Анализ гармонического процесса в отрезке радиочастотного кабеля
Курсовая
работа
Анализ
гармонического процесса в отрезке радиочастотного кабеля
Содержание
1.Задание на курсовую работу
. Выбор марки радиочастотного кабеля
3. Моделирование генератора, нагрузки и отрезка
радиочастотного кабеля
4. Расчет распределения действующих
значений напряжения и тока вдоль нагруженного отрезка кабеля
. Расчет распределения составляющих
комплексного сопротивления
. Расчет распределений вещественной
и мнимой составляющих потребляемой комплексной мощности вдоль нагруженного
отрезка линии
. Расчёт значения параметров
элементов согласующего устройства
. Нахождения значений параметров
элементов согласующего устройства по диаграмме полных сопротивлений
. Расчёт распределения действующих
значений напряжения и тока
. Сравнение активной мощности,
отдаваемой генератором, и активной мощности, потребляемой нагрузкой кабеля
. Схемы замещения при выбранной
частоте
. Исследование схемы
четырёхполюсника при холостом ходе
. Получение выражения для АЧХ и ФЧХ
. Используемая литература
нагрузка напряжение радиочастотный кабель
1. Задание
на курсовую работу
Часть 1.
Высокочастотный генератор мощностью Рг
с внутренним сопротивлением Rг, работающий на частоте fг,
связан с приемником энергии отрезком радиочастотного кабеля длиной l.
Приемник энергии представлен сосредоточенным пассивным двухполюсником с
комплексным сопротивлением
1. Выбрать марку радиочастотного кабеля, исходя
из заданных значений параметров генератора.
Критерий выбора - минимальное значение расчётной
массы 1км. кабеля. Привести эскиз конструкции выбранного кабеля с указанием
размеров его эго элементов, а также параметры и частотные характеристики.
. Подобрать модели генератора, отрезка кабеля и
приёмника энергии(нагрузка кабеля) и определить значения их параметров.
. Рассчитать распределения действующих значений
или огибающих напряжения и тока вдоль нагруженного отрезка кабеля и построить
их графики на интервале [0,l].
.Рассчитать распределения составляющих комплексного
сопротивления или проводимости (в зависимости от способа последующего
согласования) вдоль нагруженного отрезка кабеля и построить их графики на
интервале [0,l].
. Рассчитать распределения активной и реактивной
мощностей вдоль отрезка кабеля на интервале [0,l]
и построить их графики. Сравнить значения активной мощности, отдаваемой
генератором, и активной мощности, потребляемой нагрузкой кабеля. Сопоставьте их
со значением мощности генератора Pг.
. Рассчитать значения параметров элементов
согласующего устройства.
. Найти значения параметров элементов
согласующего устройства по диаграмме полных сопротивлений (проводимостей) и
описать порядок их определения с соответствующими графическими построениями.
. Рассчитать распределения действующих значений
напряжения и тока вдоль согласованного участка отрезка кабеля и элементов
согласующего устройства и построить их графики.
. Сравнить значения активной мощности,
отдаваемой генератором, и активной мощности, потребляемой нагрузкой кабеля.
Сопоставить их со значением мощности Pг.
Часть 2.
Исследование частотной
избирательности RC-четырёхполюсника.
1. Исследовать схему своего четырёхполюсника при
холостом ходе(выходные зажимы разомкнуты).
. Получить по возможности простое выражение для
комплексной предаточной функции ( коэффициента передачи по напряжению) при
холостом ходе.
. Получить выражение для АЧХ и ФЧХ.
. Установить тип фильтра.
. Построить графики АЧХ и ФЧХ.
. Установить границы полосы пропускания фильтра.
Исходные данные:
Часть 1.
|
№
п/п
|
Pг.
|
Rг
|
fг
|
l/λ
|
Zн
|
Номер
рисунка согласующего устройства
|
|
Вт.
|
Ом
|
МГц
|
отн.ед.
|
Oм
|
|
|
10
|
40
|
75
|
138,8
|
1.15
|
70+j50
|
1
|
Схема согласования нагрузки с отрезком
радиочастотного кабеля.
1.1 Согласование четвертьволновым
трансформатором.
Часть 2.
Схема четырёхполюсника (схема №10).
Таблица параметров четырехполюсника.
2. Выбор марки
радиочастотного кабеля
Марку
радиочастотного кабеля выбирают по сборнику государственных стандартов ГОСТ
11326.1 - 79 - ГОСТ 11326.92 - 79 "Кабели радиочастотные", исходя из
заданных значений параметров генератора: мощности Р= 40 Вт.,
частоты fг =138,8 МГц. и сопротивления R=75
Ом. При этом нужно принять во внимание несколько
условий:
. Равенство
волнового сопротивления кабеля и сопротивления генератора:
Rс=Rг.
2. Выбранный кабель
на частоте fг=138,8 МГц должен пропускать заданное значение мощности генератора, т.е.
должно выполняться неравенство
где Рko
- предельно допустимая мощность, передаваемая кабелем в согласованном режиме; k
- коэффициент стоячей волны напряжения в отрезке кабеля, значение которого
вычисляется по формуле
Здесь r
- модуль коэффициента
отражения волны напряжения в конце отрезка кабеля. При пассивной
сосредоточенной нагрузке сопротивлением
коэффициент отражения по напряжению
определяется выражением
;
ρ=0.075+0.319i,ν=1.338
при этом на
значения r
и n налагаются следующие ограничения:
;
Определяем
коэффициент стоячей волны:
k=1.974
k*Pг=78.98 В т .
Из графиков
частотной зависимости находим предельно допустимую мощность Рko =120
Вт. ,значит в нашем случае это равенство выполняется.
Таким образом,
приходим к выводу, что для заданных параметров подходит кабель РК 75-2-13 ГОСТ
11326.71-79.
Конструктивные
элементы кабеля.
|
Наименование
элемента
|
Конструктивные
данные и размеры
|
|
Внутренний
проводник
|
Семь
медных лужённых проволок номинальным диаметром 0.12 мм; номинальный диаметр
проводника 0.36 мм.
|
|
Изоляция
|
Сплошная;
полиэтилен низкой плотности; диаметр по изоляции (2.2±0.1) мм.
|
|
Внешний
проводник
|
Оплётка
из медных лужённых проволок номинальным диаметром 0.1 мм; плотность оплётки
85 - 92%; угол оплётки 50 - 60°.
|
|
Оболочка
|
Светостабилизированный
полиэтилен низкой плотности; наружный диаметр (3.2±0.25) мм.
|
Основные
характеристики кабеля
Волновое сопротивление на
период эксплуатации, Ом 75±5
Электрическая ёмкость, пФ/м 67
Коэффициент укорочения длины
волны 1.52
Электрическое сопротивление
изоляции, ТОм×м, не менее 5
Расчётная масса 1 км кабеля, кг
14.7
Ниже представлен
график частотных зависимостей предельно допустимой мощности Рko
= Рko(f) и коэффициента затухания на единицу длины a = a(f)
[дБ/м] радиочастотного кабеля РК 75-2-13 ГОСТ 11326.71-79. На этом графике
указанны значения мощности генератора Рг(fг)
(точка A) и предельно допустимой мощности Рko = Рko(fг),
передаваемой кабелем в согласованном режиме (при k = 1) (точка B).
3. Моделирование генератора, нагрузки и отрезка радиочастотного
кабеля
Моделирование
генератора.
Генератор гармонических
колебаний мощностью Pг =40 Вт. и внутренним сопротивлением Rг
=75 Ом можно заменить эквивалентными автономными сосредоточенными
двухполюсниками, состоящими из последовательно включенных источника
гармонического напряжения Uог и резистора сопротивлением Rг,
либо из параллельно включенных источника гармонического тока Iкг и
резистора проводимостью
с
комплексными характеристиками:



2.1
Схемы замещения.
Под значением мощности Pг
имеют в виду мощности генератора, отдаваемой им в согласованную нагрузку.
.
Отсюда напряжение
холостого хода активного двухполюс-
ника U0г :
.
вычисляем и получаем
В.
Значение тока
короткого замыкания активного двухполюсника Iкг
подсчитывается по формуле
.
А
Моделирование
нагрузки.
2.2
Нагрузка кабеля
Сосредоточенная нагрузка отрезка кабеля в
установившемся гармоническом процессе моделируется пассивной ветвью
сопротивлением Zн.= 70 + j50
Ом.
Моделирование отрезка
радиочастотного кабеля.
2.3 Схема отрезка
Отрезок радиочастотного кабеля
моделируется отрезком однородной линии той же длины, характеристическое
сопротивление Rc которой равно волновому сопротивлению кабеля
Rc=Rг=75 Ом и коэффициентом распространения волны
,
значение
находится
из графика частотных зависимостей,α=0.3 и
сразу переведём коэффициент затухания в неперы
Нп.
Коэффициент фазы
определяется
длиной волны
в кабеле, которая
в kу раз короче электромагнитной волны в вакууме:
=2.17(м). Определяем длину волны в кабеле:
(м) ,где - kУ коэффициент укорочения длины волны, найдем коэффициент
фазы
:
(рад/м).Тогда
коэффициент распространения волны
:
γ=α+jβ=0.3+j4.403.
Длину отрезка кабеля определим из соотношения
:
где
-
нормированная длина (из исходных данных) l=1.641
(м).
В любом режиме отрезок кабеля удовлетворительно
моделируется отрезком регулярной линии без потерь, если собственное затухание
отрезка кабеля
в согласованном
режиме не превышает 0,045 (Нп); при этом
с погрешностью не более 5%, тогда в нашем случае exp(0.033)=
1.034 и погрешность равна
=3.4%
4.
Расчет распределения действующих значений (огибающих) напряжения И ТОКА вдоль
нагруженного отрезка
Исходными являются выражения, определяющие
комплексы действующих значений напряжения Uп(x) и тока Iп(x) в произвольном сечении с координатой
,
отсчитываемой от конца отрезка линии без потерь:
3.1
Нагруженный отрезок линии без потерь
,
,
где через Uп(x) и Iп(x)
обозначены комплексы действующих значений напряжения и тока
соответствующих прямобегущих волн в том же сечении:
и
и
.
Вычисляя модули
выражений U(x) и I(x), получаем
искомые функция распределений U(x), I(x) (огибающих
волн напряжения u(x,t) и тока i(x,t)):
,
где
,
-
выражения
распределений нормированных (действующих значений напряжения и тока вдоль
отрезка линии ).
Получаем
,
.
Аналогичным образом
выводятся формулы распределений U(x) и I(x) при
известном значении I(l):
,
.
Для расчета
граничных значений U(l), I(l) цепи с
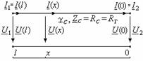
одним отрезком регулярной линии поступают следующим образом.
Нагруженный отрезок
однородной линии без потерь длиной l заменяют эквивалентным
сосредоточенным пассивным двухполюсником с комплексными характеристиками
,
причём
. Значение сопротивления Z(l) нагруженного
отрезка вычисляют по формуле с экспоненциальными функциями мнимого аргумента:
Рис. 3.1Схема замещения
нагруженной линии без потерь.
, при x = l
Из эквивалентной последовательной
схемы ,полагая для простоты равной нулю значение начальной фазы задающего
напряжения uo(t) (
), нетрудно найти значения искомых величин U(l),
I(l) в начале отрезка линии:
,
.
(3.16)
Модули этих величин U(l), I(l) и
используются в последующем расчете распределений действующих значений
напряжения U(x) и тока I(x) вдоль отрезка
однородной линии (при 0 £
x £ l).
Порядок
расчёта.
Найдем сопротивление и
проводимость нагруженного отрезка:
Ом
См
Значение напряжения
и тока в начале отрезка линии:
Распределение нормированных
значений напряжения и тока.
Находим
распределение действующих значений напряжения и тока вдоль выбранной линии:
,
На основе
рассчитанных значений составляем таблицу значений U(x), I(x)
на интервале [0, l]



5.
Расчет распределения вещественной и мнимой составляющих комплексного
сопротивления
Для согласующего
устройства в виде четвертьволнового трансформатора распределение вещественной и
мнимой составляющей комплексного сопротивления рассчитывается по формулам:
В заключение для
контроля верности расчётов необходимо сравнить между собой значения
сопротивления Z(l) в начале отрезка линии и сопротивления Zн
пассивной нагрузки с составляющими соответствующих величин в начале (x
= l) и в конце отрезка линии (x
= 0).

Значение в начале
линии: В конце линии:


Значение нагрузки Zн.=70+j50
Ом совпадает со значением комплексных составляющих вещественной R(x)
и мнимой X(x)
частями комплексного сопротивления.
Распределение
значений потребляемой реактивной мощности PQп(x)
в произвольном сечении отрезка с координатой x
определяется выражением:
.
Распределение комплексной мощности
вдоль нагруженного отрезка линии:

Значение активной мощности совпадает на всём
участке нагруженной линии.
7.
Определение значений параметров элементов согласующих устройств
Значения параметров
элементов согласующих устройств находятся из условий согласования отрезка
однородной линии или его участка с нагрузкой.
Согласующее
устройство образовано трансформатором с характеристическим сопротивлением Rст
(проводимостью Gст = Rст-1)
длиной lт и участком линии с характеристическим
сопротивлением Rс (проводимостью Gст = Rст-1)
длиной l1. При его расчёте определению подлежат значения длин
участка линии l1, трансформатора lт и
значение характеристического сопротивления Rст (проводимости Gст)
трансформатора.
условия согласования:
1.
,2.
;
(6.4)
сопротивления нагруженного трансформатора
принимает вид
.
Следовательно, формула
,(6.7)
определяет два значения
характеристического сопротивления трансформатора - по одному для включения его
в пучности напряжения и в пучности тока.
При соблюдении условий согласования на участке
длиной l1 линии передачи наблюдается режим бегущих волн
напряжения и тока, а в трансформаторе и следующем за ним участке - режим смешанных
волн.
Длина участка линии:
Характеристическое сопротивление трансформатора:
Длина трансформатора:
8.
Расчет значений параметров элементов согласующего устройства по диаграмме
полных сопротивлений (проводимостей)
Вычисленные
значения параметров элементов согласующих устройств легко проверить но круговой
диаграмме полных сопротивлений (проводимостей) - диаграмме Вольперта. В
качестве исходных данных должны быть известны значения l, Rc или Gc, Z2
или Y2.
1
На круговой диаграмме отмечаем точку, соответствующую
нормированному значению сопротивления нагрузки
2. Перемещаемся по
ходу часовой стрелки от найденной точки по окружности постоянного КБВ до
пересечения с "вертикальным" диаметром. Таких точек пересечения на
диаграмме окажется две - одна вверху, другая - внизу. Выбираем ту из них,
которая располагается ближе к нагрузке.
. По шкале
расстояний отсчитываем нормированное значение расстояния
между нагрузкой и выбранным сечением (здесь k номер
выбранного сечения: k = 1 (ближайшего к нагрузке) либо k =
2).
4) Нормированное значение характеристического сопротивления
трансформатора
равно:
Круговая диаграмма полных сопротивлений
(проводимостей)-
диаграмма Вольперта.
9.
Расчет распределения действующих значений напряжения и тока вдоль
согласованного участка отрезка линии и элементов согласующего устройства
Места подключения
элементов согласующего устройства представляют собой сосредоточенные
нарушения однородности. Поэтому распределения U(x) и I(x)
действующих значений напряжения и тока вдоль каждого элемента согласующего
устройства, рассчитываемые по формулам, должны учитывать так называемые условия
сопряжения U и I и сечениях нарушения однородности.
Условия
сопряжения U и I - это система
равенств, выражающих непрерывность действующих значений напряжения или тока,
или и того и другого в сечении нарушения однородности зависимости от её
характера. Условия сопряжения записываются на основании законов Кирхгофа. Решив
указанную систему равенств, найдём действующие значения напряжения или тока,
или и того и другого в начале каждого согласующего элемента, знание которых
позволит рассчитать искомые распределения
· Распределение действующих напряжений и тока
вдоль согласованного отрезка.
Условия сопряжения:
В начале отрезка: В конце отрезка:

На всём согласующем участке наблюдается режим
бегущих волн напряжения и тока.
· Действующие значения тока и напряжения вдоль
трансформатора.
Условия сопряжения:
Коэффициент отражения трансформатора:
В начале трансформатора: В конце трансформатора:

В трансформаторе наблюдается режим смешанных
волн.
· Действующие значение напряжения и
тока вдоль нагруженной линии.
Условия сопряжения:


В начале отрезка:
В конце отрезка:
10.
Сравнение значения активной мощности, отдаваемой генератором, и активной
мощности, потребляемой нагрузкой кабеля.
Значение мощности, отдаваемой генератором в
начале линии
равно значению
потребляемой мощности нагрузкой в конце линии
потребляемой
нагрузкой, значит, рассматриваемая линия является согласованной и может
определяться как линия без потерь.
Часть
2.
Исследование частотной избирательности RC-четырёхполюсника
Схемы замещения.
· При
0
значит
На нулевой частоте реактивное сопротивление
равно бесконечности, что соответствует разрыву цепи на месте включения
конденсатора, и эквивалентно следующей схемы замещения:
При
значит
На бесконечно большой частоте реактивное
сопротивление равно нулю и это приводит к тому, что конденсатор заменяется
закороткой.
Получение выражения для АЧХ и ФЧХ.
Для нахождения коэффициента передачи по
напряжению:
совершаем переход
от исходной схемы к упрощённой схеме замещения:
Обозначим сопротивления, как:
Тогда запишем
выражения для входного и выходного сопротивления
выражение для коэффициента передачи по напряжению:
Определим ФЧХ ,как модуль коэффициента передачи
по напряжению и по соответствующим численным значениям построим график:

Находим полосу пропускания сигнала:
Соответственно
граничные частоты:
Верхняя
частота среза
Нижняя
частота среза
Из представленных графических построений делаем
вывод, что наш четырёхполюсник является полосовым фильтром, который пропускает
частоты
<http://ru.wikipedia.org/wiki/%D0%A7%D0%B0%D1%81%D1%82%D0%BE%D1%82%D0%B0>,
находящиеся в нужном диапазоне полосы частот от верхней частоты среза до нижней
частоты среза, при этом удаляет или ослабляет боковые частоты, находящиеся вне
полосы пропускания фильтра.
Используемая
литература
1. Сборник
государственных стандартов ГОСТ 11326.1 - 79 - ГОСТ 11326.92 - 79 "Кабели
радиочастотные".
2.
Круговая диаграмма для линии без потерь: Метод. указания к курсовой работе по
ОТЦ / Сост.: Р.С. Британчук, В.В. Афанасьев. - Изд-во НЭТИ, 1982.
3.
Афанасьев В.В. Анализ периодических процессов в линейных электрических цепях с
распределенными элементами. - Новосибирск: Изд-во НГТУ, 1999.
. Афанасьев Б.П.Теория линейных
электрических цепей. - Изд-во «Высшая школа», 1973г.