Голографическая память
Санкт-Петербургский
государственный политехнический университет
Радиофизический
факультет
Кафедра
квантовой электроники
КУРСОВАЯ
РАБОТА
«Голографическая
память»
направление
223200.68 - Техническая физика
программа
подготовки магистров «Оптическая физика и квантовая электроника»
Выполнил
студент гр. 5093/11 С.В.
Парамонов
Преподаватель
доцент, к.ф.-м.н. М.Г.
Высоцкий
Санкт-Петербург
Содержание
память информация голографический молекулярный
Введение
1. Голограммы,
нанотехнологии, молекулы
2. Голографическая память
2.1 Принцип работы системы
голографического хранения информации
3. Предел емкости записи,
накладываемый динамическим диапазоном
4. Предел емкости записи,
накладываемый угловой шириной полосы
5. Возможные применения
голографических запоминающих устройств
6. Info-MICA
7. InPhase Technology
8. Материалы для записи
Заключение
Библиографический список
Введение
На голограммах может быть записана как двумерная, так и трехмерная
информация. Эта информация может быть в форме цвета или кода, графической или
буквенно-цифровой. Она может быть записана на поверхности голограммы или в ее
объеме, пространственно разделена или наложена при записи, храниться постоянно
или быть стираемой. Части этой записи могут не иметь никакого отношения друг к другу
или могут быть попарно связаны, могут представлять собой опознаваемые образы
или совершенно непонятные узоры. Предполагаемая область применения
голографической записи информации простирается от музейных каталогов до
кодированных кредитных карточек.
В наш век компьютеров проблема хранения информации для вычислительных
машин привлекает наибольшее внимание. Более того, область применения
голографических методов записи информации для ЭВМ весьма широка. При этом
существенное значение имеет быстрота доступа к хранящейся информации.
Голографическая память развивается, начиная с работ Питера ван Хеердена
(Pieter J. Van Heerden), сотрудника фирмы Polaroid. Он предложил идею хранения
данных в трех измерениях еще в 1963 г., а сегодня некоторые производители уже приступили
к коммерческому выпуску голографических ЗУ.
Используемая технология позволяет записать и прочитать миллионы бит
данных за одну вспышку лазера. Предельная объемная плотность информации N (N ~ λ3
~ ~ 1012 bit/cm3) определяется
длиной волны излучения.
1. Голограммы, нанотехнологии, молекулы…
Конечно, кроме традиционных направлений развития технологий памяти, в
последнее время на первый план все смелее показываются новые
высокотехнологичные решения, использующие голографические методы, нанотехнологии
и молекулярные способы. Исследователи в области оптики открыли потенциальную
возможность создания голографической памяти. Оказывается, за счет кодирования
голограммы в один блок данных можно значительно увеличить плотность записи. При
этом и скорость доступа к данным останется на высоком уровне. Технологически
это выглядит следующим образом: голографический образ записывается в
специальный блок данных, состоящий из определенного светочувствительного
материала, затем с помощью лазера эти данные считываются. Ученые теоретически
предсказывают плотность записи в 1 Тб на кубический сантиметр! Но масштабному
запуску производства голографической памяти мешает множество проблем, связанных
с необходимостью использовать сложные оптические системы, а также с подбором
оптимального материала для носителя. Светочувствительные элементы, существующие
сейчас, обладают слабой чувствительностью, что существенно затрудняет их
использование для записи данных.
Кроме голографической памяти, можно упомянуть молекулярную память. Ученые
одного из центров по молекулярной электронике изготовили систему, которая
использует для запоминания цифровые биты определенных белковых молекул, которые
присутствуют в различных микроорганизмах, проживающих преимущественно в соляных
болотах. Фотоцикл этих молекул доводит их до состояния либо логического нуля,
либо единицы, а в результате получаем практически идеальный триггер. Ученые уже
построили первый прототип системы памяти. Многие эксперты склоняются к тому,
что молекулярная память может в недалеком будущем составить достойную
конкуренцию полупроводниковой и побить ее целым набором преимуществ, таких как
энергонезависимость и работоспособность в большем диапазоне температур.
Нанотехнологии все активнее проникают в нашу жизнь. К примеру, ученые из
Дрезденского института IFW создали запоминающие элементы, выполненные на основе
нанотрубок с ферромагнитным наполнителем. В опытах были использованы углеродные
нанотрубки диаметром 10 нм, внутрь которых помещались атомы кобальта или
железа. Если результаты экспериментов подтвердятся, то теоретически можно
считать возможным создание принципиально нового вида памяти, плотность записи
которого в 1000 раз выше привычной нам. Тем не менее, даже при самом счастливом
исходе ожидать появления подобной нанопамяти в ближайшем будущем не стоит:
помимо технологии хранения данных, важно еще создать соответствующее аппаратное
обеспечение, способное работать в таких масштабах.
2. Голографическая память
Устройства, использующие свет для записи и считывания данных являются
основными уже достаточно долгое время. Появление компакт-дисков в начале 80-х,
которые позволяли сохранять сотни мегабайт (783) на диске диаметром меньше 12
сантиметров и не толще 1.2 мм. В 1997 году появилась усовершенствованная версия
этой технологии - DVD, которая позволила сохранять существенно больше
информации (15.9 GB двухслойный стандарт) на носителе аналогичного размера.
Голографическая память, которая в отличие от описанных выше технологий,
использующих только поверхность носителя, предполагает работу со всем его
объемом. Трехмерное хранение информации позволит существенно увеличить емкость
и уменьшить размеры информационных носителей.
Голографическая память позволит хранить около 1 терабайта в кристалле,
соизмеримом с кубиком сахара. Исследователи из RCA Laboratories демонстрировали
технологию записи 500 голограмм на небольшом кристалле. Успех дешевой
полупроводниковой памяти на некоторое время стал причиной прекращения работ в
данном направлении. Только совсем недавно IBM и Lucent's Bell Labs возобновили
исследования. Вот основные части, которые необходимы для построения системы
(рис. 2.1) голографического хранения информации:
· Аргоновый лазер.
· Устройство, которое позволит разделить луч.
· Зеркала, для смены направления
· LCD панель
· Линзы
· Фотополимер
· (CCD) Сamera
Рис. 2.1 Система голографического хранения информации
2.1 Принцип работы системы голографического хранения
информации
Луч, аргонового лазера, разделяется на два. Первый называется сигнальным,
он проходит через пространственный светомодулятор, которым является LCD
дисплей, на котором страница данных отображается в виде матрицы, состоящей из
светлых и темных пикселей (двоичные данные). После этого сигнальный луч
содержит необходимые нам данные. Затем данный луч попадает на фотополимер или
на кристалл другого типа. Второй луч, называемый связывающим, попадает на
информационный носитель сразу. Оба луча направляются внутрь
светочувствительного кристалла, где и происходит их взаимодействие. В
результате этого взаимодействия образуется интерференционная картина, которая и
является основой голограммы и запоминается в виде набора вариаций показателя
преломления или коэффициента отражения внутри этого кристалла.
При чтении данных кристалл освещается опорным лучом, который, взаимодействуя
с хранимой в кристалле интерференционной картиной, воспроизводит записанную
страницу в виде образа "шахматной доски" из светлых и темных пикселей
(голограмма преобразует опорную волну в копию предметной). Затем этот образ
направляется в матричный детектор, основой для которого служит прибор с
зарядовой связью (CCD - Charge-Coupled Device или ПЗС), захватывающий всю
страницу данных.
При чтении данных опорный луч должен падать на кристалл под тем же самым
углом, при котором производилась запись этих данных, и допускается изменение
этого угла не более чем на градус. Это позволяет получить высокую плотность
данных: изменяя угол опорного луча или его частоту, можно записать
дополнительные страницы данных в том же самом кристалле.
Динамическая область среды определяется количеством страниц, которые она
может реально вмещать, поэтому разработчики и занимаются исследованием
ограничений на светочувствительность материалов.
Наглядно процессы записи и считывания показаны на рис. 2.1.1 и рис. 2.1.2
соответственно.
Рис. 2.1.1 Сохранение данных
Рис. 2.1.2 Чтение данных
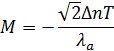
3. Предел емкости записи, накладываемый динамическим
диапазоном
Если регистрирующая среда экспонируется единичной элементарной
интерференционной картиной с интенсивностью
(3.1)
и изменение показателя преломления линейно связано с экспозицией, то
показатель преломления можно записать в виде:
(3.2)
где
- среднее значение показателя преломления среды после
однократной экспозиции;
- амплитуда модуляции показателя преломления;
- вектор решетки (К = 2π/d). Предположим, что на
светочувствительную среду последовательно действуют М экспозиций вида (3.1).
Каждая из них характеризуется произвольным вектором решетки
и произвольной фазовой постоянной
и модуляция показателя преломления
для каждой решетки линейно зависит от экспозиции. Показатель преломления среды
в этом случае становится равным:
где
- среднее значение показателя преломления после М
экспозиций. Представим себе наихудший из возможных случаев, а именно будем
считать, что в какой-то точке среды все наложенные друг на друга синусоидальные
модуляции показателя преломления точно совпали по фазе. В этом случае они
сложатся и возникнет суммарная модуляция, равная
Предположим, что минимальная величина суммарной модуляции равна нулю, а
максимальная ∆n. Пусть для
рассматриваемой точки регистрирующей среды максимальный динамический диапазон ∆n оказывается полностью использованным
при М экспозициях. Это можно выразить как
Каждое значение
может быть записано следующим образом:
Далее, каждый отдельный освещающий пучок должен взаимодействовать только
с одной голограммой из набора; это означает, что углы
должны различаться по крайней мере
на угол Ф = 2
, определяемый из формулы (Полной угловой ширина полосы между
нулевыми значениями дифракционной эффективности:
). В качестве последнего упрощающего
предположения примем, что все голограммы записаны при угле Брэгга, лежащем
вблизи угла
= 45°, так что cos
≈ 1/
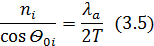
для всех i. Из формулы (3.5) следует

откуда вытекает, что при указанных выше условиях количество голограмм,
которое можно записать в среде с модуляцией показателя преломления ∆n, равно
Для
м, Т = 1 см, ∆n = 10-3 получаем, что М =
28, т. е. не очень большое число. Пусть, однако, голограммы зарегистрированы
так, что дифракционная эффективность каждой в отдельности составляет 50%. D этом случае число М увеличивается
вдвое, т.е. равно 56. Если отказаться от требования строгой линейности
соотношения между экспозицией и модуляцией показателя преломления, то число М
может увеличиться до 100.
4. Предел емкости записи, накладываемый угловой шириной
полосы
Чтобы подсчитать влияние на предельную емкость записи конечной угловой
ширины полосы Ф, в которой голограмма откликается на падающий свет,
предположим, что существует толстослойный регистрирующий материал с
неограниченным диапазоном ∆n. При построении системы памяти желательно
записывать каждую голограмму при определенном значении угла между фиксированным
направлением предметного пучка и меняющимся направлением опорного пучка. В этом
случае любая из опорных волн при освещении блока памяти вызовет дифракцию
только от той решетки, в образовании которой она участвовала, и восстановит
только связанную с ней предметную волну, удовлетворяющую условию Брэгга. При
последующем обсуждении мы не будем учитывать эффектов второго порядка,
возникающих при взаимодействии восстановленной волны с другими решетками.
Рассмотрим угловой диапазон Ω, в котором лежит направление опорного
луча; пусть этот диапазон симметричен относительно угла между предметным и
опорным лучами 2
(рис. 4.1). Под углом
опорный пучок пересекает изофазные
поверхности внутри регистрирующей среды; этот угол фигурирует в законе Брэгга:
где
- показатель преломления среды, используемой для записи
информации; λ - длина волны света в среде;
- длина волны в воздухе.
Рис. 4.1 Элементарная голограмма в трехмерной среде
Следует отметить, что на рис. 4.1 весь диапазон углов Ω выбран так, что он лежит в одной
плоскости. Мы накладываем это ограничение на Ω, исходя из следующих соображений.
Условие Брэгга (4.1) для дифракционных решеток, образованных двумя плоскими
волнами, удовлетворяется в том случае, когда направления освещающих волн
образуют коническую поверхность, ось которой нормальна к плоскостям решетки
(рис. 4.2). На практике для произвольного предметного волнового фронта
голограмма представляет собой совокупность систем изофазных поверхностей,
каждая из которых характеризуется своим конусом брэгговских углов. Только угол,
под которым падает исходный опорный пучок, удовлетворяет условию Брэгга для
всех изофазных поверхностей. Однако при освещении голограммы лучами,
распространяющимися в любом из направлений, определяемых этими конусами, будет
происходить частичное восстановление предметной волны. Если надо избежать
взаимных помех, то опорные пучки при записи дополнительных голограмм не должны
идти ни по одному из этих направлений. Чтобы обеспечить выполнение этого
требования, можно воспользоваться следующим простым способом: выберем
направления опорных пучков так, чтобы они лежали в одной плоскости, и
надлежащим образом разделим направления в этой плоскости. Как мы увидим ниже,
при таком ограничении удается все же записать намного больше голограмм, чем при
ограничении, накладываемом условием максимального динамического диапазона (см.
п. 3 настоящей работы).
Когда все опорные пучки лежат в одной плоскости, предельное число
голограмм N, записываемых без взаимных помех, можно получить путем деления
диапазона Ω на угловую ширину полосы Ф каждой голограммы. Таким образом,
Подставляя примерные значения величин в (4.2), нетрудно убедиться в
преимуществе толстослойных голограмм в качестве элементов памяти. Если выбрать Ω
= 20°,
=
2,0, λ = 0,5 мкм,
= 45° и Т = 1 мм, то Ф = 0,02°, и мы
получим, что в среде толщиной 1 мм можно записать N = 1000 голограмм без
взаимных помех первого порядка.
5. Возможные применения голографических запоминающих
устройств
Рис. 5.1 Применение голографических запоминающих устройств
Работы по созданию голографической памяти начались более 40 лет назад, и
сегодня ряд компаний, например NTT и Optware в Японии, InPhase Technology в
США, имеют законченные разработки с голографическими дисками (Holographic
Versatile Disc - HVD) и картами (Holographic Versatile Card - HVC), и наконец
приступают к продаже своих первых коммерческих приборов. Рассмотрим несколько
голографических устройств, уже вышедших на рынок.
6. Info-MICA
Компания NTT продемонстрировала прототип накопителя высокой емкости, в
основу которого положена технология многослойной тонкопленочной голографии, и
устройство для считывания данных (рис.6.1, рис.6.2). Емкость носителя (сто слоев)
размерами с почтовую марку - 1 Gb. Новая карта памяти была названа Info-MICA
(Information-Multilayered Imprinted CArd), так как ее многослойная структура
похожа на структуру породы слюды. Запись информации производится следующим
образом. Сначала цифровые данные перекодируются в двухмерные изображения,
которые затем преобразуются в голограмму с помощью технологии CGH (Computer
Generated Hologram), и наконец эти голограммы записываются в виде особых
структур на слоях носителя. Слои представляют собой волноводы. Когда луч лазера
фокусируется на торце такого волноводного слоя, он начинает распространяться по
нему, рассеиваясь на записанных структурах. Рассеянный свет формирует
двухмерные изображения в плоскости, параллельной волноводному слою. Они
захватываются CCD-сенсорами и декодируются в исходные цифровые данные.
Достоинства новой технологии Info-MICA состоят в высокой плотности
записи, малых размерах дисковода, низком энергопотреблении, возможности
дешевого массового производства носителей, трудности несанкционированного
копирования данных с них и простоте утилизации.
В NTT полагают, что Info-MICA вследствие их дешевизны и малых размеров
могут заменить другие устройства ROM. Рассматривают их и как заменитель бумаги
в качестве носителя информации. Эти карты будут полезны при массовом
распространении игр, музыки, кинофильмов и электронных изданий, поскольку
клонирование их пиратами затруднено. Предполагаются и многие другие применения
новой технологии.
Первые кард-ридеры (стоимостью несколько сот долларов) и носители
емкостью 1 Gb ($1-2) уже появились на рынке. В планах компании - выпуск
Info-MICA ROM емкостью 10 Gb и разработка устройств записи и перезаписи
носителей.
|
Рис. 6.1
Голографическая карта Info-MICA
|
Рис. 6.2 Устройство чтения
|
|
Рис. 6.3 Относительный размер
|
7. InPhase Technology
Схема голографического устройства фирмы InPhase показана на рис. 7.1. Как
видим, здесь применена классическая схема с двумя неколлинеарными лучами.
Рис. 7.1 Схема оптики для голографической записи/чтения
данных фирмы InPhase Technology
Первый дисковод типа Tapestry HDS-300R (рис. 7.2.) оборудован встроенной
системой радиоидентификации (RFID) и использует диски 300 GB с однократной
записью, предназначенные для профессионального архивирования. Он имеет
SCSI-интерфейс со скоростью передачи 20 MBps, среднее время доступа 250 мс.
Длина волны лазера - 407 нм, объем страницы - 1,4 Mb, вероятность ошибки не
превышает 10-15. Среднее время безотказной работы - 100 000 ч. Носителем служит
диск 130 мм, размещенный в картридже размером 5,25×6×0,25",
срок хранения записи -
до трех лет, архивного хранения - более 50 лет.
Рис. 7.2 Голографический накопитель HDS-300R фирмы InPhase
Technology
В ближайшей перспективе - создание конструкции с многократной
перезаписью. Планируется также выпуск других изделий, подобных носителю 2 GB
также размером с почтовую марку, и устройства размером с кредитную карточку
емкостью 210 GB.
8. Материалы для записи
Одна из главных проблем в области хранения голографической информации -
создание подходящих материалов для записи. Голографические носители должны
удовлетворять строгим критериям, включая расширенный динамический диапазон,
высокую фоточувствительность, безусадочность, оптическую прозрачность,
неразрушающее считывание, термо- и влагостойкость, а также иметь низкую цену.
Разработчики нашли множество материалов: фазовращающие материалы,
фоторефрактивные кристаллы типа LiNbO3, органические полимеры, жидкие
кристаллы, полимеры со структурной поверхностью и даже такие экзотические
среды, как бактериородопсины в желатиновых матрицах. Самые дешевые в производстве
- фотополимеры. При освещении участка полимера поляризованным светом его
молекулы ориентируются и надолго сохраняют такое состояние (рис. 8.1).
Рис 8.1Простой участок полимера (слева) и освещенный
участок(справа)
Генетически модифицированный бактериальный белок может позволить создать
более эффективные устройства хранения информации. В отличие от обычных
двумерных носителей, голографическая память позволяет записывать информацию в
трёх измерениях. Первые голографические носители информации уже поступили на
рынок, однако перезапись информации в реальном времени пока для них
недостижима. Американские исследователи из Университета Коннектикута
продемонстрировали возможность создания перезаписываемой голографической памяти,
используя лазеры для записи данных на бактериальных белках. Новая технология
основана на использовании бактериородопсина бактерии Halobacterium salinarum -
светочувствительного мембранного белка, вырабатываемого микроорганизмом, когда
концентрация кислорода в среде становится опасно низкой. Поглощая квант света,
белок претерпевает серию химических превращений, приводящую к
"прокачке" протона через мембрану, что создаёт разность
электрохимических потенциалов на мембране и позволяет бактерии производить
энергию. В течение цепи химических превращений белок проходит через некоторые
конфигурации, которые могут быть использованы для создания голографических
изображений при освещении. В природных условиях время жизни промежуточных
конфигураций чрезвычайно мало: весь цикл длится всего 10-20 миллисекунд.
Однако, более ранние исследования продемонстрировали возможность путём
освещения красным светом на конечных стадиях цикла перевести белок в состояние,
стабильное в течение многих лет - так называемое Q-состояние.
Для создания голографического носителя информации приготавливается
суспензия бактериородопсина в полимерном геле. Луч зелёного лазера расщепляется
на два, в один из которых кодируются данные, после чего лучи интерферируют в
геле. Для считывания данных интерференционная картина освещается одним лучом
красного света. Стереть же данные можно синим лазерным лучом. Два луча лазера
зелёного цвета создают интерференционную картину в содержащем бактериородопсин
полимерном геле, помещённом между двумя стеклянными пластинами.
Заключение
Пожалуй, ошибочно рассматривать устройства голографической памяти как
радикально новую технологию, ибо ее основные концепции разработаны около 30 лет
назад. Если что и изменилось, так это доступность ключевых компонентов для этой
технологии - цены на них стали значительно ниже. Так, полупроводниковый лазер
уже не является чем-то диковинным, а давным-давно уже стал стандартом. С другой
стороны, SLM - это результат той же технологии, которая применяется при
изготовлении LCD-экранов для ПК-блокнотов и калькуляторов, а детекторная
матрица CCD позаимствована прямо из цифровой видеокамеры.
Итак, преимуществ у новой технологии более чем достаточно: кроме того,
что информация сохраняется и считывается параллельно, можно достичь очень
высокой скорости передачи данных и, в отдельных случаях, высокой скорости
произвольного доступа. А самое главное - практически отсутствуют механические
компоненты, свойственные нынешним хранителям информации (например, шпиндели с
гигантским числом оборотов). Это гарантирует не только быстрый доступ (для
данной технологии правильней сказать мгновенный) к данным, меньшую вероятность
сбоев, но и более низкое потребление электроэнергии, поскольку сегодня жесткий
диск - один из наиболее энергоемких компонентов компьютера. Правда, есть
трудности с юстировкой оптики, поэтому на первых порах данные устройства,
вероятно, будут все еще "бояться" сторонних "механических
воздействий".
Библиографический список
1. Р. Кольер,
К. Беркхарт, Л. Лин Оптическая голография: Учеб. пособие. М.:Мир, 1973. 687с.
2. Самков И. Перспективы
голографической памяти (<http://sensazen.com/ru/businessblog/182.htm>)
. ITC.UA
Голографическая память - шаг за суперпарамагнитный предел (<http://itc.ua/articles/golograficheskaya_pamyat_shag_za_superparamagnitnyj_predel_27096/>)
4. Bonsor K. How
holographic memory will work
(http://computer.howstuffworks.com/holographic-memory2.htm)