Расчет процессов в тепловых двигателях и компрессорах
РОСЖЕЛДОР
Государственное
образовательное учреждение
высшего
профессионального образования
«Ростовский
государственный университет путей сообщения»
(РГУПС)
Кафедра
«Теплоэнергетика на железнодорожном транспорте»
Дисциплина
«Термодинамика и теплопередача»
КУРСОВАЯ
РАБОТА
Тема
Расчет процессов в тепловых двигателях и компрессорах
Вариант
72
Студент
Группа МТ-2-624
Никитенко К.А.
Руководитель
курсовой работы Кууск А.Б.
2010
Содержание
Термодинамика
Ответы на теоретические вопросы
Решение задач
Теплопередача
Ответы на теоретические вопросы
Решение задач
Литература
Термодинамика
Вопросы:
. Как аналитически и графически находится работа
в обратимых термодинамических процессах?
. Изобразите в координатах u
- p и s -T теоретический цикл поршневого двигателя внутреннего сгорания с
комбинированным подводом теплоты. Как находится термический КПД цикла ДВС с
комбинированным подводом теплоты?
Задачи:
. При изотермическом сжатии 0,8 м3 кислорода с
начальными параметрами р1 и t1
отводится Q кДж теплоты.
Определить затрачиваемую работу, давление и объем газа в конце процесса, а
также изменение энтропии. Теплоемкость газа принять не зависящей от
температуры. Изобразить графики процесса в координатах u-
p s-T.
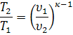
. Рассчитать идеальный цикл двигателя внутреннего
сгорания с комбинированным подводом теплоты при следующих исходных данных:
рабочее тело обладает свойствами воздуха (зависимостью теплоемкости от
температуры пренебречь); заданы характеристики цикла степень сжатия e,
степень предварительного расширения r и степень
повышения давления l; начальные параметры цикла р1 и t1.
Определить параметры рабочего тела в переходных точках цикла, количество
подводимой и отводимой теплоты и полезную работу (для 1 кг рабочего тела), а
также термический КПД цикла. Цикл изобразить в координатах u
- p s -T.
Ответы на теоретические вопросы:
Вопрос №3
Обратимым будем называть такой процесс, который
можно провести в обратном направлении при условии, что вся термодинамическая
система вернется в исходное состояние. В природе не существует обратимых
процессов. Обратимые (равновесные) процессы неосуществимы, однако введение их в
рассмотрение полезно. Дело в том, что в ряде случаев реальные термодинамические
процессы могут быть близки к обратимым.
В различных тепловых двигателях совершаются
различные процессы, в результате чего двигатель совершает полезную работу.
Часть совершаемых процессов является процессами сжатия, а часть - расширения.
Совокупность таких процессов будем называть круговым процессом, или циклом. В
результате осуществления цикла
В равновесных процессах расширения 1с2 работа
положительна, а в процессах сжатия 2d1
работа отрицательна.
Рассмотрим изображенный на рис.1 произвольный
цикл. Мы знаем, что площадь под кривой процесса в этих координатах представляет
собой работу.
рис.1
Работа расширения для 1 кг рабочего тела равна
Работа сжатия равна
Работа цикла
Для осуществления работы цикла на одних участках
подводится теплота, а на других отводится. Внутренняя энергия рабочего тела за
цикл не изменяется, поэтому работа цикла осуществляется за счет разности
подводимой и отводимой теплоты
Вопрос №18
Рис.2
Изображение цикла
1,2 - адиабатное сжатие
,3 -изобарный подвод теплоты
,4-адиабатное расширение
,1- изохорный отвод теплоты
термический КПД цикла
=q1-q2
(Дж/кг)
η=l/q1
или же
Решение задач:
Задача №6
Работа расширения:
Изменение энтропии:
Конечный объем:

Рис.3
Задача №17
Точка1
Уравнение состояния для 1кг
газа
где R=287
Дж/кг·К - газовая постоянная воздуха
Удельный объем воздуха
Точка2
Удельный объем воздуха
Давление определяем из уравнения для
адиабатического процесса 1-2
где κ=1,4
- показатель адиабаты для двухатомных газов.
Температуру определим из уравнения для
адиабатного процесса 1-2
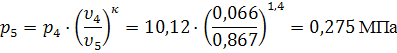
Точка3
Удельный объем
Давление газа
Температуру определяем из уравнения
Точка4
Удельный объем
Температуру определяем из уравнения
Давление газа
Точка5
Удельный объем
Давление газа
Температура газа
Количество подведенной теплоты
где
-
массовая теплоемкость воздуха как двухатомного газа в изохорном процессе;
где
-
массовая изобарная теплоемкость;
Количество отведенной теплоты
Работа в цикле
Термический КПД цикла
Теплопередача
Вопросы:
. Выбор материала тепловой изоляции
трубопроводов, критический диаметр тепловой изоляции.
. Теплоотдача при свободной конвекции в
неограниченном пространстве.
Задачи:
работа термодинамический расширение
сжатие
4. Какова должна быть толщина слоя изоляции
паропровода наружным диаметром d2,
если при температуре его поверхности tс2
наружная поверхность изоляции имеет температуру tс3
= 60 0С. Коэффициент теплопроводности изоляции λиз,
температура окружающего воздуха tв
= 20 0С, коэффициент теплоотдачи от наружной поверхности изоляции - α2.
. Определить коэффициент теплоотдачи от
внутренней поверхности трубки конденсатора паровой турбины к охлаждающей воде,
количество передаваемой теплоты и длину трубки, если средняя по длине
температура внутренней поверхности трубки Тст = 293 К, внутренний диаметр
трубки d, температуры воды на входе и выходе из трубки Тж1 и Тж2, а средняя скорость
воды в трубке - w.
Ответы на теоретические вопросы
Вопрос №7.
Материалы теплоизоляционного слоя
Для изоляции трубопроводов прежде всего
рекомендуется применять формованные теплоизоляционные материалы, которые
обеспечат значительное сокращение трудозатрат и сроков монтажа. Для этой цели
лучше всего подходят цилиндры из стекловолокна или минеральной ваты на
синтетическом связующем.
При температуре от минус 60 до 280оС для
трубопроводов наружным диаметром до 325 мм в соответствии с номенклатурой рекомендуется
применять цилиндры производства «Сен-Гобен Изовер». При более высоких
температурах могут быть применены цилиндры из минеральной ваты на основе
базальтового волокна Назаровского ЗТИ, ЗАО «Минеральная Вата» (Rockwool), ЗАО
«ИЗОРОК» или цилиндры и полуцилиндры фирмы «Раroc».
Для изоляции трубопроводов в диапазоне
температур до 600оС могут быть применены маты прошивные из волокна из горных
пород производства ОАО «Термостепс», ЗАО «ИЗОРОК» или Назаровского завода,
имеющие очень близкие характеристики, а также изделия из базальтового
супертонкого волокна.
Применение матов из шлаковой ваты при
температуре более 400оС не может обеспечить долговечность теплоизоляционных
конструкций, что подтверждается опытом их применения на объектах энергетики.
Для изоляции трубопроводов холодного
водоснабжения наиболее рациональным является применение изделий, обладающих
большим сопротивлением паропроницанию, такие, как изделия из вспененного
каучука или пенополиэтилена (трубки, рулоны). Они обладают низкой
теплопроводностью, высоким сопротивлением паропроницанию, водонепроницаемостью,
что обусловлено их структурой (закрытые поры), препятствующей диффузии пара.
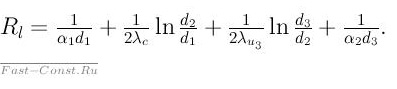
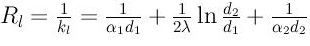
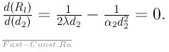
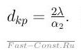
Критический диаметр тепловой изоляции:
Рассмотрим влияние изменения наружного диаметра
на термическое сопротивление однородной цилиндрической стенки. Имеем:
(1)
При постоянных значениях 1, d1 , λ
и
2 полное термическое сопротивление теплопередачи цилиндрической стенки будет
зависеть от внешнего диаметра. Из уравнения (1) следует, что при этих условиях
1/ 1d1 ≡Rl1 = const.
Термическое сопротивление теплопроводности
с
увеличением d2 будет возрастать, а термическое сопротивление теплоотдачи 1/ 1d1
=Rl2 будет уменьшаться. Очевидно, что полное термическое сопротивление будет
определяться характером изменения составляющих Rlc и Rl2. Изменение частных
термических сопротивлений изображено на рисунке 5
Чтобы выяснить, как будет изменяться Rl при
изменении толщины цилиндрической стенки, мсследуем Rl , как функцию d2. Возьмем
производную от Rl по d2 и приравняем нулю:
Значение d2 из последнего выражения
соответствует экстремальной точке кривой Rl = f(d2). Исследовав кривую любым из
известных способов на максимум и минимум, увидим, что в экстремальной точке имеет
место минимум. Таким образом, при значении диаметра d2=2λ/2
термическое
сопротивление теплопередачи будет минимальным.
Значение внешнего диаметра трубы,
соответствующего минимальному полному термическому сопротивлению теплопередачи,
называется критическим диаметром и обозначается dkp. Рассчитывается он по
формуле
(2)
При d2 < dkp с увеличением d2 полное
термическое сопротивление теплопередачи снижается, так как увеличение наружной
поверхности оказывает на термическое сопротивление большее влияние, чем
увеличение толщины стенки.
При d2 > dkpс увеличением d2 термическое
сопротивление теплопередачи возрастает, что указывает на доминирующее влияние
толщины стенки.
Изложенные соображения необходимо учитывать при
выборе тепловой изоляции для покрытия различных цилиндрических аппаратов и
трубопроводов.
Рассмотрим критический диаметр изоляции,
наложенный на трубу (рис. 6). Термическое сопротивление теплопередачи для такой
трубы
Из уравнения ql=Δt/Rl следует,
что ql при увеличении внешнего диаметра изоляции d2 сначала будет возрастать и
при d3=dkр будет иметь максимум ql. При дальнейшем увеличении внешнего диаметра
изоляции ql будет снижаться (рис.7).
Выбрав какой-либо теплоизоляционный материал для
покрытия цилиндрической поверхности, прежде всего нужно рассчитать критический
диаметр по формуле (2) для заданных λиз
и 2.
Если окажется, что значение dkp больше наружного
диаметра трубы d2, то применение выбранного материала в качестве тепловой
изоляции нецелесообразно. В области d2< d3< dkp.из при увеличении толщины
изоляции будет наблюдаться увеличение теплопотерь. Это положение наглядно
иллюстрируется на рис.7. Только при d3= d3 эф тепловые потери вновь станут
такими же, как для первоначального, неизолированного трубопровода.
Следовательно, некоторый слой тепловой изоляции не будет оправдывать своего
назначения.
Значит, для эффективной работы тепловой изоляции
необходимо, чтобы dkp.из≤d2.
Пример. Трубу внешним диаметром d= 20 мм
необходимо покрыть тепловой изоляцией. В качестве изоляции может быть взят
асбест с коэффициентом теплопроводности λ= 0,1Вт/(м×К),
коэффициент теплоотдачи во внешнюю среду 2 = 5Вт/(м2×К).
Целесообразно ли в данном случае использовать асбест в качестве материала для тепловой
изоляции?
Так как d2<dkp.из, асбест в рассматриваемом
случае использовать нецелесообразно.
В настоящей статье вопрос о критическом диаметре
рассмотрен применительно к круглому цилиндру. Очевидно, что аналогичный эффект
будет наблюдаться и у тел иной геометрии, у которых внутренняя и внешняя
поверхности различны.
Вопрос №15
Свободные (естественные)
конвективные течения возникают под действием разности плотностей, связанной в
основном с неоднородностью температурного поля в жидкости.
Теплоотдача при свободном
движении вдоль вертикальной пластины
Рассмотрим вертикальную
пластину с постоянной температурой поверхности Тс, размещенную в большом объеме
жидкости (или газа). Вдали от пластины жидкость неподвижна, причем температура
жидкости Тж< Тс.
При движении жидкости вдоль
пластины снизу вверх вначале режим движения ламинарный. На некоторой высоте х
ламинарный слой жидкости начинает разрушаться (при Grж,хРrж
= Ra > 109) и
движение становится турбулентным. Развитое турбулентное течение наступает при
числе Рэлея Ra > 6 •
1010.
При ламинарном режиме движения
для расчета местных (локальных) коэффициентов теплоотдачи используется
уравнение подобия
Средний по высоте пластины
коэффициент теплоотдачи (при qc
= const) находится по
уравнению
в котором характерный размер l
- высота пластины.
При свободном турбулентном
течении жидкости вдоль пластины средний коэффициент теплоотдачи равен местному
и находится из уравнения подобия
Рисунок 8
Изменение коэффициента
теплоотдачи при свободном движении жидкости
В уравнениях за определяющую
температуру принята температура жидкости Тж на удаленном расстоянии от
пластины.
Средний коэффициент
горизонтальной пластины можно найти как
,
если поверхность теплообмена обращена вниз; если же поверхность теплообмена
горизонтальной плиты обращена вверх, то
.
Теплоотдача при свободном
движении жидкости около горизонтальных труб
При свободном движении жидкости
около горизонтальных труб могут иметь место ламинарный, переходной и
турбулентный режимы течения.
При ламинарном режиме течения
для
расчета средних коэффициентов теплоотдачи может быть использовано уравнение
подобия
в котором за определяющую
температуру принята температура жидкости вдали от трубы, а в качестве
определяющего размера выбран наружный диаметр трубы.
Теплоотдача при свободном
движении жидкости в ограниченном пространстве
В горизонтальных прослойках
(щелях), образованных плоскими поверхностями, свободное движение жидкости
отсутствует, если температура верхней поверхности больше, чем нижней. В этом
случае теплота передается от верхней поверхности к нижней за счет
теплопроводности и (или) излучения.
Если же температура верхней
поверхности прослойки меньше, чем нижней, то в прослойке возникают восходящие
потоки жидкости, чередующиеся между собой.
В вертикальных прослойках в
зависимости от расстояния между стенками б движение жидкости может происходить
по-разному. Если 8 велико, то восходящий (у горячей стенки) и нисходящий (у
холодной стенки) потоки жидкости движутся, не оказывая влияния друг на друга.
Если 8 мало, то из-за взаимных помех в прослойке возникают внутренние
циркуляционные контуры.
На практике плотность теплового
потока, передаваемого через прослойку, определяют по формуле
Где
-эквивалентный
коэффициент теплопроводности, учитывающий передачу теплоты через прослойку как
за счет теплопроводности, так и за счет конвекции; λ
-
коэффициент теплопроводности жидкости;
При GrPr
> 103 эта функция с некоторой погрешностью может быть найдена по уравнению
в котором в качестве
определяющего размера выбрана толщина прослойки δ, а
определяющей температурой является средняя температура
Решение задач:
Задача № 5
Построим графики функций
и
.
Их пересечение будет значением
.
Рис. 9
Толщина слоя изоляции паропровода
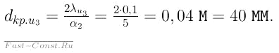
Задача № 13
Рассчитываем кинематический
коэффициент вязкости:
Рассчитываем число подобия
Рейнольдса :
Re
=
=
=
27249,1
При развитом турбулентном
течении жидкости в прямых трубах круглого сечения (Re
> 10000)
Nu
= 0,021·Reж,d0,8
·Prж0,43 *·(Prж
/ Prст)0,25 =
0,021·191000,8·8,270,43·(8,27 / 7,02)0,25 = 0,021·2659,66·2,48·1,042 = 144,333
Значения м,
Prж
,Prст находим из
таблицы : теплофизические свойства воды при атмосферном давлении и на линии
насыщения.
α = Nuж,д
=
144,333 ·
= 5648,23
M
= w·ρ·
= 2,1 · 999 ·
кг
Q
= Cpw ·M·(Tж2
- Tж1) = 4,19·0,37·(293
- 284) = 13,953 кВт
F
=
=
=
0,55 м2
l
=
=
=
11,68
Список используемой литературы
1. Карминский
В.Д. Техническая термодинамика и теплопередача: учебник; Рост. Гос ун-т путей
сообщения. Ростов н/Д, 2000.
. Теплотехника
, под ред. А.М. Архарова, М., Машиностроение, 1986
. Техническая
термодинамика, под ред. В.И. Крутова. - М.: Высш. шк, 1991
. Рабинович
О.М. Сборник задач по технической термодинамике. М., Машиностроение, 1973.
. Исаченко
В.П. и др. Теплопередача. М. Энергоатомиздат, 1988