Применение сетей Петри в задачах моделирования
Оглавление
Введение
Общие понятия о сетях Петри
Применение сетей Петри к
задачам моделирования
Моделирование конечных
автоматов
Параллельные вычисления и
синхронизация
Моделирование процесса
усвоения знаний
Моделирование процесса
усвоения знаний методом сетей Петри
Моделирование мотивационных
механизмов
Моделирование цепочек
творческой деятельности
Трёхуровневая модель
витального интеллекта
Принципы оценки эффективности
усвоения знаний
Непроизвольные методы
получения знаний
Запоминание и сон
Оценка эффективности знаний,
полученных во сне
Сон в философии Турья
Прикладная часть курсового
проекта
Особенности разработки
программы
Руководство пользователя
Альтернативные проекты
Выводы
Литература
Введение
Сети Петри - это инструмент исследования систем. Теория сетей Петри
делает возможным моделирование системы математическим представлением её в виде
сети Петри [2]. Вообще в данном определении ключевым понятием является
возможность её математического представления, то есть теория сетей Петри по
сути представляет собой механизм формализации процесса моделирования. Но так
как задание курсового проекта звучит как моделирование процесса усвоения
знаний, то мы будем вынуждены прибегать к некоторой абстракции самого процесса
усвоения. С этой целью будет рассмотрена трёхуровневая модель витального
интеллекта по Нечаеву [1], работы П.И. Зинченко и В.П. Зинченко по психологии
[6,7], понятия о психологии мышления [13,14] и некоторые собственные мысли
автора по поводу рассмотрения процесса усвоения знаний. Но следует заметить,
что человека как носителя информации и накопителя (то есть как субъекта,
реализующего процесс усвоения знаний) можно представить как совокупность
некоторых биохимических процессов, свойств и взаимодействий. Текущий уровень
науки не позволяет разбирать такие процессы на низком биофизическом уровне и
позволяет работать лишь с философскими абстракциями. Тем не менее, уже сейчас
есть примеры, например [8, 9], где показана принципиальная возможность
низкоуровневых исследований процессов усвоения знаний (в данных опытах
применялась магнитно-резонансная томография участков мозга, в [9] - для оценки
восприятий людьми первичных понятий, в [8] - для оценки последствий усвоенных
знаний).
Кроме того в современном научном мире есть исследования, подтверждающие
влияние на память человека такого процесса, как сон. К сожалению, в России
действительно научных исследований на эту тему не проводится и большинство
исследований процессов памяти и сна (даже не смотря на существующий в России в
Екатеринбурге Клинический Институт Мозга) носят прикладной, а не
фундаментальный характер и направлены больше на лечение текущих проблем,
например, бессонницы и прочего. Фундаментальные же исследования проводятся в
основном за рубежом. Примером таких исследований являются работы [10, 11], в
которых показано влияние сна на процесс усвоения знаний. Более того, некоторые
известные музыканты, в частности пианисты, говорят о том, что учат произведения
во сне. Но в данной работе данная проблема будет описана кратко на основании
индийской философии Турьи [12].
Общие понятия о сетях Петри
Перед тем как ввести понятие о сетях Петри следует упомянуть о том, что
существуют два направления развития сетей Петри. Первое направление -
прикладная теория сетей Петри - связана с применением сетей Петри для
моделирования систем, их анализа и анализа результатов. Второе направление -
чистая теория сетей Петри - занимается разработкой средств, методов и понятий,
необходимых для применения сетей Петри [2].
Очевидно, что для задач курсового проекта следует применять прикладную
теорию сетей Петри. Но следует помнить, что все они опираются на чистую теорию
сетей Петри, которая развивалась множеством авторов, которые, порой, определяли
и разрабатывали чистую теорию по разному. В данной работе не будет рассматриваться
кратность связей (то есть кратных дуг), но будут использоваться множественные
фишка. Подробнее об этих понятиях будет написано ниже.
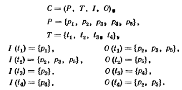
Итак, сеть Петри C
является четвёркой

,
где

-
конечное множество позиций, n > 0, 
-
конечное множество переходов, m > 0, таких, что 
. 
-
является входной функций - отображением из переходов в комплекты позиций. 
-
выходная функция - отображение из переходов в комплекты позиций [2].
Пример
сети приведён на рис. 1.
Рис.
1. Пример структуры сети Петри
Но визуально удобным является графическое представление сети Петри. Если
мы обозначим кружком
позиции, а палкой | - переходы, а в качестве отображений
переходов примем ориентированные стрелки, то получим граф сети Петри.
Граф G сети Петри - это двудольный
ориентированный мультиграф,
G = (V,A),
где

-
множество вершин, 
-
комплект направленных дуг, 
, где 
и для
любой направленной дуги либо 
, либо 
.
Доказательства
эквивалентности представлений можно найти в [2], а ниже на рис. 2 приведён
рисунок сети рис. 1 в графическом представлении.
Рис.
2. Граф сети Петри, соответствующей
сети на рис. 1.
Следующим основным понятием, которое мы введём, будет маркировка.
Маркировка µ сети Петри - есть отображение множества позиций P в множество неотрицательных целых
чисел:

[2].
За
таким понятием скрывается довольно простая вещь - в каждый кружочек мы можем
поместить точку (или несколько), которая будет отражать, грубо говоря,
некоторый потенциал данной позиции. Например, промаркируем сеть рис. 1
следующим образом: (1, 0, 0, 2, 1). Здесь число, стоящее на i-й
позиции в множестве обозначает количество точек в pi.
Таким образом мы получаем рис. 3.
Рис.
3. Маркировка сети Петри
Следующий пункт - выполнение сети. Для этого надо разобрать исходное
понятие - разрешённые переходы. Переход разрешён если каждая из его входных
позиций имеет по крайней мере столько фишек, сколько дуг из этой позиции в
данный переход. Запуск перехода - перенос фишек через разрешённые переходы из
исходных позиций в новые (из исходных позиций фишки удаляются, в новые
добавляются). Тогда выполнение сети - процесс запуска переходов. В результате
выполнения сети мы получаем новую маркировку µ`.
Например, на рис. 3 разрешены переходы t1, t3, t4, а переход t2 запрещён. Переход t1 разрешён потому, что на входе у
него позиция p1 с одной дугой и имеет одну фишку. Переход t2 запрещён, так как входящие в него позиции p2 и p3 не имеют фишек вообще. Переход t3 разрешён, так как в него входит посредством двух дуг
позиция p4, имеющая 2 фишки. Переход t4 разрешён, так как имеет на входе он имеет позицию p5 с одной фишкой и одной дугой.
Рис.
4. Граф сети после запуска в сети рис.3
перехода t4
Рис.
5. Граф сети после запуска в сети
рис.4 перехода t1
Можно заметить, что после последовательного выполнения переходов t4 и t1 переход t2 становится разрешённым.
Функция следующего состояния -

для
сети Петри 
с
маркировкой 
и
переходом ti определена тогда и только тогда, когда переход ti разрешён и определяется выражением

где

- новая
маркировка, получаемая при выполнении перехода ti.
Кроме того следует ввести понятие непосредственно достижимой маркировки.
Маркировка 
непосредственно
достижима из µ, если существует ti 
такой, что 
. Далее
следует понятие множества достижимости. Множество достижимости R(C, µ)
для сети Петри 
с
маркировкой µ есть наименьшее множестве маркировок, такое, что: а) 
, б) если 
и 
для
некоторого tj 
, то 
Например, для сети на рис. 6. Множеством достижимости R(C, µ)
является множество: 
[2].
Рис.
6. Пример сети Петри для иллюстрации
понятия множество достижимости
Так как все процессы моделирования усвоения знаний носят вероятностный
характер по своей природе, то целесообразно определить стохастическую сеть
Петри. Стохастической сетью Петри называется пара

где

описывает
структуру сети, а отображение

,
где


присваивает
каждой позиции вектор распределения вероятности наличия фишек 
[4]. То
есть V - набор векторов, отражающих вероятность нахождения
фишки в данной точке. При этом номер компоненты вектора отражает количество
фишек, а значение компоненты равняется вероятности нахождения такого количества
фишек в этой позиции. Проще говоря, V- двухмерный вектор, первая
компонента соответствует номеру позиции, вторая компонента отражает вероятность
того, что на данной позиции находится j-е количество фишек. Таким
образом, размерность вектора количественно равна произведению количества
позиций на максимальное число фишек. Соответственно переход ti в такой сети может быть разрешён тогда и только тогда, когда у вектора
вероятностей каждой входной позиции этого перехода имеется компонента, не
равная нулю с номером равным или большим числа дуг, соединяющих данную позицию
с переходом [4]. Все функции, которые были определены выше для статической сети,
теперь носят вероятностный характер. Для описания правил изменения маркировки
применяется математический аппарат свёртки матриц Грама.
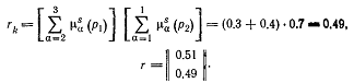
Пусть
сеть имеет вид, представленный на рис. 7:
Рис.
7. Пример сети
И имеет начальную маркировку:

Переход t1 разрешён, так как

.
После
срабатывания перехода t1
маркировка позиций p1 и p2 имеет вид:
Рис.
9. Маркировка сети после выполнения
перехода t1
Определим вектор r:
Рис.
10. Вектор r
Найдём
матрицу Грама для векторов 
и r:
Рис.
11. Матрица Грама
Таким образом, маркировка позиции p3 после перехода будет:
Рис.
12. Маркировка позиции p3 после выполнения перехода t1
Применение сетей Петри к задачам моделирования
По Питерсону [2], простое представление системы основано на
основополагающих понятиях: событиях и условиях. События - это действия, которые
имеют место быть в системе. Возникновение событий управляет состоянием системы.
Состояние системы, в свою очередь, может быть описано множеством условий. В
данном случае условия - это предикаты. Таким образом они могут принимать
значения «истина» или «ложь».
Так как события являются действиями, то они могут происходить. Чтобы оно
произошло должно реализоваться предусловие. Возникновение событий может
нарушать предусловия и может привести к выполнению других событий -
постусловий.
Логичным примером построения простейшей системы с помощью сетей Петри
может быть моделирование простого исполнителя, в данном случае - процессора
компьютера. С достаточным уровнем абстракции он может быть описан в виде графа
сети Петри на рис. 13.
Рис.
13. Моделирование простой
вычислительной схемы
Следующим важным фактом является тот факт, что выполнение переходов в
сети Петри мгновенно. То есть фактор времени здесь не учитывается. Но на деле
это не так. Однако зачастую переходами моделируется выполнение каких-либо
далеко не мгновенных операций. В этом случае выполнению операции может быть
сопоставлен длительный переход. Для наглядности длительные переходы, в отличие
от простых, часто обозначаются прямоугольником [5].
Рис.
14. Номенклатура длительного процесса
Длительный переход, как и простой, начинает выполнение с изъятия фишек из
входных позиций и завершает, соответственно, помещая фишки в выходные. Основное
отличие от простого перехода заключается в том, что между этими двумя моментами
могут срабатывать другие переходы. Иначе говоря, срабатывание длительного
перехода не атомарно.
С момента начала выполнения до момента завершения длительный переход
считается активным, в противном случае - пассивным. Длительный переход не может
сработать, если он активен, т.е. уже выполняется, даже если он разрешен по
наличию фишек во входных позициях.
Рис. 13 может быть перерисован в следующем виде:
Рис.
15. Использование другой номенклатуры
для процесса на рис. 13
Поскольку длительный переход не мгновенен и его срабатывание не атомарно,
выполнение различных длительных переходов может перекрываться во времени, т.е.
осуществляться параллельно. Длительный переход не мгновенен и его срабатывание
не атомарно, выполнение различных длительных переходов может перекрываться во
времени, т.е. осуществляться параллельно [5].
Моделирование конечных автоматов
Конечный автомат - абстрактный автомат без выходного потока, число возможных
состояний которого конечно. Результат работы автомата определяется по его
конечному состоянию.
Существуют различные варианты задания конечного автомата. Например,
конечный автомат может быть задан с помощью пяти параметров:
,
где:
§ Q - конечное множество
состояний автомата;
§ q0 - начальное состояние
автомата (
);
§ F - множество заключительных (или допускающих) состояний, таких что
;
§ Σ
- допустимый входной алфавит (конечное
множество допустимых входных символов), из которого формируются строки,
считываемые автоматом;
§ δ
- заданное отображение
множества
во множество
подмножеств Q:
(иногда δ называют функцией переходов автомата).
Так как целью данной работы не является построение конечных автоматов, то
подробно мы их описывать не будем. Но скажем, что автоматы часто представляются
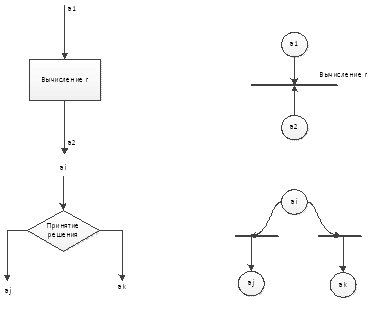
в виде графов-переходов. А моделирование в рамках сети Петри осуществляется
посредством представления алфавитов автомата (входного или выходного) позициями
или переходами. Обычно входы представляются позициями. Приведём небольшой
пример:
Рис.
16. Граф конечного автомата,
вычисляющего дополнение до двух
Рис.
17. Эквивалентная сеть Петри
Но основным применением сетей Петри в данной конкретной работе будет
возможность преобразования блок-схемы в сеть Петри. Таким образом, в виде сети
Петри можно представить любой готовый алгоритм, который построен на вычислениях
и ветвлениях. Рис. 18 иллюстрирует
правила перевода:
Рис.
18. Правила перевода блок-схемы в
сеть Петри
Параллельные вычисления и синхронизация
Сетями Петри легко моделируется создание и выполнение параллельных ветвей
различных вычислительных процессов. К примеру, на рис. 13 изображена одна из
довольно популярных на сегодняшний день конструкций fork/join.
Переход fork моделирует «разветвление» - создание
из одной ветви выполнения двух параллельных ветвей. Это, как правило,
реализуется путем создания одной дополнительной ветви вдобавок к существующей.
Переход join, в свою очередь, осуществляет
«слияние» двух ветвей по завершению их работы - уничтожение созданной
параллельной ветви за ненадобностью.
Рис.
19. Пример конструкции fork/join
Используемые сегодня объекты синхронизации также легко моделируются
сетями Петри. К примеру, на рис. 20 изображен фрагмент сети Петри, моделирующий
барьерную синхронизацию трех процессов.
Рис.
20. Барьерная синхронизация процессов
В начале работы сети разрешенными являются три длительных перехода,
характеризующих выполнение некоторых подзадач. Три независимых процесса выполняют
эти подзадачи, и лишь после их полного завершения становится разрешенным
переход-барьер wait(all). После его срабатывания все три процесса снова
продолжают свою работу.
Похожим образом может быть смоделировано ожидание завершения любой из
подзадач, первой завершившей свое выполнение. К примеру, на рис. 28 показан
такой фрагмент сети. При завершении выполнения любого длительного перехода
становится разрешенным переход wait(any). После его срабатывания дальнейшая
работа продолжается, в то время как остальные подзадачи завершают свое
выполнение. Дополнительная входная позиция перехода wait(any)
защищает его от срабатывания при завершении остальных подзадач в случае, если в
текущий момент ожидание не выполняется. В процессе дальнейшей работы сети фишка
в эту позицию возвращается, и тем самым разрешается ожидание и обработка
результатов выполнения остальных подзадач.
Рис.
21. Пример ожидания
Одной из классических задач, иллюстрирующих проблемы синхронизации
процессов, является задача об обедающих философах. Ее постановка довольно
проста и вкратце заключается в следующем. За круглым столом сидят пятеро
философов, перед ними стоит блюдо спагетти. На столе лежат пять вилок - по
одной между каждыми двумя соседними философами. По условию каждому философу для
еды необходимо две вилки - лежащие непосредственно слева и справа от него.
Каждый философ пребывает за столом в одном из двух состояний - размышляет или
ест. В последнем случае оба его ближайших соседа размышляют, поскольку для еды
им не хватает вилок.
Основная проблема, иллюстрируемая этой задачей - проблема возможности
взаимоблокировки, которая была описана раньше. В случае реализации с
последовательным захватом вилок возможна ситуация, когда одновременно все
философы возьмут, к примеру, левую от себя вилку. Тогда ни один из них не
сможет взять правую вилку, и каждый окажется заблокированным в ожидании ее
освобождения.
Рис.
22. Задача об обедающих философах
На рис. 2 изображена сеть Петри, решающая задачу об обедающих философах.
Позиции eating и thinking здесь характеризуют пребывание соответствующего
философа в состоянии еды или размышлений. Позициями fork обозначается
доступность вилок. Переходы start и stop характеризуют переход философа к еде и
к размышлениям соответственно.
Однократный процесс приема пищи каждым философом представляет собой
длительную операцию и может быть представлен в виде длительного составного
перехода. В этом случае срабатывание перехода stop характеризует завершение
приема пищи философом и, соответственно, завершение длительного перехода.
Рис.
23. Другое представление задачи
Одним из довольно простых решений этой проблемы, хотя, конечно, далеко не
самым лучшим, является следующее. К сети, изображенной на рис. 23, добавим
барьерную синхронизацию после того, как каждый философ осуществит прием пищи по
одному разу. Для этого добавим к каждому философу по две позиции - позицию todo, количество фишек в которой отражает
количество предстоящих подходов философа к еде до следующего барьера, и позицию
done, отражающую количество выполненных
подходов. Полученная сеть изображена на рис. 24.
Рис.
24. Решение задачи вместе с барьерном
синхронизацией
В случае если синхронизация после каждого подхода к еде является слишком
частой мерой, количество фишек в каждой позиции todo может быть увеличено.
Более того, начальные количества фишек в этих позициях могут быть заданы
разными, в зависимости от потребности в интенсивном питании каждого из
философов. В соответствии с начальным количеством фишек в позициях todo должна
быть изменена и кратность дуг, ведущих в переход-барьер и из него.
С учетом такой модификации сети каждый философ будет получать доступ к
еде в обычном порядке, пока не закончатся фишки в соответствующей позиции todo, после чего остановится на
размышлениях. Таким образом, пока каждый из пяти философов не получит доступ к
еде заданное количество раз, переход к следующему циклу осуществлен не будет.
Когда все фишки из позиций todo
постепенно переместятся в соответствующие позиции done, переход-барьер снова переместит их в позиции todo, после чего начнется следующий цикл
приема пищи. [5]
Моделирование процесса усвоения знаний
Знание - форма существования и систематизации результатов познавательной
деятельности человека. Знание помогает людям рационально организовывать свою
деятельность и решать различные проблемы, возникающие в её процессе [15].
Изучением знаний занимается науки гносеология (от др.-греч. γνῶσις
- «знание» и λόγος
- «учение, наука») и
эпистемология (от др.-греч. ἐπιστήμη
- «умение, знание», и λόγος
- «учение, наука»).
Следующее определение - познание - совокупность процессов, процедур и
методов приобретения знаний о явлениях и закономерностях объективного мира
[15].
Вообще лично мне представляется очевидным тот факт, что процесс получения
и усвоения знаний может носить характер, не связанный ни с потребностью, ни с
решаемой задачей. То есть, грубо говоря, индивид может приобрести знания даже
тогда, когда он не хочет или они ему не нужны. В частности, существуют работы
Зинченко [7] о непроизвольном запоминании. Но сам автор пишет, что в настоящее
время в ней нет такой теории памяти, внутри которой могла бы найти свое место
проблема непроизвольного и произвольного запоминания. Поэтому, а также в виду
глубоко философского аспекта данной проблемы моделировать такие процессы здесь
мы не будем, а упомянём о них в аспектах получения знаний в процессе сна ниже.
А здесь при моделировании процесса усвоения знаний мы примем, что
существует следующая цепочка по Нечаеву [1]:
Рис.
25. Цепочка потребность-задача
Для дальнейшего развития темы знания нужно классифицировать. Примем для
этого классификацию по степени научности [15]:
· Научные знания
o эмпирические
o теоретические
· Ненаучные знания
o паранаучными - знания несовместимые с имеющимся
гносеологическим стандартом. Широкий класс паранаучного (пара от греч. - около,
при) знания включает в себя учения или размышления о феноменах, объяснение
которых не является убедительным с точки зрения критериев научности;
o лженаучными - сознательно эксплуатирующие домыслы и
предрассудки. Лженаучное знание часто представляет науку как дело аутсайдеров.
В качестве симптомов лженауки выделяют малограмотный пафос, принципиальную
нетерпимость к опровергающим доводам, а также претенциозность. Лженаучное
знание очень чувствительно к злобе дня, сенсации. Его особенностью является то,
что оно не может быть объединено парадигмой, не может обладать
систематичностью, универсальностью. Лженаучные знания сосуществуют с научными
знаниями. Считается, что лженаучное знание обнаруживает себя и развивается
через квазинаучное;
o квазинаучными - они ищут себе сторонников и приверженцев,
опираясь на методы насилия и принуждения. Квазинаучное знание, как правило,
расцветает в условиях строго иерархированной науки, где невозможна критика
власть предержащих, где жестко проявлен идеологический режим. В истории России
периоды «триумфа квазинауки» хорошо известны: лысенковщина, фиксизм как
квазинаука в советской геологии 50-х гг., шельмование кибернетики и т.д;
o антинаучными - как утопичные и сознательно искажающие
представления о действительности. Приставка «анти» обращает внимание на то, что
предмет и способы исследования противоположны науке. С ним связывают извечную
потребность в обнаружении общего легко доступного «лекарства от всех болезней».
Особый интерес и тяга к антинауке возникает в периоды социальной
нестабильности. Но хотя данный феномен достаточно опасен, принципиального
избавления от антинауки произойти не может;
o псевдонаучными - представляют собой интеллектуальную
активность, спекулирующую на совокупности популярных теорий, например, истории
о древних астронавтах, о снежном человеке, о чудовище из озера Лох-Несс;
o обыденно-практическими - доставлявшими элементарные сведения
о природе и окружающей действительности. Люди, как правило, располагают большим
объемом обыденного знания, которое производится повседневно и является исходным
пластом всякого познания. Иногда аксиомы здравомыслия противоречат научным
положениям, препятствуют развитию науки. Иногда, напротив, наука длинным и
трудным путем доказательств и опровержений приходит к формулировке тех
положений, которые давно утвердили себя в среде обыденного знания. Обыденное
знание включает в себя и здравый смысл, и приметы, и назидания, и рецепты, и
личный опыт, и традиции. Оно хотя и фиксирует истину, но делает это не
систематично и бездоказательно. Его особенностью является то, что оно
используется человеком практически неосознанно и в своем применении не требует
предварительных систем доказательств. Другая его особенность - принципиально
бесписьменный характер.
o личностными - зависящими от способностей того или иного
субъекта и от особенностей его интеллектуальной познавательной деятельности.
Последним необходимым для введения понятием будет новизна. По Нечаеву [1]
существует 4 типа новизны:
) индивидуальная
) коллективная
) региональная
) глобальная
Но вообще лично моё мнение таково, что существуют только первые и
последний тип новизны. Новизна индивидуальная очевидна - человек может оценить
свою деятельность, а для отдельного индивида большинство успешно решённых
творческих задач, в силу определения, будут новыми.
А вот коллективная новизна не существует. Потому, что даже если работает
целый коллектив и решает сообща некоторую задачу, по сути идёт итеративный
процесс получения индивидуальной новизны у решающих задачу. Случаи, когда ответ
получается одновременно несколькими членами коллектива, не имеют под собой
научной основы (пока нету прямых интерфейсов вида мозг-мозг), а объясняются
приблизительно равным объёмом накопленных в данной области знаний. А так как
мышление человека пока что, несмотря на индивидуальность, описывается
концептуальными моделями, то принципы мышления сходные, поэтому одинаковый
одновременный ответ двух или нескольких человек коллектива всё равно будет
индивидуальной новизной. А после получения ответа на творческую задачу и
разрешения противоречий данные индивиды расширяют область знаний других людей
коллектива таким образом, что те также получают индивидуальную новизну.
Региональная новизна существует лишь как частный случай глобальной
новизны и может быть объяснена существенными различиями генотипов и социотипов
людей.
Глобальная же новизна очевидна, так как в данном случае создаётся новый
объект информационного поля планеты (на основании теорий В.В. Вернадского).
Региональная новизна является подвидом глобальной, так как объект, в силу
вышеперечисленных причин, ограничен областью пространства-времени
соответствующего генотипа индивидов, его создающих. Основное отличие от
индивидуальной новизны состоит в том, что у созданного объекта хватает энергии,
чтобы не быть поглощённым в общее поле, а какое-то продолжительное время
существовать и давать энергию индивидам для осуществления своей деятельности в
рамках новизны. О подобном, в частности, пишет Тихомиров [14], когда
рассматривает процесс мышления в структуре межличностного познания.
Кроме того, по Понамарёву [13] творчество можно
разделить на акты: желания, знания и умения.
Первый акт (интуиции и желания, происхождения замысла)
начинается с интуитивного проблеска идеи и заканчивается уяснением ее самим
изобретателем. Пока налицо лишь гипотетическая идея, вероятный принцип
изобретения, на уровне которого в научном творчестве стоит гипотеза, а в
художественном - замысел.
Второй акт (знания и рассуждения, выработки схемы или
плана) дает полный или выполнимый план, схему, где налицо все необходимое и
достаточное. Механизм этого акта состоит в производстве опытов как в мыслях,
так и на деле. Изобретение вырабатывается как логическое представление. Оно
оказывается готовым для понимания. Его дальнейшее выполнение уже не требует
творческой работы.
Третий акт (умения, конструктивного выполнения
изобретения) не требует творчества. Выполнение изобретения на этом этапе с
полной уверенностью в успехе может быть поручено всякому опытному специалисту.
Теперь, вооружившись основными понятиями о сетях Петри и о процессе
приобретения знаний как творческом, можно, на основании работ Нечаева [1]
преобразовать схемы моделей с использованием сетей Петри.
Моделирование процесса усвоения знаний методом сетей Петри
Моделирование мотивационных механизмов
В качестве первой схемы я рассмотрю схему реализации целевой и
деятельностной мотивации для реализации предмета потребности.
Исходная схема выглядит так:
Рис.
26. Схема реализации мотивационных
механизмов
На схеме выше приняты обозначения:
· ЦММ - центральные мозговые механизмы
· ММ - мотивационные механизмы
· ЦМ - целевая мотивация
· ДМ - деятельностная мотивация
· П - потребность
В виде графа сети Петри это будет выглядеть так:
Рис.
27. Представление мотивационных
механизмов в виде сети Петри
В данном случае ЦММ представлен как длительный процесс в соответствии с
выше принятой номенклатурой. По сути это чёрный ящик, который может иметь ещё
выходы, но в данном случае один из выходов - это мотивационные механизмы. После
попадания в позицию мотивационных механизмов происходит разветвление (fork). Почему это происходит мы увидим
ниже. Сами механизмы, выдающие определённое действие, определены внутри
выделенной пунктиром рамки. Затем для осуществления сложения происходит
операция слияния (join).
Как видно на рисунке выше не показаны фишки. Это происходит потому, что
пока нет потребности, все переходы запрещены. Единственная фишка (или
единственный набор фишек) находится внутри чёрного ящика ЦММ и отражает, по
сути, состояние ожидания. То есть это аналог схемы на рис. 13. Затем, при
возникновении потребности фишка появляется в первом элементе П, после чего
схемы запускается по разрешённым переходам. Очевидно, что все переходы на схеме
выше могут быть разрешены только после того, как фишка появится в позиции ММ,
то есть когда центральные мозговые механизмы решат, что для выполнения задачи и
реализации потребности нужны именно механизмы мотивации. Причём, и это явно
следует из схемы, целевые и деятельностные механизмы будут работать в
асинхронном режиме. А два различных перехода нужны для того, чтобы определить,
какую долю в текущей задаче получат целевые механизмы, а какую -
деятельностные.
По Нечаеву [1], который ссылается на труды Белова и теорию
гомеостатических систем по Горскому и др., обратная связь представима в виде:
Рис.
28. Схема обратной связи целевой и
деятельностной мотивации
В виде сети Петри это будет выглядеть следующим образом:
Рис.
29. Схема связи целевой и
деятельностной мотивации в форме графа сети Петри
На рис. 29 пунктиром выделены переходы, которые на схеме 27 осуществляют
слияние (join). А переходы, не выделенные блоком
над ними осуществляют разветвление (fork). Но на схеме 27 данные блоки являлись выходами в ΔЦМ и ΔДМ, а в данном случае данные выходы
возвращаются в исходную позицию, что позволяет запустить процесс итерационно.
Можно показать, что при наличии фишки в любой из двух исходных позиций (ДМ или
ЦМ) можно получить фишки на любой позиции, как на самих ДМ и ЦМ, так и на соответствующих
+ДМ, +ЦМ, -ДМ, -ЦМ. То есть наличие фишки, которая получена от механизмов
мотивации запускает весь механизм, который может быть остановлен тогда и только
тогда, когда фишка покинет данный блок наружу.
Моделирование цепочек творческой деятельности
Теперь мы можем расширить цепочку Нечаева, показанную на рис. 25 до
следующего:
Рис.
30. Цепочка творческой деятельности
Здесь П - потребность, ММ - мотивационные механизмы, описанные выше, С -
проблемная ситуация, а за ней идёт блок разрешения противоречий. Причём сам
механизм разрешение противоречий уже имеет фишку, это означает, что он будет
работать даже в том случае, если фишек снаружи нет. То есть наш мозг будет
разрешать противоречия даже тогда, когда у него нет проблемной ситуации. По
сути в этом механизме и заложен процесс познания, в том числе и
непроизвольного.
Сама
проблемная ситуация представлена только позицией. Но здесь надо рассмотреть то,
каким образом мы получаем информацию от внешнего мира. По Нечаеву [1] познание
опять же состоит из цепочки: Восприятие 
Осознание

Осмысление

Означивание.
Для моделирования данного процесса сетью Петри применим понятия пред и
постусловий и событий.
Но
для начала разберём, каким образом может приходить информация. У человека
информация поступает от пяти или шести органов и чувств. Это:
1) Зрение (З)
) Слух (С)
) Вкус (В)
) Обоняние (Н)
) Осязание (О)
) Вестибулярный аппарат (Т)
Обозначения в скобках понадобятся далее.
В силу среды распространения информации для каждого из чувств, время
работы будет различно. Также различен и цикл управления, получения и обработки
данных от органа. Например, для зрения источником информации является свет. Но
в силу химической природы зрения, световая волна, распространяющаяся со
скоростью 300000 км/с не может быть воспринята с такой же скоростью.
Максимальная световая чувствительность палочек глаза достигается после
достаточно длительной темновой. Её определяют под действием светового потока в
телесном угле 50° при длине волны 500 нм (максимум, максимальный оптимум
чувствительности глаза). В этих условиях пороговая энергия света составляет
величину порядка 10−9 эрг/с, что эквивалентно потоку
нескольких квантов оптического диапазона в секунду через зрачок.
Весь диапазон яркостей, которые наш зрительный механизм способен
воспринять, огромен: от 10−6 кд*м² для глаза, полностью адаптированного
к темноте, до 106 кд*м² для глаза, полностью адаптированного
к свету, или на 12 порядков яркости! Механизм такого широкого диапазона
чувствительности кроется в разложении и восстановлении фоточувствительных
пигментов в фоторецепторах сетчатки - колбочках и палочках.
Для слуха ситуация уже не такая печальная. В целом человеческое ухо и
мозг при дальнейшей обработке различает диапазон порядка 20мс, равное времени
прохождения звука в воздухе на расстоянии между правым и левым ухом. Такое
соотношение сложилось эволюционно, но на низком уровне не объясняется.
Очевидно, что природа в процессе эволюции считает, что человеку не нужно
распознавать более малые интервалы звука. Хотя для большинства людей подобный
интервал в 10 раз больше. Поэтому, например, в мобильной связи комфортной для
разговора считается задержка порядка 200мс.
А вот для оставшихся органов (за исключением вестибулярного аппарата)
скорость получения информации сравнима со скоростью обработки. Например вкус,
который обусловлен рецепторами языка. Сама природа вкуса - химическая,
обусловленная диффузией микрочастиц между языком и предметом. Аналогично,
обоняние обусловлено диффузией частиц воздуха в носу. А за осязание вообще
отвечают два типа медленных рецепторов.
Из всего вышесказанного следует сделать вывод, что, при одновременном
воздействии на какие-то органы чувств, следует помнить о времени осуществления
этих воздействий. За один и тот же промежуток времени информация, пришедшая по
зрительному каналу пройдёт гораздо больше циклов обработки, нежели информация
от кожи по осязанию. На этом, кстати, основаны техники вида НЛП, когда человека
заставляют ассоциировать звуковую информацию с прикосновениями. Оказывается,
что такой вид взаимодействий очень эффективно заносится в долговременную память
именно на основании прикосновения. Хотя строго научных объяснений этому
процессу так и не найдено.
Рис.
31. Принципиальная схема работы
механизма восприятия в виде сети Петри
Основной компонент схемы - ЦММ - центральные мозговые механизмы. Выше
было показано, что они могут запускать механизмы мотивации, но здесь эти же
механизмы выполняют немного другую роль. Рассмотри получившуюся схему по
этапам.
Сначала идёт восприятие от какого-то из органов чувств. Здесь внешний
вход моделируется в терминах событий t1 - переход,
означающий получение информации от внешнего мира. Позиция W - это условие, которое означает
ожидание входной информации. Строго говоря длительность этого ожидания -
элементарный квант времени, но как было сказано выше, у каждого органа своё
внутреннее понятие интервала времени. Поэтому следующий комплект
переход-позиция не является синхронным.
Далее в виде условного блока из двух переходов по бокам и позиций, одной
пустой с буквой, другой с фишкой, показано действие каждого из вышеописанных
органов чувств со своими обозначениями. Фишка означает то, что данное чувство
всегда находится в ожидании.
После чего каждый выход поступает на основной ЦММ. В зависимости от
реакции ЦММ в действие вступает первая или вторая сигнальная система или обе
сразу. Параллельно с этим и как результат работы сигнальных систем в том числе
в нашем мозге всегда работает механизм памяти. Образно он представлен 4мя
переходами с 3мя позициями, причём центральная позиция имеет фишку и она
является общим ресурсом. Остальная модель памяти взята в соответствии с [5]. M1 - это процесс записи в память, M2 - процесс чтения из памяти. Похожим
образом работают реальные системы баз данных. Причём даже из схемы видно, что
несмотря на отсутствие входной информации, механизмы работы с памятью всегда
работают и стимулируют центральные мозговые механизмы.
Можно видеть недостаток представления на рис. 21. Мы не рассматриваем
уровни памяти.
графический
петри моделирование синхронизация
Трёхуровневая модель витального интеллекта
По Нечаеву [1] и Пономарёву [13] модель интеллекта следующая:
Рис.
32. Трёхуровневая модель интеллекта
По Нечаеву [1] каждый уровень представим в виде:
Рис.
33. Уровень интеллекта по Нечаеву
Где СП - сенсорные поля, ЗП - выходные потоки информации, ИПДЗ -
информационное поле данных и знаний, БПВх и БПВых - буферная память входа и
выхода соответственно, ММ - механизмы мышления. Каждый уровень соединяется с
другим посредством двух воздействий. Во-первых это управление ММ, которые
входят и выходят с уровня (и управляются через центральные мозговые механизмы).
Во-вторых это информационное обеспечение, которые выражается двойными
стрелками. Круги - это концептуальные коды, отражающие механизмы преобразования
информации между уровнями, а буферная память - область внутри информационного
поля данных и знаний уровня, в которым как в некотором кэше хранится
информация, которой обмениваются уровни между собой.
Теперь представим уровень интеллекта в виде сети Петри:
Рис.
34. Уровень интеллекта в виде сети
Петри
Поясню рис. 34. Центральный элемент - это мозговой механизм. Он
взаимодействует с информационным полем данных и знаний, которое представляется
в виде длительного процесса. Как именно мозговые механизмы на каждом уровне
взаимодействуют со своим информационным полем, мы пока не знаем. Некоторые
мысли по этому поводу будут даны позже. Опять же как и в случаях выше, мозговые
механизмы имеют фишку, которая позволяет им действовать даже при отсутствии
внешних воздействий.
Основной идеей схемы является то, что при попадании информации из
буферной памяти происходит слияние (join), а при выходе из буферной - разветвление (fork). Эти процессы показаны самыми жирными стрелками.
Входные уровни буферной памяти имеют свою фишку, что позволяет им сливаться на
уже существующей ветке памяти. Затем с других уровней могут прийти ещё фишки.
Выходы же фишек не имеют, поэтому уровень не может просто так дать команду в
выходную буферную память. И второй ключевой момент - это связи управления. Так
как процесс имеет внутри только одну фишку, то при отсутствии фишек от буферной
памяти он может передать управление верхнему или нижнему уровню, только
отключившись сам.
Принципы оценки эффективности усвоения знаний
Вообще оценка эффективности усвоения знаний - это возможный предмет
дальнейших исследований. Можно сказать, что некоторые знания, например
подсознательные и сверхсознательные, вообще не поддаются оценке в рамках
современной науки. Оценку, переоценку знаний на уровне подсознания или
сверхсознания можно провести только с использованием медитативных или подобных
изменяющих сознание техник. Суть таких техник в том, что подсознательные знания
переносятся в какой-то мере на уровень осознания в процессе медитации, транса,
гипноза или подобных. Подробнее я расскажу о таких техниках ниже, когда буду
рассматривать процесс познания во сне.
На уровне сознания можно проводить различные оценки. Основная суть таких
оценок - это сопоставление времени реакции и выполнения сознательного действия
какому-то критерию. Примером такой оценки являются экзамены. Независимо от вида
и формы проведения, такая оценка проводится как критерий эффективности ранее
усвоенных знаний и всегда ограничена во времени.
В частности существует так называемая кривая забывания или кривая
Эббингауза. Но надо сказать, что в зависимости от ситуации, даже уже забытое
может внезапно всплыть в памяти. Это как раз является отражением учения
Вернадского о ноосфере.
В настоящее время, в век информационного общества, встаёт проблема не
только оценки эффективности усвоения, но и главная проблема - соответствуют ли
полученные знания критериям адекватности. И здесь большую роль играет опыт
человека. Поэтому очень важно, например, следить за тем, что смотрит и чем
занимается ребёнок, так как в силу огромного количества факторов и причин,
социальное и психологическое воздействие телевизора, компьютера и т. п. на
первичное формирование картины мира может быть огромным.
Ниже я предлагаю эффективную, на мой взгляд, систему оценки усвоения
знаний детей для контроля родителями:
Рис.
35. Принципиальная схема контроля за
усвоением знаний
Обозначения на схеме следующие: I - входящая информация. P -
родитель, C - ребёнок. S - процесс принятия решения родителем, Ct - контроль.. Принципиальная схема
состоит в следующем: родитель экспертно оценивает то, что содержится в
получаемой информации. Затем это разрешается посмотреть ребёнку, после чего
идёт процесс обсуждения и беседы. Затем родитель принимает решение. Барьер
служит ограничителем. Допустим, извне мы получили одну фишку. По первому
переходу она уходит родителю и ребёнку. Родитель тратит фишку на просмотр, а
затем уходит на оценку информации и даёт возможность ребёнку уйти с барьера к
своему просмотру информации. Затем родитель и ребёнок беседуют, после чего
родитель оценивает адекватность полученных ребёнком знаний и опять же в случае
возникновения конфликтов уходит на барьер.
Непроизвольные методы получения знаний
Причиной того, что данные методы работают, служит имена та фишка, которая
лежит у каждого органа восприятия. См рис. 36, где О - орган чувств.
Рис.
36. Структура единичного органа
Именно за счёт этой фишки орган функционирует всегда и даже в случае
незначительных изменений может передать эту фишку центральным мозговым
механизмам. Что представляет собой ЦММ, мы не знаем. Но выше мы уже рассмотрели
основную структуру мозга (рис. 31). Из неё следует, что все системы, которые,
собственно, приводят к работе ЦММ, имеют внутри фишку и с какой-то вероятностью
мозговые процессы могут быть запущены и без внешних возбудителей. И как уже
было сказано выше, память может внезапно вытащить из своей системы какие-то
объекты, которые приведут к возникновению потребности или творческой задачи при
отсутствии внешних возбудителей.
Запоминание и сон
Вообще сон является плохо изученным явлением в современной науке, несмотря
на активное развитие школы снов в рамках религии и эзотерики. Но недавно было
показано, что сон является одним из ключевых момент при запоминании информации.
В исследовании [10] было показано, что сон помогает укреплять полученные
знания. Знания не носили фундаментальных характер, скорее они были рутинными
или прикладными, но по результатам тестов вся группа тех, кто спал после
исследований, показали лучший результат, нежели контрольная группа.
Лично я считаю, что в процессе сна возможен прямой обмен между
подсознательным и сверхсознательным уровнями, минуя уровень сознания. Причём
такой обмен может происходить как на уровне управления через ЦММ, так и между
контроллерами буферной памяти. Причём в силу отсутствия контроллеров памяти
уровней СС/ПС данные преобразования могут происходить с ошибками, но характер
ошибок стохастический, а, вдобавок, они могут быть полезны. Так как мозг на
уровне, например, сверхсознания, будет пытаться решить задачу бессознательного
уровня человеческого рефлекса, а затем это принесёт ценный опыт и в случае
попадания человека в экстремальную ситуацию при работающем сознании это
сознание будет решать творческую задачу и обращаться в сверхсознание, в котором
данная задача уже была решена.
Оценка эффективности знаний, полученных во сне
Данная оценка строится на основании работ [9, 10]. В них показана
принципиальная возможность низкоуровневых исследований процессов, происходящих
в мозге во время сна. В частности в работе [9] на основании МРТ коры головного
мозга рассчитывались вероятности того, как человек поступит в ситуации,
обучение которой он прошёл.
Но для правильной оценки таких знаний человека надо поместить в такую
ситуацию, где он мог бы их правильно применить, так как знания сна, как уже
было сказано выше, откладываются в основном на сверх- и подсознательном
уровнях.
Вариант моделирования такой оценки представлен ниже:
Рис.
37. Моделирование эффективности
знаний, полученных во сне
На рисунке выше представлены 2 процесса. Первый процесс - это
непосредственно сон. Второй процесс - моделирование похожих ситуаций. Очевидно,
что человек не может пребывать одновременно в двух состояниях, поэтому здесь
применена модель захвата. Любой переход приводит к тому, что другой переход
блокируется.
Сон в философии Турья
За основу этой части курсового проекта была взята концепция Турьи [12].
Идея концепции в том, что существует состояние сознания как целого, которое
реализуется в четырёх состояниях целого сознания (в широком смысле), но
отрицает разделение на объект-субъектную модель и на уровни сознания. Итак, в
данной философии есть 4 состояния сознания:
) джаграт (бодрствование);
) свапна (сон);
) сушупти ( глубокий сон без сновидений);
) турья (трансцендентальное чистое бытие вне трех предыдущих).
Затем из данных состояний создаются комбинации, например джаграт-свапна
или джаграт-джаграт.
Мышление в данной философии продвигается от низшего - образного к высшему
- словесному и наивысшему - мышления по достижению состояния турья. В
современной индийской философии считается, что настоящий человек не способен к
достижению турьи, соответственно соответствующий тип мышления для нас потерян.
Но остальные состояния позволяют нам искать новые способы и методы получения
знаний при существующих типах мышления.
Медитационная практика и практика так называемых осознанных сновидений
даёт возможность применять различные типы мышления для решения задач на
глубинных метафизических и метапсихологических уровнях. Вначале я уже приводил
пример о том, что практика сновидений помогает пианисту запоминать свои партии.
Но можно сказать и о том, что многие области творчества могут реализовать свои
потребности через сон. Единственная проблема сновидений состоит в том, что их
очень мало кто помнит. Скорее всего это происходит потому, что управляющие
процессы мозговых механизмов на уровне сознания вызывают сброс состояния памяти.
То есть, грубо говоря, работает следующая ветка сознательного уровня:
Выходной информацией является ключ к стиранию памяти, в том числе
кратковременной. А весь опыт, полученный во сне, реализуется только на уровне
сверхсознания.
Поэтому очень важно сохранить память о сновидении. Сделать это можно
только с опытом, который должен начинаться с малого. Все высшие состояния
человеку недоступны. Реально большинство людей пребывают либо в состояниях
джаграт-джаграт, либо свапна. Вопреки распространённому мнению и отсутствию у
большинства людей воспоминаний о сне, настоящее состояние сушупти (глубокий сон
без сновидений) достигается только после длительных медитативных практик.
Три состояния сознания в той или иной степени зависимы от материального
влияния и сохраняют единство - в бодрствующем состоянии непосредственно
(раджо-гуна), в состоянии сна со сновидениями сознание продолжает оперировать
идеями, полученных от материального опыта (саттва-гуна), а после пробуждения от
глубокого сна остаётся память об этом состоянии (тамо-гуна). Состояние
глубокого сна, когда влияние внешнего минимально, а сознание остаётся, в
какой-то мере является ключом к пониманию турьи, которое представляет собой
сознание, свободное от материального влияния, но в то же время неотделимое от трёх
других. В виде сети Петри это представимо следующим образом:
Рис.
38. Работа состояний сознания
В схеме на рис. 38 для состояний джаграт и свапна использована модель
захвата. И только после того, как отработают оба состояния, а также при наличии
достаточной мотивации у индивида, он сможет перейти в состояние сушупти.
Прикладная часть курсового проекта
Для более удобной работы при моделировании сетей Петри была разработана
программа - визуальный редактор сетей Петри, позволяющая строить графы сети.
Общий вид программы представлен на рисунке ниже:
Рис.
39. Общий вид визуального редактора
сетей Петри
Особенности разработки программы
Программа
была написана в среде MS Visual Studio
6.0 на языке C++. За основу была взята open-source
программа Visual Petri, которая может быть найдена
по адресу: #"537573.files/image079.gif">
Рис.
40. Панель инструментов
Объекты-позиции и объекты-переходы создаются простым кликом. Объект
стрелка работает следующим образом: после выбора объекта-стрелки у позиций и
переходов появляются маленькие квадратики по бокам:
Рис.
41. Выбор объектов для связи
После клика по одной из связи за курсором тянется красная линия, которая
может завершиться на другом объекте:
Рис.
42. Линия связи
После чего связь будет создана:

При выбранном объекта управления курсор можно кликнуть правой кнопкой на
позицию:
Рис.
44. Свойства позиции
И в получившемся окне ввести количество фишек.
Рис. 45. Ввод количества фишек
Рис.
46. Результат ввода количества фишек
Также редактор поддерживает сохранение в собственном формате.
Рис.
47. Диалог сохранения файла
Альтернативные проекты
Вообще следует упомянуть, что в настоящее время существует достаточно
мало визуальных редакторов сетей Петри. Но один проект - PIPE3 - Platform Independent Petri Net Editor - заслуживает упоминания. Данный редактор обладает
более широкими возможностями, нежели разработанный в рамках курсового проекта.
В частности он позволяет задавать имя каждому объекту (позиции или переходу),
содержит готовые типы переходов как мгновенного и длительного, а, кроме того,
сохраняет все получившиеся модели в формате XML, что позволяет работать с ними в других программах. И
более того, как следует из названия, проект платформо-независимый, то есть
сможет работать на любых компьютерах под управлением любых операционных систем.
Вид окна данного редактора представлен ниже:
Рис.
48. Общий вид редактора PIPE3
Выводы
В ходе данной работы была проведена работа по исследованию литературы по
прикладному применению сетей Петри, анализ существующей литературы по
психологии сознания и построение некоторых моделей Нечаева [1], применимых к
процессу познания как творческому, в форме графического представления сети
Петри. Следует сказать, что сеть Петри является очень хорошим механизмом, и,
несмотря на некоторую возможную сложность, которая может возникнуть при первом рассмотрении,
она позволяет проводить анализ процессов на более глубоком уровне за счёт
разделения на позиции и переходы.
Кроме того в рамках курсового проекта была разработана визуальная среда,
позволяющая легко и быстро создавать модели в виде графического представления
сети Петри, а также был показан альтернативный современный редактор сетей. На
основании этого можно заключить, что сети Петри из чисто академического
интереса в виду простоты построение в вышеупомянутых редакторах, могут найти
широкое применение и в реальных учебных процессах, в частности, в нашем ВУЗе. А
данная работа должна помочь молодым специалистам освоиться и изучить
применимость данной технологии моделирования к реальным задачам.
Литература
1. В.В.
Нечаев. Основы теории творческой деятельности. Конспект лекций по курсу. - М.:
МИРЭА (ТУ), 2011.
. Джеймс
Питерсон «Теория сетей Петри и моделирование систем»: Пер. с англ.-М.:Мир,
1984.-264с.
. Котов
В.Е. «Сети Петри» М.:Наука, 1984.-160с.
. А.А.
Лескин, П.А. Мальцев, А.М. Спиридонов «Сети Петри в моделировании и управлении»
Л.: Наука, 1989.-133с.
. И.Е.
Федотов «Некоторые приёмы параллельного программирования» Учебное пособие. -
М.: Изд-во МГИРЭА(ТУ), 2008. - 188 с.
. В.П.
Зинченко, В.М. Мунипов, «Эргономика. Человекоориентированное проектирование
техники, программного обеспечения и среды». Учебник для вузов. М., 1998
. П.И.
Зинченко «Непроизвольное запоминание» - М.: Изд-во АПН РСФСР, 1961. - 562 c
8. М.
Либерман «Neuroscientists can predict your behavior better than you can» -
UCLA, U of M, 2010
. Tom
M. Mitchell, Svetlana V. Shinkareva, Andrew Carlson, Kai-Min Chang, Vicente L.
Malave, Robert A. Mason, Marcel Adam Just «Predicting Human Brain Activity
Associated with the Meanings of Nouns» - Carnegie Mellon University, 2008
. Erin
J. Wamsley, Matthew Tucker, Jessica D. Payne, Joseph A. Benavides, Robert
Stickgold «Dreaming of a Learning Task Is Associated with Enhanced
Sleep-Dependent Memory Consolidation» - Current biology, 2010
. Matthew
P. Walker - «Sleep and neuroimaging» - Beth Israel Deaconess Medical Center,
2010
. Swami
B. V. Tripurari. «Brahman, Paramatma, and Bhagavan»
13. Я.А.
Пономарёв «Психология творчества» М.:Наука, 1976.
. О.К.
Тихомиров «Психология мышления»: Учебное пособие. М.: Изд-во Моск. ун-та, 1984.
- 272 с.
. В. П. Кохановский и др. «Основы философии
науки». М.: Феникс, 2007
г. - 608 с.