данные для построения переходной функции
объекта управления
|
t, сек
|
0
|
15
|
30
|
45
|
60
|
75
|
90
|
100
|
110
|
120
|
|
Т(t), МПа
|
160
|
160
|
170
|
185
|
220
|
250
|
270
|
290
|
300
|
310
|
По данным таблицы 3.1 строится переходная функция объекта управления Т(t) (рисунок 3.4).
Рисунок 3.4 - Переходная функция объекта управления Т(t)
На основании экспериментальной переходной функции объекта управления (ОУ)
(рисунок 3.4) графическим путем определяют передаточную функцию объекта.
Вид переходной функции ОУ позволяет сделать вывод, что с достаточной для
практических задач точностью данный объект можно аппроксимировать звеном
чистого запаздывания и апериодическим звеном первого порядка. Таким образом
выражение для периодической функции ОУ будет иметь вид:
где К = 1,8;
Т = 88;
τ = 15.
С помощью Matcad перешли от
передаточной функции (формула 3.1) к переходной функции объекта управления Т(t).
Провели
идентификацию кривой переходного процесса h(t) с
экспериментальной переходной функцией объекта Т(t). На рисунке
3.5 представлены обе кривые.
С
использованием математической модели объекта рассчитаны параметры настройки
типовых регуляторов.
Так
как производство полиэтилена является достаточно опасным, то предложено выбрать
универсальный ПИД - регулятор.
С
помощью формульного метода рассчитаны коэффициенты ПИД - регулятора:
Кр
= 3,1; Ти = 36; Тд = 6
Далее
определяется переходная функция разомкнутой системы, включающая в себя ПИД -
регулятор и объект управления (в том числе исполнительный механизм).
-
экспериментальная функция переходного процесса Т(t); 2 -
расчетная переходная функция h(t)
Рисунок
3.5 - Идентификация экспериментальной и расчетной переходных функций
С
помощью Matcad вычислили передаточную функцию разомкнутой системы и
построили годограф Найквиста, который показывает, что замкнутая система
является устойчивой, если годограф разомкнутой системы не охватывает точку с
координатами (-1; i0).
По
годографу (рисунок 3.6) графическим путем рассчитывается запас устойчивости
замкнутой системы по фазе и амплитуде:
запас
устойчивости замкнутой системы по фазе gС = 40о;
- частота среза wСР= 0,7 рад/мин;
запас устойчивости по амплитуде b = 1,4
Рисунок 3.6 - Годограф Найквиста разомкнутой системы
Строится переходная функция замкнутой системы (рисунок 3.2), график
которой представлен на рисунке 3.7.
Вычисления проведены с помощью Matcad.
Переходные
процессы в автоматических системах должны не только быть устойчивыми, но и
удовлетворять показателям качества, определяемым алгоритмом функционирования.
Рисунок
3.7 - График переходной функции замкнутой системы
Показатели качества - величины, характеризующие поведение системы в
переходном процессе, вызванном определенным внешним воздействием.
По графику переходного процесса определяем следующие показатели качества:
1) время регулирования tрег.
Время регулирования определяется как время, при достижении которого
выходная величина достигает 95% от установившегося значения и больше не выходит
за диапазон 95%-105%. Время регулирования примерно равняется tрег=47 секунд;
2) степень затухания y.
Степенью затухания y
называется отношение разности приращений относительно установившегося значения
двух соседних однонаправленных амплитуд одного знака кривой переходного
процесса к большей из них, y определяется по формуле:
Подставляя числовые значения, получим:
3) Перерегулирование s.
Перерегулирование показывает максимальное отклонение выходной величины Тmax(t) от установившегося значения Туст(t). Значение s вычисляем по формуле:
Подставляя числовые значения, получим:
Анализируя показатели качества переходного процесса в замкнутой системе,
убеждаемся в правильности синтеза рассматриваемой системы.
4
Безопасность жизнедеятельности
4.1 Анализ
опасных и вредных факторов при эксплуатации производственного оборудования
Установка каталитического риформинга предназначена для получения
высокооктановых компонентов автомобильных бензинов.На установке применяются
продукты, которые являются горючими веществами. Большинство из них имеет низкую
температуру вспышки. К ним относятся: водородсодержащий и углеводородный газ,
пары бензина, которые с кислородом воздуха образуют смеси, взрывающиеся при
наличии источника воспламенения.
Наличие аппаратов, работающих при высоком давлении и температуре
(давление до 3 МПа; температура до 530°С) и содержащихбольшое количество нефтепродуктов в
газообразном состоянии, создает опасность загазованности территории, что может
привести к объемному взрыву или отравлениям.
Характеристика
опасности установки:
¾ категория взрывоопасности - 1;
¾ общий энергетический потенциал - 1207×106кДж;
¾ относительный энергетический потенциал - 63,6Qв;
¾ приведенная масса горючих паров взрывоопасного облака -
26239кг;
¾ давление - 30кг/см2;
¾ температура - 530°С.
Процесс относится к вредным для здоровья обслуживающего персонала
производствам, так как связан с переработкой и получением продуктов, являющихся
токсичными веществами.
Основными причинами, которые могут повлечь за собой создание аварийной
обстановки и угрозу обслуживающему персоналу, являются:
¾ неправильная эксплуатация оборудования;
¾ нарушение герметичности оборудования;
¾ нарушение технологического режима.
Для предотвращения чрезвычайной ситуации, для обеспечения безопасной
работы обслуживающего персонала необходимо на стадии проектирования и
строительства предусмотреть мероприятия, которые бы способствовали устойчивой
работе объекта, уменьшали влияние негативных факторов на рабочих и служащих и
обеспечивали бы комфортные условия труда.
.2 Выбор
средств по обеспечениюэлектробезопасности
На установке имеется различное электрооборудование, средства измерения и
контроля, двигатели насосов, вентиляторов, силовые высоковольтные кабели. В
результате замыканий на корпус или разрушения изоляции существует вероятность
поражения рабочего персонала электрическим током. Для защиты людей от поражения
электрическим током, согласно ГОСТ 12.1.030-81 «Электробезопасность. Защитное
заземление, зануление», необходимо использовать заземляющее устройство.
Заземлить все нетоковедущие части технологического оборудования, которые
могут оказаться под напряжением из-за повреждения изоляции. Щиты и пульты всех
назначений, на которых устанавливаются приборы и другие средства автоматизации
подлежат заземлению. Для заземления приборов с выводами типа «Земля» внутри
щитов и пультов предусмотреть заземляющую рейку, соединение с которой
выполняется проводами сечением не менее 1,5 мм2.
На установке имеются материалы, такие как катализаторная пыль, и
аппараты, являющиеся источником статического электричества. Поэтому согласно
ГОСТ 12.1.018-79 ССБТ «Статическое электричество. Искробезопасность. Общие
требования.» необходимо предусмотреть следующие мероприятия по защите от
статического электричества:
¾ отвод зарядов путем заземления оборудования и коммуникаций;
¾ скорость движения продуктов в аппаратах и трубопроводах не
должна превышать значений, предусмотренных проектом;
¾ каждая система аппаратов, трубопроводов металлические
вентиляционные короба и кожуха термоизоляция трубопроводов и аппаратов в
пределах цеха, а также на наружных установках и эстакадах должна представлять
непрерывную электрическую цепь на всем её протяжении и необходимо присоединить
к контуру заземления не менее чем в двух местах.
Согласно «Инструкции по устройствумолниезащиты зданий и сооруже-ний» РД
34.21.122-87 выполнить защиту от прямых ударов молнии.
Устройства питающиеся от напряжения 380/220В или 220/127Вв электроустановках
с заземленной нейтральюподлежат защитномузанулению.
Принципиальная схема зануления приведена на рисунке 4.1
Рисунок4.1 - Принципиальная схема зануления
Электропитание осуществляется по трехжильному кабелю от сухого
трансформатора с вторичным напряжением 400/230В; для защиты электродвигателя с
короткозамкнутым ротором установлены плавкие предохранители с кратностью тока E = 4, в кабеле использованы медные
жилы.
Трансформатор мощностью S=1000кВА,
соединение обмоток Y/Y0, напряжение на высокой стороне 6кВ.
Номинальная мощность электродвигателя Рд=70кВт. Длина проводов lп=400м.
Определение сечения фазных проводов по току нагрузки
зануляемойэлектроустановки.
ТокнагрузкиIд,электродвигателя:

, (4.1)
где
Uн=400В- номинальное линейное напряжение;
сosφ=0,93 - коэффициент мощности электродвигателя;
ηд=0,92 -коэффициент полезного
действия электродвигателя.
Расчетный ток плавкойвставки:

,(4.2)
где
Iп- пусковой ток.
По
величине Iпв принимаем проектный ток плавкой вставки и выбираем плавкий
предохранитель ПН-2-400 с номинальным током плавкой вставки 300А.
По таблице 1.3.5 работы [11] выбираемсечение фазных проводовSфп = 50мм2.
Требуемый по ПУЭ [11] ток однофазного короткого замыкания:

(4.3)
Сопротивление петли "фаза-нуль":

, (4.4)
гдеRф=ρ ∙ ln/Sф=0,018∙300/95=0,057Ом - активное
сопротивление фазного
проводника;нзп - активное сопротивление нулевого защитного проводника;
Хф - внутреннее сопротивление фазного проводника;
Хнзп - внутреннее индуктивное сопротивление нулевого защитного
проводника;
Хп - внешнее индуктивное сопротивление.
В качестве нулевого защитного проводника выберем жилу кабеля сечением:изп³0,5∙Sфп³0,5∙50=25мм2, по таблице 1.3.5
работы [11] принимаем Sизп=25мм2)
Тогда:Rнзп=0,018∙300/25=0,216Ом,авеличинамиХнзп,Хп и
Хфпренебрегаемиз-за их малых величин:
Ом.(4.5)
Фактический
ток при однофазном коротком замыкании
:

(4.6)
где
Zт/3 - полное сопротивление трансформатора равное 0,009Омпо
таблице
7.3 [6] для сухих трансформаторов;
Uф- фазное
напряжение.
Полученное
значение 
=764А
сравниваем с
=1200А.

-условие
не выполняется, следовательно, нужно вместо предохранителя нужно применить
автомат с кратностью токаЕ = 1,25.
Тогда:

, (4.7)

- условие
выполняется, следовательно отключающая способность конструируемого зануления
обеспечена.
Потребное сопротивление заземляющего устройства нейтрали трансформатора:
где Rзм- сопротивление замыкания фазы на
землю (Rзм³ 20Ом);пр.доп=20В- предельно допустимое напряжение
прикосновения,
выбирается по таблице 2 работы [12];
Rо=0,19Ом<Rн о=4Ом- условие выполняется.
Конструктивное решение по результатам расчета.
Таким решением является схема зануления цеховой электросети 400/230В для
конкретного электродвигателя с расчетными данными.
Присоединение нейтрали генератора, трансформатора на стороне до 1кВ к
заземлителю или ЗУ при помощи зануляющего проводника сечением не менее
,5мм2 для алюминиевого изолированного проводника, заземляющее устройство
располагается в непосредственной близости от генератора или трансформатора. Его
сопротивление в любое время года не должно превышать 4Ом.
Присоединение зануляемых частей электроустановки или других установок к
глухозаземленным нейтральной точке, выводу или средней точке обмоток источника
тока при помощи нулевого защитного проводника. Его проводимостьдолжна быть не
менее 50% проводимости вывода фаз. Этот проводник должен быть выполнен:
¾ при выводе фаз шинами - шиной на изоляторах;
¾ при выводе фаз кабелем - жилой кабеля. В кабелях с
алюминиевой оболочкой допускается использовать ее в качестве нулевого защитного
проводника вместо четвертой жилы.
4.3
Производственный шум и вибрация
На установке имеется такое технологическое оборудование как компрессоры,
насосы, которые при работе создают шум и вибрацию. Допустимый уровень параметра
шума на постоянном рабочем месте определен санитарными нормами СанПиН
2.24/2.1.8.562-93 «Шум на рабочих местах, в помещениях жилых, общественных
зданий и на территориях жилой застройки» и не должен превышать
предельно-допустимого (80 децибел).
Для уменьшения влияния шума и вибрации на человека необходимо установить
компрессорное и насосное оборудование в отдельных помещениях. С целью защиты
органов слуха, а значит и нервной системы, в соответствии с ГОСТ 12.1.029-80
«Средства и методы защиты от шума. Классификация», применять следующие
средства: противошумные наушники, вкладыши, шлемы, каски и т.д.
Одним из способов ослабления шума, проникающего через ограждения является
звукоизоляция. Ее осуществляют путем устройств ограждающих конструкций: стен,
перегородок, перекрытий, кожухов, экранов, а также устранением побочных путей
распространения звука (отверстий, щелей и т.п.).
Изоляцию от шума, распространяющегося от конструкций здания, выполняют
путем ослабления жесткой связи источника шума с конструктивными элементами
здания (фундаментом, перекрытием, стенами) и снижения проводимости шума по
конструкции (акустические разрывы).
.4 Расчет эффективности звукопоглощения
Облицовка внутренних поверхностей производственных помещений
звукопоглощающими материалами обеспечивает значительное снижение шума.
Звукопоглощение характеризуют коэффициентом звукопоглощения, который
представляет собой отношение энергии, поглощенной 1 м2 поверхности, к падающей
на эту поверхность энергии. Использовать звукопоглощение целесообразно, если
коэффициент звукопоглощения материала не менее 0,2. Максимальное
звукопоглощение достигается при облицовке не менее 60 % общей площади
ограждающих поверхностей помещения (без учета площади окон).
Требуется произвести расчет звукопоглощения в производственном помещении
(операторной), где оборудование излучает шум (L1, дБ), превышающий предельно допустимый уровень. Для
определения эффективности звукопоглощения необходимые исходные данные приводятся
в таблице 4.1 и предполагается, что потолок и 80% площади стен облицованы
звукопоглощающим материалом с коэффициентом звукопоглощенияам. Первоначально
стены помещения выполнены из кирпича (ак= 0,035), перекрытия - из бетона (аб=
0,016). Общая площадь застекления Sо(ас = 0,027). Уровень шума в операторской до акустической обработки
составляет L1 = 96 дБ. Предельно допустимый уровень шума в операторской
составляет Lпду= 78 дБ., при частоте f = 60 Гц.
Таблица 4.1 - Исходные данные для расчета эффективности звукопоглощения
|
Длина
|
Ширина
|
Высота
|
Площадь
|
Уровень
|
Частота
|
Коэффициент
|
|
помещения,
|
помещения,
|
помещения,
|
помещения
|
шума
|
шума,
|
звукопоглощения
|
|
А, м
|
В,м
|
Н, м
|
Sо,м2
|
L1,дБ
|
f,Гц
|
ам ,дБ
|
|
20
|
10
|
5
|
36
|
96
|
1000 (60)
|
0,90
|
Эффективность звукопоглощения (ΔL, дБ) определяется по формуле:


, (4.9)
где
А1 и А2, м2 - звукопоглощающая поверхность до и после акустической обработки
помещения.
Определим
звукопоглощающую поверхность, м2, в производственном помещении до акустической
обработки А1 :
А1= а1S1 + а2 . S2
+... + ап Sn,,
(4.10)
где а1, а2,…аn - коэффициенты
звукопоглощения строительных материалов,
дБ;
S1, S2, ...Sn- площади стен, потолка, окон и т.д., м2.
Звукопоглощающая поверхность в помещении, м2, после акустической
обработки определяется по формуле:
А2=a(S1+S2+Sп), (4.11)
где а - коэффициент звукопоглощения выбранного материала, дБ;
Sj, S2, S„ - площади, обработанные звукопоглощающим материалом, м2.
Звукопоглощающую поверхность находят из выражения:
A=S · а,(4.12)
где S - площадь потолка, стен, окон, м2;
а-коэффициент звукопоглощения соответствующего материала.
Чтобы найти А1, надо вычислить площадь (S1):
S1 = А∙
В ∙ Н = 20·10·5 = 1000 м2, тогда
А1 = S1 · а1, (4.13)
А1 = 1000 ·0,90 = 900 м2.
Чтобы найти А2, надо вычислить площадь (S2):
S2 =
20 · 0,035· 10· 0,016· 5 · 0,027 = 0,015· 80% = 0,012 м2,
А2 = S2 · а2 ,(4.14)
А2 = 0,012 ·0,078 = 0,0009 м2.
Найдем эффективность звукопоглощения:


.
Определим
уровень шума после акустической обработки:
L2 = L1 - ΔL = 96 - 60 = 36 дБ.
Обработка
помещения считается целесообразной, если уровень шума в помещении снижается до
Lпду. = 78 дБ. В данном примере акустическая обработка помещения достаточно
эффективна.
Снижение
шума методом звукопоглощения основано на переходе энергии звуковых колебаний
частиц воздуха в теплоту вследствие потерь на трение в порах звукопоглощающего
материала. Чем больше звуковой энергии поглощается, тем меньше ее отражается
обратно в помещение. Поэтому для снижения шума в помещении проводят его
акустическую обработку, нанося звукопоглощающие материалы на внутренние
поверхности, а также размещая в помещении штучные звукопоглотители.
Эффективность
звукопоглощающего устройства характеризуется коэффициентом звукопоглощения а,
который представляет собой отношение поглощенной звуковой энергии Епоглк
падающей Епал:
а=Епогл
⁄ Епал.(4.15)
Приа
= 0 вся энергия отражается без поглощения, при а = 1 вся энергия поглощается
(эффект «открытого окна»). Коэффициент, а зависит от частоты звуковых волн и
угла их падения на конструкцию.
Звукопоглощающие
устройства бывают пористыми, пористо-волокнистыми, с экраном, мембранные,
слоистые, резонансные и объемные. Эффективность применения различных
звукопоглощающих устройств определяется в результате акустического расчета с
учетом требования СНиП П-12-77. Для достижения максимального эффекта
рекомендуется облицовывать не менее 60 % общей площади ограждающих
поверхностей, а объемные (штучные) звукопоглотители - располагать как можно
ближе к источнику шума.
Максимальное
снижение уровня шума в отраженном поле с помощью акустической обработки
внутренних поверхностей помещения практически не превышает 6...8 дБ, достигая в
отдельных полосах частот 10...12 дБ.
Акустическая
обработка обязательно должна применяться в шумных цехах машиностроительных
заводов, насосных и компрессорных цехах, цехах ткацких фабрик, машинных залах
вычислительных центров и др.
4.5 Взрыво- и
пожаробезопасность предприятия
Поскольку в данном производстве участвуют вещества, способные взрываться
и гореть при взаимодействии кислородом воздуха в таком количестве, что
расчетное избыточное давление взрыва в помещении превышает 5 кПа, то установка
по пожарной опасности относится к категорииАв соответствии с НПБ 105-95
«Определение категорий помещений и зданий по взрывопожарной и пожарной
опасности», а также с НПБ 107-97 «Определение категорий наружных установок по
пожарной безопасности».
В таблице 4.2 приведены данные по категорированию зданий, помещений,
объектов блока подготовки сырья установки каталитического риформинга;
наименования веществ, определяющих категорию и группу взрывоопасных смесей; а
также средства ликвидации огня.
Таблица 4.2 Взрывопожарная и пожарная опасность, санитарная
характеристика производственных зданий, помещений и наружных установок
|
Наименование
производственных зданий, наружных установок
|
Категории помещений и
зданий по взрывопожарной и пожарной опасности НПБ-105-95, НПБ-107-97
|
Классификация зон внутри и
вне помещений для выбора и установки электрооборудования по ПУЭ
|
Группа производственных
процессов по санитарной характеристике (СН и П-2.09.04-87)
|
Средства пожаротушения
|
|
|
Класс взрывоопасной зоны
|
Категория, группа
взрывоопасных смесей
|
Наименование веществ,
определяющих категорию и группу взрывоопасных смесей
|
|
|
|
Наружная установка
|
Ан
|
В-1г
|
IIА-Т3 IIС-Т1
|
бензин фракция НК-160 оС,
углеводородный газ, водородсодержащий газ
|
2г
|
Пожарные гидранты, ОПУ-5,
ОПУ-10, лафетные стволы, кольца орошения
|
|
Компрессорная
|
А
|
В-1а
|
IIС-Т1
|
водородсодержащий газ
|
1б
|
Пожарные краны и рукава,
ОПУ-5, ОПУ-10
|
|
Насосная
|
Ан
|
В-1г
|
IIА-Т3
|
бензин фракция НК-160оС
|
2г
|
Пожарные гидранты, ОПУ-5,
ОПУ-10
|
|
Операторная
|
Г
|
нормально
|
-
|
|
1а
|
|
|
Печи
|
Гн
|
-
|
-
|
бензин фракция НК-160 оС,
углеводородный газ, водородсодержащий газ
|
2г
|
Паротушение, паровые завесы
|
Для обеспечения противопожарной защиты установки предпринять следующие
меры:
¾ вокруг и внутри установки проложить сеть противопожарного
водопровода, закольцованного сетями завода. Пожарные гидранты установить на
расстоянии не более 80 м друг от друга (внутри установки 3 шт.);
¾ для защиты площадок и этажерок с оборудованием, содержащим
горючие жидкости и газы, установить лафетные стволы в количестве 9 штук,
подсоединенные к сети противопожарного водопровода, находящиеся на расстоянии
согласно требованиям ВУПП-88;
¾ для ликвидации местных очагов пожара создать полустационарную
систему пожаротушения, состоящую из водопровода с вентилями для подсоединения
шлангов;
¾ на установке разместить необходимое количество пожарных
извещателей, а в операторной установить оперативную телефонную связь с пожарной
охраной;
¾ в помещениях компрессорных установить сигнализаторы
взрывоопасной концентрации на водород.
Для тушения возможных загораний на установке иметь первичные средства:
¾ огнетушитель ОПУ-5(10), ОП-50 использовать при загорании
небольших количеств разлитых продуктов, ветоши, деревянных предметов и прочего
горючего материала;
¾ огнетушители углекислотные ОУ-5, ОУ-2 использовать при
тушении электрооборудования
¾ песок, кошму использовать для тушения разлитых
нефтепродуктов, загоревшихся сальниковых уплотнений и запорной арматуры.
Для обеспечения взрывобезопасности использовать автоматическую систему
противоаварийной защиты. Все блоки технологической установки рассматривать как
автономные узлы, разделить их отсечными клапанами. Обеспечить подачу пара в
камеры сгорания печей, паровую завесу печей. Иметь систему аварийного
освобождения аппаратов от нефтепродукта в заглубленную емкость.
Для блоков 1, 2 категории взрывоопасности разработать специальные меры:
¾ обеспечить установку системами АСУ и ПАЗ с применением
микропроцессорной техники для автоматического регулирования процессом и
безаварийного пуска и останова;
¾ система управления и ПАЗ по быстродействию должна
соответствовать скоростям изменения параметров процесса;
¾ создать резерв всех технических средств автоматизации и вести
диагностику состояния системы ПАЗ;
¾ установить в помещениях аварийную вентиляцию.
5 Экономическая часть
.1 Расчет себестоимости разработки программного обеспечения
В данном разделе дипломного проекта определяется экономический эффект и
срок окупаемости разработанной системы автоматизации.
Внедрение новых средств автоматизации и контроля в промышленности
оправдано, если оно сопровождается дополнительным экономическим эффектом, а
именно прибылью, снижением затрат на производство продукции, ростом
производительности труда.
В настоящем разделе приводится экономическое обоснование внедрения
предлагаемой АСУ ТП блока подготовки сырья установки каталитического
риформинга.
Себестоимость представляет собой сумму затрат на разработку и расходов на
содержание и эксплуатацию оборудования, используемого при внедрении программного
продукта. Расчет себестоимости разработки программы производится по формуле
(1).
, (1)
где С - себестоимость программы, руб.;
Зр - заработная плата разработчика, руб. и отчисления на социальное
страхование, руб.; Рэ - расходы на эксплуатацию оборудования, руб.; Нр -
накладные расходы (50% от основной заработной платы разработчика), руб.
На разработку программы было затрачено 40 дней, из них с использованием
ЭВМ - 20,5 дней. Учитывая, что число часов работы в день равно 8, на разработку
программы было затрачено 320 часов, из них 164 часа - время работы на ЭВМ.
Данные для расчета себестоимости АИС сведем в таблицу 2.
Данные для расчета себестоимости АИС
|
Показатель
|
Ед.изм.
|
Значения
|
|
Трудоемкость создания
программы
|
час
|
320
|
|
Трудоемкость работ на ПЭВМ
|
час
|
160
|
|
Месячная заработная плата
техника-программиста
|
руб
|
12000
|
|
Потребляемая энергия
|
квт/ч
|
0,4
|
|
Годовая норма амортизации
|
%
|
20
|
|
Стоимость оборудования
|
руб
|
25000
|
|
Годовой фонд рабочего
времени оборудования за вычетом простоев в ремонте
|
час
|
1860
|
|
Годовая зарплата
обслуживающего персонала (1 инженер по обслуживанию ЭВМ)
|
руб
|
96000
|
Заработная плата разработчика складывается из основной заработной платы
программиста за время разработки программы, дополнительной заработной платы,
отчислений на социальное страхование и рассчитывается по формуле (2).
, (2)
где Зо - основная заработная плата программиста за время разработки
программы, руб.; Здоп - дополнительная заработная плата, руб. (принять 50% от
основной); Осоц - отчисления на социальное страхование, руб. (26 % от суммы Зо
и Здоп). Заработная плата программиста за период разработки программы
вычисляется по формуле (3)
, (3)
Где Сч - заработная плата за один час работы специалиста, руб.; Тпр -
время затраченное на создание программы, час.; Тпр может быть технически
обоснованным и определяться на основе нормативных документов или опытно -
статистически. Расчет стоимости 1 часа работы программиста производится по
формуле (4).
, (4)
Где Зпм - заработная плата программиста за месяц, (14000 руб); N -
количество рабочих дней в месяце, дни (22 дня); 8 - продолжительность рабочего
дня, час.
Основная
заработная плата программиста за время разработки программы рассчитывается по
формуле (3):
Таким
образом, заработная плата разработчика с учетом дополнительной заработной платы
и отчислений на социальное страхование составляет:
Расходы
на эксплуатацию оборудования вычисляются по формуле (5).
, (5)
где
Сэн - стоимость электроэнергии, руб.; Ао - сумма амортизации за время разработки
программы, руб.; Срем - стоимость ремонта оборудования, руб.; Зоп - заработная
плата обслуживающего персонала за время разработки программы, (руб.) Стоимость
электроэнергии вычисляется по формуле (6).
, (6)
где
Мпр - электроэнергия, потребляемая вычислительной машиной, кВт/час; Тм -
машинное время, затраченное на создание программы, час. (принять 50% от Тпр);
Сквт/ч - стоимость одного квт/ч, (2,28 руб.)
Сумма
амортизации за период разработки программы вычисляется линейным методом по
формуле (7).
, (7)
Где
На - годовая норма амортизации, %; Соб - стоимость оборудования, руб.; Фд -
годовой фонд рабочего времени оборудования, час. Определяется по формуле 9.
Фд = ((365-С-В-Пр)х8-ППрх1) х S х (1-а/100), (8)
где 365 - количество календарных дней в году; С,В,Пр - количество
нерабочих дней в году: субботних, воскресных и праздничных; 8 - длительность
смены, ч; S - количество смен работы
оборудования в сутки; а - процент потерь времени на ремонт оборудования
(принять а = 3-5%)
Стоимость
ремонта оборудования за период создания программы определяется по формуле (10).
, (10)
Где Нр - величина отпускаемых средств на ремонт вычислительной техники
относительно стоимости этой техники, % (принять 2-4%); Соб - стоимость
оборудования, руб.
Заработная
плата обслуживающего персонала за время разработки программы рассчитывается по
формуле (11).
, (11)
где
Зоп.о - основная заработная плата обслуживающего персонала за выполненную работу,
руб.; Зоп.доп - дополнительная заработная плата обслуживающего персонала, руб.
(20% от основной); Осоц - отчисления на социальное страхование, руб. (26% от
основной и дополнительной заработной платы) Основная заработная плата
обслуживающего персонала за время разработки программы определяется по формуле
(12).
, (12)
где
n - количество обслуживаемых ПЭВМ, шт.; Зоп.год - годовая заработная плата
обслуживающего персонала по категориям работников, руб. Трудоемкость программы
может определяться либо по нормативам, либо по экспертным оценкам, то есть на
основании опытно-статистических данных специалистов-программистов, дающих
пессимистические, оптимистические оценки.
Таким
образом, заработная плата обслуживающего персонала за время создания программы
составляет:
Расходы
на эксплуатацию оборудования вычисляются по формуле
и
составляют:
Накладные
расходы составляют 50% от Зо:
По
итогам проведенных расчетов себестоимость программы составляет:
Стоимость
1 часа работы программиста, рассчитанная по формуле (4), составляет:
В себестоимость разработки включаются следующие затраты:
· материальные затраты;
· оплата труда;
· отчисления на заработную плату;
· амортизационные отчисления;
· прочие расходы.
Для разработки математической модели и программного обеспечения АСУТП и
АРМ оператора применялись:
· компьютер DURON 900 стоимостью 9300 руб.;
· монитор SAMSUNG 17” стоимостью 7000 руб.;
· принтер HP Laser Jet 1200 стоимостью 8600 руб.
Продолжительность разработки - 5 месяцев.
Определяется балансовая стоимость оборудования (СБ), то есть затраты на
приобретение оборудования:
CБ = Σ
Цi Ki + ТР
где СБ - балансовая стоимость ;
Цi - цена оборудования;
Ki -
количество оборудования;
ТР - расходы на транспортировку и установку.
ТР = 1 % (Σ Цi Ki). (5.2)
ТР
= (9300
1+7000
1+8600
1)
0,01=249
руб.
CБ = 24900 + 249
= 25149 руб = ЗОБ
Данные
о затратах на материал (ЗМ) представлены в таблице 5.1.
Таблица
5.1 - Затраты на материал
|
Наименование
|
Расходы в руб.
|
|
Дискеты 10 шт.
|
120
|
|
Бумага 500 лист.
|
100
|
|
СD диски 2 шт.
|
50
|
|
Документация
|
300
|
|
Итого ЗМ
|
570
|
Амортизационные отчисления (АО).
Рассчитываются амортизационные отчисления для ПЭВМ и периферийных
устройств за год:
где СБ - балансовая стоимость оборудования;
А - норма амортизации, равная 20%.
Далее
определяются амортизационные отчисления за период разработки:
где
ТР - период разработки.
Расходы
на содержание и эксплуатацию оборудования.
В
частности это расходы на электроэнергию, которые определяются следующим
образом:
где
Зэл - затраты на электроэнергию;
Тр
- продолжительность разработки в часах за 5 месяцев;
С1 - стоимость электроэнергии 1кВт/ч;
ΣW - суммарная паспортная мощность ПЭВМ, периферийных
устройств и осветительных приборов (кВт);
КГ - коэффициент готовности, КГ = 0,9.
Заработная плата персонала:
На разработку ушло 5 месяцев. Оклад разработчика составляет 6500 руб.
ЗП
= оклад
продолжительность разработки = 6500
5 = 32500 руб.
С
учетом районных выплат:
ЗП
= 32500
1,15 = 37375 руб.
Отчисления
по единому социальному налогу (взнос), НОТЧ =35,8%:
ОТЧ = ЗП × НОТЧ
где ЗП - общий фонд заработной платы.
ОТЧ = 37375 · 0,358 = 13380 руб.
Себестоимость разработки СС равна:
СС = ЗМ + ЗП + ОТЧ + АО + ЗОБ + ЗЭЛ
где ЗМ - затраты на материалы;
ЗП - полный фонд заработной платы;
ОТЧ - отчисления по единому социальному налогу;
АО - амортизационные отчисления;
ЗЭЛ - расходы на содержание;
ЗОБ - затраты на покупку оборудования.
СС = 570+37375+13380+2096+381+25149 = 78951 руб.
5.2 Определение цены программного продукта
Программа разрабатывалась для одного заказчика, ее цену рассчитывают по
формуле:
где
НПРИБ - норма прибыли, составляющая 15-30 % от себестоимости
разработки;
НДС
- налог на добавленную стоимость, составляющий 18%.
НПРИБ = 78951 · 0,18 = 14211 руб.
Рассчитанная цена может быть скорректирована в зависимости от степени
риска (производственного и коммерческого), конкуренции со стороны
альтернативных программных продуктов, монополизации рынка продукции, в
производство которой внедряется новая программная разработка.
Производственный риск связан с тем, что потребитель может не реализовать
тех производственных показателей, которых предполагалось достичь в случае
применения программного продукта. По имеющимся оценкам, вероятность того, что
доработка и внедрение технологии не обеспечит расчетных показателей, колеблется
от 1-2%.
.3 Расчет экономического эффекта и срока окупаемости
На установке каталитического риформинга в течение года производится в
среднем 69687 т бензина каталитического риформирования за вычетом 45 дней
простоя установки в период регенерации катализатора. Средняя стоимость 1 т
готовой продукции равна 11500 руб без учета НДС. Себестоимость бензина
каталитического риформирования равна 4720 руб за 1 т .
Прибыль с каждой тонны бензина равна:
Пр0 = 11500-2070- 4720=4710 руб/год.
Выход целевого продукта в год составляет Q1 = 69687 т. Внедрение на установке интегрированной АСУТП
предположительно может привести к 0,5 процентному увеличению выхода продукции
за счет использования интеллектуального анализа данных при подборе
технологического режима. В результате выход целевого продукта в год составит Q2 = 70035,435 т.
В таблице 5.2 приведены статьи капиталовложений завода на внедрение
нового оборудования на установке.
Таблица 5.2 - Статьи затрат
|
Капиталовложения
|
Расходы, руб.
|
|
Разработка АРМ-оператора,
программного обеспечения АСУТП блока подготовки сырья.
|
119374
|
|
WinCC. Системное
программное обеспечение. Контроллер S7-400H фирмы Siemens. Промышленный компьютер: PentiumIII-600, 256 MB ECC RAM, 10.4 GB Ultra Wide
SCSI-2 HDD 1 шт. UPS Источник бесперебойного
питания. Сетевое оборудование. Шкаф управления со всем вспомогательным
оборудованием.
|
1510000
|
|
Итого З1
|
1629374
|
Определяется балансовая стоимость оборудования (СБ).
CБ = Σ
Цi Ki + ТР
где СБ - балансовая стоимость ;
Цi - цена оборудования;
Ki -
количество оборудования;
ТР - расходы на транспортировку и установку.
ТР
= 8-12 % (Σ
Цi Ki) =
1510000
0,1=151000 руб.
CБ = Σ
Цi Ki + Т Р = 1510000 + 151000 = 1661000 руб.
Затраты на тару и упаковку определяются в размере 1% от стоимости:
З2
= 1510000
0,01 = 15100 руб.
Заготовительно-складские расходы определяются в размере 1,2 % от
стоимости оборудования и расходов на тару и упаковку:
З3
= 0,012
(1510000 +15100) = 18301 руб.
Стоимость
работ по монтажу определяются в размере 20 % от стоимости оборудования:
З4
= 1510000
0,2 = 302000 руб.
Полная
сметная стоимость монтажа учитывает стоимость неучтенных материалов,
определяется в размере 6% от стоимости оборудования, тары, доставки и
заготовительно-складских расходов:
З5
= 302000+0,06*(1510000+15100+151000+18301) = 403664 руб.
Накладные расходы определяются по заработной плате рабочих, участвующих в
монтаже (70 % от заработной платы). Предположим, что монтаж ведут 3 слесарей 6
разряда в течении 10 дней. Тарифная ставка равна 43,75 руб, премия
предусматривается в размере 20 %. Тогда заработная плата рабочих с учетом
уральского коэффициента равна:
З6
= 43,75
8
3
10
1,15
1,2 = 14490 руб.
Накладные
расходы:
З7
= 14490 · 0,7 = 10143 руб.
Единовременные
затраты складываются из всех затрат:
К
= З1+ТР+З2+З3+З4+З5+З6+З7 (5.10)
К
=1629374+151000+15100+18301+302000+403664+14490+10143 =
руб.
Дополнительные эксплуатационные затраты складываются из затрат на текущий
ремонт, которые составляют 3% от единовременных затрат, и расходов на
содержание и эксплуатацию новой системы управления равных 1,5% от
единовременных:
И = 0,03·2544072 + 0,015·2544072 = 114483 руб.
Рг
= ΔQ
Пр0
где
ΔQ = Q1 - Q2 - величина увеличения выхода целевого продукта.
Рг
= 348,435 · 4710= 1641129 руб.
Неизменные по годам расчетного периода затраты на реализацию с учетом
коэффициентов реновации Кр=0,0627 и коэффициента приведения разновременных
затрат и результатов Ен=0,1 рассчитываются по формуле:
Зг = И+(Кр+Ен)·К
Зг = 114483 + (0,0627 + 0,1) · 2544072 = 528404 руб.
Экономический эффект рассчитывается следующим образом:
Э = (Рг-Зг)/(Кр+Ен)
Э = (1641129-528404)/(0,0627+0,1) = 6839121 руб.
Экономическая эффективность Ээфф будет равна:
Ээфф = Рг / К
Ээфф = 1641129 / 2544072= 0,645
Срок окупаемости определяется по формуле:
Т = 365/ Ээфф.
Т = 365/0,645 = 566 дней или 1,5 года.
Расчет экономической эффективности показал, что если в результате
внедрения интегрированной АСУ блоком подготовки сырья удастся достичь
увеличения выхода целевого продукта на 0,5%, то капиталовложения установки
каталитического риформинга окупятся приблизительно за год и шесть месяцев, а
экономический эффект достигнет 6 839121 руб., при условии сохранения на рынке
устойчивого спроса на продукцию производства каталитического риформинга.
Необходимо отметить и ряд косвенных эффектов:
· повышение надёжности системы управления за счёт применения
современных средств автоматизации;
· увеличение комфортности труда за счет удобства использования
визуализированной системы управления.
|
Капиталовложения
|
Расходы, руб.
|
|
Разработка АРМ-оператора,
программного обеспечения АСУТП секции 100.
|
119374
|
|
WinCC. Системное
программное обеспечение. Контроллер S7-400H фирмы Siemens. Промышленный компьютер: PentiumIII-600, 256 MB ECC RAM, 10.4 GB Ultra Wide
SCSI-2 HDD 1 шт. UPS Источник бесперебойного
питания. Сетевое оборудование. Шкаф управления со всем вспомогательным
оборудованием.
|
1510000
|
|
Итого З1
|
1629374
|
Заключение
Разработанная АСУ ТП блока подготовки сырья установки каталитического
риформинга позволяет обеспечивать оптимальное ведение технологического процесса
и безаварийную эксплуатацию оборудования. АСУ ТП представляет собой комплекс
программно-технических средств, реализующих следующие функции:
· выдача оперативной информации о ходе технологического
процесса на станциях отображения информации (АРМ оператора);
· регулирование технологических параметров;
· сбор и архивирование оперативной информации о работе
установки;
· контроль аварийных отклонений технологических параметров;
· автоматическая защита и блокировка оборудования.
Применение технологий SCАDA (Supervisory Control And Data Acquisition -
диспетчерское управление и сбор данных) позволяет достичь высокого уровня
автоматизации в решении задач разработки систем управления, сбора, обработки,
передачи, хранения и отображения информации.
Дружественность человеко-машинного интерфейса (HMI/MMI), предоставляемого
SCADA-системами, полнота и наглядность представляемой на экране информации,
доступность «рычагов» управления и т. д. - повышает эффективность
взаимодействия диспетчера с системой и сводит к нулю его критические ошибки при
управлении.
Использование на нижнем уровне программируемых контроллеров с
резервированной структурой S7-400H позволило построить систему управления, в
которой возникновение отказов не влечет за собой появление опасности для жизни
обслуживающего персонала и не приводит к остановке технологического процесса.
Тем самым была обеспечена высокая надежность функционирования АСУ ТП.
Cписок использованных источников
1. Технологический регламент установки каталитического
риформинга ОАО «Салаватнефтеоргсинтез».
2. Маслянский Г.Н., Шапиро Р.Н. Каталитический риформинг
бензинов. - Л.: Химия, 1985. - 222 с.
. Промышленные установки каталитического риформинга /
Под ред. Ластовкина Г.А. - Л.: Химия, 1984. - 234 с.
. WinCC. Руководство по конфигурированию. V. 5.0 -
Учебный центр департамента «Техника автоматизации и приводы» фирмы SIEMENS,
. - 98с.
5. В.В. Шувалов, Г.А. Огаджанов, В.А. Голубятников.
Автоматизация
производственных процессов в химической промышленности. - М.:
Химия, 1991. - 121с.
6. Мартынова А.П. Безопасность жизнедеятельности. Раздел 1.
Гигиена труда.
Учебно-практическое пособие - М., МГУТУ, 2004. - 54с.
7. ПБ-09-170-97. Общие правила взрывобезопасности для
взрывопожароопасных химических, нефтехимических и нефтеперерабатывающих
производств. Правила устройства электрооборудования. - М.: Энергоатомиздат,
1985. - 181с.
8. ГОСТ 12.1.038-82 «ССБТ. Электробезопасность. Предельно допустимые
значения напряжений прикосновения и токов»
9. Бережной С.А., Романов В.В., Седов Ю.И. Безопасность
жизнедеятельности: Учебное пособие. - Тверь: ТГТУ, 1996. -
217c.
10. Бережной С.А., Романов В.В., Седов Ю.И. Сборник
типовых расчетов и
заданий по экологии: Учебное пособие. - Тверь: ТГТУ, 1995. -
125c.
11. ГОСТ 12.1.038-82 «ССБТ. Электробезопасность. Предельно
допустимые
значения напряжений прикосновения и токов»
ДОКЛАД
.Установка каталитического риформинга была введена в эксплуатацию в 1976
г.
Новый проект блока подготовки сырья совместно с французской фирмой
ТЕКНИП. Год ввода установки в эксплуатацию после реконструкции - 1997.
. Цель
. Блок подготовки сырья предназначен для очистки методом гидрогенизации.
На реакции гидрогенизации основывается процесс гидроочистки, в результате
которой органические соединения серы, кислорода и азота, которые являются ядами
катализатора риформинга, превращаются в углеводороды, сероводород, воду и
аммиак. В блоке подготовки сырья также осуществляется разгонка гидрогенизата на
фракции НК - 80°С (сырье изомеризации) и фракцию 80 - 180°С (сырье риформинга).
. Поскольку установка была сравнительно недавно реконструирована, то
уровень автоматизации является достаточно высоким. Тем не менее, на установке
можно выделить ряд недостатков, главным из которых является то, что система
управления как на верхнем, так и на нижнем уровне ориентирована на применение
технических, программных и сетевых средств одной фирмы, как следствие,
невозможность модернизации системы после истечения срока контракта
. Предлагаемая система автоматизации имеет двухуровневую распределенную
архитектуру.
Нижний уровень реализован на базе контроллеров семейства SIMATIC S7-400 и станций распределенного ввода/вывода ET 200M.
Контроллер S7-400 позволяет обеспечить высокие требования надежности. При
отказе активного центрального процессора, интерфейсного модуля или канала связи
управление передается резервному процессору, производится переключение на
резервную линию, управление технологическим процессом не прерывается.
Сбор оперативной информации от датчиков и выдача управляющих воздействий
на приводы осуществляется через станции распределенной периферии ET 200M. Одна станция ET 200M поддерживает до 8 сигнальных
модулей. Их использование существенно снижает затраты на прокладку кабеля,
значительно повышают гибкость и надежность системы автоматического управления.
Для нижнего уровня рекомендовано оставить существующие на установке
датчики, преобразователи и исполнительные механизмы серии «Сапфир-22»,
«Метран-43» и другие, поскольку они отвечают предъявляемым требованиям в полной
мере и их замена будет экономически не оправдана.
.Верхний уровень - АРМ оператора - реализован на базе промышленного
персонального компьютера под управлением SCADA-системы WinCC версии 5.1.
Пакет SIMATIC WinCC фирмы Siemens
не только не уступает другим продуктам по основным критериям, но по некоторым
параметрам обладает рядом преимуществ.является модульной системой. На плакате
схематично изображена модульная структура WinCC. Ядром WinCC является
приложение Control Center, которое позволяет легко ориентироваться по проекту и
исполняет роль менеджера всех опций WinCC.
Разработанная система диспетчеризации верхнего уровня обеспечивает
выполнение следующих функций:
· отображение технологического процесса на дисплее оператора в
виде графических мнемосхем;
· отображение в реальном времени значений технологических
параметров и управляющих воздействий;
· отображение на дисплее графиков технологических параметров;
· автоматическую сигнализацию и регистрацию достижения
параметром предаварийной и предупредительной границы;
· ведение журнала аварийных и системных сообщений, сообщения об
изменении состояния исполнительных механизмов, системные сообщения;
· ведение архива технологических параметров.
. На ФСА указаны технические средства автоматизации, контролирующие и
регулирующие технологический процесс гидроочистки.
. В расчетно-исследовательской части была разработана АСР температурой
ректификационной колонны К-2.
. Выбор канала регулирования.
. На рисунке приведены переходная характеристика колонны К-2, полученная
экспериментально при подаче на вход объекта регулирования ступенчатого
воздействия
11.По виду переходной характеристики
определяем, что колонна К-2 представляет собой звено, близкое к апериодическому
звену второго порядка. С достаточной для практических задач точностью объект
регулирования может быть аппроксимирован звеном чистого запаздывания и
апериодическим звеном первого порядка.
. Для нашего объекта выбираем ПИД-регулятор, который обеспечивает
наиболее высокое быстродействие в системе. Расчёт оптимальных настроек
ПИД-регулятора проведем в МathCAD:
-14. Для оценки качества регулирования построим динамические и частотные
характеристики системы, по которым определим основные показатели качества.
15.Для того чтобы автоматическая система регулирования
могла выполнять свои функции, она должна удовлетворять требованию устойчивости.
В настоящем дипломном проекте предусмотрено
использование критерия Найквиста,который основан на рассмотрении КЧХ разомкнутой
системы, по виду которой можно судить об устойчивости замкнутой АСР. Применяя
критерий Найквиста к фрагменту годографа КЧХ разомкнутой системы можно сделать
вывод об устойчивости замкнутой системы с ПИД-регулятором, т.к. данный годограф
не охватывает точку с координатами(-1, i0).
Определим, выполняется ли для замкнутой системы
ограничения на запас устойчивости M ≤ Mзад., Mзад = 1,6.
Построим график АЧХ замкнутой системы по расчетным
формулам. На основании графика, можно сделать вывод, что замкнутая система с
ПИД - регулятором при оптимальных параметрах настройки не только устойчива, но
и обладает заданным запасом устойчивости, т.к. максимальное значение АЧХ не
превышает значения 1,6.
16. В разделе «Безопасность жизнедеятельности» проведен анализ установки
с точки зрения обеспечения безопасного и безаварийного ведения процесса.
-19. В экономическом разделе определен экономический эффект и срок
окупаемости разработанной системы автоматизации и программного продукта.
Расчет экономической эффективности показал, что если в результате
внедрения АСУТП удастся достичь увеличения выхода целевого продукта на 0,5%, то
капиталовложения установки окупятся приблизительно за 1,5 года, а экономический
эффект достигнет 6 860 535 руб.
Необходимо отметить и ряд косвенных эффектов. Они проявляются в повышении
надёжности системы управления за счёт применения резервированных контроллеров,
увеличении комфортности труда за счет удобства использования человеко-машинного
интерфейса, предоставляемого SCADA-системой WinCC.