Исследование и разработка мероприятий по организации защиты информации на предприятии

  • Вид работы:
    Дипломная (ВКР)
  • Предмет:
    Информационное обеспечение, программирование
  • Язык:
    Русский
    ,
    Формат файла:
    MS Word
    412,79 Кб
  • Опубликовано:
    2012-06-28
Вы можете узнать стоимость помощи в написании студенческой работы.
Помощь в написании работы, которую точно примут!

Исследование и разработка мероприятий по организации защиты информации на предприятии

СПИСОК ИСПОЛЬЗОВАННЫХ СОКРАЩЕНИЙ

- (англ. Asynchronous Transfer Mode) - асинхронный способ передачи данных

ЗИ - защита информации

ИПС - информационно-поисковые системы

ИТС - информационно-технологическое сопровождение

КСЗИ - комплексная система ЗИ

КСПД - корпоративная сеть передачи данных

КТС - кабельные телекоммуникационные системы

ЛИМ - линейные интерфейсные модули

ЛВС - локально-вычислительная сеть

ЛС - локальные сети

НСД - несанкционированный доступ

ОС - операционная система

ООД - оконечного оборудования данных

ПК - персональный компьютер

ПО - программное обеспечение

СЗИ - средства защиты информации

СУС - системы управления сетью

СРП - Сборщик-разборщик пакетов

СПД - системы передачи данных

ТфОП - телефонные сети общего пользования

ФСТЭК - Федеральная служба по техническому и экспортному контролю

ЦКП - центр коммутации пакетов

ЦСП - цифровые системы передачи

ШЦСИО - широкополосная цифровая сеть интегрального обслуживания

Ш-ЦСИС - широкополосная цифровая сеть с интеграцией служб

ВВЕДЕНИЕ

Вопрос защиты информации поднимается уже с тех пор, как только люди научились письменной грамоте. Всегда существовала информацию, которую должны знать не все. Люди, обладающие такой информацией, прибегали к разным способам ее защиты. Из известных примеров это такие способы как тайнопись, шифрование. В настоящее время всеобщей компьютеризации благополучие и даже жизнь многих людей зависят от обеспечения информационной безопасности множества компьютерных систем обработки информации, а также контроля и управления различными объектами. К таким объектам можно отнести системы телекоммуникаций, банковские системы, атомные станции, системы управления воздушным и наземным транспортом, системы обработки и хранения секретной и конфиденциальной информации. Для нормального и безопасного функционирования этих систем необходимо поддерживать их безопасность и целостность.

Корпоративная сеть передачи данных - это телекоммуникационная сеть, объединяющая в единое информационное пространство все структурные подразделения компании. Корпоративная сеть - это основа жизнедеятельности любой организации. Большинство применяющихся сегодня информационных решений носит ярко выраженный распределенный характер и требует наличия на предприятии или в организации высокопроизводительной корпоративной сети передачи данных. Основными задачами корпоративной сети оказываются взаимодействие системных приложений, расположенных в различных узлах, и доступ к ним удаленных пользователей. Поэтому корпоративная сеть, как правило, является территориально распределенной, т.е. объединяющей офисы, подразделения и другие структуры, находящиеся на значительном удалении друг от друга. Часто узлы корпоративной сети оказываются расположенными в различных городах, а иногда и странах.

Основная проблема, которую приходится решать при создании корпоративной сети - организация каналов связи и защита информации при передаче данных. Если в пределах одного города можно рассчитывать на аренду выделенных линий, в том числе высокоскоростных, то при переходе к географически удаленным узлам ситуация осложняется особенностями федеральных телекоммуникаций недостаточно развитой и изношенной кабельной инфраструктурой, большими расстояниями, наличием сложно преодолимых естественных препятствий. Поэтому зачастую каналы попросту отсутствуют, либо стоимость аренды становится неприемлемой, а качество и надежность их часто оказывается весьма невысокими.

Кроме этого, при разработке магистрали корпоративной сети надо учитывать возможность увеличения пропускной способности в 2-3 раза, для учета потенциального увеличения требований к качеству обслуживания абонентов. В первую очередь для связи крупных сегментов корпоративной сети. Трудности при решении этих задач возникают по ряду причин, а именно:

Не высокий уровень телефонизации (большое количество удаленных населенных пунктов и промышленных сооружений, в нашей стране не телефонизировано).

Трудности преодоления естественных (природных) и искусственных (созданных человеком) препятствий при прокладке кабеля (большое количество природных помех, таких как реки, овраги, леса, а также искусственно созданных: здания, железнодорожные пути).

Для решения этих задач необходимо:

Обосновать необходимость применения беспроводного доступа к информационным ресурсам сети (рассмотреть случай, при котором применение проводных сетей затруднительно, а, следовательно, является чрезмерно дорогостоящим) с одновременным обеспечением защиты информации.

Проанализировать сети беспроводного радиодоступа (выявить все преимущества и недостатки данной системы, включая информационную безопасность, а также экономически обосновать целесообразность применения данных технологий).

Проанализировать существующие стандарты, поддерживающие технологии беспроводного радиодоступа с заданной информационной безопасностью (рассмотреть существующие технологии и стандарты, выбрать наиболее перспективные и описать их характеристики).

Проанализировать оборудование, представленное на российском рынке, а именно: провести сравнительный анализ всех типов оборудования, представленного как отечественными, так и зарубежными производителями на российском рынке и сделать выводы о преимуществах использования одного из типов оборудования с учетом обеспечения защиты информации.

Разработать конкретные предложения по созданию абонентской части локальной сети и, на основе вышеприведенного выбора конкретного оборудования, разработать фрагмент локальной системы передачи данных, описать его характеристики и обосновать выбор экономически. Решению этих актуальных задач с обеспечением заданной защиты информации, и посвящена тема дипломной работы.

1. Аналитическая часть

.1 Анализ защищенности сетей АТМ

Рынок телекоммуникаций и средств связи предлагает широкий спектр специализированных технологий, ориентированных на применение в конкретных телекоммуникационных службах. В настоящее время все большее значение в практике построения распределенных информационных систем получают вопросы интеграции сетевых служб в рамках единых технологий, позволяющих унифицировать средства построения сетей передачи данных применительно к широкому спектру информационных услуг, включающих в себя службы реального времени (телефонная связь), информационный поиск, телеконференции и т.д. Корпоративная сеть - это система, обеспечивающая передачу информации между различными приложениями, используемыми в системе корпорации.

При этом считается, что сеть должна быть максимально универсальной, то есть допускать интеграцию уже существующих и будущих приложений с минимально возможными затратами и ограничениями.

Основными задачами корпоративной сети оказываются одновременная передача голоса, видео и данных, взаимодействие системных приложений, расположенных в различных узлах, и доступ к ним удаленных пользователей.

Корпоративная сеть, как правило, является территориально распределенной, т.е. объединяющей офисы, подразделения и другие структуры, находящиеся на значительном удалении друг от друга. Часто узлы корпоративной сети оказываются расположенными в различных городах, а иногда и странах. Принципы, по которым строится такая сеть, достаточно сильно отличаются от тех, что используются при создании локальной сети, даже охватывающей несколько зданий. Основное отличие состоит в том, что территориально распределенные сети используют арендованные линии связи.

Если при создании локальной сети основные затраты приходятся на закупку оборудования и прокладку кабеля, то в территориально-распределенных сетях наиболее существенным элементом стоимости оказывается арендная плата за использование каналов. Это ограничение является принципиальным, и при проектировании корпоративной сети следует предпринимать все меры для минимизации объемов передаваемых данных. В остальном же корпоративная сеть не должна вносить ограничений на то, какие именно приложения и каким образом обрабатывают переносимую по ней информацию. Под приложениями мы здесь понимаем как системное программное обеспечение - базы данных, почтовые системы, вычислительные ресурсы, файловый сервис - так и средства, с которыми работает конечный пользователь.

Современная первичная сеть строится на основе технологии цифровой передачи и использует в качестве сред передачи электрический и оптический кабели и радиоэфир.

Принято делить территориальные транспортные средства, используемые для построения корпоративной сети, на две большие категории:

магистральные средства;

средства удаленного доступа.

Магистральные средства используются для образования одноранговых связей между крупными локальными сетями, принадлежащими большим подразделениям предприятия. Магистральные территориальные сети должны обеспечивать высокую пропускную способность, так как на магистрали объединяются потоки большого количества подсетей. Кроме того, магистральные сети должны быть постоянно доступны, то есть поддерживаться очень высоким коэффициент готовности, так как по ним передается трафик многих критических для успешной работы предприятия приложений (business-critical applications). Ввиду особой важности магистральных средств им может "прощаться" высокая стоимость. Так как у предприятия обычно имеется не так уж много крупных сетей, то к магистральным средствам не предъявляются требования поддержания разветвленной инфраструктуры доступа.

Обычно в качестве магистральных средств используются цифровые выделенные каналы со скоростями от 2 Мб/с до 622 Мб/c, сети с коммутацией пакетов frame relay, АТМ., Х.25 или TCP/IP. При наличии выделенных каналов для обеспечения высокой готовности магистрали используется смешанная избыточная топология связей, как это показано на рисунке 1.1:

Рис. 1.1 - Структура глобальной сети предприятия

Под средствами удаленного доступа понимаются средства, необходимые для связи небольших локальных сетей и даже удаленных отдельных компьютеров с центральной локальной сетью предприятия. В качестве отдельных удаленных узлов могут также выступать банкоматы или кассовые аппараты, требующие доступ к центральной базе данных о легальных клиентах банка, пластиковые карточки которых необходимо авторизовать на месте. Банкоматы или кассовые аппараты обычно рассчитаны на взаимодействие с центральным компьютером по сети Х.25, которая в свое время специально разрабатывалась как сеть для удаленного доступа неинтеллектуального терминального оборудования к центральному компьютеру.

К средствам удаленного доступа предъявляются требования, существенно отличающиеся от требований к магистральным средствам. Так как точек удаленного доступа у предприятия может быть очень много, то одним из основных требований является наличие разветвленной инфраструктуры доступа, которая может использоваться сотрудниками предприятия как при работе дома, так и в командировках. Кроме того, стоимость удаленного доступа должна быть умеренной, чтобы экономически оправдать затраты на подключение десятков или сотен удаленных абонентов. При этом требования к пропускной способности у отдельного компьютера или локальной сети, состоящей из двух-трех клиентов, обычно укладываются в диапазон нескольких десятков Кб/c.

В качестве транспортных средств удаленного доступа используются телефонные аналоговые сети, сети ISDN и реже - сети frame relay. Качественный скачок в расширении возможностей удаленного доступа произошел в связи со стремительным ростом популярности и распространенности сети Internet. Транспортные услуги Internet дешевле, чем услуги междугородных и международных телефонных сетей, а их качество быстро улучшается.

Разработка и внедрение технологии асинхронной передачи, основанной на быстрой пакетной коммутации трафика телематических служб, направлено на повышение эффективности использования существующихвысокопроизводительных каналов физической передачи данных. Сети АТМ обеспечивают универсальные средства магистральных сетей передачи данных, позволяющие транспортировать пользовательские сообщения в рамках телекоммуникационных служб, которые существенно различаются по требованиям семантической, временной и логической прозрачности. В настоящее время ведущие производители оборудования АТМ - NEWBRIDGE, NORTEL, CISCO и др. - предлагают широкий спектр технических средств, с помощью которых можно создавать гетерогенные корпоративные системы связи с унифицированной средой передачи, коммутации и маршрутизации. Естественно, что вопросы обеспечения защищенности в таких системах имеют комплексный характер и должны рассматриваться как с точки зрения физической взаимосвязи отдельных информационных подсистем, так и с точки зрения конкретных наборов протоколов, используемых для взаимодействия абонентов сети связи.

Основные проблемы современного этапа развития средств автоматизации процессов информационного обмена, включая средства связи и телекоммуникаций, связаны с сущестенным ростом сложности научно-технических разработок в области информационных технологий. Вследствие этого технические средства потенциально содержат в себе большое число ошибок и нерегламентированных возможностей, которые могут быть использованы злоумышленниками. Следовательно, любые программно-аппаратные решения должны тщательно анализироваться на предмет потенциальных угроз безопасности, а адекватный уровень оснащенности средствами защиты - постоянно пересматриваться.

Важное свойство гетерогенных распределенных информационных систем состоит в том, что степень их критичности к внешним и внутренним нарушениям возрастает быстрее, чем функциональность, обеспечиваемая выбранным уровнем сложности и стоимости. Иными словами, возможны ситуации, когда стоимость обеспечения заданного уровня устойчивости системы по отношению к внешним угрозам оказывается соизмеримой или даже выше стоимости самой системы.

Для анализа угроз сетей передачи данных, реализованных с использованием средств технологии АТМ, рассмотрим структуру разветвленной корпоративной сети (КС), интеграция отдельных сегментов которой реализуется с использованием технических средств АТМ-технологии (рис. 1.2).

Рис. 1.2 - Архитектура объектов защиты

1.2 Архитектура объектов защиты в технологии АТМ

В рамках структуры могут быть выделены следующие уровни информационного взаимодействия:

. Доступ локального сегмента КС к транспортной сети передачи данных в рамках нижних уровней протоколов АТМ. Реализуется АТМ-коммутатором пограничного участка транспортной сети.

. Транспортная сеть передачи данных. Реализуется сетью магистральных АТМ-коммутаторов оператора связи.

. Сегмент ЛВС КС, подключаемый к пограничному коммутатору посредством моста АТМ-ЛВС.

. Уровень доступа телеслужб сети без установления соединения.

. Уровень стандартного широкополосного стыка сети АТМ. (Телеслужбы передачи видео/аудио в реальном масштабе времени.)

. Уровень стандартного узкополосного стыка цифровых синхронных каналов. Реализуется терминальными адаптерами на выходе линейного окончания среды передачи сети АТМ. На данном уровне к КС могут быть подключены стандартные ISDN-совместимые телефонные службы.

В соответствии с точками концентрации информационных потоков (см. рис. 1.2) на рис. 1.3 приведена классификация субъектов угрозы.

Рис. 1.3 - Классификация субъектов угрозы

В общем случае точки потенциальной угрозы классифицируются по пространственно-топологическим (горизонтальные связи) и по протокольно-логическим (вертикальные связи) признакам. Горизонтальная и вертикальная составляющие угроз взаимосвязаны между собой. Например, действуя на высших уровнях OSI/ISO, нарушитель из числа абонентов внешней АТМ-подсети может получить несанкционированный доступ к сетевой станции КС, вследствие чего точка угрозы переместится в исходную КС. С другой стороны, в зависимости от точки концентрации информационных потоков КС, являющейся объектом нападения, имеется возможность использования различных протокольных стеков для получения доступа к информационным ресурсам различных уровней OSI/ISO.

.3 Угрозы безопасности информации в корпоративных сетях предприятия на базе АТМ

Рассмотрим существующие виды угроз безопасности информационных технологий и информации (угроз интересам субъектов информационных отношений) являются:

стихийные бедствия и аварии (наводнение, ураган, землетрясение, пожар и т.п.);

сбои и отказы оборудования (технических средств) АИТУ;

последствия ошибок проектирования и разработки компонентов АИТУ (аппаратных средств, технологии обработки информации, программ, структур данных и т.п.);

ошибки эксплуатации (пользователей, операторов и другого персонала);

преднамеренные действия нарушителей и злоумышленников (обиженных лиц из числа персонала, преступников, шпионов, диверсантов и т.п.).

Угрозы безопасности можно классифицировать по различным признакам. По результатам акции: 1) угроза утечки; 2) угроза модификации; 3) угроза утраты. По нарушению свойств информации: а) угроза нарушения конфиденциальности обрабатываемой информации; б) угроза нарушения целостности обрабатываемой информации; в) угроза нарушения работоспособности системы (отказ в обслуживании), т.е. угроза доступности. По природе возникновения: 1) естественные; 2) искусственные.

Естественные угрозы - это угрозы, вызванные воздействиями на АИТУ и ее элементы объективных физических процессов или стихийных природных явлений. Искусственные угрозы - это угрозы АИТУ, вызванные деятельностью человека. Среди них, исходя и мотивации действий, можно выделить: а) непреднамеренные (неумышленные, случайные) угрозы, вызванные ошибками в проектировании АИТУ и ее элементов, ошибками в программном обеспечении, ошибками в действиях персонала и т.п.; б) преднамеренные (умышленные) угрозы, связанные с корыстными устремлениями людей (злоумышленников). Источники угроз по отношению к информационной технологии могут быть внешними или внутренними (компоненты самой АИТУ - ее аппаратура, программы, персонал).

Основные непреднамеренные искусственные угрозы АИТУ (действия, совершаемые людьми случайно, по незнанию, невнимательности или халатности, из любопытства, но без злого умысла):

) неумышленные действия, приводящие к частичному или полному отказу системы или разрушению аппаратных, программных, информационных ресурсов системы (неумышленная порча оборудования, удаление, искажение файлов с важной информацией или программ, в том числе системных и т.п.);

) неправомерное включение оборудования или изменение режимов работы устройств и программ;

) неумышленная, порча носителей информации;

) запуск технологических программ, способных при некомпетентном использовании вызывать потерю работоспособности системы (зависания или зацикливания) или необратимые изменения в системе (форматирование или реструктуризацию носителей информации, удаление данных и т.п.);

) нелегальное внедрение и использование неучтенных программ (игровых, обучающих, технологических и др., не являющихся необходимыми для выполнения нарушителем своих служебных обязанностей) с последующим необоснованным расходованием ресурсов (загрузка процессора, захват оперативной памяти и памяти на внешних носителях);

) заражение компьютера вирусами;

) неосторожные действия, приводящие к разглашению конфиденциальной информации или делающие ее общедоступной;

) разглашение, передача или утрата атрибутов разграничения доступа (паролей, ключей шифрования, идентификационных карточек, пропусков и т.п.).

) проектирование архитектуры системы, технологии обработки данных, разработка прикладных программ с возможностями, представляющими угрозу для работоспособности системы и безопасности информации;

) игнорирование организационных ограничений (установленных правил) при ранге в системе;

) вход в систему в обход средств зашиты (загрузка посторонней операционной системы со сменных магнитных носителей и т.п.);

) некомпетентное использование, настройка или неправомерное отключение средств защиты персоналом службы безопасности;

) пересылка данных по ошибочному адресу абонента (устройства);

) ввод ошибочных данных;

) неумышленное повреждение каналов связи.

Основные преднамеренные искусственные угрозы характеризуются возможными путями умышленной дезорганизации работы, вывода системы из строя, проникновения в систему и несанкционированного доступа к информации:

а) физическое разрушение системы (путем взрыва, поджога и т.п.) или

вывод из строя всех или отдельных наиболее важных компонентов компьютерной системы (устройств, носителей важной системной информации, лиц из числа персонала и т.п.);

б) отключение или вывод из строя подсистем обеспечения функционирования вычислительных систем (электропитания, охлаждения и вентиляции, линий связи и т.п.);

в) действия по дезорганизации функционирования системы (изменение режимов работы устройств или программ, забастовка, саботаж персонала, постановка мощных активных радиопомех на частотах работы устройств системы и т.п.);

г) внедрение агентов в число персонала системы (в том числе, возможно, и в административную группу, отвечающую за безопасность);

д) вербовка (путем подкупа, шантажа и т.п.) персонала или отдельных пользователей, имеющих определенные полномочия;

е) применение подслушивающих устройств, дистанционная фото- и видеосъемка и т.п.;

ж) перехват побочных электромагнитных, акустических и других излучений устройств и линий связи, а также наводка активных излучений на вспомогательные технические средства, непосредственно не участвующие в обработке информации (телефонные линии, сети питания, отопления и т.п.);

з) перехват данных, передаваемых по каналам связи, и их анализ с целью выяснения протоколов обмена, правил вхождения в связь и авторизации пользователя и последующих попыток их имитации для проникновения в систему;

и) хищение носителей информации (магнитных дисков, лент, микросхем памяти, запоминающих устройств и персональных ЭВМ);

к) несанкционированное копирование носителей информации;

л) хищение производственных отходов (распечаток, записей, списанных носителей информации и т.п.);

м) чтение остатков информации из оперативной памяти и с внешних запоминающих устройств;

н) чтение информации из областей оперативной памяти, используемых операционной системой (в том числе подсистемой защиты) или другими пользователями, в асинхронном режиме, используя недостатки мультизадачных операционных систем и систем программирования;

о) незаконное получение паролей и других реквизитов разграничения доступа (агентурным путем, используя халатность пользователей, путем подбора, имитации интерфейса системы и т.п.) с последующей маскировкой под зарегистрированного пользователя («маскарад»);

п) несанкционированное использование терминалов пользователей, имеющих уникальные физические характеристики, такие, как номер рабочей станции в сети, физический адрес, адрес в системе связи, аппаратный блок кодирования и т.п.;

р) вскрытие шифров криптозащиты информации;

с) внедрение аппаратных спецвложений, программ «закладок» и «вирусов» («троянских коней» и «жучков»), т.е. таких участков программ, которые не нужны для осуществления заявленных функций, но позволяют преодолеть систему защиты, скрытно и незаконно осуществлять доступ к системным ресурсам с целью регистрации и передачи критической информации или дезорганизации функционирования системы;

т) незаконное подключение к линиям связи с целью работы «между строк», с использованием пауз в действиях законного пользователя от его имени с последующим вводом ложных сообщений или модификацией передаваемых сообщений;

у) незаконное подключение к линиям связи с целью прямой подмены законного пользователя путем его физического отключения после входа в систему и успешной аутентификации с последующим вводом дезинформации и навязыванием ложных сообщений.

Следует заметить, что чаще всего для достижения поставленной цели злоумышленник использует не один способ, а их некоторую совокупность из перечисленных выше.Учитывая вышесказанное, целесообразно ограничиться рассмотрением классификации угроз и нарушителей либо по пространственно-топологическим, либо по протокольно-логическим признакам. Поскольку архитектура корпоративных сетей и отдельных транспортных подсетей передачи данных существенно различается, целесообразно рассмотреть угрозы на уровне протоколов АТМ, являющихся стандартными и независимыми от конкретных сетевых архитектур.

На рис. 1.4 представлена структура протокольного стека сети АТМ.

Рис. 1.4 - Уровни инкапсуляции заголовков протокольного стека сети АТМ

Как показано на рис. 1.4 структура протокольного стека сети АТМ, которая включает в себя:

• Физический уровень, на котором определяются параметры информационного потока, транспортируемого непосредственно через передающую среду.

• Уровень АТМ на передающей стороне используется для мультиплексирования выходного потока ячеек АТМ в единый битовый информационный поток, передаваемый на физический уровень. В целях снижения вероятности искажения адресных частей АТМ-ячеек и предотвращения ошибок неправильной маршрутизации на приемной стороне выполняется контроль содержимого заголовков АТМ ячеек CRC кодом. В случае отсутствия ошибок содержимое поля данных передается на уровень адаптации. В противном случае ячейка уничтожается.

• Уровень сегментации и сборки подуровня адаптации АТМ сегментирует входящий информационный блок уровня конвергенции на фрагменты длиной 47 октетов и передает их на уровень АТМ. На приемной стороне проверяются идентификаторы виртуального пути и виртуального канала. Если они корректны, то содержимое поля данных АТМ ячейки передается на уровень конвергенции телеслужбы. В противном случае ячейка уничтожается.

• Уровень конвергенции телеслужбы осуществляет преобразование входящего трафика в форму, пригодную для использования в конкретной телеслужбе. Физический уровень отвечает за согласование скоростей передачи по различным физическим средам.

В отличие от эталонной модели взаимодействия открытых систем, где элемент физического уровня - бит информации, в ATM этим элементом является ячейка. К физическому уровню относится часть функций по обработке ячеек, образующая верхний подуровень физического уровня - Transmission Convergence Sublayer, TCS. Он определяет границы ячеек, вычленяя их из общего битового потока. Также отвечает за «незаметную» вставку пустых (служебных) ячеек в случае отсутствия нагрузки на сеть.

Нижний подуровень, Physical Medium Dependendent Sublayer, PMD, отвечает за взаимодействие с определённой физической средой передачи данных, линейные коды передаваемых символов, соединители, возможность использования существующих технологий.

На рис. 1.5 представлена классификация угроз защищенности АТМ КС в соответствии с форматами полей заголовков протокольных блоков, приведенных в предыдущем рисунке.

Рис. 1.5 - Классификация угроз защищенности АТМ

В общем случае могут быть выделены три типа угроз:

угрозы функциональности;

угрозы целостности;

угрозы НСД.

Угрозы функциональности связаны с возможностью потери необходимого уровня обслуживания клиента КС или полностью блокировкой доступа к ресурсу в результате действия нарушителя. Подобные действия могут быть вызваны:

срывом синхронизации битового потока на уровне приемнопередающих устройств путем разрушения или искажения флагов регенераторной и служебной секции в кадрах физического уровня;

срывом синхронизации потока ячеек АТМ путем периодического искажения значений контрольных сумм заголовков ячеек;

модификацией маршрутной и адресной информации в управляющих серверах промежуточных коммутационных узлов. Результатом подобных действий может быть, например, отказ в соединении клиенту КС;

модификацией параметров трафика в оконечных узлах транспортной сети. Это может отрицательно сказаться на качестве обслуживания клиентов КС;

модификацией битов приоритета в АТМ-ячейках. Угрозы целостности связаны с изменением информационного содержания протокольных блоков данных, передаваемых по сети и могут включать в себя:

вставку или изъятие АТМячеек в узлах коммутации транспортной сети. При этом возможны различные варианты потерь

от искажения информационных блоков данных до нарушения работы служб сигнализации и эксплуатации сети;

вставку трафика, в результате которой по выбранному виртуальному соединению возможна несанкционированная передача информации третьими лицами.

Угрозы НСД связаны с возможностью анализа информационного содержания полей данных и управляющих заголовков протокольных блоков, передаваемых от источника к приемнику. К данной группе могут быть отнесены :

перенаправление трафика в целях последующего анализа его информационного содержания;

перехват действующего виртуального соединения без направления трафика;

несанкционированный просмотр диагностических сообщений служб управления и мониторинга сети с целью анализа статистики параметров трафика абонентов КС.

.3.1 Выводы

1. В рамках транспортной сети передачи данных должна быть обеспечена защищенность соединений пользователей по целостности, функциональности и конфиденциальности передаваемой информации.

. Защита информационных потоков от НСД должна быть обеспечена средствами телекоммуникационных служб на уровне прикладных протоколов OSI/ISO.

. Защита от НСД адресных и управляющих полей заголовков АТМ-ячеек должна обеспечиваться техническими средствами и оборудованием оператора связи.

. Контроль целостности соединений и поддержка функциональности транспортной сети АТМ должны обеспечиваться операторами связи при наличии специализированных средств защиты управляющих серверов в узлах транзитной коммутации.

2. ПРОЕКТНАЯ ЧАСТЬ

.1 Предложения методов ЗИ

Безопасность информации предполагает отсутствие недопустимого риска, связанного с утечкой информации по техническим каналам, несанкционированными и непреднамеренными воздействиями на ресурсы, используемые в автоматизированной системе. Критериями информационной безопасности являются конфиденциальность, целостность и будущая доступность информации. При этом под конфиденциальностью понимается свойство информационных ресурсов, в том числе информации, связанное с тем, что они не станут доступными и не будут раскрыты для неуполномоченных лиц.

Целостность - это свойство информационных ресурсов, в том числе информации, определяющее их точность и полноту. В свою очередь доступность информации - это свойство, определяющее возможность получения и использования информации по требованию уполномоченных лиц.

Следует подчеркнуть, что темпы развития современных информационных технологий значительно опережают темпы разработки рекомендательной и нормативно-правовой базы, руководящих документов, действующих на территории России. Поэтому решение вопроса о разработке эффективной политики информационной безопасности на современном предприятии напрямую связано с проблемой выбора критериев и показателей защищенности, а также эффективности средств ЗИ.

Современные методы управления рисками позволяют решить ряд задач перспективного стратегического развития предприятия. Во-первых, количественно оценить текущий уровень информационной безопасности предприятия, что потребует выявления рисков на правовом, организационно-управленческом, технологическом и техническом уровнях обеспечения защиты информации. Во-вторых, в систему риск-менеджмента на предприятии может быть включена политика безопасности и планы совершенствования корпоративной системы защиты информации для достижения приемлемого уровня защищенности информационных активов компании. С этой целью рекомендуется осуществить расчет финансовых вложений в обеспечение безопасности на основе технологий анализа рисков, произвести соотношение расходов на обеспечение безопасности с потенциальным ущербом и вероятностью его возникновения. Необходимо выявлять и проводить первоочередное блокирование наиболее опасных уязвимостей до осуществления атак на уязвимые ресурсы.

Следует определить функциональные отношения и зоны ответственности при взаимодействии подразделений и лиц по обеспечению информационной безопасности предприятия, а также разработать необходимый пакет организационно-распорядительной документации. Одновременно следует осуществлять разработку и согласование со службами предприятия, надзорными органами проекта внедрения необходимого комплекса защиты, учитывающего современный уровень и тенденции развития информационных технологий.

Кроме того, важным мероприятием поддержки системы безопасности информации является обеспечение поддержания внедренного комплекса защиты в соответствии с изменяющимися условиями работы предприятия, регулярными доработками организационно-распорядительной документации, модификацией технологических процессов и модернизацией технических средств защиты.

Система защиты информации на предприятии преследует такие цели как предотвращение утечки, хищения, утраты, искажения, подделки информации; предотвращение несанкционированных действий по уничтожению, модификации, искажению, копированию, блокированию информации; предотвращение других форм незаконного вмешательства в информационные ресурсы и информационные системы.

Помимо этого система информационной безопасности нацелена на обеспечение устойчивого функционирования объекта: предотвращение угроз его безопасности, защиту законных интересов владельца информации от противоправных посягательств, в том числе уголовно наказуемых деяний в рассматриваемой сфере отношений, предусмотренных Уголовным кодексом.

Обязательным условием эффективной реализации вышеупомянутых целей является непременный контроль качества предоставляемых услуг и обеспечение гарантий безопасности имущественных прав и интересов клиентов. В связи с этим, система информационной безопасности должна базироваться на следующих принципах:

прогнозирование и своевременное выявление угроз безопасности информационных ресурсов, причин и условий, способствующих нанесению финансового, материального и морального ущерба, нарушению его нормального функционирования и развития;

создание условий функционирования с наименьшей вероятностью реализации угроз безопасности информационным ресурсам и нанесения различных видов ущерба; - создание механизма и условий оперативного реагирования на угрозы информационной безопасности и проявления негативных тенденций в функционировании, эффективное пресечение посягательств на ресурсы на основе правовых, организационных и технических мер и средств обеспечения безопасности; - создание условий для максимально возможного возмещения илокализации ущерба, наносимого неправомерными действиями физических и юридических лиц и, тем самым, ослабление возможного негативного влияния последствий нарушения информационной безопасности.

При разработке политики безопасности рекомендуется использовать модель, основанную на адаптации общих критериев (ISO 15408) и проведении анализа риска (ISO 17799). Эта модель соответствует специальным нормативным документам по обеспечению информационной безопасности, принятым в Российской Федерации, международному стандарт)' ISO/IEC 15408

«Информационная технология - методы защиты - критерии оценки информационной безопасности», стандарту ISO/IEC 17799 «Управление информационной безопасностью».

2.2 Модель построения корпоративной системы защиты информации

Представленная модель описывает совокупность объективных внешних и внутренних факторов и демонстрирует их влияние на состояние информационной безопасности на объекте и на сохранность материальных или информационных ресурсов.

Данная модель включает следующие объективные факторы:

угрозы информационной безопасности, характеризующиеся вероятностью возникновения и вероятностью реализации;

уязвимости информационной системы или системы контрмер, влияющие на вероятность реализации угрозы;

риск - фактор, отражающий возможный ущерб организации в результате реализации угрозы информационной безопасности: утечки информации и ее неправомерного использования.

Предлагаемая методика разработки политики информационной безопасности современного предприятия позволяет полностью проанализировать и документально оформить требования, связанные с обеспечением информационной безопасности, избежать расходы на дополнительные меры безопасности, возможные при субъективной оценке рисков, оказать помощь в планировании и осуществлении защиты на всех стадиях жизненного цикла информационных систем, представить обоснование для выбора мер противодействия, оценить эффективность контрмер, сравнить различные варианты контрмер.

Приведём классификацию средств защиты информации.

• Средства защиты от несанкционированного доступа (НСД):

Средства авторизации;

Мандатное управление доступом;

Избирательное управление доступом;

Управление доступом на основе ролей;

Журналированые (так же называется Аудит).

Системы анализа и моделирования информационных потоков (CASE-системы).

• Системы мониторинга сетей:

Системы обнаружения и предотвращения вторжений (IDS/IPS);

Системы предотвращения утечек конфиденциальной информации (DLP-системы).

• Анализаторы протоколов.

• Антивирусные средства.

• Межсетевые экраны.

• Криптографические средства:

- Шифрование;

Цифровая подпись.

• Системы резервного копирования.

• Системы бесперебойного питания:

Источники бесперебойного питания;

Резервирование нагрузки;

Генераторы напряжения.

• Системы аутентификации:

Пароль;

Сертификат;

Биометрия.

• Средства предотвращения взлома корпусов и краж оборудования.

• Средства контроля доступа в помещения.

• Инструментальные средства анализа систем защиты:

Мониторинговый программный продукт.

Обеспечение корректной работы со сведениями конфиденциального характера осуществляется в следующей последовательности. Составляется перечень сведений, имеющих конфиденциальный характер, который затем утверждается руководителем организации. В трудовые договора вносится пункт об ответственности за некорректную работу с конфиденциальными сведениями, несоблюдение которого влечет привлечение сотрудников-нарушителей к административной или уголовной ответственности,

С помощью комплексного использования различных программно-аппаратных средств защиты информации, представленных различными производителями, можно достичь более высоких показателей их эффективности. К таким средствам относят оборудование для криптографической защиты речевой информации, программы для криптографической защиты текстовой или иной информации, программы для обеспечения аутентификации почтовых сообщений посредством электронной цифровой подписи, программы обеспечения антивирусной защиты, программы защиты от сетевых вторжений, программы выявления вторжений, программы для скрытия обратного адреса отправителя электронного письма.

Разработка регламентов информационной безопасности при использовании телекоммуникаций, соблюдение персоналом регламентов, внутренних нормативных актов, а также внедрение мероприятий по достижению конфиденциальности, целостности и доступности информации позволят не только повысить результативность системы информационной безопасности, но и будут способствовать укреплению внешних позиций предприятия.

2.3 Предложения по планированию и организации защиты информации

Любые действия по управлению сложными организационно-техническими системами должны быть спланированы. В полной мере это относится и к управлению информационной безопасностью. Планирование начинается после проведения анализа риска и выбора средств защиты информации в соответствии с ранжированием рисков.

На стадии планирования, если цель системы определена, определяется в известном смысле политика информационной безопасности, будущий образ действий и методы достижения целей, обеспечивается основа для последующих долгосрочных решений.

Планирование - это процесс разработки пакета руководящих документов по реализации избранной политики информационной безопасности.

Принципиально план защиты включает в себя две группы мероприятий - мероприятия по построению (формированию) системы защиты информации и мероприятия по использованию сформированной системы для защиты информации.

Планирование - это начальный этап управления информационной безопасностью. После составления плана и реализации его первого этапа часто оказывается возможным и целесообразным внести коррективы в первоначальный план, осуществить так называемое перепланирование.

Цель планирования защиты информации - наилучшее использование всех выделенных ресурсов и предотвращение ошибочных действий, могущих привести к снижению вероятность достижения цели.

Различают два вида планирования: стратегическое или перспективное и тактическое или текущее.

Стратегическое планирование заключается в определении (без детальной проработки) средств и способов достижения конечных целей, в том числе необходимых ресурсов, последовательности и процедуры их использования.

Тактическое планирование защиты информации заключается в определении промежуточных целей на пути достижения главных. При этом детально прорабатываются средства и способы решения задач, использования ресурсов, необходимые процедуры и технологии.

Точную границу между стратегическим и тактическим планированием провести трудно. Обычно стратегическое планирование охватывает в несколько раз больший промежуток времени, чем тактическое; оно имеет гораздо более отдаленные последствия; шире влияет на функционирование управляемой системы в целом; требует более мощных ресурсов. Фактически стратегический план представляет собой системный проект, без которого тактические планы, реализуемые на разных отрезках времени (этапах) совершенствования системы, окажутся не взаимосвязанными, а значит мало эффективными или вовсе бессмысленными.

С тактическим планированием тесно связано понятие оперативного управления. Оперативное управление обеспечивает функционирование системы в соответствии с намеченным планом и заключается в периодическом или непрерывном сравнении фактически полученных результатов с намеченными планами и последующей их корректировкой.

Отклонения системы от намеченных планов могут оказаться такими, что для эффективного достижения цели целесообразно произвести перепланирование либо такой исход должен быть предусмотрен на стадии планирования.

2.3.1 Разработка плана мероприятий по защите информации на предприятии

Планирование включает в себя определение, разработку или выбор:

конечных и промежуточных целей и обоснование задач, решение которых необходимо для их достижения;

требований к системе защиты информации;

политики информационной безопасности;

средств и способов, функциональной схемы защиты информации с учетом стоимости и привлечения других ресурсов;

совокупности мероприятий защиты, проводимых в различные периоды времени;

порядка ввода в действие средств защиты;

ответственности персонала;

порядка пересмотра плана и модернизации системы защиты;

совокупности документов, регламентирующих деятельность по защите информации.

Цели защиты информации были определены ранее.

Задачи системы защиты объекта могут быть следующими:

защита конфиденциальной информации от несанкционированного ознакомления и копирования;

защита данных и программ от несанкционированной (случайной или умышленной) модификации;

снижение потерь, вызванных разрушением данных и программ, в том числе и в результате вирусных воздействий;

предотвращение возможности совершения финансовых преступлений при помощи средств вычислительной техники.

Для создания эффективной системы защиты, как правило, необходимо выполнение следующих основных требований к защите информации:

комплексность мер защиты, закрытие всего спектра угроз и реализация всех целей стратегии защиты;

надежность средств, входящих в систему защиты;

бесконфликтная совместная работа с используемым на объекте программным обеспечением;

простота эксплуатации и поддержка работы администратора безопасности;

возможность встраивания средств защиты в программное обеспечение, используемое на объекте;

приемлемая стоимость.

Политика информационной безопасности определяет облик системы защиты информации - совокупности правовых норм, организационных (правовых) мер, комплекса программно-технических средств и процедурных решений по рациональному использованию вычислительных и коммуникационных ресурсов, направленных на противодействие угрозам с целью исключения (предотвращения) или минимизации возможных последствий проявления информационных воздействий. Политика информационной безопасности является результатом совместной деятельности технического персонала, способного понять все аспекты политики и ее реализации, и руководителей, способных влиять на проведение политики в жизнь.

Политика безопасности должна гарантировать, что для каждого вида проблем существует ответственный исполнитель. В связи с этим ключевым элементом политика безопасности является доведение до каждого сотрудника его обязанностей по поддержанию режима безопасности.

Требование учета стоимостных ограничений находит отражение в спецификациях средств реализации плана защиты информации. В них определяются общие затраты на обеспечение информационной безопасности объекта согласно предъявляемым требованиям по защищенности.

По времени проведения мероприятия защиты можно разделить на четыре класса:

разовые;

периодически проводимые;

проводимые по необходимости;

постоянно проводимые.

Разовые мероприятия включают:

создание научно-технических и методологических основ защиты информации;

мероприятия, осуществляемые при проектировании, строительстве и оборудовании объектов организации, предприятия;

мероприятия, осуществляемые при проектировании, разработке и эксплуатации технических средств и программного обеспечения (проверка и сертификация по требованиям безопасности и т.п.);

мероприятия по созданию системы защиты информации;

разработку правил разграничения доступа к ресурсам системы (определение перечня решаемых подразделениями задач, режимных объектов, перечня конфиденциальных сведений, носителей конфиденциальной и критичной информации и процессов ее обработки, прав и полномочий должностных лиц по доступу к информации);

определение контролируемой зоны и организация надежного пропускного режима в целях защиты информации;

определение порядка хранения, учета, выдачи и использования документов и носителей конфиденциальной и критичной информации;

определение оперативных действий персонала по обеспечению непрерывной работы и восстановлению вычислительного процесса в критических ситуациях.

К периодически проводимым мероприятиям относятся:

распределение реквизитов разграничения доступа;

ведение и анализ системных журналов, принятие мер по обнаруженным нарушениям установленных правил работы;

проведение с привлечением экспертов анализа состояния защиты и оценки эффективности применяемых защитных мер, принятие на основе экспертного заключения необходимых мер по совершенствованию системы защиты;

мероприятия по пересмотру состава и построения системы защиты.

К мероприятиям по защите данных, проводимым по необходимости, относятся мероприятия, осуществляемые при кадровых, изменении территориального расположения объекта, при изменении архитектуры АС объекта или при изменениях и модификациях СВТ и ПО.

Постоянно проводимые мероприятия включают:

реализацию выбранных защитных мер, в том числе физической защиты всех компонентов объекта;

мероприятия по эксплуатации системы защиты;

контроль за действиями персонала;

анализ состояния и проверка эффективности применяемых защитных мер.

Пересмотр “Плана защиты информации” рекомендуется производить раз в год. Кроме того, существует ряд случаев, требующих внеочередного пересмотра. К их числу относятся изменения следующих компонент объекта:

Люди. Пересмотр “Плана защиты” может быть вызван кадровыми изменениями, связанными с реорганизацией организационно-штатной структуры объекта, увольнением служащих, имевших доступ к конфиденциальной информации и т.д.

Техника. Пересмотр “Плана защиты” может быть вызван подключением других локальных сетей, изменением или модификацией используемых средств вычислительной техники или программного обеспечения.

Помещения. Пересмотр “Плана защиты” может быть вызван изменением территориального расположения компонентов объекта.

Документы, регламентирующие деятельность по защите информации, оформляются в виде различных планов, положений, инструкций, наставлений и других аналогичных документов. Рассмотрим основные из них.

2.3.2 Основные элементы плана защиты и их содержание

Основным планирующим документом из всей совокупности является план защиты.

План защиты информации представляет собой вербально - графический документ, который должен содержать следующие сведения:

характеристика защищаемого объекта: назначение, перечень решаемых задач, размещение технических средств и программного обеспечения и их характеристики; (информационно-логическая структура объекта защиты)

цели и задачи защиты информации, перечень пакетов, файлов, баз данных, подлежащих защите и требований по обеспечению доступности, конфиденциальности, целостности этих категорий информации;

перечень и приоритетность значимых угроз безопасности, от которых требуется защита и наиболее вероятных путей нанесения ущерба;

политика информационной безопасности (организационные и технические мероприятия, определяющие - разграничение по уровням конфиденциальности, контроль целостности технической и программной среды, контроль за действиями пользователей, защиту от НСД, антивирусную защиту, организацию доступа на объект, контроль помещений и технических каналов утечки информации и ряд других;

функциональная схема системы защиты и план размещения средств защиты информации на объекте;

порядок ввода в действие средств защиты (календарный план проведения организационно-технических мероприятий);

перечень мероприятий, проводимых единовременно, периодически, по необходимости и постоянно

ответственность персонала;

смета затрат на внедрение системы защиты;

порядок пересмотра плана и модернизации средств защиты.

Не менее важным является план действий персонала в критических ситуациях и способов сохранения информации. Такой план, назначение которого состоит в снижении возможных потерь, связанных с разрушением данных и программ или отказом оборудования, называется планом обеспечения непрерывной работы и восстановления информации и содержит следующие пункты:

цели обеспечения непрерывности процесса функционирования объекта, своевременности восстановления ее работоспособности и чем она достигается;

перечень и классификация возможных кризисных ситуаций;

требования, меры и средства обеспечения непрерывности функционирования и восстановления процесса обработки информации (порядок ведения текущих, долговременных и аварийных архивов (резервных копий), а также использования резервного оборудования);

обязанности и порядок действий различных категорий персонала в кризисных ситуациях по ликвидации последствий кризисных ситуаций, минимизации наносимого ущерба и восстановлению нормального процесса функционирования объекта.

Еще одним важным документом является Положение о коммерческой тайне, включающее:

Перечень сведений, составляющих коммерческую тайну

Материалы обоснования предложений экспертной комиссии по включению сведений в развернутый перечень

Номенклатуру должностей работников, допускаемых к сведениям, составляющим коммерческую тайну

Договор-обязательство (контракт) о сохранении коммерческой тайны

Специальные обязанности руководителей подразделений по защите коммерческой тайны

Специальные обязанности лиц, допущенных к сведениям, составляющим коммерческую тайну

Весьма важным организационным документом является Положение о защите информации, включающее:

Организационную и функциональную структуру системы защиты информации

Обобщенную структуру законодательных и нормативных документов по безопасности информации

Положение об отделе защиты информации

Положение об администраторе безопасности (инструкция администратора)

Правила назначения прав доступа

Порядок допуска посторонних лиц на объект

Порядок допуска персонала и посетителей в помещения, в которых обрабатывается критичная информация

Порядок проведения служебного расследования по факту нарушения информационной безопасности

Требования к процессу разработки программных продуктов

Порядок приема-сдачи программного обеспечения в эксплуатацию

Инструкцию по обеспечению безопасности речевой информации

Правила ведения телефонных переговоров

Порядок проведения конфиденциальных переговоров

Требования к оснащению выделенных помещений

Инструкцию пользователю по соблюдению режима информационной безопасности. Детально и качественно разработанные документы плана защиты информации - залог дальнейших успехов в деятельности службы информационной безопасности или администратора безопасности сети.

Раскрыты принципы проектирования системы ЗИ на предприятии.

Разработано положение об отделе по ЗИ (приложение А).

Защита информации на предприятии должна основываться на следующих основных принципах:

системности;

комплексности;

разумной достаточности;

гибкости управления и применения;

открытости алгоритмов и механизмов защиты;

простоты применения защитных мер и средств.

Системный подход к защите компьютерных систем предполагает необходимость учета всех взаимосвязанных, взаимодействующих и изменяющихся во времени элементов, условий и факторов, существенно значимых для понимания и решения проблемы обеспечения безопасности технических устройств.

При создании системы защиты необходимо учитывать все слабые, наиболее уязвимые места системы обработки информации, а также характер, возможные объекты и направления атак на систему со стороны нарушителей (особенно высококвалифицированных злоумышленников), пути проникновения в распределенные системы и несанкционированного доступа к информации.

Система защиты должна строиться с учетом не только всех известных каналов проникновения и несанкционированного доступа к информации, но и с учетом возможности появления принципиально новых путей реализации угроз безопасности.

В распоряжении специалистов по компьютерной безопасности имеется широкий спектр мер, методов и средств защиты компьютерных систем. Их комплексное использование предполагает согласованное применение разнородных средств при построении целостной системы защиты, перекрывающей все существующие каналы реализации угроз и не содержащей слабых мест на стыке отдельных ее компонентов. Зашита должна строиться эшелонировано. Внешняя защита должна обеспечиваться физическими средствами, организационными и правовыми мерами.

Одной из наиболее укрепленных линий обороны призваны быть средства защиты, реализованные на уровне операционной системы (ОС) в силу того, что ОС - это как раз та часть компьютерной системы, которая управляет использованием всех ее ресурсов. Прикладной уровень зашиты, учитывающий особенности предметной области, представляет внутренний рубеж обороны.

Защита информации - это не разовое мероприятие и даже не совокупность проведенных мероприятий и установленных средств защиты, а непрерывный целенаправленный процесс, предполагающий принятие соответствующих мер на всех этапах жизненного цикла АИТУ, начиная с ранних стадий проектирования, а не только на этапе ее эксплуатации.

Разработка системы защиты должна вестись параллельно с разработкой самой защищаемой системы. Это позволит учесть требования безопасности при проектировании архитектуры и в конечном счете создать более эффективные (как по затратам ресурсов, так и по устойчивости) защищенные системы.

Большинству физических и технических средств защиты для эффективного выполнения их функций необходима постоянная организационная (административная) поддержка (своевременная смена и обеспечение правильного хранения и применения имен, паролей, ключей шифрования, переопределение полномочий и т.п.). Перерывы в работе средств защиты могут быть использованы злоумышленниками для анализа применяемых методов и средств защиты, для внедрения специальных программных и аппаратных «закладок» и других средств, преодоления системы защиты после восстановления ее функционирования.

Создать абсолютно непреодолимую систему защиты принципиально невозможно. При достаточном количестве времени и средств можно преодолеть любую защиту. Поэтому имеет смысл вести речь только о некотором приемлемом (разумно достаточном) уровне безопасности.

Высокоэффективная система защиты стоит дорого, использует при работе существенную часть мощности и ресурсов компьютерной системы и может создавать ощутимые дополнительные неудобства пользователям. Важно правильно выбрать тот достаточный уровень защиты, при котором затраты, риск и размер возможного ущерба были бы приемлемыми (задача анализа риска).

Часто приходится создавать систему защиты в условиях большой неопределенности. Поэтому принятые меры и установленные средства защиты, особенно в начальный период их эксплуатации, могут обеспечивать как чрезмерный, так и недостаточный уровень защиты. Естественно, что для обеспечения возможности варьирования уровней защищенности, средства защиты должны обладать определенной гибкостью.

Особенно важным это свойство является в тех случаях, когда установку средств защиты необходимо осуществлять на работающую систему, не нарушая процесса ее нормального функционирования. Кроме того, внешние условия и требования с течением времени меняются. В таких ситуациях свойство гибкости избавит владельцев информационного оборудования от необходимости принятия кардинальных мер по полной замене средств защиты на новые.

Суть принципа открытости алгоритмов и механизмов защиты состоит в том, что защита не должна обеспечиваться только за счет секретности структурной организации и алгоритмов функционирования ее подсистем. Знание алгоритмов работы системы защиты не должно давать возможности ее преодоления (даже автору). Однако это вовсе не означает, что информация о конкретной системе защиты должна быть общедоступна.

Механизмы защиты должны быть интуитивно понятны и просты в использовании. Применение средств защиты не должно быть связано со знанием специальных языков или с выполнением действий, требующих значительных дополнительных трудовых затрат при обычной работе законных пользователей, а также не должно требовать от пользователя выполнения рутинных малопонятных ему операций (ввод нескольких паролей и имен и т.д.).

3. ЭКОНОМИЧЕСКАЯ ЧАСТЬ

.1 Методика оценки экономической эффективности использования системы

В условиях повышения значимости информационных технологий необходимо по-новому взглянуть на эффективность систем информационной безопасности, связанные с нею риски, определить обязательные действия по защите информации, и необходимые приоритеты дальнейшего развития. Перед руководителями подразделений по ИБ стоят задачи оптимального построения службы информационной безопасности, ее взаимосвязи с другими подразделениями и распределения полномочий, для обеспечения соответствия современным требованиям бизнеса.

Об экономических аспектах информационной безопасности вспоминают обычно раз в год, при формировании сметы расходов на ее обеспечение, и в случаях, когда очередной инцидент в системе ИБ приведет к заметному ущербу для предприятия. Между тем, эти аспекты необходимо учитывать при планировании всех инициатив в области ИБ. Современные методы и решения дают возможность обеспечить очень высокий уровень безопасности, однако и затраты на эти мероприятия могут оказаться весьма значительными - в крупных организациях затраты на защиту информационных систем иногда достигают 20 - 30 % ИТ-бюджета. В связи с этим, задача создания эффективной методики определения и оптимизации общей стоимости владения системой ИБ представляется весьма актуальной.

Сложность задач экономического анализа практически во всех областях деятельности, обуславливается тем, что многие ключевые параметры экономических моделей невозможно достоверно оценить, т.к. они носят вероятностный характер. Необходимо также учитывать то обстоятельство, что сам по себе такой анализ может оказаться достаточно ресурсоемкой процедурой и потребовать привлечения дополнительных специалистов и сторонних консультантов, а также усилий со стороны различных специалистов, работающих на самом предприятии, - все эти затраты, в конечном счете, должны быть оправданы. Особая сложность экономического анализа в сфере ИБ обуславливается: быстрым развитием ИТ, методов и методик, используемых как для защиты, так и для атак; невозможностью достоверно предугадать все возможные сценарии атак на информационные системы (ИС) и модели поведения атакующих; невозможностью дать достоверную, достаточно точную оценку стоимости информационных ресурсов, а также оценить последствия различных нарушений в денежном выражении.

В процессе текущей деятельности предприятиям постоянно приходится сталкиваться с теми или иными изменениями: уточняются бизнес- процессы, меняется конъюнктура рынков сбыта и рынков потребляемых материальных ресурсов и услуг, появляются новые технологии и т.д. В этих условиях управленцам приходится постоянно анализировать происходящие изменения и адаптировать свою работу к постоянно меняющейся ситуации. Однако при всем разнообразии возможных моделей поведения в меняющейся среде, почти все их объединяет один важный общий методологический элемент: в большинстве случаев реакция бизнеса на новые угрозы и новые возможности предполагает осуществление новых инвестиций в определенные организационные и/или технические мероприятия. Таким образом, в ситуации, когда необходимо осуществить некоторые новые организационные или технические мероприятия, основной задачей лиц, отвечающих за эффективную организацию ИБ, является четкое соотнесение затрат, которые придется понести в связи с реализацией этого мероприятия, и дополнительных денежных потоков, которые будут получены. В данном случае под денежным потоком может подониматься экономия затрат, предотвращение убытков, а также дополнительный доход предприятия. В качестве основного показателя, отражающего это соотношение, в экономической практике принято использовать функцию возврата инвестиций - ROI (Return on Investment):

сеть система защищенность предприятие

ROI = N PV(R,d) + N PV(C,d) (3.1)

где: R - дополнительный денежный поток, создаваемый в результате реализации проекта; C - затраты, связанные с реализацией проекта; ставка дисконтирования; PV - функция дисконтирования.

Функция дисконтирования используется при анализе инвестиционных вложений для учета влияния фактора времени и приведения разновременных затрат к единому моменту. Ставка дисконтирования в этом случае позволяет учесть изменение стоимости денег с течением времени.

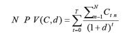
Модель отдачи от инвестиций наглядно демонстрирует, какие две основные задачи необходимо решить при анализе любого инвестиционного проекта и, в частности, проекта по реализации мероприятий в сфере ИБ: расчет затрат, связанных с проектом, и расчет дополнительного денежного потока. Если методология расчета совокупных затрат (C) за последние 10-15 лет в целом достаточно полно сформировалась и активно используется на практике, применительно к различным видам ИС, то расчет дополнительного денежного потока (R), получаемого в результате инвестиций в средства защиты информации, вызывает серьезные затруднения.

Одним из наиболее перспективных подходов к расчету этого показателя является методика, которая опирается на количественную оценку рисков ущерба для информационных ресурсов и оценку уменьшения этих рисков, связанного с реализацией дополнительных мероприятий по защите информации. Анализ затрат на реализацию проектов в сфере ИБ целесообразно осуществлять, опираясь на известную базовую методологию «Total Cost of Ownership» (ТСО). Эта методика ориентирована на обеспечение полноты анализа издержек, связанных с ИТ и ИС, в ситуациях, когда необходимо оценить экономические последствия внедрения и использования таких систем.

В общем случае суммарная величина ТСО включает в себя затраты на:

проектирование информационной системы;

приобретение аппаратных и программных средств;

разработку программного обеспечения и его документирование, а также на исправление ошибок и доработку в течение периода эксплуатации;

текущее администрирование информационных систем;

техническую поддержку и сервисное обслуживание;

расходные материалы;

телекоммуникационные услуги;

затраты на обучение;

издержки, связанные с потерей времени пользователями в случае сбоев в работе информационных систем.

Также в расчет затрат на повышение уровня ИБ необходимо включить расходы на реорганизацию бизнес-процессов и информационную работу с персоналом. Кроме того, при анализе расходов необходимо также учесть, что в большинстве случаев внедрение средств защиты информации предполагает появление дополнительных обязанностей у персонала предприятия и необходимость осуществления дополнительных операций при работе с информационными системами. Значение ТСО в каждом конкретном случае необходимо определять индивидуально с учетом особенностей проекта, который предстоит реализовать: основной востребованной функциональности, существующей инфраструктуры, количества пользователей и других факторов. В общем виде ТСО для анализа эффективности и целесообразности вложений в реализацию проектов по повышению уровня защищенности информации определяется как сумма всех элементов затрат, скорректированная с учетом фактора времени:

 (3.2)

где: T - предполагаемый жизненный цикл проекта, лет; N - количество видов затрат, принимаемых в расчет; Cnt - затраты n-ого вида, понесенные в t-ом периоде, грн.

Таким образом, в целом могут быть определены затраты, связанные с реализацией мероприятий по обеспечению информационной безопасности. Однако наибольшую сложность представляет определение положительного эффекта от внедрения средств защиты информации. Как правило, эффект от внедрения ИС определяется тем, что они обеспечивают автоматизацию и ускорение различных бизнес-операций, что позволяет сократить затраты труда, приобрести конкурентные преимущества и, таким образом, повысить общую эффективность хозяйственной деятельности.

Однако внедрение средств защиты информации само по себе, не обеспечивает сокращения затрат - достижение положительного эффекта от их использования зависит от множества трудноконтролируемых факторов как внутри предприятия, так и вне его. Более того, реализация мероприятий, связанных с обеспечением ИБ, может привести к дополнительным нагрузкам на персонал предприятия и, соответственно, к снижению производительности труда.

Одним из немногих способов, определения эффекта от осуществления мероприятий в сфере защиты информации, является денежная оценка ущерба, который может быть нанесен информационным ресурсам предприятия, и который может быть предотвращен в результате реализации предлагаемых мероприятий. Таким образом, предполагаемый предотвращенный ущерб и будет составлять полученный экономический эффект или дополнительный денежный поток. При таком подходе большинство расчетов могут быть только оценочными и носить приблизительный характер. Это связано с тем, что активность злоумышленников, являющихся источниками угроз для ИБ, практически непредсказуема: невозможно достоверно предсказать стратегии нападения, квалификацию нападающих, их конкретные намерения и ресурсы, которые будут задействованы для совершения тех или иных действий, а также намерения в отношении украденной информации.

Соответственно, для осуществления всех необходимых расчетов необходимо сделать множество допущений и экспертных оценок в контексте деятельности данного конкретного предприятия, а также по возможности изучить статистическую информацию, касающуюся атак на информационные ресурсы, аналогичные защищаемым.

Таким образом, экономическая оценка эффективности мер по защите информации предполагает: оценку существующих угроз для информационных активов, которых коснется реализация защитных мер; оценку вероятности реализации каждой из выявленных угроз; экономическую оценку последствий реализации угроз.

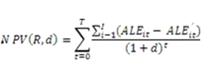
Для осуществления такого анализа, как правило, используются следующие базовые понятия: - оценочная величина единовременных потерь (Single Loss Expectancy, SLEi) - предполагаемая средняя оценочная сумма ущерба в результате одного нарушения информационной безопасности i-го типа. Она может быть определена как произведение общей стоимости защищаемых информационного активов AV (Active Value) на коэффициент их разрушения вследствие нарушения информационной безопасности EFi (Exposure Factor); - количество нарушений информационной безопасности за год (Annualized Rate of Occurrence, AROi) - оценочная частота, с которой в течение года происходят нарушения информационной безопасности i-го типа; - оценочная величина среднегодовых потерь (Annualized Loss Expectancy, ALEi) - суммарный размер потерь от нарушений информационной безопасности (реализации рисков) i-го типа в течение года.

ALEi = SLEi x AROi = (AV x EFi) x AROi (3.3)

Непосредственный эффект от реализации мероприятий по повышению уровня информационной безопасности будет проявляться в том, что: - негативные последствия каждой реализованной угрозы после реализации мероприятий (EFi') будут меньше, чем были до их реализации: EFi >EFi'; - частота нарушений информационной безопасности уменьшится после реализации мероприятий AROi > AROi'.

В результате уменьшенная величина ALEi' будет составлять:

ALE'i = SLEi x AROi = (AVi x EFi') x AROi' (3.4)

Таким образом, суммарный годовой эффект от реализации мероприятия будет определяться как: Исходя из этого, общий денежный поток от реализации мероприятия определяется по следующей формуле:

 (3.5)

3.2 Оценка рисков

Под риском информационной безопасности будем понимать возможные потери собственника или пользователя информации и поддерживающей инфраструктуры связанные с реализацией некоторой угрозы.

Риск нарушения конфиденциальности информации (информация - товар).

Риск нарушения целостности информации.

Риск нарушения доступности информации, доступности сервисов.

Организации сейчас жестко завязаны на автоматизацию, на сервисы, несут огромные потери от их простаивания (это ущерб). Не даром сейчас вводят такого рода процессы, как управление доступностью сервисов, управление непрерывностью и т.д.

Статистика показывает, что во всех странах убытки от злонамеренных действий непрерывно возрастают. Причем, основные причины убытков связаны не столько с недостаточностью средств безопасности как таковых, сколько с отсутствием взаимосвязи между ними, т.е. с нереализованностью системного подхода. Поэтому необходимо опережающими темпами совершенствовать комплексные средства защиты информации. Основные выводы о способах использования рассмотренных выше средств, методов и мероприятий защиты, сводится к следующему: не существует универсальной системы расчета затрат на средства ЗИ, но следует учитывать, что затраты на мероприятия не должны превышать стоимость защищаемой информации, на протяжении всего времени использования.

Также следует учитывать развитие и совершенствание средств и технологий ЗИ, и вкладывать средства преимущественно в новейшие разработки.

В этом разделе проведено обоснование выбора методов ЗИ и даны оценки характеристик предлагаемых вариантов.

Задача выбора оптимальных методов обычно сводится к наиболее универсальной реализации c минимальной стоимостью при условии удовлетворения этой реализацией всех поставленных требований по функционированию. Рассмотрим риски и рассчитаем потери в случае возникновения угроз.

В широком смысле, под этим термином понимают все, что представляет ценность с точки зрения организации и является объектом защиты. В прикладных методиках аудита и управления рисками обычно рассматриваются следующие классы активов:

оборудование (физические ресурсы), в том числе носители информации.

информационные ресурсы (базы данных, файлы, все виды документации, формы прикладной системы);

функциональные задачи (сервисы), реализуемые КИС;

сотрудники компании, получающие доступ к информационным ресурсам (пользовательские роли). Автоматизированная система (АС) может иметь достаточно большое количество угроз информационной безопасности и связанных с ними уязвимостей. С помощью таких каталогов, как BSI ITPM (600 угроз) и сканеров безопасности (1800 уязвимостей) их можно только идентифицировать. После этого, у специалиста по ЗИ возникает второй вопрос - стоит ли их все закрывать? Закрытие всех этих угроз и уязвимостей приведет к трате большого количества временных и денежных ресурсов, в этом случае просто не целесообразно. Возникает ответный вопрос - если все множество угроз и уязвимостей закрывать не следует, то какое подмножество следует закрывать и в какой последовательности ответ на этот вопрос можно рассмотреть с разных сторон.

Под угрозой информационной безопасности будем понимать потенциальную возможность злоумышленника совершить воздействия естественного либо искусственного характера, чреватых нанесением ущерба владельцам или пользователям информации и поддерживающей инфраструктуры. (Например, угроза прослушивания канала связи).

Задачей систем защиты информации (СЗИ) является реализация контрмер, направленных на нейтрализацию угроз, либо потерь, связанных с их реализацией.

Уязвимость - слабость в системе защиты, которая делает возможной реализацию определенной угрозы (Например, учетные записи сотрудников КИС удаляются спустя неделю после их увольнения).

Стандартных слов о том, что критичная для бизнеса информация должна быть доступной, целостной и конфиденциальной, явно недостаточно для бизнес-структур, поскольку информация - понятие достаточно абстрактное, угрозы ее безопасности носят вероятностный характер (может случиться, а может и нет), потери от реализации угроз могут быть различными.

С точки зрения собственника информации и поддерживающей ее инфраструктуры существование некой угрозы или уязвимости может быть не очень критично для него. Вероятность реализации этой угрозы либо использования уязвимости может быть настолько мала, что на факт ее существования можно просто закрыть глаза (например, утечка информации для домашнего компьютера). С другой стороны, вероятность реализации угрозы может быть достаточно велика, но стоимость потерь при реализации - столь мала, что нейтрализация данной угрозы потребует большие финансовые затраты, чем возможные потери при реализации.

С точки зрения собственника информации, основными показателями, связанными с угрозами ИБ и влияющими на степень их опасности для АС, является вероятность их реализации, а также возможный ущерб владельцам или пользователям информации. Комплексный показатель, объединяющий эти два показателя - риск информационной безопасности.

Под риском информационной безопасности будем понимать возможные потери собственника или пользователя информации и поддерживающей инфраструктуры связанные с реализацией некоторой угрозы. SP 800-30. Риск (R) - функция вероятности (P) реализации отдельным источником угрозы (T) отдельной потенциальной уязвимости (V) и результирующего влияния (I) этого враждебного события на организацию или индивида.

 (3.6)

Согласно принципу разумной достаточности, риски в АС присутствуют всегда, их можно только понижать, не устраняя в принципе (даже ГОСТ можно взломать полным перебором, DES в США как раз и заменили на AES в связи с тем, что риски при его использовании стали очень велики).

Некоторые из возможных потерь для собственника информации являются приемлемыми, другие нет, поэтому для специалиста по ИБ очень важно выделить множество неприемлемых рисков. Кроме этого, для эффективности управления ИБ, важно знать, какие риски необходимо понижать в первую очередь. Вообще говоря, для специалиста по ЗИ очень актуально решение следующей задачи:

ПОСТАНОВКА ЗАДАЧИ (*)

Задано множество рисков ИБ  для АС, выделенных на этапе идентификации рисков. Необходимо выделить подмножество  неприемлемых рисков, а также задать на множестве  отношение порядка , по отношении к величине рисков.

С точки зрения понятия риска ИБ, можно достаточно прозрачно определить такие понятия, как эффективность СЗИ и эффективность контрмеры. Можно сравнивать возможные варианты реализации СЗИ по своей эффективности. Можно определить такие экономические показатели, как коэффициент возврата инвестиций в ИБ (ROI).

Эффективность СЗИ (без учета затратной составляющей) логично определить через уровень остаточных рисков АС. Чем меньше уровень остаточных рисков, тем эффективнее работа СЗИ. То есть если риск при использовании СЗИ1 равен R1, а при введении СЗИ2 равен R2, то СЗИ1 эффективнее СЗИ2, если R1<R2

Эффективность контрмеры (без учета затратной составляющей) логично определить через достигнутый путем ее реализации уровень снижения остаточных рисков.

 (3.7)

где  - величина остаточных рисков до реализации контрмеры,  - величина остаточных рисков после реализации контрмеры. То есть если уровень снижения риска при внедрении контрмеры С1 равен DR1, а при внедрении С2 равен DR2, то С1 эффективнее С2, если DR1>DR2

Эффективность контрмеры с учетом затратной составляющей можно определить через коэффициент возврата инвестиций ROI.

 (3.8)

где СКонтрмеры - величина затрат на реализацию контрмеры. Большему ROI соответствуют более эффективные контрмеры. Актуальнее:

 (3.9)

Введение меры риска позволяет также ставить перед специалистами по ИБ различные оптимизационные задачи, разрабатывать соответствующие им стратегии управления рисками. Например:

выбрать вариант подсистемы информационной безопасности, оптимизированной по критерию «стоимость-эффективность» при заданном уровне остаточных рисков;

выбрать вариант подсистемы информационной безопасности, при котором минимизируются остаточные риски при фиксированной стоимости подсистемы безопасности;

выбрать архитектуру подсистемы ИБ с минимальной стоимостью владения на протяжении жизненного цикла при установленном уровне остаточных рисков.

Большинство технологий управления рисками ИБ организаций включают в себя следующие этапы:

Идентификацию рисков.

Оценивание (измерение) рисков.

Анализ рисков (с выбором допустимого уровня рисков).

Управление рисками, направленное на их снижение.

Технология управления рисками - это непрерывный циклический процесс (непрерывно повторяются этапы 1-4-1).

В методике оценке рисков NIST SP 800-30 «Risk Management Guide for Information Technology Systems» методология оценки рисков ИБ разложена на девять основных шагов:

Шаг 1 - Определение характеристик системы (сбор информации о системе).

Шаг 2 - Определение уязвимостей.

Шаг 3 - Определение угроз.

Шаг 4 - Анализ мер безопасности.

Шаг 5 - Определение вероятности.

Шаг 6 - Анализ влияния.

Шаг 7 - Определение риска.

Шаг 8 - Выработка рекомендаций.

Шаг 9 - Документирование результатов.

Шаги 2, 3, 4 и 6 могут выполняться параллельно, по выполнению действий Шага 1 (рис 3.1).

Создание 100% надежной системы защиты информации невозможно в принципе, в любых случаях остается ненулевая возможность реализации какой-либо угрозы либо уязвимости. Любая система защиты информации может быть взломана, это вопрос времени. Поэтому бесконечно вкладывать деньги в обеспечение ИБ бессмысленно, необходимо когда-то остановиться. Согласно принципу разумной достаточности, стойкость СЗИ считается достаточной, если время взлома злоумышленником СЗИ превосходит время старения информации (либо некоторый разумный предел), либо стоимость взлома системы защиты информации превосходит стоимость полученной злоумышленником выгоды от взлома.

Рис. 3.1 - Методология оценки рисков ИБ

3.3 Методы снижения риска потери или искажения данных

К наиболее распространенным методам снижения риска на предприятии относятся следующие.

. Избежание риска, то есть уклонение от сомнительных проектов, связанных с высоким риском, отказ от работы с ненадежными партнерами.

. Страхование - представляет собой систему возмещения убытков страховщиками при наступлении страховых случаев из специальных фондов, формируемых за счет страховых взносов, уплачиваемых страхователями.

Нанесенный предприятию в результате страхового случая материальный ущерб включает в себя два вида убытков: прямые и косвенные. Прямой убыток означает количественное уменьшение застрахованного имущества (гибель, повреждение, кража), или снижение его стоимости вследствие страхового случая.

В сумму прямого убытка включаются также затраты, понесенные страхователем для уменьшения ущерба, спасения имущества и приведения его в надлежащий порядок после стихийного бедствия или другого страхового случая.

Косвенный убыток возникает вследствие гибели (повреждения) имущества и невозможности его использования после страхового случая. К нему относят неполученный из-за перерывов в производственном процессе доход, дополнительные затраты на ликвидацию последствий чрезвычайных ситуаций природного и техногенного характера.

. Самострахование - это создание специального резервного фонда (фонда риска) за счет отчислений на случай возникновения непредвиденной ситуации. Самострахование целесообразно в том случае, когда стоимость страхуемого имущества относительно невелика по сравнению с общим объем капитала предприятия.

Страховой резервный фонд не вовлекается в оборот и является капиталом, не приносящим прибыли. Периодически, в зависимости от статистики убытков в прошлые периоды и размера ожидаемых будущих потерь, а также ситуации на страховом рынке, размер страховых резервов предприятия должен пересматриваться.

. Диверсификация производственной деятельности (увеличение числа используемы или готовых к использованию технологий, расширению ассортимента выпускаемой продукции, ориентация на различные сегменты потребителей), рынка сбыта (работа одновременно на нескольких товарных рынках, когда неудача на одном из них может быть компенсирована успехами на других), закупок материалов (ослабляет зависимость предприятия от его поставщиков)

является эффективным способом снижения рисков и обретения экономической устойчивости и самостоятельности.

. Хеджирование (от английского hedging - ограждать), как правило, используется для минимизации рисков снабжения в условиях высоких инфляционных ожиданий и отсутствия надежных каналов закупок.

Минимизация рисков снабжения в данном случае осуществляется за счет передачи риска путем:

приобретения опционов на закупку товаров и услуг, цена на которые в будущем будет увеличиваться. Данный способ позволяет предпринимательской фирме получить уверенность в том, что интересующие ее товары или услуги по заранее известной цене ей гарантированы. Опцион - это документ, в котором поставщик гарантирует продажу товара по фиксированной цене в течение определенного срока;

заключение перспективных контрактов на закупку растущих в цене товаров.

Отличие данного способа от покупки опциона заключается в том, что контракт на поставку подписывается между поставщиком и покупателем, но его исполнение отложено на определенный срок; момент времени, в который осуществляется поставка товара, строго фиксирован; в контракте может быть предусмотрена «плавающая» цена поставки.

Разработанная в этом разделе математическая модель позволяет получить сравнительные оценки показателей риска и ущерба от потери данных.

Расчеты и рекомендации позволяют минимизировать затраты на защиту и восстановление данных. Также разработаны и описаны методы по снижению рисков.

На основе этих данных может быть определен суммарный эффект от реализации мероприятий в сфере информационной безопасности и продемонстрировано, насколько оправданными и целесообразными являются вложения в те или иные средства защиты информации в условиях конкретного предприятия с учетом всех особенностей его функционирования. И хотя с математической точки зрения все расчеты в описанной рамочной модели оценки ROI являются предельно простыми, определение отдельных параметров может вызвать значительные затруднения на практике. Проведение таких расчетов, так же как и проведение аудитов информационной безопасности, может потребовать привлечения сторонних консультантов, однако квалификация и профессиональная специализация таких консультантов может существенно отличаться от квалификации консультантов, специализирующихся, например, на проведении аудитов и внедрении технических средств защиты информации.

Причем если оценку вероятностей атак, а также оценку того, насколько эти атаки могут быть успешными, предпочтительно доверить внешним консультантам по информационной безопасности, то оценку стоимости информации и экономических последствий утраты контроля над информационными активами, скорее всего, целесообразно осуществлять специалистам, работающим на предприятии. Несмотря на все трудности процесса оценки целесообразности внедрения средств защиты, описанная методология позволяет получать обоснованные оценки и делать формализованные выводы относительно того, насколько оправданными являются вложения в определенные средства защиты информации, а также определить основные приоритеты расходования средств, предусмотренных в бюджете на обеспечение информационной безопасности. При этом достаточно высокий уровень достоверности таких оценок достигается за счет того, что вся работа по проведению оценки и подготовке инвестиционных решений раскладывается на несколько относительно более простых и «прозрачных» задач, решение каждой из которых может быть закреплено за специалистами в определенной сфере. В результате общая оценка складывается на основе полученных решений нескольких отдельных задач, каждое из которых может быть проконтролировано и при необходимости дополнительно уточнено. В этих условиях общее качество получаемой аналитической оценки и, соответственно, формулируемого решения зависит от квалификации всех экспертов, аналитиков и специалистов, участвующих в работе.

Следовательно, одной из основных задач руководителей, отвечающих за принятие решений в сфере информационной безопасности является подбор наиболее квалифицированных и опытных специалистов, поскольку от качества их работы будет зависеть не просто безопасность отдельных элементов информационных активов в определенные моменты времени, а эффективность всей системы защиты информации в среднесрочной, а иногда и в долгосрочной перспективе. Управление информационной безопасностью, так же как и управление во многих других сферах деятельности, предполагает периодическое принятие различных управленческих решений, заключающихся, как правило, в выборе определенных альтернатив (отборе одной из возможных организационных схем или одного из доступных технических решений) или определении некоторых параметров отдельных организационных и/или технических систем и подсистем. Одним из возможных подходов к выбору альтернатив в ситуации принятия управленческого решения является т.н. "волевой" подход, когда решение по тем или иным причинам принимается интуитивно и формально обоснованная причинно-следственная взаимосвязь между определенными исходными предпосылками и конкретным принятым решением не может быть установлена. Очевидно, что альтернативой "волевому" подходу становится принятие решений, основанное на определенных формальных процедурах и последовательном анализе.

Основой такого анализа и последующего принятия решений является экономический анализ, предполагающий изучение всех (или хотя бы основных) факторов, под влиянием которых происходит развитие анализируемых систем, закономерностей их поведения, динамики изменения, а также использование универсальной денежной оценки. Именно на основе адекватно построенных экономических моделей и осуществляемого с их помощью экономического анализа должны приниматься решения, касающиеся как общей стратегии развития, так и отдельных организационных и технических мероприятий, как на уровне государств, регионов и отраслей, так и на уровне отдельных предприятий, подразделений и информационных систем.

Сложность задач экономического анализа, как правило, обуславливается тем, что многие ключевые параметры экономических моделей невозможно достоверно оценить, и они носят вероятностный характер (такие как, например, показатели потребительского спроса). Анализ усложняется также тем, что даже небольшие колебания (корректировка оценок) таких параметров могут серьезно повлиять на значения целевой функции и, соответственно, на решения, принимаемые по результатам анализа. Таким образом, для обеспечения как можно большей достоверности расчетов в процессе проведения экономического анализа и принятия решений необходимо организовать комплекс работ по сбору исходной информации, расчету прогнозных значений, опросу экспертов в различных областях и обработке всех данных. При этом в процессе проведения такого анализа необходимо уделять особое внимание промежуточным решениям, касающимся оценок тех или иных параметров, входящих в общую модель. Необходимо также учитывать то обстоятельство, что сам по себе такой анализ может оказаться достаточно ресурсоемкой процедурой и потребовать привлечения дополнительных специалистов и сторонних консультантов, а также усилий со стороны различных специалистов (экспертов), работающих на самом предприятии, - все эти затраты, в конечном счете, должны быть оправданы.

ЗАКЛЮЧЕНИЕ

В работе рассмотрены вопросы организации комплексной системы защиты информации на предприятии. Затронуты наиболее важные аспекты научно-методологических основ, основные угрозы и каналы утечки информации, технология организации системы защиты информации.

Разработаны и описаны мероприятия и методы защиты, восстановления данных на предприятии. Составлено планирование и положение для отдела защиты информации. Представлена и описана математическая модель оценки рисков и ущерба при потери данных. Описаны меры по снижению затрат на обслуживание системы безопасности (затраты на предупредительные мероприятия).

Главная цель - показать, что построение именно комплексной системы может сделать работу по организации защиты информации наиболее эффективной.

При этом надо понимать, что именно комплексность решений подразумевает взвешенный дифференцированный подход к этой проблеме. При создании КСЗИ обязательно надо учитывать особенности предприятия, ценность информации, и т. д.

Начинать работу по организации КСЗИ необходимо с выявления информационных ресурсов предприятия, подлежащих защите. Далее - провести оценку возможного ущерба от утечки данных, подлежащих защите, и классифицировать информацию по степеням важности. Затем определить все виды носителей информации, требующих защиты и возможные угрозы. Учитывая именно эти (и еще ряд других) факторы, необходимо определить состав разрабатываемой системы.

КСЗИ представляет собой действующие в единой совокупности законодательные, организационные, технические и другие меры, обеспечивающие защиту информации. Связующим звеном в этой системе является управляющий орган (например, отдел по ЗИ), который может быть представлен как подразделением, осуществляющим руководство, так и одним сотрудником, отвечающим за эту деятельность.

И, наконец, никакую систему защиты нельзя считать абсолютно надежной, поэтому необходимо осуществлять постоянный мониторинг и развитие функционирующей на предприятии системы защиты информации.

В реальных хозяйственных ситуациях, в условия действия разнообразных факторов риска могут использоваться различные способы снижения финального уровня риска, воздействующие на те или иные стороны деятельности предприятия.

В целом работа направлена на разработку и оптимизацию мероприятий по защите информации и на снижение рисков от угроз. Системный подход к защите компьютерных систем предполагает необходимость учета всех взаимосвязанных, взаимодействующих и изменяющихся во времени элементов, условий и факторов, существенно значимых для понимания и решения проблемы обеспечения безопасности информации. При создании системы защиты необходимо учитывать все слабые, наиболее уязвимые места системы обработки информации, а также характер, возможные объекты и направления атак на систему со стороны нарушителей (особенно высококвалифицированных злоумышленников), пути проникновения в распределенные системы и несанкционированного доступа к информации. Система защиты должна строиться с учетом не только всех известных каналов проникновения и несанкционированного доступа к информации, но и с учетом возможности появления принципиально новых путей реализации угроз безопасности.

Защита информации - это не разовое мероприятие и даже не совокупность проведенных мероприятий и установленных средств защиты, а непрерывный целенаправленный процесс, предполагающий принятие соответствующих мер на всех этапах жизненного цикла автоматизированных информационных технологий, начиная с ранних стадий проектирования, а не только на этапе ее эксплуатации. Разработка системы защиты должна вестись параллельно с разработкой самой защищаемой системы.

СПИСОК ИСПОЛЬЗОВАННЫХ ИСТОЧНИКОВ

1. Котиков И.М. Пространство технологий абонентского доступа для оператора связи// Технологии и средства связи 2010, №1.

. Котиков И.М. Технологии проводного доступа для мультисервисных сетей связи/ Технологии и средства связи 2009, №3.

. Технологии и средства связи 2009, №5.

. Мельников В. Защита информации в компьютерных системах. - М.: Финансы и статистика, 2010.

. Мельников Д.А. Информационные процессы в компьютерных сетях. - М.: Кудиц-Образ, 2009.

. Щербо В.К. Стандарты вычислительных сетей. - М.,: Кудиц - Образ, 2009.

. Мауфер Т. WLAN «Практическое руководство для администраторов и профессиональных пользователей» Пер.с англ.-М.:КУДИЦ-ОБРАЗ, 2010.

. Шахнович С. «Современные беспроводные технологии» СПб.: ПИТЕР, 2010.

. Рошан П. «Основы построения беспроводных локальных сетей стандарта 802.11».

. Олифер В. Олифер Н. «Компьютерные сети. Принципы, технологии, протоколы» СПб.: ПИТЕР, 2010.

. Экономика предприятия. Под ред. Волкова, М.: Инфра-М, 2008 г.

. Организация производства. Под ред. проф. Туровца О.Г. Издание Воронежского университета. 2009 г.

. Экономика предприятия. Под ред. проф. Горфинкеля В.Я., проф. Куприянова Е.М. М.: Банки и биржи изд. Объединение "Юниги", 2009 г.

. Экономика предприятия. Под ред. академика Манвша, д.э.н. профессора Семенова В., М.: 2009.

. Стен Шатт. Мир компьютерных сетей. 2010.

. Введение в АТМ. Сети № 9, 2009.

. Категории служб в сетях. Network Computing, февраль 2010.

. Трудная дорога АТМ в объединенной сети, Lan Magazine, апрель 2009.

. “Коммутаторы АТМ”, Lan Magazine, октябрь 2009.

. “Высокоскоростные магистрали передачи данных”, Сети № 7, 2009.

. Новые стандарты высокоскоростных сетей, Открытые Системы, 2010.

. http://www.ruslan-com.ru/B_ICI_PNNI.htm

. http://www.osp.raid.ru/lan/1998/078/129.htm

Похожие работы на - Исследование и разработка мероприятий по организации защиты информации на предприятии

 

Не нашли материал для своей работы?
Поможем написать уникальную работу
Без плагиата!
Без нейросетей!