Отражение и преломление плоских волн
Введение
Изучение явлений отражения и
преломления электромагнитных волн представляет определённый практический
интерес. В частности изучение плоских электромагнитных волн. Плоской
электромагнитной волной называется волна, имеющая плоский фронт. Плоская волна
с неменяющейся амплитудой называется плоской однородной волной. Свойства
отражения и преломления электромагнитной волны используются довольно часто.
В данной курсовой работе будут
рассмотрены свойства отражения и преломления плоских волн от плоской границы
сред. Изучение этих процессов чрезвычайно важно, так как они широко применяются
в направляющих системах, создании ВОЛС (волоконно-оптических линий связи).
Свойства отражения и преломления электромагнитных волн используются в различных
областях науки и техники - медицине (например: в микроскопических методах
исследования), биологии, астрономии, физике, оружейных технологиях (в
оптических прицелах), защите и добычи информации (анализ возможных каналов
утечки информации в волоконно-оптических линиях связи: нарушение полного
внутреннего отражения) и др.
Использование ВОЛС при разработке
вычислительных устройств позволяет обеспечить не только более высокие
технические характеристики вычислительных комплексов и систем, но и осуществить
высокий уровень безопасности и защиты информации (отсутствие излучения во
внешнюю среду; высокая техническая сложность врезания в линию связи;
возможность кодирования информации устойчивыми к расшифровке кодами, при
обеспечении требуемой скорости передачи данных).
Актуальность курсовой работы
заключается в том, чтобы показать свойства отражения и преломления плоских волн
от плоской границы сред. Это необходимо для практического применения в
направляющих системах.
1. Отражение и
преломление плоской волны на поверхности раздела двух сред
1.1 Отражение и
преломление плоской однородной волны на плоской поверхности раздела двух сред
При падении плоской электромагнитной
волны на границу раздела двух сред возникает отраженная, а во второй -
преломленная волна.
Плоскостью падения называют
плоскость, проходящую через нормаль к границе раздела сред и направления
падения волны.
Вектор напряженности
электрического поля плоской волны 
перпендикулярен
направлению распространению волны, а по отношению к плоскости падения может
быть ориентирован произвольно. Однако можно ограничиться рассмотрением двух
ориентаций вектора 
.
1. Вектор 
перпендикулярен
плоскости падения волны. Такая волна называется параллельно поляризованная.
. Вектор 
параллелен плоскости
падения волны. Такая волна называется параллельно поляризованная.
Такое рассмотрение
электромагнитной волны очевидно, т.к. волну с любой ориентацией вектора 
всегда можно
представить в виде суперпозиции двух волн, одна из которых является нормально
поляризованной, а вторая - параллельно поляризованной.
Пусть на границе двух
сред с различными параметрами падает плоская однородная волна с произвольной
поляризацией.
Для выполнения граничных
условий на поверхности раздела необходимо предположить существование отражённой
и преломленной волн, распространяющихся в направлениях, параллельных плоскости
падения (ZoY). Поля отраженной и преломленной волн описываются в общем случае
уравнением плоской волны:

, (1.1)
где 
- комплексные величины;

.
Установим связь между
величинами 
, вытекающую из
уравнений электродинамики. Для этого подставим в выражение (1.1) в однородное
волновое уравнение, которое в декартовой системе координат имеет вид:
Дифференцируя равенство
дважды по координатам x,
y, z получим:

(1.3)
Подставив равенства
(1.3) в волновое уравнение (1.2) и сокращая обе части уравнения на 
, получим:

(1.4)
В случаях действительных
значений величин 
, они определяются
выражениями:

(1.5)
где 
- углы между
направлением распространения волны и координатными осями.
Соответствующий выбор
коэффициентов 
отраженной и
преломленной волны, а также их амплитуда обеспечивают выполнение граничных
условий на поверхности раздела сред. В результате этого поля в обеих средах
удовлетворяют уравнениям Максвелла и граничным условиям. Согласно теореме
единственности полученное решение является единственно возможным в данных
условиях.
Найдем связь между
коэффициентами 
падающей, отраженной и
преломленной волн. Для этого воспользуемся условием непрерывности касательных
составляющих на границе раздела сред:

,

- касательные
составляющие векторов поля в первой и второй средах на границе раздела.
Обозначим через φ
угол падения, который равен углу между направлением
распространения падающей волны и осью Z.
(рисунок 2). Тогда углы 
падающей волны равны:

(1.7)
Подставим равенства
(1.7) в выражения (1.5) получим:

(1.8)
С учетом этого уравнение
(1.1) для вектора Е падающей волны будет иметь вид:

(1.9)
где 
.
Как видно из уравнения
(1.8) после падающей волны не зависит от координаты Х. поэтому поля отраженной
и преломленной волн также не зависят от Х и в уравнениях, описывающие эти волны
необходимо положить коэффициент a
= 0. Тогда уравнения отраженной и преломленной волн можно представить в таком
виде:

(1.10)

, (1.11)
где 
; 
Выделив из уравнений
(1.10) и (1.11) выражения для касательных составляющих векторов поля и
подставив их в граничные условия (1.6), получим следующее равенство:

(1.12)
Это равенство
выполняется при любом значении координаты Yв
случае, если равны между собой показатели экспонент слагаемых в левой и правой
частях уравнения, т.е.:

(1.13)
Из равенств (1.13)
видно, что:

(1.14)

(1.15)
Поскольку коэффициент a у всех трёх волн равен нулю, то из уравнения (1.4) следует, что
этих волн коэффициент c
определяется выражением:

(1.16)
Выбор одного из двух
значений c в уравнении (1.16) определяет направлением распространения волны.
Рассмотрим отраженную
волну.
Так как:
, следовательно:

(1.17)
Таким образом,
коэффициенты a,
b, c
отраженной волны всегда являются действительными величинами, а это значит, что
отражённая волна в случае падающей плоской однородной волны всегда является
плоской однородной волной. В формуле (1.16) для отраженной волны выбран знак +,
так как очевидно, что: 
, следовательно: 
.
Угол 
отражённой волны
называется углом отражения: 
.
Определим угол
отражения. Для этого выразим коэффициенты 
и 
через угол отражения:

.
Известно, что: 
, следовательно: 
, откуда следует, что:

. (1.18)
Т.е. угол отражения
всегда равен углу падения. Это первый закон Снеллиуса.
Рассмотрим преломленную
волну
Из равенства (1.15)
следует, что:

(1.19)
тогда:

Если обе среды имеют
потери, то волновые числа 
, 
являютс\ комплексными
величинами. Поэтому коэффициенты 
и 
в общем случае могут
быть комплексными. Это значит, что в этом случае преломленная волна всегда
является плоской неоднородной волной.
Рассмотрим частный
случай, когда обе среды являются идеальными диэлектриками. В этом случае:
также являются
действительными величинами и преломленная волна в этом случае будет плоской
однородной волной.
В формуле (1.20) для
коэффициента 
выбран знак минус, т.к.
угол преломления 
- есть угол между
направлением распространения преломленной волны и отрицательным направлением
оси Z 
Следовательно: 
(рис. 1.4).
Известно, что: 
Учитывая это, получим
выражение для определения угла преломления:

или 
(1.21)
Обычно у диэлектриков 
. Поэтому равенство
(1.21) можно записать так:

, (1.22)
где 
- показатели
преломления первой и второй среды.
Выражение: 
(1.23) называется
второй закон Снеллиуса.
Таким образом, если
падающая волна является плоской однородной волной, то отраженная волна всегда
является так же плоской однородной волной. Преломленная же волна может быть
плоской и однородной только в единственном случае, когда потери в первой и
второй среде отсутствуют и выполняют условие 
Во всех остальных
случаях преломленная волна является плоской неоднородной волной.
1.2
Формулы Френеля
Определим связь между амплитудами
падающей, отраженной и преломленной волн. Рассмотрим вначале падающую волну с
нормальной поляризацией. Если падающая волна имеет нормальную поляризацию, то и
отраженная и преломленная волны будут иметь такую же поляризацию. В
справедливости этого можно убедиться, анализируя граничные условия на
поверхности раздела сред.
Если иметь составляющую с
параллельной поляризацией, то граничные условия не будут выполняться ни в одной
точке граничной поверхности.
Плоскость падения волны
параллельна плоскости (ZoY).
Направления распространения отраженной и преломленной волн также будут
параллельны плоскости (ZoY)
и у всех волн угол между осью X
и направлением распространения волны будет равен: 
, а коэффициент 
В соответствии со
сказанным выше вектор 
всех волн параллелен
оси X, а векторы 
параллельны плоскости
падения волны (ZoY), поэтому у всех
трёх волн проекция вектора 
на ось X равна нулю: 
Вектор 
падающей волны
определяется выражением:
Вектор 
падающей волны имеет
две составляющие:

, (1.24)
где 
Уравнения для векторов
отраженной волны имеют вид:

, (1.25)
где 
Уравнения для векторов
поля преломленной волны имеют вид:

(1.26)
где 
Для нахождения связи
между комплексными амплитудами падающей, отраженной и преломленной волн воспользуемся
граничными условиями для касательных составляющих векторов электромагнитного
поля на границе раздела сред:

(1.27)
Поле в первой среде на
границе раздела сред в соответствии с (1.27) будет иметь вид:

Поле во второй среде
определяется полем преломленной волны:
Так как вектор 
всех трёх волн
параллелен границе раздела сред, а касательная составляющая вектора 
есть составляющая 
, то граничные условия
(1.27) можно представить в виде:

(1.28)
Падающая и отраженная
волны являются однородными, поэтому для них справедливы равенства:

,
(1.29)
где 
- волновое
сопротивление первой среды.
Так как поля 
любой из
рассматриваемых волн связаны между собой линейной зависимостью, то для
преломления волн можно записать:

,
(1.30)
где 
- коэффициент
пропорциональности.
Из выражений (1.29)
получим проекции векторов 
:

(1.31)
Подставив равенства
(1.31) в уравнения (1.28) и учтя равенство (1.30), получим новую систему
уравнений:

(1.35)
1.3 Отражение и
преломление на границе двух идеальных диэлектриков
У идеальных диэлектриков
потери отсутствуют и 
. Тогда диэлектрические
проницаемости сред - действительные величины и коэффициенты Френеля тоже будут
действительными величинами. Определим, при каких условиях падающая волна без
отражения переходит во вторую среду. Это происходит при полном прохождении
волны через границу раздела сред и коэффициент отражения в этом случае должен
быть равен нулю: 
Рассмотрим падающую
волну с нормальной поляризацией.
Коэффициент отражения
будет равен нулю: 
в случае, если равен
нулю числитель в формуле (1.34):

(1.36)
Однако, 
, следовательно, для
волны с нормальной поляризацией 
при любых углах падения
волны на границу раздела. Это значит, что волна с нормальной поляризацией
всегда отражается от границы раздела сред.
Волны с круговой и
эллиптической поляризацией, которые можно представить в виде суперпозиции двух
линейно поляризованных волн с нормальной и параллельной поляризацией, будут
отражаться при любых углах падения на границу раздела сред. Однако соотношение
между амплитудами нормально и параллельно поляризованных составляющих в
отраженной и преломленной волнах будут иным, чем в падающей волне. Отражённая
волна будет линейно поляризованной, а преломленная - эллиптически
поляризованной.
Рассмотрим падающую
волну с параллельной поляризацией.
Коэффициент отражения
будет равен нулю: 
в случае, если равен
нулю числитель в формуле (1.35):

(1.37)
Решив уравнение (1.37),
получим:

(1.38)
Таким образом, падающая
волна с параллельной поляризацией без отражения проходит через границу раздела,
если угол падения волны определяется выражением (1.38). Этот угол 
называется угол
Брюстера.
Определим, при каких
условиях будет происходит полное отражение падающей волны от границы раздела
двух идеальных диэлектриков. Рассмотрим случай, когда падающая волна
распространяется в более плотной среде, т.е. 
.
Известно, что угол
преломления определяется из закона Снеллиуса:

(1.39)
Так как: 
, то из выражения (1.38)
следует, что:
.
При некотором значении
угла падения волны на границу раздела сред получаем:

(1.40)
Из равенства (1.40)
видно, что: 
и преломленная волна
скользит вдоль границы раздела сред.

(1.41)
Если угол падения волны
на границу раздела сред больше критического: 
, то 
. Амплитуда отражённой
волны, независимо от вида поляризации, равна по амплитуде падающей волне, т.е.
происходит полное отражение падающей волны.
Остается выяснить,
проникает ли электромагнитное поле во вторую среду. Анализ уравнения
преломленной волны (1.26) показывает, что преломленная волна представляет собой
плоскую неоднородную волну, распространяющуюся во второй среде вдоль границе
раздела. Чем больше различие проницаемости сред, тем быстрее уменьшается поле
во второй среде при удалении от границы раздела. Поле практически существует в
достаточно тонком слое у границы раздела сред. Подобная волна называется
поверхностной.
1.4
Отражение и преломление на границе раздела с проводником
Пусть вторая среда имеет
значительную оптическую плотность по сравнению с первой средой:

(1.42)
Так как: 
, то условие (1.42)
имеет место в том случае, если:

и 
.
Так как: 
, то условие (1.42)
выполняется, как в случае: 
, так и в случае: 
. (1.43)
Условие (1.43)
выполняется тогда, когда граничная поверхность разделяет реальный диэлектрик и
реальный проводник.
Рассмотрим преломленную
волну.
Тангенс угла преломления
определяется выражением:

. (1.44)
В соответствии с
условием (1.42) вторым слагаемым в знаменателе под корнем можно пренебречь
ввиду его малости по сравнению с единицей. В результате получаем:

(1.45)
Из неравенства (1.45)
следует, что угол преломления при любом значении угла падения φ
мал и преломленная волна распространяется в направлении, близком к
направлению нормали к граничной поверхности.
Особый интерес
представляет случай, когда первая среда идеальный диэлектрик, а вторая -
реальный проводник.
Волновое число в
реальном проводнике определяется выражением:

(1.46)
где 
тангенс угла
диэлектрических потерь.
Тогда тангенс угла
преломления будет определяться следующим выражением:

(1.47)
Так как удельная
проводимость реальных проводников имеет порядок: 
См/м, то 
, во всём диапазоне
радиотехнических частотах.
Коэффициент отражения на
границе раздела идеального диэлектрика и реального проводника определяется
выражением:

(1.48)
где
Тогда:

(1.49)
Это значит, что
амплитуда отражённой волны равна амплитуде падающей волны. При этом фаза
отражённой волны с нормальной поляризацией приобретает при отражении
дополнительный фазовый сдвиг, равный 180 градусам.
Большое практическое
значение имеет задача определения поля в присутствии металлических тел с конечной
проводимостью. Строгое решение этой задачи даже при относительно простой
конфигурации металлических тел математически трудно. Это решение можно
упростить введением приближённых граничных условий Леонтовича. В отличие от
обычных граничных условий, связывающих значение составляющих поля на границе
раздела в разных средах, граничные условия Леонтовича выражают связь между
касательными к проводящей поверхности составляющих векторов 
в одной среде.
Между векторами поля во
второй среде выполняется соотношение:

(1.50)
где 
- единичный вектор
нормали к границе раздела, направленный в сторону первой менее плотной среды.
На границе раздела сред
касательные составляющие векторов поля должны быть непрерывны:

(1.51)
Во второй среде, т.е. в
проводнике, существует поверхностная волна, следовательно, векторы 
и 
параллельны границе
раздела сред. Поэтому на граничной поверхности: 
, 
, а согласно граничным
условиям (1.51):

. (1.52)
Подставив равенства
(1.52) в уравнение (1.50), получим соотношение:

, (1.53)
которое называется
приближённым граничным условием Леонтовича.
Из этого соотношения
следует, что на поверхности реального проводника касательная составляющая
напряжённости электрического поля отлична от нуля.

мала, однако,
определяет нормальную к поверхности проводника компоненту вектора Пойнтинга,
т.е. уходящий в металл поток энергии. Обычно касательную составляющую 
учитывают в тех
случаях, когда необходимо определить потери в проводнике. При этом считают, что
поле 
имеет такую же
структуру, как и над идеальным проводником.
Граничное условие
Леонтовича в предельном случае при 
переходит в обычное
граничное условие на поверхности идеального проводника: 
Согласно граничному
условию Леонтовича касательные составляющие векторов 
на поверхности
реального проводника перпендикулярны.
Поверхностный эффект.
Электромагнитное поле
возбуждает в проводнике волну, распространяющуюся перпендикулярно граничной
поверхности вглубь проводника. Напряжённость электромагнитного поля, а,
следовательно, и плотность тока экспоненциально убывают по мере удаления от
поверхности раздела сред:

(1.54)
Глубина проникновения
поля в проводник определяется выражением:

(1.55)
Для меди глубина
проникновения поля вглубь проводника составляет:
при f=100 кГц = 0,2 мм;
при f = 10 ГГц 
мм.
Практически, поле
становится пренебрежно малым на расстоянии нескольких 
от поверхности.
Таким образом, на
высоких частотах весь ток и поле сосредоточены у поверхности проводника. Это
явление называется поверхностным эффектом.
2. Практическая часть
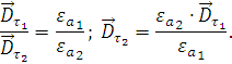
1. Рассчитаем коэффициенты
отражения и преломления на границах раздела сред. Найдем коэффициент отражения
по формуле:
Подставим значения и рассчитаем
коэффициенты отражения:
Знак минус говорит о том, что фаза
электромагнитной волны изменяется на 180 градусов.
Найдем коэффициент преломления по
формуле:
Подставим значения и рассчитаем
коэффициент преломления:
Проверка: 
2. Найдем угол падения, при
котором будет отсутствовать преломленная волна:

. Найдем нормальные и
тангенциальные составляющие векторов 
в средах при условии,
что граница не заряжена.
Найдём волновое
сопротивление по формуле:
Найдём абсолютную
магнитную величину:
Подставим значения и
получим:
Найдём напряженность
магнитного поля:
Рассчитаем нормальные
составляющие векторов 
в первой среде при
условии, что граница не заряжена:
Подставим значения и произведем
расчеты:
Подставим значения и произведем
расчеты:
Подставим значения и произведем
расчеты:

,
Подставим значения и
произведем расчеты:
Подставим значения и
произведем расчеты:

Тл.

.
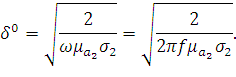
4. Найдём глубину проникновения во
вторую среду по формуле:
Заключение
волна отражение преломление
диэлектрик
В результате курсовой
работы был произведен анализ процесса отражения и преломления плоских волн от
плоской границы сред. Мы рассчитали коэффициенты отражения 
=-0,189 и преломления 
=0,811. Фаза отраженной
волны будет изменяться на 180 градусов, поскольку 
<0. Фаза преломлённой
волны остаётся прежней, так как 
>0.
При нахождении угла
падения, при котором будет отсутствовать преломленная волна, мы получили, что 
=1,545, это говорит о
том, что преломлённая волна будет присутствовать при любом угле падения волны
на границе раздела сред.
Мы рассчитали нормальные
и тангенциальные составляющие векторов в первой и второй среде при условии, что
граница не заряжена и получили следующие значения:

= 0,9848·10-5
В/м 
= 0,1736·10-5 В/м

= 8,772·10-17
Кл/м2 
= 1,546·10-17
Кл/м2

0,370·10-8
А/м 
= 0,065·10-8 А/м

= 0,095·10-14
Тл 
= 0,081·10-14
Тл

= 0, 413·10-5
В/м 
= 0,1736·10-5 В/м

= 8,772·10-17
Кл/м2 
= 36,883·10-17
Кл/м2

= 0,095·10-14
Тл 
= 0,081·10-14
Тл

= 0,37·10-8
А/м 
= 0,065·10-8 А/м
Также мы рассчитали и
получили глубину проникновения волны во вторую среду: 
= 
Список источников
1. Дисциплине «основы теории физических полей». - Серпухов:
УЦ «Интеграция» МАИ, 2012.
. Данилов В.П. Основы теории физических полей. - М.: МАИ,
2008
. Бреховский Л.И. Волны в слоистых средах. 2-е изд. Наука,
1983.