Магнитные и транспортные свойства композитов

  • Вид работы:
    Дипломная (ВКР)
  • Предмет:
    Химия
  • Язык:
    Русский
    ,
    Формат файла:
    MS Word
    1,41 Mb
  • Опубликовано:
    2012-02-22
Вы можете узнать стоимость помощи в написании студенческой работы.
Помощь в написании работы, которую точно примут!

Магнитные и транспортные свойства композитов













Магнитные и транспортные свойства композитов

(1-х) (La0.5Eu0.5)0.7Pb3MnO3 +xPbTiO3

Введение

За последние несколько лет огромное внимание уделяется созданию и исследованию так называемых мультиферроиков - материалов, проявляющих одновременно ферроэлектрические и ферромагнитные свойства.

Мультиферроики могут быть реализованы как в монофазной, так и в композитной форме. Большинство из однофазных мультиферроичных материалов обнаруживают магнитоэлектрические свойства в низкотемпературных областях, главным образом, при криогенных температурах.

Альтернативу этим практически неприменимым однофазным мультиферроикам нашли в материалах, так называемых композитах, искусственно созданных материалах, комбинацией двух фаз, например, комбинацией пьезоэлектрических и пьезомагнитных фаз или магнитострикционных и пьезоэлектрических фаз. Эти материалы сохраняют равновесные ферроэлектрические структуры при температурах близких к комнатной. Они имеют большой магнитоэлектрический (МЕ) эффект, магнитострикционные и пьезоэлектрические фазы хорошего качества и относятся к так называемым мультифункциональным материалам. Главным достижением в производстве синтетических композитных мультиферроиков - это достаточно легкое и дешевое их изготовление и возможность контроля за молекулярным соотношением фаз и размером зёрен каждой фазы. Имеется и проблема, связанная с предотвращение возможной химической реакции на границах между ферроэлектрическим и магнитными фазами в течение синтеза, приводящей к потере, например, диэлектрических свойств. Вообще, в композитах размеры зёрен, форма и границы между зёрнами - основные элементы, приводящие при сохранении «родительских» свойств фаз к возникновению новых свойств. Так, известно, что может произойти усиление колоссального магнитного сопротивления (CRM), объясняемое в модели спин-поляризационного туннелирования появление непроводящих слоев-барьеров между зёрнами.

Передо мной были поставлены задачи:

) ознакомиться с литературой, посвященной композиционным мультиферроикам, представленного образца;

) изучить свойства и структуру (La0.5Eu0.5)0.7Pb0.3MnO3 и PbTiO3;

) синтезировать в поликристаллическом виде PbTiO3 и вырастить монокристалл (La0.5Eu0.5)0.7Pb0.3MnO3 и композиты (1-х) (La0.5Eu0.5)0.7Pb0.3MnO3 +хPbTiO3 (х=10,12 и 14 %)

) начать исследование магнитных, магнитоэлектрических и других свойств (1-х) (La0.5Eu0.5)0.7Pb0.3MnO3 +хPbTiO3.   

1. Примеры композитов (обзор)

.1 Что такое композиты?

Композиционными называют материалы, образованные из двух или более разнородных фаз и обладающие характеристиками, не присущими исходным компонентам. Такое определение хорошо отражает идею композита, но является слишком широким, поскольку охватывает подавляющее большинство материалов и сплавов (например, стали, чугун, бетон и др.). По-видимому, лучшим будет другое определение: композиты - объемное монолитное искусственное сочетание разнообразных по форме и свойствам двух и более материалов (компонентов), с четкой границей раздела, использующее преимущества каждого из компонентов и проявляющее новые свойства, обусловленные граничными процессами.

Обычно композиты представляют собой основу (матрицу) из одного материала, армированную наполнителями из волокон, слоев, диспергированных частиц другого материала. При этом сочетаются прочностные свойства обоих компонентов. Путём подбора состава и свойств наполнителя и матрицы, их соотношение, ориентации наполнителя, можно получить материал с требуемым сочетанием эксплуатационных и технологических характеристик.

Композит отличается от сплава тем, что в готовом композите отдельные компоненты сохраняют присущие им свойства. Компоненты должны взаимодействовать на границе раздела композита, проявляя только положительные новые свойства. Такой результат можно получить лишь в том случае, если в композиционном материале успешно объединены свойства компонентов, т. е. при эксплуатации композита должны проявляться только требуемые свойства компонентов, а их недостатки полностью или частично уничтожаются.

Таким образом:

Получаемый композит приобретает новые, лучшие свойства и, следовательно, может выполнять дополнительные функции (многофункциональный материал);

Характеристики композита лучше, чем у его компонентов, взятых по отдельности или вместе без учета граничных процессов;

Действия отдельных компонентов композита всегда проявляются в их совокупности с учетом процессов, происходящих на границе раздела фаз.

Активное применение композитов началось с начала 70-х годов, хотя идея применения двух и более исходных материалов в качестве компонентов, образующих композиционную среду, существует с тех пор, как люди стали иметь дело с материалами.

Цель создания композита - достичь комбинации свойств, не присущих каждому из исходных материалов в отдельности. Таким образом, композит может изготавливаться из материалов, которые сами по себе не удовлетворяют предъявляемым требованиям. Так как эти требования могут относиться к физическим, химическим, технологическим и другим свойствам, то наука о композитах находится на стыке различных областей знания и требует участия исследователей различных специальностей.

Традиционный выбор материала и проектирование компонентов конструкции были отдельными задачами. Когда композиты стали вытеснять металлы и сплавы из таких областей, как самолето-, судо- и автомобилестроение, промышленный дизайн и выбор материала соединились и стали просто различными аспектами одного процесса.

Следует отметить, что наряду с конструкционной анизотропией композита существуют технологическая анизотропия, возникающая при пластической деформации изотропных материалов, и физическая анизотропия, присущая, например, кристаллам и связанная с особенностями строения кристаллической решетки.

По методу получения различают два вида композитов: искусственные и естественные. К искусственным относятся все композиты, полученные в результате искусственного введения армирующей фазы в матрицу, к естественным - сплавы эвтектического и близкого к ним состава. В эвтектических композитах армирующей фазой являются ориентированные волокнистые или пластинчатые кристаллы, образованные естественным путём в процессе направленной кристаллизации.

По мере создания новых композитов «старые» виды классификации расширяются и могут возникать новые.

При изучении литературы, посвященной магнитным и магнитоэлектрическим композитам, я нашла следующие композиты на основе оксидов, которые синтезированы и изучены:

1. «MgFe2O3-BaTiO3» [1];

. «BaTiO3 - (Ni, Zn) Fe2O4» [2];

. «La0.67Ca0.33MnO3-CuFe2O4» [3];

. «(La0.7Ca0.3MnO3)1-x/(MgO)x» [4];

. «La2/3Ca1/3MnO3/SiO2» [5];

6. «La0.7 Sr0.3MnO3/Ta2O5» [6].

1.2 Взаимодействия в композиционных материалах

Взаимодействие электрической и магнитной подсистем в мультиферроиках может проявляться в виде целого ряда эффектов. Практический интерес среди них представляют три:

• Линейный МЭ эффект (индуцированная магнитным полем электрическая поляризация и индуцированная электрическим полем намагниченность)

• эффекта взаимного МЭ контроля (переключения спонтанной поляризации магнитным полем и спонтанной намагниченности электрическим полем)

• эффекта магнитоемкости (изменение диэлектрической постоянной под действием магнитного поля).

Под магнитоэлектрическим (МЭ) эффектом понимают эффект возникновения намагниченности под действием электрического поля и электрической поляризации под действием магнитного поля:

              (1.1)

               (1.2)

где  - намагниченность,  - электрическое поле,  - поляризация,  - магнитное поле,  - магнитоэлектрический коэффициент.

Под гигантской магнитоемкостью (giant magnetocapacitance) понимается относительное изменение диэлектрической проницаемости в магнитном поле:


где  - диэлектрическая проницаемость материала в магнитном поле ,  - диэлектрическая проницаемость в отсутствие поля.

В рассматриваемых композитах МЭ-эффект отсутствует как в ферритовом, так и в пьезоэлектрическом компоненте. Его возникновение в композитах связано с пьезомагнитоэлектрическим взаимодействием ферритовой и пьезоэлектрической подсистем. Во внешнем магнитном поле в ферритовом компоненте вследствие пьезомагнитного эффекта возникают механические напряжения и деформации, которые передаются в пьезоэлектрический компонент, что (вследствие пьезоэлектрического эффекта) приводит к возникновению электрических индукции и поля.

Поскольку исследуемый нами композит представляет собой гранулы манганита, разделенные барьером из сегнетоэлектрика PbTiO3, то одним из вкладов в сопротивление будет спин-зависимое туннелирование поляризованных электронов между ферромагнитными гранулами. В гранулах, находящихся в ферромагнитном состоянии, плотность электронных состояний с противоположными спинами различна: наличие ферромагнитного упорядочения спинов приводит к тому, что происходит смещение энергетических электронных подзон по шкале энергии. Энергетическая подзона d-электронов со спинами, параллельными намагниченности гранулы, оказывается практически полностью заполненной, в то время как электронные состояния со спинами, противоположными намагниченности в соседней подзоне, заполнены лишь частично. Вследствие этого, плотность электронных состояний на уровне Ферми в двух подзонах гранулы оказывается различной. В том случае, когда две ферромагнитные гранулы разделены диэлектрическим барьером толщиной несколько нанометров, между ними возможно туннелирование электронов. Однако, вероятность туннелирования будет максимальна лишь тогда, когда ориентация магнитных моментов гранул параллельна (Рис. 1.1 (а)). В этом случае электроны, находящиеся на плотнозаселенном уровне Ферми одной гранулы, могут туннелировать в незанятые состояния (с той же ориентацией спина) соседней гранулы. Если магнитные моменты гранул антипараллельны (Рис. 1.1 (b)), то для электронов с плотнозаселенного уровня Ферми одной гранулы практически нет доступных состояний в соседней грануле и вероятность туннелирования минимальна. Таким образом, туннелирование электронов между ферромагнитными наногранулами зависит от спиновой поляризации электронов и от взаимной ориентации магнитных моментов гранул. [9] Следовательно, управляя намагниченностью гранул, можно влиять на туннельную проводимость системы.

(a)(b)

Рисунок 1.1 Уровни Ферми. а-ориентация гранул параллельна, b-ориентация гранул антипараллельна.

Так как проводящие гранулы разделяет слой сегнетоэлектрика, то помимо эффекта туннельного магнитного сопротвления, влияние на транспортные свойства может оказать внешнее электрическое поле. Использование сегнетоэлектрического туннельного перехода как управляющего элемента для изменения высоты потенциального барьера было предложено еще в 70-х годах прошлого века. Такой переход в простейшем случае представляет собой слоистую структуру, в которой два металлических электрода разделены слоем сегнетоэлектрика. Изменение направления поляризации сегнетоэлектрика приводит к изменению высоты туннельного барьера, что должно сказаться на проводимости такого перехода[10].


Цель предлагаемой работы - сравнительное исследование магнитных транспортных и диэлектрических свойств поликристаллического образца (La0.5Eu0.5)0.7Pb0.3MnO3, в виде спрессованного порошка полученным растиранием монокристаллов, и композита [(La0.5Eu0.5)0.7Pb0.3MnO3]1-x[PbTiO3]x. И главный вопрос, на который предстояло ответить, оказывает ли влияние сегнетоэлектрическая фаза на транспортные и магнитные свойства манганита.

.3 Примеры композитов

Число публикаций за последние несколько лет растёт, а составы композитов отличаются большим разнообразием. В качестве примера в этом параграфе я опишу получение и свойства композитов, наиболее близких к манганиту.

Пример: В этом обзоре мы приводим некоторые примеры найденных в литературе композитов (полученных и исследуемых близких к нашему композиту) на основе оксидов переходных металлов.

В качестве примера композиционного материала я изучила композиты (1-х) La0,67Ca0,33MnO3/xCuFe2O4 (x=0,0. 04,0. 07,0.10 и 0.15) [3]. Матрица обладает очень интересными магнитными, электрическими и магнитоэлектрическими свойствами. В манганитах наблюдаются такие свойства как зарядово и орбитально-упорядочение, спиновое упорядочение, колоссальное магнитносопротивление, сосуществование ферромагнитных и антиферромагнитных фаз, переход металл-диэлектрик. В обозреваемой работе в качестве ферромагнитной фазы выбрано соединение с перовскитоподобной структурой La0,67Ca0,33MnO3(LCMO) и магнитомягкий (феррит) CuFe2O4, обладающий большим электросопротивлением (изолятор). LCMO выбран как матричный материал с Тс=250 К, а CuFe2O4 выступает как армирующая добавка.

Результаты рентгеновских исследований и микрографии, снятые с помощью сканирующего эмульсионного электронного микроскопа, показали что большие зёрна CuFe2O4 распределены случайным образом и окружены малыми зёрнами LCMO.

а)                                   b)

Рисунок 1.2 Температурные зависимости сопротивления в нулевом поле для композитов (1-х) La0,67Ca0,33MnO3/xCuFe2O4 (x=0,0. 04,0. 07,0.10 и 0.15) (а), температурная зависимость магнитосопротивления для тех же составов в поле Н=3Т (b)

На рис. 1.2 Представлены температурные зависимости сопротивления в нулевом поле для композита (1-х) La0,67Ca0,33MnO3/xCuFe2O4 (x=0,0. 04,0. 07,0.10 и 0.15). Видно, что все образцы обладают переходом металл-изолятор.

Чистый LCMО претерпевает переход металл-изолятор при Т = 230 K, что ниже чем Тс. Введение CuFe2O4 понижает температуру перехода металл-изолятор. Сопротивление композитов увеличивается с увеличением содержания CuFe2O4. В чистых образцах LCMO электрический транспорт осуществляется непосредственно через контакт зёрен LCMO. При введение CuFe2O4, который уменьшает электронную проводимость из-за блокирования каналов проводимости на границах зёрен между LCMO, что приводит к уменьшению температуры перехода металл-изолятор и увеличивает сопротивление с повышением содержанием CuFe2O4. На рис. 1.3 приведена температурная зависимость для намагниченности в поле Н=0,1 Т для х=0, 0. 10,1.

Рисунок 1.3 Температурная зависимость намагниченности в поле Н=0,1 Т для х=0, 0. 10,1.

В этой работе показано, что композиты (1-х) La0,67Ca0,33MnO3/xCuFe2O4 имеют большее магнитосопротивление, чем чистый LCMO, что объясняется спин-поляризационным туннелированием между зёрнами, благодаря усилению магнитного беспорядка в зёрнах.

В качестве примера ещё одного композиционного материала, я изучила композиты (х) MgFe2O4 - (1-х) ВаТiO3 (x= 0,4, 0,5 и 0,6) [1]. Рисунок 1.4 показывает изменения коэффициента ME связи соединений (х) MgFe2O4 - (1-х) ВаТiO3 с x = 0,4, 0,5 и 0,6, что свидетельствует о сильной зависимости от содержания феррита. Увеличение ФМ повышает ME. Это наблюдение может быть связано с большей динамической магнитострикцией, которая отвечает за механическую связь с пьезоэлектрической фазой. На вставке рисунка 1.4 представлены частотные зависимости ME отклика, на которой ясно видно, что выход ME изменяется в зависимости от частоты. Аналогичное явление также сообщается для зернистых и слоистых ФМ-пьезоэлектрических композитов.

Рисунок 1.4. Магнитоэлектрический коэффициент соединения (х) MgFe2O4 - (1-х) ВаТiO3 с x= 0,4, 0,5 и 0,6. Вставка демонстрирует частотные зависимости МЕ отклика.

Таким образом, в этой работе показано, что все системы показывают мультиферроичное поведение, с улучшением ферроэлектрических свойств. В этой системе получены магнитодиэлектрический и магнитоэлектрический эффекты. Состав x=0,6 показывает самый высокий МЕ. Эти свойства композита демонстрируют возможности их потенциального применения в различных электронных и СВЧ-устройствах.

2. Описание структуры и физических свойств (La0.5Eu0.5)0.7Pb0.3MnO3иPbTiO3

2.1 Структура и физические свойства PbTiO3

Титан свинца PbTiO3 обнаруживает сегнетоэлектрическую активность при комнатной температуре и имеет сегнетоэлектрическую точку Кюри, равную 490˚С.

Сегнетоэлектрики - кристаллические диэлектрики, обладающие в определенном диапазоне температур спонтанной (самопроизвольной) поляризацией, которая существенно изменяется под влиянием внешнего воздействия, например, электрического поля.

При нагревании сегнетоэлектрика спонтанная поляризация, как правило, исчезает при определенной температуре, называемой точкой Кюри. В этой точке происходит фазовый переход сегнетоэлектрика из полярного состояния (полярной фазы) в неполярную (параэлектрическую) фазу.

При комнатной температуре структура PbTiO3 представляет собой тетрагонально-искаженную перовскитную решетку, изоморфную структуре тетрагонального BaTiO3. Параметры ячейки PbTiO3 имеют следующие величины:

a=3,904 Ǻ, c=4,150 Ǻ

c\a=1,063,

что свидетельствует о значительно большем тетрагональном искажении, чем в случае другого сегнетоэлектрика BaTiO3, где c\a=1,01. Такое сильное искажение обуславливает довольно существенное изменение кристаллической решетки при сегнетоэлектрическом переходе.

2.2 Структура и физические свойства (La0.5Eu0.5)0.7Pb0.3MnO3

Обзор по структуре и физическим свойствам (La0.5Eu0.5)0.7Pb3MnO3 сделан в основном по работе [8].

Соединение (La0.5Eu0.5)0.7Pb0.3MnO3 имеет ромбоэдрическую структуру.

R(T) зависимости для (La0.5Eu0.5)0.7Pb0.3MnO3 для различных приложенных полей для монокристаллических и поликристаллических образцов даны на рис. 2.2а и 2.2b. Вставки на рисунках представляют температурные зависимости электрического сопротивления для некоторых значений магнитного поля. Примечательно, что R(T) зависимости монокристаллических и поликристаллических образцов различны, как упомянуто многими авторами. Прежде всего, есть сдвиг металл-диэлектрик перехода к более низким температурам для поликристалла и различие в абсолютных величинах электрического сопротивления, связанных с присутствием межкристаллитных границ в поликристалле. Кроме того, ниже ~50К поликристаллический образец показывает минимальное сопротивление; после этого сопротивление начинает увеличиваться, и в гелиевых температурах достигает значений, сопоставимых со значениями для перехода металл-диэлектрик. Эффект магнитосопротивления в диапазоне 2-100 К фактически тот же самый, что наблюдается для монокристалла.

Рисунок 2.2. Температурная зависимость электрического сопротивления R (T) для монокристалла (а) и поликристаллических образцов (b) в различных внешних магнитных полей. В ставках приведены температурные зависимости магнитосопротивления

Рис. 2.3 демонстрирует R(Н) зависимости для поликристаллического образца (La0.5Eu0.5)0.7Pb0.3MnO3 в широком диапазоне температур, включая температуру перехода металл-диэлектрик и область низкой температуры. R(Н) зависимости для монокристалла не представлены здесь; отметим, однако, что они типичны для монокристаллов манганитов лантана и не имеют никаких особенностей в области низкой температуры.

Рисунок 2.3 R(Н) зависимости для поликристаллического образца (La0.5Eu0.5)0.7Pb0.3MnO3 в широком диапазоне температуры

Главными особенностями кривых R(Н) рис. 2.3 является следующее. Во-первых, в магнитном поле Н~3 кОе в диапазоне температур 2-120К R(Н) зависимость изменяет характер; затем сопротивление равномерно уменьшается до 9 Т без насыщения намагниченности. Во-вторых, в диапазоне температур 2-30 К, то есть ниже температуры минимального электрического сопротивления, R(Н) кривые показывают гистерезис с шириной, уменьшающейся с увеличением температуры. Направление магнитного поля указано стрелками на рис. 2.3 выше температуры минимального электрического сопротивления не наблюдается никаких признаков гистерезиса. Рис. 2.4 показывает температурную (а) и полевую (b) зависимоcти намагниченности (La0.5Eu0.5)0.7Pb0.3MnO3 образцов. Можно видеть из М(Т) кривых, что температура Кюри Тс является почти той же самой (~215 К) для двух образцов; однако, абсолютные величины и поведение намагниченности различны (рис. 2.4а) для (La0.5Eu0.5)0.7Pb0.3MnO3 монокристалла: намагниченность М (2К, Н=15 кОе)=60 emu/g, в то время как для поликристаллического образца М (2К, Н=15 кОе)=47 emu/g, то есть ниже на 22 %. Видно из полевой зависимости намагниченности М(Н), что при

Т=1,9К (рис. 2.4b), намагниченность монокристаллического образца (La0.5Eu0.5)0.7Pb0.3MnO3 насыщается в поле приблизительно 5 кОе, в то время как намагниченность поликристалла в полях выше чем 5 кОе линейно растёт.


a)

b)

Рисунок2.4. Температурная (а) и полевая (b) зависимоcти намагниченности (La0.5Eu0.5)0.7Pb0.3MnO3 образцов

Мы должны обратить внимание, что на кривых М(Т) существует особенность при Т=40К (рис. 2.4а), соответствующая магнитному фазовому переходу (показано стрелкой).

Данные магнитных (рис. 2.4) и калориметрических измерений позволяют заключить, что во время синтеза поликристаллического образца (La0.5Eu0.5)0.7Pb0.3MnO3 образуется вторая фаза. Эта фаза характеризуется магнитным порядком с температурой магнитного фазового перехода Т=40 К, она может быть антиферромагнитной. Авторы обозреваемой работы заключают, что в поликристаллическом (La0.5Eu0.5)0.7Pb0.3MnO3 туннели соединяют состояние ферромагнетик-антиферромагнетик-ферромагнетик. В дальнейшем при интерпретации магнитных и магнитоэлектрических свойств композита на основе (La0.5Eu0.5)0.7Pb0.3MnO3 мы будем опираться на представленные здесь магнитные и пр. характеристики для поликристаллических образцов.

3. Технология получения PbTiO3, (1-х) (La0.5Eu0.5)0.7Pb0.3MnO3 Pb3MnO3 и композитов на их основе. Установка для измерения транспортных и диэлектрических свойств твёрдых тел на переменном токе. Магнитные и транспортные свойства

.1 Технология получения PbTiO3

Керамические образцы PbTiO3 были получены из эквимолярного соотношения PbO и TiO2, PbO: TiO2 =1:1. Молекулярные веса PbO=223,19г и TiO2 =79,9г.

Из расчета 10г PbTiO3 исходные порошки тщательно растирались и прессовались в таблетки, далее проводился отжиг таблетки при T=800˚С на протяжение 24 часов. Исходные таблетки бело-розового цвета, после отжига изменили цвет до серо-желтого.

Одну таблетку растирали в порошок, и на ней проводился рентгеноструктурный анализ. На рис. 3.1 и в таблице № 1 (PbTiO3) показано, что получены керамические образцы PbTiO3 очень хорошего качества и совпадают с литературными данными. Не обнаружено наличия посторонних примесей.

Рисунок 3.1. Рентгенный спектр PbTiO3

 

Таблица № 1. Рентгеноструктурный анализ (PbTiO3)

Литературные данные

Полученные данные

Int

Int

21,875

227

21,411

245

21,450

22,567

381

22,802

368

23,080

31,633

999*

31,479

999*

31,541

32,128

472

32,467

450

32,490

39,208

341

39,223

342

39,58

44,603

115

43,620

113

46,075

235

46,575

230

46,708

50,549

79

49,775

106

49,791

51,558

65

51,801

76

51,791

51,892

62

52,464

68

52,500

56,024

148

55,414

166

55,416

56,965

266

57,300

284

57,375

66,065

98

65,711

100

65,77

67,205

52

67,738

12

69,393

7

67,987

56


70,784

42

70,537

61


71,612

18

72,194

25


71,888

11

72,500

65


74,014

49

72,743

41


76,180

44

76,841

48


76,449

53

77,141

31


78,532

16

77,378


80,659

38

81,402

48


.2 Технология получения (La0.5Eu0.5)0.7Pb0.3MnO3

Исходные компоненты:

La2O3=3,6г

Eu2O3=3,2г

PbO= 24г

PbF2=72г

Шихта в виде тщательного перемешанного порошка помещалась в пластиковый тигель, не утрамбовывалась. Этот тигель помещался в большего размера тигель из окиси циркония. Оба этих тигля сверху закрывались тоже тигилем из ZrO2. Такая конструкция тиглей помещалась в печь с программным регулированием температуры. Для выращивания монокристаллов (La0.5Eu0.5)0.7Pb0.3MnO3 максимальная температура нагрева была 1200˚С, скорость охлаждения 2˚С/час до 980 ˚С.

Полученные кристаллы извлекались из тигля механическим путём (выбиванием), перетирались в порошок и отдавались на рентген. Рентгенограмма для композита (La0.5Eu0.5)0.7Pb0.3MnO3+PbTiO3(14 %) содержит рентгенограмму чистого (La0.5Eu0.5)0.7Pb0.3MnO3 (рис. 3.2).

Рисунок 3.2 Рентгеновский спектр поликристалла «(La0.5Eu0.5)0.7Pb0.3MnO3»

Рисунок 3.3 Рентгеновский спектр композита «(La0.5Eu0.5)0.7Pb0.3MnO3+Pb TiO3(10,12 %)

Рисунок 3.4 Рентгеновский спектр композита «(La0.5Eu0.5)0.7Pb0.3MnO3+Pb TiO3(14 %)»

 

3.3 Получение композитов (1-х) (La0.5Eu0.5)0.7Pb0.3MnO3PbTiO3

При получении композитов порошок из растертых монокристаллов (La0.5Eu0.5)0.7Pb0.3MnO3 перемешивался с порошком PbTiO3.

Полученные монокристаллы «(La0.5Eu0.5)0.7Pb0.3MnO3» размельчались до тонко - дисперсного состояния и тщательно перемешивались с PbTiO3, в соотношении указанном в таблице № 2 Подготовлено семь составов. Далее прессовались таблетки при давлении ≈5 тонн на см2, полученные таблетки отжигались на протяжении 24 часов при температуре 750˚С.

Таблица № 2. Пропорции составов (1-х) (La0.5Eu0.5)0.7Pb0.3MnO3хPbTiO3

х

0,02

0,04

0,06

0,08

0,1

0,12

0,14

(1-х) (La0.5Eu0.5)0.7Pb3MnO3

261,2mг

255,8mг

250,5mг

245,2mг

239,5mг

234,5mг

229,2mг

хPbTiO3

5,33 mг

10,7 mг

16 mг

21,3 mг

27 mг

32 mг

37,3 mг


Полученные образцы перетирали в порошок и отдавали на рентгеноструктурный анализ. Так как на рентгенограммах все рефлексы относятся либо к PbTiO3 (рис. 3.1), либо к (La0.5Eu0.5)0.7Pb0.3MnO3 (рис. 3.2), это является подтверждением, что при отжиге смесей этих композитов не произошло химических реакций. Это свидетельствует, что выбранные режимы отжига оказались удачными.

.4 Магнитные свойства композитов (1-х) (La0.5Eu0.5)0.7Pb0.3MnO3+xPbTiO3

Магнитные измерения композитов (1-х) (La0.5Eu0.5)0.7Pb0.3MnO3хPbTiO3

были проведены на установке РРМS в диапазоне температур от 2К до 300К в магнитном поле 5кОе для образца с х=0.14. На рис. 3.5 представлены температурные зависимости намагниченности для х=0. 10,0.12 и исходного образцов. Из рисунка видно, что введение PbTiO3 в матрицу (La0.5Eu0.5)0.7Pb0.3MnO3 заметно не изменяет исходную температуру Кюри (Тс) чистой матрицы.

Рисунок 3.5 Температурные зависимости намагниченности для х=0.10, 0.12 и исходного образца

На рисунке 3.6а приведены полевые зависимости намагниченности, снятые при различных температурах для чистой матрицы. Из рисунка видно, что образец (La0.5Eu0.5)0.7Pb0.3MnO3 является ферромагнетиком с малыми полями насыщения намагниченности. При температуре Т=250К полевая зависимость намагниченности почти линейна, что типично для парамагнитного состояния.

Рисунок 3.6 Полевые зависимости намагниченности, снятые при различных температурах для чистой матрицы (а); приведены полевые зависимости намагниченности для композита (La0.5Eu0.5)0.7Pb0.3MnO3+PbTiO3(14 %), снятые при разных температурах (b)

На рисунке 3.6b приведены полевые зависимости намагниченности для композита (La0.5Eu0.5)0.7Pb0.3MnO3+PbTiO3(14 %), снятые при разных температурах, как для магнитоупорядоченного состояния, так и для парамагнитного состояния. Из этой зависимости намагниченности так же как и из температурной зависимости видно, что композит с х=0,14 так же является ферромагнетиком ниже Т=200К.

.5 Транспортные свойства (1-х) (La0.5Eu0.5)0.7Pb0.3MnO3+xPbTiO3

Обратимся теперь к транспортным и магнитотранспортным свойствам полученных образцов. Исследования проводились как на установке PPMS-9 в магнитных полях до 90 kOe, так и с использованием оригинальной автоматизированной установки для исследования гальваномагнитных свойств твердых тел. На рис. 3.7 показана температурная зависимость сопротивления поликристаллического «чистого» образца манганита без магнитного поля и в поле 90 kOe. Зависимость имеет вид, характерный для манганитов «оптимального» состава - пик на зависимости, связанный с переходом металл-диэлектрик; сильное уменьшение величины пика в магнитном поле, определяющее эффект колоссального магнитосопротивления и смещение максимума пика в магнитном поле в сторону высоких температур. Следует, однако, заметить, что по сравнению с монокристаллами пик на температурной зависимости сопротивления очень сильно сдвинут в сторону низких температур от температуры магнитного фазового перехода ТС. Кроме того, при низких температурах сопротивление и величина магнитосопротивления вновь начинает расти. Такое поведение, характерно для поликристаллических образцов и связано с туннельным вкладом в резистивные и магниторезистивные свойства. Дело в том, что поликристаллические образцы манганитов представляют собой ферромагнитные гранулы с металлическим типом проводимости, поверхность которых покрыта тонким граничным слоем с диэлектрическими свойствами. За счет этого в поликристаллических манганитах реализуется разветвленная сеть магнитных туннельных контактов. Туннельные свойства такой кооперативной системы магнитных туннельных контактов наиболее сильно начинают проявляться при низких температурах. Несмотря на то, что туннельный вклад оказывает существенное влияние на транспортные свойства поликристалла вольт-амперные характеристики оказываются линейными во всем диапазоне температур Рис. 3.8. Эта ситуация характерна для большой разветвленной сети магнитных туннельных контактов с различающимися характеристиками, кроме того, основную роль в определении характера проводимости продолжает играть не туннельный механизм.

Рисунок 3.7 Температурная зависимость сопротивления поликристалла (La0.5Eu0.5)0.7Pb0.3MnO3

Рисунок 3.8 Вольт-амперные характеристики поликристалла (La0.5Eu0.5)0.7Pb0.3MnO3

Рисунок 3.9а Температурная зависимость сопротивления композита (1-х) (La0.5Eu0.5)0.7Pb0.3MnO3+xPbTiO3 (х=14 %)

Рисунок 3.9 (b) Магнитосопротивление композита (1-х) (La0.5Eu0.5)0.7Pb0.3MnO3+xPbTiO3 (х=14 %)

Транспортные свойства композита приведены на рис. 3.9 (a). Хорошо видно, что у композита сопротивление оказалось значительно больше, по сравнению поликристаллическим образцом. Но самым главным принципиальным различием оказалось отсутствие пика на температурной зависимости сопротивления, связанного с переходом металл-диэлектрик. Вместе с тем, эффект колоссального магнитосопротивления сохранился (рис. 3.9 (b)). По-видимому, диэлектрическая фаза, добавляемая в композит, участвует в формировании потенциальных барьеров между гранулами манганита.

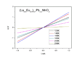
Туннельный вклад в резистивные свойства при этом, становиться определяющим. Подтверждается это и исследованием ВАХ композита при различных температурах (рис. 3.10). Eсли при высоких температурах ВАХ практически линейны, то по мере понижения температуры они приобретают вид характерный для туннельных переходов.

Рисунок 3.10 Вольт - амперная характеристика композита при разных температурах (1-х) (La0.5Eu0.5)0.7Pb0.3MnO3+xPbTiO3(х=14 %)

Формулируя постановку задачи исследований, мы полагали, что если сегнетоэлектрическая фаза будет участвовать в формировании туннельных барьеров между гранулами манганита, то можно будет ожидать влияния на транспортные свойства композита внешнего статического электрического поля. Действительно, изменение направления электрической поляризации в сегнетоэлектрическом барьере (при изменении направления электрического поля) приводит к изменению эффективной высоты потенциального барьера в туннельном контакте. Следствием такого изменения, должно быть изменение транспортных свойств образца. Мы выполнили эксперимент по исследованию ВАХ композита при разных температурах в электрическом поле до 1 кВ/см, с изменением полярности электрического поля в отсутствие магнитного поля и в поле 5 kOe. Поскольку максимального эффекта следовало бы ожидать при низких температурах, мы провели исследования для максимально низких температур, достижимых на нашей установке на сегодняшний день. Заметного влияния электрического поля на транспортные свойства композитов нами обнаружено не было

Рисунок 3.11 Температурные зависимости сопротивления поликристалла (La0.5Eu0.5)0.7Pb0.3MnO3 на различных частотах

Следующий шаг по сравнительному исследованию «чистого» поликристалла и композита - резистивные свойства на переменном токе, в частотном диапазоне до 2 MHz. Не исключено, что наличие сегнетоэлектрической фазы в композите может оказать влияние на отклик образца при действии переменного тока. Как видно из рис. 3.12, сопротивление на переменном токе ведет себя таким же образом, как и в случае постоянного тока.

Рисунок 3.12 Магнитосопротивление поликристаллического (La0.5Eu0.5)0.7Pb0.3MnO3 на частоте 10 кГц

Никаких особенностей не наблюдается. Сдвига особенности при изменении частоты тока не наблюдается. Как и следовало ожидать, при увеличении частоты происходит уменьшение действительной части сопротивления. Как правило, сопротивление должно уменьшаться по закону типа:

 (3.1)

Рисунок 3.13 Температурные зависимости сопротивления композита [(La0.5Eu0.5)0.7Pb0.3MnO3]0.84[PbTiO3]0.14 на различных частотах

Здесь - проводимость на постоянном токе,  - константа,  - частота тока, - показатель, зависящий от типа материала (диэлектрик, полупроводник, металл), его дефектности и т. д. Приведенный закон хорошо выполняется для широкого круга материалов. В настоящее время нет общепринятой микроскопической модели поясняющей поведение проводимости на переменном токе в соответствии с уравнением (3.1). Тем не менее, есть несколько теоретических подходов, в которых такое поведение () обосновывается для различного класса материалов [11,12],. Заметим, что в нашем случае наиболее сильно частотная зависимость сопротивления проявляется в области пика сопротивления, где, как считается, реализуется неоднородное магнитное и электронное состояние. Влияние магнитного поля на сопротивление проявляется так же, как и в случае постоянного тока (рис. 3.12).

Неожиданным оказался результат исследования проводимости на переменном токе для композита. На рис. 3.13 приведены температурные зависимости сопротивления, полученные на разных частотах.

Рисунок 3.14 Магнитосопротивление композита [(La0.5Eu0.5)0.7Pb0.3MnO3]0.84[PbTiO3]0.14 на частоте 2 МГц

Видно, что если в области высоких температур зависимости не сильно зависят от частоты тока, то в при низких температурах зависимость весьма существенная. При этом, по мере увеличения частоты на зависимостях все отчетливее начинает проявляться пик, положение которого также зависит от частоты. Чем выше частота, тем больше особенность сдвигается в область высоких температур. По сути, для образца композита начинает проявляться пик, который мы наблюдали для поликристалла и который соответствует переходу металл-диэлектрик. Объяснить это можно следующим образом. Как мы указывали ранее, большая величина сопротивления композита связана с большой величиной туннельного вклада в сопротивление композита. Этот вклад определяется не внутренними свойствами материала манганита, а границами раздела между гранулами манганита, которые играют роль туннельных барьеров. Туннельное сопротивление на постоянном токе оказывается настолько большим, что на его фоне невозможно заметить пик, связанный с переходом металл-диэлектрик и который определяется главным образом внутренними свойствами материала манганита. Для переменного тока диэлектрические границы между гранулами можно рассматривать как некоторую эффективную емкость, сопротивление которой уменьшается по мере увеличении частоты переменного тока. Т.е., на высоких частотах туннельные переходы оказываются шунтированными и преобладающим оказывается вклад в проводимость, связанный с «внутренними» свойствами гранул манганита. Хотя, следует отметить, что при низких температурах сопротивление снова начинает быстро расти, свидетельствуя об усилении туннельного вклада в сопротивление (рис. 3.14). На этом же рисунке показано влияние магнитного поля, которое оказывается весьма слабым.

Необходимо подчеркнуть, что предлагаемый нами сценарий - лишь один из возможных. Помимо, механизма, связанного с туннелированием через потенциальные барьеры, можно рассматривать и другие, например, механизм, связанный с процессами перескока носителей заряда между локализованными состояниями. В данном случае будет наблюдаться подобный характер поведения проводимости, а наличие пика будет свидетельствовать о наличии релаксационного (Дебаевского типа) процесса. Чтобы попытаться прояснить происхождение особенности в поведении сопротивления на переменном токе, мы провели исследование комплексной диэлектрической проницаемости.

.6 Исследование комплексной диэлектрической проницаемости

Изучение комплексной диэлектрической проницаемости является мощным инструментом исследования композитов типа металл-диэлектрик. Спектральные и температурные зависимости диэлектрических констант можно использовать для обнаружения дипольного электрического момента и определения его характеристик, даже когда речь идет о локальном дипольном моменте в малых кластерах без наличия дальнего порядка. В нашем случае примесной фазой является сегнетоэлектрик и, поэтому, данные о поведении действительной и мнимой частей диэлектрической проницаемости позволят получить информацию об этой фазе и о ее сегнетоэлектрических свойствах. Диэлектрические свойства отражают также информацию о зарядовом транспорте и процессах зарядового упорядочения. Чувствительны диэлектрические константы и к микроструктуре композитов. Отклик диэлектрических свойств на воздействие магнитного поля даст возможность определить основные механизмы, определяющие поведение диэлектрических и электрических транспортных свойств.

Действительная и мнимая части диэлектрической проницаемости композитов (100-x) [(La0.5Eu0.5)0.7Pb0.3MnO3] - x[PbTiO3] c x=0, 10 и 12 %. измерялись в области температур 80-300 К, которая охватывает область перехода металл-диэлектрик манганита (La0.5Eu0.5)0.7Pb0.3MnO3, в диапазоне частот от 100 Гц до 2 MHz, в магнитных полях до 10 кOe. На Рис. 3.15 приведены температурные зависимость действительной и мнимой частей диэлектрической проницаемости для разных частот возбуждающего электрического поля в отсутствие магнитного поля. Обратимся с начала к поведению поликристаллического манганита без примеси сегнетоэлектрической фазы. Действительная часть комплексной диэлектрической проницаемости  поликристаллического (La0.5Eu0.5)0.7Pb0.3MnO3 уменьшается с понижением температуры, наиболее существенные изменения приходятся на примерно диапазон температур 150-300 К. Мнимая часть диэлектрической проницаемости  обнаруживает в этой области максимум. Более того область резкого изменения  и положение максимума на зависимости  сдвигается с увеличением частоты возбуждающего электрического поля в сторону высоких температур.

Исследование частотных характеристик действительной и мнимой частей комплексной диэлектрической проницаемости при различных температурах. Дисперсионное поведение диэлектрической константы характеризуется почти постоянной величиной  при низких частотах и быстрым уменьшением величины проницаемости при движении в сторону высоких частот, которое сопровождается пиком потерь на зависимости мнимой части диэлектрической проницаемости . Описанное выше поведение частотных и температурных зависимостей  и  является характерным для релаксационных процессов. Эти процессы могут быть связаны либо с переориентацией электрических диполей, либо с переносом заряда между неэквивалентными позициями в кристаллической решетке материала, что в некотором смысле эквивалентно переориентации электрических диполей. Положение аномалии  и  обусловлено характерным временем релаксации рассматриваемой подсистемы.

Феноменологически релаксационное поведение диэлектрического отклика описывается в рамках обобщенной модели Дебая, которая дает следующее выражение для частотной зависимости диэлектрической константы:

                    (3.2)

Здесь  и  - величины диэлектрических констант в пределе низкой и высокой частоты, соответственно;  - частота электрического поля;  - характерное время релаксации. Параметр  характеризует уширение Дебаевской релаксации за счет уширения функции распределения времен релаксации. Использование выражения (3.2) для анализа экспериментальных данных позволяет определить характерные времена релаксации. Параметр  характеризует уширение Дебаевской релаксации за счет уширения функции распределения времен релаксации. Используя закон Аррениуса  и значения времен релаксации для разных температур, можно определить и характерные энергии активации  - средние высоты потенциальных барьеров для процессов переориентации электрических диполей.

Когда речь идет о материалах манганитов, как в нашем случае, то характерное релаксационное поведение приписывается, как правило, электронному переносу между локализованными ионами марганца с различной валентностью (Mn3+/Mn4+). Подход с позиций Дебаевской релаксации позволяет оценить энергию активации для переноса заряда - величину потенциального барьера, который необходимо преодолеть заряду при переходе между двумя эквивалентными позициями в решетке кристалла.

Понятно, что обсуждаемая нами выше особенность должна наблюдаться и в номинально «чистом» поликристалле манганита, и в композитах. Действительно, наличие особенности прослеживается и для композитов состава (100-x) [(La0.5Eu0.5)0.7Pb0.3MnO3] - x[PbTiO3] c x = 10 и 12 %, см. Рис. 3.15 и Рис. 3.16. Хотя здесь мы можем говорить лишь о качественном совпадении. Для композитов , как и в случае номинально «чистого» состава, уменьшается при понижении температуры, большее абсолютное значение величин  может быть связано либо с наличием существенного объема сегнетоэлектрической фазы, либо с изменением микроструктуры при переходе от поликристаллического (La0.5Eu0.5)0.7Pb0.3MnO3 к композиционным материалам. Хорошо известно, например, что в случае гранулированных материалов, представляющих собой проводящие гранулы с диэлектрическими границами огромный вклад в диэлектрические константы может быть обусловлен туннельными контактами между гранулами, поскольку такие контакты обладают огромной емкостью. Дополнительный вклад в емкость контактов будет связана с сегнетоэлектрической природой диэлектрических прослоек между проводящими гранулами. В нашем случае мы можем ожидать именно такой сценарий при добавлении сегнетоэлектрической фазы PbTiO3. Заметим, что на зависимостях для  также хорошо просматриваются особенности, наблюдаемые и для «чистого» манганита. Это хорошо видно, например, на температурной зависимости  для частоты .

Далее важно отметить, что обнаруживается и существенные, принципиальные различия в поведении диэлектрических свойств для «чистого» манганита и композитов. Помимо самой величины  к различиям следует отнести хорошо заметные изломы на зависимостях  от температуры для композитов. В случае поликристаллического (La0.5Eu0.5)0.7Pb0.3MnO3 образца зависимость  является гладкой. На температурных зависимостях  в тех же температурных диапазонах наблюдаются ярко выраженные широкие максимумы. Причем с увеличением частоты переменного электрического поля максимумы существенно уширяются и сдвигаются в сторону высоких температур. Такое характерное поведение  и  опять позволяет говорить о наличии релаксационного процесса Дебаевского типа. Исследование частотных характеристик  и  при различных температурах (см. Рис. 3.16) подтверждают это предположение.

С какими физическими процессами могут быть связаны аномалии, которые наблюдаются только в композитах, и не наблюдаются в «чистом» поликристаллическом образце. Вполне разумно связать наличие аномалий с наличием фазы сегнетоэлектрика PbTiO3. Характерное время релаксации тогда будет обусловлено механизмом переориентации электрических дипольных моментов сегнетоэлектрика. Наличие широких Дебаевских максимумов и изменение их ширины с изменением температуры можно объяснить, исходя из следующих соображений. Микроструктура композита такова, что примесная фаза может присутствовать в виде отдельных кристаллитов различной формы и размеров, либо в виде прослоек между гранулами манганита. Поэтому, во многом время релаксации будет определяться не только внутренними свойствами PbTiO3, но и свойствами и характером фазовых границ, размерами, формой кристаллитов. Очевидно, что композит нужно рассматривать как неоднородную систему. Следствием этого является широкое распределения по перечисленным параметрам в реальных композитах и, следовательно, широкое распределение по временам релаксации . Уширение Дебаевского пика может также происходить, если есть корреляция в процессах переориентации электрических диполей в соседних кристаллитах за счет взаимодействия, либо когда исследуемая система состоит из нескольких аналогичных подсистем с отличающимися, но близкими параметрами.

Изменение ширины максимумов при изменении температуры можно, таким образом, объяснить тем, что при различных температурах «работают» различные области сегнетоэлектрической фазы, характеризуемые своим собственным временем релаксации. Возможно, что при различных температурах могут «включаются» различные подсистемы, имеющие различные параметры. Не исключено изменение взаимодействия между различными областями сегнетоэлектрической фазы.

Если вернуться к феноменологическому подходу, то спектр времен релаксации наличие корреляций и т. д. будет характеризоваться параметром . Изучая его поведение при изменении условий можно делать определенные выводы о реальных физических механизмах отклика системы на воздействие переменного электрического поля.

В заключение обсуждения аномалий диэлектрических свойств для композитов мы вынуждены указать, что при низких температурах можно выделить добавочные менее выраженные аномалии диэлектрических констант. Здесь мы не будем подробно обсуждать этот вопрос, заметим только, что причиной опять может быть микроструктурная неоднородность распределения сегнетоэлектрической фазы в композитах.

Коротко затронем еще один вопрос - влияние магнитного поля на диэлектрические свойства композитов. Мы провели исследования по влиянию магнитного поля на действительную и мнимую части диэлектрической проницаемости. Разница между температурными зависимостями  и  без магнитного поля и в магнитном поле 10 кЭ. Зависимости были получены для нескольких частот электрического поля. Сразу заметим, что эффекты влияния магнитного поля имеют незначительные величины. Для «чистого» образца эффект «отрицательный», в магнитном поле происходит уменьшение и  и . Для  зависимости разницы величин в поле и без поля, имеют гладкий вид и практически не зависят от частоты. Для  вид зависимости меняется с частотой. Сейчас трудно делать определенные выводы о механизмах действия магнитного поля, можно предположить, что эффект связан с изменением проводимости образца. Причем магниторезистивный эффект имеет два механизма. Один - эффект колоссального магнитосопротивления, другой - эффект туннельного магнитосопротивления.

Для композитов эффект влияния магнитного поля также наблюдается, но при этом величин эффект даже меньше чем для «чистого» образца. Характер изменения эффекта довольно сложный есть области и «отрицательного» эффекта и «положительного». Как один из возможных вкладов мы можем предложить магнитно-стрикционный. Изменение намагниченности манганита вызывает деформацию магнитной фазы и, естественно, сигнетоэлектрической фазы. Такая деформация оказывает влияние на свойства примесной фазы, приводя к изменению ее параметров и следовательно величин  и .

Выводы

композит мультиферроик диэлектрическая магнитная

1. Получены композиты с различным замещением манганита PBTIO3 методом твёрдофазной реакции;

. Проведены измерение ВАХ для чистого и композиционного материала (х=14 %), намагниченности и диэлектрической проницаемости для композитов с х=0 %, 10 % и 12 % при различных температурах, как в области магнитного упорядочения так и в парамагнитной области, а так же зависимости этих характеристик от приложенного магнитного поля;

. Выявлено прежде всего влияние добавок PbTiO3 к манганитам на магнитные и транспортные свойства;

. Наиболее значительное влияние показали диэлектрические свойства ε’ и ε», а так же Δε’ и Δε’’ значительно зависят от состава, температуры и от величины магнитного поля;

. Влияние магнитного поля наиболее показательная зависимость для того чтобы сделать предварительное заключения о том, что полученные композиты проявляют себя как мультиферроики;

. Доложенные результаты показали перспективность полученных композитов для продолжения их более детального и полного исследования;

. В этой работе мы исследовали только составы с матрицей манганита для того, чтобы выявить влияние на сегнетоэлектрические свойства таких композитов, необходимо получить и исследовать составы где наоборот, в качестве матрицы будет выступать армирующая матрица PBTIO3.

 

Список литературы

1. S.Y. Tan, S.R. Shannigrahi, S.H. Tan. J. Appl. Phys.103, 094605 (2008);

2. L. Mitoseriu, I. Pallechi, V. Buscaglia, A. Testino. J. Magn. Mater.316 (2007) e 603-e606;

. Z.M. Tian, S.L. Yuan, Y.Q. Wang, L. Liu, S.Y. Yin, P. Li, K.L. Liu, J.H. He, J.Q. Li. Short communication;

. Y.H. Xong, X.S. Bao, J. Zhang, C.L. Sun, W.H. Huang, X.S. Li, Q.J. Ji, X.W. Cheng. Physical B (2007) 102-106;

. Dewei Liu, Qiaoli Zhang. Yusheng Wang, Zhengcaixia. J. Magn. Mater.320 (2008) 1928-1931;

. V.S. Yang, Y. Yang, W. He, C.H. Cheng and Y. Zhao. J. Phys. D: Appl. Phys.;

. Н.В. Волков. Магнитные, резонансные и транспортные свойства примесных и слоистых систем. Диссертация на соискание учёной степени доктора ф.-м. наук. Красноярск, 2004 г.;

. K.A. Shaykhutdinov, S.I. Popkov, S.V. Semenov, D.A. Balaev, A.A. Dubrovskiy, K.A. SablinaandN.V. Volkov.

9. Salafranca J., Calderon M.J., and Brey L. Magnetoresistance of an all-manganite spin valve: A thin antiferromagnetic insulator sandwiched between two ferromagnetic metallic electrodes //Phys. Rev. B, 77, 014441 (2008)

. J. Wang. Tunnel junction with a ferroelectric-ferromagnetic composite barrier. App. Phys. Letter 93, (2008), p1-3

. Salafranca J., Calderon M.J., and Brey L. Magnetoresistance of an all-manganite spin valve: A thin antiferromagnetic insulator sandwiched between two ferromagnetic metallic electrodes //Phys. Rev. B, 77, 014441 (2008)

. A.K. Jonscher. Dielectric relaxation in the solids (London: Chelsea Dielectrics)

Похожие работы на - Магнитные и транспортные свойства композитов

 

Не нашли материал для своей работы?
Поможем написать уникальную работу
Без плагиата!
Без нейросетей!