Лазерный однокомпонентный измеритель вибрации
Содержание:
Введение
. Лазерный однокомпонентный
измеритель вибрации
.1 Назначение, состав и работа
лазерного однокомпонентного измерителя вибрации
.2 Формула изобретения
2. Пространственное моделирование
рассеянного когерентного излучения на сферических микрочастицах
2.1 Расчет состояний поляризации
.2 Расчет распределения
интенсивности рассеянного излучения
.3 Расчет сигнала на выходе
фотоприемника
.4 Координаты зоны измерения
.5 Расчет градуировочных
характеристик датчика
. Метод Мюллера и Джонса
.1 Расчет по методу Мюллера
прохождения неполяризованного лазерного пучка через преобразователь поляризации
.2 Расчет по методу Джонса
прохождения полностью поляризованного лазерного пучка через оптическое
устройство
.3 Сравнение методов расчета Мюллера
и Джонса
Выводы
Литература
Введение
Уникальные физические особенности лазерных
методов определяют многие их достоинства. Это возможность дистанционного
бесконтактного измерения вибрации и отсутствие влияния на резонансные свойства
объектов, в том числе микроскопических размеров; возможность измерений без
предварительной подготовки поверхности объекта и оперативное измерение вибраций
в различных точках объекта в опасной для персонала зоне (химически агрессивной,
с высокой температурой, радиацией и т.д.).
Лазерный однокомпонентный измеритель вибрации
относится к измерительной технике и может быть использован для измерения
параметров вибрации диффузно рассеивающих объектов. Цель изобретения -
повышение точности измерений за счет повышения отношения сигнал/шум.
В данной работе будет рассмотрено назначение,
состав и работа лазерного однокомпонентного измерителя вибрации, а также
формула его изобретения.
Следующий этап курсовой работы - расчет по
методу Мюллера прохождения неполяризованного лазерного пучка через преобразователь
поляризации и расчет по методу Джонса прохождения полностью поляризованного
лазерного пучка через оптическое устройство; сравнив оба метода расчета,
сформулировать выводы.
Метод Мюллера используется, как правило, для
описания оптических схем некогерентной оптики. Этот метод позволяет описывать
прохождение лазерных пучков, либо световых пучков не когерентных для случаев,
когда эти пучки полностью поляризованы, частично поляризованы или
неполяризованы.
Метод Джонса - описывает прохождение лазерного пучка
через когерентный оптический преобразователь, для случая, когда лазерные пучки
полностью когерентны и полностью поляризованы (степень поляризации 100%). Этот
метод учитывает фазовые соотношения и соответствующие преобразования в фазы.
1. Лазерный однокомпонентный измеритель вибрации
.1 Назначение, состав и работа лазерного
однокомпонентного измерителя вибрации
Изобретение относится к измерительной технике и
может быть использовано для измерения параметров вибрации диффузно рассеивающих
объектов.
Цель изобретения - повышение точности измерений
за счет повышения отношения сигнал/шум.
На рис.1.1. представлена блок-схема устройства;
на рис.1.2. - диафрагма с указанием расстояний между попарно симметричными
отверстиями.
Лазерный однокомпонентный измеритель вибрации
содержит расположенные на одной оптической оси первый оптический квантовый
генератор 1, излучающий на трех длинах волн λ1,
λ2 и λ3
поляризационный расщепитель 2, диафрагму 3 с семью отверстиями, расположенными
на одной оси, центральное отверстие находится на оси квантового генератора 1,
остальные отверстия попарно симметричны относительно центрального отверстия и
образуют первую, вторую и третью пары отверстий, которые расположены в порядке
возрастания расстояния между отверстиями в паре, и фокусирующий объектив 4,
фокусирующий излучение на диффузно рассеивающей колеблющейся поверхности 5
объекта и собирающий рассеянные лучи 6-11 в пределах отверстий диафрагмы 3,
первый смеситель 12 с двумя выходами, состоящий из последовательно
расположенных первого зеркала 13 и первого светоделителя 14, оптически
связанный с первой парой отверстий диафрагмы 3, второй смеситель 15 с двумя
выходами, состоящий из последовательно расположенных второго зеркала 16,
первого фазорегулятора 17 и второго светоделителя 18, оптически связанный с
второй парой отверстий диафрагмы 3, третий смеситель 19 с двумя выходами,
состоящий из последовательно расположенных третьего зеркала 20, второго
фазорегулятора 21 и третьего светоделителя 22, оптически связанный с третьей
парой отверстий диафрагмы 3, первый интерференционный светофильтр 23 на длину
Рис. 1.1. Блок-схема лазерного однокомпонентного
измерителя вибрации:
- квантовый генератор;
- поляризационный расщепитель;
- диафрагма;
- фокусирующий объектив;
- диффузно рассеивающаяся колеблющаяся
поверхность объекта;
- 11 - рассеивающиеся лучи;
, 15, 19 - смесители;
, 16, 20 - зеркала;
, 18, 22 - светоделители;
, 21 - фазорегуляторы;
-25, 28-30 - интерференционные светофильтры;
, 31 - собирающий объектив;
- фотоприемник;
- световод;
- измеритель доплеровской частоты;
- квантовый генератор;
- вращатель плоскости поляризации.
волны 
, первый интерференционный
светофильтр 24 на длину волны 
и первый интерференционный
светофильтр 25 на длину волны 
, расположенные на первых выходах
первого 12, второго 15 и третьего 19 смесителей соответственно, первый
собирающий объектив 26, фотоприемник 27, через объектив 26 связанный с выходами
интеренференционных светофильтров 23-25, второй интеренференционный светофильтр
28 на длину волны
, второй интеренференционный
светофильтр 29 на длину волны
и второй интеренференционный
светофильтр 30 на длину волны
, расположенные на вторых выходах
первого 12, второго 15 и третьего 19 смесителей соответственно, второй
собирающий объектив 31, световод 32, связывающий выходы интерференционных
светфильтров 28-30 через объектив 31 с фотоприемником 27, измеритель 33
доплеровской частоты, вход которого электрически связан с выходом фотоприемника
27, а также оптически связанные второй оптический квантовый генератор 34,
излучающий на трех длинах волн 
,
и 
, и вращатель 35 плоскости
поляризации, через который квантовый генератор 34 связан с поляризованным
расщепителем 2.
Устройство работает следующим
образом.
Луч от квантового генератора 1,
пройдя через центральное отверстие диафрагмы 3, фокусируется объективом 4 на
диффузно рассеивающей колеблющейся поверхности 5. Рассеянное излучение
собирается объективом 4 и через три пары отверстий диафрагмы 3 направляется на
смесители 12, 15 и 19. Рассеянный луч 6, пройдя через отверстие а1 диафрагмы 3
(рис.1.2.), поступает на вход первого смесителя 12, отражается от первого
зеркала 13 и проходит первый светоделитель 14. Одновременно луч 7, пройдя через
отверстие а2 диафрагмы 3 (рис.1.2.), отражается от первого светоделителя 14 и
пространственно совмещается с лучом 6. Далее пространственно совмещенные лучи 6
и 7 проходят через первый интерференционный светофильтр 23 на длину волны 
и через объектив 26 направляются на
фотоприемник 27.
Аналогичным образом пространственно
совмещаются рассеянные лучи 8 и 9, прошедшие через отверстия б1 и б2 диафрагмы
3 (рис.1.2.), с помощью второго смесителя 15 и рассеянные лучи 10 и 11,
прошедшие через отверстия в1 и в2
диафрагмы 3 (рис.1.2.), с
помощью третьего смесителя 19.
Рис. 1.2. Диафрагма 3 с указанием
расстояний L1, L2, L3 между
попарно симметричными отверстиями: а1 и а2 , в1 и
в2
, б1 и б2
Далее пространтвенно
совмещенные лучи 8 и 9, 10 и 11, пройдя через первый интеренференционный светофильтр
24 на длину волны 
и первый
интеренференционный светофильтр 25 на длину волны 
соответственно, направляются
объективом 26 на фотоприемник 27.
Если расстояние между отверстиями в
парах отверстий диафрагмы 3 выбрать равными

где 
- фокусное расстояние объектива 4;

- расстояние между отверстиями в
парах отверстий диафрагмы 3 (рис.1.2.);

- длины волн излучения оптического
квантового генератора 1,
то в результате оптического
гетеродирования рассеянного излучения на трех длинах волн 
,
,
на выходе фотоприемника 27
формируется переменная составляющая сигнала, частота которого пропорциональна
виброскорости, а амплитуда равна суперпозиции трех доплеровских сигналов одной
частоты. Для того, чтобы результирующий сигнал был максимален, эти три сигнала
должны быть синфазны. С этой целью во втором 15 и третьем 19 смесителях установлены
первый 17 и второй 21 фазорегуляторы соответственно.
Для увеличения мощности полезного
сигнала рассеянное излучение с вторых выходов смесителей 12, 15 и 19, не
попавшее на первые светофильтры 23-25, направляется на вторые
интеренференционные светофильтры 28-30, настроенные на длины волн 
,
,
соответственно. Далее излучение с
помощью объектива 31 и световода 32 направляется на фотоприемник 27.
В тех случаях, когда необходимо
измерить параметры вибрации объекта 5, находящегося на большом расстоянии, а
мощности квантового генератора 1 недостаточно, то необходимо использовать
второй квантовый генератор 34, излучающий также на трех длинах волн 
,
,
. Линейно поляризованный луч с
помощью вращателя 35 плоскости поляризации преобразуется в линейно
поляризованное излучение с азимутом, отличающимся от азимута линейно
поляризованного луча генератора 1 на 90
. С помощью поляризованного
расщепителя 2 лучи пространственно совмещаются и затем фокусируются объективом
4 на поверхности 5 объекта.
Далее устройство работает аналогично
описанному при использовании только одного квантового генератора.
Сигнал с выхода фотоприемника 27
поступает в измеритель 33 доплеровской частоты, с помощью которого
регистрируются амплитуда, частота вибрации и виброскорость.
.2 Формула изобретения
. Лазерный однокомпонентный
измеритель вибрации, содержащий оптически связанные первый оптический квантовый
генератор, оптический преобразователь, диафрагму и фокусирующий объектив,
первый и второй светоделители, делящие лучи на два пучка, первое, второе и
третье зеркала, первый и второй собирающие объективы, первый
интеренференционный светофильтр на длину волны λ1, первый
интеренференционный светофильтр на длину волны λ2,
фотоприемник и блок обработки, вход которого связан с выходом фотоприемника,
отличающийся тем, что, с целью повышения точности измерений, он снабжен вторым
оптическим квантовым генератором, вращателем плоскости поляризации,
расположенным между вторым оптическим квантовым генератором и оптическим
преобразователем, третьим светоделителем, делящим луч на два пучка, первым и
вторым фазорегуляторами, первым интерференционным светофильтром на длину волны λ3, вторым
интерференционным светофильтром на длину волны λ1, вторым
интерференционным светофильтром на длину волны λ2, вторым
интерференционным светофильтром на длину волны λ3 и
световодом, первый и второй оптические квантовые генераторы выполнены с
возможностью излучения на трех длинах волн 
,
,
, оптический преобразователь
выполнен в виде поляризационного расщепителя, диафрагма выполнена с семью
отверстиями, центральное отверстие находится на оси первого оптического
квантового генератора, остальные отверстия попарно симметричны относительно
центрального отверстия и образуют первую, вторую и третью пары отверстий,
которые расположены в порядке возрастания расстояния между отверстиями в паре,
первое зеркало расположено на оси, проходящей через одно из отверстий первой
пары диафрагмы, и оптически связано с первым светоделителем, расположенным на
оси, проходящей через другое отверстие диафрагмы первой пары, второе зеркало
расположено на оси, проходящей через одно из отверстий диафрагмы второй пары, и
оптически связано через первый фазорегулятор с вторым светоделителем,
расположенным на оси, проходящей через другое отверстие диафрагмы второй пары,
третье зеркало расположено на оси, проходящей через одно из отверстий третьей
пары диафрагмы, и оптически связано через второй фазорегулятор с третьим
светоделителем, расположенным на оси, проходящей через другое отверстие
диафрагмы третьей пары, первые интеренференционные светофильтры на длины волн λ1, λ2 и λ3
расположены на выходах первого, второго и третьего светоделителей
соответственно и через первый собирающий объектив связаны с фотоприемником,
вторые интеренференционные светофильтры на длины волн λ1, λ2 и λ3
расположены на других выходах первого, второго и третьего светоделителей
соответственно и через второй собирающий объектив и светопровод связаны с
фотоприемником, блок обработки выполнен в виде измерителя доплеровской частоты.
2. Пространственное моделирование рассеянного
когерентного излучения на сферических микрочастицах.
Формирование зон измерения:

ОКГ - оптический квантовый резонатор; 1 - пучок
излучения;
, 3 - пучки на выходе расщепителя; 4 -
расщепитель пучка;
α - угол, под
которым пересекаются два пучка; 6 - объектив;
f - фокусное
расстояние объектива, центр зона измерения.
При формировании зоны измерения при
помощи двух когерентных пучков 2 и 3 (рис.2.1.) в зоне пересечения этих пучков
образуется интерференционная область, в которой интерференционные максимумы
перпендикулярны плоскости пучков и параллельны оптической оси схемы. Пусть 
- угол, под которым пересекаются
два пучка. В зоне пересечения пучков образуется эллипсоид (область
интерференционного распределения). Пучки параллельны и симметричны оптической
оси схемы, интенсивности которых равны (рис. 2.2.).
а)
б) в)
г) д)
Рисунок 2.2 а) Формування
зони вимірювання; б) фотографія гармонічної зміни освітленості у площині OXfYf,
коли ступень просторової когерентності
=1; в) результати розрахунку
інтенсивності уздовж осі OXf; г)
Результати розрахунку інтенсивності уздовж осі OZf; д) результати розрахунку
інтенсивності уздовж осі OYf.
Период интерференционной картины:
Интенсивность перераспределения:

,
где 
- разность фаз;



,
где 
- длина волны в вакууме;

- оптическая разность хода двух
пучков.
При равенстве интенсивностей двух
формирующих пучков I2 = I3,
распределение интенсивностей в интерференционной картине:
Сигнал в максимуме получается в 4-е
раза больше интенсивности излучения пучка:
Амплитуда распределения
интенсивности излучения носит волновой характер. Наибольшее значение
интенсивности в интерференционной картине происходит при:
Максимум имеет место в случае, когда
n=1,2,3… - в
этом случае отмечаются максимумы интерференционной картины:
Минимальное значение интенсивности в
интерференционной картине получается, когда:

в этом случае отмечаются минимумы
интерференционной картины:

При пересечении двух пучков в зоне
измерения образуется интерференционная картина (интерференционное поле)
рис.2.3.
Рис. 2.3 Формирование зоны
измерения.
Распределение интенсивности в
лазерном пучке представляет собой распределение Гаусса - в центре пучка
максимум.
Размеры эллипсоида определяются из
соотношений:
где 
- радиус перетяжки пучков в фокусе.
Рис. 2.4.Размеры эллипсоида (зоны измерения)
Рис. 2.6. Условие получения
градуировочной характеристики.
α - угол между лазерными
пучками; S -
расстояние между пучками в плоскости приёма (расчета).
Дифракция Фраунгофера
Выделяемая площадь расчета
Рис. 2.7. Выделяемая площадь расчета
Дифракция рассматривает процессы отклонения
направления распространения света от прямолинейного при встрече с некоторыми
препятствиями или при отражении от них. В случае дифракции Фраунгофера
рассматривается падение на препятствие плоской волны (бесконечно удаленный
источник света) и подразумевается, что зона наблюдения удалена от препятствия
на достаточно большое расстояние (находится на бесконечности). Коротко говоря,
это “дифракция в параллельных лучах”.
Расчитываем интенсивность распределения в
области ограниченной прямоугольником (пространственным фильтром) (рис. 2.8.).
Рис. 2.8. Пространственное
дифракционное распределение
Пусть в начале системы координат
Ox1y1z1 находится сферическая непрозрачная частица с диаметром D на много
большим длины волны облучающих пучков. Если представить электрическое поле
облучающих пучков в зоне измерения в единой системе координат и предположить,
что угол между пучками α мал,
то результирующее дифрагированное поле, наблюдаемое вблизи оптической оси схемы
в плоскости Ох0y0 , расположенное от зоны измерения на
расстоянии R>>D,
то можно определить на основе дифракционной теории в приближении Фраунгофера:
I(x) = 
,
где 
функция Бесселя 1 - го рода 1 - го
порядка
Функции Бесселя, обозначаемые
символом Jv(x),
представляют собой решения линейного дифференциального уравнения второго
порядка, в которое входит один произвольный параметр v:
Параметр v
называется индексом или порядком функции Бесселя Jv
(x) и он может
принимать как вещественные, так и комплексные значения. Функции Бесселя обычно
возникают как решения для волнового уравнения, подчиненного цилиндрическим
граничным условиям.
.1 Расчет состояний поляризации
Угол пересечения пучков:
α = 8deg
= 0.14 (рад)
Расстояние от плоскости измерения до плоскости
приема:
R = 210 (мм)
Интенсивность излучения:
Eo = 1
Длина волны излучения лазера:
λ = 0.0007328 (мм)
Волновой вектор:
k = 2

Диаметр пучка в зоне измерения:
b0 = 0.1 (мм)
D = 0.05 (мм)
Сопротивление нагрузки ФЭУ:
Rn = 50 (Ом)
Заряд электрона:
e1 =
1.6021917
10-19 (Кл)
Частота излучения лазера:

, 
(мм/с)
Квантовая эффективность ФЭУ:
η = 0.2
- Коэффициент усиления ФЭУ:
M = 105
- Константы:
· число π = 3.142
· постоянная Планка: h
= 6.626196 
10-34 (Дж)
· скорость света: с = 3
1011 (мм/с)
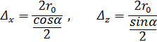
- Координаты зоны измерения:
y=0, z
= 0, m=10, n
= 10
Расстояние между пучками в плоскости приема:
Si = 2
,

= 14.685 (мм)
Период интерференционного поля:

(мм)
Основание функции Бесселя:

- Приращение точек в плоскости
приема:
x0 = 
,
y0 = 
,
z0 = 
- Координаты частицы в зоне измерения:

(мм)

(мм)

(мм)
Коэффициенты, отображающие
составляющие функции Бесселя:
Первая часть зоны измерения (формула
элипсоида):


Вторая часть зоны измерения:

,
Третья часть зоны измерения:


Четвертая часть зоны измерения:


.2 Расчет распределения
интенсивности рассеянного излучения
Определяем интенсивность излучения в
плоскости приема:
где r1
- радиус дифракции Фраунгофера от первого пучка
r2 - радиус
дифракции Фраунгофера от второго пучка:

Рис. 2.9. Пространственное изображение
интенсивности рассеянного излучения в плоскости приема
Рис. 2.10. Распределение интенсивности на
пространственном фильтре установленном в плоскости приема
Пространственный фильтр является оптическим
устройством, которое использует принципы оптики Фурье для изменения структуры
луча когерентного света или других электромагнитных излучений .
Пространственная фильтрация обычно используется, чтобы "очистить"
выход из лазеров , удаление аберраций в пучке из-за несовершенства, грязной или
поврежденной оптики, или из-за различий в лазерной среде собственного усиления.
Таким образом, используя пространственный фильтр
получаем 100% глубину модуляции, потому что 100% сигнал можно выделить на фоне
помех.
Распределение интенсивности в зоне измерения:
Рис. 2.11. Проекция интенсивности на плоскость
ОХZ
Рис. 2.12. Проекция интенсивности на плоскость ОYZ
Длина волны излучения лазера - 
(мм)
Диаметр микрочастицы - 
(мм)
Период интерференционного поля - 
(мм)


2.3 Расчет сигнала на выходе
фотоприемника
Угол пересечения пучков:
α = 8deg
= 0.14 (рад)
Расстояние от плоскости измерения до плоскости
приема:
R = 210 (мм)
Eo = 1
Длина волны излучения лазера:
λ = 0.0007328 (мм)
Волновой вектор:
k = 2

, k = 8.574
Диаметр пучка в зоне измерения:
b0 = 0.15
(мм)
Диаметр частицы:
D = 0.05 (мм)
Сопротивление нагрузки ФЭУ:
Rn = 50 (Ом)
Заряд электрона:
e1 =
1.6021917
10-19 (Кл)
Частота излучения лазера:

, 
(мм/с)
Квантовая эффективность ФЭУ:
η = 0.2
- Коэффициент усиления ФЭУ:
M = 105
- Константы:
· число π = 3.142
· постоянная Планка: h
= 6.626196 
10-34 (Дж)
· скорость света: с = 3
1011 (мм/с)
- Координаты зоны измерения:
y=0, z
= 0, m=10, n
= 10
Расстояние между пучками в плоскости приема:
Si = 2
,

= 14.685 (мм)
Период интерференционного поля:

(мм)
Основание функции Бесселя:

Коэффициенты, отображающие составляющие функции
Бесселя:
Координаты частицы в зоне измерения:

(мм)

(мм)

(мм)
- Интенсивность перераспределения:

, где
I1 = INT1,
I2 = INT2, 
= INT3
Интенсивность 1-го пучка:
- Интенсивность 2-го пучка:
Средний квадрат поля
рассеивания (корень из произведения 2-х интенсивностей пучков):
.4 Координаты зоны измерения
Диапазон значений координаты х
частицы в зоне измерения:
- Интенсивность в зоне измерения:
Построим синфазные сигналы на выходе
фотоприемников (рис.2.13 - 2.15.):
Рис. 2.13. Амплитуда сигнала на выходе 1-го
фотоприемника
Рис. 2.14. Амплитуда сигнала на выходе 2-го
фотоприемника
Рис. 2.15. Разность интенсивностей 1-го и 2-го
пучков
2.5 Расчет градуировочных характеристик датчика
Угол пересечения пучков:
α = 8deg
= 0.14 (рад)
Расстояние от плоскости измерения до плоскости
приема:
R = 210 (мм)
Интенсивность излучения:
Eo = 1
Длина волны излучения лазера:
λ = 0.0007328 (мм)
Волновой вектор:
k = 2

,
b0 = 0.1 (мм)
Диаметр частицы:
D = 0.001,
0.002..0.1 (мм)
Сопротивление нагрузки ФЭУ:
Rn = 50 (Ом)
Заряд электрона:
e1 =
1.6021917
10-19 (Кл)
Частота излучения лазера:

, 
(мм/с)
Квантовая эффективность ФЭУ:
η = 0.2
- Коэффициент усиления ФЭУ:
M = 105
- Константы:
· число π = 3.142
· постоянная Планка: h
= 6.626196 
10-34 (Дж)
· скорость света: с = 3
1011 (мм/с)
Координаты зоны измерения:
y=0, z
= 0, m=10, n
= 10
Расстояние между пучками в плоскости приема:
Si = 2
,

= 14.685 (мм)
Период интерференционного поля:

(мм)
Основание функции Бесселя:

Значение координаты х:
x = 
= 2.626

Коэффициенты, отображающие
составляющие функции Бесселя:
Коэффициенты (1-й пучок):
Первая часть зоны измерения (формула элипсоида):


Вторая часть зоны измерения:

,
Третья часть зоны измерения:


Четвертая часть зоны измерения:


Зависимость интенсивности
рассеянного излучения 1-го пучка от диаметра частицы:
Коэффициенты (2-й пучок):
Первая часть зоны измерения (формула
элипсоида):


Вторая часть зоны измерения:

,
Третья часть зоны измерения:


Четвертая часть зоны измерения:


Зависимость интенсивности
рассеянного излучения 2-го пучка от диаметра частицы:
Построение градуировочных
характеристик датчика:
Рис. 2.16. Зависимость амплитуды
сигнала от диаметра частицы на выходе 1-го фотоприёмника
Рис. 2.17. Зависимость амплитуды сигнала от
диаметра частицы на выходе 2-го фотоприёмника
Рис. 2.18. Градуировочная характеристика
суммарного рассеянного излучения
Таким образом, построив градуировочные
характеристики для рассеянного излучения на выходе 1-го и 2-го фотоприёмников
видно, что при увеличении диаметра частицы возрастает интенсивность рассеянного
излучения.
3. Метод Мюллера и Джонса
Расчетные методы Мюллера и Джонса чрезвычайно
полезны для определения влияния различных поляризаторов и фазовых пластинок на
проходящий через них пучок света. Метод Мюллера применим также к рассеянию
света.
Метод Мюллера представляет собой матричное
описание светового пучка и оптического устройства, через которое проходит свет,
и позволяет вычислить результат взаимодействия света с этим устройством.
Преимущества метода Мюллера состоят в том, что
он дает возможность: а) сконцентрировать все необходимые для описания пучка
света параметры в едином выражении, б) записать в едином выражении все
параметры поляризатора или фазовой пластинки и в) получить результат
взаимодействия света с системой различных оптических элементов (поляризаторы,
фазовые пластинки, рассеивающие устройства) рассеивающие устройства) путем
простого перемножения соответствующих выражений по определенным правилам.
Пучок света описывается вектором Стокса,
определяемым четырьмя параметрами I,
М, С, S, которые связаны с
интенсивностью, преимущественной горизонтальной поляризацией, преимущественной
поляризацией под углом +45° и преимущественной правой круговой поляризацией.
Этот вектор записывается обычно в виде вертикального столбца или (менее
формально) в виде горизонтальной строки:

или {I, M, C, S}.
Спектральная ширина пучка
предполагается, с одной стороны, достаточно большой для того, чтобы свет мог
быть неполяризованным, а с другой стороны - достаточно малой, чтобы применяемые
оптические устройства можно было считать ахроматическими.
Выражение, описывающее любое
оптическое устройство (поляризатор, фазовую пластинку и т. д.), называется
матрицей Мюллера. Она состоит из четырех строк и четырех столбцов 4
4-матрица) и содержит, таким
образом, 16 элементов. К счастью, во многих случаях большинство элементов равно
нулю. Конкретные матрицы характеризуют не только само устройство, но и его
ориентацию (азимут).
Матрица описывает оптическое
устройство по отношению только к одному выходящему пучку света. Так, с помощью
матрицы Мюллера можно исследовать только один из двух пучков, выходящих из
призмы Волластона. Если же оба они представляют интерес, то необходимо
пользоваться двумя матрицами и провести два отдельных расчета.
Метод расчета, предложенный в 1940 и
1941 гг. Джонсом, представляет собой другой способ, в котором входящий пучок
описывается с помощью вектора, оптическое устройство - с помощью матрицы, а
результат взаимодействия также получается умножением вектора на матрицу.
Преимущества метода Джонса по сравнению с методом Мюллера состоят в том, что,
во-первых, в нем используются матрицы меньшего размера BX2 вместо 4X4) и,
вовторых, метод применим для решения таких задач, в ко- торых необходимо
учитывать фазовые соотношения. В методе Джонса многие элементы матриц являются
комплексными. Однако метод Джонса совершенно неприменим к деполяризующим
устройствам. Таким образом, каждый метод имеет свои недостатки и преимущества.
При использовании метода Джонса
необходимо записать вектор Джонса для входящего света, затем выписать
соответствующие матрицы Джонса для поляризаторов и фазовых пластинок, через
которые проходит свет, и, перемножая эти выражения, получить вектор Джонса для
выходящего света.
Вектор Джонса, введенный Джонсом в
1941 г., описывает поляризованный луч с максимальной алгебраической краткостью
и чрезвычайно удобен при решении тех задач, в которых важно учитывать фазовые
соотношения между пучками. Вектор Джонса представляет собой столбец из двух
элементов, который описывает форму поляризации пучка и амплитуду компонент в
некоторой точке луча. Если свет распространяется вдоль оси Z, то вектор имеет
общую форму:

, или 
, или 
где Ех и Еу - скалярные компоненты
электрического вектора в определенный момент вдоль осей X и У, Ах -
максимальная величина Еx а Ау - максимальная величина Е;
параметр 
- фаза компоненты Ех в момент
времени t = 0 в
заданной точке; еу - фаза компоненты 
.
Вообще говоря, каждый элемент
столбца является комплексной величиной. Мы можем привести вектор к следующей
эквивалентной форме:
Так как абсолютная величина любого
члена вида 
равна единице, то абсолютное
значение множителя. Современные методы описания поляризованного света 
Тоже равно единице. Следовательно,
этот коэффициент вполне можно опустить при решении тех задач, в которых не
существен характер изменений во времени. В большинстве задач такого типа вектор
Джонса часто записывается в следующей форме, называемой полным вектором Джонса:
Каждая матрица описывает данное
устройство при заданной ориентации и для фиксированной входной поверхности.
Чтобы определить матрицу Джонса, исходят из обычного математического выражения,
описывающего монохроматический (поляризованный) цуг волн и математическим путем
определяют те изменения, которые возникают при введении на пути света данного
поляризатора или фазовой пластинки.
Чтобы найти результат действия
последовательности оптических устройств на полностью поляризованный пучок,
справа следует записать вектор Джонса входящего пучка, затем справа налево -
матрицы проходимых светом устройств, так что матрица самого последнего
устройства оказывается расположенной слева. Результат умножения зависит от
того, в какой последовательности записаны матрицы.
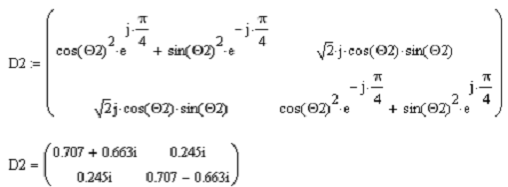
.1 Расчет по методу Мюллера
прохождения неполяризованного лазерного пучка через преобразователь поляризации
Задание:
Пусть на преобразователь поляризации
(ПП) рис. 3.1. , который состоит из последовательно установленных линейного
поляризатора П, линейной фазовой полуволновой пластины λ/2, а также
линейной четвертьволновой фазовой пластины λ/4, падает неполяризованное
излучение, вектор Стокса для которого имеет вид {1, 0, 0, 0}. Необходимо
рассчитать вектор Стокса лазерного пучка на выходе ПП.
Рис. 3.1. Преобразователь поляризации (ПП)
Решение:
1. Определим матрицы Мюллера для
каждого оптического элемента. Матрица Мюллера линейного поляризатора: θ1=180
. Матрица Мюллера для полуволновой
фазовой пластины λ/2:
θ2=70
. Матрица Мюллера для
четвертьволновой фазовой пластины λ/4: θ3=30
. Матричное уравнение для прохождения луча через
все оптические элементы:
где А̋ - вектор Стокса на выходе ПП.
. Матрица Мюллера для всего поляризованного
преобразователя:
. Вектор Стокса на выходе ПП:
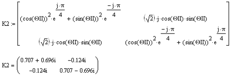
3.2 Расчет по методу Джонса прохождения
полностью поляризованного лазерного пучка через оптическое устройство
Задание:
Пусть левоциркулярно поляризованное излучение с
единичной интенсивностью, которое описывается вектором Джонса

,
падает на оптическое устройство ОУ
(рис. 3.2.), состоящее из последовательно установленных следующих четырех
оптических элементов:
) линейного поляризатора - П1;
) линейной фазовой четвертьволновой
пластины - λ/4;
) линейного поляризатора - П2;
) правоциркулярной фазовой 90
-пластины - П3;
Необходимо рассчитать вектор Джонса,
лазерного пучка, на выходе ОУ.
Рис. 3.2. Оптическое устройство (ОУ)
Решение:
1. Определим матрицы Джонса для
каждого оптического элемента. Матрица Джонса линейного поляризатора П1: θ1=90
2. Матрица Джонса для
четвертьволновой фазовой пластины λ/4: θ2=85
j = 
3. Матрица Джонса для линейного
поляризатора П2:
θ3=55
4. Матрица Джонса для
правоциркулярной фазовой 90
-пластины - П3:
. Матричное уравнение Джонса для прохождения
левоциркулярного луча всех элементов ОУ:
В - единичная интенсивность лазерного луча на
входе ОУ
. Вектор Джонса лазерного пучка на выходе ОУ:
. Матрица Джонса для ОУ:
8. Вектор Джонса лазерного пучка на выходе ОУ:
.3 Сравнение методов расчета Мюллера и Джонса
Задание:
Пусть левоциркулярно поляризованное излучение с
единичной интенсивностью, которое может описываться соответственно либо
вектором Джонса, либо вектором Стокса

, {1, 0, 0, 0},
падает га оптическое устройство ОУ
(рис. 3.2.), состоящее из последовательно установленных:
) линейного поляризатора - П1;
) линейной фазовой четвертьволновой
пластины - λ/4;
3) линейного поляризатора - П2;
) правоциркулярной фазовой 90
- пластины - П3;
Решение:
. Матрица Мюллера линейного
поляризатора: θ1=90
:
. Матрица Мюллера для полуволновой
фазовой пластины λ/2:
θ2=135
. Матрица Мюллера для
четвертьволновой фазовой пластины λ/4: θ3=135
для правоциркулярной фазовой 90
-пластины:
4. Матричное уравнение для
прохождения луча через все оптические элементы:
. Матрица Джонса для всех элементов
ОУ:
для линейного поляризатора П1: θ1=90
для четвертьволновой пластины - λ/4:
θ2=135
для линейного поляризатора П2: θ3=135
для правоциркулярной фазовой 90
-пластины:
Выводы
Таким образом, выполнив расчеты по методам
Мюллера и Джонса, можем их сравнить.
Расчеты по методам Мюллера и Джонса имеют много
общего. В обоих случаях свет описывается стандартным способом и ответ получается
с помощью элементарных действий матричной алгебры, выполняемых по заданным
правилам. Требуется лишь отыскать в таблицах нужные векторы и матрицы и
произвести умножение.
В обоих типах расчета используются матрицы
совокупности, представляющие собой наиболее сжатую запись самых существенных
свойств данной последовательности оптических устройств. Кроме того, и в том и в
другом методе употребляются матрицы поворота. Однако между этими методами
имеются и важные различия:
. Расчет Мюллера применим и для таких систем, в
которых происходит деполяризация пучка, тогда как расчет Джонса в этом случае
неприменим.
. Расчет Мюллера имеет лишь феноменологическое
обоснование и не связан с электромагнитной теорией, тогда как расчет Джонса
выводится непосредственно из этой теории.
. Расчет Джонса позволяет учитывать абсолютную
фазу, в расчетах же Мюллера фаза совершенно не рассматривается.
. Расчет Джонса применим к рассмотрению
комбинации двух когерентных пучков. Расчет Мюллера для этого не пригоден или
связан с очень большими трудностями.
. В методе Мюллера первый элемент вектора Стокса
непосредственно характеризует интенсивность. Вектор, используемый в методе
Джонса, непосредственно интенсивности не содержит; чтобы ее определить, надо
найти сумму квадратов элементов.
. Элементы матриц Джонса связаны с амплитудой
пропускания, а элементы матриц Мюллера - с интенсивностью пропускания.
. Метод Джонса удобен для решения задач,
связанных с большим числом оптических устройств, регулярным образом
объединенных в серии. Он дает точный ответ, выраженный через n
- число таких устройств. Метод Мюллера для этой цели неудобен.
. Матрицы Джонса для совокупности поглощающих, а
также непоглощающих и недеполяризующих поляризаторов и фазовых пластинок не
содержат избыточной информации. Матрицы имеют по четыре элемента и содержат
восемь констант, ни одна из которых не является функцией какой-либо другой.
Матрицы Мюллера для таких совокупностей содержат много избыточной информации: в
них входят шестнадцать констант и только семь из них независимы.
. Из матриц Джонса для двупреломляющих
дихроичных устройств можно с помощью дифференцирования получить информацию о
свойствах, не зависящих от размера устройства. В методе Мюллера эта возможность
практически отсутствует.
Литература
лазерный однокомпонентный измеритель вибрация
1. А. Джерард, Д.М. Бери.
Введение в матричную оптику. М. - “Мир”, 1965. - 341с.
. Ванюрихин А.Н.,
Герчановская В.П. «Оптико-электронные поляризационные устройства». Издательство
"Техника", К., 1989.- 160с.
. Ватсон Г.Н. Теория бесселевых
функций. - М.: ИЛ, 1949. - Т. I. -798с.
. Землянский В. М. Лазерный
однокомпонентный измеритель вибрации.
А. с. СССР № 1341498, приоритет от
31.10.1983
. Интернет:
· <http://pda.coolreferat.com/>
Лазерные измерители вибрации, виброметры
· <http://en.wikipedia.org/wiki/Spatial_filter>
· www.physics.org.ua/lectures/3/difr-1.doc
<http://www.physics.org.ua/lectures/3/difr-1.doc>
6. Ландсберг Г.С. Оптика.
Учебн. пособие: Для вузов.
- 6-е узд., стерео. - М.: ФИЗМАТЛИТ, 2003. - 848с.
. Макаров Е. Г. Mathcad:
учебный курс. - Издат.: Питер, 2009. - 384c.
. Р. Кольер, К. Беркхарт, Л.
Лин "Оптическая голография", "Мир", Москва, 1973. - 686c.
. Сивухин Д. В. Общий курс
физики. Том 4. Оптика, 1980. - 768c.
. У. Шерклифф.
«Поляризованный свет»: М. - “Мир”, 1965. - 185с.