Исследование платёжеспособности ООО 'Советская агрофирма'
Министерство
сельского хозяйства Российской Федерации
ФГОУ ВПО
"Вятская государственная сельскохозяйственная академия"
Экономический
факультет
Кафедра
экономического анализа и аудита
КУРСОВАЯ
РАБОТА
ПО
КОМПЛЕКСНОМУ ЭКОНОМИЧЕСКОМУ АНАЛИЗУ ХОЗЯЙСТВЕННОЙ ДЕЯТЕЛЬНОСТИ
Анализ
платёжеспособности ООО "Советская агрофирма"
КИРОВ 2009
Содержание
Введение
.
Теоретические основы методики анализа платежеспособности предприятия
.
Организационно-экономическая характеристика ООО "Советская агрофирма
"
.
Анализ платёжеспособности Оричевского РАЙПО
.1 Оценка
финансовой устойчивости предприятия как основы его платёжеспособности
.2 Состав и
структура активов по степени ликвидности.
.3 Анализ ликвидности баланса и
платёжеспособности Оричевского РАЙПО
.4 Рейтинговая
оценка предприятия по уровню финансовой устойчивости и анализ финансового риска
4. Прогнозирование платёжеспособности
Оричевского РАЙПО
Заключение
Список
литературы
Приложения
Введение
Формирование основ рыночных отношений предопределило необходимость
развития финансового анализа деятельности коммерческих организаций. В настоящее
время содержание финансового анализа рассматривается в рамках таких
характеристик, как деловая активность, финансовая устойчивость,
платежеспособность и кредитоспособность организации, ликвидность ее активов.
В современных экономических условиях деятельность каждого хозяйствующего
субъекта является предметом внимания обширного круга участников рыночных
отношений (организаций и лиц), заинтересованных в результате его функционирования.
На основании доступной отчетно-учетной информации указанные лица стремятся
оценить финансовое положение предприятия. Основным инструментом для этого
служит финансовый анализ, при помощи которого можно объективно оценить
внутренние и внешние отношения анализируемого объекта: охарактеризовать его
платежеспособность, эффективность и доходность деятельности, перспективы
развития, а затем по его результатам принять обоснованные решения.
В связи с этим тема выбранной работы является актуальной.
Объектом исследования является ООО "Советская агрофирма".
Целью курсовой работы является анализ платёжеспособности ООО
"Советская агрофирма" и резервов её повышения.
Данная цель может быть достигнута путём решения ряда задач:
изучить теоретические основы методики анализа платёжеспособности
организации;
охарактеризовать организационно-экономическое положение ООО
"Советская агрофирма";
дать оценку финансовой устойчивости, как основы платёжеспособности;
проанализировать степень ликвидности активов и ликвидность баланса;
сделать анализ платежеспособности ООО "Советская агрофирма";
оценить финансовый риск анализируемой организации;
составить прогноз платёжеспособности на 2009 год.
Для написания курсовой будут использованы учебные пособия, учебники и
статьи из журналов: Гиляровская Л.Т., Вехореева А.А. "Анализ и оценка
финансовой устойчивости предприятия", Чернов В.А. "Экономический
анализ: Торговля, общественное питание, туристический бизнес" и др.,
журналы
"Вестник кадровой политики, аграрного образования и инноваций",
"Экономический анализ: теория и практика" и другие.
Методами экономического анализа, применяемыми в ходе написания курсовой
работы, являются: абсолютные и относительные величины, составление
статистических таблиц, факторный анализ способом цепных подстановок, сравнение
(с уровнем прошлых лет, с нормативными значениями), а именно одномерный
горизонтальный, вертикальный или трендовый сравнительный анализ.
Анализируемым периодом является 2006 - 2008 года. В приложении работы
представлены формы финансовой отчётности за последние 3 года.
1. Теоретические основы методики
анализа платежеспособности предприятия
В анализе платёжеспособности рассматривают возможность погашения
обязательств с помощью текущих денежных поступлений в виде валовой выручки от
продаж и (или) с помощью имеющихся у организации активов при данной степени их
ликвидности. Таким образом, в анализе платежеспособности можно выделить два
направления:
) оценку платежеспособности по выручке;
) оценку платежеспособности на основе ликвидности активов.
Для первого направления определяют среднемесячную выручку К1
как отношение валовой выручки (выручки-брутто) отчётного периода к числу
месяцев в этом периоде:
К1 = N pвал / T,
где N pвал - валовая выручка, или выручка -
брутто, включает выручку от продаж (по оплате ), НДС, акцизы и другие
обязательные платежи. Она отражает объём доходов организации и определяет
основной финансовый ресурс для осуществления хозяйственной деятельности и
исполнения обязательств перед фискальной системой государства, другими
организациями, своими работниками.
При этом определяют также долю денежных средств в выручке:
К2 = N pд / N pвал,
где N pд - часть валовой выручки, полученная в денежной форме.
Этот показатель дополнительно характеризует финансовый ресурс организации
с точки зрения качества выручки (степени ликвидности). От его величины зависит
возможность своевременного исполнения организацией своих обязательств, в том
числе отчисление обязательных платежей в бюджеты и внебюджетные фонды.
Общая степень платёжеспособности К4 определяется как частное
от деления суммы обязательств организации на среднемесячную выручку:
К4 = (Кd + VП) / К1,
где Кd -
долгосрочные обязательства (итог по разделу IV пассива баланса);
VП
- краткосрочные обязательства (итог по разделу V пассива баланса).
Данный показатель характеризует общую ситуацию с платёжеспособностью
организации, объёмами её заёмных средств и сроками возможного погашения
задолженности организации перед кредиторами.
Структура долгов и способы кредитования организации характеризуются
распределением общей степени платёжеспособности на коэффициенты задолженности:
- по кредитам и займам - К5;
другим организациям - К6;
фискальной системе - К7;
внутреннему долгу - К8.
Перекос структуры погашения долгов в строну товарных кредитов от других
организаций, скрытого кредитования за счёт неплатежей фискальной системе
государства и задолженности по внутренним выплатам не только отрицательно
характеризует хозяйственную деятельность организации, но и делает её
неправомерной. Указанные коэффициенты позволяют оценить как платёжеспособность,
так и правильность распределения расчётов по обязательствам. В их числе
коэффициент задолженности по кредитам банкам и займам К5 вычисляется
отношением суммы долгосрочных пассивов и краткосрочных кредитов банков и займов
на среднюю выручку:
К5 = (Кd + Kt) / K1,
где Kt - сумма краткосрочных кредитов и
займов (стр. 610 раздела V
пассива баланса).
Коэффициент задолженности другим организациям К6 вычисляется
отношением к среднемесячной выручке К1 части обязательств перед
кредиторами из раздела V
пассива баланса, в том числе поставщики и подрядчики, векселя к уплате,
задолженность перед дочерними и зависимыми обществами, авансы полученные,
прочие кредиторы.
К6 = (стр.621 + стр.622 + стр.623 + стр.627 +
стр.628) / К1.
Коэффициент задолженности фискальной системе К7 исчисляется
отношением к среднемесячной выручке К1 части обязательств перед
кредиторами, включая задолженность перед государственными внебюджетными
фондами, задолженность перед бюджетом:
К7 = (стр.625 + стр.626) / К1.
Коэффициент внутреннего долга К8 вычисляется делением на
среднемесячную выручку К1 суммы обязательств, включая задолженность
перед персоналом организации, задолженность участникам по выплате доходов,
доходы будущих периодов, резервы предстоящих расходов, прочие краткосрочные
обязательства:
К8 = (стр.624 + стр.630 + стр.640 + стр.650 +
стр.660) / К1.
Общая степень платежеспособности К4 и распределение этого
показателя по видам задолженностей представляют собой значения обязательств в
отношении к среднемесячной выручке организации К1 и являются
показателями оборачиваемости по соответствующей группе обязательств, так как
эти показатели определяют, через сколько месяцев в среднем организация может
рассчитаться с кредиторами при условии сохранения среднемесячной выручки,
полученной в отчётном периоде, если не осуществлять никаких текущих расходов, а
всю выручку направлять на расчёты с кредиторами по соответствующему
коэффициенту.
Степень платёжеспособности по текущим обязательствам К9
определяется как отношение текущих (краткосрочных) обязательств организации к
среднемесячной выручке:
К9 = VП / К1.
Данный показатель характеризует ситуацию с текущей платёжеспособностью
организации, объёмами её краткосрочных заёмных средств и сроками возможного
погашения текущей задолженности организации перед кредиторами.
Согласно Методическим указаниям по проведению анализа финансового
состояния организаций, утвержденным приказом Федеральной службы России по
финансовому оздоровлению и банкротству от 23.01.2001 г. №16, оценка
платёжеспособности на основе среднемесячной выручки рекомендуется к
использованию при выполнении экспертизы и составлении заключений по
соответствующим вопросам, проведении мониторинга финансового состояния
организации, осуществлении иных функций Федеральной службы России по
финансовому оздоровлению и банкротству.
При этом также определяют коэффициенты исполнения текущих обязательств
перед федеральным бюджетом (К22), бюджетом субъекта РФ (К23),
местным бюджетом (К24), государственными внебюджетными фондами (К25),
Пенсионным фондом РФ (К26).
Указанные коэффициенты рассчитывают как отношение соответствующей
величины уплаченных налогов (взносов) к величине начисленных налогов (взносов)
за тот же отчётный период:
Кi = E y / Е н,
где E y - налоги (взносы) уплаченные;
Е н - налоги (взносы) начисленные;
i -
порядковое обозначение коэффициента К (22, 23, 24, 25, 26).
Эти соотношения характеризуют состояние расчётов организации с бюджетами
соответствующих уровней и государственными внебюджетными фондами и отражают её
платёжную дисциплину.[5]
Если рассматривать платёжеспособность как возможность организации
своевременно рассчитываться по своим срочным обязательствам, то наиболее
важными признаками, определяющими платёжеспособность, следует считать:
наличие на счетах организации средств в достаточном объёме,
отсутствие просроченной кредиторской задолженности. [12]
Ликвидность баланса организации есть степень покрытия обязательств
организации её активами, срок превращения которых в денежные средства соответствуют
(или) близки срокам погашения обязательств.
Задача анализа ликвидности баланса возникает в связи с необходимостью
давать оценку платёжеспособности организации.
Анализ ликвидности баланса заключается в сравнении средств по активу,
сгруппированных по степени их ликвидности и расположенными в порядке убывания
ликвидности, с обязательствами по пассиву, сгруппированными по срокам погашения
расположенными в порядке возрастания сроков.
Для этого все активы организации в зависимости от степени ликвидности,
т.е скорости превращения в денежные средства, можно условно подразделить на
следующие группы: [3]
Первый вариант предложен авторами А.Д.Шереметом и
Р.С.Сайфулиным.
Различают:
текущую ликвидность - соответствие дебиторской
задолженности и денежных средств дебиторской задолженности;
расчетную ликвидность - соответствие групп актива и
пассива по срокам их оборачиваемости в условиях нормального функционирования
организации;
срочную ликвидность - способность к погашению
обязательств в случае ликвидации организации.
В зависимости от степени ликвидности, т.е. скорости
превращения в денежные средства, активы организации разделяются на следующие
группы:
Наиболее ликвидные активы А1.
·
суммы по всем
статьям денежных средств, которые могут быть использованы для проведения
расчетов немедленно;
·
краткосрочные
финансовые вложения (ценные бумаги) -
А 1 = строка 260 + строка 250.
Быстрореализуемые активы А2 - активы, для
обращения которых в наличные средства требуется определенное время, -
·
дебиторская
задолженность (платежи по которой ожидаются в течение 12 месяцев после отчетной
даты);
·
прочие
дебиторские активы:
А 2 = строка 240 + строка 270
+ строка 215.
Медленнореализуемые активы А3 - наименее
ликвидные активы -
·
запасы, кроме
строки "Расходы будущих периодов";
·
налог на
добавленную стоимость по приобретенным ценностям;
·
дебиторская
задолженность (платежи по которой ожидаются более чем через 12 месяцев после
отчетной даты).
А 3 = строка 210 - строка 215
+ строка 220.
Труднореализуемые активы А 4 - все статьи
раздела I баланса "Внеоборотные
активы" -
А 4 = строка 190 + строка 230.
Эти активы предназначены для использования в
хозяйственной деятельности в течение достаточно длительного периода времени.
Первые три группы активов могут постоянно меняться в
течение хозяйственного периода и относятся к текущим активам организации. Они
более ликвидны, чем остальное имущество фирмы.
Обязательства организации (статьи пассива баланса)
также группируются в четыре группы и располагаются по степени срочности их
оплаты.
Наиболее срочные обязательства П1 -
·
кредиторская
задолженность;
·
задолженность
участникам (учредителям) по выплате доходов;
·
прочие
краткосрочные обязательства;
·
ссуды, не
погашенные в срок -
П 1 = строка 620 + строка 630
+ строка 650 + строка 660.
Краткосрочные пассивы П 2 -
·
краткосрочные
займы и кредиты;
·
прочие займы,
подлежащие погашению в течение 12 месяцев после отчетной даты, - П 2 = строка 610.
Долгосрочные пассивы П 3 - •долгосрочные кредиты и займы, статьи раздела IV баланса.
П 3 = строка 590.
Постоянные пассивы П 4 -
·
статьи раздела III баланса "Капитал и
резервы";
·
отдельные статьи
раздела V баланса "Краткосрочные
обязательства", не вошедшие в предыдущие группы;
·
доходы будущих
периодов;
·
резервы
предстоящих расходов.
Для сохранения баланса актива и пассива итог данной
группы следует уменьшить на сумму по статье "Расходы будущих
периодов".
П 4 = строка 490 + строка 640.
Организация считается ликвидной, если ее текущие
активы превышают ее краткосрочные обязательства. Реальную степень ликвидности и
ее платежеспособность можно определить на основе ликвидности баланса.
На первой стадии анализа указанные группы активов и
пассивов сопоставляются в абсолютном выражении. Баланс считается ликвидным при
условии следующих соотношений групп активов и обязательств:
А1≥П 1; А2≥П2; А3≥П3;
А4≤П4.
При этом, если выполнены три следующие условия:
А 1>П1; А2>П2;
А3>П3,
т.е. текущие активы превышают внешние обязательства
организации, то обязательно выполняется и последнее неравенство
А4 < П4,
которое подтверждает наличие у организации собственных
оборотных средств и означает соблюдение минимального условия финансовой
устойчивости.
Невыполнение одного из первых трех неравенств свидетельствует
о нарушении ликвидности баланса. При этом недостаток средств по одной группе
активов не компенсируется их избытком по другой группе, так как компенсация
может быть лишь по стоимости; в реальной платежной ситуации менее ликвидные
активы не могут заменить более ликвидные.
Сравнение наиболее ликвидных и быстро реализуемых
активов с наиболее срочными
обязательствами и краткосрочными пассивами показывает текущую ликвидность, т.е.
платежеспособность или неплатежеспособность организации в ближайшее к моменту
проведения анализа время. Сравнение медленно реализуемых активов с
долгосрочными обязательствами показывает перспективную ликвидность, т.е.
прогноз платежеспособности организации.[8]
Второй вариант проведения аналитических работ по
оценке ликвидности баланса предприятия (У.В.Савицкая) предлагает следующую
группировку статей актива по степени ликвидности.
1. Наиболее мобильные активы: денежные
средства и краткосрочные финансовые вложения.
2. Мобильные активы: готовая продукция,
товары отгруженные, дебиторская задолженность.
3.Наименее мобильные активы: производственные запасы,
незавершенное производство, расходы будущих периодов. Соответственно на три
группы разбиваются и платежные обязательства предприятия:
1. Задолженность, сроки оплаты которой
уже наступили.
2. Задолженность, которую следует
погасить в ближайшее время.
3. Долгосрочная задолженность.
Сравнение медленно реализуемых активов с долгосрочными
и среднесрочными пассивами отражает перспективную ликвидность.
Для более точной оценки платежеспособности исчисляется
величина чистых активов и анализируется их динамика.
Чистые активы представляют собой превышение активов
над пассивами, принимаемыми в расчет.
В активы, принимаемые в расчет, включается имущество,
за исключением НДС и задолженности участников (учредителей) по взносам в
уставный капитал.
Пассивы, участвующие в расчете, включают часть
собственных обязательств (целевые финансирование и поступления), все внешние
обязательства, расчеты и резервы предстоящих расходов и платежей и прочие пассивы.
Если хозяйствующий субъект располагает чистыми
активами, значит, он платежеспособен. Оценка дается по изменению их удельного
веса в активах предприятия.[4]
Для проведения анализа по исследуемому предприятию
будет использован первый вариант.
С целью упрощения работы на основании бухгалтерского
баланса строится агрегированный аналитический баланс предприятия, который
представлен в таблице 1.
Таблица 1 - Аналитический баланс предприятия (на конец
года), тыс.руб.
|
Актив
|
Усл. об.
|
Расчёт (код строки)
|
2006 год
|
2007 год
|
2008 год
|
Пассив
|
Усл. об.
|
Расчёт (код строки)
|
2006 год
|
2007 год
|
2008 год
|
|
Денежные средства и
краткосрочные финансовые вложения
|
S
|
260+250
|
|
|
|
Кредиторская задолженность
и прочие краткосрочные пассивы
|
Rp
|
620+630+ 650+ 660
|
|
|
|
|
Дебиторская задолженность и
прочие оборотные активы
|
Ra
|
240+215+ 270
|
|
|
|
Краткосрочные займы и
кредиты
|
Kt
|
610
|
|
|
|
|
Запасы
|
Z
|
210-215+220
|
|
|
|
Всего краткосрочные
обязательства
|
Pt
|
690-640
|
|
|
|
|
Всего текущих активов
|
At
|
290-230
|
|
|
|
Долгосрочные обязательства
|
Kd
|
590
|
|
|
|
|
Внеоборотные активы
|
F
|
190+230
|
|
|
|
Собственный капитал
|
Ec
|
490+640
|
|
|
|
|
Итого имущества
|
Ва
|
300
|
|
|
|
Баланс
|
Вр
|
700
|
|
|
|
Таблица 2 - Анализ ликвидности баланса (на конец года), тыс. руб.
|
Актив
|
2006 год
|
2007 год
|
2008 год
|
Пассив
|
2006 год
|
2007 год
|
2008 год
|
Платежный излишек или
недостаток
|
|
|
|
|
|
|
|
|
2006 год
|
2007 год
|
2008 год
|
|
Наиболее ликвидные активы
|
|
|
|
Наиболее срочные
обязательства
|
|
|
|
|
|
|
|
Быстрореализуемые активы
|
|
|
|
Краткосрочные кредиты
|
|
|
|
|
|
|
|
Медленно-реализуемые активы
|
|
|
|
Долгосрочные кредиты
|
|
|
|
|
|
|
|
Труднореализуемые активы
|
|
|
|
Постоянные пассивы
|
|
|
|
|
|
|
|
Баланс
|
|
|
|
Баланс
|
|
|
|
|
|
|
Проводимый по изложенной схеме анализ ликвидности баланса является
приближенным. Более детальным является анализ платёжеспособности при помощи
финансовых коэффициентов.[3]
Расчет финансовых коэффициентов ликвидности производится путем поэтапного
сопоставления отдельных групп активов с краткосрочными пассивами на основе
данных баланса. Представим расчет показателей платёжеспособности в таблице 3.
Таблица 3 - Финансовые коэффициенты платёжеспособности
|
Наименование показателя
|
Способ расчета
|
Нормальное ограничение
|
|
Коэффициент абсолютной
ликвидности
|
|
|
≥0,1÷0,7
(для торговой организации ≥0,2÷0,5)
|
|
Коэффициент
"критической оценки" (промежуточной ликвидности
|
|
|
≥1(≈1)
|
|
Коэффициент текущей
ликвидности
|
|
|
2,0-2,5
|
|
Коэффициент манёвренности
функционирующего капитала
|
|
|
Уменьшение показателя в
динамике - положительный факт
|
|
Коэффициент
платёжеспособности нормального уровня
|
|
|
≤КТ.Л
|
|
Доля оборотных средств в
активах
|
|
|
≥0,5
|
|
Коэффициент обеспеченности
собственными средствами
|
|
|
≥0,1(чем больше тем лучше)
|
|
Общий показатель
платёжеспособности
|
|
≥1
|
|
Коэффициент текущей
платёжеспособности (рассчитывается по Ф.№4)
|
|
|
|
Коэффициент долгосрочной
платёжеспособности
|
|
|
Тенденция к снижению
|
Коэффициент абсолютной ликвидности показывает, какую часть текущей
краткосрочной задолженности организация может погасить в ближайшее время за
счёт денежных средств и приравненных к ним финансовым вложениям.
Коэффициент "критической оценки" показывает, какая часть
краткосрочных обязательств организации может быть немедленно погашена за счёт
денежных средств, средств в краткосрочных ценных бумагах, а также поступлений
по расчётам.
Коэффициент текущей ликвидности показывает, какую часть текущих
обязательств по кредитам и расчётам можно погасить, мобилизировав все оборотные
средства.
Коэффициент манёвренности функционирующего капитала показывает, какая
часть функционирующего капитала обездвижена в производственных запасах и
долгосрочной дебиторской задолженности.
В основе расчёта коэффициента платёжеспособности нормального уровня лежит
требование не только безусловного возврата краткосрочных обязательств, но и
возможность дальнейшей нормальной работы предприятия.
Коэффициент обеспеченности собственными средствами характеризует наличие
собственных оборотных средств у организации, необходимых для её текущей
деятельности.
Для комплексной оценки платёжеспособности предприятия в целом следует
использовать общий показатель платёжеспособности, с помощью которого
осуществляется оценка изменения финансовой ситуации с точки зрения ликвидности.
Данный показатель также применяется при выборе наиболее надёжного партнёра из
множества потенциальных партнёров на основе отчётности.[3]
Коэффициент долгосрочной платёжеспособности характеризует возможность
погашения долгосрочных займов и способность организации функционировать
длительное время. Увеличение доли заемного капитала в структуре капитала
считается рискованным. Организация обязана своевременно уплачивать проценты по
кредитам, своевременно погашать полученные займы.
Для подтверждения платежеспособности проверяют:
наличие денежных средств на расчетных счетах, валютных счетах, краткосрочные
финансовые вложения. Все перечисленные активы должны иметь оптимальную
величину. С одной стороны, чем значительнее размер денежных средств на счетах,
тем с большей вероятностью можно утверждать, что организация располагает
достаточными средствами для текущих расчетов и платежей.
С другой стороны, наличие незначительных остатков
средств на денежных счетах не всегда означает, что организация
неплатежеспособна: средства могут поступить на расчетные, валютные счета, в
кассу в течение ближайших дней, краткосрочные финансовые вложения легко превратить
в денежную наличность. Постоянное кризисное отсутствие наличности приводит к
тому, что организация превращается в "технически неплатежеспособную",
а это уже может рассматриваться как первая ступень на пути к банкротству. Далее
следуют отсутствие просроченной задолженности и задержки платежей и
несвоевременное погашение кредитов, а также длительное непрерывное пользование
кредитами.
Низкая платежеспособность может быть как случайной
временной, так и длительной, хронической, причинами возникновения которой могут
быть:
·
недостаточная
обеспеченность финансовыми ресурсами;
·
невыполнение
плана реализации продукции;
·
нерациональная
структура оборотных средств;
·
несвоевременное
поступление платежей от контрактов;
·
товары на
ответственном хранении и др.
Анализ указанных коэффициентов проводится путем
сравнения с аналогичными показателями прошлых лет, с внутрифирменными
нормативами и плановыми показателями, что позволяет оценить платежеспособность
организации и принять соответствующие управленческие решения как оперативные,
так и на перспективу. Очевидно, что высшей формой устойчивости организации
является ее способность не только в срок расплачиваться по своим
обязательствам, но и развиваться в условиях внутренней и внешней среды. Для
этого она должна обладать гибкой структурой финансовых ресурсов и при
необходимости иметь возможность как привлекать заемные средства, так и
своевременно возвращать взятую ссуду с уплатой причитающихся процентов за счет
прибыли или других финансовых ресурсов, т.е. быть кредитоспособной.
Основным фактором, формирующим общую
платежеспособность организации, служит наличие у нее реального собственного
капитала. Поэтому помимо перечисленных выше коэффициентов при проведении оценки
платежеспособности анализируют также:
·
величину
собственного оборотного капитала;
·
различные
коэффициенты ликвидности;
·
соотношение
собственного и заемного капитала;
·
коэффициент
долгосрочного привлечения заемных средств и т.д.
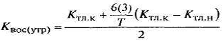
где Ктл н , Ктл.к
- коэффициент текущей ликвидности соответственно на начало и конец периода;
6(3)- период восстановления (утраты)
платежеспособности, (месяцы) в качестве периода восстановления
платежеспособности принято 6 месяцев, периода утраты -3 месяца;
Т- продолжительность отчетного периода, месяцы.
Коэффициент восстановления платежеспособности, имеющий
значение больше 1, свидетельствует о наличии тенденции восстановления
платежеспособности организации в течение 6 месяцев. Значение коэффициента
меньше 1 показывает отсутствие возможности восстановить платежеспособность в
течение 6 месяцев. Коэффициент утраты платежеспособности, имеющий значение
меньше 1, свидетельствует о наличии тенденций утраты платежеспособности
организации в течение 3 месяцев, а больше 1 - об отсутствии подобных тенденций.
Прогноз изменения платежеспособности кроме расчета и оценки, указанных выше
коэффициентов включает также анализ коэффициентов ликвидности и оценку
тенденций их динамики. [7]
В качестве исходной информации при оценке финансовых рисков используется
бухгалтерская отчетность предприятия: бухгалтерский баланс, фиксирующий имущественное
и финансовое положение организации на отчетную дату; отчет о прибылях и
убытках, представляющий результаты деятельности за отчетный период. Основные
финансовые риски, оцениваемые предприятиями:
· риски потери платежеспособности;
· риски потери финансовой устойчивости и независимости;
· риски структуры активов и пассивов.
Сущность методики комплексной (балльной) оценки финансового состояния
организации заключается в классификации организаций по уровню финансового
риска, то есть любая организация может быть отнесена к определенному классу в
зависимости от набранного количества баллов, исходя из фактических значений ее
финансовых коэффициентов.
Таблица 4 - Интегральная бальная оценка финансового состояния организации
|
Показатель финансового
состояния
|
Рейтинг показателя
|
Критерий
|
Условия снижения критерия
|
|
|
высший
|
низший
|
|
|
1. Коэффициент абсолютной
ликвидности
|
20
|
0,5 и выше - 20 баллов
|
Менее 0,1 - 0 баллов
|
За каждые 0,1 пункта
снижения по сравнению с 0,5 снимается 4 балла
|
|
2. Коэффициент
"критической оценки"
|
18
|
1,5 и выше - 18 баллов
|
Менее 1 - 0 баллов
|
За каждые 0,1 пункта
снижения по сравнению с 1,5 снимается по 3 балла
|
|
3. Коэффициент текущей
ликвидности
|
16,5
|
2 и выше - 16,5 балла
|
Менее 1 - 0 баллов
|
За каждые 0,1 пункта
снижения по сравнению с 2 снимается по 1,5 балла
|
|
4. Коэффициент автономии
|
17
|
0,5 и выше - 17 баллов
|
Менее 0,4 - 0 баллов
|
За каждые 0,01 пункта
снижения по сравнению с 0,5 снимается по 0,8 балла
|
|
5. Коэффициент
обеспеченности собственными средствами
|
15
|
0,5 и выше - 15 баллов
|
Менее 0,1 - 0 баллов
|
За каждые 0,1 пункта
снижения по сравнению с 0,5 снимается по 3 балла
|
|
6. Коэффициент финансовой
устойчивости
|
13,5
|
0,8 и выше - 13,5 балла
|
Менее 0,5 - 0 баллов
|
За каждые 0,1 пункта
снижения по сравнению с 0,8 снимается по 2,5 балла
|
1-й класс (100-97 баллов) - это организации с абсолютной финансовой
устойчивостью и абсолютно платежеспособные.
-й класс (96-67 баллов) - это организации нормального финансового
состояния.
-й класс (66-37 баллов) - это организации, финансовое состояние которых можно
оценить как среднее.
-й класс (36-11 баллов) - это организации с неустойчивым финансовым
состоянием.
-й класс (10-0 баллов) - это организации с кризисным финансовым
состоянием.
При использовании в процессе анализа различных показателей и коэффициентов,
характеризующих платежеспособность, ликвидность и финансовую устойчивость
иногда получают противоречивые данные. Такая ситуация требует обобщающей оценки
финансового состояния.
Для быстрого проведения рейтинговой оценки можно воспользоваться более
простым вариантом, в котором используются следующие показатели:
коэффициент критической ликвидности;
коэффициент текущей ликвидности;
коэффициент автономии.
Полученные при расчетах значения данных коэффициентов классифицируются
следующим образом:
Таблица 5 - Классификация показателей по классам
|
Показатели
|
I класс
|
II класс
|
III класс
|
|
1. коэффициент критической
ликвидности
|
более 1
|
от 1 до 0,6
|
менее 0,6
|
|
2. коэффициент текущей
ликвидности
|
более 2
|
от 2 до 1,5
|
менее 1,5
|
|
3. коэффициент автономии
|
более 0,4
|
от 0,4 до 0,3
|
менее 0,3
|
Каждому из показателей соответствует рейтинг в баллах.
Таблица 6 - Рейтинг показателей в баллах
|
Показатели
|
Рейтинг
|
|
1. коэффициент критической
ликвидности
|
40 баллов
|
|
2. коэффициент текущей
ликвидности
|
35 баллов
|
|
3. коэффициент автономии
|
25 баллов
|
Для определения обобщающей оценки необходимо классность каждого
показателя (табл. 6.1) умножить на его рейтинговое значение (табл. 6.2) и
определить общую сумму баллов по трем коэффициентам. В зависимости от итоговой
суммы баллов, классность предприятия определяется по следующей шкале: I класс:
от 100 до 150 баллов;класс: от 151 до 220 баллов;класс: от 221 до 275
баллов;класс: свыше 275 баллов.
В основу рассмотренной методики заложены жесткие оценки предприятия. Это
вызывает затруднения в оценке классности, когда сумма баллов близка к
пограничным значениям.
Также одним из методов определения уровня финансового риска является
рассмотрение эффекта финансового рычага.
Эффект финансового рычага - один из показателей, применяемый для оценки
эффективности использования заемного капитала. Эффект финансового рычага или
левериджа (ЭФР), представлен формулой:
ЭФР = (RСК - %) * (1 - НнПБ) * ЗК / Ес,
где
ЭФР - эффект финансового рычага, в %;
RСК - рентабельность собственного
капитала, в %
% - ставка процента по заемному капиталу, в %;
НнПБ - ставка налога на прибыль, в относительной величине;
Ес - собственный капитал, тыс. руб.;
ЗК (Pt+Kd) - заёмный капитал, тыс. руб.
Эффект финансового рычага показывает на сколько процентов увеличивается
рентабельность собственного капитала за счет привлечения заемных средств в
оборот предприятия.
Приведенная формула расчета эффекта финансового левериджа позволяет
выделить в ней три основные составляющие:
. Налоговый корректор финансового левериджа (1 - НнПБ), который показывает,
в какой степени проявляется эффект финансового левериджа в связи с различным
уровнем налогообложения прибыли.
. Дифференциал финансового левериджа (RСК - %), который характеризует разницу между коэффициентом
валовой рентабельности активов и средним размером процента за кредит.
. Коэффициент финансового левериджа ЗК / Ес, который
характеризует сумму заемного капитала, используемого предприятием, в расчете на
единицу собственного капитала.
Для прогнозирования платёжеспособности предприятия составляют прогнозный
баланс, на основе которого делают анализ абсолютных и относительных показателей
платежеспособности.
2. Организационно-экономическая характеристика ООО "Советская
агрофирма"
Объектом исследования для данной работы является ООО "Советская
агрофирма", которое действует на основании Устава и в соответствии с
действующим законодательством. Птицеводческое хозяйство Общество с ограниченной
ответственностью "Советская агрофирма" создано в 2001 году на базе
колхоза "Немдинский" (до 1992 года - птицефабрика
"Советская"), которая была образована в 1965 году.
Хозяйство расположено в поселке Новый на землях Родыгинской администрации
в 6 км к югу от районного центра г.Советск, в 140 км от областного города
Кирова. До ближайшей железнодорожной станции Котельнич - 105 км, до пристани
Советск - 10 км.
Предприятие имеет земельную площадь 219 га, в т.ч. пашни - 200 га, в 2006
году земля сдана в аренду соседнему хозяйству.
Кормление птицы производится готовыми комбикормами, которые покупаются на
Котельническом ХПП.
Основное производственное направление - производство яиц. Среднегодовое
поголовье птицы 280-300 тысяч голов, из них взрослой 200-210 тысяч голов,
остальное - ремонтный молодняк, в основном используются породы
"Иза-Браун" и "Хайсекс".
Содержится птица в 12 корпусах, оборудованных клеточными батареями БКМ-3
и ARUAS (для выращивания молодняка птицы) и
БКН-3, К-П-23-3, ARUAS (для
промышленного поголовья). Все процессы в корпусах механизированы.
Хозяйство покупает инкубационные яйца и выводит цыплят в своем инкубаторе,
производит в год 65-70 млн. штук яиц и 300-350 тонн мяса. Большая часть
производственных яиц и мяса - 90 % - реализуется в предприятии
"Торгптица" г.Кирова, остальные в городе Советске и близлежащих
районах.
Предприятие имеет парк из 22 грузовых и специальных автомобилей и 19
тракторов.
Среднегодовая численность работающих 175-180 человек.
За 2007 год реализовано продукции (яйца, мясо) на 109319 тыс.рублей,
рентабельность составила 14,5 %, чистая прибыль 12878 тыс.рублей. Хозяйство
имеет основные производственные фонды на 42039 тыс.руб.
Производительность труда на 1 работника составляет 630 тыс.руб., затраты
труда на производство 1 тыс.штук яиц - 0,8 часа, фондоотдача 2,6 руб.,
фондовооруженность 240337 руб., фондоемкость 0,4 руб., энерговооруженность 47,6
л.с.
Фонд оплаты труда в себестоимости продукции занимает 14%.
Единственным учредителем ООО "Советская агрофирма " является
частное лицо.
Эффективность деятельности предприятия характеризуют основные
экономические показатели его деятельности, которые представлены в таблице 6.
Таблица 7 - Сравнение показателей размера предприятия
|
Показатели
|
2006 г.
|
2007 г.
|
2008 г.
|
2008 г. в % к уровню 2006
г.
|
2008 г. к уровню 2006 г.(±)
|
|
Среднегодовая величина
совокупных активов, тыс.руб.
|
70717,5
|
94974,5
|
142405
|
201,4
|
71687,5
|
|
Среднегодовая величина
текущих активов, тыс.руб.
|
48499
|
56399,5
|
69359
|
143,01
|
20860
|
|
Выручка от реализации
продукции, тыс. руб.
|
86487
|
101438
|
116807
|
135,1
|
30320
|
|
Прибыль (убыток) от продаж,
тыс. руб.
|
10113
|
1251
|
14353
|
141,9
|
4240
|
|
Среднесписочная численность
работников, чел.
|
189
|
175
|
171
|
90,5
|
-18
|
|
Среднегодовая стоимость
основных средств, тыс. руб.
|
21539
|
28287,5
|
53690,5
|
249,3
|
32151,5
|
Анализируя данные таблицы можно сделать вывод о том,
что денежная выручка в 2008 году увеличилась по сравнению с 2006 годом на 30320
тыс. руб. Изменение выручки от реализации продукции имеет в целом положительный
характер. За анализируемый период численность работников уменьшилась на 18
человек. Увеличение среднегодовой стоимости основных средств на 32151,5 тыс.
руб. за период с 2006 по 2008 гг. было вызвано приобретением машин и
оборудования, транспортных средств, измерительных приборов, вычислительной
техники и т.п. Среднегодовая стоимость основных средств имеет положительную
динамику. Темп роста совокупных активов увеличивается: так за 2007 год он
составил 70717,5 тыс.руб., а в 2008 году - 142405 тыс.руб
Важнейшим условием совершенствования производства предприятия является
рост его основных фондов. Проанализируем состав и структуру основных фондов ООО
"Советская агрофирма" без учёта амортизационных отчислений за период.
Таблица 8 - Состав и структура основных средств
|
Виды фондов
|
2006 г.
|
2007 г.
|
2008 г.
|
2008 г. в к уровню 2006 г.
|
|
тыс. руб.
|
%
|
тыс. руб.
|
%
|
тыс. руб.
|
%
|
тыс. руб.
|
%
|
|
Фонды основного вида
деятельности, всего
|
31003
|
100
|
42059
|
100
|
91516
|
100
|
60513
|
295,2
|
|
В том числе:
|
|
|
Здания
|
6338
|
20,45
|
8247
|
19,6
|
23135
|
25,3
|
16797
|
365,02
|
|
Сооружения и передаточные
устройства
|
16
|
0,05
|
16
|
0,1
|
3575
|
3,9
|
3559
|
22343,75
|
|
Машины и оборудование
|
19594
|
63,2
|
27940
|
66,4
|
53202
|
58,1
|
33608
|
271,5
|
|
Транспортные средства
|
4570
|
14,74
|
5371
|
12,7
|
11096
|
12,1
|
6526
|
242,8
|
|
Производственный и
хозяйственный инвентарь
|
485
|
1,56
|
485
|
1,2
|
508
|
0,6
|
23
|
104,7
|
Как видно из таблицы 8, за трёхлетний период стоимость основных средств
увеличилась. Увеличение основных фондов произошло в основном из-за увеличения
стоимости транспортных средств 6525 тыс. руб., и увеличения стоимости машин и
оборудования на 33608 тыс. руб. Наибольший удельный вес в структуре основных
фондов занимают здания и сооружения; машины и оборудование. Стоимость
транспортных средств, машин и оборудования имеет увеличивающуюся тенденцию, в
основном за счёт модернизации оборудования и покупки новой техники, также
увеличивается стоимость зданий и сооружений.
Для обобщающей характеристики эффективности использования основных
средств служат показатели рентабельности, фондоотдачи, фондоемкости,
фодновооружённости, которые представлены в таблице 9.
Таблица 9 - Показатели обеспеченности и эффективности использования
основных средств
|
Показатели
|
2006г.
|
2007г.
|
2008г.
|
2008г. в % к уровню 2006г.
|
|
Фондовооруженность, тыс.
руб.
|
128,98
|
301,55
|
545,7
|
423,1
|
|
Фондоотдача, руб.
|
4,02
|
3,59
|
2,18
|
54,2
|
|
Фондоемкость, руб.
|
0,25
|
0,28
|
0,46
|
184
|
|
Рентабельность
(убыточность) ОПФ, %
|
12
|
1
|
12
|
-
|
За анализируемый период наибольшая рентабельность основных средств
наблюдалась в 2006,2008 годах, так как в эти годы была наибольшая прибыль от
реализуемой продукции (см. табл. 5). Фондоотдача снизилась - в 2006 году она
составляла 4,02 тыс.руб., а в 2008 году - 2,18 тыс.руб., это означает что на используемые
основные фонды стало приходиться меньше выручки, а также снизилась фондоемкость
за рассматриваемый период (с 2006 - 2008 гг.) на 0,21 тыс.руб.
Оборотные средства наряду с основными и рабочей силой являются важнейшими
факторами производства. Ликвидность и платёжеспособность предприятия зависят от
того, на сколько быстро средства, вложенные в активы, превращаются в реальные
деньги.
Таблица 10 - Состав и структура оборотных средств
|
Элементы оборотных средств
|
2006 г.
|
2007 г.
|
2008 г.
|
2008 г. в % к уровню 2006
г.
|
|
тыс. руб.
|
%
|
тыс. руб.
|
%
|
тыс. руб.
|
%
|
тыс. руб.
|
%
|
|
Расходы будущих периодов
|
465
|
1,8
|
292
|
1,5
|
334
|
0,8
|
-131
|
71,8
|
|
Итого оборотные фонды
|
465
|
1,8
|
292
|
1,5
|
334
|
0,8
|
-131
|
71,8
|
|
Дебиторская задолженность
|
22567
|
89,7
|
18875
|
97,2
|
35227
|
88,3
|
12660
|
156,1
|
|
Денежные средства
|
2115
|
8,4
|
253
|
1,3
|
4317
|
10,8
|
2202
|
204,1
|
|
Итого фонды обращения
|
24682
|
98,2
|
19128
|
98,5
|
39544
|
99,2
|
14862
|
160,2
|
|
Итого оборотные средства
|
25147
|
100
|
19420
|
100
|
39878
|
100
|
14731
|
158,6
|
За 3 года стоимость оборотных фондов выросла на 58,6%, в том числе
оборотных фондов выросла на 28,17%, стоимость фондов обращения увеличились на
60,2. .Это объясняется тем, что увеличилась сумма дебиторской задолженности на
56,1% (т.е. предприятие отгрузило свою продукцию покупателям, а оплату не
получило). Из этого можно сделать вывод, что руководство предприятия
осуществляет не достаточно эффективную политику по рациональному использованию
оборотных средств. Наибольший удельный вес в структуре оборотных средств
занимают фонды обращения.
Таблица 11 - Экономическая эффективность использования оборотных средств
|
Показатели
|
2006 г.
|
2007 г.
|
2008 г.
|
2008 г. в % к уровню 2006
г.(±)
|
|
Коэффициент оборачиваемости
|
1,78
|
1,8
|
1,68
|
94,4
|
|
Период оборачиваемости, дни
|
205
|
202,7
|
217
|
105,97
|
|
Коэффициент загрузки
|
0,56
|
0,57
|
0,59
|
|
Рентабельность
(убыточность) оборотных средств, %
|
0,21
|
0,22
|
0,21
|
-
|
ООО "Советская агрофирма" эффективно использует оборотные
средства. Об этом свидетельствует стабильность рентабельности оборотных средств
за анализируемый период, произошло лишь незначительное увеличение
рентабельности в 2007 году на 0,01%. В 2008 году произошло сокращение
рентабельности, это связано с увеличение стоимости текущих активов за счёт
увеличения запасов организации. Увеличение выручки от реализации продукции и
увеличение среднегодовой стоимости оборотных средств привело к незначительному
снижению коэффициента оборачиваемости на 0,1 доли единицы и увеличению средней
продолжительности одного оборота соответственно на 12 дней. Коэффициент
оборачиваемости показал, что сократилось количество оборотов текущих активов
год, соответственно увеличился период оборачиваемости, а это является
отрицательной тенденцией для развития организации. К трудовым ресурсам относится та часть населения, которая
обладает необходимыми физическими данными, знаниями и навыками труда в
соответствующей отрасли. От обеспеченности предприятия трудовыми ресурсами и
эффективности их использования зависят объём и своевременность выполнения всех
работ, эффективность использования оборудования, машин, механизмов и как результат
объём производства продукции, её себестоимость, прибыль и ряд других
экономических показателей.
Таблица 12 - Состав и структура персонала предприятия
|
Категории персонала
|
2006 г.
|
2007 г.
|
2008 г.
|
2008 г. в % к уровню 2006
г.
|
|
чел.
|
%
|
чел.
|
%
|
чел.
|
%
|
|
|
Среднегодовая численность
работников, всего
|
189
|
100
|
175
|
100
|
171
|
100
|
100,00
|
|
в том числе:
|
|
|
|
|
|
|
|
|
Работники, занятые в
сельскохозяйственном производстве
|
170
|
89,9
|
157
|
89,7
|
152
|
88,9
|
89,4
|
|
В том числе: Рабочие
постоянные
|
141
|
74,6
|
129
|
73,7
|
127
|
74,3
|
90
|
|
Из них:
|
|
|
|
|
|
|
|
|
Трактористы-машинисты
|
9
|
4,8
|
7
|
4
|
6
|
3,5
|
66,7
|
|
Работники птицеводства
|
50
|
26,5
|
45
|
25,7
|
44
|
25,7
|
88
|
|
служащие
|
29
|
15,3
|
28
|
16
|
25
|
14,6
|
86,2
|
|
Из них: руководители
|
13
|
6,9
|
14
|
8
|
13
|
7,6
|
100
|
|
специалисты
|
16
|
8,5
|
14
|
8
|
12
|
7,01
|
75
|
|
Работники, занятые в
подсобных промышленных предприятиях и промыслах
|
9
|
4,8
|
13
|
7,4
|
11
|
6,4
|
122,2
|
|
Работники торговли и
общественного питания
|
10
|
5,3
|
5
|
2,9
|
8
|
4,7
|
80
|
В ООО "Советская агрофирма" за 3 года численность работников
сократилась на 18 человек, о чем свидетельствуют данные таблицы 10, хотя
произошло изменение в структуре: численность работников занятых в
сельскохозяйственном производстве снизилась на 18 человек, в том числе рабочих
постоянных уменьшилась на 14 человек, трактористов - машинистов уменьшилось на
3 человека, работников птицеводства уменьшилось на 6 человек, служащих
уменьшилось на 4 человека, работников, занятых в подсобных промышленных
предприятиях и промыслах увеличилось на 2 человека, работников торговли и
общественного питания уменьшилось на 2 человека. Финансовые результаты деятельности предприятия характеризуются суммой
прибыли и уровнем рентабельности. Финансовые результаты деятельности следует
изучать в тесной связи с использованием и реализацией продукции. Такие данные
по ООО "Советская агрофирма" представлены в таблице 13:
Таблица 13 - Финансовые результаты деятельности предприятия
|
Показатели
|
2006 г.
|
2007 г.
|
2008 г.
|
2008 г. в % к уровню 2006г.
|
2008 г. к уровню 2006г.(±)
|
|
Выручка от реализации
продукции, тыс. руб.
|
101438
|
116807
|
175999
|
173,5
|
74561
|
|
Полная себестоимость
реализованной продукции, тыс.руб.
|
99232
|
102454
|
146127
|
147,3
|
46895
|
|
Прибыль (убыток) от продаж,
тыс. руб.
|
1251
|
14353
|
29872
|
2387,8
|
28621
|
|
Прибыль до налогообложения,
тыс. руб.
|
131
|
12949
|
26347
|
20112,2
|
26216
|
|
Чистая прибыль, тыс. руб.
|
115
|
12878
|
26285
|
22856,5
|
26170
|
|
Рентабельность затрат, %
|
1,26
|
14
|
20,44
|
19,18
|
-
|
|
Рентабельность продаж, %
|
1,23
|
12,29
|
16,97
|
15,74
|
-
|
Предприятие за рассматриваемый период работает достаточно рентабельно,
т.к. получает прибыль от реализации продукции, которая за 3 года увеличилась с
1251 тыс.руб.(2006 год) до 29872 тыс.руб.(2008 год) (основное влияние на
увеличение прибыли имеет рост цен), рентабельность продаж увеличилась на
15,74п.п., также произошло увеличение себестоимости продукции на 47,3%.
Наиболее эффективно предприятие работало в 2008 году.
Анализ динамики валюты баланса, структуры активов и пассивов организации
позволяет сделать ряд важных выводов, необходимых как для осуществления текущей
финансово-хозяйственной деятельности.
Таблица 14 - Сравнение динамики и структуры активов балансов
|
Статьи актива
|
2006 г.
|
2007 г.
|
2008 г.
|
2008 г. в % к уровню 2006
г.
|
|
тыс. руб.
|
%
|
тыс. руб.
|
%
|
тыс. руб.
|
%
|
тыс. руб.
|
%
|
|
Внеоборотные активы
|
24378
|
30,3
|
52772
|
48,2
|
93320
|
53,2
|
68942
|
382,8
|
|
Основные средства
Незавершенное строительство
|
24378
|
30,3
|
32197 20575
|
29,4 18,8
|
75184 18136
|
42,9 10,3
|
50806 -
|
308,4 -
|
|
Оборотные активы
|
56024
|
69,7
|
56775
|
51,8
|
81943
|
46,8
|
25919
|
146,3
|
|
Запасы
|
31342
|
38,98
|
36312
|
33,1
|
41496
|
23,7
|
10154
|
132,4
|
|
Налог на добавленную
стоимость по приобретенным ценностям
|
-
|
|
1335
|
1,2
|
903
|
0,5
|
903
|
-
|
|
Дебиторская задолженность
(платежи по которой ожидается в течение 12 месяцев после отчетной даты)
|
22567
|
28,1
|
18875
|
17,2
|
35227
|
20,1
|
12660
|
156,1
|
|
В том числе покупатели и
заказчики
|
6688
|
8,3
|
9592
|
8,8
|
31877
|
18,2
|
25189
|
476,6
|
|
Денежные средства
|
2115
|
2,6
|
253
|
0,2
|
4317
|
2,5
|
2202
|
204,1
|
|
Итого активов
|
80402
|
100,0
|
109547
|
100,0
|
175263
|
100,0
|
94861
|
217,98
|
За трёхлетний период активы увеличились на 117,98%, в том числе оборотные
активы возросли на 46,3. В составе активов предприятия наибольший удельный вес
занимают оборотные активы (46-69%). За анализируемый период наибольшая разница
между оборотными и внеоборотными активами была в 2006 году и имела тенденцию к
увеличению в сторону оборотных активов.
За 3 года стоимость внеоборотных активов увеличилась, изменение составило
68942 тыс. руб. Наибольшую долю в структуре внеоборотных активов ООО
"Советская агрофирма" занимают основные средства (не менее 99%).
Изменение затронуло в основном оборотные активы, они увеличились на 25519
тыс. руб. Наибольшую долю в структуре оборотных активов занимают запасы. Чуть
меньшую долю занимает краткосрочная дебиторская задолженность. В 2008 году, по
сравнению с 2007 годом, наблюдается резкое увеличение денежных средств
организации с 253 тыс.руб. до 4317 тыс.руб.
Увеличение доли оборотных активов в структуре имущества организации
свидетельствует о действии фактора инфляции, замедлении их оборота. Это
вызывает потребность в увеличении массы оборотных средств.
Таблица 15 - Динамика и структура капитала ООО "Советская агрофирма"
|
Показатели
|
2006 г.
|
2007 г.
|
2008 г.
|
2008 г.в % к уровню 2006 г.
|
|
тыс. руб.
|
%
|
тыс. руб.
|
%
|
тыс. руб.
|
%
|
тыс. руб.
|
%
|
|
Собственный капитал
|
27965
|
23,2
|
40518
|
29,1
|
66530
|
30,6
|
38565
|
237,9
|
|
Уставный капитал
|
6124
|
5,1
|
6124
|
4,4
|
6124
|
2,8
|
-
|
-
|
|
Нераспределённая прибыль
(непокрытый убыток)
|
21841
|
18,1
|
34394
|
24,7
|
60406
|
27,8
|
38565
|
276,6
|
|
Заёмный капитал
|
92403
|
76,8
|
98927
|
70,9
|
150565
|
69,4
|
58162
|
162,9
|
|
Краткосрочные займы и
кредиты
|
18904
|
15,7
|
16674
|
11,9
|
24834
|
11,4
|
5930
|
131,4
|
|
Кредиторская задолженность
- всего
|
6531
|
5,4
|
2657
|
1,2
|
8499
|
3,9
|
1968
|
130,1
|
|
в т.ч поставщики и
подрядчики
|
5709
|
4,7
|
1662
|
1,2
|
7064
|
3,3
|
1355
|
123,7
|
|
задолженность перед
персоналом организации
|
528
|
0,4
|
607
|
0,4
|
984
|
0,5
|
456
|
186,4
|
|
задолженность перед
государственными внебюджетными фондами
|
103
|
0,08
|
222
|
0,2
|
264
|
0,1
|
161
|
256,3
|
|
задолженность по налогам и
сборам
|
0,1
|
148
|
0,1
|
172
|
0,1
|
5
|
102,9
|
|
прочие кредиторы
|
24
|
0,02
|
18
|
0,01
|
15
|
0,01
|
-9
|
62,5
|
|
Задолженность участникам
(учредителям) по выплате доходов
|
8000
|
6,6
|
8000
|
5,7
|
-
|
-
|
-
|
-
|
|
Итого краткосрочные
обязательства
|
33435
|
27,8
|
27331
|
19,6
|
33333
|
15,4
|
-102
|
99,7
|
|
Долгосрочные обязательства
|
19002
|
15,8
|
41698
|
29,99
|
75400
|
34,79
|
56398
|
396,8
|
|
Всего пассивов
|
120368
|
100
|
139445
|
100
|
217095
|
100
|
96727
|
180,4
|
За рассмотренный период капитал ООО "Советская агрофирма"
увеличился на 96727 тыс.руб. Доля заёмного капитала в структуре пассивов
превышает долю собственного капитала, но в динамике доля собственного капитала
увеличивается, что является положительным показателем для развития организации.
В структуре собственного капитала наибольший удельный вес занимает
нераспределенная прибыль (более 90%),которая постепенно увеличивалась: в 2006
году она составила 21841 тыс.руб., а в 2008 году она составила 60406 тыс.руб.
Это значит, что конечный финансовый результат после распределения чистой прибыли
между учредителями ООО "Советская агрофирма " значителен.
Заёмный капитал организации имеет тенденцию к уменшению, что положительно
характеризует работу ООО "Советская агрофирма". Средний темп
уменьшения заёмного капитала за 3 исследуемых года - 7,4%. Основную долю
заёмного капитала занимают краткосрочные обязательства, которые в течение
анализируемого периода уменьшились на 102 тыс. руб.
Экономическая характеристика предприятия была проведена на основе
следующих документов годовой отчётности: бухгалтерских балансов за 2006-2008
гг. (приложения А, Б, В), отчётах о прибылях и убытках за 2006-2008гг.
(приложения Г, Д, Е),отчёта о движении денежных средств (приложения Ж, З, И),
приложений к бухгалтерскому балансу за 2006-2008 гг. (приложения К, Л, М),
отчет о численности и заработной плате работников организации 2006-2008
гг.(приложения Н, П, Р).
3 Анализ
платёжеспособности Оричевского РАЙПО
3.1 Оценка финансовой устойчивости предприятия как основы
платёжеспособности
Платежеспособность и финансовая устойчивость являются важнейшими
характеристиками финансово-экономической деятельности предприятия в условиях
рыночной экономики. Понятие "финансовая устойчивость" организации
многогранно, оно более широкое в отличие от понятий "платежеспособность"
и "кредитоспособность", так как включает в себя оценку различных
сторон деятельности организации.
Финансовая устойчивость - это определенное состояние счетов предприятия,
гарантирующее его постоянную платежеспособность. Поток хозяйственных операций,
совершаемых ежедневно, является как бы "возмутителем" определенного
состояния финансовой устойчивости, причиной перехода из одного типа
устойчивости в другой. Знание предельных границ изменения источников средств
для покрытия вложений капитала в основные фонды или производственные затраты
позволяет генерировать такие потоки хозяйственных операций, которые ведут к
улучшению финансового состояния предприятия и повышению его устойчивости.
При исследовании финансовой устойчивости выделяется обособленное понятие
- "платежеспособность", не отождествляемое с предыдущим. Как видно,
платежеспособность является неотъемлемым компонентом финансовой устойчивости.
Устойчивость и стабильность финансового состояния зависят от результатов
производственной, коммерческой, финансово-инвестиционной деятельности
предприятия, а устойчивое финансовое состояние, в свою очередь, оказывает
положительное влияние на его деятельность. Устойчивость финансового состояния
организации определяет соотношение величин собственных и заемных источников
формирования запасов и стоимости самих запасов. Обеспеченность запасов и затрат
источниками формирования, а также эффективное использование финансовых ресурсов
является существенной характеристикой финансовой устойчивости, тогда как
платежеспособность выступает ее внешним проявлением. В то же время степень
обеспеченности запасов и затрат есть причина той или иной степени
платежеспособности, расчет которой производится на конкретную дату.
Следовательно, формой проявления финансовой устойчивости может быть
платежеспособность. [2]
Для упрощения анализа финансовой устойчивости, платежеспособности и
ликвидности деятельности Оричевского РАЙПО составим агрегированный
аналитический баланс.
Таблица 17 - Аналитический баланс предприятия (на
конец года), тыс.руб.
|
Актив
|
2006 год
|
2007 год
|
2008 год
|
Пассив
|
2006 год
|
2007 год
|
2008 год
|
|
Денежные средства и
краткосрочные финансовые вложения
|
2518
|
2951
|
1383
|
Кредиторская задолженность
и прочие краткосрочные пассивы
|
12760
|
15092
|
17376
|
|
Дебиторская задолженность и
прочие оборотные активы
|
2382
|
3432
|
4368
|
Краткосрочные займы и
кредиты
|
1344
|
1141
|
1141
|
|
Запасы
|
12914
|
13497
|
16987
|
Всего краткосрочные
обязательства
|
14104
|
16233
|
18517
|
|
Всего текущих активов
|
17814
|
19880
|
22738
|
Долгосрочные обязательства
|
248
|
235
|
271
|
|
Внеоборотные активы
|
12666
|
12940
|
12694
|
Собственный капитал
|
16128
|
16352
|
16644
|
|
Итого имущества
|
30480
|
32820
|
35432
|
Баланс
|
30480
|
32820
|
35432
|
За рассматриваемый период наблюдается равномерный рост имущества
организации и источников его образования. Актив увеличился в основном за счёт
роста текущих активов, а пассив - за счёт краткосрочного заёмного капитала.
Стоимость денежных средств и краткосрочных финансовых вложений как наиболее
ликвидных активов сокращается с каждым годом, но с каждым годом увеличивается
дебиторская задолженность, это говорит о том, что поставщики оттягиваю сроки
оплаты, в результате чего в организации уменьшается количество свободных
денежных средств.
Важным показателем, который отражает финансовое состояние организации,
является обеспеченность материальных оборотных средств собственными источниками
финансирования. Излишек или недостаток источников средств для формирования
запасов является одним из критериев оценки финансовой устойчивости.
Таблица 18 - Обеспеченность запасов источниками (на конец года), тыс.
руб.
|
Показатели
|
Формула для расчёта
|
2006 г.
|
2007 г.
|
2008 г.
|
2008 г. к уровню 2006 г.
(±)
|
|
Собственный капитал
|
Ec
|
|
|
|
516
|
|
Внеоборотные активы
|
F
|
|
|
|
28
|
|
Наличие собственных
оборотных средств
|
Ac = Ec-F
|
|
|
|
488
|
|
Долгосрочный заёмный
капитал
|
Kd
|
|
|
|
23
|
|
Наличие долгосрочных
источников формирования запасов
|
Ar =Ac + Kd
|
|
|
|
511
|
|
Краткосрочные займы и
кредиты
|
Kt
|
|
|
|
-203
|
|
Наличие основных
(нормальных) источников формирования запасов
|
Ae =Ar+ Kt
|
|
|
|
308
|
|
Величина запасов
|
Z
|
|
|
|
4073
|
|
Излишек (+), недостаток (-)
собственных оборотных средств для формирования запасов
|
Nc= Ac - Z
|
-9452
|
-10085
|
-13037
|
-3585
|
|
Излишек (+), недостаток (-)
долгосрочных источников для формирования запасов
|
Nr = Ar - Z
|
-9204
|
-9850
|
-12766
|
-3562
|
|
Излишек (+), недостаток (-)
общей величины нормальных источников формирования запасов
|
Ne =
Ae - Z
|
-7860
|
-8709
|
-11625
|
-3765
|
|
ТИП ФИНАНСОВОЙ УСТОЙЧИВОСТИ
|
Х
|
КФС
|
КФС
|
КФС
|
Х
|
Собственный капитал Оричевского РАЙПО равномерно, но медленно,
увеличивается за анализируемый период, и к 2008 году по сравнению с 2006 возрос
на 516 тыс. руб. (на 3%). Внеоборотные активы изменялись неравномерно и к концу
2008 года увеличились не значительно по сравнению с 2006 годом, хотя их
стоимость в 2007 году была больше чем в 2006, и больше уровня 2008 года. Такое
изменение вызвано также незначительным увеличением стоимости основных средств
организации. Наличие собственного оборотного капитала имеет тенденцию к
возрастанию за счёт увеличения собственного капитала.
Долгосрочный заемный капитал имелся первоначально и плавно увеличивался,
таким образом, он увеличился на 9% за 3 анализируемых года. В его структуре на
данном предприятии имеются только отложенные налоговые обязательства, которые и
увеличиваются, но не значительно. На состояние долгосрочных источников
формирования запасов оказывает изменение собственных оборотных средств (93%
долгосрочных источников формирования запасов).
Краткосрочные кредиты и займы сократились на 203 тыс. руб. в 2007 году и
не изменились за 2008 год. Стоимость запасов Оричевского РАЙПО с каждым годом
увеличивается, и к 2008 году по сравнению с уровнем 2006 года возросла на 32%
(4073 тыс. руб.)
За исследуемый период наблюдается как недостаток собственных оборотных
средств и долгосрочных источников формирования запасов, так и в целом
недостаток общей величины нормальных источников формирования запасов
организации. Это значит, что организации не хватает нормальных источников
формирования запасов, и она вынуждена пользоваться кредитами и займами.
Кроме абсолютных показателей, для оценки финансовой устойчивости
используется система относительных показателей.
Таблица 19 - Коэффициенты финансовой устойчивости
|
Показатель
|
Формула расчёта
|
Оптимальное значение
|
2006 год
|
2007 год
|
2008 год
|
2008 год к уровню
2006 г.(±)
|
|
Коэффициент автономии
(финансовой независимости)
|
|
0,7-0,8
|
0,53
|
0,50
|
0,47
|
-0,06
|
|
Коэффициент финансовой
зависимости
|
|
0,2-0,3
|
0,47
|
0,50
|
0,53
|
0,06
|
|
Коэффициент финансового
левериджа
|
|
≤1
|
0,89
|
1,01
|
1,13
|
0,24
|
|
Коэффициент финансирования
|
|
≥1
|
1,12
|
0,99
|
0,89
|
-0,24
|
|
Коэффициент финансовой
устойчивости
|
|
0,85-0,90
|
0,54
|
0,51
|
0,48
|
-0,06
|
|
Коэффициент манёвренности
собственного капитала
|
|
0,3-0,5
|
0,21
|
0,21
|
0,24
|
0,02
|
|
Коэффициент обеспеченности
собственными оборотными средствами
|
|
≥0,1
|
0,19
|
0,17
|
0,17
|
-0,02
|
|
Коэффициент обеспеченности
запасов собственными средствами
|
|
0,6-0,8
|
0,27
|
0,25
|
0,23
|
-0,04
|
|
Коэффициент иммобилизации
собственного капитала
|
|
0,5-0,7
|
0,79
|
0,79
|
0,76
|
-0,02
|
|
Соотношение текущих и
внеоборотных активов
|
|
≥Кфл
|
1,41
|
1,54
|
1,79
|
0,38
|
|
Коэффициент сохранности
собственного капитала
|
|
≥1
|
1,01
|
1,01
|
1,02
|
0,01
|
За рассматриваемый период доля собственного капитала с общих источниках
снизилась 0,06 п.п., об этот говорит Ка, который не соответствует
оптимальным значениям, значит предприятие финансово зависимо. Доля заёмного
капитала в общей сумме капитала (Кфз) увеличилась на 0,06 и не
входит в диапазон нормальных значений, что ещё раз подтверждает финансовую
зависимость организации. Объём заёмного капитала, приходящегося на 1 рубль
собственного капитала (Кфл) равномерно увеличивается и начиная с
2007 года выходит за рамки нормального. Коэффициент финансирования (Кф)
сократился на 0,24, и показывает, что за 3 года доля собственного капитала,
приходящегося на 1 рубль заёмного уменьшилась на 0,24 руб. Коэффициент
финансовой устойчивости (Кфу) стабильно снижается и к 2008 году доля
собственного капитала и долгосрочных обязательств в общей сумме капитала
составила 0,48 руб., по сравнению с 2006 годом - 0,54 руб. Доля собственного
капитала, вложенного в оборотные активы за 2006-2008 гг., уменьшилась на 0,06.
три последних показателя не соответствуют значениям коэффициентов финансовой
устойчивости нормального предприятия. Часть текущих активов и часть запасов,
сформированных за счёт СОС, снизилась соответственно на 0,02 и 0,04, однако Косс
соответствует его оптимальным значениям. Коэффициент иммобилизации собственного
капитала в 2008 году незначительно снизился, однако не достиг значения
оптимального. Доля текущих активов в составе внеоборотных имеет тенденцию к
увеличению, и к 2008 по сравнению с 2006 годом возросла на 0,38. Сохранность
собственного капитала характеризуется постоянностью с небольшим преумножением в
2008 году. В целом можно сказать, что коэффициенты хоть и отклоняются от
оптимальных значений, но незначительно. Таким образом, можно сделать вывод о
нестабильном финансовом состоянии Оричевского РАЙПО и невысокой степени его
финансовой устойчивости.
На основе проведённого анализа можно сделать вывод о кризисном финансовом
состоянии Оричевского РАЙПО на протяжении всех трёх исследуемых лет.
.2 Состав и структура активов по степени их ликвидности
Анализ ликвидности организации представляет собой
процесс, состоящий из двух последовательных этапов. На первом этапе
производится анализ ликвидности баланса и заключается в сравнении средств по
активу, сгруппированных по степени ликвидности и расположенных в порядке
убывания с обязательствами по пассиву, объединенными по срокам их погашения в
порядке возрастания сроков. На втором этапе анализа - расчет финансовых
коэффициентов ликвидности, который производится путем поэтапного сопоставления
отдельных групп активов с краткосрочными пассивами на основе данных баланса и
производится сопоставление с нормативным значением соответствующего показателя.
На заключительном этапе производится расчёт коэффициент текущей ликвидности
(или коэффициент покрытия).
Проведём анализ ликвидности баланса путём сравнения
средств по активу, расположенных в порядке убывания их ликвидности, с
обязательствами по пассиву, расположенными в порядке возрастания сроков их
погашения.
Наиболее срочные обязательства превышают
абсолютно-ликвидные активы, т.к. денежных средств не хватает для покрытия
срочных обязательств. В течение 3 лет недостаток ликвидных активов
увеличивается примерно на 20% ежегодно.
Превышение быстрореализуемых активов над
краткосрочными пассивами наблюдается на протяжении всего анализируемого
периода. Медленно-реализуемые активы также превышают долгосрочные кредиты в
течение 2006-2008 годов.
Не смотря на показатели финансовой устойчивости и
прочие факторы, баланс Оричевского РАЙПО считается ликвидным, но отличающимся
от абсолютно-ликвидного, так как из трёх неравенств (А1≥П 1; А2≥П2;
А3≥П3) выполняется 2. Это значит, что недостаток денежных средств и
краткосрочных финансовых вложений компенсируется в основном за счёт избытка
запасов.
Таблица 20 - Анализ ликвидности баланса (на конец
года), тыс. руб.
|
Актив
|
2006 год
|
2007 год
|
2008 год
|
Пассив
|
2006 год
|
2007 год
|
2008 год
|
Платежный излишек или
недостаток (±)
|
|
|
|
|
|
|
|
|
2006 год
|
2007 год
|
2008 год
|
|
Наиболее ликвидные активы
|
|
|
|
Наиболее срочные
обязательства
|
|
|
|
-10242
|
-12141
|
-15993
|
|
Быстрореализуемые активы
|
|
|
|
Краткосрочные кредиты
|
|
|
|
1038
|
2291
|
3227
|
|
Медленно-реализуемые активы
|
|
|
|
Долгосрочные кредиты
|
|
|
|
12666
|
13262
|
16716
|
|
Труднореализуемые активы
|
|
|
|
Постоянные пассивы
|
|
|
|
-3462
|
-3412
|
-3950
|
|
Баланс
|
|
|
|
Баланс
|
|
|
|
-
|
-
|
-
|
Такая компенсация возможна только в стоимостной
величине, так как фактически медленно-реализуемые активы не могут заменить
наиболее ликвидные. Избыток медленно-реализуемых активов по сравнению с
долгосрочными пассивами отражает перспективную платёжеспособность, которая
представляет собой прогноз платёжеспособности на основе сравнения будущих
поступлений и платежей.
Выполнение неравенства А4≤П4 является
минимальным условием финансовой устойчивости организации. Значит можно сделать
вывод о ликвидности балансов Оричевского РАЙПО в 2006-2008 годах и о финансовой
устойчивости организации в этот период.
3.3 Анализ ликвидности баланса и платёжеспособности
Оричевского РАЙПО
Для оценки платежеспособности в краткосрочной перспективе рассчитывают
следующие показатели: коэффициент текущей ликвидности, коэффициент
промежуточной ликвидности и коэффициент абсолютной ликвидности.
Проведём анализ платёжеспособности Оричевского РАЙПО, рассчитав
финансовые коэффициенты платёжеспособности и ликвидности.
Таблица 21 - Финансовые коэффициенты платёжеспособности
|
Наименование показателя
|
Нормальное ограничение
|
2006 г.
|
2007 г.
|
2008 г.
|
2008 г. к уровню 2006 г.
|
|
|
|
|
|
|
|
Коэффициент абсолютной
ликвидности
|
≥0,1÷0,7 (для торговой организации ≥0,2÷0,5)
|
0,179
|
0,182
|
0,075
|
-0,104
|
|
Коэффициент
"критической оценки" (промежуточной ликвидности
|
≥1(≈1)
|
0,347
|
0,393
|
0,311
|
-0,037
|
|
Коэффициент текущей
ликвидности
|
2,0-2,5 (для торговых
организаций 1,1-1,5)
|
1,263
|
1,225
|
1,228
|
-0,035
|
|
Коэффициент манёвренности
функционирующего капитала
|
Уменьшение показателя в
динамике - положительный факт
|
3,481
|
3,701
|
4,024
|
0,544
|
|
Коэффициент
платёжеспособности нормального уровня
|
≤КТ.Л
|
1,916
|
1,917
|
0,001
|
|
Доля оборотных средств в
активах
|
≥0,5
|
0,584
|
0,606
|
0,642
|
0,057
|
|
Коэффициент обеспеченности
собственными средствами
|
≥0,1(чем больше тем
лучше)
|
0,194
|
0,172
|
0,174
|
-0,021
|
|
Общий показатель
платёжеспособности
|
≥1
|
1,241
|
1,207
|
1,210
|
-0,031
|
|
Коэффициент текущей
платёжеспособности (рассчитывается по Ф.№4)
|
|
0,994
|
0,989
|
0,958
|
-0,036
|
|
Коэффициент долгосрочной
платёжеспособности
|
Тенденция к снижению
|
0,015
|
0,014
|
0,016
|
0,001
|
Коэффициент абсолютной ликвидности в 2007 году имел наибольшее значение,
а в 2008 году резко сократился. Это произошло за счёт резкого сокращения у
организации денежных средств и краткосрочных вложений. Этот показатель
показывает, что в 2008 году 7,5% текущей краткосрочной задолженности РАЙПО
покрыло за счёт денежных средств и приравненных к ним финансовых вложений, а в
2007 году этот показатель был 18,2%. В 2006-2007 годах коэффициент абсолютной
ликвидности соответствовал общепринятым нормам, характерным для любого вида
деятельности, но не соответствовал нормам торговой организации, какой является
РАЙПО. В 2008 году данный показатель несоизмеримо мал.
Коэффициент промежуточной ликвидности за анализируемый период сократился.
Однако в 2007 году он был выше уровня 2006 и уровня 2008 года. Этот коэффициент
абсолютно не соответствует нормальному ограничению. И показывает, что денежных
средств, краткосрочных финансовых вложений и краткосрочной дебиторской
задолженности не достаточно для немедленного погашения краткосрочных
обязательств. Нормативное значение коэффициента промежуточной (или критической)
ликвидности для торговых организаций потребкооперации должно быть более 0,5 и
ближе к 1, у нас же этот показатель не больше 0,35, это означает, что размер
денежных средств и предстоящих поступлений от текущей деятельности (ожидаемой
дебиторской задолженности) должен быть не меньше суммы краткосрочной
задолженности организации.
Значения показателя текущей ликвидности свидетельствуют о сокращающейся
тенденции покрытия текущих обязательств по кредитам и займам за счёт
мобилизованных оборотных средств. Нормативное значение коэффициента текущей
ликвидности должно быть равно 2, а для торговых организаций 1,5, минимально
допустимое значение данного показателя может быть 1,1, в противном случае
структура баланса признаётся неудовлетворительной, а организация является
неликвидной. В нашем случае в течение 3 лет этот показатель держится на уровне
1,2-1,3.
Значения коэффициента манёвренности функционирующего капитала показывают,
что увеличивается доля функционирующего капитала, обездвиженного в
производственных запасах и дебиторской задолженности.
Коэффициент платёжеспособности нормального уровня превышает значения
коэффициента текущей ликвидности, следовательно, предприятие не платёжеспособно
и возможность дальнейшей нормальной работы организации находится под вопросом.
Доля оборотных средств в активе баланса соответствует её оптимальному
значению и составляет более 50% и растёт в динамике из-за большого количества
запасов.
За анализируемый период коэффициент обеспеченности собственными
средствами снизился, хотя по сравнению с 2007 годом в 2008 году он
незначительно возрос, а это является положительным в анализе платёжеспособности
организации. Этот коэффициент соответствует нормальному ограничению и
свидетельствует о достаточности у Оричевского РАЙПО собственных оборотных
средств для её текущей деятельности. В 2008 году Коэффициент обеспеченности СОС
остался на уровне 2007 года (0,17). Так как коэффициент больше 0,1, то
предприятие можно считать платёжеспособным.
Основным показателем платёжеспособности является коэффициент общей
платёжеспособности. В 2007 году его значение было минимальным в течение анализируемого
периода и незначительно увеличилось за 2008 год, однако, значение 2008 года
ниже уровня 2006г. Данный показатель соответствует нормативному значению, но
так как за исследуемый период он сократился, это является отрицательной
тенденцией.
Коэффициент текущей платёжеспособности характеризует общую обеспеченность
предприятия денежными средствами для ведения хозяйственной деятельности и
погашения его срочных обязательств. Так как данный коэффициент очень близок 1,
но меньше его, то можно сделать вывод об ограниченности финансовой свободы
предприятия.
Значения коэффициента долгосрочной платёжеспособности в динамике должны
снижаться, так в 2007 году этот показатель снизился, однако в 2008 году он
превысил значения даже 2006 года. Это отрицательно характеризует возможность
организации погашать долгосрочные обязательства и способность организации
функционировать длительное время. Но так как резких перепадов в значениях
коэффициента долгосрочной платёжеспособности нет, то можно сделать вывод, что
Оричевское РАЙПО в состоянии рассчитываться по долгосрочным обязательствам.
Одним из методов экономического анализа финансовой хозяйственной
деятельности организации является факторный анализ. Так как коэффициент текущей
ликвидности является одним из основных в анализе платёжеспособности, рассмотрим
какие факторы оказывают непосредственное влияние на него и в какой степени. Для
этого составим смешанную факторную модель для коэффициента текущей ликвидности
и проведём его факторный анализ.
Таблица 22 - Факторы, влияющие на изменение коэффициента текущей
ликвидности
|
Показатель
|
2007 год
|
2008 год
|
Изменение (±)
|
Влияние на результат
|
|
D зк / Bp
|
0,50
|
0,53
|
0,03
|
0,07
|
|
D z / At
|
0,68
|
0,75
|
0,07
|
-0,12
|
|
R имущества
|
0,707
|
0,785
|
0,08
|
-0,12
|
|
R продаж
|
0,150
|
0,150
|
0,00
|
0
|
|
С z / Pt
|
0,83
|
0,92
|
0,09
|
0,11
|
|
K оборачиваемости Rp
|
10,25
|
10,69
|
0,44
|
0,05
|
|
C Rp / зк
|
0,92
|
0,92
|
0,01
|
0,01
|
|
К Т.Л
|
1,225
|
1,228
|
0,003
|
х
|
На основании исходных данных проведём факторный анализ коэффициента текущей
ликвидности способом цепных подстановок, в следующей последовательности
(расчёты представлены в приложении Б):
. Определим величину результативного показателя (коэффициента текущей
ликвидности) в базисном 2007 году:
. Рассчитаем условные показатели:
;
;
;
;
;
;
.
1. Определяем влияние каждого фактора
определим следующим образом:
2. Общее изменение результата:
Значения показателя текущей ликвидности свидетельствуют о сокращающейся
тенденции покрытия текущих обязательств по кредитам и займам за счёт
мобилизованных оборотных средств. Минимально допустимое значение данного
показателя для торговых организаций может быть 1,1, в противном случае
структура баланса признаётся неудовлетворительной, а организация является
неликвидной. В нашем случае этот показатель держится на уровне 1,3. Текущая ликвидность организации в 2007 году составила 1,225,
т.е 1,225 руб. текущих активов приходится на 1 руб. краткосрочных обязательств,
а в 2008 году увеличилась до 1,228. Основное одинаковое влияние оказало
увеличение доли запасов в текущих активах организации на 0,07 руб. и на 0,08
руб. рост рентабельности имущества, а так же увеличение соотношения запасов и
краткосрочных обязательств на 0,09 руб., т.е. в 2008 году запасов, приходящихся
на 1 рубль краткосрочных обязательств стало на 9 копеек больше. В результате влияния
этих факторов, текущая ликвидность Оричевского РАЙПО сократилась соответственно
на 0,12 руб. и увеличилась на 0,11 руб. соответственно. В 2008 году увеличилась
доля заёмного капитала на 3%, что вовлекло увеличение ликвидности организации
на 7 коп., а увеличение оборачиваемости кредиторской задолженности на 0,44
оборота - на 0,05 руб. Практически не оказывает влияния на ликвидность
анализируемого предприятия рентабельность продаж и соотношение кредиторской
задолженности и заёмного капитала в целом. В результате
совместного влияния всех факторов коэффициент текущей ликвидности Оричевского
РАЙПО увеличился на 0,003, можно сказать остался на уровне 2007 года.
Резервами повышения ликвидности организации является сокращение доли
запасов в текущих активах и перераспределение этой доли на денежные средства и
другие более ликвидные активы, а также увеличение доходности имущества
Оричевского РАЙПО путём увеличение чистой прибыли.
3.4 Рейтинговая оценка предприятия по уровню финансовой
устойчивости и анализ финансового риска
Содержанием модели комплексной балльной оценки риска финансовой
несостоятельности предприятия является классификация финансового состояния
предприятия и на этой основе - оценка возможных негативных последствий рисковой
ситуации в зависимости от значений факторов-признаков и рейтингового числа
Определим место Оричевского РАЙПО в классификации организаций по степени
финансового риска. Для этого необходимо провести интегральную бальную оценку
финансового состояния организации на основе финансовых коэффициентов.
В 2006-2007 годах Оричевское РАЙПО относится к 3 классу, т.е. имеет
среднее финансовое состояние. При анализе баланса обнаруживается слабость
отдельных финансовых показателей. Платежеспособность находится на границе
минимально допустимого уровня, финансовая устойчивость недостаточная. При
взаимоотношениях с анализируемой организацией вряд ли существует угроза потери
средств, но выполнение ей обязательств в срок представляется сомнительным.
Предприятие характеризуется высокой степенью риска.
Таблица 23 - Интегральная бальная оценка финансового состояния
организации
|
Показатель финансового
состояния
|
2006 г.
|
2007 г.
|
2008 г.
|
|
Фактическое значение
коэффициента
|
Количество баллов
|
Фактическое значение
коэффициента
|
Количество баллов
|
Фактическое значение
коэффициента
|
Количество баллов
|
|
Коэффициент абсолютной
ликвидности
|
0,18
|
4
|
0,18
|
4
|
0,08
|
0
|
|
Коэффициент
"критической оценки" (промежуточной ликвидности
|
0,35
|
0
|
0,39
|
0
|
0,31
|
0
|
|
Коэффициент текущей
ликвидности
|
1,26
|
4,5
|
1,23
|
4,5
|
1,23
|
4,5
|
|
Коэффициент автономии
|
0,53
|
17
|
0,50
|
17
|
0,47
|
14,6
|
|
Коэффициент обеспеченности
собственными средствами
|
1,92
|
15
|
1,83
|
15
|
1,92
|
15
|
|
Коэффициент финансовой
устойчивости
|
0,54
|
6
|
0,51
|
6
|
0,48
|
0
|
|
Итого
|
-
|
46,5
|
-
|
46,5
|
-
|
34,1
|
Однако в 2008 году, вероятно под влиянием кризисных процессов в
экономике, исследуемую организацию можно отнести к 4 классу, т.е. организациям
с неустойчивым финансовым состоянием. Особое снижение коэффициентов наблюдается
по степени абсолютной ликвидности из-за снижения доли денежных средств в
балансе, а также снижение коэффициента финансовой устойчивости из-за увеличения
долгосрочных обязательств организации.
Для быстрого проведения рейтинговой оценки можно воспользоваться более
простым вариантом, в котором используются следующие показатели:
коэффициент критической ликвидности;
коэффициент текущей ликвидности;
коэффициент автономии.
Результаты анализа представлены в таблице 22:
Таблица 24 - Итоговая рейтинговая оценка финансового состояния
предприятия
|
Показатели
|
2006 год
|
2007 год
|
2008 год
|
|
1. коэффициент критической
ликвидности
|
0,347
|
0,393
|
0,311
|
|
Класс
|
3
|
3
|
3
|
|
Рейтинг
|
40
|
40
|
40
|
|
Балл
|
120
|
120
|
120
|
|
2. коэффициент текущей
ликвидности
|
1,26
|
1,22
|
1,23
|
|
Класс
|
3
|
3
|
3
|
|
Рейтинг
|
35
|
35
|
35
|
|
Балл
|
105
|
105
|
105
|
|
3. коэффициент автономии
|
0,53
|
0,50
|
0,47
|
|
Класс
|
1
|
1
|
1
|
|
Рейтинг
|
25
|
25
|
25
|
|
Балл
|
25
|
25
|
25
|
|
Итого баллов
|
250
|
250
|
250
|
По данной методике Оричевское РАЙПО относится к 3 классу, т.е.
предприятие повышенного риска, имеющее признаки финансового напряжения, для
преодоления которых у предприятия есть потенциальные возможности.
После проведения рейтинговой оценки уровня финансового состояния
Оричевского РАЙПО, проанализируем эффект финансового рычага (за 2008 год), т.е.
приращение к рентабельности собственного капитала, полученное благодаря
привлечению кредита, несмотря на его платность, и уплаты налога на прибыль.
ЭФР = (RСК - %) * (1 - НнПБ) * ЗК / Ес
Таблица 25 - Расчёт эффекта финансового рычага за 2008 год
|
Показатель
|
Значение
|
|
Прибыль, тыс. руб.
|
2120
|
|
Собственный капитал (Ес),
тыс. руб.
|
16644
|
|
Рентабельность собственного
капитала (RСК)
|
12,74
|
|
Ставка процента по заемному
капиталу (%), %
|
25
|
|
Ставка налога на прибыль
(НнПБ), %
|
20
|
|
Заёмный капитал (ЗК), тыс.
руб.
|
18788
|
|
ЗК / Ес
|
1,13
|
|
Эффект финансового рычага,
%
|
-11,06
|
Отрицательное значение эффекта финансового рычага показывает, что рентабельность
собственного капитала за счет привлечения заемных средств уменьшилась на
11,06%, т.е. создается отрицательный ЭФР, в результате чего происходит
"проедание" собственного капитала и это может стать причиной
банкротства предприятия, а ставка процента по кредиту выше, чем ставка дохода
купленного на заемные средства имущества.
Для инвестора такой показатель эффекта финансового рычага говорит о
несостоятельности сделки, т.е. финансовый риск очень высок.
Финансовый риск, возникающий из отрицательного значения ЭФР, выступает в
виде риска получения отрицательного значения дифференциала и риска достижения
такого значения плеча, когда становится невозможным оплачивать проценты по
кредитам и текущую задолженность (происходит подрыв доверия к фирме со стороны
кредиторов и других экономических субъектов с катастрофическими для нее
последствиями).
Налоговый корректор финансового левериджа (1 - НнПБ) показывает влияние
налогообложения прибыли на ЭФЛ (отражает степень проявления эффекта ФЛ (80%) в
связи с различным уровнем налогообложения прибыли). Воздействуя на отраслевую и
региональную структуру производства, организация может снизить среднюю ставку
налогообложения, чем увеличит ЭФЛ (льготы по налогу на прибыль, дифференциация
ставок по различным видам деятельности и т.п.)
Коэффициент ФЛ является тем рычагом, который воздействует на ЭФЛ (ЗК / Ес):
при отрицательном значении дифференциала ФЛ прирост КФЛ будет приводить к еще
большему снижению RCК. Аналогично, снижение КФЛ будет
приводить к обратному результату, снижая в еще большей степени отрицательный
эффект дифференциала ФЛ.
4. Прогнозирование платёжеспособности
Оричевского РАЙПО
Прогнозирование платёжеспособности торговой организации - это важнейшая
составляющая анализа, представляющая собой исследование и разработку возможных
путей развития финансов данной торговой организации в будущем. Прогнозирование
финансового состояния позволяет рассмотреть возможные альтернативы разработки
финансовой политики, обеспечивающие достижение торговой организацией стабильного
положения на рынке, прочной финансовой устойчивости и платежеспособности.
Прогнозный бухгалтерский баланс разрабатывается путем корректировки
статей бухгалтерского баланса за предшествующий (отчетный) год с учетом всех
видов деятельности, которые предполагается вести в течение предстоящего года.
Разработка прогнозного баланса должна осуществляться в следующей
последовательности:
анализ текущего финансового состояния организации по данным аналитических
таблиц;
анализ финансовых результатов;
определение относительных и абсолютных изменений в структуре активов,
пассивов, доходов, расходов;
построение прогнозного баланса.
Что касается первых трех пунктов, то они были рассмотрены в предыдущих
главах.
Уставный капитал обычно меняется редко, поэтому в прогнозный баланс его
можно включить той же суммой, что и в последнем отчетном балансе. Добавочный
капитал увеличится на величину переоценки основных средств (амортизация 12%).
Согласно отчетному балансу, величина собственного капитала на конец года
составляла 16644 тыс. руб. Можно предположить, что он не увеличится.
Внеоборотные активы и долгосрочные обязательства берутся в прогноз, как
правило, неизменными.
Для прогнозирования отдельных показателей финансового состояния
организации применяют, как правило, методы:
§ экстраполяция тенденций;
§ экспертных оценок;
§ имитационного моделирования.
Например, используя метод "Экстраполяция по среднему темпу
роста":
Уп+1 = К * Уп ,
где Уп+1 - прогнозируемая величина;
К - средний темп роста;
Уп - последнее значение фактора в ряду.
При этом средний темп роста определяется по формуле:
К =
,
где п - число периодов;
У1 - первое значение фактора в ряду.
Для расчета необходимы значения выручки от реализации за определенный
период
Таблица 26 - Фактическое значение выручки от реализации, тыс. руб.
|
Показатель
|
2006 год
|
2007 год
|
2008 год
|
|
Выручка
|
129849
|
154681
|
185757
|
Подставляя исходные данные в выше указанные формулы, получаем:
средний темп роста
К =
= 1,2
прогнозируемая величина выручки на 2009год
Уп+1 = 185757 * 1,2 = 222908,4 тыс. руб.
Рентабельность нераспределённой прибыли изменяется за 2006-2008 года от
10% до 15%. Предположим, что в прогнозируемом году она будет на уровне 14%.
Тогда, ожидаемая величина прибыли (Пп+1):
Пп+1 = (Прогнозируемая выручка) * (Рентабельность).
Пп+1 = 222908,4 * 0,14 = 31207,18 тыс. руб.
Переменные расходы, оборотные активы и краткосрочные обязательства при
наращивании объема продаж на определенное количество процентов увеличиваются в
среднем на столько же процентов. Это означает, что и оборотные активы, и
краткосрочные обязательства будут составлять в плановом периоде прежний процент
от выручки.
Таблица 27 - Соотношение оборотных активов и краткосрочных обязательств
от выручки.
|
Показатель
|
2006 год
|
2007 год
|
2008 год
|
2009 год
|
|
Выручка
|
129849
|
154681
|
185757
|
222908
|
|
Оборотные активы / % от
выручки
|
17814 / 14%
|
19880 / 13%
|
22738 / 12%
|
26749 / 12%
|
|
Краткосрочные обязательства
/ % от выручки
|
14104 / 11%
|
16233 / 10%
|
18517 / 10%
|
22291 / 10%
|
Но так как запасы растут высокими темпами, то можно предположить, что в
2009 году оборотные активы составят 28353 тыс. руб. (13% от выручки прогнозного
года). В структуре краткосрочных обязательств распределяем прогнозные значения
в зависимости от экономической обстановки на предприятии.
В результате расчетов общий прогнозный баланс будет иметь следующую
структуру.
Таблица 28 - Прогнозный баланс на 2009 год и динамика его статей
|
Статьи баланса
|
2006 год
|
2007 год
|
2008 год
|
2009 год
|
2009 г. в % к уровню 2006г.
|
2009 г. в % к уровню 2008
г.
|
|
|
|
|
|
тыс. руб.
|
%
|
тыс. руб.
|
%
|
|
Статьи актива
|
|
|
Внеоборотные активы
|
|
|
|
11336
|
-1330
|
89,50
|
-1358
|
89,30
|
|
Нематериальные активы
|
|
|
|
-
|
|
|
|
|
|
Основные средства
|
|
|
|
11322
|
-1338
|
89,43
|
-1359
|
89,28
|
|
Незавершённое строительство
|
|
|
|
8
|
|
0
|
100,00
|
|
Отложенные налоговые активы
|
|
|
|
6
|
1
|
120,00
|
0
|
100,00
|
|
Оборотные активы
|
|
|
|
28163
|
10349
|
158,09
|
5425
|
123,86
|
|
Запасы
|
|
|
|
21362
|
8448
|
165,42
|
4375
|
125,75
|
|
Краткосрочная дебиторская
задолженность
|
|
|
|
5678
|
3296
|
238,39
|
1310
|
130,00
|
|
Денежные средства
|
|
|
|
2537
|
19
|
100,73
|
1154
|
183,41
|
|
Итого активов
|
|
|
|
39499
|
9019
|
129,59
|
4067
|
111,48
|
|
Статьи пассива
|
|
|
Собственный капитал
|
|
|
|
16666
|
538
|
103,34
|
22
|
100,13
|
|
Уставный капитал
|
|
|
|
1205
|
5
|
100,42
|
0
|
100,00
|
|
Добавочный капитал
|
|
|
|
15161
|
365
|
102,47
|
0
|
100,00
|
|
Непокрытая прибыль
(непокрытый убыток)
|
|
|
|
300
|
168
|
227,27
|
22
|
107,91
|
|
Заёмный капитал
|
|
|
|
22562
|
8210
|
157,20
|
3774
|
120,09
|
|
Краткосрочные займы и
кредиты
|
|
|
|
1141
|
-203
|
84,90
|
0
|
100,00
|
|
Кредиторская задолженность
- всего
|
|
|
|
|
-12751
|
0,00
|
-17367
|
0,00
|
|
в т.ч поставщики и
подрядчики
|
|
|
|
17759
|
6616
|
159,37
|
2960
|
120,00
|
|
задолженность перед
персоналом организации
|
|
|
|
1962
|
1019
|
208,03
|
505
|
134,64
|
|
задолженность перед гос.
внебюджетными фондами
|
|
|
|
465
|
251
|
217,10
|
61
|
115,00
|
|
задолженность по налогам и
сборам
|
|
|
|
828
|
471
|
231,96
|
191
|
130,00
|
|
прочие кредиторы
|
|
|
|
128
|
34
|
135,96
|
57
|
180,00
|
|
Задолженность участникам
(учредителям) по выплате доходов
|
|
|
|
9
|
0
|
100,00
|
0
|
100,00
|
|
Итого краткосрочные
обязательства
|
|
|
|
22291
|
8187
|
158,05
|
3774
|
120,38
|
|
Долгосрочные обязательства
|
|
|
|
271
|
23
|
109,27
|
0
|
100,00
|
|
Всего пассивов
|
|
|
|
39499
|
9019
|
129,59
|
4067
|
111,48
|
В целом прогнозный баланс отвечает критериям "хорошего"
баланса:
) валюта баланса в конце каждого отчётного периода увеличивается по сравнению с началом периода на 5615 тыс. руб.;
) темпы прироста оборотных активов (24,69% за прогнозный год года) выше,
чем темпы прироста внеоборотных активов (0% за 2009 год);
) в балансе отсутствует статья "Непокрытый убыток…";
Но также можно выделить 2 значительных недостатка баланса:
) собственный капитал организации ниже заёмного и темпы его роста
(111,06% за прогнозный год) ниже, чем темпы роста заёмного капитала (120,09 за
аналогичный период);
) темпы прироста дебиторской задолженности (30%) превышают темпы прироста
кредиторской задолженности (27,78%).
Прогнозная бухгалтерская (финансовая) отчетность
используется для расчета ожидаемых значений финансовых показателей, их оценки и
оценки будущего финансового положения предприятия в целом.
С целью разработки прогноза платежеспособности
организации следует рассчитать коэффициенты восстановления (утраты) Квос(утр)
платежеспособности по формуле за 2006-2008 гг.:
Таблица 29 - Коэффициенты восстановления (утраты) платёжеспособности
|
Показатель
|
2006 год
|
2007 год
|
2008 год
|
|
Коэффициент восстановления
платёжеспособности(6*)
|
0,647
|
0,603
|
0,615
|
|
Коэффициент утраты
платёжеспособности(3*)
|
0,639
|
0,608
|
0,614
|
* 6(3)- период восстановления (утраты)
платежеспособности, (месяцы) в качестве периода восстановления платежеспособности
принято 6 месяцев, периода утраты -3 месяца;
Значение коэффициента меньше 1 показывает отсутствие возможности
восстановить платежеспособность в течение 6 месяцев. Коэффициент утраты
платежеспособности, имеющий значение меньше 1, свидетельствует о наличии
тенденций утраты платежеспособности организации в течение 3 месяцев.
Рассмотрим показатели платёжеспособности и финансовой устойчивости в
таблице.
Таблица 30 - Прогнозные финансовые коэффициенты платёжеспособности и
финансовой устойчивости Оричевского РАЙПО
|
Наименование показателя
|
Нормальное ограничение
|
2008 г.
|
2009 г.
|
2009 г. к уровню 2008 г.
|
|
Коэффициент абсолютной
ликвидности
|
≥0,1÷0,7 (для торговой организации ≥0,2÷0,5)
|
0,08
|
0,12
|
0,05
|
|
Коэффициент
"критической оценки" (промежуточной ликвидности
|
≥1(≈1)
|
0,31
|
0,38
|
0,07
|
|
Коэффициент текущей
ликвидности
|
2,0-2,5 (для торговых
организаций 1,1-1,5)
|
1,23
|
1,34
|
0,12
|
|
Коэффициент манёвренности
функционирующего капитала
|
Уменьшение показателя в
динамике - положительный факт
|
4,02
|
3,56
|
-0,47
|
|
Коэффициент платёжеспособности
нормального уровня
|
≤КТ.Л
|
1,92
|
1,97
|
0,05
|
|
Коэффициент обеспеченности
собственными средствами
|
≥0,1(чем больше тем
лучше)
|
0,17
|
0,20
|
0,03
|
|
Общий показатель
платёжеспособности
|
≥1
|
1,21
|
1,26
|
0,05
|
|
Коэффициент долгосрочной
платёжеспособности
|
Тенденция к снижению
|
0,02
|
0,01
|
-0,01
|
|
Коэффициент финансирования
|
≥1
|
0,89
|
0,82
|
-0,07
|
|
Коэффициент финансовой
зависимости
|
0,2-0,3
|
0,53
|
0,55
|
0,02
|
Коэффициент абсолютной ликвидности в прогнозном 2009 году увеличился,
т.е. часть краткосрочного долга, которая будет погашена за счёт денежных
средств, увеличилась на 5 копеек. Коэффициент промежуточной ликвидности в
прогнозном году увеличивается и возможно составит 0,38, это значит, что
увеличится доля наиболее ликвидных и быстрореализуемых активов, приходящаяся на
1 рубль краткосрочных обязательств. Коэффициент текущей ликвидности по прогнозу
увеличится на 8%, показывает, что в 2009 году на 1 рубль краткосрочных
обязательств прогнозируется на 12 копеек больше, чем было в 2008 году.
Коэффициенты абсолютной и промежуточной ликвидности хотя и увеличились в
прогнозном году, но не доросли до оптимальных значений. Однако коэффициент
текущей ликвидности, характеризующий финансовое состояние предприятия в
краткосрочной перспективе, увеличился значительно и это говорит, что в 2009 году
Оричевское РАЙПО относительно финансового устойчиво. По прогнозу, коэффициент
манёвренности капитала в 2009 году снизится, что является хорошей динамикой для
функционирования организации. Коэффициент платёжеспособности нормального уровня
в 2009 году прогнозируется увеличить на 0,05. Так как он выше уровня
коэффициента текущей ликвидности, нормальная работа предприятия в 2009 году
затрудняется. Но темпы его роста ниже темпов роста коэффициента текущей
ликвидности, можно предположить, что такая тенденция продолжится, что будет
очень положительно для организации. Коэффициент обеспеченности собственными
средствами соответствует нормальному значения, доля текущих активов,
сформированных за счёт оборотных средств увеличилась в прогнозном году на 3
коп. Коэффициент общей платёжеспособности увеличился, т.е. в 2009 году
предположительно на 1 рубль долга будет приходиться 1,26 руб. активов.
Коэффициент долгосрочной платежеспособности, хотя незначительно, но уменьшился,
что является положительной тенденцией в анализе платёжеспособности организации.
Коэффициент финансирования характеризует финансовое состояние на
долгосрочную перспективу, в 2009 году этот показатель уменьшился и не
соответствует оптимальным значениям, это говорит, что уменьшилась доля
собственного капитала, приходящегося на 1 рубль заёмного, значит в долгосрочной
перспективе финансовое состояние Оричевского РАЙПО не стабильно. Коэффициент
финансовой зависимости также в прогнозном году увеличился, т.е. доля заёмного
капитала в общей сумме капитала, возможно, сократится на 0,02 п.п.
Анализируя прогнозные показатели в совокупности, можно сделать вывод о
низкой платёжеспособности Оричевского РАЙПО в 2009 году.
Для укрепления платежеспособности предприятия можно дать рекомендации,
предусматривающие:
. улучшение управления дебиторской и кредиторской задолженностью
предприятия;
. повышение ликвидности баланса предприятия.
Управление кредиторской задолженностью предполагает:
* правильный выбор формы задолженности (банковская или коммерческая) с
целью минимизации процентных выплат и затрат на приобретение материальных
ценностей;
* установление наиболее удобной формы банковского кредита и его срока;
* недопущение образования просроченной задолженности, связанной с
дополнительными затратами (штрафные санкции, пени).
Основными путями улучшения ликвидности являются:
* увеличение собственного капитала;
* сокращение сверхнормативных запасов;
* получение долгосрочного финансирования.
Подводя общие итоги, следует отметить, что для стабилизации финансового
положения организации и принятия взвешенных управленческих решений необходимо
внедрение в процесс управления финансами предприятия процедур финансового
анализа и планирования.
Заключение
Объектом исследования для данной работы является Оричевское РАЙПО.
В анализе платёжеспособности рассматривают возможность погашения
обязательств с помощью текущих денежных поступлений в виде валовой выручки от
продаж и (или) с помощью имеющихся у организации активов при данной степени их
ликвидности. Если рассматривать платёжеспособность как возможность организации
своевременно рассчитываться по своим срочным обязательствам, то наиболее
важными признаками, определяющими платёжеспособность, следует считать:
наличие на счетах организации средств в достаточном объёме,
отсутствие просроченной кредиторской задолженности.
Задача анализа ликвидности баланса возникает в связи с необходимостью
давать оценку платёжеспособности организации. Анализ ликвидности баланса
заключается в сравнении средств по активу, сгруппированных по степени их
ликвидности и расположенными в порядке убывания ликвидности, с обязательствами
по пассиву, сгруппированными по срокам погашения расположенными в порядке
возрастания сроков. Организация считается ликвидной, если ее текущие активы
превышают ее краткосрочные обязательства. Реальную степень ликвидности и ее
платежеспособность можно определить на основе ликвидности баланса.
Более детальным является анализ платёжеспособности при
помощи финансовых коэффициентов. Расчет финансовых коэффициентов ликвидности
производится путем поэтапного сопоставления отдельных групп активов с
краткосрочными пассивами на основе данных баланса. Для подтверждения
платежеспособности проверяют: наличие денежных средств на расчетных счетах,
валютных счетах, краткосрочные финансовые вложения. Все перечисленные активы
должны иметь оптимальную величину. Низкая платежеспособность может быть как
случайной временной, так и длительной, хронической, причинами возникновения
которой могут быть:
·
недостаточная
обеспеченность финансовыми ресурсами;
·
невыполнение плана
реализации продукции;
·
нерациональная
структура оборотных средств;
·
несвоевременное
поступление платежей от контрактов и др.
Основным фактором, формирующим общую
платежеспособность организации, служит наличие у нее реального собственного
капитала.
Комплексный анализ финансовых коэффициентов позволяет не только более
точно определить фактический уровень платежеспособности, но и формирует базу
для прогнозных расчетов. Для прогнозирования платёжеспособности предприятия
составляют прогнозный баланс, на основе которого делают анализ абсолютных и
относительных показателей платежеспособности.
Финансовая деятельность компании во всех ее формах сопряжена с
многочисленными рисками. Одним из методов определения уровня финансового риска
является рассмотрение эффекта финансового рычага, применяемый для оценки
эффективности использования заемного капитала. В 2008 году создается
отрицательный ЭФР (эффект "дубинки"), в результате чего происходит
"проедание" собственного капитала и это может стать причиной
банкротства предприятия, а ставка процента по кредиту выше, чем ставка дохода
купленного на заемные средства имущества.
Анализ динамики валюты баланса, структуры активов и пассивов организации
позволяет сделать ряд важных выводов, необходимых как для осуществления текущей
финансово-хозяйственной деятельности.
В целом баланс отвечает критериям "хорошего" баланса:
) валюта баланса в конце каждого отчётного периода увеличивается по
сравнению с началом периода;
) темпы прироста оборотных активов выше, чем темпы прироста внеоборотных
активов;
) в балансе отсутствует статья "Непокрытый убыток…";
Но также можно выделить 2 значительных недостатка баланса:
) собственный капитал организации ниже заёмного и темпы его роста ниже,
чем темпы роста заёмного капитала;
) темпы прироста дебиторской задолженности превышают темпы прироста
кредиторской задолженности.
На основе проведённого анализа можно сделать вывод о кризисном финансовом
состоянии Оричевского РАЙПО на протяжении всех трёх исследуемых лет.
Не смотря на показатели финансовой устойчивости и прочие факторы, баланс
Оричевского РАЙПО считается ликвидным, но отличающимся от абсолютно-ликвидного.
Недостаток денежных средств и краткосрочных финансовых вложений компенсируется
в основном за счёт избытка запасов.
Прогнозирование платёжеспособности торговой организации - это важнейшая
составляющая анализа, представляющая собой исследование и разработку возможных
путей развития финансов данной торговой организации в будущем. Резервами
повышения ликвидности организации является сокращение доли запасов в текущих
активах и перераспределение этой доли на денежные средства и другие, более
ликвидные активы, а также увеличение доходности имущества Оричевского РАЙПО
путём увеличение чистой прибыли.
Список
литературы
актив финансовый устойчивость ликвидность
платежеспособность
Законодательные
и нормативно-правовые акты
. Налоговый кодекс Российской
Федерации Часть первая и вторая (с изменениями и дополнениями). Официальный
текс. - М.: Проспект, 2009. - 672с.
Книги одного,
двух, трёх и более авторов
. Гиляровская Л.Т., Вехореева А.А.
Анализ и оценка финансовой устойчивости предприятия. - СПБ.: Питер, 2003. -
256с.
. Донцова Л.В., Никифорова Н.А. Анализ
финансовой отчётности: Уч. пособие. - 2-е издание. - М.: Изд-во "Дело и
сервис", 2004. - 336с.
. Савицкая Г.В. Анализ хозяйственной
деятельности предприятия. М.: Новое знание, 2003. - 640с.
. Чернов В.А. Экономический анализ:
Торговля, общественное питание, туристический бизнес: Уч. пособие для вузов /
Под редакцией проф. Баканова М.И. М.: ЮНИТИ-ДАНА, 2003. - 686с.
. Шеремет А.Д. Анализ
финансово-хозяйственной деятельности. - М.: Инф. агентство
"ИПБ-БИНФА", 2005. - 310с
. Шеремет
А.Д. Анализ хозяйственной деятельности предприятия: Учеб. - М.: ИНФРА-М, 2008.
- 512с.
. Шеремет А.Д., Сайфулин Р.С. Методика
финансового анализа. - 3-е издание, переработанное и дополненное. М.: ИНТА,
2001. - 208с.
Статьи из
журналов
. Ендовицкий Д.А. Факторный анализ
степени платёжеспособности коммерческой организации // Экономический анализ:
теория и практика, 2006. - №11. - с.2-9
. Ильина Л.И. Оценка финансового
потенциала в системе потребительской кооперации // Экономический анализ: теория
и практика, 2008. - №15. - с.39-47
. Любушин Н.П., Бабичева Н.Э. Анализ
методик по оценке финансового состояния организации // Экономический анализ:
теория и практика, 2006. - №22. - с.3-7
. Русин Н.М., Петрова И.П.
Платёжеспособность организации и ликвидность её баланса // Вестник кадровой
политики, аграрного образования и инноваций, 2003. - №1. - с.25-33
. Яковлева И.Н. Как оценивать финансовые
риски компании на базе бухгалтерской отчётности // Справочник экономиста, 2008.
- №8
Приложения
Приложение А
Структура управления предприятия
Приложение Б
Последовательность расчетов факторного анализа коэффициента текущей
ликвидности:
. Определим величину результативного показателя (коэффициента текущей
ликвидности) в базисном 2007 году:
2. Рассчитаем условные показатели:
1. Влияние каждого фактора определим следующим
образом:
2. Общее изменение результата: