Основы оценки эффективности инвестиционных вложений

  • Вид работы:
    Дипломная (ВКР)
  • Предмет:
    Эктеория
  • Язык:
    Русский
    ,
    Формат файла:
    MS Word
    291,98 kb
  • Опубликовано:
    2011-12-24
Вы можете узнать стоимость помощи в написании студенческой работы.
Помощь в написании работы, которую точно примут!

Основы оценки эффективности инвестиционных вложений

Содержание

1. Теоретические основы оценки эффективности инвестиционных вложений

1.1 Принципы оценки эффективности

1.2 Оценка эффективности инвестиционного проекта в целом

1.3 Оценка эффективности участия в проекте

1.4 Методы оценки эффективности проектов и показатели оценки

2. Финансово-математические основы экономической оценки инвестиций

2.1 Концепция стоимости денег во времени

2.1.1 Сложные проценты

2.1.2 Влияние инфляции при определении настоящей и будущей стоимости денег

2.2 Оценка стоимости ценных бумаг предприятия и составление графиков возврата долгосрочных кредитов

2.2.1 Оценка стоимости облигаций

2.2.2 Оценка стоимости акций предприятия

2.2.3 Составление графиков возврата долгосрочных кредитов

2.3 Основные критерии эффективности инвестиционного проекта и методы их оценки

2.3.1 Простые показатели инвестиционного анализа

2.3.2 Динамические показатели эффективности инвестиционных вложений

1. Теоретические основы оценки эффективности инвестиционных вложений


Одной из важных причин, останавливающих потенциальных инвесторов, является недостаточно убедительное для них обоснование эффективности даже тех производственных инвестиционных проектов, которые и при имеющемся в стране риске могут принести высокую прибыль, обеспечить необходимую рентабельность вложений.

Проектный анализ является сложной системой и имеет достаточно сложную структуру: временную, субъектную, факторную и т.д. Поэтому его необходимо анализировать на относительно большом промежутке времени, для каждого из участников с учетом многочисленных изменений (в том числе информационных) и в недетерминированных условиях.

Под инвестициями обычно понимают поток вложений средств, отвлеченных с определенной целью от непосредственного потребления. Среди этих вложений выделяют капиталообразующие (реальные) и финансовые инвестиции.

Капиталообразующие инвестиции направляют в основном на поддержание и развитие материального производства и сферы услуг. Они включают: "капитальные вложения (инвестиции в основной капитал), затраты на капитальный ремонт, инвестиции на приобретение земельных участков и объектов природопользования, инвестиции в нематериальные активы (патенты, лицензии, программные продукты, научно-исследовательские и опытно-конструкторские разработки, инвестиции в пополнение запасов материальных оборотных средств и т.д.)". Капиталообразующие инвестиции могут быть направлены на:

новое строительство, или строительство предприятий, зданий, сооружений, осуществляемое на новых площадках и по первоначально утвержденному проекту;

расширение действующего предприятия - строительство вторых и последующих очередей действующего предприятия, дополнительных производственных комплексов и производств, строительство новых либо расширение существующих цехов с целью увеличения производственной мощности;

реконструкция действующего предприятия - осуществление по единому проекту полного или частичного переоборудования и переустройства производств с заменой морально устаревшего и физически изношенного оборудования с целью изменения профиля, выпуска новой продукции;

техническое перевооружение - комплекс мероприятий, направленных на повышение технико-экономического уровня производства отдельных цехов, производств, участков.

Если из общего объема инвестиций, или “Валовых инвестиций” (В), вычесть амортизационные отчисления (А), то полученные “Чистые инвестиции” (Ч) будут представлять собой вложения средств во вновь создаваемые производственные фонды и обновляемый производственный аппарат. При этом возможно возникновение следующих макроэкономических пропорций:

а) Ч < 0, или А > В, что приводит к снижению производственного потенциала, уменьшению объемов продукции и услуг, ухудшению состояния экономики;

б) Ч = 0, или В = А, что свидетельствует об отсутствии экономического роста;

в) Ч > 0, или В > А, обеспечивающее тем самым расширенное воспроизводство, экономический рост за счет роста доходов, темпы которого превышают темпы роста объема чистых инвестиций.

Виды инвестиций принято подразделять на денежные средства, целевые банковские вклады, паи, акции и другие ценные бумаги; движимое и недвижимое имущество; имущественные права, связанные с авторским правом, опытом и другими видами интеллектуальных ценностей; совокупность технических, технологических, коммерческих и иных знаний, оформленных в виде технической документации, навыков и производственного опыта, необходимого для организации того или иного вида производства, но не запатентованного (“ноу-хау”); права пользования землей, водой, ресурсами, домами, сооружениями, оборудованием, а также иные имущественные права и другие ценности.

К финансовым инвестициям относят вложения средств на приобретение ценностей фондового (государственные краткосрочные облигации - ГКО, облигации федерального займа - ОФЗ и др.) и денежного (валюта, депозиты, межбанковские и коммерческие кредиты и др.) рынков.

В рамках иностранных инвестиций обычно выделяют прямые (сделанные юридическими или физическими лицами, полностью владеющими предприятием или контролирующими не менее 10% акций и акционерного капитала предприятия), портфельные (покупка акций, векселей и других долговых ценных бумаг объемом менее 10% в общем акционерном капитале предприятия) и прочие (торговые кредиты, банковские вклады и др.).

Под инвестиционным проектом (ИП) будет пониматься любое мероприятие (предложение), направленное на достижение определенных целей (экономического или внеэкономического характера) и требующее для своей реализации расхода или использования капитальных ресурсов (природных ресурсов, машин, оборудования и т.д.), т.е. капиталообразующих инвестиций.

Инвестиционные проекты могут классифицироваться по ряду признаков:

а) по отношению друг к другу:

независимые, допускающие одновременное и раздельное осуществление, причем характеристики их реализации не влияют друг на друга;

альтернативные (взаимоисключающие), т.е. не допускающие одновременной реализации. Часто, но не всегда это проекты (или их варианты), выполняющие одну и ту же функцию. Из совокупности альтернативных проектов может быть осуществлен только один;

взаимодополняющие, реализация которых может происходить лишь совместно;

б) по срокам реализации (создания и функционирования):

краткосрочные (до 3 лет);

среднесрочные (3-5 лет);

долгосрочные (свыше 5 лет);

в) по масштабам проекта:

глобальные, как правило затрагивающие несколько стран-участниц;

народнохозяйственные, оказывающие влияние на страну в целом или на ее крупные составные части (Сибирь, Центр и Др.);

крупномасштабные, затрагивающие отдельные отрасли, регионы;

локальные, малые, действие которых, по существу, ограничивается рамками фирмы, реализующей проект.

С этой классификацией сильно коррелирует (хотя и не всегда совпадает) деление инвестиционных проектов на общественно значимые и общественно незначимые. Конечно, возможны локальные проекты, имеющие большую общественную значимость. Обратное же маловероятно - трудно придумать нелокальный и при этом общественно незначимый проект;

г) по основной направленности проектов:

коммерческие, главной целью которых является получение прибыли;

социальные, ориентированные на решение проблем безработицы в регионе, снижение криминогенного уровня и т.д.;

экологические, основной составляющей которых является улучшение среды обитания;

прочие.

К важнейшим категориям, связанным с оценкой эффективности инвестиционных проектов, следует отнести:

результаты (экономические и внеэкономические);

затраты (всех видов: единовременные, текущие и т.д.);

эффект, понимаемый далее как разность оценок совокупных результатов и совокупных затрат;

инвестиционное вложение оценка эффективность

эффективность как характеристика соответствия результатов и затрат, их совокупной отдачи;

По отношению к выражению результатов и затрат, все результаты и затраты могут быть разбиты на три группы:

1) допускающие на момент расчета прямую стоимостную оценку (сюда кроме непосредственно уже выраженных в стоимостной форме относятся и такие традиционно учитываемые в расчетах показатели, как среднестатистическая стоимостная оценка жизни людей, их свободного времени и др.);

2) внеэкономические результаты, принципиально допускающие прямую стоимостную оценку, но требующие для этого отсутствующих на момент расчета обоснованных методик;

3) внеэкономические результаты, принципиально не допускающие стоимостной оценки (например, улучшение социальной обстановки в регионе).

Соответственно в расчеты эффективности включается прямая или экспертная стоимостная оценка результатов и затрат первой и второй групп. Оценка результатов третьей группы, выражается в неэкономических показателях, не суммируясь с экономическими оценками, и учитывается на уровне лиц, принимающих решения.

Основные задачи решаемые при оценке эффективности инвестиционных проектов следующие:

Задача А: оценка реализуемости проекта, т.е. проверка удовлетворения всем реально существующим ограничениям технического, экологического, финансового и другого характера. Обычно все ограничения, кроме финансовой реализуемости, проверяются на более ранней стадии формирования проекта (его вариантов).

Задача В: оценка потенциальной целесообразности реализации проекта, его абсолютной эффективности, т.е. проверка условия, согласно которому совокупные результаты по проекту не менее ценны, чем требуемые затраты всех видов.

Задача С: оценка преимуществ рассматриваемого проекта (варианта) по сравнению с альтернативными, т.е. оценка сравнительной эффективности проекта.

Задача D: оценка наиболее эффективной совокупности проектов из заданного их множества. По существу, эта задача является задачей оптимизации и обобщает в определенном смысле три предыдущие. Одновременно она дает возможность выбора наиболее эффективной программы инвестиций. В рамках задачи D может осуществляться к ранжирование проектов (или их совокупностей).

При решении всех этих задач следует учитывать совокупные результаты и затраты. Они определяются суммированием их по видам и по моментам времени в течение всего расчетного периода жизненного цикла проекта, в рамках которого они связаны. Моменты времени - это шаги, с которыми непосредственно и будут связаны соответствующие денежные потоки (притоки и оттоки денег), отвечающие времени получения тех или иных денежных результатов или осуществления тех или иных затрат.

По характеру участия в инвестиционном процессе инвестиции подразделяются на:

прямые, предполагающие непосредственное участие инвестора в выборе объекта инвестирования и вложении средств, при этом инвестор непосредственно вовлечен во все стадии инвестиционного цикла, включая прединвестиционные исследования, проектирование и строительство объекта инвестирования, а также производство конечной продукции;

косвенные, осуществляемые через различного рода финансовых посредников (инвестиционные фонды и компании) аккумулирующих и размещающих по своему усмотрению наиболее эффективным образом финансовые средства.

 

1.1 Принципы оценки эффективности


Основные принципы оценки эффективности ИП могут быть разделены на три структурные группы:

методологические - наиболее общие, относящиеся к концептуальной стороне дела, "философии" оценки и мало зависящие от специфики рассматриваемого проекта (и даже инвариантные относительно характера и конкретного содержания его целей);

методические - непосредственно связанные с проектом, его спецификой, экономической и финансовой привлекательностью;

операциональные - облегчающие процесс оценки с информационно-вычислительной точки зрения.

МЕТОДОЛОГИЧЕСКИЕ ПРИНЦИПЫ

Результативность проекта обычно означает, что эффект его осуществления положителен, т.е. оценка совокупности получаемых результатов превышает затраты, требуемые для реализации проекта. Таким образом, речь идет о выполнении условия абсолютной эффективности проекта. В случае наличия нескольких альтернативных проектов (вариантов проекта) должен осуществляться тот, у которого эффект максимален.

Результаты и затраты должны определяться на основе сопоставления ситуаций "с проектом" и "без проекта", а не сравнения имеющих место характеристик "после проекта" и "до проекта" или игнорирования ситуации "без проекта" вообще.

Адекватность и объективность обусловливают необходимость при оценке результатов и затрат обеспечить правильное отражение структуры и характеристик объекта, применительно к которому разрабатывается проект. При этом нужно стремиться не только опираться на правильные качественные (структурные, функциональные и др.) и количественные показатели объекта, но и учитывать степень их достоверности, объективно присущую будущему неопределенность.

Корректность означает, что используемые методы оценки должны удовлетворять определенным общим формальным требованиям, к числу которых в первую очередь относятся:

а) монотонность: при увеличении результатов и уменьшении затрат оценка проекта (или его варианта) при прочих равных условиях должна повышаться;

б) асимметричность: при сопоставлении двух проектов (вариантов) сравнительная величина преимуществ одного из них должна совпадать с величиной недостатков другого (если Эij - эффект; i-го проекта по сравнению с j-м, то Эij = - Эji

в) транзитивность: если первый проект (вариант) лучше второго, а второй лучше третьего, то первый должен быть лучше третьего (из Эi > Эj и Эj > Эk должно следовать Эik, где Эi, Эj, Эk. - оценки величины эффекта по вариантам i, j и k);

г) желательно и соблюдение свойства аддитивности:

Эik = Эij + Эjk

Системность отражает необходимость учитывать, что проект "вписывается" в сложную социально-экономическую систему, поэтому при его реализации могут иметь место не только внутренние, но и внешние.

Комплексность требует рассматривать процесс реализации инвестиционного проекта и оценки его эффективности (проектный анализ) как достаточно сложный процесс с различными фазами осуществления проекта, стадиями его оценки, аспектами и этапами. Схема проектного анализа приведена ранее, на рис.1. Кроме того, данный принцип предусматривает многоплановость проведения оценки в различных ракурсах. Во-первых, речь идет о необходимости учета затрат и результатов по проекту в течение всего его жизненного цикла (от зарождения до ликвидации); во-вторых, предполагается учет не только экономических (прямых и косвенных), но и внеэкономических (социальных, экологических и др.) последствий реализации проекта внутри его системы объектов и за ее пределами.

Ограниченность ресурсов выражает потребность при оценке эффективности проектов исходить из ограниченности всех видов воспроизводимых и невоспроизводимых ресурсов (экономических благ). Отсюда необходимость учитывать соответствующие платы за их расходование и использование. Это в равной мере относится к ресурсам как однократного, так и многократного пользования, денежным и материализованным.

Величина затрат, по которой оценивается каждый задействованный в проекте ресурс, должна включать в себя и упущенную выгоду, связанную с возможным его альтернативным использованием (opportunity cost). Такой подход носит название альтернативной стоимости ресурса и должен применяться по отношению ко всем видам ресурсов, включая природные, трудовые, финансовые, а также предпринимательские способности. Тем самым результат оценки проекта отразит не бухгалтерский (прибыль), а экономический эффект. Поэтому нулевая оценка получаемого эффекта при реализации проекта свидетельствует не о его бесприбыльности, она означает, что ресурсы здесь "работают" не хуже (но и не лучше), чем в альтернативных вариантах.

Неограниченность потребностей. Этот принцип говорит о том, что имеющиеся ограниченные ресурсы потенциально могут найти эффективное применение, так как общая потребность в ресурсах неограниченна. Поэтому столь важны и постановка, и решение задач наиболее эффективного использования ресурсов, выбора соответствующих проектов. При наличии альтернатив проекты-"кандидаты" должны принадлежать Парето-оптимальному множеству решений: не должно быть других возможностей потребления ресурсов, при которых какие-то цели достигаются в большей степени, а остальные в не меньшей (или, что то же самое, для одних участников ситуация улучшается, а для других при этом не ухудшается).

МЕТОДИЧЕСКИЕ ПРИНЦИПЫ

Специфика проекта и его "окружения" определяет в итоге содержание конкретных показателей эффективности, их структуру, способы их синтеза. Важно также учитывать особенности действующего организационно-экономического механизма, его влияние на оценку эффективности вариантов проекта различными участниками. Поэтому необходимо осуществлять выбор "компромиссного" решения на основе согласования интересов всех участников; естественно, такое решение должно быть среди Парето-оптимальных вариантов.

Наличие нескольких участников инвестиционного процесса предопределяет несовпадение их интересов, разное отношение к приоритетности различных вариантов проекта. Отсюда вытекает необходимость оценки эффективности проекта с позиций каждого участника (государства, фирм, банков и т.д.). Причем не только позиции, но и исходные параметры и методы, а значит, и результаты оценки у них могут быть разными. Вместе с тем в рыночной и переходной экономиках (в отличие от планово - централизованной) приказать инвестору участвовать в проекте нельзя; его участие имеет место лишь тогда, когда проект для него выгоден. Поэтому применительно к проекту приходится рассчитывать различные виды эффективности. Как указано выше в Методических рекомендациях для переходной экономики регламентируется расчет экономической (с позиций общества), коммерческой (с позиций фирм) и бюджетной (с позиций государства) эффективности.

Динамичность процессов, связанных с реализацией проекта, означает, что структура и характеристики входящих в него объектов не остаются постоянными, а варьируются во времени (меняются спрос на продукцию, объемы производства, технологии, ставки налогов). В частности, подвижными являются величины затрат и результатов. Заметное влияние (особенно в переходной экономике) на их динамику оказывают процессы общей и структурной инфляции, для учета которых могут применяться различные методы (в том числе и указанный в Методических рекомендациях комплекс расчетов в постоянных (базисных) и текущих (прогнозных) ценах).

С позиций оценки реализуемости проекта и его эффективности следует исследовать динамику показателей проекта в течение всего жизненного цикла, т.е. определять наличие достаточных финансовых средств для строительства объектов и их функционирования, возможность своевременного погашения кредита и т.д. Таким образом, требуется построить соответствующую систему таблиц, характеризующих данные процессы. Типичным примером является необходимая для экономического и финансового анализа таблица движения наличности (cash flow), no строкам которой указываются все составляющие доходов (включая кредит) и расходов (включая процентные и налоговые платежи, погашение кредита), а по столбцам - последовательные, рассматриваемые в пределах жизненного цикла проекта отрезки времени (годы, кварталы). В клетках матрицы записываются соответствующие денежные оценки результатов и затрат.

Необходимое условие реализуемости проекта - неотрицательность баланса (сальдо) денежных средств для каждого момента времени.

Неравноценность разновременных затрат и результатов имеет место не только из-за инфляции, но и вследствие ненулевой эффективности производства и ряда других причин. При суммировании затрат и результатов за какой-либо период соответствующие величины денежного потока должны быть приведены к сопоставимому виду - к единому моменту времени. Чаще всего за момент приведения принимается либо начало расчетного периода (начало первого шага), и тогда процедура приведения называется дисконтированием (а αt - коэффициентом дисконтирования), либо конец (t = Т), и тогда процедура называется компаундированием.

В стационарных экономиках (в том числе и при отсутствии или относительно небольшом стабильном уровне инфляции) значения а, определяются по формуле сложных процентов, важнейший параметр которой - темп дисконтирования (норма дисконта) - считается во времени постоянным и определяется нормальной эффективностью общественного производства, темпом инфляции и риском проекта. В переходной экономике ввиду резких колебаний темпа инфляции и других причин норма дисконта нестабильна и расчетная формула усложняется. Важно иметь в виду и то, что для разных инвесторов (в силу субъективности оценки ими риска проекта) величина нормы дисконта может быть различной.

Принцип согласованности. При оценке эффективности проекта используемые показатели (и информация) должны согласовываться по ряду условий, в том числе иерархически, по времени, цели, структуре и т.д. Так, по степени структурированности (т.е. по характеру описания альтернатив и предпочтений участников) проекты можно разделить на "хорошо структурированные", "слабо структурированные" и "неструктурированные". В зависимости от этого выбираются формализованные скалярные и векторные, или неформализованные, экспертные критерии и процедуры оценки. Предполагается и учет социальной значимости проектов. В этой связи их можно разделить на "значимые" и "малозначимые". Кроме того, важно обращать внимание на сопоставимость информации (в частности, цен, по которым ведутся расчеты), полноту охвата затрат и результатов, отсутствие повторного счета, согласование расчетов в местной и иностранной валюте и многое другое.

Ограниченная управляемость. В экономике управлять прошлым нельзя (в истории мы как будто научились: хорошие лидеры стали плохими, плохие - хорошими и т.д.), поэтому при оценке эффективности инвестиционных проектов в качестве элементов потока наличности выступают лишь предстоящие притоки и оттоки денег.

Субоптимизация подразумевает предварительную (до оценки проекта) оптимизацию его параметров (технологий, оборудования и т.д.).

Неполнота информации встречается на любых стадиях разработки и оценки проекта и выражается обычно в терминах риска и неопределенности. Здесь же отметим, что такой учет может производиться разными способами: надлежащим подбором технико-экономических параметров проекта и организационно-экономического механизма его реализации, анализом показателей устойчивости проекта, расчетами эффективности проекта при разных условиях его осуществления и специальными методами исчисления интегральных (обобщающих) показателей его эффективности.

Учет структуры капитала. Как правило, используемый в проекте капитал не бывает однородным: обычно часть его - собственный (акционерный), а часть - заемный. Между тем эти виды капитала существенно различаются по ряду характеристик, прежде всего степени риска. Поэтому структура капитала является важным фактором, влияющим на норму дисконта и, следовательно, на оценку проекта.

ОПЕРАЦИОНАЛЬНЫЕ ПРИНЦИПЫ

Моделирование - составление экономико-математической (обычно имитационной или оптимизационной, скалярной или векторной) модели оценки эффективности, учитывающей различные условия осуществления проекта. В простейшем случае это модель прямого счета.

Компьютерная поддержка - формирование базы данных, программного комплекса для слежения за динамикой процессов, проведения многовариантных расчетов и т.д. Этот принцип связан с предыдущим. Большой объем вычислений, обусловленный исследованием модели, практически невыполним без соответствующих программных средств.

Организация интерактивного (диалогового) режима работы системы. Для "проигрывания" различных сценариев, анализа их результатов, уточнения влияния всевозможных факторов и т.д. необходимо осуществлять взаимодействие пользователя и вычислительной системы, позволяющее варьировать в интересующих его пределах исходную информацию, параметры системы и т.д.

Симплификация предполагает выбор среди нескольких эквивалентных методов оценки эффективности наиболее "простого" с информационно-вычислительной точки зрения.

Выбор рациональной формы представления (или измерения). Показатели эффективности обычно измеряются в количественной шкале, т.е. в виде чисел (в то же время для других целей необходимые характеристики могут измеряться и в номинальной или порядковой шкале: номер налогоплательщика, разряд рабочего и др.).

 

1.2 Оценка эффективности инвестиционного проекта в целом


Оценка эффективности инвестиционного проекта состоит из двух этапов: оценки эффективности проекта в целом и эффективности участия в проекте каждого из участников (в дальнейшем для сокращения - "эффективность для каждого участника").

Оценка эффективности инвестиционного проекта в целом обычно производится с общественной и коммерческой позиций, причем оба этих вида эффективности рассматриваются с точки зрения единственного участника.

Оценка общественно значимых проектов начинается с расчета общественной эффективности, которая отражает эффективность проекта для общества.

Необходимость проведения анализа общественной эффективности вытекает из макроэкономической концепции ограниченности ресурсов, в соответствии с которой потребности в обществе безграничны, а доступные в каждый момент времени ресурсы ограниченны. Действительно, в любой стране в любой промежуток времени, располагая определенными ресурсами, можно произвести больше какой-то продукции, но лишь за счет уменьшения выпуска другой. Поэтому приходится выбирать между конкурирующими вариантами использования ресурсов.

Оценить общественную эффективность проекта означает проверить разумность с точки зрения общества выделения ресурсов на осуществление именно этого проекта при наличии альтернатив.

Оценка общественной эффективности наиболее важна для крупномасштабных проектов, существенно затрагивающих экономику страны и влияющих на широкие слои населения. К ним следует отнести, в частности, проекты разработки нефтяных и газовых месторождений, строительства нефтеперерабатывающих заводов, нефтепроводов, крупных металлургических комбинатов, авто - и железнодорожных магистралей и т.п. Однако и для небольших проектов такие оценки представляют интерес в том случае, если предполагается привлечение государственных ресурсов.

Следует отметить, что оценки общественной и коммерческой эффективности имеют между собой определенные сходства и различия. Так, схема оценки в обоих случаях предусматривает сопоставление выгод и затрат проекта. При этом формально используются одни и те же критерии: чистый дисконтированный доход, внутренняя норма доходности, индекс доходности, срок окупаемости. Однако показатели общественной эффективности отражают соотношение выгод и затрат для общества в целом, а показатели коммерческой эффективности - для фирмы-проектоустроителя.

Практические различия между оценкой общественной и коммерческой эффективности сводятся, во-первых, к трактовке налогов, субсидий и дотаций, во-вторых, к используемым в расчетах ценам.

Налоги, субсидии и дотации, при проведении оценки общественной эффективности, рассматриваются как часть трансфертных платежей. При определении коммерческой эффективности их роль совершенно иная. Налоги, которые платит фирма, увеличивают ее затраты на осуществление проекта, а любые предоставляемые фирме субсидии ведут к росту доходов. Так, при уплате предприятием налога на прибыль уменьшается его чистая прибыль, а, следовательно, сокращается поток реальных денег по проекту. В то же время выплата налоговых сумм предприятием не сокращает национальный доход страны, поскольку происходит лишь передача дохода от предприятия государству. Следовательно, этот платеж с позиции экономики в целом не является затратой.

Поэтому при оценке общественной эффективности все трансфертные платежи должны быть исключены из рассмотрения как не отражающие реальных выгод и затрат страны (или нескольких стран, если проект их затрагивает).

Трудности для оценки представляют налоги, входящие в цену, такие, как НДС, акцизы, налог на продажу ГСМ и др. С одной стороны, за ними не стоят реальные материальные потоки, создающие новые ценности, в этом плане они являются типичными трансфертами, и их не следует учитывать. С другой стороны, они в отличие, например, от налогов на прибыль или на имущество не сводятся только к передаче государству части выручки фирмы, а реально увеличивают цену, и поэтому в составе цены их следовало бы учитывать. Пока для условий РФ этот вопрос окончательно не решен.

Цены при расчете коммерческой эффективности либо рыночные, либо назначаемые административно. Чистые выгоды при этом определяются с точки зрения отдельного предприятия или пользователей проекта.

При расчете общественной эффективности (т.е. с точки зрения общества в целом) затраты и выгоды должны оцениваться в специальных ценах, которые носят общепринятое название "экономические" или "теневые". Для их определения из состава рыночных цен исключают все искажения свободного рынка (в частности, влияние монополистов, трансфертные платежи), но при этом учитывают экстерналии и общественные блага

Экстерналии - экономические и внеэкономические последствия, возникающие во внешней среде при производстве товаров и услуг, но не отраженные или отраженные не полностью в их рыночных ценах. Примером экстерналии может служить ухудшение условий ловли рыбы на реке в результате работы расположенного выше по течению металлургического завода.

Общественные блага - некоторые работы, услуги и продукты, потребление которых одним субъектом не препятствует их потреблению другими (скажем, свет маяка, научные знания, защита безопасности границ государства). Поэтому общественные блага являются бесплатными и не участвуют в рыночном обороте.

В нынешних российских условиях плата за землю (и за природные ресурсы) входит в состав трансфертных платежей (налогов). После их исключения стоимость земельных участков, задействованных в том или ином ИП, фактически обнуляется, что, конечно, не соответствует экономической ценности земли. Поэтому при расчете общественной эффективности применяется альтернативная стоимость земли, представляющая собой чистую стоимость продукции, которую потеряли из-за использования данных участков земли в проекте по сравнению с ситуацией "без проекта".

Простейший подход в данном случае заключается в оценке валовой продукции, которая может быть получена с участка по рыночным ценам. Из нее вычитают все издержки производства. Эта разница и будет представлять собой альтернативную стоимость земли, которая принимается в качестве ее экономической оценки. Для большинства проектов нефтегазовой промышленности, осуществляемых в условиях Севера и Сибири, такой подход малоприемлем, так как они реализуются на малонаселенной территории с низкопродуктивным сельским хозяйством. Здесь более важным является учет социальных последствий, например нарушений среды существования и уклада жизни малых народов.

Показатели коммерческой эффективности ИП отражают его эффективность с точки зрения реальной или потенциальной фирмы, полностью реализующей проект за счет собственных средств.

Их расчет основывается на следующих положениях:

используются предусмотренные проектом текущие и прогнозные цены на продукты, услуги и материальные ресурсы;

заработная плата, входящая в состав операционных издержек, принимается в размерах, определенных проектом;

учитываются все налоги, сборы и отчисления, которые предусмотрены существующим законодательством;

если проект предусматривает осуществление нескольких видов операционной деятельности, то учитываются затраты по каждому из них.

Входными формами для расчета коммерческой эффективности обычно бывают отчеты о прибылях и убытках и о движении денежных средств. Дополнительно может рассматриваться прогнозный баланс активов и пассивов по шагам расчета.

Показатели коммерческой эффективности, так же как и общественной, определяются на основании денежных потоков от операционной и инвестиционной деятельности. Денежные потоки от финансовой деятельности в расчет коммерческой эффективности не включаются.

 

1.3 Оценка эффективности участия в проекте


После выбора схемы финансирования проекта необходимо определить эффективность проекта для каждого из участников. Причем участниками проекта могут быть предприятие, реализующее проект, и его акционеры, банки, осуществляющие кредитование проекта, лизинговая компания, предоставляющая оборудование для проекта, и т.д.

Иногда необходимо также оценить его отраслевую (с точки зрения отраслей экономики, холдинговых предприятий, ФПГ и др.) и (или) региональную эффективность (с точки зрения субъектов РФ). Если же проект общественно значим и требует поддержки со стороны федерального или местного бюджета, то следует рассчитать также и бюджетную эффективность.

В каждом из вышеперечисленных случаев в той или иной степени используются схема финансирования проекта, учетная политика предприятия и другие элементы организационно-экономического механизма реализации проекта.

При расчете показателей эффективности участия предприятия (фирмы) в проекте учитываются денежные потоки от всех видов деятельности. В качестве входных форм для расчета обычно используются отчеты о прибылях и убытках, о движении денежных средств, таблицы финансового планирования для оценки финансовой реализуемости проекта, а также таблица прогнозных финансовых показателей.

Методически расчет эффективности участия предприятия в проекте производится аналогично тому, как определялась коммерческая эффективность, но при этом изменяется состав денежных потоков от инвестиционной деятельности и дополнительно учитывается поток от финансовой деятельности.

Для того чтобы выяснить, каковы финансовая отдача на вложенный капитал и финансовые риски, для предприятий-участников необходимо рассчитать такие финансовые показатели, как рентабельность продаж и активов, коэффициенты покрытия долгосрочных обязательств, долгосрочного привлечения заемных средств и текущей ликвидности, промежуточный коэффициент ликвидности.

В случае если расчетами выявлен низкий уровень финансовых показателей проектируемого предприятия, необходимо скорректировать параметры проекта: внести изменения в учетную политику, пересмотреть нормы текущих активов и пассивов, подобрать надлежащим образом размеры отчислений от прибыли в резервный капитал и т.п. Иногда может потребоваться и изменение размеров займа, сроков его получения и графика погашения. Обратим внимание, что все подобные процедуры приводят к формированию другого варианта проекта.

Предприятия - участники проекта обычно входят в состав более широких структур, которые могут подразделяться как по территориальному (региональному) признаку - Российская Федерация, субъекты РФ, административно-территориальные единицы РФ (в этом случае рассчитывается региональная эффективность), так и по отраслевому признаку - отрасли народного хозяйства, финансово-промышленные группы, холдинги и т.д. (в этом случае определяется отраслевая эффективность). В показателях региональной эффективности отражается влияние реализации проекта на предприятия соответствующего субъекта РФ (или их группы), социальную и экологическую обстановку в регионе, доходы и расходы его бюджета. В случае когда в качестве региона рассматривается страна в целом, переходят к показателям народнохозяйственной эффективности.

Показатели региональной эффективности рассчитываются аналогично показателям общественной эффективности, но при этом:

дополнительные эффекты в смежных отраслях народного хозяйства, а также социальные и экологические эффекты (региональные экстерналии) учитываются только в границах данного региона;

стоимостная оценка производимой продукции и потребляемых ресурсов производится с внесением при необходимости региональных корректировок;

учитываются любые денежные поступления из внешней среды в данный регион и платежи из него во внешнюю среду, возникшие в связи с реализацией проекта.

Отраслевая эффективность оценивается аналогично эффективности участия предприятий в проекте. Однако при этом:

учитывается влияние реализации проекта на деятельность других предприятий данной отрасли;

в состав затрат предприятий-участников не включаются отчисления и дивиденды, выплачиваемые ими в отраслевые фонды;

исключаются взаиморасчеты между входящими в отрасль предприятиями-участниками;

не учитываются проценты за кредит, предоставляемые отраслевыми фондами предприятиям-участникам проекта.

Для общественно значимых проектов и проектов, претендующих на различные формы государственной поддержки, необходимо оценить их бюджетную эффективность. В соответствующих показателях отражается влияние результатов осуществления проекта на доходы и расходы бюджетов всех уровней.

Бюджетные поступления, имеющие место в результате реализации проекта, включают притоки от налогов, акцизов, пошлин и сборов, установленных существующим законодательством. Основу расходов бюджета составляют средства, выделяемые для прямого бюджетного финансирования проекта.

При определении бюджетной эффективности учитываются конкретные формы участия бюджетных средств в финансировании инвестиционного проекта. Такие формы могут быть следующими:

предоставление бюджетных ресурсов в виде инвестиционного кредита;

предоставление бюджетных ресурсов на безвозмездной основе;

бюджетные дотации, связанные с проведением определенной ценовой политики и обеспечением соблюдения установленных социальных приоритетов;

налоговые кредиты, заключающиеся в полном или частичном освобождении от некоторых видов налогов на начальных этапах реализации проекта;

государственные (региональные) гарантии инвестиционных рисков.

При оценке бюджетной эффективности проекта принимаются в расчет также изменения доходов и расходов бюджетных средств, обусловленные влиянием проекта на сторонние предприятия и население.

 

1.4 Методы оценки эффективности проектов и показатели оценки


Поиск потенциальных инвесторов является важнейшей самостоятельной задачей.

Для того чтобы убедить потенциальных инвесторов стать реальными, им надо представить аргументированную информацию о том, что проект хорош и непосредственно с коммерческой точки зрения, и по реакции на него "окружения". Поэтому, прежде всего (еще до того, как сформирована конкретная схема финансирования) следует выполнить расчеты для проекта в целом и определить, может ли он претендовать на реализацию. В зависимости от его общественной значимости расчеты на первом этапе производятся по-разному.

Если проект в целом оказывается достаточно хорошим, то от первого этапа, являющегося предварительным, переходят ко второму - основному, когда уже осуществляется проверка фактической эффективности участия в проекте каждого из потенциальных инвесторов, вырабатываются, если это необходимо, варианты возможной схемы финансирования, распределения прибылей и т.д.

Понятно, что компромиссное решение, удовлетворяющее всех участников, в общем случае находится лишь в итеративном процессе согласования их интересов и только при условии, что проект достаточно эффективен (и, следовательно, может быть выгодным для каждого).

Показатели различных видов эффективности относятся к различным экономическим субъектам:

показатели общественной эффективности - к обществу в целом;

показатели коммерческой эффективности проекта - к реальному или абстрактному юридическому или физическому лицу, осуществляющему проект целиком за свой счет;

показатели эффективности участия предприятия в проекте - к этому предприятию;

показатели эффективности инвестирования в акции предприятия - к акционерам предприятий - участников проекта;

показатели эффективности для структур более высокого уровня - к этим структурам;

показатели бюджетной эффективности - к бюджетам всех уровней.

Для оценки эффективности ИП используются следующие основные показатели, определяемые на основе денежных потоков проекта и его участника: чистый доход, чистый дисконтированный доход, внутренняя норма доходности, потребность в дополнительном финансировании, индексы доходности затрат и инвестиций, срок окупаемости.

Чистым доходом (ЧД; Net Value - NV) называется накопленный эффект (сальдо денежного потока) за расчетный период:

ЧД =Sjm

где фm - эффект (сальдо) денежного потока на т-м шаге, а сумма распространяется на все шаги в расчетном периоде.

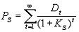
Важнейшим показателем эффективности проекта является чистый дисконтированный доход (ЧДД; интегральный эффект; Net Present Value - NPV) - накопленный дисконтированный эффект за расчетный период. ЧДД зависит от нормы дисконта Е и рассчитывается по формуле:

,

где  - коэффициент дисконтирования.

ЧД и ЧДД характеризуют превышение суммарных денежных поступлений над суммарными затратами для данного проекта соответственно без учета и с учетом неравноценности их разновременности. Их разность (ЧД - ЧДД), которая, как правило, положительна, нередко называют дисконтом проекта, но ее не надо смешивать с нормой дисконта.

Для признания проекта эффективным, с точки зрения инвестора, необходимо, чтобы его ЧДД был положительным; при сравнении альтернативных проектов предпочтение должно отдаваться проекту с большим значением ЧДД (при условии, что он положителен).

Следующий показатель возникает, когда ЧДД проекта рассматривается как функция от нормы дисконта Е.

Внутренней нормой доходности (ВНД, внутренней нормой дисконта; внутренней нормой рентабельности; Internal Rate of Return - IRR) обычно называют такое положительное число К, что при норме дисконта Е = К чистый дисконтированный доход проекта обращается в 0.

Недостаток определенной таким образом ВНД заключается в том, что уравнение ЧДД (Е) = 0 необязательно имеет один положительный корень. Оно может вообще не иметь корней или иметь несколько положительных корней (см. рис.3.4).

Для того чтобы избежать этих трудностей, лучше определять ВНД иначе:

ВНД - это положительное число К такое, что ЧДД:

при норме дисконта Е = К обращается в 0;

при всех Е> К отрицателен;

при всех 0  Е < К положителен.

Для оценки эффективности проекта значение ВНД необходимо сопоставлять с нормой дисконта Е. Проекты, у которых ВНД > Е, имеют положительное ЧДД и поэтому эффективны, а те, у которых ВНД < Е, имеют отрицательное ЧДД и потому неэффективны.

ВНД может быть использована также:

для оценки эффективности проекта, если известны приемлемые значения ВНД (зависящие от области применения) у проектов данного типа;

для оценки степени устойчивости проекта (по разности ВНД-Д);

для установления участниками проекта нормы дисконта Е по данным о внутренней норме доходности альтернативных направлений вложения ими собственных средств.

Вокруг ВНД как показателя эффективности инвестиционных проектов возникло немало легенд. Наиболее распространенная из них та, что ВНД якобы является той максимальной процентной ставкой, под которую можно брать кредиты. На самом деле это утверждение верно лишь при выполнении следующих условий:

депозитная процентная ставка равняется ВНД (или, что то же самое, реинвестирование капитала производится по ставке, равной ВНД);

весь проект осуществляется только за счет заемного капитала;

долг (с процентами) разрешается возвращать в течение всего расчетного периода.

Для оценки эффективности проекта за первые k шагов расчетного периода используются следующие показатели:

текущий чистый доход (накопленное сальдо) за k шагов, определяемый суммой


текущий чистый дисконтированный доход (накопленное дисконтированное сальдо) за k шагов, определяемый суммой


текущая внутренняя норма доходности (текущая ВНД) за k шагов К (k), такая, что при норме дисконта Е = К (k) величина ЧДД (k) обращается в 0, при всех Е > К (k) она отрицательна, при всех Е < К (k) она положительна. Для некоторых проектов текущая ВНД может не существовать. Использовать данный показатель в ситуациях, когда уравнение ЧДД (k) = 0 имеет несколько корней, не рекомендуется.

Сроком окупаемости ("простым" сроком окупаемости; payback period) называется продолжительность наименьшего периода, по истечении которого текущий чистый доход в текущих или дефлированных ценах становится и в дальнейшем остается неотрицательным.

Срок окупаемости в соответствии с заданием на расчет эффективности может исчисляться либо от базового момента времени, либо от начала осуществления инвестиций, либо от момента ввода в эксплуатацию основных фондов создаваемого предприятия. При оценке эффективности он, как правило, выступает только в качестве ограничения.

Сроком окупаемости с учетом дисконтирования называется продолжительность наименьшего периода, по истечении которого текущий чистый дисконтированный доход становится и в дальнейшем остается неотрицательным.

Потребность в дополнительном финансировании (ПФ) - максимальное значение абсолютной величины отрицательного накопленного сальдо от инвестиционной и операционной деятельности (см. ниже). Данный показатель отражает минимальный объем внешнего финансирования проекта, необходимый для обеспечения его финансовой реализуемости. Поэтому ПФ называется еще капиталом риска.

Потребность в дополнительном финансировании с учетом дисконта (ДПФ) - максимальное значение абсолютной величины отрицательного накопленного дисконтированного сальдо от инвестиционной и операционной деятельности (см. ниже). Величина ДПФ показывает минимальный дисконтированный объем внешнего финансирования проекта, необходимый для обеспечения его финансовой реализуемости.

Индексы доходности (profitability indexes) характеризуют (относительную)"отдачу проекта" на вложенные в него средства. Они могут вычисляться как для дисконтированных, так и для недисконтированных денежных потоков. При оценке эффективности часто используются:

индекс доходности затрат - отношение суммы денежных притоков (накопленных поступлений) к сумме денежных оттоков (накопленным затратам);

индекс доходности дисконтированных затрат - отношение суммы дисконтированных денежных притоков к сумме дисконтированных денежных оттоков;

индекс доходности инвестиций (ИД) - увеличенное на единицу отношение ЧД к накопленному объему инвестиций;

индекс доходности дисконтированных инвестиций (ИДД) - увеличенное на единицу отношение ЧДД к накопленному дисконтированному объему инвестиций.

При расчете ИД и ИДД могут учитываться либо все капиталовложения за расчетный период, включая вложения в замещение выбывающих основных фондов, либо только первоначальные капиталовложения, осуществляемые до ввода предприятия в эксплуатацию (соответствующие показатели будут, конечно, иметь различные значения).

Индексы доходности затрат и инвестиций превышают 1, если для этого потока ЧД положителен. Индексы доходности дисконтированных затрат и инвестиций превышают 1, если для этого потока ЧДД положителен.

Для того чтобы проект мог быть признан эффективным, необходимо выполнение какого-нибудь из следующих условий:

. ЧДД (NPV) 0.

2. К = ВНД (IRR)  Е при условии, что Е - единственный положительный корень уравнения ЧДД = 0.

. ИД (PI) 1,0.

4. Срок окупаемости с учетом дисконтирования tок < Т.

При этом если выполнено условие 2, остальные условия также будут выполняться, если же выполнено любое из условий 1, 3, 4, то будут выполнены и другие из этих условий (хотя ВНД проекта может и не существовать).

Основным показателем эффективности проекта является ЧДД (NPV), так как именно он определяет "суммарные доходы" от проекта с учетом неравноценности разновременных затрат и результатов. Необходимое условие эффективности проекта - неотрицательность ЧДД.

Анализ риска

Суть анализа риска состоит в следующем. Вне зависимости от качества допущений, будущее всегда несет в себе элемент неопределенности. Большая часть данных, необходимых, например, для финансового анализа (элементы затрат, цены, объем продаж продукции и т.п.) являются неопределенными. В будущем возможны изменения прогноза как в худшую сторону (снижение прибыли), так и в лучшую. Анализ риска предлагает учет всех изменений, как в сторону ухудшения, так и в сторону улучшения.

В процессе реализации проекта подвержены изменению следующие элементы: стоимость сырья и комплектующих, стоимость капитальных затрат, стоимость обслуживания, стоимость продаж, цены и так далее. В результате выходной параметр, например прибыль, будет случайным. Риск использует понятие вероятностного распределения и вероятности. Например, риск равен вероятности получить отрицательную прибыль, то есть убыток. Чем более широкий диапазон изменения факторов проекта, тем большему риску подвержен проект.

Иногда в процессе анализа риска ограничиваются анализом сценариев, который может быть проведен по следующей схеме.

Выбирают параметры инвестиционного проекта в наибольшей степени неопределенные.

Производят анализ эффективности проекта для предельных значений каждого параметра.

В инвестиционном проекте представляют три сценария:

базовый,

наиболее пессимистичный,

наиболее оптимистичный (необязательно).

Стратегический инвестор обычно делает вывод на основе наиболее пессимистичного сценария.

В заключение отметим, что окончательно инвестиционный проект оформляется в виде бизнес-плана. В этом бизнес-плане, как правило, отражаются все перечисленные выше вопросы. В то же время, структура бизнес-плана не предполагает повторение разделов настоящей главы. Более того, следует однозначно уяснить, что нет строгих стандартов бизнес планирования, которым надлежит следовать “во всех случаях жизни”. Бизнес-план инвестиционного проекта, в первую очередь, должен удовлетворить требованиям того субъекта инвестиционной деятельности, от решения которого зависит дальнейшая судьба проекта.

. Корректность означает, что используемые методы оценки должны удовлетворять определенным общим формальным требованиям, к числу которых в первую очередь относятся:

а) монотонность: при увеличении результатов и уменьшении затрат оценка проекта (или его варианта) при прочих равных условиях должна повышаться;

б) асимметричность: при сопоставлении двух проектов (вариантов) сравнительная величина преимуществ одного из них должна совпадать с величиной недостатков другого

в) транзитивность: если первый проект (вариант) лучше второго, а второй лучше третьего, то первый должен быть лучше третьего

г) желательно и соблюдение свойства аддитивности:

Какому из вышеперечисленных методов относится утверждение Эik = Эij + Эjk, где Эi, Эj, Эk. - оценки величины эффекта по вариантам i, j и k;

Эij - эффект; i-го проекта по сравнению с j-м.

. Какому из методологических принципов подходит определение:

"…. отражает необходимость учитывать, что проект "вписывается" в сложную социально-экономическую систему, поэтому при его реализации могут иметь место не только внутренние, но и внешние".

а) Результативность;

б) Адекватность и объективность;

в) Системность;

г) Комплексность;

д) Корректность.

. Какому из операциональных принципов подходит определение:

"…. - составление экономико-математической (обычно имитационной или оптимизационной, скалярной или векторной) модели оценки эффективности, учитывающей различные условия осуществления проекта".

а) Моделирование

б) Компьютерная поддержка

в) Организация интерактивного (диалогового) режима

г) Симплификация

д) Выбор рациональной формы представления

. Общественные блага это-

а) экономические и внеэкономические последствия, возникающие во внешней среде при производстве товаров и услуг, но не отраженные или отраженные не полностью в их рыночных ценах. Примером экстерналии может служить ухудшение условий ловли рыбы на реке в результате работы расположенного выше по течению металлургического завода.

б) некоторые работы, услуги и продукты, потребление которых одним субъектом не препятствует их потреблению другими (скажем, свет маяка, научные знания, защита безопасности границ государства). Поэтому общественные блага являются бесплатными и не участвуют в рыночном обороте.

. Формула: ЧД =Sjm, где фm - эффект (сальдо) денежного потока на т-м шаге, а сумма распространяется на все шаги в расчетном периоде.

Представляет собой:

а) накопленный эффект (сальдо денежного потока) за расчетный период;

б) накопленный дисконтированный эффект за расчетный период

2. Финансово-математические основы экономической оценки инвестиций

2.1 Концепция стоимости денег во времени


Суть концепции заключается в том, что стоимость денег с течением времени изменяется с учетом нормы прибыльности на денежном рынке и рынке ценных бумаг. В качестве нормы прибыльности выступает норма ссудного процента или норма выплаты дивидендов по обыкновенным и привилегированным акциям.

Учитывая, что инвестирование представляет собой обычно длительный процесс, в инвестиционной практике обычно приходится сравнивать стоимость денег в начале их инвестирования со стоимостью денег при их возврате в виде будущей прибыли. В процессе сравнения стоимости денежных средств при их вложении и возврате принято использовать два основных понятия: настоящая (современная) стоимость денег и будущая стоимость денег.

Будущая стоимость денег представляет собой ту сумму, в которую превратятся инвестированные в настоящий момент денежные средства через определенный период времени с учетом определенной процентной ставки. Определение будущей стоимости денег связано с процессом наращения (compounding) начальной стоимости, который представляет собой поэтапное увеличение вложенной суммы путем присоединения к первоначальному ее размеру суммы процентных платежей. В инвестиционных расчетах процентная ставка платежей применяется не только как инструмент наращения стоимости денежных средств, но и как измеритель степени доходности инвестиционных операций.

Настоящая (современная) стоимость денег представляет собой сумму будущих денежных поступлений, приведенных к настоящему моменту времени с учетом определенной процентной ставки. Определение настоящей стоимости денег связано с процессом дисконтирования (discounting), будущей стоимости, который (процесс) представляет собой операцию обратную наращению. Дисконтирование используется во многих задачах анализа инвестиций.

2.1.1 Сложные проценты

В процессе анализа инвестиционных решений принято использовать сложные проценты. Сложным процентом называется сумма дохода, которая образуется в результате инвестирования денег при условии, что сумма начисленного простого процента не выплачивается в конце каждого периода, а присоединяется к сумме основного вклада и в следующем платежном периоде сама приносит доход.

Основная формула теории процентов определяет будущую стоимость дене:

,

где P - настоящее значение вложенной суммы денег,- будущее значение стоимости денег,- количество периодов времени, на которое производится вложение,- норма доходности (прибыльности) от вложения.

Простейшим способом эту формулу можно проинтерпретировать, как определение величины депозитного вклада в банк при депозитной ставке r (в долях единицы).

Существо процесса наращения денег не изменяется, если деньги инвестируются в какой-либо бизнес (предприятие). Главное, чтобы вложение денег обеспечивало доход, то есть увеличение вложенной суммы.

Настоящее (современное) значение стоимости определенной будущей суммы денег определяется с помощью формулы

,

которая является простым обращением формулы.

2.1.2 Влияние инфляции при определении настоящей и будущей стоимости денег

В инвестиционной практике постоянно приходится считаться с корректирующим фактором инфляции, которая с течением времени обесценивает стоимость денежных средств. Это связано с тем, что инфляционный рост индекса средних цен вызывает соответствующее снижение покупательной способности денег.

Инфляция - это повышение общего (среднего) уровня цен с течением времени, которое можно описать индексами и темпом (уровнем, нормой). При этом время можно считать как "дискретным" (по шагам расчета), так и непрерывным.

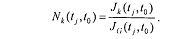
Индекс цены (price index) Jk (t j, t I) на некоторый (k-й) продукт определяется как отношение цены на этот продукт Pkc (tj) в момент t j к его цене Pkc (ti) в момент ti и отражает изменение цен за этот период. Обе эти цены должны выражаться в одних и тех же единицах и в одной и той же валюте, так что индекс цены - величина безразмерная, выражаемая в долях или в процентах. Когда в качестве момента ti берется момент to, принимаемый за начальный, соответствующий индекс цены называется базисным.

Базисный индекс общей инфляции - это индекс цены в итоговой валюте, определенный по некоторой достаточно большой совокупности продуктов. Если состав совокупности продуктов, на основе которого рассчитывался этот индекс, меняется со временем, то он может оказаться нетранзитивным. Но по многим причинам желательно, чтобы индекс общей инфляции был транзитивным (точно или приближенно). Для этого надо принять специальные меры, связанные с выбором основы для его определения.

Наиболее полная характеристика общей инфляции дается дефлятором ВНП (или ВВП), который равен отношению объема валового национального продукта (или валового внутреннего продукта) в ценах на момент t. к соответствующему объему в ценах начального момента времени в итоговой валюте.

Однако дефлятор ВНП (ВВП), строго говоря, нетранзитивен. Поэтому в качестве основы для определения инфляции часто принимается цена "корзины" продуктов, сохраняющей постоянный состав в течение длительного времени.

Индекс инфляции, рассчитанный таким способом, транзитивен: для него формула верна.

От разработчика инвестиционного проекта, как правило, не требуется самостоятельного исследования изменения цен.

Он может пользоваться прогнозами инфляции из тех или иных источников (в первую очередь официальных), экспертными оценками и т.д.

В реальных условиях цены на различные продукты могут повышаться по-разному, т.е. их индексы могут отличаться друг от друга (и от индекса общей инфляции). В этом случае инфляция называется неоднородной (в противном случае - однородной).

Степень неоднородности инфляции в период от момента tо до момента tj может определяться отношениями индексов цен различных продуктов к индексу общей инфляции:

 

Постоянной (равномерной) инфляцией называется инфляция, темп которой не меняется с течением времени.

В инвестиционной практике постоянно приходится считаться с корректирующим фактором инфляции, которая с течением времени обесценивает стоимость денежных средств. Это связано с тем, что инфляционный рост индекса средних цен вызывает соответствующее снижение покупательной способности денег.

При расчетах, связанных с корректировкой денежных потоков в процессе инвестирования с учетом инфляции, принято использовать два основных понятия

номинальная сумма денежных средств,

реальная сумма денежных средств.

Номинальная сумма денежных средств не учитывает изменение покупательной способности денег. Реальная сумма денежных средств - это оценка этой суммы с учетом изменения покупательной способности денег в связи с процессом инфляции.

В финансово-экономических расчетах, связанных с инвестиционной деятельностью, инфляция учитывается в следующих случаях:

при корректировке наращенной стоимости денежных средств,

при формировании ставки процента (с учетом инфляции), используемой для наращения и дисконтирования,

при прогнозе уровня доходов от инвестиций, учитывающих темпы инфляции.

В процессе оценки инфляции используются два основных показателя:

темп инфляции Т, характеризующий прирост среднего уровня цен в рассмотренном периоде, выражаемый десятичной дробью,

индекс инфляции I (изменение индекса потребительских цен), который равен 1+Т.

Корректировка наращенной стоимости с учетом инфляции производится по формуле


где  - реальная будущая стоимость денег, Fn - номинальная будущая стоимость денег с учетом инфляции.

Здесь предполагается, что темп инфляции сохраняется по годам.

Если r - номинальная ставка процента, которая учитывает инфляцию, то расчет реальной суммы денег производится по формуле:

,

то есть номинальная сумма денежных средств снижается в (1+Т) n раза в соответствии со снижением покупательной способности денег.

В общем случае при анализе соотношения номинальной ставки процента с темпом инфляции возможны три случая:= T: наращение реальной стоимости денежных средств не происходит, так как прирост их будущей стоимости ПОГЛОЩАЕТСЯ инфляцией> T: реальная будущая стоимость денежных средств возрастает несмотря на инфляцию< T: реальная будущая стоимость денежных средств снижается, то есть процесс инвестирования становится УБЫТОЧНЫМ.

В общем случае, если rр - реальная процентная ставка прибыльности, а Т - темп инфляции, то номинальная (контрактная) норма прибыльности запишется с помощью формулы


Величина rз + rзT имеет смысл инфляционной премии. Часто можно встретить более простую формулу, которая не учитывает “смешанный эффект” при вычислении инфляционной премии


Эту упрощенную формулу можно использовать только в случае невысоких темпов инфляции, когда смешанный эффект пренебрежимо мал по сравнению с основной компонентой номинальной процентной ставки прибыльности.

Прогнозирование темпов инфляции очень сложный процесс, протекающий на фоне большого количества неопределенностей. Это особенно характерно для стран с неустойчивым экономическим положением. Кроме того, темпы инфляции в отдельные периоды в значительной степени подвержены влиянию субъективных факторов, слабо поддающихся прогнозированию. Поэтому один из наиболее реально значимых подходов может состоять в следующем: стоимость инвестируемых средств и суммы денежных средств, обеспечивающих возврат, пересчитываются из национальной валюты в одну из наиболее устойчивых твердых валют (доллар США, фунт стерлингов Великобритании, немецкие марки). Пересчет осуществляется по биржевому курсу на момент проведения расчетов. Процесс наращения и дисконтирования производится в данном случае не принимая во внимание инфляцию. Конкретная процентная ставка определяется исходя из источника инвестирования. Например, при инвестировании за счет кредитов коммерческого банка в качестве показателя дисконта принимается процентная ставка валютного кредита этого банка.

В "налоговом приближении" влияние инфляции зависит не от ее величины (индекса общей инфляции), а от степени неоднородности инфляции и от индекса внутренней инфляции иностранной валюты (который также характеризует неоднородность).

Как правило, всякое предприятие имеет оба этих вида задолженности. Дебиторская задолженность (задолженность продавцу) возникает из-за задержки оплаты продукции данного предприятия, кредиторская (задолженность покупателю) - из-за задержки оплаты этим предприятием используемых им ресурсов (продукции своих поставщиков). Относительный вес дебиторской и кредиторской задолженностей различен для предприятий разного типа.

Влияние инфляции на дебиторскую задолженность проявляется в ее воздействии на момент оплаты продукции предприятию. Деньги уже обесценятся (в тем большей степени, чем выше ее уровень), что приведет к уменьшению притока денег в дефлированных ценах.

Кроме того, расчет показывает, что в отличие от долгосрочного краткосрочное влияние инфляции зависит помимо неоднородности и от величины индекса общей инфляции.

Влияние инфляции на кредиторскую задолженность тоже зависит как от неоднородности, так и от индекса общей инфляции и приводит к увеличению ЧДД. Это становится совсем очевидным, если вместо продукции взять ресурсы, стоимость которых входит не в денежные притоки, а в денежные оттоки (берется со знаком "минус"), уменьшение которых увеличивает ЧДД.

Таким образом, можно сделать следующий вывод:

Краткосрочное влияние инфляции на дебиторскую и кредиторскую задолженности обусловлено не только ее неоднородностью, но и индексом общей инфляции. Рост этого индекса увеличивает и дебиторскую, и кредиторскую задолженности, но первая уменьшает ЧДД, а вторая повышает его. Совокупное краткосрочное влияние инфляции на эффективность ИП зависит от того, какая из задолженностей - дебиторская или кредиторская - играет для него определяющую роль. В большинстве проектов производства превалирует дебиторская задолженность. Эффективность этих проектов в результате краткосрочного влияния инфляции снижается. В большинстве проектов торговли важнее кредиторская задолженность. В них краткосрочное влияние инфляции повышает эффективность.

Рассмотрим предварительно несколько определений и положений, относящихся к процентным ставкам.

Номинальная процентная ставка - это процентная ставка, объявляемая (устанавливаемая) кредитором. Она задается в процентах (или долях) в год или в месяц. При выработке схемы кредитования определяются условия выплаты и обслуживания долга и в том числе период начисления процентов по долгу. Если кредитное соглашение предусматривает выплату процентов q один раз в год, то процентную ставку при каждой выплате разные заемщики определяют по-разному: в соответствии с "простыми процентами" или со "сложными процентами".

Наряду с объявленной кредитором номинальной процентной ставкой в расчетах используются эффективная процентная ставка рef и реальная процентная ставка р0.

Эффективная процентная ставка характеризует доход кредитора за счет капитализации процентов, выплачиваемых в течение периода, для которого объявлена номинальная процентная ставка. Если номинальная процентная ставка за год равна ргод (в долях), а выплата процентов по условию займа происходит q раз в год, то при каждой выплате уплачивается процент по ставке ргод/q

Если выплата процента происходит чаще, чем раз в год, то эффективная процентная ставка больше номинальной, и их различие тем больше, чем выше номинальная процентная ставка и чем чаще происходит выплата процентов.

Поскольку мы не рассматриваем влияние инфляции на кредитора, об эффективной ставке больше говорить не будем. Заметим только, что и заемщик может выплачивать проценты по эффективной ставке, если в соответствии с условием договора не отдает их сразу, а капитализирует, т.е. добавляет невыплаченный процент к сумме долга.

Реальная процентная ставка - это процентная ставка в постоянных ценах (при отсутствии инфляции), величина которой обеспечивает такую же доходность от займа, что и номинальная процентная ставка при наличии инфляции.

2.2 Оценка стоимости ценных бумаг предприятия и составление графиков возврата долгосрочных кредитов

2.2.1 Оценка стоимости облигаций

Облигации - это долговые финансовые инструменты, по которым предприятие - эмитент облигаций обязуется производить периодический процентный платеж на годовой или полугодовой основе и погасить номинальную стоимость облигации к назначенному сроку окончания действия облигаций. Купонная облигация имеют следующие характеристики:

номинальную стоимость,

срок до погашения,

процентную ставку,

условия выплаты процентов (периодичность выплат).

Сущность оценки стоимости облигации состоит в том, что в течение срока существования облигации ее владелец должен получить ту же сумму, которую он вложил в облигацию при покупке. Особенность состоит в том, что совокупность платежей, которые должен получить владелец облигации растянута во времени, и следовательно, все будущие денежные потоки необходимо продисконтировать к моменту времени, для которого производится оценка стоимости облигации. В качестве показателя дисконта необходимо принимать доходность аналогичных финансовых инструментов.

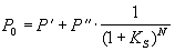
Математическая модель оценки денежной стоимости облигаций основана на дисконтировании денежных потоков, выплачиваемых на протяжении всего срока до погашения. Стоимость облигации в настоящий момент времени равна дисконтированной сумме всех денежных потоков, с ней связанных:

,

 

М - номинальная стоимость облигаций, она же - стоимость в момент погашения;

INT-годовой процентный платеж;

 - доходность на рынке ссудного капитала аналогичных облигаций

(используется в качестве показателя дисконтирования).

В процессе своей деятельности предприятие использует заемные средства, получаемые в виде:

долгосрочного кредита от коммерческих банков и других предприятий,

выпуска облигаций, имеющих заданный срок погашения и номинальную процентную ставку.

В первом случае стоимость заемного капитала равна процентной ставке кредита и определяется путем договорного соглашения между кредиторами и заемщиком в каждом конкретном случае отдельно.

Во втором случае стоимость капитала определяется величиной выплачиваемого по облигации купона или номинальной процентной ставкой облигации, выражаемой в процентах к ее номинальной стоимости. Номинальная стоимость - это цена, которую заплатит компания - эмитент держателю облигации в день ее погашения. Разумеется, что срок, через который облигация будет погашена, указывается при их выпуске.

В момент выпуска облигации обычно продаются по их номинальной стоимости. Следовательно в этом случае стоимость заемного капитала Сd определяется номинальной процентной ставкой облигации iн .

Однако в условиях изменения процентных ставок по ценным бумагам, которое является следствием инфляции и других причин, облигации продаются по цене, не совпадающей с номинальной. Поскольку предприятие - эмитент облигаций должно платить по ним доход, исходя из номинальной процентной ставки и номинальной стоимости акции, реальная доходность облигации изменяется: увеличивается, если рыночная цена облигации падает по сравнению с номинальной, и уменьшается в противном случае.

Для оценки реальной доходности облигации (стоимости заемного капитала) используем модель современной стоимости облигации

,

Для лучшего понимания финансового механизма определения фактической стоимости облигаций и реальной отдачи на них, рассмотрим формулу более детально. Итак, согласно условиям выпуска облигаций фирма - эмитента обязуется каждый год выплачивать процентную выплату INT и номинальную стоимость М по окончанию срока действия облигации, то есть на момент ее погашения. Поэтому формула определяет дисконтированный поток этих выплат. В качестве реальной доходности облигации (или стоимости заемного капитала, основанного на облигациях данного типа) используется конечная доходность облигации, то есть такая процентная ставка, которая позволяет, купив облигацию сейчас по текущей рыночной цене, получать доход на облигацию, объявленный в контракте на ее выпуск, и номинальную стоимость облигации на момент ее погашения.

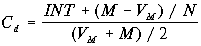
В обозначениях формулы для расчета стоимости заемного капитала Cd используется уравнение:

,

где VМ - текущая рыночная цена облигации,- количество лет, оставшихся до погашения облигации.

Уравнение можно решить лишь приближенно с помощью численных методов на ЭВМ или финансовом калькуляторе. Результат близкий к использованию уравнения дает следующая приближенная формула

.

2.2.2 Оценка стоимости акций предприятия

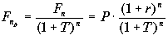
Стоимость собственного капитала - это денежный доход, который хотят получить держатели обыкновенных акций. Различают несколько моделей, каждая из которых базируется на использовании информации, имеющейся в распоряжении того, кто оценивает капитал.

Модель прогнозируемого роста дивидендов. Расчет стоимости собственного капитала основывается на формуле

,

где Се - стоимость собственного капитала, Р - рыночная цена одной акции, D1 - дивиденд, обещанный компанией в первый год реализации инвестиционного проекта, g - прогнозируемый ежегодный рост дивидендов.

Модель прибыли на акцию. Данная модель оценки стоимости собственного капитала базируется на показателе прибыли на акцию, а не на величине дивидендов. Многие инвесторы считают, что именно показатель величины прибыли на акцию отражает реальный доход, получаемый акционерами, независимо от того, выплачивается ли он в виде дивидендов или реинвестируется с тем, чтобы принести инвесторам выгоды в будущем. Инвесторы пристально следят за показателем прибыли на одну акцию, который публикуется в отчетных документах компании, а управляющие компанией стремятся не создавать ситуаций, приводящих к падению этого показателя. Итак, согласно данной модели стоимость собственного капитала определяется по формуле

,

где П - величина прибыли на одну акцию,

Р - рыночная цена одной акции.

Модель премии за риск. Данная модель занимает особое место, так как носит договорной характер. Договор заключается между предприятием и потенциальным инвестором о том, какая должна быть премия за риск вложения капитала. Если Сн - уровень отдачи на вложение денег инвесторам в обычные (номинальные) для него возможности, то стоимость капитала, вложенного в данное предприятие оценивается по формуле:

,

где RP - премия за риск.

В соответствии с принятыми нормами выпуска обыкновенных акций сумма выплачиваемых дивидендов зависит от результатов деятельности предприятия в соответствующем периоде времени, обычно в течение года. Тем не менее оценка стоимости обыкновенных акций предполагает некоторый поток дивидендов, которые при оценке стоимости играют такую же роль, как процентные платежи при оценке облигации. Только в отличие от облигаций этот поток является бесконечным и не предполагается возврата исходной инвестиции.

С учетом всего отмеченного выше оценка стоимости обыкновенной акции осуществляется по формуле

,

где Dt - величина дивиденда, выплачиваемого в t-ом году, Ks - показатель дисконта, с помощью которого осуществляется

приведение дивидендных выплат к настоящему моменту времени.

Проблемы, связанные с оценкой стоимости акций, заключаются в прогнозе дивидендов и в оценке показателя дисконта.

Совершенно очевидно, что предприятие не в состоянии осуществить индивидуальный прогноз дивидендов на всем бесконечном периоде.

Поэтому на практике этот период разбивают на две части, первая из которых составляет несколько лет (обычно не более пяти), в течение которых существует возможность составить более или менее правдоподобный прогноз дивидендных выплат.

Вторая часть - это весь оставшийся бесконечный период времени, для которого делается предположение о том, что

дивиденды сохраняют неизменное значение, равное величине последнего спрогнозированного дивиденда, вошедшего в первый период, или

предполагается некоторый постоянный годовой прирост дивидендов, определяемый величиной процентного роста g.

В дальнейшем оценка стоимости акции - это дело техники дисконтирования спрогнозированной совокупности дивидендов.

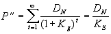
Результирующая формула для оценки стоимости обыкновенных акций может быть записана следующим образом:

,

где  - дисконтированное значение прогнозируемых дивидендов на первом (конечном) промежутке времени продолжительностью N лет,  - дисконтированное значение последующей бесконечной серии дивидендов, приведенное к моменту времени, соответствующему концу N - ого года.

Для расчета первой компоненты необходимо просто продисконтировать все величины дивидендов, спланированные к выплате в течение первых N лет:

.

Расчет второй компоненты для неизменных дивидендов производится по формуле дисконтирования бесконечных дивидендов

.

Если предполагается рост дивидендов с темпом g, то необходимо воспользоваться формулой Гордона, которая является обобщением формулы и имеет для рассматриваемой задачи следующий вид:

.

Задача оценки стоимости обыкновенных акций решается однозначно при известном показателе дисконта. Для конкретного предприятия он определяется с учетом степени рискованности инвестирования в это предприятие. Для определения доходности акций Ks нужно иметь сравнительные данные данного предприятия и фондового рынка в целом. И естественно нужно иметь этот фондовый рынок.

В качестве показателя доходности Ks используется оценка доходности предприятия, наблюдаемая в течение последнего года. Эта доходность определяется с помощью двух компонент:

доходности инвестора, получаемой в виде дивидендов (величина дивиденда, выплаченная за последний год, деленная на рыночную стоимость акции), и

доходность инвестора, связанная с увеличением курсовой стоимости акции (приращение курсовой стоимости акции за год, деленное на курсовую стоимость в начале года).

Сложив приведенные выше компоненты, мы получим доходность акции.

2.2.3 Составление графиков возврата долгосрочных кредитов

В процессе разработки инвестиционных проектов могут привлекаться кредитные ресурсы, которые возвращаются в процессе реализации проекта. Сумма кредита обычно возвращается постепенно в течение его срока. Различают два типа порядка погашения:

периодическими взносами;

"амортизационное" (постепенная выплата равномерными взносами).

Погашение периодическими взносами. При этом способе основную сумму кредита выплачивают на протяжении всего срока кредита. Однако порядок погашения таков, что по окончании срока от суммы кредита остается достаточно значительная доля, подлежащая погашению.

"Амортизационное" погашение кредита. При "амортизационном" погашении основную сумму кредита выплачивают постепенно на протяжении срока кредита. Платежи осуществляют равными суммами регулярно (как правило, ежемесячно, ежеквартально или раз в полгода), и они включают определенную часть суммы кредита и процент. Вместе с последним взносом сумму кредита погашают. Этот принцип используют при ипотечном кредите. Многие западные кредитные инвесторы используют эту схему в качестве базового графика возврата долга предприятием-заемщиком.

2.3 Основные критерии эффективности инвестиционного проекта и методы их оценки


Международная практика оценки эффективности инвестиций существенно базируется на концепции временной стоимости денег и основана на следующих принципах:

Оценка эффективности использования инвестируемого капитала производится путем сопоставления денежного потока (cash flow), который формируется в процессе реализации инвестиционного проекта и исходной инвестиции. Проект признается эффективным, если обеспечивается возврат исходной суммы инвестиций и требуемая доходность для инвесторов, предоставивших капитал.

Инвестируемый капитал равно как и денежный поток приводится к настоящему времени или к определенному расчетному году (который как правило предшествует началу реализации проекта).

Процесс дисконтирования капитальных вложений и денежных потоков производится по различным ставкам дисконта, которые определяются в зависимости от особенностей инвестиционных проектов. При определении ставки дисконта учитываются структура инвестиций и стоимость отдельных составляющих капитала.

Исходные инвестиции при реализации какого-либо проекта генерируют денежный поток CF1, CF2,., CFn. Инвестиции признаются эффективными, если этот поток достаточен для

возврата исходной суммы капитальных вложений и

обеспечения требуемой отдачи на вложенный капитал.

С точки зрения расчета показателей экономической эффективности инвестиционный проект представляет собой объект финансовой операции, связанной с распределенными во времени поступлениями и затратами денег, т.е. денежными потоками.

Практически денежный поток чаще всего описывается таблицей, в которой для каждого временного интервала (шага расчета) помещается свой элемент денежного потока (разность между поступлениями и затратами).

Примером изображения одного из денежных потоков может служить табл.

Таблица

Номер шага

0

1

2

3

4

5

6

7

Элемент денежного потока

-100

10

50

20

-30

40

80

-10

 (млн. руб.)

 

 

 

 

 

 

 

 


Каждому виду эффективности (общественной, коммерческой, для каждого участника и др.) соответствуют свои денежные потоки.

Большинство проектов предполагают затраты (инвестиции) в начальный период и получение денежных поступлений в дальнейшем. При этом проект будет финансово реализуем, если для него имеется достаточная сумма (собственных или привлеченных) денег, что можно проверить с помощью следующего условия.

Для финансовой реализуемости ИП достаточно, чтобы на каждом шаге расчета сальдо и накопленное сальдо суммарного денежного потока (суммы потоков от инвестиционной, операционной и финансовой деятельности) было неотрицательным.

Для ИП средства состоят из:

собственных средств фирмы, осуществляющей проект.

внешних по отношению к проекту, так как они не возникают в результате его реализации.

привлеченных заемных средств. Их надо возвращать и платить по ним проценты.

При определении эффективности как проекта в целом, так и собственного капитала должны учитываться средства, которые могут быть розданы по дивидендам, и средства, остающиеся к концу проекта (накопленные амортизационные отчисления). Их максимальная величина на каждом шаге равна сумме чистой прибыли и амортизации. Поэтому максимальный объем внешних по отношению к проекту средств MB (т), который на шаге т может участвовать в проекте, должен "восстанавливать" эту сумму, если она уменьшилась за счет выплат по займам и (или) инвестиционных затрат на этом шаге. Иными словами:


Но поскольку по российским законам допустимо выплачивать долги за счет накопленной амортизации, предыдущее утверждение нуждается в соответствующей поправке, а формула для расчета MB (m) уточняется следующим образом:


В тех случаях, когда объем фактически привлеченных внешних средств ФВ (m), поступивших на шаге т, больше величины MB (m), их разность включается в дополнительные фонды, что, как правило, уменьшает эффективность собственного капитала, но создает денежный резерв, обеспечивая запас устойчивости проекта. В дополнительные фонды могут включаться также и упомянутые ранее средства, предназначенные для компенсации отрицательных значений сальдо суммарного денежного потока или для улучшения показателей эффективности ИП.

Средства дополнительных фондов могут помещаться на депозит или в ценные бумаги (если это предусмотрено проектом). Доходы от этого рассматриваются как часть внереализационных доходов ИП.

Если, не учитывать ограниченность внешних средств, участвующих в проекте, можно получить искаженные (чаще всего завышенные) результаты при оценке его эффективности.

В основе оценки финансовой состоятельности проекта лежит бюджетный подход, т.е. планирование движения денежных средств. Весь срок жизни проекта разбивают на интервалы планирования. Для каждого интервала планирования рассматривают соотношение притоков и оттоков денежных средств. Отрицательное сальдо означает невозможность покрытия расходов в каком-то интервале планирования, фактически несостоятельность проекта.

Оценка финансовой состоятельности базируется на трех основных прогнозных формах, или базовых формах финансовой оценки, именуемых “Отчет о прибыли”, “Отчет о движении денежных средств”, “Балансовый отчет (баланс) ”. Формы корреспондируют друг с другом.

Отчет о прибыли показывает соотношение доходов, получаемых в процессе производственной деятельности предприятия (проекты) в течение какого-либо времени, с расходами, понесенными в тот же период и связанные с полученными доходами. Приведенный ниже отчет о прибыли (табл.2.2) отличается по форме записи от принятого в отечественной практике бухгалтерского учета.

Таблица 2.2. Отчет о прибылях и убытках

Наименование позиций

Шаги расчета (интервалы планирования)

Выручка от реализации





Прямые (переменные) издержки





Валовый доход (маргинальная прибыль)





Накладные расходы (без амортизации)





Проценты за кредит





Амортизационные отчисления





Доходы от прочей реализации и внереализационные доходы





Балансовая прибыль





Налог на прибыль





Чистая прибыль





Дивиденды





Нераспределенная прибыль





То же нарастающим итогом






В России и некоторых других странах состав затрат, включаемых в полную себестоимость, строго регламентирован. Для глубокого анализа проекта необходимо в составе затрат выделить прямые (или переменные) затраты, накладные расходы, выделив среди них амортизационные отчисления и финансовые накладные расходы (или проценты), чтобы обособить их от операционных затрат, т.е. затрат, связанных непосредственно с производственной деятельностью.

Доходы от прочей реализации и внереализационные доходы включают поступления или затраты, не связанные напрямую с основной производственной деятельностью. Это могут быть доходы от продажи неиспользуемого имущества, дивиденды и доходы от долевого участия в других проектах, проценты по ценным бумагам. Наличие таких доходов существенно снижает риски проекта.

В соответствии с законодательством величина налогооблагаемой прибыли может быть уменьшена или увеличена, следовательно, важно показать отдельно все льготы по прибыли (например при ее реинвестицировании). Прибыль может направляться в резервный (или страховой) фонд.

Чистая прибыль является основным внутренним источником собственного капитала.

Величина дивидендов определяется условиями эмиссии акций предприятия. Чистая прибыль за вычетом дивидендов представляет собой нераспределенную прибыль, которая сможет формировать “дополнительный" капитал проекта.

Необходимость подготовки отчета о движении денежных средств обусловлена тем, что:

затраты на реализованную продукцию не всегда относятся к тому интервалу, в котором продукция отгружена покупателю;

в отчете о прибыли не показаны потоки денежных средств, связанные с инвестиционной и финансовой деятельностью.

Деятельность предприятия на три функциональные области: операционную или производственную; инвестиционную; финансовую.

Операционная деятельность отражена в отчете о прибыли и убытках. В разделе отчета о движении денежных средств, посвященном операционной деятельности, учитываются внутренние источники - чистая прибыль и амортизационные отчисления.

В разделе “Чистый поток от инвестиционной деятельности” отражаются платежи за приобретенные активы (источником поступления могут служить доходы от реализации излишних активов). В этом разделе должны быть указаны не только затраты на вновь приобретаемые активы, но и балансовая стоимость имеющихся в собственности предприятия активов на дату начала проекта.

В разделе “Чистый поток от финансовой деятельности” в качестве поступлений учитывают: вклады владельцев предприятия, акционерный капитал, долгосрочные и краткосрочные займы, проценты по вкладам предприятия. В качестве выплат учитывают погашение займов, дивиденды акционерам.

Сумма денежных потоков по всем разделам составляет остаток ликвидных средств за соответствующий период. Чистый денежный поток на конец расчетного периода равен сумме сальдо чистого денежного потока на начало периода и чистого денежного потока за текущий период.

Необходимым условием принятия инвестиционного проекта является положительное сальдо чистого денежного потока в любом временном интервале, где данный участник осуществляет затраты или получает доходы. Отрицательная величина сальдо свидетельствует о необходимости привлечения участником дополнительных собственных или заемных.

Практически датой окупаемости проекта будет считаться день, когда аккумулированная величина чистого денежного потока от производственной деятельности станет равной сумме затрат на инвестиции.

Основными факторами, участвующими в анализе эффективности инвестированного проекта, являются суммарная величина чистого потока от операционной (производственной) деятельности и других доходов (реализация активов, вкладов в другие предприятия), а также величина расходов на инвестиции.

Таблица 2.3. Отчет о движении денежных средств

Наименование позиций

Номер интервала планирования


0

1

2

3

1. Выручка от реализации





2. Внереализационные доходы





3. Переменные издержки





4. Постоянные издержки





5. Амортизационные отчисления





6. Проценты по кредитам





7. Прибыль до вычета налогов





8. Налоги и сборы





9. Чистая прибыль





10. Амортизационные отчисления





11. Чистый поток от операций (Cash Flow от производственной деятельности) (9) + (10) = (11)





12. Поступления от продажи активов





13. Затраты на приобретения основных активов (вложения в основной капитал)





14. Затраты на прирост оборотного капитала





15. Чистый поток от инвестиционной деятельности (15) = (12) + (13) + (14)





16. Собственный капитал (акции, субсидии)





17. Краткосрочные кредиты





18. Долгосрочные кредиты





19. Погашение задолженностей по кредитам





20. Выплаты дивидендов





21. Чистый денежный поток от финансовой деятельности (21) = (16) + (17) + (18) + (19) + (20)





22. Излишек средств





23. Чистый денежный поток - сальдо на начало периода





24. Чистый денежный поток - сальдо на конец периода






Назначение балансового отчета (бухгалтерского баланса) состоит в иллюстрации динамики изменения структуры имущества проекта (активов) и источников его финансирования (пассивов). Появляется возможность расчета показателей ликвидности, платежеспособности, деловой активности, финансовой устойчивости и рентабельности. Балансовый отчет в агрегированной форме представлен в табл.2.4.

Таблица 2.4. Балансовый отчет

Наименование позиций

Номер интервала планирования


1

2

3

4

Постоянные активы: балансовая стоимость





 Износ





Итого остаточная стоимость





Текущие активы: Запасы





 незавершенная продукция





 готовая продукция





 счета к получению





 расходы будущих периодов





 денежные средства





Итого текущих активов





Убытки





Итого активов





Источники собственных средств: акционерный капитал





 нераспределительная прибыль





Итого собственных средств





Долгосрочные пассивы





Текущие пассивы: краткосрочная задолженность





 отчет к оплате





 Авансы





Итого текущих пассивов





Итого пассивов






Построение прогнозного баланса возможно при помощи “метода пробки” основанном на соблюдении равенства активы = акционерный капитал + заемные средства.

Поскольку активы и источники собственных и заемных средств прогнозируются независимо друг от друга, вероятность совпадения актива с пассивом очень мала. Когда рост активов прогнозируется более быстро, чем рост обязательств и собственных средств, отрицательную “пробку" устраняют с помощью дополнительного внешнего финансирования. Когда рост активов прогнозируется более медленно, чем рост пассивов, то избыток денежных средств (положительная “пробка”) ликвидируется отказом от части заимствований.

При подготовке прогнозного баланса определяют величину нормируемых текущих активов (по статьям “Запасы сырья и материалов на складе”, “Незавершенная продукция”, “Готовая продукция”, “Товары”, ”Счета, подлежащие получению”, “Резерв денежных средств”). К нормируемым текущим пассивам можно отнести статьи “Счета, подлежащие оплате”, “Расчеты с бюджетом”, “Расчеты с персоналом”. Остальные составляющие текущих активов и текущих пассивов не подлежат нормированию.

Разница между нормируемыми текущими активами и нормируемыми текущими пассивами представляет собой минимальную потребность в оборотном капитале, определенную условиями финансирования проекта и установленными нормативами оборачиваемости.

Разность между текущими активами и текущими пассивами носит название оборотного капитала (рабочего капитала, функционирующего капитала, чистого оборотного капитала). Увеличение доли нормируемых составляющих в составе оборотного капитала позволит повысить достоверность оценки проекта.

Среди составляющих текущих активов особое внимание обратите на “Расходы будущих периодов”. Расходы, которые на момент составления баланса не могут быть отнесены на финансовые результаты (например, включены в себестоимость продукции), а с другой стороны не могут быть признаны долгосрочными вложениями, т.е. постоянными активами, должны в дальнейшем списываться либо как убыток, либо включаться в стоимость нематериальных активов (полученные патенты, ноу-хау) с последующей их амортизацией.

2.3.1 Простые показатели инвестиционного анализа

Простые методы инвестиционного анализа достаточно широко распространены в силу своей простоты и иллюстративности и используются в основном для быстрой оценки решений на предварительных стадиях разработки. Оперируют статистическими значениями переменных. Не учитывают продолжительность экономического жизненного цикла инвестиций, неравноценность денежных потоков получаемых в разное время.

Период окупаемости (период окупаемости, период возврата, payback period). Окупаемость отражает связь между чистыми инвестициями и ежегодными поступлениями от осуществления инвестиционного решения

 


В результате расчета получают количество лет, необходимых для возмещения первоначально вложенного капитала. Если ожидаемые доходы (поступления) из года в год не постоянные, то период окупаемости определяют суммированием денежных поступлений, ожидаемых в течение ряда лет до тех пор, пока полученная общая сумма не станет равна первоначальным чистым инвестициям.

В российской практике широко применяется и показатель срок окупаемости капитальных вложений. Он отличается тем, что учитывает только первоначальные капитальные вложения в сравнении с прибылью.

Преимущество этого показателя в том, что приращение прибыли на вложенные инвестиции не учитывает ежегодных амортизационных отчислений, которые характеризуют возврат капитальной суммы (инвестиций). При этом приращение чистой прибыли рассматривается как доход на первоначальные инвестиции.

Показатели простой нормы прибыли показывает, какая часть инвестиционных затрат возмещается в виде прибыли в течение одного интервала планирования. Сравнивая расчетную величину простой нормы прибыли с минимальным или средним уровнем доходности, потенциальный инвестор может придти к предварительному выводу о целесообразности продолжения анализа данного решения.

 

Учетная норма прибыли отражает эффективность инвестиций в виде процентного отношения денежных поступлений к сумме первоначальных инвестиций

2.3.2 Динамические показатели эффективности инвестиционных вложений

Чистый дисконтированный доход

Чистый дисконтированный доход, интегральный эффект или Net Present Value, NPV. Определяют дисконтированием (при постоянной ставке процента и отдельно для каждого года) разницы между годовыми оттоками и притоками денег по проекту, накапливаемыми в течение жизни проекта. Эта разница приводится к моменту времени, когда предполагается начало осуществления проекта

,

где СFt - денежный поток в году t, Т - экономический срок жизни инвестиций.

Формулу можно модифицировать, тогда из состава денежного потока выделим капитальные вложения (финансируемые или из уставного капитала, либо из заемных средств) и обозначив их С0, также обозначив через () денежный поток в году t, считая от даты начала инвестиций, подсчитанный без капиталовложений, получим


Таким образом, NPV можно рассматривать и как разницу между отдачей капитала и вложенным капиталом.показывает баланс между результатами и затратами, притоками и оттоками денежных средств:

если NPV > 0 - проект одобряют;

если NPV < 0 - проект отклоняют.

Абсолютное значение NPV зависит от

а) объективно характеризующих инвестиционный процесс параметров;

б) от ставки сравнения.

Отрицательное значение NPV: проект следует отклонить.

Внутренняя норма доходности

Внутренняя норма доходности (ВНД); проверочный дисконт, обозначается IRR (internal rate of return) - норма дисконта, при которой уравновешивается текущая стоимость притоков денежных средств и текущая стоимость их оттоков, образовавшихся в результате реализации инвестиционного проекта.

Если IRR для проекта больше требуемой инвестором отдачи, (минимальной нормы доходности), то проект принимают, если ниже - отклоняют.

Экономический смысл этого показателя: можно принимать инвестиционное решение, уровень доходности которого не ниже цены источника средств для данного проекта. Чаще всего можно увидеть сопоставление со ставкой банковского процента, если проект финансируется за счет банковского кредита.

Процедура расчета не очень сложна и определяется решением уравненият = 0 или

.

При отсутствии финансового калькулятора применяют метод последовательных итераций. Если обозначить NPV =

= r1 + ,

где r1 - значение нормы дисконтирования, при которой f (r1) > 0;2 - значение нормы дисконтирования, при котором f (r2) < 0.

Индекс доходности

Индекс доходности, индекс выгодности, profitability index (PI) называют иногда отношением результата (выгод) - затраты показывают соотношение отдачи капитала и вложенного капитала.

Для реальных инвестиций, длящихся несколько лет

,

где CFt - финансовый итог в году t, подсчитанный без первоначальной инвестиции (если они приходятся на этот год);

(Cо) t - первоначальные инвестиции в году t начиная от даты начала инвестиций;

Если инвестиции разовые, то формула может быть упрощена.

Срок окупаемости инвестиций

Срок окупаемости, период возврата инвестиций (payback period), PP - это период, за который отдача на капитал достигает значения суммы первоначальных инвестиций.

Срок окупаемости определяют без учета фактора времени (статический РР) и с учетом фактора времени (динамический РР). Наиболее точное определение срока окупаемости: срок окупаемости представляет собой теоретически необходимое время для полной компенсации инвестиций дисконтированными доходами, продолжительность периода, в течение которого сумма чистых доходов, дисконтированных на момент завершения инвестиций равна сумме инвестиций.

Если поток доходов неравномерный, расчет ведется суммированием последовательных членов ряда, дисконтированных по ставке r до тех пор пока не будет получена сумма, равная объему инвестиций. Если доход поступает в конец года, то определяется сумма

mm = å CFt*lt,

t=1

причем

m < å (C0) t * lt < Sm+1.

Срок окупаемости есть m плюс некоторая доля года, примерно равная (при линейной зависимости)

å (С0) t * at - Smm+1 * am+1

Для проектов, имеющих распределение доходов в виде упорядоченной последовательности равных платежей (аннуитетов), выплачиваемых в конце года, А, и единовременных вложений в сумме К полный срок окупаемости можно определить из равенства

Со = CF* ,

где CF = А - ежегодный доход, r - ставка дисконтирования, Со - размер первоначальных инвестиций, nок - срок окупаемости.

Основной недостаток данного покупателя: не учитываются денежные потоки, лежащие за пределом срока окупаемости.

Ставка сравнения или пороговое значение рентабельности

Результат оценки инвестиционного решения зависит от ставки дисконтирования (нормы дисконтирования или минимального коэффициента окупаемости, ставки сравнения, порогового значения рентабельности. Согласно зарубежным стандартам, норма дисконта должна быть равна фактической ставке процента по долгосрочным ссудам на рынке капитала или ставке процента, стоимости капитала, которая уплачивается получателем ссуды. Рыночная процентная ставка обычно действует для заемщиков с наилучшими возможностями погашения кредита. В случае ожидания дополнительных рисков, повышающих нормальные инвестиционные риски, финансовые организации, а также частные инвесторы повышают издержки финансирования проекта, добавляя премию на риск “к базовой ставке для покрытия различных рисков”. Упрощенно это выражают формулой

 


Во многих финансовых учебниках за рубежом показывают зависимость категорий инвестиций, уровня риска фирмы и барьерной ставки.

Категории инвестиций

Уровень риска фирмы

Ставка сравнения (барьерная ставка)

Обязательные инвестиции

Нулевой

Не применяется

Снижение себестоимости

Ниже среднего

Ниже стоимости капитала фирмы

Расширение завода

Средний

Равна стоимости капитала

Новые товары

Выше среднего

Выше стоимости капитала

Новые разработки

Наивысшие

Выше стоимости капитала

 

Норма дисконта по существу должна отражать возможную стоимость капитала, соответствующую возможной прибыли инвестора (финансиста), которую он смог бы получить на ту же сумму капитала, вкладывая его в другом месте при условии, что финансовые риски одинаковы для обоих вариантов инвестирования. Иначе, норма дисконта должна являться минимальной допустимой нормой прибыли, минимально привлекательной ставкой доходности (minimum attractive rate of return).

Согласно Методическим рекомендациям при оценке эффективности используют два подхода к определению ставки сравнения:

. Для оценки народнохозяйственной эффективности применяют разделяемый рядом зарубежных специалистов подход, в соответствии с которым норма дисконта должна отражать не только чисто финансовые интересы государства, но и систему предпочтений членов общества по поводу относительной значимости доходов в различные моменты времени, в том числе и с точки зрения социальных и экономических результатов. Эта “социальная норма дисконта” должна устанавливаться государством как специфический социально-экономический норматив, обязательный для оценки проектов, в которых государству предлагается принять участие.

. Для оценки коммерческой эффективности используют подход, при котором каждый хозяйствующий субъект сам оценивает свою индивидуальную (с учетом налогов и риска) норму годового дохода на вложенный капитал с учетом альтернативных и доступных на рынке направлений вложений со сравнимым риском. Корректируя ее с учетом риска, связанного с конкретным объектом, субъект может определять индивидуальную норму дисконта.

Стоимость капитала (cost of capital) - точная или предполагаемая прибыль, необходимая для различных типов финансирования. Общая стоимость капитала есть средняя взвешенная индивидуальных стоимостей.

Средневзвешенная стоимость капитала (weighted average cost of capital, WACC) представляет собой средневзвешенную посленалоговую “цену”, в которую предприятию обходятся собственные и заемные источники финансирования. WACC используют в инвестиционном анализе для дисконтирования денежных потоков при расчете чистой текущей стоимости проектов, для сопоставления с внутренней ставкой рентабельности проектов.


Не нашли материал для своей работы?
Поможем написать уникальную работу
Без плагиата!
Без нейросетей!