Схема системы автоматического регулирования с электромагнитной муфтой
Министерство науки и образования
Российской Федерации
Федеральное агентство по образованию
ГОУ СПО «Тольяттинский технический
колледж ВАЗа»
Курсовая работа
по дисциплине: «Устройства
автоматического управления»
на тему: «Схема системы автоматического
регулирования с электромагнитной муфтой»
Выполнил: студент группы ТМ-08-44
Савин С.О.
Проверил: Варнавская Т.В.
-2012 уч.г.
Повышение
производительности труда базируется на механизации и автоматизации
производства.
Механизация - замена ручных средств труда машинами и механизмами. С их
помощью человек может поднимать и перемещать тяжелые грузы, резать, ковать и
штамповать металл при изготовлении деталей, добывать руду и топливо из недр
земли. Но управление этими механизмами осуществляется человеком: он должен
постоянно контролировать ход производственного процесса, анализировать его,
принимать решения и воздействовать на этот процесс. Например, рабочий при
обработке детали на станке должен измерять размеры детали, определять ее
качество, т. е. получать информацию путем измерений. В зависимости от
результатов измерений рабочий изменяет скорость резания, величину подачи
инструмента, т. е. принимает и исполняет решение. Таким образом, при
механизации требуется постоянное участие человека во всем ходе
производственного процесса.
Автоматизация производственных процессов - применение технических средств
и систем управления, освобождающих человека частично или полностью от
непосредственного участия в этих процессах. Автоматизация облегчает умственный
труд человека, освобождает его от сбора информации, ее обработки, исполнения
принятого решения. В системах автоматики получение, передача, преобразование и
использование информации осуществляются без непосредственного участия человека.
Для получения информации о ходе производственного процесса применяют
датчики - элементы автоматики, преобразующие самые разные физические величины
(размеры, температуру, давление, расход, скорость, уровень, влажность и т. д.)
в некоторый сигнал, удобный для последующей обработки в автоматическом
устройстве или ЭВМ. Затем этот сигнал обрабатывается: сравнивается с другими
сигналами, анализируются его изменения,
В результате обработки информационных сигналов вырабатываются
исполнительные сигналы, которые и воздействуют на технологический процесс. Эти
сигналы в исполнительных элементах автоматики преобразуются в механическое
воздействие, перемещающее деталь или инструмент, закрывающее или открывающее
кран, включающее или отключающее нагревательную установку и т. п. Так как это
воздействие требует значительной энергии, то обработка информационных сигналов
предусматривает, как правило, их усиление.
Таким образом, системы автоматики состоят из датчиков,
усилительно-преобразовательных и исполнительных элементов.
Наиболее универсальным и удобным для систем автоматики оказался
электрический сигнал. По сравнению с другими (пневматическими или
гидравлическими) электрический сигнал имеет следующие преимущества:
1. Электрический сигнал можно передавать на большие расстояния;
. Энергию электрического сигнала можно преобразовывать в другие виды
энергии, прежде всего в механическую и тепловую, необходимые на любом
производстве;
3. Электрический сигнал можно обрабатывать, в том числе усиливать, с
помощью простых технических средств.
Именно поэтому наибольшее распространение получили электрические системы
автоматики, т. е. использующие именно электрический сигнал.
С применением электрических элементов автоматики мы постоянно
сталкиваемся в быту: датчики температуры в холодильнике и утюге; переключатели
и реле в электрофоне, магнитофоне; потенциометрические, индуктивные и емкостные
датчики для настройки радиоприемника и телевизора. Насыщенность же современного
производства элементами автоматики во много раз выше. Уже действуют цехи, где
нет ни одного рабочего, а всеми механизмами управляют элементы автоматики.
В нашей стране создана Государственная система приборов и средств
автоматизации (ГСП), в которую входят тысячи самых разнообразных элементов. С
их помощью может быть построена практически любая система автоматики.
Естественно, что элементы, входящие в ГСП, непрерывно совершенствуются, а
состав системы расширяется.
Современный научно-технический прогресс тесно связан с широким развитием
автоматики.
Автоматика - это отрасль науки и техники, охватывающая теорию и принципы
построения систем управления техническими объектами и процессами, действующих
без непосредственного участия человека.
Технический объект (станок, двигатель, летательный аппарат, поточная
линия, автоматизированный участок, цех и т.д.), нуждающийся в автоматическом
или автоматизированном управлении, называется объектом управления (ОУ).
Совокупность ОУ и автоматического управляющего устройства называется
системой автоматического управления (САУ) или автоматизированной системой
управления (АСУ).
Любое автоматическое устройство представляет собой комплекс отдельных
конструктивных или схемных элементов, каждый из которых выполняет задачу по
преобразованию энергии, полученной от предыдущего элемента или окружающей
среды, и передаче ее последующему элементу.
Элементами автоматики называются конструктивно законченные устройства,
выполняющие определенные самостоятельные функции преобразования сигнала
(информации) в системах автоматического управления.
В системах автоматического управления в качестве сигналов обычно
используются электрические и механические величины (например, постоянный ток,
напряжение, давление сжатого газа или жидкости, усилие и т.п.), так как они
позволяют легко осуществлять преобразование, сравнение, передачу на расстояние
и хранение информации. В одних случаях сигналы возникают непосредственно
вследствие протекающих при управлении процессов (изменения тока, напряжения,
температуры, давления, наличия механических перемещений и т.д.), в других
случаях они вырабатываются чувствительными элементами или датчиками.
Соответственно операциям, производимым с сигналами информации в
автоматических устройствах, можно выделить функциональные ячейки - элементы.
Элемент - простейшая в функциональном отношении ячейка (устройство, схема),
предназначенная для выполнения одной из следующих основных операций с сигналом:
преобразование контролируемой величины в сигнал, функционально связанный
с информацией об этой величине (чувствительные элементы, датчики);
преобразование сигнала одного рода энергии в сигнал другого рода энергии:
электрической в неэлектрическую, неэлектрической в электрическую,
неэлектрической в неэлектрическую (электромеханические, термоэлектрические,
электропневматические, фотоэлектрические и другие преобразователи);
преобразование сигнала по значению энергии (усилители);
преобразование сигнала по виду, т.е. непрерывного в дискретный или
обратно (аналогоцифровые, цифроаналоговые и другие преобразователи);
преобразование сигнала по форме, т.е. сигнала постоянного тока в сигнал
переменного тока и наоборот (модуляторы, демодуляторы);
функциональное преобразование сигналов (счетно-решающие элементы,
функциональные элементы);
сравнение сигналов и создание командного управляющего сигнала (элементы
сравнения, нуль-органы);
выполнение логических операций с сигналами (логические элементы);
распределение сигналов по различным цепям (распределители, коммутаторы);
хранение сигналов (элементы памяти, накопители);
использование сигналов для воздействия на управляемый процесс
(исполнительные элементы).
Таким образом, под элементом следует понимать самую простую часть
системы, где выполняется одна функциональная операция с сигналом.
Несмотря на простоту понятия элемента и происходящих в нем процессов, до
сих пор во многих случаях существуют трудности не только в формировании понятия
элемента, но и в терминологии.
Часто элементы отождествляются с устройствами, в состав которых входят
несколько элементов. Например, некоторые датчики, называемые элементами, в
действительности являются совокупностью элементов, объединенных единой схемой
соединения, обеспечивающих воспроизведение контролируемой величины и
преобразование ее в другую величину, более удобную для передачи по линиям
связи.
Современная теория элементов автоматики стремится к наиболее полному
раскрытию физической и математической сущности элементов. Одновременно с
разработкой физики элементов автоматики рассматриваются и развиваются их
классификация, методы расчета и конструирования.
Автоматические системы, применяемые при автоматизации
производственных процессов, в зависимости от характера и объема операций,
выполняемых ими, можно разделить на системы автоматического контроля,
автоматического регулирования, автоматического управления, следящие,
автоматической защиты, адаптивные и т. д. Автоматические системы могут быть
комбинированными, т. е. представлять собой совокупность нескольких систем.
Например, система автоматического регулирования представляет собой совокупность
систем автоматического контроля и управления. Автоматические системы могут
также различаться видами применяемых в них устройств, параметрами,
конструктивными решениями и т. д.
Система автоматического регулирования (САР)
обеспечивает поддержание регулируемой величины (параметра) в заданных пределах
или по заданному закону (рис. 1). Задающий элемент воспроизводит задающее
воздействие, определяющее закон изменения регулируемой величины. Как правило,
эта величина задается в косвенном виде. Например, температура задается
значением напряжения; давление - значением натяга пружины и т. п.
На элемент сравнения (ЭС) поступает заданное значение
х3 регулируемого параметра с задающего элемента (3Э) и значения сигнала
обратной связи хо с датчика (Д) обратной связи - функция фактической величины
регулируемого параметра Хф. В элементе сравнения сопоставляется требуемое
значение регулируемого параметра с действительным его значением. В результате
этого сопоставления в элементе сравнения вырабатывается управляющий сигнал Ах =
х3 - хо с. Обычно этот сигнал слабый, он поступает на усилитель (У), где
усиливается до значения kAx и направляется на исполнительный элемент (ИЭ).
С исполнительного элемента управляющее воздействие хр
поступает на объект регулирования и корректирует фактическое значение
регулируемого параметра до заданного значения.
Функцией датчика является измерение регулируемой или
какой-либо другой величины, дающей необходимую для управления информацию.
Одновременно измерительный элемент осуществляет преобразование измеренной
величины в величину другого вида, удобную для передачи сигналов в данной автоматической
системе. В большинстве систем автоматического управления для передачи и
обработки сигналов, несущих информацию об управляемом процессе, используются
электрические величины, т. е. большинство датчиков автоматически преобразуют
измеряемые величины любой физической природы (скорость, давление, перемещение и
др.) в электрические.
Измеряемая величина является входной величиной
датчика. Выходная электрическая величина может представлять собой один из
параметров электрической цепи (R, L, С) или ЭДС. Датчики, преобразующие входную
величину в ЭДС, называются генераторными, а датчики, преобразующие входную
величину в изменение параметра электрической цепи, - параметрическими.
По характеру представления выходной величины датчики
подразделяются на измерительные и релейные. Измерительные датчики имеют
линейную статическую характеристику и выдают значение измеряемой величины в
непрерывной (аналоговой) форме. Релейные датчики имеют релейную характеристику
и выдают дискретный по уровню сигнал, соответствующий некоторому предельному
значению измеряемой величины.
Назначением задающего элемента является ввод в систему
автоматического управления задающего воздействия, которое в том или ином виде
содержит информацию о желаемом течении управляемого процесса.
В замкнутых системах, где осуществляется регулирование
по отклонению, задающее устройство вводит заданное значение регулируемой
координаты. В разомкнутых системах, где осуществляется регулирование по
возмущению, задающее устройство как отдельный элемент отсутствует, и заданное
значение регулируемой координаты вводится начальной настройкой системы.
В замкнутых и разомкнутых системах автоматического
управления с логическими программами рабочую программу вводит задающее
устройство.
В системах регулирования задающее воздействие содержит
информацию количественного характера, выраженную в дискретной или непрерывной
форме.
В системах с логическими программами наряду с
информацией количественного характера используются команды типа включить,
выключить, вперед, назад и т.п.
Характер задающего воздействия и объем содержащейся в
нем информации определяют конструкцию задающего устройства. Простейшими
задающими устройствами являются потенциометры, в которых входной величиной
является перемещение, а выходной - электрический сигнал (ток, напряжение).
Например, потенциометр, движок которого в начале процесса установлен в
определенное положение, т. е. с выхода которого подается в САР определенное
напряжение, может служить простейшим задающим устройством для стабилизирующей
системы.
Если же движок потенциометра связан с механизмом,
осуществляющим его перемещение в течение рабочего процесса, это будет задающее
устройство с переменным задающим воздействием.
Автоматические системы с программным управлением,
используемые в промышленности, весьма разнообразны и имеют задающие устройства
различной степени сложности.
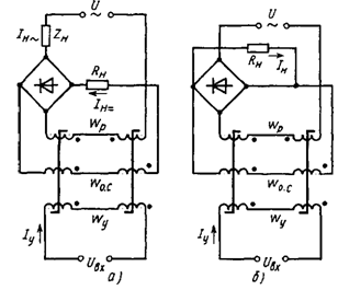
Рисунок - Схема автоматики с однотактным магнитным усилителем с внешней
обратной связью.
Д - датчик (угольный);
МУ - магнитный однотактный усилитель;
УУ - устройство управления;
ИЭ - исполнительный элемент;
ЭМ - электромагнитная муфта;
Индуктивный датчик - измерительный преобразователь угла поворота или
перемещения в изменение индуктивности.
Индуктивный датчик представляет собой катушку индуктивности с
магнитопроводом, подвижный элемент которого (якорь) перемещается под
воздействием измеряемой величины. Вследствие изменения воздушного зазора в
магнитопроводе меняется его магнитное сопротивление и, следовательно,
индуктивность катушки. Для измерений катушку *** Индуктивный датчик включают в
дифференциальную или мостовую измерительную схему переменного тока, у которой
указывающий элемент проградуирован в единицах измеряемой величины. Наиболее
часто применяют Индуктивный датчик с переменным зазором (а) и переменной
площадью зазора (б). Первые используются для измерений малых перемещений (от
долей мкм до 3-5 мм); вторые - для перемещений от 0,5 до 15 мм. Для измерения
перемещений в маломощных устройствах, например в стрелочных измерит приборах,
применяют Индуктивный датчик, катушки которых питаются от источника тока
высокой частоты (5-50 Мгц) либо служат обмотками высокочастотных колебательных
контуров.
<#"537896.files/image002.gif">
Устройство индуктивного
бесконтактного выключателя
1. Генератор создает электромагнитное поле взаимодействия с объектом.
2. Триггер обеспечивает гистерезис при переключении и необходимую
длительность фронтов сигнала управления.
. Усилитель увеличивает амплитуду сигнала до необходимого
значения.
. Светодиодный индикатор показывает состояние выключателя,
обеспечивает контроль работоспособности, оперативность настройки.
. Компаунд обеспечивает необходимую степень защиты от
проникновения твердых частиц и воды.
. Корпус обеспечивает монтаж выключателя, защищает от механических
воздействий. Выполняется из латуни или полиамида, комплектуется метизными
изделиями.
При подаче напряжения питания перед активной поверхностью индуктивного
выключателя образуется переменное магнитное поле, создаваемое катушкой
индуктивности генератора. При попадании объекта воздействия в зону
чувствительности выключателя, снижается добротность колебательного контура и
амплитуда колебаний, что вызывает срабатывание триггера и изменение состояния
выхода выключателя.
Номинальное расстояние воздействия (Sn) и гарантированный интервал
воздействия (Sa), указанные в технических характеристиках выключателей,
относятся к стандартному объекту воздействия - это квадратная пластина из стали
Ст 40, толщиной 1мм, сторона квадрата равна большему из значений: диаметру
активной поверхности выключателя или значению 3Sn. Соотношение для определения
реального расстояния воздействия (Sr): 0,9 Sn < Sr < 1,1 Sn - справедливо
для стандартного объекта воздействия . Если объект воздействия имеет размеры
меньше стандартного, то расстояния воздействия Sn, Sr, Sa следует умножить на
поправочный коэффициент К. Поправочные коэффициенты К вводят также, если объект
воздействия выполнен не из стали, а из других металлов и сплавов.
График зависимости К от площади
объекта воздействия Sисп. объекта - площадь используемого объекта воздействия
Сталь...............................40...1,0
Медь.................................0,25...0,45
Латунь..............................0,35...0,50
Нержавеющая сталь...0,60...1,00
Никель............................0,65...0,75
Алюминий......................0,35...0,45
Чугун................................0,93...1,05
Магнитные
усилители с обратной связью.
Назначение и способы введения обратной связи.
Характеристики магнитного усилителя могут быть значительно улучшены за
счет введения дополнительного воздействия, зависящего от тока или напряжения на
выходе усилителя. Такое воздействие, подаваемое с выхода усилителя на его вход,
называется обратной связью.
В магнитных усилителях различают положительную и отрицательную, внешнюю и
внутреннюю, жесткую и гибкую обратную связь.
При положительной обратной связи выходной сигнал, подаваемый на вход
усилителя, складывается (суммируется) с входным управляющим сигналом. При
положительной обратной связи повышается коэффициент усиления и улучшается
быстродействие магнитного усилителя. При отрицательной обратной связи выходной
сигнал, подаваемый на вход усилителя, вычитается из входного управляющего
сигнала. За счет отрицательной обратной связи улучшается стабильность
преобразования входного сигнала в выходной, т. е. улучшаются измерительные
свойства магнитного усилителя. Однако при отрицательной обратной связи
уменьшается коэффициент усиления. Поэтому в магнитных усилителях наибольшее
распространение получила положительная обратная связь. Если специально не
оговорено, какой вид обратной связи используется, то под словами «магнитный
усилитель с обратной связью» обычно понимается именно усилитель с положительной
обратной связью.
Для осуществления внешней обратной связи предусматривается специальная
обмотка обратной связи, которая располагается на сердечниках усилителя так же,
как и обмотка управления. При внутренней обратной связи никакой дополнительной
обмотки обратной связи не требуется. Сигнал обратной связи проходит в виде
составляющей через рабочие (выходные) обмотки усилителя. При этом
последовательно с рабочими обмотками включаются однополупериодные выпрямители.
За счет постоянной (выпрямленной) составляющей выходного тока создается
магнитный поток обратной связи, изменяющий степень насыщения сердечника
усилителя.
При положительной обратной связи магнитный поток обратной связи
суммируется с магнитным потоком обмотки управления и насыщение сердечника
увеличивается. Поэтому в литературе усилители с внутренней обратной связью
иногда называют усилителями с самонасыщением или самоподмагничиванием.
При жесткой обратной связи сигнал обратной связи пропорционален выходному
сигналу. При гибкой обратной связи сигнал обратной связи пропорционален
скорости изменения выходного сигнала. Следовательно, гибкая обратная связь
действует лишь в переходном процессе, т. е. при изменении выходного сигнала.
Она и предназначена для улучшения динамики работы магнитного усилителя.
Однотактный
магнитный усилитель с внешней обратной связью
Рисунок 16 - Магнитные усилители с
внешней обратной связью
Типовые схемы магнитных усилителей с внешней обратной связью приведены на
рис. 16. Эти магнитные усилители кроме рабочей обмотки wp и обмотки
управления wy имеют специальную обмотку обратной связи woc,
в которую подводится сигнал с выхода усилителя.
Существует два вида внешней обратной связи: по току и по напряжению. В
схеме по рис.16, а в обмотку обратной связи подается выпрямленный ток нагрузки
Iн. Таким образом осуществляется обратная связь по току.
В схеме по рис. 16, б в обмотку обратной связи подается выпрямленное
напряжение нагрузки UH. Так осуществляется обратная связь по
напряжению. Направление тока I0С в обмотках обратной связи постоянно
и определяется полярностью подключения их к выпрямителю. Если действие тока I0С
в обмотке woc усиливает действие тока управления Iу в
обмотке wy, то имеем положительную обратную связь. Магнитодвижущие
силы обмоток управления и обратной связи при этом складываются. Перейти от
положительной обратной связи к отрицательной можно путем изменения полярности
(направления) тока управления в обмотке wy или переменой концов
обмотки wx, подключаемой к выпрямителю. В этом случае
магнитодвижущие силы обмоток управления и обратной связи вычитаются.
В схеме (рис.16, а) нагрузка может быть включена как постоянного, так и
переменного тока. Нагрузка постоянного тока RH включена
последовательно с обмоткой обратной связи woc, т. е. после
выпрямителя. Нагрузка переменного тока ZH включается до выпрямителя.
В этом случае выпрямитель служит только для осуществления обратной связи. В
некоторых случаях и при нагрузке постоянного тока для питания обмотки обратной
связи используется; отдельный выпрямитель, что повышает стабильность
характеристик: магнитного усилителя.
Обратная связь по напряжению обычно применяется в мощных магнитных
усилителях, т. е. при больших токах нагрузки. В этом случае для выпрямителя в
цепи обратной связи по току потребовались бы диоды на большие токи, которые
имеют большие габариты и используются со специальными охладительными
радиаторам. Да и саму обмотку обратной связи потребовалось бы выполнять очень
толстым проводом.
С точки зрения принципа действия разницы между усилителя-; ми с обратной
связью по току и по напряжению нет.
Для статической характеристики идеального магнитного усилителя при
наличии обратной связи уравнение будет иметь вид
pwp
= Iywy ± 1осwoc,
где знак плюс соответствует положительной обратной связи, а знак минус -
отрицательной.
Поскольку длина пути I для постоянного и переменного магнитных потоков у
большинства магнитных усилителей одинакова, можно записать равенство
напряженностей магнитного поля:
где Нср - среднее за полпериода значение напряженности
переменного магнитного поля; Я= - напряженность постоянного
магнитного поля, создаваемого совместными действиями обмоток управления и
обратной связи;
Напряженность магнитного поля, создаваемого обмоткой обратной связи
При обратной связи по току полагаем, что весь выпрямленный: ток нагрузки
проходит по обмотке обратной связи, т. е.
Тогда
где Кос - коэффициент обратной связи.
Таким образом, коэффициент обратной связи представляет собой отношение
постоянной составляющей напряженности обратной связи к среднему значению напряженности
переменного поля. Численно он определяется как отношение числа витков обмотки
обратной связи к числу витков рабочей обмотки:
Кж = woc / wp.
Поскольку при положительной обратной связи Нос < Нср,
значение коэффициента Кос обычно меньше единицы. Чем больше Кос,
тем сильнее обратная связь. Используя коэффициент обратной связи, можно
записать уравнение статической характеристики идеального магнитного усилителя:
В этом уравнении знак минус соответствует положительной обратной связи, а
знак плюс - отрицательной.
Для внешней обратной связи характерно то, что можно разомкнуть обмотку
обратной связи, а работоспособность магнитного усилителя сохранится.
Коэффициент обратной связи при этом равен нулю, Кос = 0.
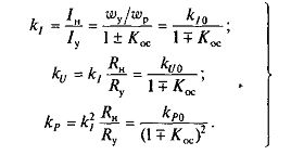
Значение коэффициентов при наличии обратной связи:
Таким образом, в магнитных усилителях положительная обратная связь
повышает усиление тока, напряжения и мощности.
Теоретически при Кос=1 коэффициенты усиления стремятся к бесконечности.
Напомним, что вывод формул был проведен для идеального магнитного усилителя. На
практике при Кос > 1 усилитель переходит в релейный режим работы,
при котором ток нагрузки изменяется скачкообразно, аналогично скачкообразному
изменению тока в цепи контактов реле при его срабатывании. Такой режим
магнитного усилителя используется в бесконтактных магнитных реле.
Инерционность магнитного усилителя с обратной связью
Наличие обратной связи оказывает влияние и на переходный процесс в
магнитном усилителе, т. е. на динамический режим его работы. Анализ переходного
режима в усилителе с обратной связью проводится на основании формулы. Отличие
заключается в том, что в уравнении произведение Iywy заменяют
Iywy(l ± Кос). Объясняется это тем, что в
усилителе с обратной связью магнитный поток управления создается совместным
действием двух обмоток: управления и обратной связи. Следовательно, и
напряженность постоянного магнитного поля, создаваемого этими обмотками
В усилителе без обратной связи напряженность постоянного магнитного поля
определялась только Ну. Поэтому при анализе усилителя с обратной
связью следует брать вместо Ну Н== Ну + Нос
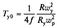
Принимая Нср=Н= можем записать
В результате уравнение переходного процесса будет теперь
характеризоваться постоянной времени
Знак минус в уравнении соответствует положительной обратной связи.
Добротность усилителя (отношение коэффициента усиления по мощности к
постоянной времени):
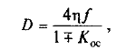
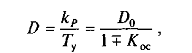
где D0 - добротность усилителя без обратной связи.
Наличие положительной обратной связи увеличивает и добротность магнитного
усилителя:

Для работы усилителя в оптимальном режиме обычно принимают Кос
= 0,96.
Анализ выражения показывает, что, вводя в усилитель положительную
обратную связь, и, сохраняя значение коэффициента усиления по мощности, можно
значительно снизить постоянную времени (например, при Кос = 0,96 в
25 раз), т. е. улучшить быстродействие усилителя. Достигается это за счет
уменьшения числа витков (т. е. индуктивности) обмотки управления усилителя.
Другим способом уменьшения постоянной времени является увеличение частоты
питания f, что также следует из уравнения. Поэтому для магнитных усилителей
используют источники питания повышенной частоты (400, 500, 1000 Гц). Для
усилителей малой мощности постоянная времени может быть снижена до нескольких
миллисекунд, а для большой мощности - до нескольких десятков миллисекунд.
Регулировка коэффициента обратной связи
Для регулировки коэффициента обратной связи используют два способа:
изменение числа витков обмотки обратной связи и изменение тока в обмотке
обратной связи. При использовании первого способа обмотку обратной связи
выполняют с отводами, что позволяет ступенчато изменять Кoc. При
втором способе обычно используют регулировочные резисторы, обеспечивающие
плавное изменение Кoc. Регулировочный резистор в усилителе с
обратной связью по току подключается параллельно обмотке обратной связи
(рис.17, а), а в усилителе с обратной связью по напряжению - последовательно
этой обмотке (рис. 17, б). В магнитных усилителях с обратной связью по току
регулировочный резистор Rрег подключают параллельно не ко всей
обмотке
Рисунок 17 - Схема регулировки коэффициента обратной связи
woc, а только к части ее витков, составляющих
примерно 10-20 от общего числа витков woc, для чего делается
специальный отвод. Делается это для того, чтобы не возрастала значительно
инерционность усилителя. Ведь образованный обмоткой и регулировочным;
резистором замкнутый контур замедляет изменение потока тем больше, чем больше
его индуктивность.
Если регулировочный резистор подключен параллельно к части; витков
обмотки обратной связи woc2 (рис. 17, а), то коэффициент: обратной
связи определяется по формуле
или
Для обратной связи по напряжению (рис. 17, б) ток обратной связи
Тогда
Следовательно, при любом виде обратной связи (по току или по напряжению)
сопротивление регулировочного резистора учитывается введением в формулу для
регулировочного коэффициента Крег.
Рисунок 18 - Статические характеристики магнитных усилителей с разными
коэффициентами обратной связи
Характеристики реального магнитного усилителя с обратной связью
Статические характеристики «вход-выход» реального магнитного усилителя с
различными значениями коэффициента обратной связи показаны на рис. 18. При
увеличении коэффициента обратной связи характеристика становится несимметричной
и смещается влево параллельно оси абсцисс. Ток в цепи нагрузки при сигнале Iy=0
уже не будет равен его минимальному значению Iн0, его значение
увеличится с ростом Кос (точки 1,2,3). Ток холостого хода в реальном
усилителе не равен нулю. При наличии обратной связи этот ток поступает в
обмотку woc и создает дополнительное подмагничивание, смещая
характеристику усилителя.
Для уменьшения тока холостого хода в усилителе с положительной обратной
связью применяют специальную обмотку смещения wCM. Напряженность
магнитного поля, создаваемого этой обмоткой, должна быть равна напряженности
поля, создаваемого обмоткой обратной связи woc при прохождении по
ней тока Iн0, т. е. Нсм = Iн0woc /
l противоположна по направлению. В этом случае обмотка смещения будет полностью
компенсировать подмагничивающее действие обмотки обратной связи при отсутствии управляющего
сигнала (1у = 0). При приближении значения коэффициента обратной
связи к единице есть опасность перехода усилителя в релейный режим. Как уже
отмечалось, обычно принимают величину Кoc - 0,96. Однако при
использовании высококачественных сердечников и выпрямителей со стабильными
параметрами и при незначительных колебаниях температуры внешней среды величина
Кoc может быть доведена до 0,98-0,99. При этом обеспечиваются весьма
большие коэффициенты усиления и хорошая линейность преобразования входного
сигнала в выходной. Добротность реальных магнитных усилителей с обратной связью
находится обычно в пределах D = (100÷1000)f, где f - частота напряжения
питания.
Графическое построение статической характеристики магнитного усилителя с
обратной связью
Статическую характеристику магнитного усилителя с обратной связью можно
построить графически по характеристике этого же усилителя без обратной связи.
Рассмотрим такое построение применительно к магнитному усилителю с
обратной связью по току. Напряженность постоянного магнитного поля H в этом
усилителе создается совместным действием тока управления Iу,
протекающего по обмотке wу, и тока нагрузки Iн,
протекающего по обмотке woс, т. е
где I - средняя длина пути постоянного магнитного потока.
При отсутствии обратной связи (если разомкнуть цепь обмотки woc)
то же значение напряженности может быть создано большим током управления Iу2:
Первый член уравнения представляет собой ток управления
магнитного усилителя без обратной связи, а второй член - это ток нагрузки,
приведенный к числу витков обмотки управления. Иными словами, это такой
условный ток в обмотке управления, который эквивалентен по действию току нагрузки,
протекающему по обмотке обратной связи. Обозначим этот приведенный (условный)
ток через I’н, т. е.
Это выражение является характеристикой обратной связи. Построение
статической характеристики проводим в координатной плоскости по оси абсцисс
откладываем Iу, по оси ординат - Iн. Характеристика
обратной связи в этих осях изображается прямой Оа, проходящей через начало
координат под углом а = arctg Кoc к оси ординат. В этих же осях
координат строим нагрузочную характеристику магнитного усилителя без обратной
связи Iн = f(Iу), которая обозначена бег. Теперь на
основе выполняем графическое построение характеристики усилителя с обратной
связью. Точка А пересечения прямой Оа с характеристикой усилителя бег
определяет новое значение тока холостого хода. Сносим это значение на ось
ординат (точка е). Затем проводим еще несколько прямых, параллельных Оа, и
находим точки их пересечения с кривой бег. Из точек пересечения этих прямых с
осью абсцисс восставляем перпендикуляры, на которые сносим точки пересечения
этих прямых с осью абсцисс восставляем перпендикуляры, на которые сносим точки
пересечения характеристики обратной связи с характеристикой усилителя без
обратной связи.
Рисунок 19 - Графическое построение статической характеристики магнитного
усилителя с обратной связью
Устройство
управления
Любая сложная операция может быть разложена на более простые действия и
реализована с их помощью последовательно во времени по соответствующему
алгоритму. Формирование управляющих сигналов согласно алгоритму обеспечивается
устройством управления (УУ). Поэтому в УЧПУ это устройство является одним из
сложнейших узлов. Принято выделять два способа организации УУ: 1) схемный,
когда требуемая последовательность управляющих сигналов формируется в
специальной схеме благодаря соответствующим соединениям элементов в схеме;
такой способ применяют для организации управления специализированными
устройствами высокого быстродействия.; 2) микропрограммный способ, когда наборы
требуемых сигналов представляются микрокомандами, совокупность которых хранится
в специальном ЗУ или в основном ЗУ, иногда в области ППЗУ такой способ более
универсален, позволяет гибко изменять структуру и алгоритм управления. Основной
объем аппаратуры в микропрограммных автоматах (МПА) приходится на долю ЗУ. Эти
обусловлены их высокая однородность и относительно низкое быстродействие.
Наиболее широкое распространение получил микропрограммный способ организации
управления.
Принцип работы регуляторов напряжения
Регулятор напряжения поддерживает напряжение бортовой сети в заданных
пределах во всех режимах работы при изменении частоты вращения ротора
генератора, электрической нагрузки, температуры окружающей среды. Кроме того,
он может выполнять дополнительные функции - защищать элементы генераторной
установки от аварийных режимов и перегрузок, автоматически включать в бортовую
сеть силовую цепь генераторной установки или обмотку возбуждения.
По своей конструкции регуляторы делятся на бесконтактные транзисторные,
контактно-транзисторные и вибрационные (реле-регуляторы). Разновидностью
бесконтактных транзисторных регуляторов являются интегральные регуляторы,
выполняемые по специальной гибридной технологии, или монолитные на
монокристалле кремния. Несмотря на столь разнообразное конструктивное
исполнение, все регуляторы работают по единому принципу.
Напряжение генератора зависит от трех факторов - частоты вращения его
ротора, силы тока нагрузки и величины магнитного потока, создаваемого обмоткой
возбуждения, который зависит от силы тока в этой обмотке. Любой регулятор
напряжения содержит чувствительный элемент, воспринимающий напряжение
генератора (обычно это делитель напряжения на входе регулятора), элемент
сравнения, в котором напряжение генератора сравнивается с эталонной величиной,
и регулирующий орган, изменяющий силу тока в обмотке возбуждения, если напряжение
генератора отличается от эталонной величины.
В реальных регуляторах эталонной величиной может быть не обязательно
электрическое напряжение, но и любая физическая величина, достаточно стабильно
сохраняющая свое значение, например, сила натяжения пружины в вибрационных и
контактно-транзисторных регуляторах.
В транзисторных регуляторах эталонной величиной является напряжение
стабилизации стабилитрона, к которому напряжение генератора подводится через
делитель напряжения. Управление током в обмотке возбуждения осуществляется
электронным или электромагнитным реле. Частота вращения ротора и нагрузка
генератора изменяются в соответствии с режимом работы автомобиля, а регулятор
напряжения любого типа компенсирует влияние, этого изменения на напряжение генератора
воздействием на ток в обмотке возбуждения. При этом вибрационный или
контактно-транзисторный регулятор включает в цепь и выключает из цепи обмотки
возбуждения последовательно резистор (в двухступенчатых вибрационных
регуляторах при работе на второй ступени закорачивает эту обмотку на массу), а
бесконтактный транзисторный регулятор напряжения периодически подключает и
отключает обмотку возбуждения от цепи питания. В обоих вариантах изменение тока
возбуждения достигается за счет перераспределения времени нахождения
переключающего элемента регулятора во включенном и выключенном состояниях.
Если сила тока возбуждения должна быть, например, для стабилизации
напряжения, увеличена, то в вибрационном и контактно-транзисторном регуляторах
время включения резистора уменьшается по сравнению с временем его отключения, а
в транзисторном регуляторе время включения обмотки возбуждения в цепь питания
увеличивается по отношению к времени ее отключения.
Рисунок 20 - Изменение тока в обмотке возбуждения при различной частоте
вращения ротора
На рис. 20 показано влияние работы регулятора на силу тока в обмотке
возбуждения для двух частот вращения ротора генератора n1 и n2, причем частота
вращения n2 больше, чем n1. При большей частоте вращения относительное время
включения обмотки возбуждения в цепь питания транзисторным регулятором
напряжения уменьшается, среднее значение силы тока возбуждения уменьшается, чем
и достигается стабилизация напряжения.
С ростом нагрузки напряжение уменьшается, относительное время включения
обмотки увеличивается, среднее значение силы тока возрастает таким образом, что
напряжение генераторной установки остается практически неизменным.
Рисунок 21 - Зависимости напряжения генератора и силы тока в обмотке
возбуждения от частоты вращения (а) и силы тока нагрузки (б).
На рис. 21 представлены типичные регулировочные характеристики
генераторной установки, показывающие, как изменяется сила тока в обмотке
возбуждения при неизменном напряжении и изменении частоты вращения или силы
тока нагрузки. Нижний предел частоты переключения регулятора составляет 25-30
Гц.
Исполнительный
элемент
Исполнительные элементы предназначены для
непосредственного воздействия на управляемый объект или его органы управления.
Исполнительные элементы, применяемые в системах автоматики, очень разнообразны.
По принципу действия они делятся на электрические, механические,
гидравлические, пневматические и комбинированные.
По конструкции различают электронные, электродвигательные,
электромагнитные, поршневые, мембранные и комбинированные исполнительные
элементы. Исполнительные элементы должны удовлетворять следующим требованиям:
мощность их должна превосходить мощность, необходимую
для приведения в движение объекта управления или его органов во всех режимах
работы;
статические характеристики должны быть по возможности
линейными и иметь минимальные зоны нечувствительности, как наиболее мощные
функциональные звенья автоматических систем регулирования, они должны обладать
достаточным быстродействием;
регулирование выходной величины должно быть по
возможности простым и экономичным;
они должны иметь малую мощность управления.
В качестве исполнительных элементов в системах
автоматики в основном применяют мощные электромагнитные реле, электромагниты,
электродвигатели, электромагнитные муфты, мембранные и поршневые,
гидравлические и пневматические двигатели.
Электромагнитная муфта
Муфта - устройства для постоянного или временного соединения валов, труб,
стальных канатов, кабелей. По характеру работы и основному назначению различают
муфты следующих типов:
постоянные соединительные (глухие, зубчатые, кулачковые муфты);
управляемые (электромагнитные муфты), позволяющие соединять и разъединять
валы через систему управления;
самоуправляемые (автоматические);
предохранительные, разъединяющие валы при опасном нарушении нормальных
условий работы машины;
муфты скольжения, передающие момент лишь при частоте вращения ведомого
вала, меньшей частоты вращения ведущего вала.
Электромагнитная и магнитная муфта - валы также не имеют жесткой
механической связи и кроме того она позволяет передавать механическую энергию
через герметическую стенку абсолютно без утечек. Одно из применений в
центробежных насосах для перекачки опасных жидкостей.
Постоянные соединительные муфты выполняются с геометрическим замыканием и
делятся на несколько типов. Жёсткие некомпенсирующие, или глухие муфты,
соединяют валы без возможности относительного их перемещения. Среди них
наиболее распространены зубчатые муфт. Жёсткие подвижные муфты допускают
значительные отклонения от соосности (например, широко распространены
асинхронные шарнирные муфты, которые допускают перекос осей до 45°). К
синхронным муфтам относятся также плавающие, или крестовые муфты, называемые
также кулачковые муфтами, конструкции которых допускают значительные поперечные
смещения осей валов и компенсацию небольших перекосов и осевых смещений.
К управляемым муфтам с силовым замыканием механической связью относятся
электромагнитные муфты (или муфты трения), которые допускают включение на ходу
и под нагрузкой. Конструкция электромагнитных муфт может быть выполнена с одним
или несколькими дисками, с цилиндрическими или коническими поверхностями
трения, с механическим, пневматическим, гидравлическим или электромагнитным
управлением. Электромагнитные муфты применяют в автоматических системах, т.к.
они позволяют осуществлять дистанционное управление. Самоуправляемые, или
автоматические, муфты включаются и выключаются в зависимости от изменения
режима работы машины. К ним относятся: однооборотные муфты, срабатывающие в
определенном положении через каждые один или несколько оборотов вала; обгонные
муфты, передающие момент только при одном направлении вращения ведущей
полумуфты относительно ведомой и проворачивающиеся при обратном направлении
вращения; центробежные муфты, включающиеся и выключающиеся в зависимости от
скорости вращения ведущей полумуфты.
Фрикционные муфты (ФМ) предназначены в основном для жесткого сцепления
валов. Гибкое соединение с их помощью возможно только путем импульсного
управления, при котором частота вращения вала представляет собой функцию
скважности импульсов напряжения, подаваемых на зажимы обмотки. Фрикционные
муфты, или электромеханические муфты сухого трения, с механической связью
характеризуются большим разнообразием конструкций и схем управления.
Однодисковая нереверсивная ФМ, состоящая из двух цилиндрических полумуфт.
На ведущем валу жестко посажена полумуфта, являющаяся сердечником и ярмом
электромагнита. Его якорем служит полумуфта, которая соединена с ведомым валом
скользящей посадкой и, следовательно, может перемещаться в осевом направлении.
С помощью колец и щеток на обмотку подается управляющее напряжение. Возникающее
тяговое усилие вызывает притяжение якоря (полумуфты) к сердечнику (полумуфте) и
плотное сцепление фрикционных дисков из материалов с высоким коэффициентом
трения (сталь-стал, чугун-чугун, бронза-бронза, чугун-бронза, сталь- ферродо и
др.), благодаря чему обеспечивается сцепление валов.
При обесточенной обмотке якорь оттягивается от сердечника пружиной.
Основное достоинство однодисковой ФМ - простота, однако с ростом передаваемого
вращающего момента значительно увеличиваются ее размеры.
Действительно, передаваемый муфтой момент, создаваемый силами трения
фрикционных дисков.
В качестве задающих устройств в электрических схемах
сравнения обычно используют переменные резисторы, а в отдельных случаях -
многоцепные переключатели с набором резисторов, а потенциометры с профильными
каркасами, кулачковые механизмы и другие устройства. С развитием вычислительной
техники в качестве задающего устройства стали использоваться специальные
программы.
В сравнивающих устройствах управляемая величина у,
контролируемая датчиком, сравнивается с сигналом задания g, формируемым
задатчиком. На выходе сравнивающего устройства устанавливается исполнительный
механизм (ИМ), который в зависимости от сигнала рассогласования, определяемого
выражением
ε = g- y,
может находиться в состоянии равновесия (при ε
= 0) или рабочем
состоянии (при ε ≠ 0). Пусковое устройство включает ИМ в
целях устранения рассогласования.
В кинематических схемах сравнение механических величин
может осуществляться с помощью рычага, равновесие которого определяется
соотношением
xlx=Fзадlзад,
Где Fx, Fзад - соответственно контролируемое и
заданное усилия;x, lзад - плечи рычага, соответствующие
контролируемому и заданному усилиям.
В соответствии с этим выражением сигнал
рассогласования
ε = Fзад - Fxlx/ lзад,зад
= g; Fxlx/ lзад=y.
Следовательно, рычаг может быть использован для
сравнения усилий.равнение заданного рзад и контролируемого рх давлений
в гидравлических и пневматических устройствах можно рассмотреть на примере
схемы. При рх= рзад выходные сигналы одинаковые: р1
= р2, а ИМ находится в состоянии равновесия. При рх >pзад
и р1 > р2 поршень перемещается вверх. При рх
<Рзад поршень перемещается вниз. К электрическим сравнивающим
устройствам относятся мостовые, потенциометрические, трансформаторные,
дифференциально-трансформаторные схемы, электромеханические устройства, нуль-органы
и др.
Мостовая схема сравнения постоянного тока (рис. 22, в)
состоит из задающего резистора Rзад, датчика Rx,
сопротивление которого зависит от изменения управляемой величины, и двух
образцовых резисторов с сопротивлениями R1, и R2. На одну
из диагоналей схемы подают напряжение питания Uпит, с другой ее
диагонали снимают выходное напряжение Uвых, которое питает ИМ
(например, поляризованное реле).
Рисунок 22 - Схемы сравнивающих устройств:
а - на базе рычага; б - на пневматических элементах;
в - электрическая мостовая; г - на базе операционного усилителя
Условие равновесия мостовой схемы определяется
равенством произведений сопротивлений ее противолежащих плеч:
зад R1= Rx R2
в соответствии с которым сигнал рассогласования
ε= Rзад- RXR2/R1
Считая Rзад = g и RXR2/R1
= у, получим исходное выражение для сигнала рассогласования:
ε = g - y
Электрическое устройство сравнения может быть
выполнено на базе операционного усилителя (рис. 22, г). При этом на датчик RX
подается напряжение + Ux, а на задатчик Rзад -
напряжение обратной полярности - Uзад.
Выходное напряжение усилителя
вых= - Rос(Ux/RX
- Uзад/ Rзад),
где Rос - сопротивление обратной связи
усилителя.
При использовании операционного усилителя для сравнения напряжений Ux
и Uзад, считая RX= Rзад= Rос,
получают выражение Uвых=Uзад-Ux, тождественное
исходному выражению для сигнала рассогласования, если принять g=Uзад
и y=Ux.
Операционный усилитель может быть также использован для сравнения
сопротивлений RX и Rзад. Тогда при Ux=| Uзад
| получают значение выходного напряжения усилителя, зависимое от изменения RX.
В этой схеме результат сравнения имеет непрерывную форму.
Наряду с рассмотренными устройствами в автоматике
широко распространены устройства сравнения дискретного типа, которые могут
выражать отклонение в виде числа (это различные счетчики, шаговые искатели и
др.) или в виде логических категорий, например: U1 > U2,
I1 < I2. Примерами устройств последнего типа могут
служить различные релейные элементы.
Простейшие реле постоянного или переменного тока
срабатывают, когда ток в цепи срабатывания достигает большего значения, нежели
установленный для них предел. Следовательно, факт срабатывания - это сигнал
«больше»:
>Iсраб
Поляризованные реле, имеющие несколько обмоток, могут
осуществлять алгебраическое суммирование нескольких величин. Направление
переброски якоря определяется знаком сигнала рассогласования.
Литература
1. Шишмарев В.Ю. «Типовые элементы систем автоматического
управления» М.: Издательский центр «Академия», 2004. - 304 с.
2. Келим Ю.М. «Типовые элементы систем автоматического
управления» М.: «Форум»: ИНФРА-М, 2004. - 384 с.
. Головинский О.И. «Основы автоматики». М.: Высш.шк.,
1987. - 207 с.
. Шишмарев В.Ю. «Автоматика». М.: Издательский центр
«Академия», 2005. - 288 с.
. Головенков С.Н., Сироткин С.В. «Основы автоматики и
автоматического регулирования станков с программным управлением: Учебник для
машиностроительных техникумов. - 2-е издю, перераб. И доп. - М.:
Машиностроение, 1988. - 288 с.