Закон Кирхгофа
Задание 1
Исходные данные:
Таблица 1.1
|
№
вар
|
E1,
B
|
E2,
B
|
J,
A
|
R1,
Ом
|
R2,
Ом
|
R3,
Ом
|
R4,
Ом
|
R5,
Ом
|
R6,
Ом
|
|
1
|
10
|
20
|
0,2
|
100
|
40
|
100
|
50
|
80
|
60
|
Таблица 1.2
|
Состав
ветвей
|
|
1
|
2
|
3
|
4
|
5
|
6
|
|
13
|
4
|
R1,R3
|
E2,R2
|
E1
|
R4
|
R5
|
R6,J
|
|
|
|
|
|
|
|
|
Исходная схема представлена на рисунке 1.
Рис. 1.1
Рис. 1.2
Составим и решим систему уравнений по законам
Кирхгофа:
Найдем все токи цепи, используя первое и второе
уравнения Кирхгофа.
По первому уравнению мы составляем (nу-1)
уравнений, где nу - количество неустранимых узлов в цепи. В нашем случае мы
составляем 4-1=3
J-I5-I=0
I4+I5-J=0
I+I2-I1=0
По второму уравнению Кирхгофа мы составляем (
уравнений, где nв - число ветвей дерева и ветвей
связи; nJ - число ветвей дерева или ветвей связи с источником тока; nу -
количество узлов в цепи. Уравнения по второму закону Кирхгофа пишутся для
контуров (главных контуров), не содержащих ветви с источником тока и
отличающихся друг от друга хотя бы одной ветвью. В
нашем
случае
(6-1)-(4-1)=2
*(R1+R3)+I2*R2=E1*R5-I4*R4+I2*R2=E1+E2
Таким образом, получим систему, состоящую из 5
уравнений:
J-I5-I=0 +I5-J=0 +I2-I1=0
*(R1+R3)+I2*R2=E1
I1*R5-I4*R4+I2*R2=E1+E2
Решив данную систему с помощью MathCAD получаем
следующие токи:=-0,34 mA
I1= -0,015 mA= 0,325 mA=-0,34 mA=
0,54 mA
Баланс мощности:
При составлении баланса мощности необходимо
знать направление и величину напряжения на источнике тока UJ. Для этого
произвольно выбирается направление напряжения на источнике тока UJ.
Записывается уравнение по второму закону Кирхгофа для контура, включающего UJ.
Выражаем
UJ:
+ J*R6 - I5* R5=0 → UJ = J*R6
+ I5* R5
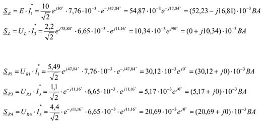
E2* I +E1* I2 +UJ*J =25,9 ≈26
(Вт);*(R1+R3
)+ I42*R4 + I42* R4+ I52*R5 + J 2* R6 = 26,1≈26 (Вт)
26=26
Задание 2
Таблица 2.1 - Система ветвей
|
Nb
|
1
|
2
|
4
|
5
|
6
|
|
2
|
R1
|
R2
|
R3
|
C
|
R4,
L
|
-
|
Таблица 2.2 - Исходные данные
|
№
вар.
|
ω,
с-1
|
R1,
кОм
|
R2,
кОм
|
R3,
кОм
|
R4,
кОм
|
L,
мГн
|
C,
мкФ
|
Еm,
В
|
,
|
|
1
|
103
|
0,5
|
0,2
|
0,1
|
0,4
|
200
|
2
|
10
|
0
|
Исходная схема

Рис. 2.1
кирхгоф уравнение ток цепь
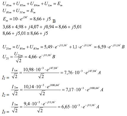
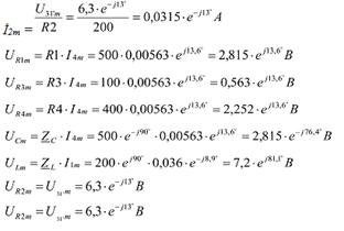
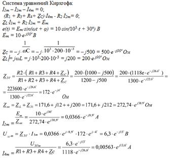
Система уравнений Кирхгофа:
Приборы покажут:
вольтметр U21 = 4,66 В
амперметр I1 =7,76 мА, I2 = 7,17 мА, I3 = 6,65
мА