Исследование характеристик измерительных процессов
1.
Постановка задачи
Дано:
) реализация детерминированных переходных
процессов c погрешностью
измерения 5%;
) таблица корреляционных функций типовых
измерительных процессов и их взаимосвязь с областью применения в бортовых ИИС.
Метод решения:
Сопоставление корреляционных функций переходных
процессов с типовыми по внешнему виду их реализаций, перенос областей
применения типовой функции на данные реализации.
Найти: области применения реализаций в качестве
моделей.
2.
Структура отчета
реализация детерминированный переходный процесс
Ниже в отчете сначала изложена лабораторная
работа, а затем решение поставленной задачи, что иллюстрирует понимание данного
материала. В соответствии с основными пунктами проведения лабораторной работы и
работы по решению поставленной задачи
были выполнены следующие действия
3.
Исходные данные.
Даны реализации случайных процессов
,
разбитых на
одинаковых
элементарных интервалов . Таким образом, число дискретных выборок
Априорно, низшая круговая частота гармонической
составляющей случайных процессов
.
3.1
Дискретизация случайных процессов
Пусть число точек корреляционной функции
.
Зная
,
можно найти интервал корреляции:
Тогда длительность экспериментальной записи
равна:
Зная 
, можно найти шаг дискретизации
:
3.2
Центрирование случайных процессов.
Вычисление корреляционной функции производится
только для центрированных реализаций случайных процессов. Для центрирования
необходимо найти математическое ожидание случайного процесса:
Таким образом, математические ожидания
исследуемых случайных процессов:
Центрированные реализации вычисляются по:
Центрированные реализации исследуемых процессов
приведены на рис. 4.1 и 4.2.

3.3
Вычисление корреляционных функций случайных процессов
Оценка корреляционной функции определяется по:
где
В результате обработки реализаций случайных
процессов
и
получим
значения корреляционных функций в точках
(рис.
5.1 и рис. 5.2).
.4 Аппроксимация корреляционных
функций
Для нахождения выражения спектральной плотности
необходима непрерывно заданная корреляционная функция. Для этого аппроксимируем
оценки корреляционных функций выражением:
Прологарифмируем выражение для
:
где
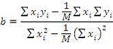
Задача аппроксимации сводится к нахождению
методом наименьших квадратов прямой, наилучшим образом аппроксимирующей
значения
.
Тогда коэффициенты a и b определяются из следующих выражений:
где
По значениям коэффициентов a и b легко
определить коэффициенты аппроксимирующего выражения:
Таким образом имеем корреляционные функции
случайных процессов
и
(рис.
6.1 и рис. 6.2):

3.5
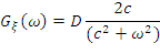
Определение спектральной плотности мощности
.
Спектральная плотность мощности для
корреляционной функции аппроксимированной выражением
определяется
формулой:
Таким образом, спектральные плотности мощности
случайных процессов
и
имеют вид как на рис. 7.1 и
рис. 7.2.
4.
Решение поставленной задачи
Этапы решения поставленной задачи:
1. Типовые функции с заданной погрешностью
сравнивались по дискретным значениям. Разницу между дискретными значениями
оценки корреляционной функции и типовыми функциями приняли равной нулю для
значений, меньших погрешности. Для значений, больших погрешности, вычислили
разницы значений.
Для случайного
процесса ξ1(i)::
Для случайного
процесса ξ2(i):
3. Сравнивались значения сумм:
Для случайного
процесса ξ1(i):
Для случайного
процесса ξ2(i):
4. Разность
сумм сравнивалась с погрешностью, выбиралась наименьшая сумма, соответствующая
наилучшему аналитическому выражению для аппроксимации:
5. Для
случайного процесса ξ1(i):
Для случайного
процесса ξ2(i):
6. Были определены области применения
реализаций в бортовых ИИС по таблице типовых корреляционных функций.
5.
В ходе работы:
1) Определили оценку математического ожидания
процессов, т.к. вычисление корреляционной функции производится для
центрированных реализаций.
) Найдены значения шага дискретности, вычислены
дискретные значения оценки корреляционной функции.
4) Сравнили полученные выражения с
типовыми корреляционными функциями измеряемых случайных процессов и определили
соответствие с типовой корреляционной функцией
.
6.
Результаты
В результате
проведения данной работы были получены следующие погрешности между корреляционными
функциями исходных реализаций и типовыми функциями:
Для случайного
процесса ξ1(i):
Для случайного
процесса ξ2(i):
Основываясь на этих
значениях, наилучшими аналитическими выражениями для аппроксимации были выбраны
следующие:
.
7.
Вывод
Целесообразно
использовать данные реализации для анализа быстродействия алгоритмов
определения угловой ориентации осей ЛА, скорости их изменения, токов и
напряжений в элементах СУ.