Анализ свойств, звукоизоляции и звукопроницаемости материалов. Методы и свойства их измерения
Введение
Источники звука, как правило, работающие
механизмы, оказывают вредное воздействие для окружающей среды, включая
растительный мир, человека и живые организмы, могут нести разрушительный
характер для различных конструкций особенно в условиях резонанса.
Несмотря на то, что акустическая энергия может
быть использована в качестве производительного или преобразующего фактора в
производственных процессах, чаще всего необходима защитная звукоизоляция,
поэтому исследования, изучения теории акустических сигналов, разработка
конструкций защитной изоляции, эксперименты и исследования в этой области
являются актуальными.
Для обеспечения должной защиты человека от шума
главное значение приобрели конструкции защитной звукоизоляции и
звукопроницаемости.
Разработка приборов и методов контроля качества
звукоизоляции и звукопроницаемости позволяет предотвратить и оградить человека,
механизмы от вредного влияния акустических волн.
Приборов для определения звукоизоляции
существует кране много, одним из них является акустический интерферометр
Целью данного дипломного проекта является
рассмотрение теории звукоизоляции и звукопроницаемости, рассмотрение
конструкций наиболее эффективно решающих проблему звукоизоляции, управление
акустическими потоками. В соответствии с техническим заданием в данном проекте
рассматривается в основном вопрос звукоизоляции.
1. Анализ состояния вопроса
.1 Свойства звукоизоляции и звукопроницаемости
материалов
Звукоизолирующие преграды,
устанавливаемые на пути распространения шума, могут достаточно надежно защищать
от него места пребывания человека. Известно, что чем массивнее ограждение, тем
лучше оно изолирует помещение от шума, однако требование рационального
расходования материальных ресурсов диктует необходимость более полного
использования их звукоизоляционных свойств. Поэтому современное проектирование
звукоизоляции направлено на обеспечение требуемых акустических условий в
помещениях за счет регулируемой звукоизоляции ограждений при минимально
возможной их массе. Часто собственная звукоизоляция ограждения снижается
вследствие наличия в ограждении щелей и отверстий, а также за счет передачи
энергии по смежным конструкциям косвенными путями. Тем более необходимо точнее
оценивать степень передачи звуковой энергии непосредственно через ограждение
прямым путем.
Под звукопоглощением понимается
процесс преобразования энергии звуковых волн в тепловую энергию при
распространении звука в среде или при падении звука на границу двух сред.
Наиболее отчетливо процесс
звукопоглощения наблюдается в тех случаях, когда на границе с воздушной средой
размещают материалы, у которых свойства превращать колебательную энергию
звуковой волны в тепловую выражены наиболее ярко. Эта группа материалов (и
изделий на их основе) получила название звукопоглощающих.
Звукопоглощающие материалы
находят применение в большинстве современных средств защиты от шума. Они входят
в состав всех известных устройств для непосредственного поглощения звука
акустическими облицовками ограждающих конструкций, для глушения шума,
распространяющегося в каналах вентиляционных систем, для изоляции структурного
звука и вибраций в качестве упругих прокладок и покрытий, для улучшения
изоляции звука в качестве заполнителя и уплотнителя щелей и отверстий
Звукопроницаемость -
способность материалов пропускать звук. Характеризуется показателем
проницаемости от воздушного и ударного звуков.
Звукоизоляция характеризуется
показателем проницаемости от воздушного и ударного звуков.
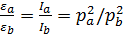
Под звукоизоляцией 
, дБ ограждающих конструкций
понимается их свойство задерживать часть энергии падающих на них звуковых волн,
которое и определяется отношением мощностей падающих волн 
, и волн, излученных ограждающей
конструкцией, 
:

(1.1)
Характеристикой процесса прохождения
звука является коэффициент 
, связанный с звукоизоляцией
соотношением:

. (1.2)
Если обозначить коэффициенты
отражения через 
, рассеяния через 
и поглощения через 
, то закон сохранения энергии
позволяет записать:

, а опосредованная взаимосвязь между
звукоизоляцией и звукопоглощением будет выражаться как 
.
Решение лордом Рэлеем задачи о
прохождении звука через бесконечный плоский слой в случае его нормального
падения по отношению к слою привело в конечном счете к важному понятию в теории
звукоизоляции - к «закону масс». Дальнейшее рассмотрение Л. Кремером
прохождения наклонно падающего звука через тонкую бесконечную пластину с
дополнительно введенным понятием явления волнового совпадения позволило
объяснить существенное снижение звукоизоляции в области частот выше граничной.
Последующие исследования в этом направлении дали дополнительную информацию о
прохождении звука, в том числе через пластину ограниченного размера. Однако для
пластин ограниченного размера в области частот ниже граничной остались невыясненными
такие принципиальные задачи, как: причины изменения наклона частотной
характеристики звукоизоляции пластин по сравнению с наклоном 
дБ на 1 октаву, который
определяется «законом масс»; превышение фактической собственной звукоизоляции
пластин на низких частотах над теоретической звукоизоляцией по «закону масс»;
зависимость звукоизоляции от внутренних потерь энергии; сравнительно
интенсивное звукоизлучение ограждением при возбуждении его звуковых колебаний
воздушным звуком; возможность регулирования звукоизоляции (кроме ее
регулирования изменением массы) [1].
Для изучения процесса прохождения звука во всем
нормируемом диапазоне частот через ограждение с произвольными размерами в плане,
граничными условиями и значениям потерь энергии на внутреннее трение и для
решения упомянутых выше задач предлагается другая модель, основанная на
вводимом понятии самосогласования (согласования) звуковых полей перед и за
ограждением с волновым полем самого ограждения. Предлагаемые в модели
расширенные начала о звуковых колебаниях основаны на волновом движении материи,
а исходные функции выдерживают требования классических дифференциальных
уравнений с последующим выходом из этих рамок по мере усложнения и накопления
уровней волновых процессов. Данное положение относится и к волновому
вибрационному полю, которое представляет интерес не только как передаточное
звено от падающего звука к прошедшему, но и как самостоятельный фундаментальный
колебательный процесс [2].
.2 Конструкции объектов и звук
.2.1 Распространение звука в ограниченном
пространстве
При своем распространении звуковые
волны, доходя до какой-либо преграды, частично отражаются от нее, а частично ее
огибают. Последний эффект определяется дифракционной способностью волн и
зависит от соотношения между размерами преграды и длиной волны. Для звуковых
волн в воздухе в диапазоне частот 30-15000 Гц дифракция может наблюдаться при
размерах преград от нескольких сантиметров до нескольких метров. При встрече
звуковых волн с преградами больших размеров дифракционный эффект присутствует
только на краях преграды. Часть энергии звуковых волн отражается, а часть
поглощается, соотношение этих частей определяется свойствами материала
преграды. Для учета этого эффекта введены понятия коэффициентов поглощения и
отражения звука. Отношение интенсивности отраженных звуковых волн 
к интенсивности падающих 
называется коэффициентом отражения 
, а отношение поглощенной энергии к
падающей - коэффициентом поглощения

где 
- интенсивность поглощенной
энергии. Если нет дифракции, то 
. Заметим, что коэффициенты
поглощения и отражения зависят от частоты. Отраженные волны интерферируют с
падающими волнами и образуют стоячие волны с пучностями и узлами [5].
.2.2 Звукопоглощающие материалы и
конструкции
Причиной отражения звуковых волн от
любой пространственной границы двух сред является неравенство
(несогласованность) их волновых акустических сопротивлений. Если волновое
акустическое сопротивление воздуха равно 
, а другой (отражающей) среды - 
, то по общей теории отражения волн
коэффициент отражения по звуковому давлению 


а для случая плоской падающей волны

(1.3)
Таким образом, отражающая
способность среды тем больше, чем резче отличается ее волновое сопротивление от
волнового сопротивления первой среды, например воздуха.
Так как обычно пользуются
коэффициентами отражения и поглощения по интенсивности звука, то
соответствующий коэффициент отражения 
, а коэффициент поглощения

(1.4)
Сопротивления обеих сред в общем
случае могут быть комплексными, т. е. 
и 
, поэтому абсолютное поглощение
(коэффициент отражения, равный нулю) может быть только при равенстве
вещественных и мнимых частей сопротивлений 
и 
Отраженные звуковые волны,
интерферируя с падающими, образуют стоячие волны с пучностями и узлами. В
отсутствии реактивных составляющих волновых сопротивлений у обеих сред фаза
отраженной волны может или совпадать с фазой падающей или быть сдвинутой на π в
зависимости от того, какое из сопротивлений больше 
или 
, т. е. у границы может быть либо
пучность, либо узел колебаний.
В общем случае сдвиг фаз между
падающей и отраженной волнами получается в интервале между 0 и 
, поэтому у границы двух сред будет
иметь место промежуточное состояние между пучностью и узлом.
Если звуковая волна падает на
поверхность среды с большим акустическим сопротивлением (например, стена из
мрамора), то непосредственно около нее скорость колебаний будет равна нулю,
потому что частицы воздуха, подойдя к стене, будут останавливаться и затем
двигаться назад. Это означает, что отраженная волна для скорости колебаний
будет иметь противоположную фазу по отношению к падающей (сдвиг по фазе на 
), т. е. у поверхности стены
получается узел скорости колебаний. В то же время звуковое давление у
поверхности стены будет иметь пучность, так как давления падающей и отраженной
волн, как скалярные величины, складываются арифметически (сдвиг фаз равен
нулю). Если акустическое сопротивление отражающей стены будет меньше, чем для
воздуха, то картина меняется: у поверхности стены будет пучность скорости
колебаний и узел давления, т. е. отраженная волна давления будет сдвинута на 
, а отраженная волна скорости
колебаний будет в фазе с падающей.
Следует заметить, что коэффициенты
отражения зависят от угла падения волн: меньший коэффициент отражения
получается при падении на отражающую поверхность под прямым углом. Он
называется нормальным. В том случае, когда волны падают под всевозможными
углами (рассеянная волна), коэффициент отражения (и поглощения) называют
диффузным.
Звукопоглощающие материалы по
строению делятся на сплошные и пористые, а по применению - на стеновые,
облицовочные, драпировки и специальные.
К последним относятся, например,
мембранные и резонаторные конструкции.
Сплошные материалы. Эти материалы
(бетон, кирпич, мрамор, дерево и т. п.), как правило, твердые, т. е. имеют
акустическое сопротивление значительно больше сопротивления воздуха. Поэтому их
коэффициенты (табл. 1.2) очень малы, не более 5% (табл. 1.1). В последнем
случае их коэффициент поглощения оказывается больше, чем в первом, так как
происходит дополнительное поглощение из-за поперечных колебаний, возникающих в
слое облицовочного материала. С увеличение частоты коэффициенты отражения от
твердых сплошных материалов немного уменьшаются из-за некоторой шероховатости
поверхности материалов и поэтому коэффициенты поглощения растут (табл. 1.1).
Таблица 1.1
|
Материалы
(объекты)
|
Коэффициенты
поглощения на частотах, Гц
|
|
125
|
250
|
500
|
1000
|
2000
|
4000
|
|
Стена,
штукатуренная, окрашенная
|
0,012
|
0,013
|
0,017
|
0,020
|
0,023
|
0,025
|
|
Акустическая
штукатурка
|
0,22
|
0,27
|
0,31
|
0,31
|
0,33
|
0,40
|
|
Акустическая
штукатурка типа АГШ
|
0,61
|
0,94
|
0,99
|
0,86
|
0,73
|
0,46
|
|
То
же, типа АГШ-Б
|
0,99
|
0,78
|
0,73
|
0,76
|
0,60
|
0,59
|
|
Ковер
с ворсом 1 см на бетоне
|
0,09
|
0,08
|
0,21
|
0,27
|
0,27
|
0,37
|
|
Резиновый
ковер толщиной 0,5см
|
0,04
|
0,04
|
0,08
|
0,12
|
0,03
|
0,10
|
|
Линолеум
|
0,02
|
0,025
|
0,03
|
0,036
|
0,04
|
0,045
|
|
Сосновая
панель
|
0,098
|
0,110
|
0,100
|
0,087
|
0,082
|
0,110
|
|
Стекло
ординарной толщины
|
0,035
|
0,30
|
0,027
|
0,024
|
0,020
|
0,020
|
|
Мрамор
|
0,010
|
0,010
|
0,010
|
0,013
|
0,015
|
0,017
|
|
Драпировка
вплотную к стене (бумажная ткань 500 г/м2)
|
0,04
|
0,07
|
0,13
|
0,22
|
0,32
|
0,35
|
|
Щиты
Бекеши (холст, натянутый по вате)
|
0,80
|
0,81
|
0,73
|
0,58
|
0,46
|
0,45
|
|
Один
слушатель
|
0,33
|
0,41
|
0,44
|
0,46
|
0,46
|
0,46
|
|
Кресла,
обитые бархатом, в расчете на 1шт.
|
0,14
|
0,22
|
0,34
|
0,40
|
0,52
|
0,60
|
|
Два
слушателя на 1 м2
|
0,25
|
0,44
|
0,78
|
0,97
|
1,0
|
1,0
|
|
Три
слушателя на 1 м2
|
0,2
|
0,33
|
0,67
|
0,84
|
0,92
|
0,97
|
Таблица 1.2
|
Материалы
и конструкции перегородок
|
Толщина,
мм
|
Звукоизоляция,
дБ
|
|
Плотная
кирпичная кладка (1/2 кирпича со штукатуркой)
|
140
|
47
|
|
То
же в два кирпича
|
520
|
59
|
|
Стекло
|
6
|
31
|
|
Фанера
тройная
|
7
|
21
|
|
Доска
сплошная дубовая
|
45
|
27
|
|
Войлок
|
100
|
19
|
|
Деревянная
стена с воздушным промежутком 5 см
|
90
|
12
|
|
Шлаковый
блок со штукатуркой
|
200
|
56
|
|
Окно
двойное, плотно закрытое
|
|
25
|
|
Дверь
двойная
|
|
27
|
|
Двери
с тамбуром
|
|
30
|
Из мягких сплошных материалов в
качестве облицовочного материала используется только плотная резина. Ее
акустическое сопротивление не очень велико, а коэффициент поглощения в среднем равен
около 
(табл. 1.1).
Пористые материалы. Эти материалы
(штукатурки, облицовочные плиты с перфорацией и без нее, щиты, портьеры, ковры
и т. п.) используются только как облицовочные и для драпировок, т. е. во всех
случаях за ними располагаются (вплотную или на некотором расстоянии от них)
ограждающие конструкции из сплошных материалов (стены, потолки, полы и другие
перегородки).
При падении звуковых волн на
перегородку из пористого материала необходимо учитывать отражение звука как от
лицевой поверхности, так (для прошедших в нее волн) и тыльной с учетом
поглощения звука в порах. Для материалов, хорошо проницаемых для звука, следует
учитывать и возможность возвращения звуковых волн, отраженных от ограждающих
конструкций, находящихся за рассматриваемой пористой перегородкой. Например,
если за такой перегородкой с сквозными порами (матерчатый занавес, портьера и
т. п.) находится твердая стена, то отраженные волны будут вторично проходить через
перегородку. Поглощение в этом случае будет определяться только потерями на
трение в порах материала перегородки с учетом вязкости материала, потому что
звуковые волны не будут отражаться от нее. Так как потери на трение
пропорциональны скорости колебаний, то наименьшее поглощение будет получаться
при расположении такой перегородки вплотную к твердой стене, потому что там
будет узел скорости колебаний, т. е. скорость колебаний будет минимальной. Если
перегородку расположить на небольшом расстоянии от твердой стены, та поглощение
в общем случае будет больше. Максимальное поглощение получается при
расположении перегородки в пучности скорости колебаний, которая будет
находиться на расстоянии 
длины волны. Поэтому при удалении
перегородки от стены коэффициент поглощения увеличивается, но не монотонно.
Для толстых слоев облицовки из
пористого материала коэффициент поглощения получается достаточно большой из-за
ряда факторов. Так как акустическое сопротивление таких материалов обычно
близко к сопротивлению воздуха, то звуковые волны почти не отражаются от них.
Звуковые волны, входя в поглощающий материал, будут испытывать большие потери
энергии из-за вязкости материала, трения в порах, поэтому значительно
ослабленными они будут достигать твердой стены, находящейся за ним. Скорость
колебаний в узле, т. е. у стены, будет мало отличаться от скорости колебаний в
пучности, и потери на этом участке хода звуковых волн будут также велики, как и
в пучности. При обратном ходе звуковой волны будет также происходить поглощение
энергии звуковых волн. Практически звуковая волна вернется в помещение
значительно ослабленной, т. е. коэффициент поглощения будет большим. При этом
на определенной частоте поглощение может быть очень большим (табл. 1.1).
Мембранные звукопоглощающие
конструкции. Для тонкой перегородки из сплошных материалов поглощение
определяется интенсивностью ее колебаний как целого (системы с сосредоточенными
постоянными) и как мембран (системы с распределенными постоянными).
Первые наблюдаются на низких
частотах, вторые - на средних и высоких. В обоих случаях поглощение зависит от
частоты. Самый низкочастотный максимум поглощения получается на резонансной
частоте, определяющейся массой и гибкостью перегородки. Выше этой частоты
максимумы наблюдаются на всех резонансных частотах перегородки как мембраны.
Эти частоты определяются поперечными размерами перегородки и скоростью
распространения поперечных колебаний в ней. Поэтому поглощение растет с увеличением
частоты немонотонно. Если потери в такой перегородке невелики, то максимумы и
минимумы поглощения получаются очень резкими. Если увеличить потери, то
частотная зависимость становится более монотонной и средний коэффициент
поглощения растет. Для увеличения потерь под такую перегородку (панель)
подкладывают демпфирующие материалы, например, войлок. Резонирующие панели,
изготовленные из натянутого холста с войлочной подкладкой, называют щитами
Бекеши. Подобные панели изготовляются также из тонкой фанеры с поролоновым
демпфером. Они бывают не только в виде плоских конструкций, но и в виде колонн
и полуколонн. В зависимости от толщины фанеры или натяжения холста можно
изменять частоту резонансов и таким образом получать максимумы поглощения в тех
диапазонах частот, в которых требуется большее поглощение. Делаются они в
основном для поглощения низких частот, хотя и на высоких частотах их
коэффициент поглощения довольно высок (табл. 1.1).
Резонаторные звукопоглощающие
конструкции. Широкое распространение получили конструкции, построенные по
принципу резонаторов Гельмгольца. Они эффективно поглощают звуковую энергию на
частотах вблизи их резонансной частоты.
Эффективность поглощения таких
резонаторов определяется потерями в горле резонатора, где скорость колебаний
максимальна. Там и должен быть расположен материал, вносящий затухание в
колебания, например имеющий высокое внутреннее трение (вязкость). В практике
для подобных резонаторов используют различные ниши, выходные отверстия которых
затягивают тканью. Подобные резонансные поглотители выполняют также в виде
больших щитов (во всю стену или потолок) с отверстиями, затянутыми тонкой
металлической сеткой. Отверстия иногда делают разных размеров и на разных
расстояниях, в результате чего получаются наборы резонаторов. Заметим, что
стенки между резонаторами могут и не ставиться, так как тангенциальные
составляющие звуковых волн в них обычно невелики.
Большие неровности на стенах и
большие выступы, различные предметы, находящиеся в помещении, поглощают
звуковую энергию с учетом эффекта дифракции. При расчетах эти поглощения обычно
включают в поглощение ближайших к ним ограждающих конструкций. Например,
поглощение плотно расположенными слушателями добавляют к поглощению
поверхности, на которой они находятся. Коэффициент поглощения слушателей при
различной плотности их размещения на поверхности приведен в таблице 1.1 [5].
.3 Параметры звуковых сигналов. Методы измерения
1.3.1 Звуковое поле в
неограниченном пространстве
Звуковым полем называют
пространство, в котором происходит распространение звуковых колебаний. Звуковые
колебания в жидкой и газообразной средах представляют собой продольные
колебания, так как частицы среды колеблются вдоль линии распространения звука.
Вследствие этого образуются сгущения 1 и разрежения 2 среды, двигающиеся от
источника колебаний (рис. 1.1) с определенной скоростью, называемой скоростью
звука. Скорость звука в воздухе при температуре 
и нормальном атмосферном давлении
приблизительно равна 340 
.
Рисунок 1.1 - Распространение
звуковых волн
Волнообразное изменение плотности
среды, вызванное звуковыми колебаниями, называют звуковой волной. Направление
распространения звуковых волн - звуковым лучом, а поверхность, соединяющую
смежные точки поля с одинаковой фазой колебания (например, точки максимального
сгущения или разрежения), - фронтом волны. Звуковые лучи пересекают фронт волны
под прямым углом. В общем случае фронт волны имеет сложную форму, но в
большинстве практических случаев можно ограничиться соотношениями, полученными
для плоской и сферической форм фронта, а иногда еще и цилиндрической.
Если период колебаний 
, то частота колебаний 
, а длина звуковой волны, равная
расстоянию между соседними фронтами, находящимися в одинаковой фазе (рис. 1.1)

где 
- скорость звука.
В системах связи и вещания частоты
колебаний лежат в пределах от 20-30 до 15000-20000 Гц, соответственно длины
звуковых волн от 17-11,3 м до 2,27-1,7 см.
Частоты колебаний подразделяют на
низкие, средние и высокие звуковые частоты. К низким относят частоты, лежащие в
пределах от 20 до 200-500 Гц, к высоким звуковым частотам от 2000-5000 до 20000
Гц, к средним - промежуточные между высокими и низкими. Частоты, лежащие ниже
20 Гц, называют инфразвуковыми, а выше 20 кГц - ультразвуковыми.
Звуковое поле характеризуют рядом
линейных и энергетических величин.
.3.2 Линейные характеристики
Звуковое давление. Положим, что
давление среды в отсутствие звуковых колебаний равно 
, это давление называют статическим.
При прохождении звуковой волны давление в каждой точке среды будет непрерывно
изменяться: в моменты сгущения частиц оно больше статического, а в моменты
разрежения - меньше. Разность между мгновенным давлением 
и статическим 
в той же точке среды, т. е.
переменная составляющая давления (часто звуковое давление называют избыточным
давлением среды, такое название ассоциируется с положительным приращением
давления), называется звуковым давлением 
.
Звуковое давление - величина
знакопеременная. Давление 
- сила, действующая на единицу
площади, т. е. 
. Поэтому за единицу давления в
системе СИ принимают ньютон на квадратный метр 

(паскаль) 

. В системах связи и вещания имеют
дело с звуковыми давлениями, по амплитуде, не превышающими 100 Па, т. е., по
крайней мере, в 1000 раз меньше, чем нормальное атмосферное давление.
Скорость колебаний. Если давления
неодинаковы в соседних точках среды, то ее частицы стремятся сместиться в сторону
минимального давления. При знакопеременной разности давлений возникает
колебательное движение частиц среды около своего статического положения.
Скорость колебаний этих частиц 
, где 
- смещение частиц. Скорость
колебаний обычно измеряют в метрах или сантиметрах в секунду. Не следует путать
эту скорость со скоростью звука. Скорость звука - постоянная величина для данной
среды и метеорологических условий, а скорость колебаний - переменная, причем
если частица среды
перемещается по направлению распространения волны, то скорость считают
положительной, а при обратном перемещении частицы - отрицательной.
Рисунок 1.2 - Вывод уравнения
движения
Определим связь между звуковым
давлением и скоростью колебаний. Возьмем элементарный объем, заключенный между
фронтами волн, находящимися на расстоянии 
друг от друга, с боковыми
поверхностями, расположенными вдоль звуковых лучей (рис. 1.2). Как видно из
рисунка, среда в этом объеме находится под действием разности давлений 
и 
, следовательно, испытываемая ею
сила

где 
- площадь, выделенная на
поверхности фронта волны. С другой стороны, по второму закону Ньютона сила
инерции

где 
- масса среды, заключенной в этом
объеме; 
- средняя плотность среды. Так как
в вещании и связи имеют дело с изменением плотности среды не более чем на 0,1%,
в дальнейшем индекс у 
опускаем. Приравнивая обе силы,
получаем

Так как 
и 
зависят как от координат, так и от
времени, то, переходя к производным, имеем

(1.5)
Это уравнение называется уравнением
движения среды.
Деформация идеальной (невязкой)
газообразной среды, появляющаяся при распространении в ней звуковой волны,
является адиабатической, так как звуковые процессы происходят быстро, без
теплообмена. Поэтому эти процессы подчиняются закону Бойля-Мариотта с поправкой
Пуассона.
Рисунок 1.3 - Вывод уравнения
непрерывности

где 
- показатель адиабаты для воздуха 
. Выделяем элементарный объём 
(рис. 1.3) как и в предыдущем
случаи. В статистическом состоянии в нем находится определенное количество
частиц среды. При звуковых колебаниях занимаемый ими объём непрерывно
изменяется. Положим, что в некоторый момент частицы среды слева будут смещены
на величину 
, а справа - на величину 
, тогда, при условии непрерывности
среды этот объем

Разделим обе части выражения на 
и в правой части заменим 
на

При пренебрежении членами второго
порядка малости получим

Заметим, что последний член в этом
выражении обусловлен расхождением (дивергенцией) франта волны.
При звуковых колебаниях полное давление
газообразной среды

где 
- статическое давление; 
- звуковое давление. Следовательно

Подставив 
и 
в уравнение закона Пуассона,
получим

Как указывалось ранее 
, поэтому

или 

Переходя к производным, находим

(1.6)
Это уравнение называют уравнением
состояния среды. Если это уравнение продифференцировать дважды по 
и переставить порядок
дифференцирования, то получим

Подставляя в него производную 
из уравнения движения (1.5),
получим уравнение для звукового давления

Заменяя в нем

(1.7)
получим

(1.8)
Это уравнение называют волновым
уравнением Вебстера.
Общее волновое уравнение имеет вид

(1.9)
Если в первую составляющую решения
вместо 
подставить 
, то для неизменности аргумента
следует вместо 
подставить 
. Следовательно, первая составляющая
представляет собой волну, распространяющуюся в сторону положительных значений 
, вторая - в обратном направлении.
Из тех же данных следует, что 
- скорость распространения волны,
так как 
. Таким образом, скорость звука 
, т. е. определяется статическим
давлением среды и ее плотностью [2].
Акустическое сопротивление. Разность
давлений является причиной движения частиц среды, а разность потенциалов -
причиной движения электрических зарядов. Скорость колебаний частиц среды аналогична
скорости движения зарядов - силе тока. Аналогично электрическому сопротивлению
введено понятие волнового акустического сопротивления. Удельным волновым
акустическим сопротивлением называют отношение звукового давления к скорости
колебаний. Удельным оно называется потому, что представляет собой сопротивление
для единицы площади фронта волны. Для краткости его часто называют акустическим
сопротивлением

. (1.10)
Акустическое сопротивление
определяется прежде всего свойствами среды. В ряде случаев оно зависит от
частоты колебаний и от формы фронта волны. В общем виде оно комплексное:

(1.11)
где 
и 
- активная и реактивная
составляющие акустического сопротивления. Наличие реактивной составляющей
свидетельствует о том, что между звуковым давлением и скоростью колебаний есть
сдвиг фаз. Этот сдвиг определяется из соотношения

(1.12)
.3.3 Энергетические характеристики
Интенсивность звука. Акустические
колебания - частный случай механических колебаний, поэтому мгновенное значение
акустической мощности, как и в механике, определяется произведением мгновенных
значений силы 
и скорости колебаний 
, т. е. 
. Если имеется в виду сила,
действующая на единицу площади, т. е. давление, то следует говорить об удельной
мощности колебаний 
(называемой вектором Умова), равной
произведению звукового давления 
и скорости колебаний 
, т. е.



Если в рассматриваемой точке
звукового поля мгновенные значения давления и скорости колебаний имеют
одинаковый знак, то вектор Умова направлен в сторону распространения волны, т.
е. энергия движется от источника звука; если они имеют разные знаки, то -
против движения волны, т. е. энергия движется к источнику звука. Последнее
возможно только при наличии сдвига фаз между звуковым давлением и скоростью
колебаний и означает наличие реактивной составляющей мощности. Наибольший
интерес представляет среднее значение удельной мощности колебаний 
, распространяющейся в положительном
направлении, т. е. среднее значение потока энергии через единицу площади,
двигающегося от источника звука к возможному приемнику звука. Это среднее
значение называют интенсивностью или силой звука. Итак, интенсивностью звука называют
(среднее) количество звуковой энергии, проходящей в единицу времени через
единицу площади, перпендикулярной направлению распространения звуковой волны. В
системе СИ единица интенсивности 
. Для периодических и сложных звуков
интенсивность выражается формулами:

, (1.13)
где 
; 
- частота наиболее низкочастотной
составляющей звука.
Для синусоидальных колебаний
интенсивность звука

(1.14)
где 
и 
- амплитуды звукового давления и
скорости колебаний; 
сдвиг фаз между ними; 
- действующее значение звукового
давления; 
- модуль акустического
сопротивления.
Интенсивность звука представляет
собой активную составляющую удельной мощности звуковых колебаний.
Реактивная составляющая мощности
колебаний непрерывно колеблется в звуковом поле то в сторону распространения
волны, то в обратную. Эта часть мощности колебаний представляет собой запас
энергии в звуковом поле аналогично запасу энергии в электрическом и магнитном
полях электрического тока [4].
Плотность энергии. Среднее
количество звуковой энергии, приходящееся на единицу объема, называют
плотностью энергии. Единицей плотности энергии в системе СИ является 
Для определения связи между
интенсивностью звука и плотностью энергии выделим объем по направлению движения
волны (рис. 1.2). Энергия, находившаяся в нем к моменту рассмотрения и равная 

, выйдет из него за время 
, где 
- скорость звука; 
- плотность энергии. Поток этой
энергии 
.
Так как согласно определению
интенсивность звука 
, то, подставляя в него предыдущее
выражение, получаем 
, откуда

, (1.15)
а с учетом (1.14) находим

(1.16)
.3.4 Плоская волна
Фронт плоской волны представляет
собой плоскость. Согласно определению фронта волны звуковые лучи пересекают его
под прямым углом, поэтому в плоской волне они параллельны между собой. Так как
поток энергии при этом не расходится, интенсивность звука не должна была бы
уменьшаться с удалением от источника звука. Тем не менее она уменьшается из-за
молекулярного затухания, вязкости среды, запыленности ее, рассеяния и т. п.
потерь. Однако эти потери так малы, что с ними можно не считаться при
распространении волны на небольшие расстояния. Поэтому обычно полагают, что
интенсивность звука в плоской волне не зависит от расстояния до источника
звука.
Поскольку 
, то амплитуды звукового давления и
скорости колебаний тоже не зависят от этого расстояния

; 
Выведем основные уравнения для
плоской волны. Уравнение (1.8) имеет вид, так как 
. Частное решение волнового
уравнения для плоской волны, распространяющейся в положительном направлении,
имеет вид

где 
- амплитуда звукового давления; 
- угловая частота колебаний; 
- волновое число.
Подставляя звуковое давление в
уравнение движения (1.5) и интегрируя во времени, получим скорость колебаний

где 
- амплитуда скорости колебаний.
Из этих выражений находим удельное
акустическое сопротивление (1.10) для плоской волны:

. (1.17)
Для нормального атмосферного
давления и температуры 
акустическое сопротивление

Акустическое сопротивление для плоской
волны определяется только скоростью звука и плотностью среды и является
активным, вследствие чего давление и скорость колебаний находятся в одинаковой
фазе, т. е. 
, поэтому интенсивность звука

где 
и 
- действующие значения звукового
давления и скорости колебаний. Подставляя в это выражение (1.17), получаем
наиболее часто используемое выражение для определения интенсивности звука

(1.18)
.3.5 Сферическая волна
Фронт такой волны представляет собой
сферическую поверхность, а звуковые лучи согласно определению фронта волны
совпадают с радиусами сферы. В результате расхождения волн интенсивность звука
убывает с удалением от источника. Так как потери энергии в среде малы, как и в
случае плоской волны то при распространении волны на небольшие расстояния с
ними можно не считаться. Поэтому средний поток энергии через сферическую
поверхность будет тот же самый, что и через любую другую сферическую
поверхность с большим радиусом, если в промежутке между ними нет источника или
поглотителя энергии.
.3.6 Цилиндрическая волна
Для цилиндрической волны
интенсивность звука можно определить при условии, что поток энергии не
расходится вдоль образующей цилиндра. Для цилиндрической волны интенсивность
звука обратно пропорциональна расстоянию от оси цилиндра.
Сдвиг фаз появляется только в тех
случаях, когда звуковые лучи расходятся или сходятся. В случае плоской волны
звуковые лучи идут параллельно, поэтому каждый слой среды, заключенный между
соседними фронтами волны, отстоящими на одинаковом расстоянии друг от друга,
имеет одинаковую массу. Массы этих слоев можно представить в виде цепочки
одинаковых шаров. Если толкнуть первый шар, то он дойдет до второго и сообщит
ему поступательное движение, а сам остановится, затем также будет приведен в
движение третий шар, а второй остановится и так далее, т. е. энергия,
сообщенная первому шару, будет передаваться последовательно все дальше и
дальше. Реактивная составляющая мощности звуковой волны отсутствует. Рассмотрим
случай расходящейся волны, когда каждый последующий слой имеет большую массу.
Масса шара будет увеличиваться с увеличением его номера, причем сначала быстро,
а потом все медленнее и медленнее. Первый шар после столкновения отдает второму
только часть энергии и двигается назад, второй приведет в движение третий, но
затем тоже пойдет назад. Таким образом, часть энергии будет отражаться, т. е.
появляется реактивная составляющая мощности, которая определяет реактивную
составляющую акустического сопротивления и появление сдвига фаз между давлением
и скоростью колебаний. Шары, удаленные от первого, будут передавать почти всю энергию
шарам, находящимся впереди, так как их массы будут почти одинаковыми.
Если массу каждого шара взять равной
массе воздуха, заключенной между фронтами волны, находящимися друг от друга на
расстоянии полуволны, то чем больше длина волны, тем резче будет изменяться
масса шаров по мере увеличения их номеров, тем большая часть энергии будет
отражаться при столкновении шаров и тем больший будет сдвиг фаз.
Для малых длин волн массы соседних
шаров отличаются незначительно, поэтому отражение энергии будет меньшим [2].
.3.7 Основные свойства слуха
Ухо состоит из трех частей:
наружного, среднего и внутреннего. Две первые части уха служат передаточным
устройством для подведения звуковых колебаний к слуховому анализатору,
находящемуся во внутреннем ухе - улитке. Это передаточное устройство служит
рычажной системой, превращающей воздушные колебания с большой амплитудой
скорости колебаний и небольшим давлением в механические колебания с малой
амплитудой скорости и большим давлением. Коэффициент трансформации в среднем
равен 50-60. Кроме того, передаточное устройство вносит коррекцию в частотную
характеристику следующего звена восприятия - улитки.
Границы воспринимаемого слухом
частотного диапазона довольно широки (20-20000 Гц). Вследствие ограниченного
числа нервных окончаний, расположенных вдоль основной мембраны, человек
запоминает во всем диапазоне частот не более 250 градаций частоты, причем число
этих градаций резка уменьшается с уменьшением интенсивности звука и в среднем
составляет около 150, т. е. соседние градации в среднем отличаются друг от
друга по частоте не менее чем на 4%, что в среднем приближенно равно ширине
критических полосок слуха. Введено понятие высоты звука, под которой
подразумевают субъективную оценку восприятия звука по частотному диапазону. Так
как ширина критической полоски слуха на средних и высоких частотах примерно
пропорциональна частоте, то субъективный масштаб восприятия по частоте близок к
логарифмическому закону. Поэтому за объективную единицу высоты звука,
приближенно отражающей субъективное восприятие, принята октава: двукратное
отношение частот (1; 2; 4; 8; 16 и т. д.). Октаву делят на части: полуоктавы и
третьоктавы. Для последних стандартизован следующий ряд частот: 1; 1,25; 1,6;
2; 2,5; 3,15; 4; 5; 6,3; 8; 10, являющихся границами третьоктав. Если эти
частоты расположить на равных расстояниях по оси частот, то получится
логарифмический масштаб. Исходя из этого, для приближения к субъективному
масштабу все частотные характеристики устройств передачи звука строят в
логарифмическом масштабе. Для более точного соответствия слуховому восприятию
звука по частоте для этих характеристик принят особый, субъективный масштаб -
почти линейный до частоты 1000 Гц и логарифмический выше этой частоты. Введены
единицы высоты звука под названием «мел» и «барк» (
). В общем случае высота сложного
звука не поддается точному расчету [15].
1.4 Акустические сигналы
1.4.1 Определения
Различают первичные и вторичные
акустические сигналы. К первичным относятся: сигналы, создаваемые музыкальными
инструментами, пением, речью; шумовые сигналы, создаваемые для сопровождения
различных музыкальных и речевых художественных передач (шум поезда, треск
кузнечика и т. п.).
При оценке трактов вещания и
связи полагают, что каждый акустический сигнал почти всегда является случайным
в вероятностном смысле и несет в себе информацию, соответствующую его объему.
Поэтому акустические сигналы определяются распределениями по уровню, по
частотному диапазону и во времени, а также средними значениями по интенсивности
или уровню, динамическим диапазоном, частотным диапазоном и временем корреляции
отдельных участков. К вторичным акустическим сигналам относятся сигналы,
воспроизводимые электроакустическими устройствами, т. е. первичные сигналы,
прошедшие по электроакустическим трактам связи и вещания и соответственно
видоизмененные по своим параметрам [14].
.4.2 Динамический диапазон
В процессе любой передачи
уровень акустического сигнала непрерывно изменяется, причем диапазон его
изменения может быть довольно широким. На рисунке 1.4, а показана зависимость
уровня сигнала от времени, называемая уровнеграммой. Обычно ее дают для уровня,
определенного при постоянной времени измерителя, равной или 150-200 мс
(субъективная уровнеграмма), или 20-30 мс (объективная уровнеграмма). Поскольку
уровень сигнала изменяется, как правило, по случайному закону, то его
интегральное распределение и среднее значение можно определить следующим
образом.
Возьмем какой-либо уровень, например

(рис. 1.4, а). Можно написать, что
время, в течение которого уровень сигнала будет не ниже 
, определится суммой

где 
- временные интервалы действия
сигнала.
Рисунок 1.4 - К определению
динамического диапазона: а) уровнеграмма; б) построение интегрального распределения
по ней
Следовательно, относительное
время пребывания уровня сигнала над заданным равно

где 
- длительность всего участка
сигнала (она должна быть достаточно большой: не менее 15с для речи и 1 мин для
музыки). Если таким образом определить величину 
для разных уровней, то можно
построить кривую интегрального распределения уровней для данного сигнала. На
рис. 1.4, б дано такое распределение для рассматриваемой уровнеграммы.
Установлено, что средние
распределения, полученные для первичных музыкальных и речевых сигналов, по
форме близки к нормальному распределению. Введены понятия квазимаксимального и
квазиминимального уровней сигнала 
и 
. Их определяют по относительному
времени пребывания уровня сигнала над соответствующим уровнем. Для
квазимаксимального уровня это время условились брать равным двум процентам для
музыкального сигнала и одному - для речевого, а для квазиминимального -
соответственно 98 и 99% (рис. 1.4, б). Выбор именно таких значений для 
и 
основан на том, что более краткие
пики и резкие минимумы сигнала практически не воспринимаются слухом. Разность
между, квазимаксимальным и квазиминимальным уровнями называют динамическим
диапазоном

. (1.19)
Динамический диапазон (в децибелах)
для разных видов сигналов следующий:
речь диктора 25 - 36
телефонные разговоры 36 - 45
набольшие ансамбли 45 - 56
симфонический оркестр 66 - 76
Как видим, вещательный
динамический диапазон настолько широк, что в большинстве случаев он не может
быть передан через тракты вещательных каналов без предварительной обработки, т.
е. без сжатия динамического диапазона. Но и речевой информационный сигнал имеет
широкий динамический диапазон по отношению к трактам связи и поэтому его
приходится предварительно сжимать или же мириться с появлением значительных
искажений его в самом тракте передачи [2].
1.4.3 Средний уровень
Средний уровень интенсивности
акустического сигнала можно определять или по слуховому ощущению (субъективное
среднее), или как средний статистический по интенсивности для длительных
интервалов времени (среднее длительное), или как средний, измеряемый прибором,
имеющим небольшую постоянную времени (объективное среднее). Для вторичных
сигналов достаточно определять только средний уровень по ощущению, для
первичных - необходимо знать все средние уровни, так как эти сигналы проходят к
человеку через аппаратуру систем связи и вещания.
Эти средние уровни сигнала можно
измерить, изменяя постоянную времени прибора. Учитывая, что мгновенная мощность
сигнала изменяется от нуля до амплитудного значения, минимальная постоянная
времени прибора для измерения объективного среднего уровня не должна быть
меньше максимального полупериода колебаний (для 
Гц, 
мс). Так как постоянная времени
слуха в среднем равна 150 мс, то для измерения среднего уровня по слуховому
ощущению постоянная времени должна быть около 150 мс. Для получения длительного
среднего (усредненного) уровня постоянную времени прибора берут равной 15 с для
речи и 1 мин - для музыки.
Для каждого из средних значений
уровня средняя интенсивность определяется по формуле

где 
- учитывает процесс регистрации
сигнала с учетом «памяти» прибора вследствие наличия у него постоянной времени
(Полагают, что приемник звука, а также орган слуха человека воспринимают звук,
как приборы с элементарной цепочкой типа 
); 
- постоянная времени; 
- временная зависимость
интенсивности сигнала.
Средний акустический уровень сигнала

Обычно акустический сигнал
преобразуется в электрический. В этих случаях на выходе электроакустического
устройства электрический уровень

где 
- мощность сигнала (электрическая);

- мощность, соответствующая
нулевому уровню [6].

. (1.20)
Пик-фактор показывает,
насколько ниже надо взять усредненный уровень передачи по сравнению с
максимально допускаемым уровнем в канале, чтобы не перегружать канал. Для
музыкальных сигналов пик-фактор доходит до 20 дБ и более, для речевого сигнала
- не превышает 12 дБ. Эти данные пик-фактора относятся к сигналам, не прошедшим
любую обработку, в том числе и в виде воздействия акустических свойств
помещения.
.4.4 Частотный диапазон и
спектры
Акустический сигнал от каждого
из первичных источников звука, используемых в системах вещания и связи, как
правило, имеет непрерывно изменяющиеся форму и состав спектра. Спектры могут
быть высоко - и низкочастотными, дискретными и сплошными. В первую очередь
представляют интерес средний спектр для источников звука каждого типа, а для
оценки искажений сигнала - спектр, усредненный за длительный интервал.
Усредненный спектр может быть, как правило, сплошной и достаточно сглаженный по
форме.
Сплошные спектры
характеризуются зависимостью спектральной плотности от частоты (эту зависимость
называют энергетическим спектром). Спектральной плотностью называется
интенсивность звука в полосе частот шириной, равной единице частоты. Для
акустики эту полосу берут равной 1 Гц. Спектральная плотность

где 
- интенсивность, измеренная в узкой
полосе частот 
с помощью узкополосных фильтров.
Для удобства оценки введена
логарифмическая мера плотности спектра аналогично уровню интенсивности. Эту
меру называют уровнем спектральной плотности или спектральным уровнем.
Спектральный уровень

где 

- интенсивность, соответствующая
нулевому уровню, как и для оценки уровня интенсивности.
Очень часто для характеристики
спектра вместо спектральной плотности используют интенсивности и уровни
интенсивности, измеренные в октавной, полуоктавной или третьоктавной полосе
частот. Нетрудно установить связь между спектральным уровнем и уровнем в
октавной (полуоктавной или третьоктавной) полосе. Спектральный уровень

(1.21)
а уровень в октавной полосе

(1.22)
где 
- ширина соответствующей октавной
полосы.
Вычитая второе из первого, находим

(1.23)
При известном спектре сигнала можно
определить его суммарную интенсивность. Так, если спектр задан в уровнях
интенсивности для третьоктавных полос, то достаточно перевести эти уровни (в
каждой из полос) в интенсивности 
и затем просуммировать все интенсивности.
Сумма всех 
дает суммарную интенсивность 
для всего спектра. Суммарный
уровень

(1.24)
Если спектр задан в спектральных
уровнях, то, исходя из их определения, для всего спектра точный суммарный
уровень

(1.25)
где 
и 
- верхняя, и нижняя границы
частотного диапазона. Приближенно суммарный уровень можно найти делением
частотного диапазона на 
полосок шириною 
, в пределах которых спектральный
уровень 
примерно постоянен. Суммарный
уровень

(1.26)
1.4.5 Временные характеристики сигнала
К временным характеристикам сигнала относятся
уровнеграмма и время корреляции. Уровнеграмма сигнала дает возможность
определить резкие переходы интенсивности и, следовательно, с ее помощью можно
предъявить требование к постоянным времени трактов передачи сигнала. Такие
временные характеристики сигнала, как время корреляции, используют редко, хотя
опыты показывают, что этот параметр играет значительную роль при определении
качества звучания [3].
.4.6 Первичный речевой сигнал
Импульсы основного тона имеют
пилообразную форму, и поэтому при их периодическом повторении получается
дискретный спектр с большим числом гармоник (до 40), частоты которых кратны
частоте основного тона. Огибающая спектра основного тона имеет спад в сторону
высоких частот с крутизной около 6 дБ/окт. Например, для мужского голоса
уровень гармоник на частоте 3000 Гц ниже уровня на 100 Гц примерно на 30 дБ.
Через речевой тракт при
произнесении звуков проходят или тональный импульсный сигнал, или шумовой, или
тот и другой вместе. Речевой тракт представляет собой сложный акустический фильтр
с рядом резонансов, создаваемых полостями рта, носа и носоглотки, т. е. с
помощью артикуляционных органов речи. Вследствие этого тональный или шумовой
спектры с монотонной огибающей превращаются в спектры с рядом максимумов и
минимумов. Максимумы спектра называют формантами, а нулевое значения -
антиформантами. Огибающая спектра для каждой фонемы имеет индивидуальную и
вполне определенную форму. При произнесении речи спектр ее непрерывно
изменяется, в результате чего образуются формантные переходы. Частотный
диапазон речи находится в пределах 70 - 7000 Гц [2].
.4.7 Вторичный сигнал
В идеальном случае вторичный
сигнал должен точно воспроизводить первичный, но это не всегда требуется, так
как слух человека может и не заметить их несоответствие. Нарушение точности
передачи, замечаемое слухом, бывает самого разнообразного вида. Рассмотрим
основные из них: потерю акустической перспективы, смещение уровней, ограничение
динамического и частотного диапазона сигнала, помехи, искажения.
Потеря акустической перспективы.
При передаче звукового сигнала по одноканальной системе получается ощущение
слушания одним ухом, даже при наличии нескольких микрофонов в помещении, откуда
ведется передача, и при разнесенных вторичных источниках звука. Источник звука
для слуха будет всегда казаться находящимся в некотором среднем положении по
отношению к фактическим вторичным источникам, поскольку временной сдвиг и
разность уровней для обоих ушей слушателя не зависят от местонахождения
первичного источника звука. Этот дефект может быть до некоторой степени
исправлен с помощью стереофонической системы передачи, основанной на
многоканальной системе передачи сигнала.
Смещение уровней. Поскольку по
тракту передачи сигналов не передается информация об абсолютных уровнях
звучания первичного сигнала, то слушатель (а при массовом слушании - оператор
на приемном конце) по своему усмотрению устанавливает уровень вторичного
сигнала. При этом не всегда можно восстановить нужный уровень первичного
сигнала из-за недостаточной мощности аппаратуры на приемном конце, а также
из-за условий слушания (например, в квартирах с плохой звукоизоляцией).
Смещение уровней приводит к
изменению соотношения между громкостями низкочастотных и среднечастотных
составляющих первичного и вторичного сигналов, так как смещение среднего уровня
вторичного сигнала вверх по отношению к среднему уровню первичного приводит к
субъективному повышению громкости низкочастотных составляющих, смещение вниз -
к их ослаблению.
Ограничение динамического
диапазона. Поскольку динамический диапазон канала ограничен снизу шумами, а
сверху - перегрузкой и нелинейностью отдельных звеньев канала передачи, то во
избежание искажений его сжимают в начале тракта. Этот дефект может быть
частично исправлен путем расширения динамического диапазона сигнала на конце
тракта, что не всегда возможно, так как на приемном конце может быть
неизвестно, насколько был сжат этот диапазон.
Ограничение частотного
диапазона. Поскольку тракт передачи акустических сигналов не пропускает весь их
частотный диапазон, говорят об ограничении частотного диапазона [4].
Помехи. При передаче на сигнал
накладываются различного рода помехи, в том числе шумы электрического и
акустического происхождения. Последние имеются как в месте нахождения
первичного источника звука, так и в месте нахождения слушателя.
Искажения. По сути дела все
перечисленные несоответствия первичного и вторичного сигналов являются
искажениями в широком смысле этого понятия. Но обычно под этим термином
понимают более узкий тип искажений. К ним относятся линейные, нелинейные,
параметрические и переходные (временные) искажения
.4.8 Шумы и помехи
Влияние шумов и помех сводится
к маскировке вторичного акустического сигнала независимо от их происхождения
(акустического или электрического). Шумы сдвигают порог слышимости, который не
зависит от времени, если шумы относятся к «гладким», т. е. имеют пик-фактор, не
превышающий 6 дБ. К этим шумам относятся различные флуктуационные шумы,
например шумы дробового эффекта, речевые шумы от нескольких голосов, звучащих
одновременно. Импульсные шумы создают порог слышимости, изменяющийся во времени
в зависимости от пик-фактора шума и длительности импульсов. Из-за наличия
постоянной времени у слуха ощущение кратковременных импульсов получается
сглаженным: происходит выравнивание временной зависимости порога слышимости.
Импульсные шумы не только маскируют полезный сигнал, но и искажают его,
создавая комбинационные частоты шума и сигнала. Получается нечто похожее на
взаимную модуляцию сигнала и шума.
Спектр шумов электрического
происхождения, как правило, близкий к равномерному, а акустического
происхождения - ближе к речевому. Поэтому частотная зависимость порога
слышимости для первых имеет тенденцию роста к высоким частотам, так как ширина
критических полосок растет с увеличением частоты. Для речевых шумов порог
слышимости почти не зависит от частоты.
Индустриальные, атмосферные и
станционные помехи, кроме тональных, могут быть отнесены и к импульсным, и к
гладким, с равномерным или низкочастотным спектром. Кроме этих помех, приходится
иногда считаться с помехами от самомаскировки речи, т. е. с маскировкой слабых
звуков, следующих за громкими [15].
Борьба с акустическими шумами
ведется путем устранения (или ослабления) действия источников шума, а также
путем повышения звукоизоляции помещений. Учет их действия на прием речевого
сигнала делается при расчете и измерении разборчивости речи.
.4.9 Линейные искажения
В общем случае коэффициент
передачи тракта

(1.27)
где 
и 
- звуковые давления в начале и
конце тракта; 
- модуль коэффициента передачи; 
- фазовый сдвиг в тракте.
Частотная зависимость коэффициента
передачи, называемая частотной характеристикой тракта передачи, приводит к
изменению соотношений между амплитудами частотных составляющих, входящих в
первичный сигнал. Субъективно эти искажения ощущаются как изменение тембра
первичного сигнала. Например, если подавлены низкочастотные составляющие, то
звучание будет звенящее. При подавлении высокочастотных составляющих звук
глухой. При резком подчеркивании низкочастотных составляющих звучание
получается бубнящим, а при резком подчеркивании высокочастотных - свистящим.
Эти искажения (называемые частотными) оценивают по величине неравномерности
частотной характеристики

(1.28)
где 
и 
- максимальный и минимальный
коэффициенты передачи в заданном диапазоне частот.
Неравномерность часто измеряют в
логарифмических единицах, в таком случае

(1.29)
где 
и 
- максимальный и минимальный уровни
вторичного сигнала при постоянстве уровня первичного. На рисунке 1.5 показана
одна из характеристик тракта передачи сигнала. При определении неравномерности
частотной характеристики следует исключать из рассмотрения пики и провалы в
частотной характеристике, если они уже 1/8 октавы. Такое условие введено из-за
наличия широких критических полосок слуха, а также из-за того, что при быстром
изменении первичного сигнала его спектр расплывается и эти пики и провалы
сглаживаются.
Рисунок 1.5 - Определение частотной
характеристики и частотного диапазона
Как правило, частотная
характеристика наиболее неравномерна в областях самых низких и самых высоких
частот диапазона, т. е. вблизи его границ, поэтому для широкополосных трактов
передачи сигнала, например вещательных, неравномерность частотной
характеристики часто задают в двух диапазонах: номинальном и в основном
(200-5000 Гц) [2].
Частотно-амплитудные искажения
обычно устраняют путем частотной коррекции в звеньях тракта, ближайших к искажающим.
Нормы на допустимые частотные
искажения были определены экспериментально. Установлено, что на низких частотах
искажения более заметны, чем на высоких.
.4.10 Нелинейные искажения
Различают два вида нелинейности:
нелинейность степенного типа и нелинейность из-за амплитудного ограничения.
Первая характеризуется зависимостью

...,
где 
и 
- коэффициенты пропорциональности; 
- мгновенные значения первичного
сигнала; 
- мгновенное значение вторичного.
Амплитудное ограничение бывает
сверху и снизу (центральное). При ограничении сверху (рис. 1.6) характеристика тракта
до некоторого значения 
может быть линейной. Сигналы с
амплитудами больше 
ограничиваются. При центральном
ограничении (рис. 1.6, б) слабые сигналы (меньше 
) срезаются, а остальные искажаются.
Рис. 1.6 - Амплитудное
ограничение для сигналов с большой и небольшой амплитудами: а) ограничение
сверху; б) снизу (центральное)
Исследование показало, что
искажения, вызванные амплитудным ограничением сверху, мешают восприятию
сигналов меньше, а при центральном ограничении - больше, чем искажения
степенного типа. Нелинейные искажения степенного типа в виде гармонических
составляющих вызывают ощущения дребезжания, а нелинейные искажения в виде
разностных тонов вызывают ощущение модуляции громкости звука (обычно это
заметно на низких частотах).
Результаты исследований
показали, что слушатель меньше замечает несимметричные искажения, когда
наибольшей по амплитуде оказывается вторая гармоника, так как она находится в
октаве с основной частотой, Симметричные искажения более заметны, так как
третья гармоника получается очень большой и оказывается в квинте с основной.
При сужении полосы частот заметность искажения уменьшается. Это объясняется
тем, что ряд гармоник и комбинационных составляющих оказывается за пределами
передаваемого диапазона частот.
Нелинейные искажения чаще всего
оцениваются с помощью коэффициента нелинейных искажений (КНИ)

(1.30)
где 
- амплитуды гармоник сигнала,
начиная со второй; 
- амплитуда основной составляющей
[14].
Кроме такой оценки, существуют
методы разностных колебаний взаимной модуляции и другие.
.4.11 Переходные искажения
При сжатии динамического диапазона
применяют различные автоматические регуляторы уровня. Эти регуляторы имеют
большую постоянную времени восстановления и вызывают искажения, называемые
переходными, Переходные искажения создаются собственными колебаниями,
происходящими в различных звеньях тракта. По своему звучанию они сходны с
нелинейными искажениями, так как в сигнале появляются комбинационные частоты.
.4.12 Допустимые величины искажений
Допустимые величины искажений
определяются, во-первых, заметностью и, во-вторых, возможностью реализации
трактов передачи сигналов, которая обуславливается рядом факторов:
техническими, экономическими, эксплуатационными. С точки зрения реализуемости
аппаратуры и из экономических соображений при определении величин тех или иных
искажений приходится идти на компромиссы: уменьшение одних искажений часто
вызывает увеличение других. На основе ряда исследований были определены наиболее
оптимальные комбинации величин искажений.
Заметность искажений - субъективное
понятие, так как порог заметности у разных людей разный. Для профессионалов
порог заметности искажений всегда меньший, чем для большинства слушателей.
Принято считать порогом заметности такие искажения, которые замечают 75%
слушателей.
В таблице 1.3 приведены значения для
основных параметров качества, определенные на основе заметности искажений для
трактов звукового вещания. Неравномерность частотной характеристики дана для
номинального и основного частотных диапазонов. Коэффициенты гармоник даны для
разных частотных диапазонов при работе на номинальном уровне.
Таблица 1.3
|
Класс
качества
|
Параметры
трактов для вещательных передач (от входа микрофона до выхода громкоговорителя)
|
|
Частотный
диапазон, Гц
|
Неравномерность,
дБ
|
Коэффициент
гармоник, %
|
Защита
от помех, дБ
|
|
|
В
основном диапазоне
|
На
краях диапазона
|
До
100 Гц
|
100
- 200 Гц
|
Выше
200 Гц
|
интегральных
|
внятных
|
|
Высший
|
30-15000
|
2
|
6
|
5
|
1,0
|
1,0
|
55
|
74
|
|
Первый
|
50-10000
|
2
|
6
|
6
|
2,5
|
2,5
|
52
|
70
|
|
Второй
|
100-6300
|
6
|
16
|
-
|
8,0
|
3,6
|
46
|
60
|
|
третий
|
200-4000
|
6
|
16
|
-
|
-
|
7,3
|
-
|
-
|
В таблице 1.4 приведены
аналогичные данные для речевых трактов.
акустический интерферометр звукоизоляция звукопроницаемость
Таблица 1.4
|
Градации
качества
|
Параметры
трактов для речевой связи
|
|
Частотный
диапазон, Гц
|
Неравномерность,
дБ (по отношению к тенденции 6дБ/окт.)
|
Коэффициент
гармоник, %
|
|
Отлично
|
50-10000
|
±3
|
3
|
|
Хорошо
|
100-6000
|
±3
|
4
|
|
Удовлетворительно
|
300-3400
|
±3
|
6
|
|
Предельнодопустимо
|
400-2500
|
±3
|
-
|
Следует указать на то, что в обоих случаях
искажения в основном вносит акустическая часть тракта (первичное помещение,
приемник звука, вторичный источник звука, вторичное помещение), на долю
остальной части трактов вещания и связи приходится значительно меньшая их часть
[1].
.5 Излучение и приём акустических сигналов
.5.1 Микрофоны
Микрофоны - это преобразователи
акустических колебаний в электрические. Большинство микрофонов является
преобразователями акустической энергии в электрическую. Есть микрофоны,
основанные на другом принципе - релейном. В них под действием акустических
колебаний происходит преобразование энергии постоянного тока в энергию
переменного тока. Рассмотрим технические показатели микрофонов.
Чувствительность - отношение
напряжения 
на выходе микрофона к звуковому
давлению 
, действующему на микрофон

(1.31)
Чувствительность определяют в
зависимости от задания или по напряжению холостого хода, или по напряжению на
номинальной нагрузке.
За номинальную нагрузку обычно принимают
модуль внутреннего сопротивления микрофона на частоте 1000 Гц.
Внутреннее сопротивление микрофона 
. Для ряда микрофонов оно активно и
практически не зависит от частоты. Если внутреннее сопротивление зависит от
частоты, в справочниках приводят или среднее значение по частотному диапазону
или модуль на частоте 1000 Гц.
Чувствительность по давлению -
чувствительность при звуковом давлении, действующем только на поверхность
звуковоспринимающего элемента и распределенным по нему равномерно.
Чувствительность по свободному полю
- это чувствительность при воздействии на микрофон звукового давления в
свободном ноле, когда напряжение на выходе микрофона относят к звуковому
давлению в точке поля до размещения в ней микрофона:

(1.32)
Свободным полем называют область
звукового поля, в которой влияние отражающих поверхностей пренебрежимо мало.
Чувствительность по диффузному полю
- чувствительность при воздействии на микрофон звукового давления в диффузном
поле 
, причем напряжение на выходе
микрофона относят к звуковому давлению в точке поля до размещения в ней
микрофона:

(1.33)
Диффузным полем называют область
звукового поля, в каждой точке которого плотность звуковой энергии и поток
акустической энергии на единицу площади одинаковы во всех направлениях.
Чувствительность микрофона зависит
от частоты, поэтому введено понятие средней чувствительности -
среднеквадратичное значение в номинальном диапазоне частот, причем усредняют
чувствительность, измеренную на частотах, распределенных равномерно в
логарифмическом масштабе.
Уровень чувствительности -
чувствительность, выраженная в децибелах относительно величины 1 В/Па.
Стандартный уровень чувствительности
- выраженное в децибелах отношение напряжения, развиваемого на номинальном
сопротивлении нагрузки при звуковом давлении 1 Па, к напряжению,
соответствующему мощности 
, т. е. уровень мощности, отдаваемой
микрофоном в номинальную нагрузку при 
.
Частотная характеристика -
зависимость уровня чувствительности от частоты. Ее неравномерность определяют в
номинальном частотном диапазоне для данного типа микрофона.
Характеристика направленности -
зависимость чувствительности микрофона в свободном поле от угла 
между рабочей осью микрофона и
направлением на источник звука. Эту характеристику определяют или на ряде
частот, или для полосы частот.
Индекс направленности - коэффициент
направленности, выраженный в децибелах, показывает разницу в уровнях мощности,
развиваемой микрофоном, при действии двух источников звука.
Перепад чувствительности «фронт
тыл» - отношение чувствительности
микрофона в направлении оси к чувствительности под углом 
к его оси.
Уровень собственного шума. Даже в
отсутствии какого-либо акустического сигнала около микрофона напряжение на его
выходе не равно нулю. Наличие напряжения является следствием флуктуации частиц
в окружающей среде, а также тепловых шумов сопротивлений в электрической части
микрофона.
Чувствительность звеньев микрофона.
Чувствительность микрофона можно представить как произведение чувствительностей
отдельных звеньев, входящих в него [2].
Микрофоны по принципу
электромеханического преобразования делятся на электродинамические,
электростатические, электромагнитные и релейные. Электродинамические микрофоны
по конструкции механической системы делятся на катушечные (динамические) и
ленточные. Электростатические делятся на конденсаторные, в том числе и
электретные, и пьезомикрофоны. Электромагнитные - на односторонние и
дифференциальные. Релейные - на угольные и транзисторные.
.5.2 Громкоговорители и телефоны
Громкоговорители и телефоны -
это преобразователи электрических колебаний в акустические. В большинстве типов
громкоговорителей и телефонов электрическая энергия преобразуется в
акустическую. Есть громкоговорители, основанные на релейном принципе, в которых
энергия постоянного потока воздуха преобразуется в акустическую энергию под
действием акустических или механических колебаний (например, пневматические
громкоговорители).
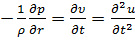
Работа громкоговорителей
оценивается с помощью следующих технических показателей.
Номинальная мощность 
- максимальная подводимая
электрическая мощность, ограниченная тепловой и механической прочностью
громкоговорителя и возникновением нелинейных искажений, превышающих заданную
величину.
Частотная характеристика
громкоговорителя по звуковому давлению - зависимость звукового давления,
развиваемого громкоговорителем в точке свободного поля (находящейся на
определенном расстоянии от рабочего центра) от частоты при постоянном
напряжения на зажимах громкоговорителя.
Рабочий центр - обычно
геометрический центр симметрии выходного отверстия излучателя.
Среднее звуковое давление 
- среднеквадратичное значение
звукового давления, развиваемого громкоговорителем в определенном диапазоне
частот в заданной точке свободного поля. Усредняют значения звукового давления,
измеренные на частотах, распределенных равномерно в логарифмическом масштабе.
Среднее стандартное звуковое
давление 
- среднее звуковое давление,
развиваемое в номинальном диапазоне частот на рабочей оси на расстоянии 1 м от
рабочего центра при подведении к громкоговорителю напряжения, соответствующего
подводимой электрической мощности 0,1 Вт.
Характеристическая чувствительность 
- отношение среднего звукового
давления 
, развиваемого громкоговорителем в
номинальном диапазоне частот на рабочей оси на расстоянии 1 м от рабочего
центра, к корню квадратному из подводимой электрической мощности 
:

(1.34)
Входное сопротивление
громкоговорителя - 
. Минимальный модуль полного
электрического сопротивления громкоговорителя в диапазоне частот выше частоты
основного резонанса механической колебательной системы громкоговорителя.
КПД громкоговорителя.
Осевая чувствительность
громкоговорителя может быть представлена в следующем виде:

(1.35)
где 
- акустическая чувствительность; 
- механическая чувствительность; 
- коэффициент электромеханической
связи; 
- электрическая характеристика; 
- полное механическое сопротивление
подвижной системы (модуль); 
- входное электрическое
сопротивление громкоговорителя (модуль); 
- звуковое давление на расстоянии 1
м от громкоговорителя; 
- подводимое напряжение к нему.
По принципу преобразования
громкоговорители делятся на электродинамические, электростатические и релейные.
По типу излучателя громкоговорители делятся на диффузорные и рупорные, а также
на одиночные и групповые. Электростатические по типу преобразователя делятся на
конденсаторные, электретные и пьезо-громкоговорители. К релейным относятся
только пневматические громкоговорители.
2. Методика выполнения измерений
Кроме аппаратуры общего
применения (тональные генераторы, электронные вольтметры, измерители нелинейных
искажений, измерители уровня, осциллографы, анализаторы гармоник, магнитофоны,
измерительные усилители), при акустических измерениях используют специальную
измерительную аппаратуру. К ней относятся: тональные генераторы с воющим тоном,
шумовые генераторы, измерители звукового давления, акустический зонд, шумомеры,
октавные фильтры, быстродействующие регистраторы уровня, реверберометры,
искусственный рот, измерительный телефон, искусственное ухо, вибрационный
столик, измерительные трубы, спектральные анализаторы, анализаторы амплитудных
распределений, пистонофоны и дополнительные электроды и другие [2].
.1 Определение звукоизоляции образца
звукоизоляционного материала с помощью акустического интерферометра
Для обеспечения измерения параметров панелей
звукопоглощения на звукоизоляцию в трубе акустического интерферометра в режиме
без перемонтажа и источника звука рекомендуется: устанавливать систему
акустического возбуждения у торцевой стенки интерферометра толщиной 500 мм с
погрузкой через верхнею съёмную крышку.
Назначение методики выполнения измерений:
измерение звукоизоляции образцов звукоизоляционных материалов при нормальном
падении плоской волны на образец от 15 до 60 дБ в разных полосах частот в
диапазоне частот от 20 до 200 Гц.
Область применения: исследования звукоизолирующих
свойств образцов звукоизоляционных материалов.
Сведения о погрешностях измерений:
границы относительной погрешности измерения звукоизоляции образцов равны ±27 %
(от минус 2.7 до 2.1 дБ) для доверительной вероятности 
.
Методика устанавливает выполнения
измерений звукоизоляции образцов звукоизоляционных материалов при нормальном
падении плоской волны на образец в измерительной акустической трубе -
акустическом интерферометре.
Характеристикой звукоизолирующих
свойств является значение звукоизоляции, которое вычисляется как отношение
значений интенсивности плоской звуковой волны, измеренных по обе стороны
образца, закрепленного в центре интерферометра.
Методика позволяет производить
измерения значений звукоизоляции от 15 до 60 дБ в диапазоне частот от 20 до 200
Гц.
.2 Метод измерений
Метод измерений основан на измерении
вектора интенсивности прямой волны с помощью пары микрофонов, называемой
микрофонной базой. Характеристиками микрофонной базы являются фиксированное
расстояние между акустическими центрами микрофонов (длина базы) и направление
прямой, соединяющей центры - направление микрофонной базы.
Звукоизоляция преграды определяется
как отношение интенсивности падающей 
и прошедшей через преграду 
плоской звуковой волны,
сформированной в интерферометре [6]:

(2.1)
Акустический интерферометр
представляет собой полую трубу квадратного сечения 0.8 х 0.8 м жесткими
стенками. Длина трубы 33 м. Схема акустического интерферометра и структура
измерительного тракта для определения звукоизоляции образца при нормальном
падении звуковой волны приведена на рисунке 2.1.
Рисунок 2.1 - Схема акустического
интерферометра и структура измерительного тракта для определения звукоизоляции
образца
На одном конце трубы размещен
источник излучения, а противоположный конец закрыт слоем звукопоглощающего
материала (минеральная вата). Образец устанавливается в специальном держателе,
расположенном в центре трубы и обеспечивающем установку образца перпендикулярно
фронту плоской волны и без зазоров между стенками трубы и образцом. Внутри АИ,
заподлицо внутренней поверхности интерферометра, установлены по два микрофона с
каждой стороны образца, образующие микрофонные базы 
(микрофоны 1 и 2) и 
(микрофоны 3 и 4) для измерения
интенсивности падающей и прошедшей волны.
Измерения в интерферометре проводят
в поле плоской волны. Максимальная частота 
, до которой можно проводить
измерения, составляет

(2.2)
где 
- размер стороны квадратного
просвета трубы, м; 
- скорость звука в трубе, 
.
Ниже 
трубу можно рассматривать как
длинную линию, а распространяющейся в ней волны - как плоские. При 
максимальная частота измерений в
интерферометре 
составляет 212 Гц.
При выполнении измерений применяют
метод непосредственной оценки нормально компоненты вектора интенсивности с
помощью микрофонных баз 
, и 
, размещаемых перпендикулярно фронту
плоской волны в интерферометре. Спектральная обработка случайных стационарных
процессов 
и 
на входах микрофонов 
, 
обеспечивает анализатор спектров,
реализующий алгоритм быстрого преобразования Фурье.
Анализаторы, основанные на процедуре
Фурье, являются узкополосными анализаторами с постоянной абсолютной полосой
анализа. Проекция вектора интенсивности на направление микрофонной базы 
измеряется анализатором по формуле:

(2.3)
где 
- плотность воздуха, 
; 
- расстояние между микрофонами 
, 
, м.
Функция 
представляет собой усредненный по 
независимым выборкам (реализациям)
длиной 
секунд каждая односторонний
взаимный спектр стационарных случайных процессов 
и 
в полосе анализа со средней
частотой 

(2.4)
где 
- преобразование Фурье случайного
стационарного процесса 
; 
- преобразование Фурье случайного
стационарного процесса 
; 
- знак комплексного сопряжения.
Размеры микрофонных баз выбираются
из следующих соображений.
Максимальный размер микрофонной базы

не должен быть больше четверти длины
волны на верхней границе частотного диапазона:

(2.5)
где 
- длина волны в трубе на частоте
200 Гц, м; 
- скорость звука при данной
температуре 
, определяемая по обязательному
приложению ГОСТ 16297 - 80, 
.
Расчетное значение 
составляет 0,426 м.
С другой стороны, разность фаз между
сигналами 
и 
должна быть достаточно большой,
чтобы обеспечить приемлемую погрешность измерений интенсивности во всем
диапазоне частот.
На нижней границе диапазона, частоте

набег фазы при 
составляет: 
рад, или 9
.
Анализатор измеряет мнимую часть
взаимного спектра с точностью до 5 значащих цифр. Тогда максимальная
погрешность измерения интенсивности прямой волны анализатором составит: 

. Таким образом, две микрофонные
базы 
, и 
длиной 0,42 м обеспечивают
измерение интенсивности падающей и прошедшей волны в интерферометре сечением
0.8 х 0.8 м в диапазоне частот 20 - 200 Гц.
2.3 Характеристики погрешности измерений
При соблюдении требований методики и
использовании рекомендованной аппаратуры, границы относительной погрешности
измерений звукоизоляции образца в интерферометре равны 
% (от минус 2,7 до 2,1 дБ) для
предварительной вероятности 
.
.4 Требования безопасности
При выполнении измерений необходимо
соблюдать требования безопасности, при работе с установками до 1000 В, ПТЭ и
ПТБ электроустановок потребителей, а также требования безопасности,
регламентируемые в нормативных документах предприятия, на котором они
проводятся.
Измерения воздушного шума не
оказывают влияния на окружающею среду.
.5 Требования к квалификации
операторов
К проведению измерений допускаются
научные сотрудники, инженеры и техники, имеющие опыт проведения
виброакустических испытаний, изучившие техническое описание и инструкции по
эксплуатации используемых приборов, имеющие навык работы на приборах, знающие
правила обработки результатов испытаний, правила техники безопасности и
изучившие настоящую методику.
.6 Условия измерений
Измерения звукоизоляции проводятся в
нормальных климатических условиях:
температура окружающей среды, 
20 ± 10;
атмосферное давление, кПа 98 - 106;
(735 - 795 мм. рт. ст);
относительная влажность воздуха, %
не более 90;
перед проведением испытаний
материалы и изделия должны быть выдержаны в указанных условиях не менее 3 ч.
Измерения производятся при
соблюдении следующих условий:
при плотно закрытых подъёмных
крышках со стороны громкоговорителя и над образцом;
при установленном в проёме для
монтажа испытательном образце;
при работе системы возбуждения звука
(СВАИ) в интерферометре;
при неработающих сторонних
источников шума и соблюдении тишины персоналом в помещениях, окружающих
интерферометр;
уровень звукового давления,
создаваемый громкоговорителем в трубе интерферометра, должен превышать уровень
помех не менее чем на 10 дБ.
Типовой измерительный тракт,
включает излучатель плоской волны в интерферометре (СВАИ), две микрофонные
базы, анализатор спектра, генератор шума в составе анализатора, усилитель
мощности. Схема тракта представлена на рисунке 2.1.
Перечень рекомендуемых средств
измерения указаны в таблице Б.1 приложения Б.
Применяемы средства должны быть
проверены и откалиброваны.
Применяемое испытательное
оборудование - акустический интерферометр - должно быть аттестовано в
соответствии с ГОСТ 8.568 - 97.
.7 Подготовка к проведению
измерений. Выполнение измерений
.7.1 Подготовка к проведению
измерений
Перед выполнением измерений
разрабатывают программу проведения измерений. В программе указывают цель, объём
и условия проведения измерений, используемый измерительный тракт, описание
образца и схема его размещения в интерферометре.
Установить испытуемый образец в
проёме для монтажа образца.
Произвести внешний осмотр. Подъёмные
крышки со стороны громкоговорителя и над образцом должны быть плотно закрыты.
Во время измерений соблюдается тишина.
.7.2 Выполнение измерений
Собрать измерительный тракт. Типовая
схема измерительного тракта приведена на рисунке 2.1.
Приборы, входящие в измерительный
тракт, привести в рабочее состояние в соответствии с инструкциями по
эксплуатации.
Установить следующие параметры
анализатора:
верхняя частота анализатора 200 Гц;
усреднение линейное;
количество линий 800;
режим узкополосного анализа Фурье;
усреднение линейное;
количество выборок 500.
Включить генератор шума в составе
анализатора. С помощью входного аттенюатора добиться отсутствия перегрузки
анализаторов. После включения генератора должно пройти не менее 10 секунд для
достижения стационарного режима звуковых колебаний в интерферометре.
После окончания процесса усреднения
зафиксировать результат измерения спектров интенсивности по двум микрофонным
базам в соответствии с требованиями ГОСТ 26417 - 85.
Выключить приборы, входящие в
электрический тракт.
.8 Нормативные ссылки
В настоящей методике использованы
ссылки на следующие стандарты и методики:
ГОСТ Р 8,563 - 96 Государственная
система обеспечения единства измерений. Методика выполнения измерений;
СТП ИМЯН 073 - 98 Система качества
института. Метрологическое обеспечение работ института. Методика выполнения
измерений. Разработка и аттестация;
МИ 1317 - 2004 Государственная
система обеспечения единства измерений. Результаты и характеристики погрешности
измерений. Формы представления. Способы использования при испытании образцов
продукции и контроль их параметров;
ГОСТ 16297 - 80 Материалы
звукоизоляционные и звукопоглощающие. Методы испытаний;
- ISO 10536
- 2 Acoustics - Determination of sound absorbtion coefficient and umpedance in
impendance tube;
- ГОСТ 27296 - 87 Защита от шума в
строительстве. Звукоизоляция ограждающих конструкций. Методы измерений;
Стандарт IEC 1043
Электроакустика. Инструменты для измерений интенсивности. Измерения, основанные
на использовании двух микрофонов, измеряющих давление, 1993;
ГОСТ 8.207 - 76 Государственная
система обеспечения единства измерений. Прямые измерения с многократными
наблюдениями. Методы обработки результатов наблюдения. Основные положения;
ГОСТ 8.038 - 94 Государственная
система обеспечения единства измерений. Государственная проверочная схема для
средств измерений звукового давления в воздушной среде в диапазоне частот 2 Гц
- 100 кГц;
ГОСТ 26417 - 85 Материалы
звукопоглощающие строительные;
ГОСТ Р 8.568 - 97 Государственная
система обеспечения единства измерений. Аттестация испытательного оборудования.
Основные положения;
ГОСТ 12090 - 80 Частоты для
акустических измерений. Предпочтительные ряды.
Оценка погрешности измерений
звукоизоляции образца
В общем случае факторами,
определяющими погрешность измерения, являются:
метод измерений, обуславливающий
методическую погрешность;
несовершенство используемых средств
измерений, отражающееся в метрологических характеристиках средств измерений;
квалификация операторов, проводящих
измерения.
Оценка границ полной погрешности для
результатов измерений звукоизоляции образца выполняется расчетным путём с
учетом указанных выше факторов, а так же характера (систематическая, случайная)
составляющих погрешностей. При выполнении расчетов используется положение ГОСТ
8.207 - 76. Все расчеты доверительных границ погрешностей выполняются для
доверительной вероятности 0,95.
.1 Методическая погрешность
В рассматриваемой методике
используются метод непосредственной оценки интенсивности. Средства измерения
выбраны такими, что их внесение в поле воздушного шума ввиду малости не
учитывается. Следовательно, можно принять, что методическая погрешность
отсутствует.
.2 Инструментальная погрешность
Она обусловлена несовершенством
средств измерений. Инструментальная погрешность (в общем случаи систематическая
и случайная составляющие) может оцениваться по метрологическим характеристикам.
Анализ метрологических характеристик
средств измерений проводится по элементам, входящим в измерительный тракт:
громкоговоритель;
микрофонная база;
анализатор.
.2.1 Микрофонная база
Микрофонную базу образует пара
микрофонов с предварительным усилителем типа 4943.
Для данного средства измерения можно
выделить несколько метрологических характеристик, создающих основной вклад в
погрешность измерений давления:

дБ (
12%) - неравномерность
амплитудно-частотной характеристики микрофона, систематическая погрешность в
диапазоне частот 5 Гц - 6,3 кГц;

дБ (
8.4%) - погрешность определения
чувствительности микрофона с предусилителем на базовой частоте 250 Гц [9].
Изменения нормированных параметров
внешних условий измерений (температура, давление, влажность, напряженность магнитного
поля) приводит к появлению следующих систематических погрешностей.
Влияние температуры окружающего
воздуха.
Для полудюймовых конденсаторных
микрофонов влияние температуры оценивается не более 
в диапазоне температур от минус 10
до плюс 50
. Для решаемых в методике
измерительных задач температура окружающего воздуха установлена 
. Таким образом, отклонение от
номинального значения 20
не превышает 
, что может приводить к погрешности
от изменения температуры не более 
дБ (не более 
%), ввиду малости не учитывается.
Влияние влажности окружающего
воздуха
Погрешность от влияния влажности,
при условии отсутствия конденсации, оценивается значением не более 0,1 дБ
(1,2%), ввиду малости не учитывается.
Влияние магнитного поля.
Наличие магнитного поля изменяет
чувствительность микрофона. Поскольку измерения максимального и минимального
давления производятся одним и тем же микрофоном, погрешность на наличие
магнитного поля не учитывается.
Влияние атмосферного давления.
Условия измерений допускаются
изменение атмосферного давления от 98 до 106 кПа, т.е. на 8 кПа. Для микрофонов
типа 4943 коэффициент влияния статического давления не более 0,008 дБ/кПа.
Следовательно, данная погрешность не более 0,064 дБ, т.е. не более 0,7 %, ввиду
малости не учитывается.

дБ, 
%) - граница относительной
погрешности чувствительности базы по интенсивности по отношению к стоячей
волне. По данным стандарта IEC 1043 при использовании
микрофонов класса 1, образующих базу 50 мм, в поле плоской стоячей волны с
заданным значением коэффициента стоячей волны 24 дБ границы погрешности
чувствительности базы по интенсивности составляют 
дБ. На практике чувствительность
зонда оказывается существенно лучшей из-за использования поглотителя в открытом
конце интерферометра;

дБ, 
%) - границы погрешности, связанной
с малостью градиента давления на верхних частотах диапазона. Также используются
данные стандарта IEC 1043.
.2.2 Анализатор
Методикой предусмотрено
использование анализатора типа 3560, значения метрологических характеристик
которого:
погрешность 
от неравномерности
амплитудно-частотной характеристики. Это систематическая погрешность и
наибольшие её пределы 
% (0,1 дБ), ввиду малости не
учитывается;
погрешность измерения уровня
сигнала, как правило, не более 0,1 дБ (1,2 %), ввиду малости не учитывается.
погрешность 
обусловлена конечным временем
наблюдения исследуемого стационарного процесса. По характеру это случайная
погрешность.
При использовании анализаторов,
основанных на процедуре быстрого преобразования Фурье, стандартная случайная
составляющая погрешности 
обусловлена конечным числом
независимых выборок 
исследуемого процесса при
усреднении автоспектра случайного шума и вычисляется по формуле 
.
При установке параметров
анализатора, погрешность 
не превышает 4.5% (0,38 дБ) [10].
.2.3 Громкоговоритель ИАИ
Полный коэффициент гармонических
искажений в рабочем диапазоне частот не более 5%. Погрешность не учитывается
ввиду использования одновременных измерений интенсивности двумя микрофонными
базами на шумовом сигнале.
Границы относительной
систематической погрешности измерения звукоизоляции 
определяется выражением

Расчет даёт 
% (
1.9 дБ)
Доверительные границы относительной
погрешности измерения звукоизоляции 
при отношении систематической к
случайной составляющей, равном в данном случае 5,5, определяется суммированием
систематической и случайной составляющих погрешностей в соответствии с ГОСТ
8.207 - 76

где 
, для предварительной вероятности
0,95.
Расчеты дают значения 
=1,79 и 
27% (
2,1 дБ, 
2,7 дБ) для доверительной
вероятности 
.
В заключении следует отметить,
что разработанная методика, позволяет оценивать звукоизоляционные свойства в
широких динамических и частотных диапазонах. Используемый акустический
интерферометр обладает достаточной точностью и удобством при проведении
испытаний.
4. Экспериментальные данные
На акустическом интерферометре были произведены
расчеты звукового давления при нормальном падении плоской волны на образец
(простейший элемент конструкции звукоизоляции - сталь 3мм) от 15 до 60 дБ в
узких полосах частот в диапазоне от 5 до 200 Гц.
По данным методики диапазон частот соответствует
20 - 200 Гц, но акустический интерферометр даёт возможность работать с
инфразвуков на частоте возбуждение не менее 5 Гц.
Были построены графики распределения амплитуды
звукового давления вдоль акустического интерферометра на разных частотах
возбуждения.
Рисунок 4.1 - Распределение амплитуды звукового
давления вдоль акустического интерферометра на частоте возбуждения 20 Гц
Рисунок 4.2 - Распределение амплитуды звукового
давления вдоль акустического интерферометра на частоте возбуждения 63 Гц
Рисунок 4.3 - Распределение амплитуды звукового
давления вдоль акустического интерферометра на частоте возбуждения 100 Гц
Рисунок 4.4 - Распределение амплитуды звукового
давления вдоль акустического интерферометра на частоте возбуждения 160 Гц
Рисунок 4.5 - Распределение амплитуды звукового
давления вдоль акустического интерферометра на частоте возбуждения 200 Гц
Остальная часть графиков представлена в
приложениях.
На рисунках справа расположен излучатель,
посередине образец. Амплитуда звукового давления плоской волны, проходя через
образец, резко падает, что соответствует хорошей звукоизоляции и низкой
звукопроницаемости стали.
Рисунок 4.6 - Распределение амплитуды звукового
давления вдоль акустического интерферометра на частоте возбуждения 50 Гц
При частоте возбуждения 50 Гц амплитуда
звукового давления вдоль акустического интерферометра после образца
незначительно уменьшается, это происходит из-за того что пластина начинает
резонансное движение, тем самым она сама начинает излучать звук.
. Безопасность жизнедеятельности
.1 Охрана труда
.1.1 Порядок обеспечения работников специальной
одеждой
В процессе работы на работника акустической
лаборатории действует такой вредный фактор как повышенный уровень шума. Поэтому
важно своевременно и в соответствии с нормами выдачи обеспечивать персонал
средствами индивидуальной защиты.
Выдаваемые работникам средства
индивидуальной защиты должны соответствовать их полу, росту и размерам,
характеру и условиям выполняемой работы и обеспечивать безопасность труда. В
соответствии со статьей 215 Трудового кодекса Российской Федерации средства
индивидуальной защиты работников, в том числе иностранного производства, должны
соответствовать требованиям охраны труда, установленным в Российской Федерации,
и иметь сертификаты соответствия. Приобретение и выдача работникам средств
индивидуальной защиты, не имеющих сертификата соответствия, не допускается.
Работодатель обязан заменить
или отремонтировать специальную одежду и специальную обувь, пришедшие в
негодность до окончания сроков носки по причинам, не зависящим от работника.
В случае пропажи или порчи
средств индивидуальной защиты в установленных местах их хранения по не
зависящим от работников причинам работодатель обязан выдать им другие исправные
средства индивидуальной защиты [11].
Предусмотренные в Типовых
отраслевых нормах дежурные средства индивидуальной защиты коллективного
пользования должны выдаваться работникам только на время выполнения тех работ,
для которых они предусмотрены, или могут быть закреплены за определенными
рабочими местами (например, тулупы - на наружных постах, перчатки
диэлектрические при электроустановках и т.д.) и передаваться от одной смены
другой.
В этих случаях средства
индивидуальной защиты выдаются под ответственность мастера или других лиц,
уполномоченных работодателем.
Предусмотренные в Типовых
отраслевых нормах теплая специальная одежда и теплая специальная обувь (костюмы
на утепляющей прокладке, куртки и брюки на утепляющей прокладке, костюмы
меховые, тулупы, валенки, шапки-ушанки, рукавицы меховые и др.) должны
выдаваться работникам с наступлением холодного времени года, а с наступлением
теплого могут быть сданы работодателю для организованного хранения до
следующего сезона. Бригадирам, мастерам, выполняющим обязанности бригадиров,
помощникам и подручным рабочих, профессии которых предусмотрены в
соответствующих Типовых отраслевых нормах, выдаются те же средства
индивидуальной защиты, что и рабочим соответствующих профессий.
Предусмотренные в Типовых
отраслевых нормах средства индивидуальной защиты для рабочих, специалистов и
служащих должны выдаваться указанным работникам и в том случае, если они по
занимаемой должности или профессии являются старшими и выполняют
непосредственно те работы, которые дают право на получение этих средств
индивидуальной защиты.
Рабочим, совмещающим профессии
или постоянно выполняющим совмещаемые работы, в том числе и в комплексных
бригадах, помимо выдаваемых им средств индивидуальной защиты по основной
профессии должны дополнительно выдаваться в зависимости от выполняемых работ и
другие виды средств индивидуальной защиты, предусмотренные Типовыми отраслевыми
нормами для совмещаемой профессии.
Работодатель обязан
организовать надлежащий учет и контроль за выдачей работникам средств
индивидуальной защиты с установленные сроки.
Выдача работникам и сдача ими
средств индивидуальной защиты должны записываться в личную карточку работника.
В соответствии со статьей 212
Трудового кодекса Российской Федерации работодатель обязан обеспечить
информирование работников о полагающихся им средствах индивидуальной защиты.
Обеспечение работников за счет
собственных средств специальной одеждой, специальной обувью и другими
средствами индивидуальной и коллективной защиты от воздействия вредных и (или)
опасных производственных факторов осуществляют работодатели.
Перечень и нормы выдачи средств индивидуальной
защиты, определяется уполномоченным государственным органом по труду. Средства
индивидуальной защиты должны выдаваться при приеме или переводе работников на
другую работу либо в связи с истечением срока пользования этих средств.
Сроки пользования средств индивидуальной защиты
устанавливаются календарно и исчисляются со дня фактической выдачи работникам.
Работодатели должны приобретать только
сертифицированные средства индивидуальной защиты. Средства индивидуальной
защиты должны быть удобны при носке, не создавать препятствий движению,
подбираться и выдаваться работникам по соответствующим размерам.
Специальная одежда, специальная обувь, которые
не соответствуют предъявляемым требованиям или пришли в негодность до истечения
установленного срока пользования, по причинам независящим от работника,
подлежат замене.
С наступлением сезона специальная одежда и
специальная обувь должны быть возращены тем работникам, которым они выдавались
в предыдущий сезон.
Для хранения выданных работникам специальной
одежды, специальной обуви и других средств индивидуальной защиты работодатель
предоставляет специально оборудованные помещения (гардеробные) в соответствии с
требованиями строительных норм и правил, санитарно-эпидемиологических правил и
норм [12].
Работникам акустических лабораторий в первую очередь
необходимы средства индивидуальной защиты органов слуха, чем являются наушники.
Так же выдается специальная одежда по необходимости, куда входят халаты, обувь,
перчатки и рабочая спецодежда.
.2 Защита в чрезвычайных ситуациях
.2.1 Назначение, принцип действия и виды
автоматического пожаротушения на производстве
Проектирование пожарной сигнализации изобретение
датчиков, реагирующих на свет, дым и тепло, стали шагом вперед в развитии сферы
пожарной безопасности. Механизмы системы автоматического пожаротушения работают
за счет пожарной автоматики. Назначение таких механизмов сводится к быстрому
уничтожению очага возгорания без привлечения человеческих сил.
Функции систем автоматического пожаротушения
сводятся к контролю температуры помещения и реагированию на возникновение дыма.
Системы призваны контролировать целостность систем управления и оповещения. В
случае возникновения очагов опасности механизм передает тревожный сигнал в
пункт централизованного наблюдения. При этом срабатывают оповещатели светового
или звукового типа, и происходит закрытие клапанов, препятствующих
распространению огня. На эвакуационных путях, в свою очередь, включаются
системы удаления дыма.
Среди систем пожаротушения различают газовые,
аэрозольные, пенные, порошковые и водяные. У каждой из этих систем есть свои
преимущества и особенности. Так, газовые механизмы в процессе пожаротушения не
вызывают коррозии оборудования, в том числе электрического. Они способны
функционировать в широком температурном диапазоне.
Автоматические системы
пожаротушения предназначены для:
а) обнаружения, локализации и
тушения пожара;
б) защиты людей и материальных
ценностей от воздействия опасных факторов пожара;
в) сигнализации в помещение
дежурного персонала о начале работы установки.
Необходимость оборудования
зданий, помещений или сооружений системами пожаротушения определяется в
соответствии с Приложением «А» СП 5.13130.2009 «Свод правил. Установки пожарной
сигнализации и пожаротушения автоматические. Нормы и правила проектирования».
Вид системы пожаротушения и тип
огнетушащего вещества определяется для объекта защиты исходя из его
характеристик (площадь, объем, этажность, функциональное назначение и т. д.),
вероятности возникновения пожара того или иного типа и технических условий
(например наличия требуемого расхода воды для нужд пожаротушения от Водоканала,
температурного режима на объекте).
Типы и виды систем
пожаротушения:
- спринклерные
<#"550538.files/image299.gif">
(1)
где 
- норма времени на разработку
соответствующего документа, приведённая в таблице;

- коэффициент, учитывающий тип
производства для разрабатываемого устройства;

- коэффициент, учитывающий
использование аппликаций при разработке данного документа;

- коэффициент, учитывающий
фактический масштаб изображения изделия по сравнению с табличным;

- приведение фактических форматов
чертежа в соответствие с табличными.

, так как типовые нормы времени на
разработку конструкторской документации разработаны для условий единичного
производства, при выполнении чертежей в формате 1:1, аппликации не используются
и все эти условия соблюдаются.
Расчет общей трудоемкости по стадиям
разработки производится по формуле

(2)
Данные по трудоемкости
проектирования приведены в Таблице 6.1.
Таблица 6.1
|
Документы,
входящие в типовую стадию
|
Количество
единиц объема работы
|
Единица
объема работы
|
К4
|
 , ч. , ч.
|
|
|
Техническое
задание
|
|
Техническое
задание
|
1
|
А4
|
1
|
3,0
|
3,0
|
|
Эскизный
проект
|
|
Анализ
состояния вопроса
|
10
|
А4
|
1
|
4,1
|
41
|
|
Ведомость
эскизного проекта
|
1
|
А4
|
1
|
0,5
|
0,5
|
|
Пояснительная
записка
|
25
|
А4
|
1
|
4,1
|
102,5
|
|
Разработка
раздела «БЖД»
|
12
|
А4
|
1
|
4,1
|
49,2
|
|
Определение трудоемкости
|
5
|
А4
|
1
|
4,1
|
20,5
|
|
Технический
проект
|
|
Ведомость
технического проекта
|
1
|
А4
|
1
|
0,5
|
0,5
|
|
Чертеж
общего вида
|
1
|
А1
|
1
|
24,2
|
24,2
|
|
Схема
электрическая
|
1
|
А2
|
1
|
106
|
106
|
|
Подготовка
и оформление
|
8
|
А4
|
1
|
0,94
|
7,52
|
|
Проведение
технических расчетов
|
10
|
А4
|
1
|
2,13
|
21,3
|
Распределим общую трудоёмкость
выполнения каждой работы между исполнителями.
Результаты приведены в таблице
6.2.
Таблица 6.2
|
Проектируемая
документация и виды работ
|
Исполнитель
|
Затраты
времени, ч.
|
|
Техническое
задание
|
|
Техническое
задание
|
ИК-2
|
3
|
|
Эскизный
проект
|
|
Анализ
состояния вопроса
|
ТК
|
41
|
|
Ведомость
эскизного проекта
|
ТК
|
0,5
|
|
Пояснительная
записка
|
ИК-2
|
102,5
|
|
Разработка
раздела «БЖД»
|
ТК
|
49,2
|
|
Определение трудоемкости
|
ТК
|
20,5
|
|
Технический
проект
|
|
Ведомость
технического проекта
|
ИК-3
|
0,5
|
|
Чертеж
общего вида
|
ИК-2
|
24,2
|
|
Схема
электрическая
|
ИК-3
|
106
|
|
Подготовка
и оформление расчетов
|
ТК
|
7,52
|
|
Проведение
технических расчетов
|
ТК
|
21,3
|
Примечание: ИК-3 -
инженер-конструктор 3 категории;
ИК-2 - инженер-конструктор 2
категории;
ТК - техник-конструктор.
Расчет общей трудоемкости по стадиям выполнения
конструкторской работы производится по формуле

(3)
где 
- общая трудоемкость
конструкторской работы;

- затраты времени на
соответствующую стадию выполнения конструкторской работы;

, 
, 
- затраты времени на разработку
технического предложения, эскизного проекта, технического проекта, рабочей
документации.
В Таблице 6.3 приведена общая
трудоемкость конструкторской разработки.
Таблица 6.3
|
Наименование
раздела
|
Трудоемкость,
чел./час
|
|
Техническое
задание
|
3
|
|
Эскизный
проект
|
213,7
|
|
Технический
проект
|
159,52
|
|
Итого
|
376,22
|
Рассчитаем суммарное время
работы каждого исполнителя.
Таблица 6.4
|
Исполнитель
|
Суммарное
время работы, ч.
|
Количество
исполнителей
|
|
Инженер-конструктор
3 категории
|
106,5
|
1
|
|
Инженер-конструктор
2 категории
|
129,7
|
1
|
|
Техник-конструктор
|
140,02
|
1
|
|
Итого
|
376,22
|
3
|
Всего трудоёмкость выполненных
работ составила около 377 часа.
Вывод: рассчитав трудоемкость
выполненных работ далее можно определить стоимость конструкторской разработки,
зная стоимость одного нормо-часа.
Заключение
В результате проведенного в первой главе анализа
свойств, звукоизоляции и звукопроницаемости материалов, методов и свойств их
измерения, были получены результаты. На основе результатов разработана методика
проведения испытаний, большой номенклатуры материалов и конструкций
звукоизоляции в широком диапазоне частот. Получены оценки погрешностей
измерения звукоизоляции и звукопроницаемости. По экспериментальным данным были
сделаны выводы и заключения по распределению амплитуды звукового давления вдоль
акустического интерферометра при разных частотах возбуждения.
Полученные результаты полностью удовлетворяют
требованиям технического задания.
Библиографический список
1.
Звукоизоляция и звукопоглощение: Учеб. пособие для студентов вузов / Л.Г.
Осипов, В.Н. Бобылев, Л.А. Борисов и др.; Под ред. Г.Л. Осипова, В.Н. Бобылева.
- М.: ООО «Издательство АСТ»: ООО «Издательство Астрель», 2004. - 450 с.
.
Акустика: Справочник / А. П. Ефимов, А. В. Никонов, М. А. Сапожков, В. И.
Шоров; Под ред. М. А. Сапожкова. - 2-е изд., перераб. и доп. - М.: Радио и
связь, 1989. - 336 с.
.
Общая акустика. М.А. Исакович. Учебное пособие. Наука, Главная редакция
физико-математической литературы, - М.: Наука, 1973. - 496 с.
4. Вахитов Я.Ш. Теоретические основы электроакустики
и электроакустическая аппаратура. - М.: Искусство, 1982. - 415 с.
. Электроакустика. Римский-Корсаков А. В. - М.:
Связь, 1973. - 272 с.
6.
Боголепов И. И. Архитектурная акустика. Учебник - справочник. - СПб.: 2001. -
180 с.
.
Затраты на проектирование конструкторской и технологической документации на
изделия машиностроения и приборостроения [Текст] : метод. указания, - Омск.:
ОмГТУ, 2006. - 42 с.
.
Морозова Н.С. Методические указания и нормативные материалы к дипломному
проектированию (экономическая часть) для радиотехнических специальностей. -
Омск.: ОмГТУ, 2006. - 45с.
.
ФГУ "Тест - С. Петербург" погрешности проверки шумомеров и данными
ГОСТ 8.038 - 94.
.
Бендат Дж., Пирсол А. Применение корреляционного и спектрального анализа. - М.:
Мир, 1983. - 312 с.
.
Безопасность жизнедеятельности. Безопасность технологических процессов и
производств (Охрана труда): Учебное пособие для вузов /П. П. Кукин, В. Л.
Лапин, Е. А. Подгорных и др. - М.: Высшая школа, 1999. - 318с.
.
Трудовой кодекс Российской Федерации (в ред. Федеральных законов от 30.12.2001
№ 197-Ф3).
.
Установки пожаротушения автоматические [Текст]: справочник /С. В. Собурь. - М.:
ПожКнига, 2004. - 402 с.
.
Красильнихов В.А. Введение в акустику: Учебное пособив. - М.: МГУ, 1992. - 152
с.
.
Радиовещание и электроакустика: Учебник для вузов А. В. Выходец, М. В. Гитлиц,
Ю.А. Ковалгин и др.; Под ред. М. В. Гитлица. - М.: Радио и связь, 1989. - 432
с.