Экономика информационных технологий

  • Вид работы:
    Контрольная работа
  • Предмет:
    Эктеория
  • Язык:
    Русский
    ,
    Формат файла:
    MS Word
    310,54 kb
  • Опубликовано:
    2012-01-23
Вы можете узнать стоимость помощи в написании студенческой работы.
Помощь в написании работы, которую точно примут!

Экономика информационных технологий

Министерство образования и науки РФ

Тамбовский государственный технический университет

Кафедра Экономики







Контрольная работа

по дисциплине: Экономика информационных систем

 

 


Выполнила: Студентка гр. СИС-41зу

Житенёва Е.С.

Проверил: Виноградов С.В.







Тамбов 2012

Содержание

 

1.   Охарактеризуйте факторы, влияющие на уровень цен на информационные продукты и услуги

2.   Как оценивается экономическая эффективность использования информационных технологий

.     Как классифицируется продукция и услуги в сетевой экономике

Литература

1. Охарактеризуйте факторы, влияющие на уровень цен на информационные продукты и услуги

Уровень, соотношение и изменение цен на товары зависят от множества факторов, различающихся происхождением, мерой влияния, сферой и временем действия, степенью зависимости от предприятия и др. Некоторые из них действуют только в сферах производства, сбыта, товародвижения, потребления, рекламы либо одновременно в нескольких сферах; отдельные факторы подлежат регулированию предприятием, другие не зависят от него; одни действуют кратковременно, другие - продолжительное время.

Рассмотрим наиболее важные факторы, влияющие на уровень цен. Затраты производства - один из наиболее важных факторов. Конкретная зависимость цен от затрат производства будет различной в условиях разных типов рынка: в условиях монопольного рынка высокий уровень затрат обусловливает высокую (монопольную) цену; в условиях конкурентной среды влияние затрат производства на цену снижается, но возрастает значение снижения затрат для получения прибыли. Затраты производства могут изменяться в результате повышения цен на сырье, комплектующие изделия, энергоносители, тарифов на железнодорожные перевозки, заработной платы, затрат на рекламу и т.п.

На эти изменения предприятия могут реагировать по-разному: переложить повышение затрат производства на потребителя, т.е. повысить цены на продукцию (работы, услуги), что характерно для монополистов; частично компенсировать дополнительные затраты повышением цен или оставлять цены на прежнем уровне, но при этом получать меньшую прибыль, либо искать пути снижения затрат.

Качество продукции (работ, услуг) существенно влияет на уровень цены. Повышение качества товаров (под товаром подразумевается продукт производства или деятельности человека, созданный для удовлетворения каких-либо потребностей через обмен) и производство новых их видов позволяют предприятиям удерживать старые или завоевывать новые рынки сбыта, оставлять на прежнем уровне или повышать цены, увеличивать прибыль. Как правило, повышение качества товара сопровождается дополнительными затратами, связанными с усовершенствованием производства, использованием новых материалов, улучшением качества упаковки и др.

Взаимосвязь качества товара (К), его себестоимости (С) и цены (Ц) иллюстрирует рис. 5.


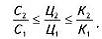
В зависимости от целей товаропроизводителей (см. подразд. 6.3) повышение качества товара либо не скажется на величине получаемой прибыли, либо обусловит ее повышение или снижение. Повышение цены на товар в связи с повышением его качества должно быть приемлемым для потребителя, в противном случае такой товар не будет пользоваться спросом. Для производителя повышение затрат на производство и сбыт будет экономически оправдано только тогда, когда индекс затрат будет меньше или равен индексу цен, т.е.


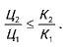
Для потребителя повышение цены должно сопровождаться повышением потребительной стоимости товара, причем индекс цены должен быть меньше или равен индексу качества:


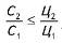
Таким образом, повышение качества товара должно приносить экономическую выгоду как производителю, так и потребителю:


В рыночных условиях повышение качества товаров является фактором, полностью зависящим от товаропроизводителя. Его деятельность в этом направлении может быть различной:

разработка инновационной политики;

перевооружение производства;

обновление сортамента и освоение новых видов товаров;

сертификация и производство конкурентоспособного товара;

получение инвестиций и кредитов, в том числе иностранных;

маркетинговые исследования;

сотрудничество с научными организациями;

подготовка кадров для инженерного сопровождения новых технологий и т.д.

Наиболее общая причина колебания цен лежит в изменении спроса и предложения. Спрос представляет собой форму проявления потребностей, запросов и интересов потребителей на рынке, т.е. массу продукции (работ, услуг), которая может быть куплена на рынке.

Предложение - это форма проявления целей и интересов производителей продукции (работ, услуг), т.е. масса ценностей, созданных для удовлетворения спроса. Эти две категории взаимосвязаны и взаимозависимы. Их взаимозависимость проявляется в ценах. При этом нужно учитывать первичные и вторичные факторы. Если спрос первичный, то его повышение вызовет повышение цены, так как потребитель согласен заплатить любую цену, чтобы удовлетворить свой спрос. Если спрос по каким-либо причинам снижается, это приводит к снижению цены в связи с уменьшением количества желающих купить данный товар. Следовательно, в связке спрос - цена зависимость этих величин прямая: повышение спроса стимулирует повышение цены, и наоборот.

Существует понятие ценовой эластичности спроса. Прямая зависимость спроса и цены характеризует эластичный спрос. Количественная зависимость спроса и цены, исчисляемая как отношение процентного изменения величины спроса к изменению цены на 1%, называется коэффициентом спроса. Если он больше единицы, значит, спрос эластичный. Если цена является аргументом, а спрос - функцией, повышение цены приводит к снижению спроса, потому что уменьшается количество покупателей, способных приобрести данный товар. Таким образом, в связке цена - спрос зависимость этих величин обратная: чем выше цена, тем ниже спрос, и наоборот. Такое положение называется неэластичным спросом (коэффициент эластичности меньше единицы).

Рассмотрим взаимовлияние предложения и цены. Если предложение является аргументом, а цена - функцией, то с повышением предложения какого-либо товара цена на него падает, и наоборот. В этом случае связь между категориями обратная, и предложение рассматривается как неэластичное. Если цена оказывается первичной, а предложение - вторичным, то повышение цены на какой-либо товар побуждает производителя увеличивать объем его выпуска. При снижении цен производство данного товара становится для предпринимателя менее выгодным, и предложение этого товара сокращается.

Таким образом, в связке цена-предложение зависимость между этими категориями прямая, и предложение считается эластичным. Рассмотрим совместное влияние спроса и предложения на цену. Если предложение превышает спрос, то цена будет ниже стоимости товара. При превышении спроса над предложением цена окажется выше стоимости товара. При соответствии спроса и предложения цена будет равна стоимости. Рассмотренное влияние спроса и предложения на цену иллюстрирует рис. 6.


Различное влияние спроса и предложения на цену определяет и их различную динамику. Влияние изменения спроса и предложения на цену графически показано на рис. 7.


При низкой цене на товар спрос будет максимальным, по мере повышения цены спрос будет снижаться. Динамику изменения спроса характеризует линия СD. Максимальная цена будет стимулировать производителей к увеличению объема выпуска товара; предложение будет расти. По мере снижения цены на товар будет сокращаться объем его производства, следовательно, снизится предложение. Линия АВ характеризует изменение предложения.

При определенной цене (Ц1) и количестве товара (В1) интересы производителей и потребителей совпадают, т. е. при этой цене реализуется весь объем предложений и удовлетворяется весь имеющийся спрос. Это состояние называется рыночным равновесием, а цена, уравновешивающая спрос и предложение, - равновесной ценой, или ценой равновесия. Совокупность экономических условий и факторов, формирующих в тот или иной период структуру и динамику спроса и предложения, характеризует рыночная конъюнктура. Важнейшими ее показателями являются динамика цен на товар на данном рынке, количество заключаемых сделок, состояние портфеля заказов и движение запасов.

Различают рыночную конъюнктуру повышательную и высокую, понижательную и низкую. Повышательная рыночная конъюнктура формируется в условиях достаточно устойчивого превышения спроса над предложением, обусловливающего повышение цен и увеличение количества сделок. Высокой рыночной конъюнктуре присущи определенная устойчивость повышенных цен, коммерческая активность субъектов рынка. В этом случае возникают экономические преимущества для продавцов. Такая ситуация характеризуется как рынок продавца.

Для понижательной рыночной конъюнктуры, характерны затоваривание рынка, снижение цен и спад коммерческой активности. Действие этих факторов приводит к низкой рыночной конъюнктуре, создающей экономические выгоды для покупателей. Эта ситуация характерна для рынка покупателей. На изменение цен существенно влияют монополии.

Степень монополизации рынка находится в обратной зависимости от количества продавцов: чем их меньше, тем больше степень монополизации, и наоборот. Монополизм продавцов позволяет назначать высокие цены. Чем выше степень монополизации продавцов, тем выше цены. Монополизм покупателей обусловливает низкие цены. Чем выше степень монополизации покупателей, тем больше тенденция к снижению цен. Монопольные цены могут ограничиваться различными способами. Отметим некоторые из них:

Наличие конкуренции.

Конкуренция бывает производственная и рыночная.

Производственную конкуренцию можно рассматривать как внутриотраслевую (экономическое соперничество между товаропроизводителями, работающими в одной отрасли) и межотраслевую.

Рыночная конкуренция - это конкуренция между продавцами и между покупателями под влиянием соотношения спроса и предложения на тот или иной товар. И та и другая конкуренция может быть ценовой и неценовой.

Ценовая конкуренция отображает соперничество предприятий в положении на рынке, в объемах продаж товаров, в получении прибыли посредством снижения цен на товары без изменения их качества или сокращения затрат производства. Неценовая конкуренция использует разные способы: повышение качества продукции, производство новых ее видов, предоставление различных услуг, условий продажи и др.

Государственное регулирование цен, в частности антимонопольное законодательство.

Цены в большой степени зависят от инфляции - процесса обесценивания денег, вызываемого повышением цен на основные группы реализуемых товаров и услуг. Инфляция сопровождается, как правило, переполнением каналов денежного обращения избыточным количеством денег, не обеспеченных соответствующим увеличением товарной массы или повышением качества, потребительной стоимости товаров (свойства товара удовлетворять какие-либо потребности, т.е. его полезности).

Инфляция приводит к повышению цен и общему падению покупательной способности. Бывают периоды ускоренного увеличения денежной массы в обращении и повышения цен на товары и периоды с относительно умеренным развитием инфляционных процессов. Исходя из этого, различают инфляцию умеренную (ползучую) и ускоренную (галопирующую).

Умеренная инфляция (2-3%) в периоды оживления экономических процессов может отражать здоровое повышение спроса на сырье, материалы, оборудование, рабочую силу и т.д. и является стимулом для расширения производства и незначительного повышения цен на товары. В периоды экономических неурядиц, депрессий и спадов инфляция превращается в разрушительную силу, приводящую к уменьшению объема продаж, в некоторых случаях - к ухудшению качества товаров, появлению дефицита, что в конечном счете обусловливает повышение цен. Инфляция в виде повышения цен охватывает различные товарные группы, отдельные товары и услуги. Поэтому ее влияние на социальные слои населения, различающиеся структурой потребления и удельным весом расходов на товары и услуги, различно.

Публикуемые статистические данные о размере инфляции могут не полностью отражать ее реальные масштабы. Это зависит от методологии подсчета индексов цен потребляемых товаров для различных групп населения. Кроме рассмотренных факторов, влияющих на уровень цен, существуют также другие, которые нужно учитывать при разработке ценовой политики предприятия (фирмы).

К ним относятся:

сезонные колебания цен, характерные для товаров сельскохозяйственного производства (зерна, фруктов, овощей и т.п.) и некоторых промышленных товаров (при создании сезонных запасов сырья, угля, мазута на зимний период);

повышение спроса на отдельные группы товаров перед праздниками (торговля может реагировать на изменение спроса повышением цен с последующим их снижением);

влияние на колебание цен форс-мажорных обстоятельств (засухи, землетрясения, аварий, военных действий, забастовок и т.п.).

К факторам, влияющим на уровень цен, можно отнести и каналы сбыта товаров: чем больше звеньев товародвижения, тем выше цены. Количество звеньев товародвижения в меньшей степени влияет на цену производителя и в большей - на конечную цену товара.

 

2. Как оценивается экономическая эффективность использования информационных технологий

цена спрос информационный экономика

Информационные технологии уже несколько десятилетий рассматриваются в качестве важного рычага повышения производительности, как на уровне отдельной фирмы, так и на уровне экономики в целом. Но это повышение достигается отнюдь не автоматически - высокий риск проектов в сфере ИТ и трудности измерения экономического эффекта, даже если таковой достигнут, являются сегодня общим местом. В результате длительное время считалось, что экономическая эффективность ИТ если и может быть измерена, то лишь на детальных данных отдельно взятой фирмы, и то далеко не в каждом случае. Положение существенно изменилось на рубеже 1990-х - 2000-х гг.

Новый взгляд на ИТ породил как понимание специфических выгод этих технологий, так и новые инструменты измерения экономического эффекта. Однако эти новые инструменты довольно сложны и существенно зависят от институциональной среды, в которой функционируют исследуемые фирмы. Поэтому в российских условиях можно говорить не столько о воспроизведении результатов, полученных в развитых странах, сколько о создании собственного инструментария, учитывающего специфические особенности российских фирм и наличные исходные данные.

Взгляд бизнеса на эффективность ИТ оказался созвучным этим исследованиям. В российских компаниях при обосновании ИТ-проектов в основном применяются подходы, основанные на «лучшей практике», «передовых бизнес-процессах», «нормах расхода на ИТ» как процентах от оборота или от себестоимости и т.д. В неявном виде такие подходы означают отказ от оценки отдачи на вложения в ИТ даже на уровне отдельной фирмы. Редкие исключения, не меняют общих правил, действующих в большинстве российских фирм. Результатом такого подхода стало отношение бизнеса к ИТ как к затратному подразделению, расходы на которое не влияют на конкурентоспособность и прибыльность бизнеса. Как следствие, кризис привел к масштабному сокращению расходов на ИТ.

Напротив, в США в кризисный 2008 г. финансовый сектор в среднем наращивал ИТ-бюджеты. Это может означать, что американские фирмы умеют добиться положительного влияния ИТ на бизнеса, а затем измерить это влияние. Если это так, то резкое сокращение ИТ-бюджетов российских фирм в кризис может оказаться серьезной ошибкой, ведущей к отставанию от конкурентов.

Итак, можно ли измерить экономический эффект информационных технологий? И, если да, почему предшествующие исследования не могли обнаружить этот эффект? Сегодня экономическая наука дает ответ на оба эти вопроса. В основе того и другого ответа лежит понятие «технологии общего назначения». Это - технология, которая не приносит повышения производительности и прибыли сама по себе, но зато стимулирует создание разнообразных технологий, которые, в свою очередь, обеспечивают повышение того и другого.

К отличительным чертам технологии общего назначения относятся:

·  Широкое пространство для улучшений и доработок;

·        Широкий спектр направлений использования;

·        Потенциал для использования в большом количестве продуктов и процессов;

·        Сильная комплементарность по отношению к существующим или потенциально возможным в будущем технологиям.

Пол Дэвид в впервые показал применимость понятия технологии общего назначения к информационным технологиям по аналогии с технологиями производства, передачи и использования электричества. В дальнейшем был проведен целый ряд исследований ИТ как технологии общего назначения, в частности, в работах Т. Бреснаана, также подтвердивших этот взгляд на ИТ.

Это влечет за собой целый ряд следствий для оценки экономической эффективности ИТ:

1. Эффект ИТ надо оценивать с определенным лагом, величина лага должна быть выяснена эмпирически.

2.      Эффект ИТ выше при совместном использовании ряда комплементарных технологий, например, персонального компьютера и интернета.

3.      Эффект ИТ слагается из двух основных компонент: положительные сетевые эффекты и со-изобретение прикладных технологий пользователями и поставщиками. Под со-изобретением понимается внедрение технологии в организацию, происходящее на основе рассеянной информации, вообще говоря, различной для разных организаций. Эта информация включает в себя организационную структуру, бизнес-процессы, требования к квалификации персонала и т.д. и создается в ходе внедрения ИТ. Фирмы, внедряющие технологию позже других, могут имитировать решения фирм, внедривших её ранее, т.е. их издержки со-изобретения ниже.

4.      Информационные технологии можно сгруппировать по масштабу, чем крупнее масштаб применения новой технологии, тем выше роль со-изобретения и тем ниже роль сетевого эффекта. Напротив, чем ближе новая технология к персональному использованию, тем выше роль сетевых эффектов и ниже роль со-изобретения.

Рис. 1. − Зависимость ценности технологии от её масштаба

Данные положения показывают не только где искать экономический эффект от ИТ, но и причины того, почему он не был обнаружен в ранних исследованиях. Прежде всего, эти исследования не учитывали лага между инвестициями в ИТ и началом отдачи от их использования. Между тем, этот лаг обнаруживается во многих работах. Не учитывалась зависимость эффекта ИТ от инвестиций в комплементарные технологии и организационные изменения. Есть и еще один момент, не связанный прямо с технологией общего назначения: ранние работы, как правило, искали корреляцию между прибылью фирмы и инвестициями в ИТ, тогда как при анализе производительности целесообразно использовать аппарат производственных функций, в которых отдельной переменной выделяется компьютерный капитал. Итак, начиная с середины 1990-х гг., взгляд на ИТ как на технологию общего назначения значительно изменил подходы к экономической оценке ИТ, что отразилось во многих эмпирических работах по этой теме.

Первым направлением стал анализ влияния инвестиций в ИТ на производительность фирмы на основе аппарата производственных функций. Обзор работ по данной тематике приведен. Производственная функция включала в качестве параметров труд, компьютерный капитал и прочий капитал (сумма активов фирмы за вычетом компьютерного капитала). В результате оценки регрессионных уравнений были обнаружены значимые положительные коэффициенты при показателе компьютерного капитала. Величина коэффициентов при компьютерном капитале устойчиво возрастала с увеличением лага между инвестициями и выпуском фирмы, что косвенно подтверждает подход технологии общего назначения. Другим направлением эмпирических работ стала оценка инвестиций в комплементарные активы.

Последние оценивались на основе модифицированной производственной функции, которая кроме труда, «обычного» капитала и «компьютерного» капитала включала в качестве параметров «вложения в человеческий капитал», «организационные изменения» и «квалифицированный труд» (конкретные показатели и методы сбора данных будут описаны ниже). Зависимой переменной выступала добавленная стоимость. В результате были обнаружены значимые корреляции между вложениями в ИТ, “вложениями в человеческий капитал» и «квалифицированным трудом», а также «организационными изменениями». При этом компьютерный капитал обнаруживал наиболее устойчивую значимость, в отличие от комплементарных активов.

Наконец, в ряде работ организационный капитал оценивался косвенно, через капитализацию фирмы на фондовом рынке. В основе данного подхода лежало так называемое «отношение q», предложенное Дж. Тобином. Данное отношение представляет собой отношение капитализации фирмы к бухгалтерской стоимости её активов.

Идея Дж. Тобина состоит в том, что фондовый рынок оценивает в качестве актива то, что реально генерирует денежный поток. Соответственно, q < 1 означает, что часть активов фирмы не приносят дохода и, следовательно, не являются активами с экономической точки зрения. Сходным образом q >1 означает наличие определенных нематериальных активов, не отражаемых в бухгалтерском балансе, но оцениваемых фондовым рынком наряду с прочими.

Капитализация фирмы рассматривалась как зависимая переменная, а в качестве объясняющих переменных рассматривались «организационный капитал» и «человеческий капитал».

В результате было обнаружено следующее:

·  Коэффициент регрессии при компьютерном капитале без включения организационного и человеческого капитала крайне высок (более 10);

·        При включении в уравнение «организационного капитала» и «человеческого капитала» коэффициент регрессии снижается в несколько раз, приближаясь в ряде расчетов к 1;

·        У всех переменных, характеризующих «организационный капитал», наблюдалась значимая на 1%-м уровне корреляция с компьютерным капиталом;

·        Переменные, характеризующие «человеческий капитал», коррелировали с компьютерным капиталом на 5%-м уровне значимости.

Результаты исследований в обобщенном виде представлены на Рис. 2.

Рис. 2. − Компьютерный капитал, организационный капитал и рыночная стоимость фирмы

Таким образом, современные эмпирические исследования подтверждают как наличие значимого положительного влияния ИТ на производительность, добавленную стоимость и капитализацию, так и наличие целого ряда комплементарных активов, без которых инвестиции в ИТ не достигают должного результата. В то же время, эти результаты подтверждают справедливость подхода «технологии общего назначения», обнаруживая как лаги, так и корреляции, предсказанные данной теорией.

Предпосылки и ограничения

Вышеописанные результаты получены при определенных предпосылках и ограничениях. Прежде всего, это касается отчетных данных фирм (выручка, прибыль, управленческие и коммерческие расходы и т.д.), которые ведутся в формате GAAP. В России этим данным примерно соответствуют данные в формате МСФО, которые присутствуют в базах данных СПАРК, БИР-Аналитик и других. К сожалению, эти данные присутствуют только по крупнейшим компаниям, бумаги которых котируются на иностранных финансовых биржах, что резко снижает объем выборки. Среди российской отчетности наиболее сильно отличается от международной статья прибыли.

Последняя для российского предприятия определяется не столько его реальным финансовым состоянием, сколько взаимоотношениями с налоговым ведомством. В результате корреляция прибыли с ИТ, проверяемая в исследованиях П. Страссмана, фактически теряет смысл. Далее, согласно российским правилам бухгалтерского учета, управленческие, а равно и коммерческие расходы могут отражаться как на соответствующих статьях отчета о прибылях и убытках, так и на статье «Основное производство». В последнем случае любая из этих статей или обе сразу могут быть нулевыми.

Другой неочевидный момент расчетов в работах - определение компьютерного капитала. Под компьютерным капиталом понимаются только расходы на аппаратные средства, не включая ни программного обеспечения, ни коммуникационного оборудования. Между тем, в отсутствие прикладного программного обеспечения оборудование заведомо не может приносить прибыль, т.е. не является капиталом в экономическом смысле.

Аналогичным товаром-комплементом выступает и коммуникационное оборудование, хотя бы в той мере, в какой интернет интегрирован в ИТ. Таким образом, из российских показателей прибыль, управленческие и коммерческие расходы совершенно не совпадают с соответствующими статьями западной бухгалтерской отчетности и не могут быть использованы в расчетах. В то же время, учет выручки и активов не отличается качественно от такового в западном учете, так что эти показатели могут быть использованы.

Наконец, нельзя не рассмотреть наличные базы данных. В распоряжении американских исследователей имеются полные базы данных по финансовым показателям 75000 компаний мира (Compustat), по наличию и ценам компьютерного оборудования на 25000 предприятиях США (Computer Intelligence Infocorp). Данные по организационному и человеческому капталу получены в результате опросов менеджеров фирм. Следует признать, что такое информационное обеспечение значительно превосходит возможности, имеющиеся в распоряжении российского исследователя.

Что можно исследовать в России?

Тем не менее, возможности российского исследователя позволяют проверить ряд гипотез, сформулированных западными исследователями.

Прежде всего это относится к производственным функциям, включающим в себя компьютерный капитал. Как было указано выше, выручка и активы российского предприятия не содержат существенных отличий от соответствующих показателей западной фирмы. В результате основная трудность получения исходных данных - получение разумных оценок компьютерного капитала. В качестве такой оценки в настоящем проекте планируется использовать эксплуатационные расходы на ИТ.

Значительная часть расходов на поддержку находится в прямой пропорции к установленной базе оборудования и программного обеспечения (17-20% от объема оборудования и/или программного обеспечения). Затраты на ИТ-персонал тоже находятся в определенной пропорции к установленному оборудованию и программного обеспечения. Более сложный вопрос - расходы на аутсорсинг ИТ-услуг.

Однако, любой аутсорсинг представляет собой либо использование внешнего ИТ-персонала для обслуживания активов заказчика, либо использование как персонала, так и активов провайдера. В первом случае естественно предположить, что услуга аутсорсинга представляет собой замену собственного ИТ-персонала заказчика, во втором случае - использование ИТ-активов провайдера. В этом втором случае заказчик использует ИТ-активы третьей стороны, т.е. речь идет о скрытом расширении объема используемых ИТ-активов.

Таким образом, можно предположить, что основные активы, используемые предприятием (но не обязательно находящиеся в его собственности), находятся в определенной пропорции с эксплуатационными расходами на ИТ. В настоящее время команда проекта ITValue.ru располагает значительным объемом данных (около 300 наблюдений за 3 года) по ИТ-бюджетам российских предприятий. Эти данные включают в себя общий объем ИТ-бюджета, а также его распределение на инвестиционные и эксплуатационные расходы. В результате можно строить оценки компьютерного капитала по приведенной выше схеме и, следовательно, проводить оценку влияния компьютерного капитала на выпуск предприятия путем оценки производственных функций. Результаты таких расчетов, а также дальнейшее развитие проекта будут опубликованы в ближайшее время.

 

3. Как классифицируется продукция и услуги в сетевой экономике

Характер продукции сетевой экономики определяется потребностями общества в услугах информационного характера. Внедрение информационных технологий не только не отменило потребности, существовавшие в обществе традиционно, но и позволило удовлетворять их на более высоком уровне.

В краткий перечень потребностей общества в информационных услугах входят:

·    долговременное хранение информации (книги, библиотеки, микрофильмы и т.п.);

·              сбор (получение), хранение и предоставление информации для различных видов деятельности;

·              научная и специальная профессиональная информация (картотеки литературы и специальных сведений, аннотированные списки, реферативные и библиографические сборники и т.п.);

·              управленческая информация для обоснования и принятия решений (статистические отчеты, сводки показателей деятельности, паспорта объектов, справочники, своды законодательных актов, архивы и т.п.);

·              коммерческая информация (списки с адресами и телефонами фирм, сведения о товарах, их ценах, производителях, отчеты о финансовом состоянии фирм, курсы валют и акций, своды законов по коммерческой деятельности, налогам, авторскому праву и т.п.);

·              массовая информация (расписание движения транспорта, адреса и профиль магазинов, прогнозы погоды, адреса предприятий бытового обслуживания, адреса станций медицинской помощи, справочники, справочные службы, в том числе телефоны, объявления в средствах массовой информации (СМИ) и т.д.);

·              передача (пересылка) информации (почта, телеграф, телефон, радиосвязь и т.п.);

·              обработка информации по различным направлениям хозяйственной и социальной деятельности: в органах государственной статистики, в научно-исследовательских и военных организациях, министерствах и ведомствах, на предприятиях и др.

Все вышеперечисленные потребности удовлетворяются комплексом предприятий и организаций, преобладающим продуктом производства которых являются информационные услуги или средства, необходимые для создания информационных услуг (средства вычислительной техники, программное обеспечение и др.). Услуги по преобразованию информации и обеспечению доступа потребителей к ней являются основными для конечного потребителя и могут рассматриваться как информационный продукт.

В общем случае под продуктом понимается объект, имеющий вещественную форму и способный удовлетворять те или иные потребности. Продукт получается из исходного сырья или материалов путем применения тех или иных технологий. При этом свойства исходного материала исчезают, а продукт приобретает самостоятельную потребительскую ценность.

В развитых странах значительная часть предприятий сферы обработки вовлечена в рыночные отношения и выступает в качестве одного из важнейших элементов рыночной инфраструктуры по обслуживанию, реализации и развитию рыночных отношений, а также как самостоятельный специализированный сектор рынка, на котором предлагаются особые продукты и услуги. Рассмотрим более подробно информационный продукт, так как именно он составляет значительную долю продукции сетевой экономики.

Информационный продукт - информация, собранная, переработанная (обработанная), представленная в виде, удобном для пользователя, и предлагаемая на информационном рынке в качестве товара. Таким образом, информационные продукты представляют собой результаты расчетов (расчет зарплаты, плановые расчеты, научные расчеты и т.п.), различные документы, справочные данные (справочники), каталоги, реферативные сборники, статистические и аналитические отчеты, аннотированные списки и др. Вся эта продукция может иметь форму печатных документов (текстовых, графических и т.д.), машинную форму, аудиовизуальную форму и др.

Предоставление информации связано обычно с оказанием пользователю некоторых услуг по ее обработке и доступу к ней (обработка на серверах, услуги по теледоступу к базам данных (БД), просто подбор сведений по запросу потребителя и т.д.). Такого рода услуги называют информационными услугами. Они могут выступать как в овеществленной (документ, технический носитель), так и в неовеществленной форме и, как правило, неотделимы от самой деятельности по обслуживанию пользователя (например, обучение пользователя). В общем случае под услугой понимается такой вид деятельности, который не меняет натурально-вещественной формы продукта, но добавляет к его первоначальной стоимости определенную величину, которую конечный потребитель, заинтересованный в услуге, согласен оплачивать. Возможны услуги, не связанные с конкретным продуктом, но приводящие к изменению состояния лиц или объектов.

Примером услуг являются перевозка товаров, ремонт средств вычислительной техники и обучение пользователя, предоставление устной справки, консультации и др. Поэтому часто к услугам относят все виды полезной деятельности, не создающие осязаемых материальных ценностей.

Информационные услуги в неовеществленной форме характеризуются тем, что процессы их производства и потребления совпадают во времени. В большинстве случаев эти услуги имеют индивидуализированный характер, не могут накапливаться и не подлежат хранению, имеют конкретную адресность и не могут существовать вне индивидуального контакта с потребителем, ориентированы на локальные рынки. В то же время существенная часть информационных услуг представляется в овеществленной форме.

Технико-экономические характеристики этих услуг, технологии, близкие к индустриальным методам производства, высокая и постоянно растущая фондовооруженность информационного производства, основывающаяся на применении большого парка технических и программных средств, сближают их со сферой материального производства. Предоставление информационных продуктов и услуг потребителям часто называют информационным или информационно-вычислительным обслуживанием. Глобальные сети позволяют существенно поднять качество информационного обслуживания. При использовании информации в качестве основного ресурса возникают изменения типичных способов поведения хозяйствующих субъектов, что влияет на характер конкуренции.

Считается, что любая экономическая информация свободно распространяется на рынке и при наличии средств на ее оплату доступна всем. Однако во многих случаях возникают различного рода препятствия для получения оперативной и качественной информации. В результате одни хозяйствующие субъекты могут получить информационное преимущество перед другими, что приводит к усилению конкуренции, результаты которой непредсказуемы.

Если информационное преимущество какого-либо субъекта устойчиво во времени и пространстве, оно постепенно трансформируется в его экономическое преимущество. Следует иметь в виду, что отсутствие данных преимуществ можно толковать как неразвитость информационного пространства отдельного рынка или экономики в целом.

Литература

 

1.  Информатика. / Под ред. Н.В. Макаровой. − М.: Финансы и статистика, 2007.

2.       Основы экономической информатики. / Под ред. А.Н. Морозевича. − Мн.: ООО "Мисанта", 2008.

.        Экономическая информатика. / Под ред. В.В. Евдокимова. − СПб.: Питер, 2007.

.        Ясин Е.Т. Экономическая информация. Что это такое? − М., 2006.

Похожие работы на - Экономика информационных технологий

 

Не нашли материал для своей работы?
Поможем написать уникальную работу
Без плагиата!
Без нейросетей!