Расчет производственной программы и проектирование пункта ТО автомобилей
Расчет
производственной программы и проектирование пункта ТО автомобилей
ИСХОДНЫЕ ДАННЫЕ
Одно из важнейших условий разработки курсового проекта является
правильный выбор основных данных и нормативов, определяющих значения,
результаты расчетов. 10% 90%
Состав АТП: ЗИЛ-130……… .14 шт. 14шт
ЗИЛ-ММЗ-554 М……………….16шт. 16шт
ГАЗ-53 А………………………....29 шт. 5шт. 24шт
ГАЗ-52-04………………………..30шт. 5шт 25шт
ГАЗ-52-07 заправщик…………..3 шт. 3шт
Камаз-5320………………………2 шт. 2шт
ПАЗ-3201…………………………2 шт. 2шт
90 % автомобилей имеют пробег после капитального ремонта.
Среднесуточный пробег Lсс=145 км.
Число рабочих дней Дрг=248.
Средний пробег до капитального ремонта 125000 км.
Средний пробег после капитального ремонта 215000 км.
Природно-климатические условия: холодный район, не агрессивная окружающая
среда.
Дорожное покрытие: посёлочная, грунтовая, асфальтная дорога.
СОДЕРЖАНИЕ
Введение
. Расчет
производственной программы
.Выбор и
обоснование метода организации ТО и ТР
.Проектирование
ТО
. Техника
безопасности
. Заключение
.
Библиографический список
ВВЕДЕНИЕ
Эффективность использования автотранспортных средств зависит от
совершенства организации транспортного процесса и свойств автомобилей сохранять
определенных пределах значения параметров, характеризующих их способность
выполнять требуемые функции. В процессе эксплуатации автомобиля его
функциональные свойства постепенно ухудшаются вследствие изнашивания, коррозии,
повреждения деталей, усталости материала, из которого они изготовлены и др. В
автомобиле появляются различные неисправности, которые снижают эффективность
его использования. Для предупреждения появления дефектов и своевременного их
устранения автомобиль подвергают техническому обслуживанию (ТО) и ремонту.
ТО
- это комплекс операций или операция по поддержанию работоспособности или
исправности автомобиля при использовании по назначению, при стоянке, хранении
или транспортировании. ТО является профилактическим мероприятием и проводится
принудительно в плановом порядке, через строго определенные периоды
эксплуатации автомобиля.
Ремонт - это комплекс операций по восстановлению работоспособности и
восстановлению ресурса автомобиля или его составных частей. Ремонт проводится
по потребности, которую выявляют в процессе ТО.
Выполнение работ по ТО и ремонту автомобиля предшествует оценка его
технического состояния (диагностирование). Диагностирование при ТО проводят для
определения его необходимости и прогнозирования момента возникновения
неисправного состояния путем сопоставления фактических значений параметров,
измеренных при контроле, с предельными. Диагностирование при ремонте автомобиля
заключается в нахождении неисправности и установлении метода ремонта и объема
работ при ремонте, а также проверке качества выполнения ремонтных работ.
Своевременное проведение ТО и текущего ремонта подвижного состава позволяет
содержать автомобили в технически исправном состоянии. Несвоевременное
техническое обслуживание создает благоприятные условия для дорожно-транспортных
происшествий и предельных износов и поломок узлов и деталей автомобилей.
Наиболее часто отказы возникают по двигателю. По числу отказов на двигатель
автомобиля приходится примерно половина всех отказов.
Производственная программа АТП по ТО - планируемое число данного вида
обслуживаний в единицу времени, а так же число капитальных ремонтов за 1 год.
Программа рассчитывается на год, так называемый годовой метод.
1. РАСЧЕТ ПРОИЗВОДСТВЕННОЙ ПРОГРАММЫ
Периодичность ТО, км:
где К1 - коэффициент характеризующий категорию условия
эксплуатации, табличное значение. Для заданных дорожных условий из положения
категорию эксплуатации принимаем Д5;
К3=К3'*К3”=1*0,9=0,9
- коэффициент характеризующий природно-климатические условия, табличное
значение;нто, кр - нормативная периодичность, табличное
значение, км;
Кратность пробега:
где Lсс - среднесуточный пробег;
Периодичность КР, км:
где К2 - коэффициент характеризующий модификацию транспортного
средства, табличное значение;
После капитального ремонта пробег до следующего капитального ремонта
уменьшается на 20 %.
Средневзвешенный пробег:

Корректирование
трудоёмкости ТО и ремонта:
Таблица
1 - Корректирование нормативов трудоёмкости ТО и ТР
|
Коэффициент корректирования
|
Трудоёмкость ТО и ТР на
1000 км
|
|
Марка авто
|
Исходные
|
Рез-ие
|
Нормативные
|
Расчетные
|
|
К1
|
К2
|
К3
|
К4
|
К5
|
Кто
|
Ктр
|
tнео
|
tнто1
|
tнто2
|
tнтр
|
tео
|
tто1
|
tто2
|
tтр
|
|
ЗИЛ- 130
|
1,5
|
1
|
1,2
|
1,9
|
1,15
|
1,15
|
3,933
|
0,45
|
2,5
|
10,6
|
4
|
0,5175
|
2,875
|
12,19
|
15,732
|
|
ЗИЛ-ММЗ-554 М
|
1,5
|
1,15
|
1,2
|
1,9
|
1,15
|
1,3225
|
4,52295
|
0,45
|
2,5
|
10,6
|
4
|
0,595125
|
3,30625
|
14,0185
|
18,0918
|
|
ГАЗ- 53 А
|
1,5
|
1
|
1,2
|
1,9
|
1,15
|
1,15
|
3,933
|
0,42
|
2,2
|
3,7
|
0,483
|
2,53
|
10,465
|
14,5521
|
|
ГАЗ-52-04
|
1,5
|
1
|
1,2
|
1,9
|
1,15
|
1,15
|
3,933
|
0,40
|
2,1
|
9
|
3,6
|
0,46
|
2,415
|
10,35
|
14,1588
|
|
ГАЗ-52-07
|
1,5
|
1
|
1,2
|
1,9
|
1,15
|
1,15
|
3,933
|
0,55
|
2,5
|
10,2
|
3,8
|
0,6325
|
2,875
|
11,73
|
14,9454
|
|
Камаз-5320
|
1,5
|
1,15
|
1,2
|
1,9
|
1,15
|
1,3225
|
4,52295
|
0,50
|
3,4
|
14,5
|
8,5
|
0,66125
|
4,4965
|
19,1762
|
38,445
|
|
Паз-3201
|
1,5
|
1
|
1,2
|
1,9
|
1,15
|
1,15
|
3,933
|
0,7
|
5,5
|
18
|
5,3
|
0,805
|
6,325
|
20,7
|
20,85
|
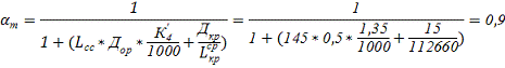
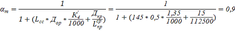
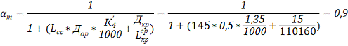
Определение коэффициента технической готовности:
где Дор=0,5 - продолжительность простоя автомобиля при ТО-2 и
ТР, табличное значение;
К’4=1,35 - коэффициент
Дкр=15 дней;
Определение коэффициента использования автомобиля и годового пробега
парка:
где Дгр - количество рабочих дней;
Дгк - количество календарных дней;
Годовой пробег:
где Аи - списочное число автомобилей;
Определения объёма работ по ТО, ТР и вспомогательным работам
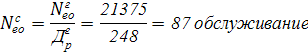
Количество обслуживаний за год:

й
Определение
суточной программы по ТО:
Расчет
годового объёма работ по ТО:



С
учетом 20% 
чел.*час
Расчет
годового объёма работ по ТР:

/1000 =
=49163
чел-ч

/1000 =
=1347
чел-ч
С
учетом 20 %, 
На
вспомогательные работы отводиться не более 30% от ТО и ТР:

=(∑
)
/100 =( 
+
)
30/100
=21920
Определение
годового объема диагностических работ:
Определяется, как сумма годовых объемов контрольно-диагностических работ,
соответственно ТО-1,ТО-2 и 50% ТР контрольно-диагностических работ.

Где

Расчет числа производственных рабочих:
Где



8 чел

= 3 чел

= 4 чел
Расчет числа производственных постов:
Посты:
рабочие
вспомогательные
подпоры
Расчет постов при туалетной мойки:
Где 0,75 - коэффициент пикового возврата автомобиля

продолжительность
мойки
Общее
число углубленной мойки работ ТО-1, ТО-2 общего и углубленного диагностирования
работ по ТР определяется по следующей формуле:
Где

-
годовой объем работ данного вида,час

коэффициент
неравномерной загрузки постов по ОНТП 
=1,15;

=1,09; 
=1,12
с - число смен
Расчет поточных линий
Такт линии, т. е. интервал времени (в минутах) между
двумя последовательно сходящими автомобилями с линии, прошедшими данный вид
обслуживания,

=60*3,3/4+10=59,5
мин.

=60*13,5/4+10=212,5
мин.

=60*0,55/4+10=18,25
мин.
где
- уточненная расчетная трудоёмкость единицы ТО
данного вида, чел-ч; Ртi -
наибольшее технологически необходимое число рабочих соответствующей зоны ТО в
одну смену

=10 мин.
Ритм производства, т.е. время (в мин), приходящееся на одно обслуживание
данного вида,

=60*7*1/87=5
мин

=60*7*1/7=60
мин

=60*7*1/3=140
мин
где
Тсм - продолжительность рабочей смены соответствующей зоны ТО, ч; С
- число рабочих смен в сутки; Nic - суточная программа по данному виду ТО.
Число линий обслуживания для соответствующей зоны ТО (ТО-1, ТО-2)
При
применении механизированных моечных установок такт линии ЕО необходимо
рассчитывать, исходя из пропускной способности механизированной моечной
установки
где
Nу -
производительность моечной установки авт./ч.
Число
линий для зоны ЕО
2. ВЫБОР И ОБОСНОВАНИЕ МЕТОДА ТО И ТР
Для данного вида ТО существует 2 основных метода организации работ по ТО
АТС:
. Метод универсальных постов
. Метод специализированных постов
Посты могут быть:
проездными
прямоточными
тупиковые
Сущность методов универсальных постов заключается в том, что виды работ
по ТО или по агрегатам выполняется на первом посту группой рабочих разных
специальностей или рабочих универсалов. Обязательным условием при организации
работ по этому методу является кратность сменной программы по ТО данного вида
числу постов, а следовательно и числу переходящих специальных звеньев рабочих.
Например, если сменная программа ТО-1 равна 12, то число специализированных
звеньев и постов зоны ТО-1 может быть равно 2,3,4. Трудоемкость работ для
каждого звена подбирается с таким расчетом, чтобы они начинали и заканчивали
работы одновременно на всех постах. Недостатком этого метода необходимость
большого количества оборудования и высокая эффективность его использования.
Сущность метода специализированных постов заключается в том, что весь
объем работ заключается в том, что весь объем работ данного вида ТО
распределяется по нескольким постам. Посты и рабочие на них специализируются
либо по видам работ, либо по агрегатам. Это могут быть посты смазки, установки
передних колес, тормозные стенды и др. Метод специализированных постов является
поточным. Поточность, заключается в технологической последовательности всех видов
работ по ТО, конвейере автомобиль передвигается: транспортером, своим ходом на
специальных тележках, рельсах, кран-балках. Перемещение: продольное,
поперечное.
При программе равной 2-3 обслуживание ТО-2 для грузовых автомобилей в
смену принимается схема с постами тупикового типа, 4-5. Обслуживание ТО-2
принимаем схему с 4х-постовой поточной линией, 6-7 обслуживание ТО-2 и более
принимаем 5ти постовую поточную схему.
Необходимым условием проведения ТО-1,ТО-2 на потоке является следующее:
сменная программа по технологической совместимости состояния должна быть
не менее количества обслуживаний в смену
- наличие трех и более рабочих постов для ТО-1и четырех постов
для ТО-2
Если одно из условий не выполняется, метод специализированных постов
невыгоден.
3. ПРОЕКТИРОВАНИЕ ТО
Площадь любой зоны ТО, участки диагностирования или ТР определяется по
следующей формуле:

), м2
где

зависящий
от назначения производственного помещения 
П
- расчетное число постов в зоне

вне
площади занятой автомобилем
Пост
ТО-1:

м2
Пост
ТО-2:

м2
Пост
диагностики:

м2

м2
Суммарная
площадь гаража составляет 700 м2, расстояние между ямами 5 м2.
4. ТЕХНИКА
БЕЗОПАСНОСТИ
.1 Требование техники безопасности к инструменту, приспособлениям и
основному технологическому оборудованию
Для обеспечения безопасности труда необходимо обеспечить безопасность
производственного оборудования и технологических процессов. Для этого имеющийся
инструмент, технологическое оборудование должны соответствовать требованиям
стандартов системы безопасности труда (ССБТ), норм и правил по охране труда и
санитарным нормам. С целью обеспечения электробезопасности все технологическое
оборудование с электроприводом должно быть надежно заземлено.
Все рабочие места должны содержаться в чистоте, не загромождаться
деталями, оборудованием, инструментом, приспособлениями, материалами. Детали и
узлы, снимаемые с двигателя при ремонте, должны аккуратно укладываться на
специальные стеллажи или на пол. Ручной инструмент должен быть в исправном
состоянии, чистым и сухим
.2 Требования по технике безопасности при выполнении основных работ на
участке
При выполнении моечных работ двигателей и деталей концентрация щелочных
растворов не должна превышать 5 %. Детали двигателей, работающие на
этилированном бензине, моют после нейтрализации отложений тетраэтилсвинца
керосином. После мойки деталей и агрегатов щелочным раствором их необходимо
промыть горячей водой. Применять для мойки легко воспламеняющиеся жидкости
категорически запрещается. При использовании синтетических моющих
поверхностно-активных веществ их предварительно растворяют в специальных
емкостях или непосредственно в емкостях моечной машины. Температура воды при
этом не должна превышать больше чем на 18 - 20° С температуру деталей. Для
защиты рук и предупреждения попадания брызг раствора на слизистую оболочку глаз
работающим необходимо применять защитные очки, резиновые перчатки и
дерматологические средства (крем «Силиконовый», пасту ИЭР-2).
.3 Требования техники безопасности к помещению
Производственное помещение необходимо содержать в чистоте. В нем должна регулярно
проводиться влажная уборка, очистка полов от следов масел, грязи и воды.
Пролитое на пол масло необходимо немедленно убрать, используя для этого
поглощающие материалы, такие как опил, песок. Помещение должно быть оборудовано
приточно-вытяжной вентиляцией. С целью защиты работающих от шума, помещение
испытательного стенда должно быть изолировано от остального помещения
перегородкой. Помещение испытательное должно быть снабжено местным отсосом
отработанных газов.
ЗАКЛЮЧЕНИЕ
техническое обслуживание автомобиль пробег
В ходе разработки курсового проекта был произведен расчет
производственной программы для АТП по ТО автомобилей. Для этого определили:
периодичность пробега, годовой пробег автомобилей. Также произвели расчет
суточной программы и расчет годового объема работ.
Далее определили годовой производственный фонд рабочего времени,
технологически необходимое количество рабочих, рассчитали число постов для
ТО-1, ТО-2, диагностики. Рассчитали необходимую площадь гаража и площадь зоны
ТО, ТР и участки диагностирования.
Литература
1. Бойко Н.И. Сервис самоходных машин и автотранспортных средств: учеб.
пособие / Н.И. Бойко, В.Г. Санамян, А.Е. Хачкинанян. - Ростов н/Д.: Феникс,
2007. - 512 с.: ил. - (Высшее образование).
. Ансеров М.А. Приспособление для металорежущих станков. - Л.:
Машиностроение, 1975. - 695 с.
3. Афанасьев Л.Л., Маслов А.А., Колясинский Б.С. Гаражи и станции
технического обслуживания автомобилей: Альбом чертежей. - М.: Транспорт, 1980.
- 216 с.
. Верещак В.П., Абелевич Л.А. Проектирование автотранспортных
предприятий: Справочник инженера. - М.: Транспорт, 1978. - 328 с.
5. Единый тарифно-квалификационный справочник работ и профессий рабочих /
Госкомтруд СССР. М.: Машиностроение, 1986. Вып. 2. - 606 с.
. Клейнер Б.С, Тарасов В. Техническое обслуживание и ремонт автомобилей:
Организация и управление. - М.: Транспорт, 1986. - 236 с.
. Клебанов Б.В. Проектирование производственных участков авторемонтных
предприятий. - М.: Транспорт, 1975. - 178 с.
. Крамаренко Г.В., Барашаков Н.В. Техническое обслуживание автомобилей -
М.: Транспорт, 1982. - 368 с.
. Малышев Б.А. Справочник технолога авторемонтного производства. - М.:
Транспорт, 1977. - 431 с.
. Матвеев В.А., Пустовалов П.Л. Техническое нормирование ремонтных работ
в сельском хозяйстве. - М.: Колос, 1979 - 227 с.
11. Напольский Г.М. Технологическое проектирование автотранспортных
предприятий и станций технического обслуживания. - М.: Транспорт, 1985. - 230
с.
12. Общемашиностроительные нормативы режимов резания и времени для
технического нормирования / Госкомтруд СССР. - М.: Машиностроение, 1974. - 198
с.
. Общесоюзные нормы технологического проектирования предприятий
автомобильного транспорта: ОНТП-01-86 / Минавтотранс РСФСР. - М.: ЦБНТИ
Минавтатранса РСФСР. 1986. - 128 с.
. Общесоюзные нормы технологического проектирования авторемонтных
предприятий: ОПТП-02-86 / Минавтотранс РСФСР. - М.: ЦБНТИ Минавтотранса РСФСР,
1986. - 132 с.
. Положение о техническом обслуживании и ремонте подвижного состава
автомобильного транспорта / Минавтотранс РСФСР. - М.: Транспорт, 1986. - 72 с.
. Руководство по диагностике технического состояния подвижного состава
автомобильного транспорта/ НИИАТ, ГосавтотрансНИИпроект. - М.: Транспорт, 1976.
- 98 с.