Проектирование угольной шахты
Министерство
образования и науки РФ
Государственное
образовательное учреждение высшего профессионального образования
Сибирский
государственный индустриальный университет
Кафедра
экономики и управления горным производством
ЗАДАНИЕ
На
курсовое проектирование по дисциплине «Горное дело»
ИСХОДНЫЕ ДАННЫЕ
|
№
п/п
|
Наименование
показателя
|
Обозначить
|
Ед.
изм.
|
Значения
|
|
1
|
Размер
шахтного поля: - по падению - по простиранию
|
Н
S
|
м.
м.
|
2800
5600
|
|
2
|
Угол
падения угольных пластов
|
d
|
град.
|
18
|
|
3
|
Мощность
наносов
|
Ho
|
м.
|
22
|
|
4
|
Количество
отработанных пластов в свите
|
n
|
шт
|
3
|
|
5
|
Мощность
пластов
|
m1
|
м
|
2,4
|
|
|
m2
|
|
4,5
|
|
|
m3
|
|
3,8
|
|
6
|
Объемный
вес угольных пластов
|
y
|
т/м3
|
1,3
|
|
7
|
Мощность
парод междупластья
|
a1
|
м
|
15
|
|
|
a2
|
|
12
|
|
8
|
Коэффициент
крепости угля
|
f
|
-
|
-
|
|
9
|
Относительная
газообильность
|
q
|
м3/т
|
-
|
Проект должен быть составлен в соответствии с
методическими указаниями.
Руководитель курсового проекта _________
Введение
Задачами данной курсовой работы является
проектирование угольной шахты по приведенным исходным данным. В ходе работы
необходимо рассчитать промышленные запасы шахты, проектную мощность и срок
службы шахты, а также выбрать схему и способ вскрытия шахтного поля, схему и
способ подготовки шахтного поля, оптимальные для заданных условий залегания
угольных пластов.
Кроме этого стоит задача выбрать и обосновать
выбранную систему разработки и определить технические средства очистных работ.
Цель курсовой работы - научится научным методами
разработки месторождений угля и научиться использовать наиболее эффективный, с
технико-экономической точки зрения, метод для определения горно-геологических
условий разрабатываемого месторождения при обеспечении безопасности ведения
работ и благоприятных условий труда.
.
Основные параметры шахты
Качественные характеристики включают сведения,
которые определяют принципиальные особенности предприятия и могут быть выражены
путем их описания. К ним относятся горно-геологические условия залегания
полезного ископаемого, технологическая система шахты, способ вскрытия и
подготовки шахтного поля, система разработки очистных забоев и т.д.
Количественные характеристики шахты - численные
значения важных с экономической точки зрения показателей. К ним относятся :
производственная мощность, срок службы, балансовые и промышленные запасы
шахтного поля, его размеры по падению и простиранию, угол падения пластов.
1.1 Промышленные запасы
шахтного поля
Промышленные запасы - балансовые запасы за
вычетом потерь, подлежащие выдаче на поверхность.
Запасы полезных ископаемых - это количество
полезного ископаемого и его компонентов, заключенное в недрах земли на
определенной площади.
Промышленные запасы подразделяются по степени их
подготовленности на вскрытие, подготовительные и готовые к выемке.
Вскрытые запасы - запасы, к которым обеспечен
доступ с поверхности земли, через выработки.
Подготовительные запасы - для их разработки
проведены основные подготовительные выработки.
Готовые к выемке - запасы, для разработки
которых найдены все без исключения подготовительные и нарезанные выработки,
осуществлены необходимые работы, позволяющие приступить к очистной выемке угля.
Балансовые запасы - запасы, разработка которых
экономически целесообразна. По качеству полезного ископаемого эти запасы отвечают
требованиям их промышленного использования, а по количеству и условиям
залегания пригодны для добывания при современном уровне техники. Они включают в
себя промышленные запасы и потери.
Балансовые запасы шахтного поля определяются
следующим образом :
Z б = S*H*
∑ P, тыс.т.
где S
- размер шахтного поля по простиранию, м.;
H - размер шахтного
поля по падению, м.;
∑Р - суммарное произведение пластов ,
т/м2.
∑ P=
m1v1
+m2v2
+…+mnvn
где mn
- мощность n - го пласта ,м.;
n - количество
рабочих пластов ;
vn - плотность
угля n -го пласта, т/м2.
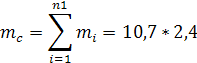
∑Р = (2.4*1.3)+(4.5*1.3)+(3.8*1.3) = 13,91
т/m2;
Zб =
5600*2800*13.91=218108800 тыс.т.
Промышленные запасы шахтного поля определяются
по формуле:
Zпр = C*Zб,
тыс.т.
где С - коэффициент извлечения угля по шахте,
доли ед.
Практикой эксплуатации шахт установлено, что
коэффициент угла на шахтах составляет при углах падения пласта до 45˚ -
0,75-0,85 доли единиц. Принимаем С = 0,85.
Zпр =
0,85*218108800==185392480 тыс.т.
1.2 Проектная мощность шахты
Проектная мощность шахты - это потенциально
возможный объем добычи угля, предусмотренный утвержденным проектом и
соответствующий заложенным решениям по технике, технологии и организации работ
, т.е. тот объем добычи , который предприятие должно обеспечить в единицу
времени.
Годовая мощность шахты определяется по формуле:

, тыс.т.
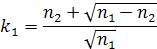
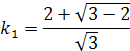
где k1 -
коэффициент, учитывающий влияние числа угольных пластов в шахтном поле и
принятых к одновременной разработке ;
k1=1,73
k2 -
коэффициент, учитывающий влияние нагрузки на очистной забой на уровень
проектной мощности шахты;
где 
- коэффициент, отражающий степень
влияния средней нагрузки на единичный очистной забой на годовую мощность шахты,

= 0,0016 для Кузнецкого бассейна с
пологим залеганием пластов;
А3 - месячная нагрузка на очистной
забой ,т/мес ;
A3=lc*υ*mi*v*C*N
mср - средняя
мощность угольных пластов;
- мощность одного пласта, 2,2.
lc - наклонная
длина отрабатываемого столба или лавы 200 м.
υ - суточное
продвигание очистного забоя
υ=r*nц
где r - глубина
вруба, 0,63м;
nц -
количество циклов в сутки, 10;
υ=0,63*10=6,3
v - плотность
угля, 1,3 т/м2,
N - число
рабочих дней в месяце, 25 сут.,
С - коэффициент извлечения угля по
очистному забою, 0,95
А3=200*6,3*2,4*1,3*0,95*25=93366
А3=93366 т/месс
=14.91
где Нв - глубина верхней границы
шахтного поля, 22м.;
Нн - глубина нижней границы шахтного
поля, м;
Нн = Н*sinα
где α - угол падения
пласта, 18;
Н - наклонная длина поля шахты по
падению, м ;
Sin α = Sin
18 = 3,09
Нн = 2500*3,09 = 7725;
Нн = 2500*0,35=875
k3 =
1+22/875= 1,025
mc=25,68
Определяем годовую мощность шахты:

, тыс.т.
Ar=5,8 тыс.т.
1.3
Срок службы шахты
Срок службы шахты - время в годах, в течение
которого будут извлекаться промышленные запасы угля в пределах шахтного поля.
На протяжении всего срока службы шахты
выделяются следующие этапы: строительство и ввод в эксплуатацию , освоение
проектной мощности, стабильная работа, подготовка новых горизонтов, затухание
добычи и выбытие мощности .
Тn
= Tp + t1
+ t2
где Тр - расчетный срок службы шахты
Tp =30,9 лет
t1 - срок освоения
годовой проектной мощности шахты, 4 года;
t2 - срок затухания
добычи к концу отработки запасов, 3 года.
Тn=30,9+4+3=37,9
года
В результате проведенных расчетов полный срок
службы шахты составил 37,9 года.
2. Выбор схемы и способа вскрытия шахтного поля
Способ вскрытия - совокупность основных
вскрывающих выработок в шахтном поле относительно транспортного горизонта с
учетом их функционального назначения.
Шахтные поля вскрывают разными способами в зависимости
от геологических, горнотехнических и экономических факторов: формы и размеров
шахтного поля, мощности и угла падения пластов, числа пластов и расстояния
между ними, глубины залегания пластов от поверхности и ее рельефа, нарушения
месторождения и газоносности пластов, мощности шахты и срока ее службы.
Различают четыре способа вскрытия:
• вертикальными стволами;
• наклонными стволами;
• штольнями;
• комбинированный способ.
Вскрытие пластов вертикальными стволами -
наиболее универсальный и самый распространенный способ, применяемый в равнинной
местности. Данный способ применяется как для пологих и наклонных пластов, так и
для крутонаклонных и крутых пластов, в том числе при тяжелых условиях залегания
- на большой глубине, при повышенной газоносности пластов, большой
протяженности и количестве пластов, их сложной форме и др.
Достоинствами способа вскрытия вертикальными
стволами является:
• широкий диапазон применения;
• меньшая в сравнении с наклонными стволами
протяженность основных выработок, а вследствие этого меньшие трудности в их
поддержании и обслуживании;
• наиболее развитая система вентиляции шахты.
К недостаткам стоит отнести:
• относительно длительный период строительства
шахты;
• с технической стороны - сложность прохождения
вертикальных стволов;
• высокие капитальные затраты на сооружение
шахты.
Вскрытие наклонными стволами целесообразно
применять в тех случаях, когда выход пласта покрыт наносами незначительной
мощности (50-70 м) , в наносах отсутствуют плывуны, залегание пластов
спокойное, угол падения пластов 6-25˚.
Длина наклонных стволов не должна превышать
1500-1800 м, так как при больших размерах шахтного поля по падению осложняются
условия проветривания шахт и работы вспомогательного канатного подъема, который
становится ступенчатым, поэтому способ не применяется при большой протяженности
пластов и большой глубине их залегания.
Число одновременно вскрываемых пластов не более
трех. При большом числе их трудно разрабатывать с одинаковой интенсивностью,
что приведет к одновременной разработке нескольких горизонтов , разбросанности
горных работ и усложнит схемы подземного транспорта , вентиляции и др.
У вскрытия пластов наклонными стволами следующие
достоинства:
• относительно небольшие первоначальные затраты
на вскрытие шахтного поля и оборудование технологического комплекса
поверхности;
• быстрый ввод шахты в эксплуатацию;
• возможность получить дополнительные
геологоразведочные данные при проведении стволов по пласту и попутную добычу
угля, используемого для нужд строительства;
• простая схема и возможность полной
конвейеризации подземного транспорта для доставки угля на поверхность.
К недостаткам относятся:
• ограниченная горно-геологическими условиями
область применения способа;
• значительные расходы на поддержание стволов
вследствие большей их длины по сравнению с вертикальными , пройденными на ту же
глубину , и более сильного проявления горного давления со стороны вмещающих
пород;
• ограниченная пропускная способность
вспомогательного транспорта, меньшая его надежность;
• большое сопротивление наклонных стволов
движению воздуха.
Штольнями вскрывают пласты, залегающие в районах
с сильно пересеченной гористой местностью, когда использование вертикальных или
наклонных стволов технически невозможно или экономически нецелесообразно.
Штольневое вскрытие применяется при любых углах
падения и количестве пластов.
При выборе места расположения штольни необходимо
учитывать совокупность следующих факторов : около устья штольни должна быть
площадка, защищенная от селей и достаточная для размещения технических зданий и
сооружений ; обеспечена возможность подвода железнодорожного пути, шоссейной
или канатной подвесной дороги; устье штольни необходимо располагать выше уровня
максимального подъема воды в ближайшем водоеме за последние 40-50 лет.
Достоинства штольневого вскрытия по сравнению со
стволами:
• проще схемы транспортирования грузов и
водоотлива;
• отсутствует подъем;
• простая схема поверхностного комплекса.
Способ вскрытия месторождения штольнями - один
из самых экономичных и простых. Рекомендуется к применению во всех случаях,
когда для этого имеются необходимые горно-геологические предпосылки.
При комбинированном способе вскрытия шахтных
полей для выполнения различных технологических функций сооружают не однотипные
основные и дополнительные вскрывающие выработки. Фактически данный способ
представляет собой синтез рассмотренных выше способов, и имеет целью достичь
при наиболее рациональном техническом решении больший экономический эффект от
производственной деятельности горного предприятия.
В качестве главной вскрывающей выработки чаще
всего используется наклонный ствол, в качестве вспомогательной - вертикальный.
Главный наклонный ствол оборудуют мощным ленточным конвейером, который
используется для транспортировки угля. Вертикальный ствол оборудуется скиповым
подъемом для транспортировки породы на поверхность, а также материалов и
оборудования в шахту и обратно.
Комбинированные схемы вскрытия встречаются на
старых шахтах в результате их реконструкции. В других случаях эти схемы
закладывают в проекты новых шахт, например, при вскрытии пластов с резко
меняющимися углами падения, мульд, куполообразных залежей, нарушенных
месторождений.
Комбинированный способ вскрытия имеет ряд
преимуществ по сравнению со вскрытием вертикальными стволами, оборудованными скиповым
подъемом. Обеспечивается непрерывность (поточность) транспортирования угля от
очистного забоя до поверхности шахты; повышается безопасность работ,
уменьшается измельчение угля, что особенно важно при добыче дорогостоящих
энергетических углей, особенно антрацитов.
К недостаткам комбинированного способа вскрытия
относится большая длина наклонных стволов по сравнению с вертикальными, что
необходимо особо учитывать при применении специальных способов сооружения
стволов по слабым, обводненным, трещиноватым породам. Эксплуатационные затраты
на поддержание стволов , на транспортирование 1 т. Угля ленточными конвейерами
больше по сравнению со скиповым подъемом; увеличивается степень измельчения
угля при одинаковой вертикальной высоте подъема.
Эффективная область применения комбинированного
способа вскрытия: годовая мощность шахты должна быть более 1,5-2 млн.т. угля;
глубина ведения горных работ до 400 м; преимущественно пологих пластов с
проходкой стволов под углом до 17˚, так как современные ленточные конвейеры
надежно работают при угле наклона не более 18˚. Стволы желательно
проходить с углом наклона, соответствующим углу падения пласта , во избежание
пересечения пластов стволами и оставления охранных целиков угля на пересекаемых
пластах.
Схема вскрытия - пространственное расположение
сети основных и дополнительных вскрывающих выработок в шахтном поле.
Различают следующие основные схемы вскрытия :
• по числу транспортных горизонтов -
одногоризонтные и многогоризонтные;
• по типу дополнительных вскрывающих выработок -
без дополнительных выработок, с квершлагами (капитальными, горизонтными,
этажными), с гезенками (капитальными и этажными), со слепыми стволами.
При одногоризонтной схеме вскрывают как
отдельные пласты, так и свиты пластов. При этом вскрытие осуществляется
вертикальными стволами и капитальным или этажными квершлагами в зависимости от
способа подготовки шахтного поля, реже - с использованием гезенков.
Одногоризонтный способ вскрытия применяют в тех случаях, если размер шахтного
поля по падению не превышает 2,5-3 км, а угол падения пласта меньше 16-18˚.
При многогоризонтной схеме вскрытия шахтное поле
делят на три - четыре части с размерами по 1000-1200 м. Главные вскрывающие
стволы могут быть пройдены либо сразу на полную глубину, либо углубляются по
мере отработки текущей выемочной ступени. Для вскрытия пластов в пределах
выемочной ступени используют горизонтные либо этажные квершлаги.
Многогоризонтный способ вскрытия применяют при значительных размерах шахтного
поля по падению (более 3 км) и различных углах падения пластов.
На основании горно-геологических условий и
размеров шахтного поля применяем одногоризонтную схему вскрытия. Вскрытие
осуществляем вертикальными стволами и погоризонтными квершлагами. Так как
размер шахтного поля по падению равен 2300 м, делим его на две выемочных
ступени: по 1150 м.
С поверхности проходим главный и вспомогательный
стволы до отметки транспортного горизонта, оборудуем околоствольный двор, от
которого проходим откаточный квершлаг до уровня каждого пласта. От транспортного
горизонта по простиранию каждого пласта проводим главные откаточные штреки. По
мере развития работ и погашения запасов первого горизонта углубляем стволы до
второго горизонта , пласты вновь вскрываем откаточным квершлагом и главными
откаточными штреками. При этом первый горизонтный квершлаг используется в
качестве вентиляционного.
Следующим этапом строительства шахты является
подготовка шахтного поля, которая осуществляется проходкой дополнительных
горных выработок. От главных откаточных штреков по восстанию пластов проводятся
наклонные выработки - бремсберги и ходки, производится подготовка участков
пластов к очистной выемке.
3. Выбор схемы и способа подготовки шахтного
поля
Под подготовкой шахтного поля понимают
проведение подготовительных выработок после вскрытия месторождения,
обеспечивающих условия для ведения очистной выемки.
Подготовка пласта к очистной выемке состоит из
двух этапов. На первом этапе проводят подготавливающие выработки на уровне
транспортного горизонта. Этот этап называют способом подготовки. В основу
разделения способов подготовки положены два признака: расположение
подготавливающих выработок относительно угольного пласта и число
разрабатываемых пластов, обслуживаемых подготавливающей выработкой. На этом
этапе подготавливающими выработками являются транспортные (главные) штреки. В
зависимости от расположения этих штреков относительно угольного пласта
различают:
• пластовую подготовку;
• полевую подготовку;
• пластово-полевую (комбинированную) подготовку.
При пластовой подготовке весь комплекс
подготавливающих выработок приходится по пласту. Ее применяют при устойчивых
боковых породах, а также на пластах с углями, не склонными к самовозгоранию.
Это, как правило, пласты тонкие и средней мощности.
Достоинства способа:
• отсутствие породных работ;
• более высокая скорость проведения выработок.
Недостатки способа:
• дополнительные расходы на поддержание
выработок;
• ограниченная область применения на пластах ,
склонных к самовозгоранию.
При полевой подготовке весь комплекс
подготавливающих выработок проводят по пустым породам. Ее применяют при
неустойчивых боковых породах и на пластах с углями, склонными к самовозгоранию.
Как правило, полевая подготовка сопутствует мощным угольным пластам.
Достоинства способа:
• расположение выработок вне зоны влияния
очистных работ;
• хорошие условия поддержания выработок ,
длинный срок без ремонтов восстановительных работ;
• возможность применения способа на пластах,
склонных к самовозгоранию.
Недостатки способа:
• большие затраты на проведение полевых
выработок ;
• расположение, сложные условия проведения
выработок, особенно при высокой крепости пустых пород ;
• низкие темпы проведения выработок и большая
продолжительность подготовки пластов.
При пластово-полевой подготовке основные и
этажные штреки проводят по пустым породам на некотором расстоянии от пласта, а
вспомогательные - по пласту. Для соединения полевых выработок с пластовыми
дополнительно проводят квершлаги или гезенки. Пластово - полевая подготовка
находит широкое применение при разработки мощных пластов , особенно , если они
склонны к самовозгоранию, поскольку позволяет снизить потери угля в целиках ,
оставляемых для охраны пластовой выработки.
В зависимости от числа пластов, обслуживаемых
подготавливающей выработкой штреков, различают:
• индивидуальная подготовка;
• групповая подготовка.
При индивидуальной пластовой подготовке
транспортные штреки проводят для каждого из разрабатываемых пластов.
Особенность функционирования этих штреков заключается в том, что они
поддерживаются весь период отработки соответствующего пласта. При наличии в
шахтном поле мощного пласта применяют индивидуальную полевую подготовку.
При групповой подготовке откаточный штрек
проводят общим для всех разрабатываемых пластов свиты или отдельной ее группы.
При этом отпадает надобность поддерживать пластовые откаточные штреки.Их
погашают по мере отработки пластов в пределах выемочного поля. Групповой штрек
проводят полевым или по нерабочему пласту в лежачем боку разрабатываемой свиты.
Следующим этапом подготовки является проведение
подготавливающих выработок в плоскости пласта. К ним относятся проводимые в
пределах выемочного поля наклонные ( бремсберги, уклоны скаты) и горизонтальные
выемочные (конвейерные и вентиляционные штреки) выработки. Результатом второго
этапа подготовки является образование очистных забоев принятой длины в
количестве, обеспечивающем принятую производственную мощность шахты. В
зависимости от деления выемочной ступени шахтопласта на характерные части
различают следующие схемы подготовки выемочных полей:
• этажная;
• панельная;
• погоризонтная;
• комбинированная.
Под схемой подготовки выемочного поля понимают
совокупность характерно расположенных с учетом функционального назначения подготавливающих
выработок, обеспечивающих формирование готовых к выемке частей шахтопласта.
Если пласт в пределах горизонта делят по падению
на участки, вытянутые по простиранию , то такие участки называют этажами, а
схему подготовки - этажной. Этаж - часть пласта в пределах горизонта, границами
которой по падению являются откаточный и вентиляционный штреки, а по
простиранию - границы шахтного поля. Все этажи в пределах горизонта
обслуживаются одним бремсбергом или уклоном, которые называются капитальными.
Расстояние по линии падения пласта между верхней
и нижней границами этажа называют наклонной высотой этажа. Наклонную высоту
этажа для пологих и наклонных пластов рассчитывают, и ее величина может быть
200-450 м. в зависимости от количества лав в этаже и их длины.
Крыло этажа по простиранию иногда дополнительно
делят на части, так называемые выемочные поля, в каждом из которых проводят
промежуточные бремсберги или скаты. Таким образом, выемочное поле - часть
пласта в пределах этажа, обслуживаемая специально проведенной наклонной
выработкой. По простиранию размер выемочного поля до 1000 м, по падению -
совпадает с наклонной высотой этажа и соответствует суммарной длине двух, трех
лав. Выемочное поле по падению делят на подэтажи или выемочные участки (столбы),
которые отделяются друг от друга промежуточными (подэтажными) штреками. В
пределах выемочного участка располагается одна лава.
Этажный способ подготовки применяют на
наклонных, крутонаклонных и крутых пластах. На пологих пластах он рекомендуется
при наличии следующих условий:
• вскрытие шахтных полей наклонными стволами ,
проводимыми по падению пласта или пород лежачего бока;
• вскрытие вертикальными стволами, при котором
мощность шахты может быть обеспечена работой ограниченного числа лав (четырех -
шести);
• угол падения пластов более 8-10˚;
• размеры шахтных полей по простиранию до 4-5
км;
• разработка сильно газоносных пластов, особенно
выбросоопасных . когда необходимо применять схемы подготовки и системы
разработки с минимальным числом наклонных подготовительных выработок.
Достоинства схемы:
• небольшой объем проведения наклонных
выработок;
• быстрый ввод очистного забоя (при прямом
порядке обработки);
• простая схема вентиляции.
Недостатки схемы:
• большая протяженность этажных штреков и
значительные затраты на их поддержание;
• низкая концентрация горных работ.
Если пласт в пределах горизонта делят по
простиранию на участки, расположенные по падению пласта от верхней границы
горизонта до нижней, то такие участки называют панелями , а схему подготовки
шахтного поля - панельной .
Панель - часть пласта в пределах горизонта,
обслуживаемая самостоятельным комплексом горизонтальных или наклонных
транспортных и вентиляционных выработок. Границами панели по простиранию
являются границы шахтного поля и условные линии - границы смежных панелей.
По простиранию размер панели достигает 2500-3000
м, по падению 1000-1200 м.
Панель по падению делят на более мелкие участки,
вытянутые по простиранию - ярусы. Ярус - часть пласта в пределах панели,
ограниченная выемочными, ярусными штреками (конвейерным и вентиляционным). В
пределах каждой панели от главного откаточного штрека проводят бремсберг или
уклон , которые называют панельными. Панель может быть однокрылой и двукрылой.
Последние экономически выгоднее и технически совершеннее. В пределах яруса на
каждом крыле панели располагают одну лаву.
Панельный способ подготовки применяют, как
правило, при разработке горизонтальных пластов, а на пологих и наклонных
пластах при наличии следующих условий :
• угол падения пластов до 20-25 ˚, при
котором можно осуществлять полную конвейеризацию транспортирования угля в
пределах панели;
• отработка одного или ограниченного числа
пластов, когда необходимо обеспечить большую нагрузку на шахту;
• разработка пластов с переменным углом падения
по линии их простирания, при этажном способе наклонная высота этажа в границах
шахтного поля изменялась бы в весьма широких пределах;
• разработка нарушенных пластов , при этом
участки пласта между нарушениями, расположенными по падению или под углом к
нему , являются своего рода панелями;
• длина шахтного поля по простиранию не более
8-10 км.
Достоинства панельной подготовки:
• технически наиболее простое увеличение
нагрузки на пласт;
• благоприятные условия для применения
прогрессивного конвейерного транспорта от очистного забоя до главного штрека и
отработки ярусов обратным ходом, т.е. от границ панели к наклонной выработке.
Недостатки схемы:
• необходимость проведения большего числа
наклонных выработок;
• сложная схема проветривания.
Если пласт в пределах горизонта делят по
простиранию месторождения на выемочные столбы (участки), вытянутые по восстанию
или падению от верхней границы горизонта до нижней, то такой способ подготовки
называют погоризонтным. Границами выемочных столбов по простиранию являются
выемочные выработки, транспортный бремсберг (или уклон) и вентиляционный ходок.
В каждом столбе размещают одну или две лавы, забои которых располагаются по
простиранию и перемещаются по падению или восстанию пласта.
Погоризонтный способ подготовки применяют в
следующих условиях:
• на пластах с углом падения до 12-15˚ ,
при этом отработка выемочных столбов производится по падению, и до 6-8 ˚,
если выемка запасов в столбе происходит по восстанию пласта;
• при различной газоносности пластов;
• умеренной обводненности пласта и пород, если
столб отрабатывают по падению пласта, и любой - при выемке по восстанию;
• при сложной гипсометрии пласта, поскольку
наклонные выработки проводят по заданному направлению, что обеспечивает их
параллельность.
Мощность пласта при его отработке по восстанию
обычно не превышает 2 м. Использование механизированных комплексов, а также
увеличение природной газоносности пластов в результате перехода горных работ на
большую глубину вызвало необходимость применения погоризонтного способа
подготовки.
Достоинства способа:
• низкие капитальные затраты;
• быстрый ввод шахты в эксплуатацию.
Недостатки погоризонтного способа связаны с
дополнительными трудностями, возникающими при проведении и эксплуатации длинных
наклонных выработок, особенно на шахтах , сверхкатегорийных по метану, а также
с ограниченной областью применения.
Если пласт в пределах отдельных горизонтов
шахтного поля (или одного горизонта) делят на части различными способами, то
такой способ подготовки называют комбинированным. Его применяют при изменчивых
геологических условиях залегания пластов (переменный угол залегания по линии
падения, увеличение газоносности, выявление крупных геологических нарушений и
др.), а также при необходимости увеличения добычи шахты (особенно при ее
реконструкции).
На основании горно-геологических условий
применим панельную схему подготовки шахтного поля. Для первых двух пластов ,
которые приняты к одновременной разработке , с мощностями 1,9 м и 2,8 м
применим индивидуальную пластовую подготовку. Для третьего пласта, мощность
которого 4,5 м, применим пластово-полевой способ подготовки.
При подготовке средних по мощности пластов после
вскрытия пластов горизонтным квершлагом проводим в оба крыла шахтного поля
главные штреки на длину, несколько превышающую половину размера панели по
простиранию. В средней части каждой панели сооружаем нижние
приемно-отправительные площадки. От главного штрека проходим для каждой панели
бремсберг, на расстоянии 30 м. от него - два ходка, людской и грузовой,
проходим до верхней границы выемочной ступени. Ярусы отрабатываются нисходящим
порядком, в пределах яруса - обратным ходом, поэтому на уровне первого яруса
проводим откаточный и вспомогательный ярусные штреки на всю длину панели. Затем
сооружаем приемно- отправительную площадку и подготавливаем очистной забой к
выемке. В целях обеспечения системы вентиляции по верхней границе панели
проходим вентиляционный штрек, который соединяем с поверхностью шурфом, там,
где необходимо оборудуем вентиляционные двери.
По мере отработки первого яруса для поддержания
добычи по шахте на необходимом уровне заранее готовим второй, затем третий и
т.д. По мере отработки первой панели готовим вторую. Так как в пределах
горизонта имеем две панели, то не имеет значения , какую панель будем
отрабатывать первой, примем левую. Соответственно главный откаточный штрек
может быть проведен сначала по левому крылу, затем по мере необходимости
подготовки второй панели проводится по правому крылу.
При отработке одного из пластов в пределах
горизонта, приступаем к отработке третьего мощного пласта. Схема подготовки
несколько отличается от первых двух пластов. Здесь главный откаточный штрек и
ярусные откаточные штреки проводим по пустым породам на небольшом расстоянии от
пласта, остальные выработки проводим , как и при пластовой подготовке - по
пласту. Для соединения полевых и пластовых выработок проходим промежуточные
квершлаги. Схема транспортировки и вентиляции остается такой же, как и при
пластовой подготовке. Применение пластово-полевой подготовки позволит избежать
обвалов угольного пласта, потерь угля в целиках , получить лучшую схему по
изоляции пожаров и выбросов газов, которые наиболее вероятны при разработке
мощных пластов.
По мере отработки запасов первого горизонта,
производят углубление вертикальных стволов и вскрытие второй выемочной ступени,
после чего ведут подготовку в том же порядке , как и для первого горизонта. В
качестве вентиляционного штрека для верхних ярусов используем откаточный штрек
предыдущего горизонта.
4. Выбор
и обоснование системы разработки
шахта выемка пласт
Система разработки - определенный порядок
ведения подготовительных и очистных работ в пределах разрабатываемой части
шахтопласта, увязанный в пространстве и времени. Этими частями могут быть
этаж(подэтаж), панель, ярус (подъярус).
Рациональная система разработки пласта должна
удовлетворять следующим требованиям: обеспечивать безопасность ведения горных
работ; обусловливать высокий уровень технико-экономических показателей; иметь
минимальные потери. Под технико-экономическими показателями понимают возможно
наибольший уровень производительности труда и минимальную себестоимость добычи
полезного ископаемого.
На выбор системы разработки оказывают влияние
различные факторы. Основными из них являются: форма залегания, строение,
мощность и угол падения пласта; свойства угля и вмещающих пород; газоносность и
обводненность месторождения; склонность угля к самовозгоранию; склонность
угольных пластов к горным ударам, внезапным выбросам угля и газа; глубина
горных работ; средства механизации подготовительных и очистных работ.
Наибольшее влияние на выбор системы разработки
оказывают мощность и угол падения пласта. От мощности пласта зависит решение
таких вопросов, как способ проведения и поддержания горных выработок, выбор
технологии очистных работ , возможность разработки пласта на полную мощность
или необходимость деления его на слои, крепление очистной выработки и
управления горным давлением. Выбор средств механизации очистных работ,
крепления и управления кровлей во многом зависит и от угла падения пласта. Этот
фактор является решающим при выборе средств доставки угля в забое при его
расположении по падению пласта. Его также учитывают при выборе формы и длины
очистного забоя.
Свойства вмещающих пород являются решающим
фактором при выборе способа управления горным давлением (управления кровлей), а
также поддержанием выемочных выработок и их расположения. Они оказывают
существенное влияние на выбор средств механизации очистных работ.
Такой фактор, как склонность угля к
самовозгоранию, обусловливает необходимость принятия таких решений, которые
обеспечивали бы резкое снижение потерь угля. На удароопасных пластах необходимо
избегать таких ситуаций, когда в угольных целиках и краевых зонах проявляется
повышенная концентрация напряжений.
Перечисленные факторы, как правило, оказывают
комплексное влияние на выбор систем разработки и их параметров.
Разнообразие горно-геологических условий
залегания угольных пластов предопределяет применение различных систем
разработки и их вариантов.
Системы разработки пластовых месторождений можно
представить в виде следующей классификации.
. Системы разработки с выемкой пласта на полную
мощность.
.1. С длинными очистными забоями (сплошные,
столбовые, комбинированные).
.2. С короткими очистными забоями ( камерные,
камерно - столбовые, подэтажные штреки).
. С разделением пласта на слои (наклонные,
горизонтальные и поперечно- наклонные).
Системы разработки с выемкой пласта на полную
мощность характеризуются относительной простотой, так как все подготовительные
выработки располагаются в плоскости пласта. Системы разработки с разделением
пласта на слои конструктивно более сложны и многообразны. Около 75 % подземной
добычи угля дают столбовые системы разработки с длинными очистными забоями.
Сплошная система разработки характеризуется
одновременным ведением подготовительных и очистных работ в выемочном поле.
Забои откаточного и вентиляционного штреков, формирующих выемочное поле,
движутся в том же направлении, что и очистной забой. Для нее характерны: прямой
порядок отработки в крыле шахтного поля или в пределах выемочного поля;
породные забои подготовительных выработок перемещаются вслед за очистными, за
исключением откаточного штрека, проводимого с опережением на 50-70 м;
подготовительные выработки поддерживаются в зоне влияния выработанного пространства.
Достоинства сплошной системы разработки:
• быстрый ввод в эксплуатацию очистных забое;
• возможность размещения в шахте пустой породы,
получаемой при проведении подготовительных выработок.
Недостатки сплошной системы разработки:
• сложность совмещения подготовительных и
очистных работ в одном выемочном поле;
• большие затраты на поддержание
подготовительных выработок;
• отсутствие доразведки условий залегания
угольного пласта;
• утечки воздуха через выработанное
пространство.
Столбовая система разработки - это такая
система, при которой часть пласта в пределах этажа или яруса до начала очистных
работ оконтуривается подготовительными выработками, в результате чего
образуются столбы. Для нее характерны: обратный порядок отработки пласта в крыле
шахтного поля или в пределах выемочного поля; разделение в пространстве и
времени очистных и подготовительных работ в пределах этажа (подэтажа) или
яруса, подготовительные выработки поддерживаются в массиве, по мереподвигания
очистного забоя они погашаются (или частично сохраняются при бесцеликовой
подготовке).
Достоинства столбовой системы разработки:
• относительно низкие затраты на поддержание
подготовительных выработок;
• доразведка условий залегания угольного пласта;
• независимое ведение подготовительных и
очистных работ;
• минимальные утечки воздуха.
Недостатки системы разработки:
• длительные сроки подготовки очистного забоя;
• более сложная схема проветривания.
Камерная система разработки характеризуется
отработкой выемочного пространства узкими и длинными очистными выработками -
камерами. Длина камер достигает 200-250 м ширина 4-12 м. Забой в камерах
подвигают по восстанию пласта или диагонально до границ шахтного поля или
панели. Между смежными камерами оставляются целики шириной 3-5 м. Проходка выработок
и выемка угля в камере осуществляются специальными комбайнами.
В отдельных случаях после отработки двух смежных
камер обратным ходом осуществляют частичное погашение междукамерного
пространства. Такой вариант представляет собой разновидность камерно-столбовой
системы разработки.
Область применения камерной и камерно -
столбовой системы разработки: пласты мощностью 1,5-3 м. с углами падения до 15˚,
залегающие на глубине до 300 м. в устойчивых и средней устойчивости породах ;
газоносность пласта должна быть не более 10 м/т. Применение ее неэффективно на
пластах с высококачественным, особенно коксующимся углем, а по условиям
безопасности - на пластах, угли которых склонны к самовозгоранию, опасны по
внезапным выбросам угля и газа, а также по горным ударам.
Основное преимущество камерной и камерно -
столбовой системы разработки - возможность применения для очистных и
подготовительных работ одного и того же комплекта оборудования, а также высокие
технико-экономические показатели при ведении работ. К недостаткам относятся
высокие потери полезного ископаемого (до 35%) и ограниченную область
применения.
В зонах нарушений с амплитудой смещения более 2
м. участки пластов мощностью 3,5 -5 м. с углами падения 40-90˚ могут
разрабатываться буровзрывным способом с применением подэтажных штреков без
крепления призабойного пространства.
При подготовке пластов к выемке откаточный и
вентиляционный штреки проходятся у почвы пласта на длину выемочного поля.
Отработка подэтажей в этаже производится в нисходящем порядке с опережением не
менее чем на 15 м. Очистные работы включают : проведение разрезной щели, выемка
угля буровзрывным способом лентами шириной 1-1,5 м, после подвигания забоя на
10-15 м. производится посадка кровли самообрушением с частичным перепуском
обрушенных пород с вышележащего горизонта.
Данная система разработки позволяет достичь
максимальных технико - экономических показателей. Она обеспечивает максимальную
месячную добычу угля (6,5- 7,5 тыс.т.) и производительность труда рабочего по
участку (60-90 т), минимальный объем проведения подготовительных выработок на
1000 т, минимальную себестоимость угля.
Однако из-за больших потерь угля и высокой
пожароопасности система применяется редко.
Мощные пласты в некоторых горно-геологических
условиях не представляется возможным отрабатывать на полную мощность. Их
отработку осуществляют отдельными частями - слоями. Слой - ограниченная двумя
параллельными плоскостями часть мощного угольного пласта, отрабатываемая как
пласт средней мощности.
Условные плоскости, разделяющие пласт на слои,
могут располагаться параллельно кровле и почве, горизонтально или наклонно к
плоскости напластования. В зависимости от этого различают деление мощных
пластов на наклонные, горизонтальные и поперечно- наклонные слои.
Деление пластов на наклонные слои применяется
при их пологом залегании и мощности 3,5-5 м с обрушением пород кровли, и при их
крутом залегании и мощности до 12 м с выемкой угля полосами по простиранию.
Отработку слоев, как правило, ведут столбовыми системами разработки. В каждом слое
для подготовки его к очистной выемке проводят необходимые подготовительно -
нарезные выработки. Откаточный штрек проводят один на несколько слоев.
Разделение на горизонтальные слои применяют при
разработке крутых пластов (угол падения более 30˚) мощностью более 10м, а
также при отработке замковых частей складок мощных пластов. В зависимости от
мощности пласта в каждом слое проводят один или два слоевых штрека. Обычно
забой располагают вкрест простирания, с подвиганием по простиранию пласта .
Система разработки в слое - столбовая. Выемка угля может быть механизированной
и взрывной. Управление кровлей может осуществляться полным обрушением и полной
закладкой.
Систему разработки поперечно- наклонными слоями
применяют для выемки запасов, расположенных под списанными пожарными участками,
под сооружениями и водоемами на поверхности; на пластах мощностью 5-10м и углах
падения 50-70˚ . Вмещающие породы должны быть устойчивыми а уголь крепким
и вязким. Необходимое условие применения системы - возведение закладочного
массива высокой плотности . Особенность этой системы разработки заключается в
том, что в слоях заблаговременно слоевые штреки по углю не проводят, а
сооружают их в закладываемом пространстве.
На основании горно-геологических условий и
принятой схемы подготовки пластов к очистной выемке применим столбовую систему
разработки с длинными очистными забоями.
Подготовка выемочных столбов в каждом ярусе
заключается в проведении от бремсберга конвейерного и вентиляционного штреков
до границ панели. На границе панели между этими штреками проводим разрезную
печь, которую затем расширяем, образуя камеру для монтажа очистного
оборудования. После этого начинаем отработку столба обратным ходом.
В целях снижения потерь угля и удельного объема
проведения подготовительных выработок применим отработку без оставленных
целиков между выемочными выработками в соседних ярусах. Для этого конвейерный
штрек не погашаем, а поддерживаем, чтобы использовать в качестве
вентиляционного при выемке нижележащего столба.
Уголь от очистного забоя транспортируем по
конвейерному штреку, затем по бремсбергу до погрузочного пункта на откаточном
штреке. Свежий воздух в очистной забой подаем с откаточного штрека по ходкам и
конвейерным штрекам. Исходящая струя по вентиляционному штреку поступает в ходки
и далее на вентиляционный горизонт шахты или по шурфу на поверхность.
5. Выбор технических
средств очистных работ
На основании горно-геологических условий для
принятой системы разработки используем механическое разрушение горных пород,
которое требует применения специального оборудования.
Исходя из мощности пласта и угла падения, для
очистной выемки принимаем следующее оборудование :
|
Пласт
|
Механизированные
комплексы
|
Очистной
комплекс
|
Забойный
конвейер
|
|
m1 =2,4 m2 =4,5
|
РКУП
20 РКУП 20
|
КМ130
|
СП
301 «Анжера»
|
|
m3 =3,8
|
РКУП
20
|
2УКП5
|
«Анжера»
В результате проделанной работы были рассчитаны
промышленные запасы шахтного поля, которые составили 218108800 тыс.т.,
проектная мощность шахты составила 5,8 тыс.т., срок службы шахты 37,9 лет.
В работе были выбраны и обоснованы: схема
вскрытия - многогоризонтная, способ вскрытия - вертикальными стволами и
погоризонтными квершлагами; схема подготовки - панельная, для пластов средней
мощности принята индивидуальная пластовая подготовка, для мощного пласта -
пластово-полевая подготовка; система разработки - столбовая с длинными
очистными забоями; технические средства очистных работ были выбраны отдельно
для пластов m1, m2,
m3 соответственно:
механизированные комплексы РКУП20, очистной комплекс КМ130 и 2УКП5, забойный
конвейер СП 301 и «Анжера».
Список использованной
литературы
· Бурчаков
А.С. «Технология подземной разработки пластовых месторождений полезных
ископаемых» - М., Недра, 1978 г.;
· Килячков
А.П., Брайцев А.В. Горное дело: Учебник для техникумов.- М: Недра, 1989.-422
с.;
· Соин
В.В. «Вскрытие и подготовка шахтного поля», учебное пособие, СибГИУ -
Новокузнецк, 1994 - 46с.;
· Семенихин
А.Я., Соин В.В. «процессы очистных работ и системы разработки», учебное
пособие, СибГИУ - Новокузнецк, 1988 - 104с.
Похожие работы на - Проектирование угольной шахты
|