Совершенствование оценки эффективности инвестиций

  • Вид работы:
    Контрольная работа
  • Предмет:
    Эктеория
  • Язык:
    Русский
    ,
    Формат файла:
    MS Word
    1,07 Mb
  • Опубликовано:
    2011-12-12
Вы можете узнать стоимость помощи в написании студенческой работы.
Помощь в написании работы, которую точно примут!

Совершенствование оценки эффективности инвестиций

ФЕДЕРАЛЬНОЕ АГЕНТСТВО ПО ОБРАЗОВАНИЮ

ГОСУДАРСТВЕННОЕ ОБРАЗОВАТЕЛЬНОЕ УЧРЕЖДЕНИЕ

ВЫСШЕГО ПРОФЕССИОНАЛЬНОГО ОБРАЗОВАНИЯ

САНКТ-ПЕТЕРБУРГСКИЙ ГОСУДАРСТВЕННЫЙ УНИВЕРСИТЕТ ЭКОНОМИКИ И ФИНАНСОВ

Кафедра экономики и управления







АНАЛИТИЧЕСКАЯ РАБОТА

ПО ДИСЦИПЛИНЕ «МАКРОЭКОНОМИКА»

Тема: СОВЕРШЕНСТВОВАНИЕ ОЦЕНКИ ЭФФЕКТИВНОСТИ ИНВЕСТИЦИЙ

Выполнила: студентка

Факультета менеджмента

группы Трдатян Е.С.

Научный руководитель:

Матвеева Наталья Павловна.

Санкт-Петербург 2011

Вступление


Министерством Экономического Развития на базе долгосрочного прогноза до 2020-2030 гг. выявлены пределы развития, опирающегося на наращивание экспорта энерго-сырьевых ресурсов, вследствие чего обоснован стратегический выбор именно инновационного, социально-ориентированного развития российской экономики. «Время, когда конкурентоспособность поддерживалась дешевизной сырья, рабочей силы и заниженным курсом рубля уходит в прошлое. Постоянное удорожание энергоносителей ведет к увеличению издержек предприятий. Эта тенденция вряд ли изменится в ближайшие годы. И единственный адекватный ответ, который паша экономика должна дать на этот вызов, - значительное повышение эффективности, что требует инвестиций и новых технологий», - делает вывод Э.С. Набиуллина.

Как следует из этого заключения, значительное наращивание инвестиций в экономику РФ, повышение их эффективности, а с ними и повышение эффективности народного хозяйства определяют важнейшие акценты стратегии инновационного развития нашей страны, и это подтверждает реальное положение дел. Так, по отраслям, производящим товары, объём инвестиций в основной капитал в 2007г. достиг лишь половины их физического объёма в девяностых. В обстановке острого дефицита инвестиций наблюдающееся снижение эффективности инвестиционной деятельности оказывает крайне отрицательное влияние на темпы экономического роста.

Реализация в процессе инвестиционной деятельности высокоэффективных инвестиционных проектов является главным условием ускорения экономического роста. В конечном счете, эффективность инвестиционной деятельности и темпы экономического роста в значительной степени определяются совершенством системы отбора инвестиционных проектов к реализации, адаптацией её к существующим и сменяющимся во времени условиям функционирования экономики. Решения, принимаемые на основе инструментария оценки эффективности инвестиционных проектов, затрагивают не только интересы фирм, но и национальные интересы, поскольку совокупность частых решений в конечном итоге формирует облик и характеристики производительных сил страны. Как отмечает Э.С. Набиуллина, «проводимая сегодня политика и те решения, которые принимаются, закладывают будущее российской экономики на 10-15 лет вперёд. От того, с какой эффективностью сработаем сейчас, зависят позиции нашей экономики в мире, и в частности то, сможет ли Россия стать к 2020г. одним из лидеров мирового процесса и инновационно-экономического развития, страной с привлекательным образом жизни и высокой конкурентоспособностью».

Внедрение нововведений во всех сферах экономической деятельности хозяйствующих субъектов, модернизация и технологическое перевооружение предприятий настоятельно требуют совершенствования научно-методического обеспечения определения экономической эффективности инвестиций.

 

Система показателей оценки эффективности инвестиций


Существуют веские основания предположить, что низкая эффективность инвестиционной деятельности в нашей стране в известной мере определяется несовершенством инструментария оценки эффективности инвестиционных проектов.

Таблица 1. Система показателей оценки эффективности инвестиций.


Система показателей оценки эффективности инвестиционных проектов в условиях рынка включает две группы показателей: дисконтированные (ЧДД, ИДД, и ВНД) и простые (рентабельность активов и срок окупаемости инвестиций). При этом приоритетными считают дисконтированные показатели, поскольку расчетный срок их исчисления охватывает весь жизненный цикл инвестиционных проектов и учитывается фактор времени. Важно так же детализировать суть имеющихся проблем в оценке эффективности инвестиций и разработать рекомендации для теории и практики.

Обновление экономической оценки инвестиций предполагает подмену дисконтированных показателей (ЧДД, ИДД, ВНД) и конструирование более действенных показателей эффективности инвестиционной деятельности. При этом решение проблемы повышения эффективности инвестиций нельзя сводить лишь к обновлению метода учёта фактора времени. Её причинами являются и другие существенные недостатки, устранение которых целесообразно выполнить параллельно с совершенствованием методики учёта фактора времени.

Так, набор системообразующих простых показателей представляется недостаточным, не охватывающим типы решаемых на практике задач, а их роль в обосновании эффективности проектов занижена. В целом же существующая система оценки эффективности инвестиций более соответствует понятию набора показателей, а не системы, поскольку часть из них (дисконтированные) обслуживает потребности одних пользователей (инвесторов), а другая часть других (производственников).

Однако ощутимым недостатком существующей системы оценки эффективности инвестиционных проектов, является её настроенность на отбор сравнительно дешёвых проектов. Между тем, в связи с усложнением технологических процессов и ужесточением режима их протекания, позволяющим получать продукцию более высокого качества и снижать расход производственных ресурсов, капиталоёмкость инновационных проектов в развитых странах увеличивается. Растут и удельные капитальные затраты на создание новых и обновление действующих мощностей. В отдельных публикациях отмечается, что рост капиталоёмкости вводимых мощностей «вписывается в общемировую тенденцию».

Чтобы уяснить суть трудностей отбора к реализации инновационных проектов, рассмотрим пример из практики обоснований эффективности инвестиций, анализ результатов которых, с одной стороны, покажет преимущества применения рекомендуемого метода учёта фактора времени, а с другой - поможет выявить новые проблемные вопросы оценки инвестиций.

В таблице 2 показаны показатели технического перевооружения предприятия по двум инвестиционным проектам, в процессе которого предполагается заменить изношенную технологическую линию по первому инвестиционному проекту на новейшую, а по второму инвестиционному проекту на модернизированный аналог действующей технологической линии. Срок полезного использования обеих линий - 8 лет, продолжительность технического перевооружения - 1 год.

Таблица 2 Показатели технического перевооружения предприятия по двум инвестиционным проектам.


Собственные накопления для реализации обоих инвестиционных проектов на предприятии имеются. Необходимо выбрать более эффективный из них. Чтобы исключить влияние инфляции, учёт которой усложнил бы оценку влияния фактора времени, принимаем допущение о её отсутствии, которое не противоречит условиям развитого и стабильного рынка.

Как видно из таблицы 2, рентабельность активов выше во 2-м инвестиционном проекте (14,3% против 10,2% в первом инвестиционном проекте). Однако для принятия окончательного решения в пользу инвестиционного проекта - 2 оценку по простому показателю рентабельности активов проекта следует дополнить обоснованиями по дисконтированным показателям. Необходимые для этого дополнительные данные: норма дисконта - 0,08, нереальная в сегодняшних условиях России, но вполне приемлемая в развитых экономиках; расчётный период - 9 лет.

Расчёт чистого дисконтированного дохода показан на таблице 3. Он во втором инвестиционном проекте (34,93 млн.руб.) выше, чем в первом (33,58 млн.руб.). Индекс доходности, другой дисконтированный показатель оценки эффективности, также выше во 2-м инвестиционном проекте (0,54) в сравнении с 1-м (0,30). Таким образом, действующая система показателей эффективности инвестиций однозначно квалифицирует второй инвестиционный проект лучшим, подлежащим отбору к реализации.

Таблица 3 Сравнение результатов оценки эффективности инвестиционного проекта (при депозитной ставке 8% годовых)


С другой стороны, без учёта фактора времени интегральная чистая прибыль составляет: ЧД1 = 12,2 х 8 = 97,6 млн.руб., ЧД2= 10 x 8 = 80 млн.руб. Приоритеты изменились: лучшим является первый инвестиционный проект.

В экспертной оценке преимущества 1-го инвестиционного проекта тоже велики и выражаются в его инновационности, большей годовой прибыли и возможности её приумножить на финансовом рынке, большей рентабельности выручки в фазе эксплуатации объекта. Реализация его гарантирует повышение конкурентоспособности производства и продукции предприятия. Но все эти преимущества обесцениваются показателями эффективности действующей системы, в отношении которых большие сомнения вызывают результаты учёта фактора времени посредством дисконтирования. Расчёты с учётом фактора времени по предлагаемой методике эти сомнения устраняют: доход 1-го инвестиционного проекта гораздо больше.

И всё же приходится констатировать, что окончательной ясности по вопросу, какой инвестиционный проект эффективней, не получено. Значения приведенных в ней показателей рассчитаны по данным таблицам 2 и 3.

Таблица 4 Показатели эффективности двух инвестиционных проектов.


Если принимать во внимание итоги сравнения по ЧДВ, то 1-й инвестиционный проект является безусловно лучшим. Однако ЧДВ, как и его аналог ЧДД, не является показателем эффективности, поскольку не показывает отдачу на 1 руб. затрат. Индекс дисконтированного дохода инвестиций выше во 2-м проекте. Оценки же по простым показателям рентабельности противоположны: по рентабельности активов лучшим является 2-й, по рентабельности выручки - 1-й инвестиционный проект. В теории эффективности капиталовложений примат показателей ИДД и рентабельности активов незыблем. Поэтому лучшим является 2-й инвестиционный проект. Однако ряд соображений вызывает сомнения.

Проведём укрупнение и упрощение структуры показателя индекс дисконтированной доходности, являющегося аналогом простого показателя рентабельности активов, с целью выявления его экономической ёмкости и информативности.


Очевидно, удаление от ИДД фактора времени показывает незначительное отношение прибыли к амортизации. Если же учесть, что доля амортизации в структуре затрат на производство продукции в экономике ~ 5,5% (а = 0,055С), то «очищенное» значение ИДД приобретает количественную определённость: ИДД = П / 0,055С.

Показатель рентабельности активов, если в числителе его учитывать не годовую, а интегральную чистую прибыль за срок полезного использования активов, приобретает то же выражение.

Трудно поверить, что лучшим из сравниваемых инвестиционных проектов является тот, в котором достигается максимум прибыли на ед. амортизации. Возникает вопрос, почему результат инвестиционного проекта при оценке его эффективности соотносят с 5,5% общих затрат, а не со стоимостью всего комплекса производственных ресурсов; рационально ли сопоставлять результаты инвестиционного проекта с единовременными затратами или правильнее в качестве затрат принимать стоимость продукции, которая охватывает потоки текущего расхода и привлечения всего комплекса производственных ресурсов, в 20 раз превосходящие инвестиции, оценивать инвестиционный проект по рентабельности выручки.

Система показателей оценки эффективности инвестиционного проекта, таким образом, нуждается в трансформации не только в связи с новым подходом к учёту фактора времени, уточнением состава показателей, уяснением их сущности, соответствия категории эффективности и приоритетов, но и пока в связи с уточнением объёма затрат инвестиционного проекта при оценке их эффективности.

Проектирование подсистемы простых показателей. Оценки по ним базируются на локальных интервалах времени, как правило, годовых. Они лучше адаптированы к динамичным условиям экономической среды переходного периода, являются неотъемлемой частью системы отбора эффективных инвестиционных проектов и в условиях стабильного рынка. Из двух общеупотребимых показателей этой группы безусловно системообразующим является показатель рентабельности активов инвестиционного проекта. Он мог бы служить надежным ориентиром выбора эффективных инвестиционных проектов, если бы существовала обоснованная методическая база установления норматива рентабельности активов, дифференцированного соответственно целями и уровню экономических обоснований по своей величине для экономики, её отраслям, подотраслям и видам производств.

Существующее положение объясняется сложившимся в теории принижением возможностей простых показателей как инструментов оценки эффективности инвестиционных проектов, мотивируемое невозможностью при их использовании определить динамику движения денежных потоков на всем протяжении расчётного периода, выявляемую инфляцией, методом амортизации основных средств, нейтральностью к учёту фактора времени, трудностью выбора репрезентативного момента оценки в фазе эксплуатации объекта. Между тем, с учётом непосредственной соизмеримости показателей рентабельности активов инвестиционного проекта и рентабельности действующего производства, он является удобным и надёжным оценочным показателем, по крайней мере, на первом этапе анализа эффективности инвестиционных проектов.

 

Простые показатели и сферы их применения

эффективность инвестиция математический

Срок окупаемости - менее информативный показатель. Он рассчитывается при очень условном допущении, что возмещение затрат на инвестиционный проект достигается только прибылью и, кроме того, является лишь обратным показателем рентабельности активов. Замена срока окупаемости показателем периода возмещения инвестиций усилило бы систему, поскольку новый показатель определяет отрезок времени, в течение которого проект работает «на себя», возмещая понесенные капитальные затраты не только прибылью, но и амортизационными отчислениями:

К = (П1 + а1) + (П2 + а2) + ... + (ПТв + аТв) (2)

где, П - годовая чистая прибыль;

а - годовые амортизационные отчисления;

Тв - период возмещения капиталовложений.

Этот показатель не является в чистом виде измерителем эффективности, но оказывается востребованным при обосновании и заключении лизинговых сделок, получении кредита.

В системе рыночных оценочных показателей инвестиций отсутствует применявшийся в советской экономике показатель сравнительной эффективности. Мотивы для включения его в систему сводятся к следующему.

В своем фундаментальном труде "Проблемы измерения затрат и результатов при оптимальном планировании" (1977г.) В. В. Новожилов показал удивительное свойство модели "дифференциальных затрат" являться инструментом оптимального распределения любого дефицитного ресурса по конкурирующим вариантам его использования. Поэтому, когда разрабатываются программы федерально-муниципального уровня или программы коммерческих структур, предполагающие массовую реализацию какого-либо мероприятия, выбор проекта из возможных альтернатив, обеспечивающего наиболее выгодное использование выделяемых на эту цель средств, можно осуществить с помощью этого показателя.

Другими сферами применения этого показателя являются решение экологических задач, задач благоустройства территорий жилищного сектора и др. Объединяющим эти и аналогичные им задачи фактором является бесприбыльность реализуемых мероприятий и жесткое лимитирование капиталовложений, а также необходимость соответствия инвестиционных проектов действующим стандартам и техническим условиям. Ни один из показателей рыночной системы в подобных ситуациях не «работает».

Рассмотрение состава простых показателей системы оценки эффективности инвестиционных проектов можно завершить рассмотрением вопроса о том, насколько существующий инструментарий этой системы соответствует целям инвестирования, и насколько он точно отражает меру достижения этой цели?

Как известно, конечной целью инвестиций является повышение эффективности хозяйственной деятельности предприятий путем их технического перевооружения, реконструкции, расширения и нового строительства. Следовательно, важна не столько эффективность использования инвестиций как ресурса, сколько эффективность производства инвестируемого объекта. Теория эффективности инвестиций базируется на посылке о том, что чем выше эффективность каждого рубля вложений в проект, тем лучше. Как показал анализ, подобное допущение справедливо только с точки зрения ростовщика.

Экономические интересы при реализации инвестиционных проектов для их участников не однозначны. С точки зрения инвестора стоящие перед ним проблемы ограничиваются получением рыночных процентов за ссуженный капитал и гарантией возврата ссуды. Поскольку его товаром являются инвестиции, критерием эффективности сделки для него является гарантия получения среднерыночного дохода на вложенные в проект средства. Выражением этого интереса является превышение рентабельности активов инвестиционного проекта нормы прибыли финансового рынка. Во всех случаях, когда проект реализуется для «себя», проблему оценки его эффективности решать таким образом не корректно.

С точки зрения предприятия и предпринимателя тоже важно, чтобы стоимость реализации инвестиционного проекта была меньшей, а рентабельность активов возможно большей. Однако еще важнее, чтобы в процессе функционирования создаваемый объект обеспечил максимальное ресурсосбережение и не только производственных фондов, но и предметов труда, и самого труда. Оптимальные оценки и определение эффективного проекта с их позиций подразумевают нахождение наиболее рационального сочетания примененных и расходуемых ресурсов в проекте. Это достижимо лишь с помощью обобщающего показателя экономической эффективности. Сказанное ещё раз, но уже с другой стороны, убеждает в том, что принятая в настоящее время система оценки эффективности инвестиционных проектов отражает только интересы инвесторов, но не в полной мере интересы пользователей инвестициями ,а в конечном счете и государства.

Ориентация на максимизацию получаемого эффекта (ЧДД) или рентабельности активов ИП была бы справедлива, если бы фазой инвестиций последствия принимаемых в отношении реализации проекта решений завершались или если бы единственным ресурсом во всем периоде эксплуатации объекта были производственные фонды, в которые в момент ввода объекта в эксплуатацию обратились инвестиции. При существующем подходе выбор проектов производится только по фондоотдаче, а следовательно, постулируется допущение о том, что будущее предприятие будет функционировать тем эффективней, чем выше его фондоотдача. Однако, как ни важна фондоотдача, она только одна из трех составляющих сводной эффективности хозяйственной деятельности и, не располагая информацией о состоянии двух, оставшихся показателей: материалоотдачи и производительности труда действующего предприятия, принимать какое-либо решение преждевременно.

На практике, при рассмотрении инвестиционного проекта реконструкции может оказаться, что по рентабельности производственных фондов он находится на уровне показателя действующего производства или же превышает его. Однако показатели производительности труда и материалоотдачи проекта ниже существующих на предприятии. В подобной ситуации аналитик имеет формальное право, основываясь на положениях действующей методики оценки эффективности инвестиций, ввиду высокой рентабельности активов ИП рекомендовать его к реализации. Возникающие сомнения в отношении снижения производительности труда и материалоотдачи без применения обобщающего показателя экономической эффективности выразить количественно невозможно.

В полярно противоположной ситуации может оказаться, что рассматриваемый проект реконструкции имеет рентабельность производственных фондов ниже рентабельности действующего производства, но показатели производительности труда и материалоотдачи существенно превышают имеющиеся на действующем производстве. Формально такой проект должен быть отклонен, поскольку при всем желании отстоять его иного способа, как применить обобщающий показатель экономической эффективности, не существует.

Важным обстоятельством является тот факт, что рассмотренные две полярные ситуации являются типовыми. Первая характеризует проект, основанный на хорошо обкатанных и зарекомендовавших себя, зачастую морально устаревших технических решениях. Поэтому он требует сравнительно небольших инвестиций, но и не в состоянии обеспечить экономию труда, материалов и энергии. Вторая ситуация характерна для проектов, в которых предусматривается внедрение высокотехнологичных и автоматизированных линий, аппаратов, установок и т. д. Такие проекты обычно являются носителями технического прогресса. Они обеспечивают рост всех технико-экономических показателей, кроме рентабельности активов. Очевидно, что и в этом случае весь инструментарий системы оценок эффективности инвестиций не пригоден для принятия положительного решения о судьбе проекта.

Лучший инвестиционный проект определяется максимальным значением обобщающего показателя эффективности производства введенного в эксплуатацию объекта. Это обусловило необходимость обращения к проблеме оценки эффективности производства и рассматривать проблему эффективности капиталовложений как подчиненную проблеме эффективности производства.

 

Экономическая эффективность производства


Дискуссия по проблеме обобщающих измерений экономической эффективности производства началась в 1975 г., продолжалась более 10 лет и оказалась беспрецедентной по масштабам. В конечном счете, на обсуждение было вынесено более 100 обобщающих показателей экономической эффективности производства, по-разному выражавших критерий эффективности: отношение результата к затратам. Подавляющая часть авторов была согласна с тем, что в качестве результата хозяйственной деятельности необходимо учитывать национальный доход на уровне народного хозяйства и сфер производства, чистую продукцию на уровне отрасли и прибыль на уровне объединений и предприятий.

Таким образом, обобщающий показатель эффективности предприятия является уже принятым в практике показателем рентабельности продаж, в котором прибыль соотносится с полными затратами - стоимостью продукции.

Для придания зависимости чувствительности к инвестиционным затратам и приведения её в более ясный и удобный вид для инвестиционных расчетов соответствующими преобразованиями получаем:


Таким образом, обобщающий показатель эффективности производства является отношением прибыли к стоимости продукции. Он пока не имеет достаточного применения в отечественной хозяйственной практике и не используется в официальной статистике Росстата. В странах с развитой рыночной экономикой этот показатель широко применяется в значении рентабельности продаж, имея при этом обозначение ROS.

В официальных материалах Росстата приводятся данные по показателю рентабельности проданных товаров, продукции, рассчитываемому как отношение между величиной сальдированного финансового результата от проданных товаров, продукции и себестоимостью проданных товаров, продукции (Рп = СФР x 100% / С). В терминологическом плане рентабельность ROS в российских условиях некорректно называть рентабельностью продаж, поскольку это привело бы к совмещению названий разных показателей. Чтобы не дублировать принятое Росстатом название «рентабельность проданных товаров, продукции », подразумевающее отношение прибыли к себестоимости, рассматриваемый показатель далее будем называть рентабельностью выручки или ROS.

Еще раз подчеркнем основную мысль данного раздела. Инвестиционный проект представляет собой модель будущего предприятия или производства. После реализации проекта эта модель материализуется в действующее предприятие, которое становится носителем технико-экономических показателей, заложенных в проект, в течение всего срока службы. Если настаивать на справедливости выбора лучшего проекта по рентабельности активов, как это предусмотрено всеми известными нам методиками, значит признать, что сводная экономическая эффективность любого производства выражается исключительно показателем рентабельности производственных фондов и что показатели производительности труда и материалоотдачи к формированию сводной эффективности непричастны, носят справочный характер. Некорректность подобного заключения очевидна.

С другой стороны, если сводная эффективность действующего производства выражается обобщающим показателем эффективности, то логично и проект его оценивать с помощью ОЭ. Думается, инвестировать создание малоэффективных и неконкурентоспособных предприятий и производств лишено смысла.

Убедительному объяснению, почему эффективность инвестиционного проекта может быть достоверно измерена отношением его результата к 5,5% общих затрат производства существующая ситуация не поддаётся. Напротив, логичным представляется учёт в качестве затрат показателя эффективности инвестиционного проекта всего комплекса производственных ресурсов. Однако, видение затрат только в себестоимости продукции, не учитывает размер общественно-необходимых затрат, т.е. стоимости продукции. Принимая во внимание, что инвестиции являются фактором, непосредственно формирующим технический уровень производства, а с ним - структуру и величину затрат продукции, прибыль в знаменателе показателя ОЭ, приводящую знаменатель этих формул к стоимости, предложено формировать по нормативу эффективности капиталовложений от их объёма в инвестиционный проект, т.е. по модели производства.

При оценке эффективности инвестиционного проекта обобщающим показателем ОЭ повышенная весомость инвестиций обусловливает включение в знаменатель двух составляющих: традиционно учитываемого перенесения стоимости ОФ по мере их износа в форме амортизации на себестоимость продукции, а также учёт созидательной роли инвестиций в построении ресурсосберегающих технологических процессов в форме норматива прибыли, зависящего от ROАн и объёма инвестиций в инвестиционный проект.

В итоге, можно констатировать, что оценки по ОЭ учитывают разнонаправленное воздействие инвестиций на формирование себестоимости продукции: с одной стороны, через амортизацию, увеличивая её, с другой стороны, благодаря экономии труда, сырья, материалов и энергии в производстве, снижая её. Нормирование размера прибыли в расчётной стоимости продукции ОЭ по нормативу эффективности инвестиций увеличивает весомость инвестиций при обоснованиях их эффективности в несколько раз в сравнении с учётом только их расхода.

 

Математическое вырадение оценки эффективности инвестиций


Теперь, когда показатель обобщающей эффективности производства идентифицирован с показателем рентабельности выручки и обосновано его значение как заглавного показателя в системе оценки эффективности инвестиций, требует решения проблема его математического выражения с учётом фактора времени, дополняемая необходимостью конструирования всей подсистемы показателей с учётом фактора времени.

Проектирование показателей оценки с учётом фактора времени. Проектируемая нами система оценки эффективности инвестиционных проектов призвана стать основой для их отбора к финансированию предприятиями и предпринимателями. С другой стороны, в выигрыше будут и инвесторы, поскольку качество и перспективность инвестиционных предложений существенно возрастут в связи со значительным повышением их эффективности и конкурентоспособности.

Конструирование подсистемы показателей с учётом фактора времени осуществлено на базе элементов ,полученных моделированием денежных потоков инвестиционного проекта с учётом фактора времени по предложенной методике .

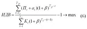
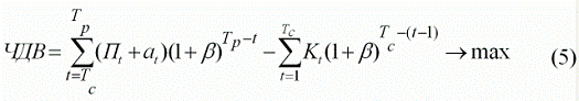
Для удобства изложения и понимания дальнейшего хода исследования воспроизведём уже определённый нами показатель чистого интегрального, который помимо того, что необходим в инвестиционных обоснованиях сам по себе, содержит в своей структуре элементы, необходимые для построения других показателей подсистемы:


Он по своей структуре является аналогом показателя чистого дисконтированного дохода, однако в отличие от ЧДД дает реальное представление о движении и величине дохода по годам создания и эксплуатации предприятия. ЧДВ является основой планирования хозяйственной деятельности предприятия и разработки программ его развития.

Индекс доходности инвестиций представляет собой отношение приведенных по фактору времени чистой интегральной прибыли и инвестиций, выглядит следующим образом:


Он позволяет ранжировать инвестиционные проекты с точки зрения эффективности использования в них инвестиций, а не всего комплекса расходуемых и примененных ресурсов. Приоритеты, определенные с его помощью, вторичны, уступают ранжированию по ОЭВ. Показатели ЧДВ и ИДВ дают важную информацию об инвестиционных проектах инвесторам - владельцам инвестиционных ресурсов.

Обобщающий показатель эффективности производства с использованием его исходного выражения для годовых измерений после преобразования знаменателя в выражение: З + (а + ROAнК) - приобретает вид:


где Зt - годовые текущие затраты без амортизации.

В числителе ОЭВ - сумма чистой прибыли инвестиционного проекта по годам эксплуатации предприятия с учетом фактора времени, исчисляемая по . В знаменателе - сумма интегральных значений амортизации и норматива прибыли с учетом фактора времени, а также годовых издержек производства без учета фактора времени, поскольку текущие издержки не могут приносить вторичный доход на финансовом рынке.

Показатель ОЭВ является заглавным во всей системе, поскольку учитывает: интегральные результаты расхода и применения всего комплекса ресурсов, а не только инвестиций; оценку в течении всего цикла жизнедеятельности предприятия, а не на локальном его отрезке; влияние фактора времени. По изменению его величины судят о приемлемости или неприемлемости инвестиционного проекта. Аналога этого показателя среди ныне применяемых нет.

Таким образом, в группу показателей с учетом фактора времени входят три показателя: ОЭВ, ЧДВ, ИДВ. Эти сокращения образованы ключевыми понятиями их полных названий. Последний символ "В" обозначает учет фактора времени.

Хотя достигнутое совершенствование метода учёта фактора времени позволяет при оценке эффективности инвестиционных проектов в условиях переходной экономики преодолеть ряд недостатков метода дисконтирования, рекомендовать его к практическому использованию в настоящее время нецелесообразно. Характерные для переходной экономики неопределённость экономической среды и связанная с ней недостоверность прогнозирования динамики денежных потоков инвестиционного проекта в интервале 5-10-15 лет обусловливают неприемлемость в принципе использования для оценки эффективности инвестиционных проектов интегральных показателей и тем более с учётом фактора времени, множащим неточности прогнозирования этой динамики.

 

Системы оценочных показателей эффективности инвестиционных проектов


На очевидный вопрос, каковы те условия, которые будут означать преодоление переходного периода и становление стабильной рыночной экономики в РФ, а, следовательно, возможность применения принятой в мировой практике системы оценочных показателей эффективности инвестиционных проектов, включающей группу интегральных показателей с учётом фактора времени? Показателями зрелости и стабильности рыночной экономики являются:

а) низкие темпы инфляции: в Японии -1,2%, в США + 1,5-2,5%, Евросоюзе + 1,9% (для сравнения в Российской Федерации в 2007г. + 11,9%.).

б) недорогой кредит. Годовая процентная ставка London Interbank Offered Rate (LIBOR), принятая на Лондонском рынке банками первой категории для оплаты их взаимных кредитов в различных видах валют и на различные сроки, а также как процент по годовым Еврокредитам, освобожденная от инфляционной составляющей, составляет 4-6%.

В России в 2008г. ставка рефинансирования Центробанка, определяющая начальный уровень исчисления процентов за кредит - 11%. На этом направлении предстоит ожидать тоже не скорых результатов.

в) снижение в России рисков инвестиционной деятельности. Предстоит создание эффективной системы страхования инвестиционных рисков, в том числе иностранных инвесторов.

г) становление мощной финансовой системы. Финансовые ресурсы всех коммерческих банков РФ меньше каждого из трех ведущих коммерческих банков Японии, США, Германии.

В итоге решения перечисленных проблем придет стабильность экономической среды, экономика станет предсказуемой и прогнозируемой. Сколько времени на это потребуется, предвидеть сложно. Многое зависит от благоприятного или неблагоприятного формирования внутренних и внешних макроэкономических факторов и политической расстановки сил в России и мире.

Показатели, приведенные по тексту в процессе, исследования методов оценки эффективности инвестиций и специфики её измерения в условиях переходной и развитой экономики, показаны в таблице 5.

Таблица 5. Рекомендуемая система показателей оценки эффективности инвестиционных проектов.



Заключение


В заключении следует отметить, что из пяти показателей, образующих ныне действующую систему оценки эффективности инвестиционных проектов, в рекомендуемую систему вошел только один - показатель рентабельности активов инвестиционного проекта. Состав системы оценки эффективности инвестиций расширен с пяти до семи показателей. Оценка эффективности сравниваемых инвестиционных проектов по рекомендуемой системе показателей позволяет сделать однозначный вывод о преимуществе первого инвестиционного проекта. Подобное заключение невозможно при использовании принятого инструментария обоснований эффективности инвестиций.

Классификационными признаками показателей системы определены: оценка эффективности инвестиционных проектов с учетом и без учета фактора времени; переходная и развитая рыночная экономика; обобщающие показатели эффективности производства и показатели эффективности инвестиций.

В целом, отличие в методологическом плане показателей оценки эффективности инвестиционных проектов рекомендуемой системы от действующей заключается не только в новой концепции учета фактора времени, но и в ориентации оценок эффективности инвестиционных проектов на конечные результаты воспроизводства, а не на промежуточные результаты инвестиционной деятельности в разделении условий и адекватных этим условиям показателей для переходной и развитой рыночной экономики; в учёте различия экономических интересов при выборе инвестиционных проектов предприятий , а также инвесторов и связанной с этими различиями ориентацией системы оценочных показателей на обслуживание нужд реального производства.

Практическое использование рекомендуемой системы показателей требует решения проблемы обоснования нормативов эффективности ROS, ROA и β, применяемых в расчётах по отбору инвестиционных проектов к реализации.

Существующий инструментарий оценки эффективности инвестиций недостаточно способствует развитию экономики .В специфических условиях переходной экономики его применение приводит к неполноценному использованию остродефицитных накоплений предприятий, а в конечном итоге - является тормозом инновационного развития и наращивания темпов экономического роста страны. Важно, чтобы осознание этого, подкреплённое соответствующими мерами, пришло сейчас, а не в будущем, когда всё это окажется запоздалым и станет достоянием лишь теории и истории.

Список литературы


1.       Набиуллина Э.С. Приоритеты деятельности на 2008г. и среднесрочную перспективу // Экономист. - М.2008.№4.С.9.

.        Россия в цифрах. 2008: Крат.стат.сб. / Федеральная служба статистики. - М.2008.

.        Набиуллина Э.С. Приоритеты деятельности на 2008г. и среднесрочную перспективу // Экономист. - М.2008.№4.С.12.

.        Методические рекомендации по оценке эффективности инвестиционных проектов (вторая редакция) / Министерство экономики РФ, Министерство финансов РФ, ГК по строительству, архитект. и жил. политике // Рук.авт.кол.: В.В.Коссов, В.Н.Лившиц, А.Г.Шахназаров. - М.:Экономика. 2000.

.        Дасковский В.Б., Киселёв В.Б. Об оценке эффективности инвестиций // Экономист. - М.2007.№3.

.        Дасковский В.Б., Киселёв В.Б. Фактор времени при оценке эффективности инвестиционных проектов // Экономист. - М.2008.№1.

.        Водянов А., Гаврилова О., Маршова Т. Производственные мощности российской промышленности в контексте задач экономического роста // Российский экономический журнал. - М.2006.№2.С.20.

.        Басовский Л.Е., Басовская Е.Н.- Экономическая оценка инвестиций: Учеб. пособие - ("Высшее образование") (ГРИФ)

.        В. В. Царев - Оценка экономической эффективности инвестиций// Серия: Академия финансов.


Не нашли материал для своей работы?
Поможем написать уникальную работу
Без плагиата!
Без нейросетей!