Газотурбинные двигатели для электростанций

  • Вид работы:
    Реферат
  • Предмет:
    Физика
  • Язык:
    Русский
    ,
    Формат файла:
    MS Word
    1,07 Мб
  • Опубликовано:
    2012-08-13
Вы можете узнать стоимость помощи в написании студенческой работы.
Помощь в написании работы, которую точно примут!

Газотурбинные двигатели для электростанций













Реферат

«Газотурбинные двигатели для электростанций»


Содержание

Введение

Газотурбинные установки (ГТУ)

Принцип работы газотурбинных установок

Газотурбинные электростанции

ГТЭ комбинированного цикла

Список литературы


Введение

В 1791 английский изобретатель Дж. Барбер впервые предложил идею создания ГТД с газогенератором, поршневым компрессором, камерой сгорания и газовой турбиной. Русский инженер П. Д. Кузьминский в 1892 разработал проект, а в 1900 построил ГТД со сгоранием топлива при постоянном давлении, предназначенный для небольшого катера. В этом ГТД была применена многоступенчатая газовая турбина. Испытания не были завершены из-за смерти Кузьминского. В 1900-04 немецкий инженер Ф. Штольце пытался создать ГТД, но неудачно. В 1906 французский инженер Р. Арманго и Ш. Лемаль построили ГТД, работавший на керосине, со сгоранием топлива при постоянном давлении, но из-за низкого кпд он не получил промышленного применения. В 1906 русский инженер В. В. Караводин спроектировал, а в 1908 построил бескомпрессорный ГТД с 4 камерами прерывистого сгорания и газовой турбиной, который при 10 000 об/мин развивал мощность 1,2 квт (1,6 л. с.). В 1908 по проекту немецкий инженера Х. Хольцварта был построен ГТД прерывистого горения. К 1933 кпд ГТД с прерывистым горением составлял 24%, однако они не нашли широкого промышленного применения. В России в 1909 инженер Н. В. Герасимов получил патент на ГТД, который был использован им для создания реактивной тяги (турбореактивный ГТД); в 1913 М. Н. Никольской спроектировал ГТД мощностью 120 квт (160 л. с.) с трёхступенчатой газовой турбиной; в 1923 В. И. Базаров предложил схему ГТД, близкую к схемам современных турбовинтовых двигателей; в 1930 В. В. Уваров при участии Н. Р. Брилинга спроектировал, а в 1936 построил ГТД с центробежным компрессором. В 30-е гг. большой вклад в создание авиационных ГТД внесли советский конструктор А. М. Люлька (ныне академик АН СССР), английский изобретатель Ф. Уиттл, немецкий инженер Л. Франц и др. В 1939 в Швейцарии был построен и испытан ГТД мощностью 4000 квт (5400 л. с.). Его создателем был словацкий учёный А. Стодола. В 1939 в Харькове, в лаборатории, руководимой В. М. Маковским, изготовлен ГТД мощностью 736 квт (1000 л. с.). В качестве топлива использован газ, получаемый при подземной газификации угля. Испытания этого ГТД в Горловке были прерваны Великой Отечественной войной. Большой вклад в развитие и совершенствование ГТД внесли советские учёные и конструкторы: А. Г. Ивченко, В. Я. Климов, Н. Д. Кузнецов, И. И. Кулагин, Т. М. Мелькумов, А. А. Микулин, Б. С. Стечкин, С. К. Туманский, Я. И. Шнеэ, Л. А. Шубенко-Шубин и др. За рубежом в 40-е гг. над созданием ГТД работали фирмы «Юнкерс», «БМВ» (Германия), «Бристол Сидли», «Роллс-Ройс» (Великобритания), «Дженерал электрик» и «Дженерал моторс» (США), «Рато» (Франция) и др.

Газотурбинные установки (ГТУ)

В процессе развития малой энергетики всё больше внимания уделяется газовым турбинам малой и средней мощности. Области применения газотурбинных установок практически не ограничены: нефтегазодобывающая промышленность, промышленные предприятия, муниципальные образования. Положительным моментом использования ГТУ в муниципальных образованиях является то, что содержание вредных выбросов в выхлопных газах NOх и CO находится на уровне 25 и 150 ppm соответственно (для сравнения у ГПА в несколько раз больше) позволяет устанавливать данное оборудование в черте города в жилом районе. Отдельное внимание стоит уделить возможности надстройки существующих котельных газотурбинными установками, что позволяет обеспечить надежное электроснабжение собственных нужд и снизить удельный расход топлива. Применение ГТУ в Мини-ТЭС экономически оправдано в комплексе с утилизационными контурами. Это обусловлено достаточно низким электрическим КПД газовой турбины 22…37%. При этом соотношение вырабатываемой электрической энергии и тепловой составляет 1:1,5; 2,5. В зависимости от потребностей ГТУ комплектуется паровыми или водогрейными котлами-утилизаторами, что позволяет получать либо пар (низкого, среднего, высокого давления) для технологических нужд, либо горячую воду с температурой выше 140 °С. Выработанное тепло может быть использовано для производства холодной воды. В этом случае, как потребителя тепловой нагрузки, подключают абсорбционную холодильную машину (тригенерация). В составе комплексной выработки энергии общий КПД станции возрастает до 90%. Максимальная эффективность использования ГТУ обеспечивается при длительной работе с максимальной электрической нагрузкой. В диапазоне мощностей порядка 10 МВт существует возможность использования комбинированного цикла газовых и паровых турбин. Это позволяет существенно повысить эффективность использования станции, увеличивая эл. КПД до 47%.

ГТУ предназначены для эксплуатации в любых климатических условиях как основной или резервный источник электроэнергии и тепла для объектов производственного или бытового назначения. Строительство таких электростанций в отдаленных (особенно северных) районах позволяет получить значительную экономию средств за счет исключения издержек на строительство и эксплуатацию протяженных линий электропередач, а для центральных районов - повысить надежность электрического, теплового снабжения как отдельных предприятий или организаций, так и территорий в целом.












Рис. 1 - Гидротурбинная установка

За основу строительства электростанций ГТУ взята концепция блочно-модульного построения. Электростанции состоят из максимально унифицированных отсеков и модулей, что позволяет в сжатые сроки создавать новые модификации агрегатов, а также совершенствовать, модернизировать устаревшие объекты с минимальными затратами.

Блочно-модульное исполнение обеспечивает высокий уровень заводской готовности газотурбинных электростанций. Они монтируются с применением универсальных грузоподъемных монтажных средств. Размеры блоков не превышают транспортные железнодорожные габариты.

Степень автоматизации газотурбинной электростанции позволяет отказаться от постоянного присутствия обслуживающего персонала в блоке управления. Контроль работы станции может осуществляться с главного щита управления, поставляемого вместе с комплектом оборудования энергоблока. Во время эксплуатации электростанции ее работу обеспечивают три человека: оператор, дежурный электрик, дежурный механик. При возникновении аварийных ситуаций для обеспечения безопасности персонала, сохранности систем и агрегатов энергоблока предусмотрена надежная система защиты.

Принцип работы газотурбинных установок

Рис. 2 - Схема ГТУ с одновальным ГТД простого цикла

Газовые турбины описываются термодинамическим циклом Брайтона Цикл Брайтона/Джоуля - термодинамический цикл, описывающий рабочие процессы газотурбинного, турбореактивного и прямоточного воздушно-реактивного двигателей внутреннего сгорания, а также газотурбинных двигателей внешнего сгорания с замкнутым контуром газообразного (однофазного) рабочего тела.

Цикл назван в честь американского инженера Джорджа Брайтона, который изобрёл поршневой двигатель внутреннего сгорания, работавший по этому циклу.

Иногда этот цикл называют также циклом Джоуля - в честь английского физика Джеймса Джоуля, установившего механический эквивалент тепла.





Рис. 3 - p, v диаграмма цикла Брайтона

Идеальный цикл Брайтона состоит из процессов

-2 Изоэнтропическое сжатие.

-3 Изобарический подвод теплоты.

-4 Изоэнтропическое расширение.

-1 Изобарический отвод теплоты.

С учётом отличий реальных адиабатических процессов расширения и сжатия от изоэнтропических, строится реальный цикл Брайтона (1-2p-3-4p-1 на T-S диаграмме)(рис.2)

Рис. 4 - I - S (T - S) диаграмма цикла Брайтона

Идеального (1-2-3-4-1)

Реального (1-2p-3-4p-1)

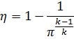
Термический КПД идеального цикла Брайтона принято выражать формулой:


где 𝛑 = p2 / p1 - степень повышения давления в процессе изоэнтропийного сжатия (1-2);

Следует особо отметить, что этот общепринятый способ вычисления КПД цикла затемняет суть происходящего процесса. Предельный КПД термодинамического цикла вычисляется через отношение температур по формуле Карно:


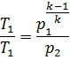
где T1 - температура холодильника;- температура нагревателя.

Ровно это же отношение температур можно выразить через величину применяемых в цикле отношений давлений и показатель адиабаты:


Таким образом КПД цикла Брайтона, зависит от начальной и конечной температур цикла ровно так же, как и КПД цикла Карно. При бесконечно малой величине нагрева рабочего тела по линии (2-3) процесс можно считать изотермическим и полностью эквивалентным циклу Карно. Величина нагрева рабочего тела T3 при изобарическом процессе определяет величину работы отнесённую к количеству использованного в цикле рабочего тела, но ни каким образом не влияет на термический КПД цикла. Однако при практической реализации цикла нагрев обычно производится до возможно больших величин ограниченных жаростойкостью применяемых материалов с целью минимизировать размеры механизмов осуществляющих сжатие и расширение рабочего тела.

На практике, трение и турбулентность вызывают:

Неадиабатическое сжатие: для данного общего коэффициента давления температура нагнетания компрессора выше идеальной.

Неадиабатическое расширение: хотя температура турбины падает до уровня, необходимого для работы, на компрессор это не влияет, коэффициент давления выше, в результате, расширения не достаточно для обеспечения полезной работы.

Потери давления в воздухозаборнике, камере сгорания и на выходе: в результате, расширения не достаточно для обеспечения полезной работы.

Как и во всех циклических тепловых двигателях, чем выше температура сгорания, тем выше КПД. Сдерживающим фактором является способность стали, никеля, керамики или других материалов, из которых состоит двигатель, выдерживать температуру и давление. Значительная часть инженерных разработок направлена на то, чтобы отводить тепло от частей турбины. Большинство турбин также пытаются рекуперировать тепло выхлопных газов, которые, в противном случае, теряется впустую. Рекуператоры - это теплообменники, которые передают тепло выхлопных газов сжатому воздуху перед сгоранием. При комбинированном цикле тепло передается системам паровых турбин. И при комбинированном производстве тепла и электроэнергии (когенерация) отработанное тепло используется для производства горячей воды.

Механически газовые турбины могут быть значительно проще, чем поршневые двигатели внутреннего сгорания. Простые турбины могут иметь одну движущуюся часть: вал / компрессор / турбина / альтернативный ротор в сборе (см. изображение выше), не учитывая топливную систему.

Рис. 5 - Эта машина имеет одноступенчатый радиальный компрессор, турбину, рекуператор, и воздушные подшипники.

Более сложные турбины (те, которые используются в современных реактивных двигателях), могут иметь несколько валов (катушек), сотни турбинных лопаток, движущихся статорных лезвий, а также обширную систему сложных трубопроводов, камер сгорания и теплообменников.

Как правило, чем меньше двигатель, тем выше должна быть частота вращения вала(ов), необходимая для поддержания максимальной линейной скорости лопаток. Максимальная скорость турбинных лопаток определяет максимальное давление, которое может быть достигнуто, что приводит к получению максимальной мощности, независимо от размера двигателя. Реактивный двигатель вращается с частотой около 10000 об/мин и микро-турбина - с частотой около 100000 об/мин.

Газотурбинные электростанции

Газотурбинная электростанция - современная, высокотехнологичная установка, генерирующая электричество и тепловую энергию.

Основу газотурбинной электростанции составляют один или несколько газотурбинных двигателей - силовых агрегатов, механически связанных с электрогенератором и объединенных системой управления в единый энергетический комплекс. Газотурбинная электростанция может иметь электрическую мощность от двадцати киловатт до сотен мегаватт. Газотурбинная электростанция способна отдавать потребителю значительное количество тепловой энергии - с коэффициентом ~ 1:2 по отношению к электрической мощности.

Газотурбинная электростанция, тепловая электростанция, в которой в качестве привода электрического генератора используется газовая турбина. Газотурбинные электростанции появились как станции, работающие на продуктах подземной газификации углей. Первая такая Газотурбинная электростанция в СССР - Шатская буроугольная подземногазовая электростанция (Тульская обл.) - была сооружена в районе залегания высокозольного и влажного бурого угля. Угольные Газотурбинная электростанция широкого применения не получили главным образом из-за быстрого износа лопаток газовых турбин под воздействием содержащихся в газах частиц угля.

Основные преимущества газотурбинных электростанций:

ГТЭС весьма надежны. В среднем, длительность работы основных узлов без капитального ремонта составляет до 100-130 тыс. часов.

КПД самой газотурбинной установки составляет порядка 51%, а при утилизации уходящих газов, общий КПД достигает уже 93%

Газотурбинные электростанции, как уже было отмечено выше, имеют довольно небольшие размеры, что значительно уменьшает срок строительства, и, соответственно, позволяет им быстро окупаться.

Газотурбинные электростанции довольно экологичны, чему в последнее время уделяется все больше внимания.

ГТЭС могут работать в полностью автоматическом режиме, а возможность полной диагностики состояния оборудования или основных узлов станции, простота управления и, соответственно, минимальное количество обслуживающего персонала делают их наиболее оптимальным решением в самых различных ситуациях.

ГТЭ комбинированного цикла

В настоящее время основным типом электростанций является электростанции комбинированного цикла. Это парогазовые установки (STAG).

Парогазовые электростанции представляют собой сочетание газовой и паровой турбины. Электростанции комбинированного типа на базе парогазовых установок обладают очень высоким КПД - 58%, а также более экологически чистые, т.к. они производят гораздо меньше выбросов парниковых газов. Парогазовые установки могут работать на природном газе или жидких видах топлива (дизельное топливо, солярка, мазут), а комбинированность достигается в результате утилизации отработанных газов. Газы, образующиеся в результате горения топлива, не только приводят в действие основную турбину, но и поступают в специальный котел-утилизатор. Здесь они нагревают водяной пар, и в результате высокого давления последнего, приводится в действие паровая турбина, передающая энергию на второй генератор.

Рис.6 - Схема газотурбинной электростанции комбинированного цикла.

Именно благодаря такой совокупности выработки энергии и достигается высокая эффективность работы электростанции комбинированного типа на базе парогазовой установки.

Список литературы

газотурбинный двигатель электростанция

Газотурбинные и парогазовые установки тепловых электростанций: Учебное пособие для вузов / Под ред. С.В. Цанева - М.: Издательство МЭИ, 2002. - 584 с., ил.

Газотурбинные двигатели. А.А. Иноземцев, В.Л. Сандрацкий - М.: Издательство ОАО «Авиадвигатель», 2006. - 1202с, ил.

Шнеэ Я. И., Газовые турбины, М., Учебное пособие для вузов. М. Машгиз. 1960г. 560с.

Уваров В.В., Чернобровкин А.П. Газовые турбины. - М.: Машгиз, 1960. - 142 с..wikipedia.org

1.     

Похожие работы на - Газотурбинные двигатели для электростанций

 

Не нашли материал для своей работы?
Поможем написать уникальную работу
Без плагиата!
Без нейросетей!