Обработка результатов измерений гравитационного поля по участку
ФЕДЕРАЛЬНОЕ
АГЕНТСТВО ПО ОБРАЗОВАНИЮ
ГОУ
ВПО
УРАЛЬСКИЙ
ГОСУДАРСТВЕННЫЙ ГОРНЫЙ УНИВЕРСИТЕТ
Факультет
геологии и геофизики
Кафедра
математики
Направление
подготовки: 657100 ПРИКЛАДНАЯ МАТЕМАТИКА
Специальность:
073000 "Прикладная математика"
Квалификация:
Инженер-математик
Специализация:
Применение математического моделирования и математических методов в
горно-геологических науках
Курсовая работа
ТЕМА:
Обработка результатов измерений гравитационного поля по участку
Автор:
Берсенев Ярослав Александрович
Учебная
группа: ПМ-07
Руководитель:
Серков Владимир Алексеевич
Екатеринбург
г.
Постановка задачи
Выделить положение объектов с
различной плотностью.
1. Определить модель поля (наличие региональной
и локальной составляющих).
. Определить аналитический вид региональной
составляющей поля.
. Определить параметры уравнения регрессии и
вычислить значения региональной составляющей поля, оценить статистическую
значимость уравнения.
. Вычислить аномальное поле.
. Определить вид и параметры оптимальных для
данного аномального поля фильтров.
. Выполнить фильтрацию аномальной составляющей и
построить модель аномального поля после фильтрации.
. Выделить объекты с различной плотностью.
. Оценить плотность горных пород на площади
исследования.
. Написать пояснительную записку следующего
содержания.
характеристика исходных данных;
характеристика модели поля;
обоснование выбора модели региональной
компоненты;
характеристика аномального поля и обоснование
выбора фильтров;
характеристика аномального поля и результаты
интерпретации;
описание физико-геологической модели участка
исследования.
. Графические приложения:
модель измеренного поля;
модель региональной составляющей;
модель аномального поля до и после фильтрации;
графики автокорреляционных функций;
модель исследуемого участка
Геофизическая характеристика
Гравитационные и магнитные поля четко выделяются
полосовыми, вытянутыми в субмеридиональном направлении аномалиями сложного
строения с резкими градиентами силы тяжести и вертикальной составляющей
магнитного поля [3]. Наряду с этими аномалиями поля силы тяжести отмечаются
аномалии с ориентировкой.
Предположительно, основная масса гравитационных
аномалий может быть объяснена влиянием пород, слагающих верхние горизонты
земной коры.
Положительными полями различной интенсивности
отмечаются области развития эффузувных и эффузивно-осадочных образований,
причем интенсивность поля зависит от мощности и состава эффузивов. Области
развития осадочных отложений фиксируются пониженным значением силы тяжести.
Локальные минимумы силы тяжести - структуры синклинальных осадочных отложений.
Магнитное поле характеризуется наличием мелких
аномалий. Спокойное или слабопеременное поле обеспечивают интрузии нормальных
гранитов. В пределах этих интрузий повышенными, иногда довольно интенсивными локальными
магнитными аномалиями выделяются участки контаминированных гранитов или
гранитов, обогащенных магнетитом.
Сопоставление характера магнитного поля с
геологическими данными позволяет установить, что кроме осадочных, сланцевых
образований и массивов нормальных гранитов основной фон пониженного магнитного
поля создают эффузивно-осадочные образования палеозойского возраста.
Техника и методика наземных
гравиметрических измерений
Гравиразведочные работы выполняются в два этапа:
полевой и камеральный [1]. В полевой период проводят гравиметрическую съемку -
совокупность гравиметрических наблюдений, проведенных на площади исследований
по определенной системе и с заданной точностью, предусмотренной техническим
проектом. В камеральный период работ производится обработка результатов
наблюдений, вычисление аномалий и их изображение в виде графиков и карт, а
также геологическое истолкование выявленных аномалий.
В зависимости от системы наблюдений различают
маршрутные, площадные и профильные съемки. Маршрутные съемки проводят обычно
труднопроходимой местности по изломанным линиям, которые прокладываются по
тропам, ручьям, просекам т.п. Профильные съемки выполнятся по системе прямых
линий, прокладываемых на местности геодезическими средствами. Расстояние между точками
наблюдений по маршруту или профилю выбирается, как правило, постоянным и
называется шагом съемки. Площадной называется съемка, результаты которой
позволяют построить карту изолиний изучаемого физического поля. Такие съемки
проводят о системе сближенных профилей или маршрутов. При проведении площадных
гравиметрических съемок расстояние между профилями может превосходить
расстояние между точками по профилю не более чем в 5 раз.
Профили прокладываются обычно вкрест простирания
искомых геологических объектов и связанных с ними гравитационных аномалий или
генерального простирания пород. Сеть наблюдений (расстояние между профилями и
пикетами) выбирается так, чтоб минимальные по размерам объекты, представляющие
поисковый интерес, были охарактеризованы не менее чем 2 - 3 профилями и 2 - 3
пикетами.
Масштаб съемки определяется общем случае
расстоянием между профилям. Это расстояние должно укладывать примерно в 1 см
отчетной карты. При этом масштаб съемки должен соответствовать стандартным
масштабам, принятым в геодезии (1:10000, 1:25000, 1:50000 и др.). В зависимости
от масштаба съемки разделяются на мелкомасштабные (1:100000 и мельче),
среднемасштабные (1:25000 - 1:50000), крупномасштабные (1:10000 и крупнее).
Съемки с мелким масштабом проводятся с целью региональных исследований, средне-
и крупномасштабные съемки используются для решения вопросов геологического
картирования площади исследований, при поисковых и поисково-разведочных
работах.
Точность проектируемых съемок определяется
величиной амплитуды минимальных аномалий, представляющих поисковый интерес.
Погрешность определения аномальных значений гравитационного поля не должна быть
выше 0,33 - 0,2 амплитуды минимальных искомых аномалий. Сечение изолиний
отчетной карты должно превосходить среднеквадратическую погрешность съемки в
2-2,5 раз.
Затем, в зависимости от того, в какой местности,
равнинной или горной, проектируется проведение гравиметрических работ,
выбранные технический минимальных аномалий, Представляющих поисковый интерес.
Погрешность определения аномальных значений гравитационного поля не должна быть
выше 0,33 - 0,2 амплитуды минимальных искомых аномалий. Сечение изолиний
отчетной карты должно превосходить среднеквадратическую погрешность съемки в
2-2,5 раз. Затем, в зависимости от того, в какой местности, равнинной или
горной, проектируется проведение гравиметрических работ, выбранные технический
условия съемки корректируются в соответствии с инструкцией по гравиразведке.
Согласно с инструкцией по гравиразведке съемке определенного масштаба должна соответствовать
требуемая точность и густота сети наблюдений, которая характеризуется числом
пунктов на 1 км съемки.
Наземные гравиметрические съемки выполняются
кварцевыми астазированными гравиметрами, обладающими смещением нульпункта и
некоторой аппаратурной погрешностью. Гравиметры служат только для относительных
измерений. Поэтому съемки выполняются с использованием опорной сети.
Опорная сеть служит для определения и учета
нульпункта прибора, для проведения съемки к единому абсолютному или условному
уровню, а также для исключения накопления систематических ошибок при передаче
значений поля от одной точки съемки на другие. Расстояние между опорными
выбирается таким расчетом, чтоб измерения по профилю от одной опорной точки до
другой можно было выполнить в течение интервала времени примерно линейного
смещения нульпункта гравиметра. При этом учитывается производительность работ в
рядовой сети. Если площадь участка не велика, то в ряде случаев достаточно
использовать один опорный пункт. При проведении съемки на большой площади
используется несколько опорных пунктов, которые должны быть увязаны между
собой. Существует три схемы увязки опорных пунктов: центральная,
двухступенчатая и полигональная.
Центральная система увязки предусматривает, чтоб
каждая опорная точка имела непосредственную связь с центральным опорным
пунктом.
Двухступенчатая система увязки применяется при
большом числе опорных точек. Несколько опорных точек принимаются в качестве
каркасных пунктов, остальные - заполняющая опорная сеть. Каркасные опорные
точки увязываются между собой по центральной системе, а заполняющая - короткими
рейсами с началами и концами в опорных пунктах.
Полигональная система увязки опорных точек
представляет собой систему взаимно пересекающихся полигонов, образующих в конечном
итоге сеть треугольников (возможно, четырехугольников). Одна из точек опорной
сети должна быть привязана к опорному гравиметрическому пункту I или II класса.
Согласно требованиям инструкции по гравиразведке, точность определения силы
тяжести на опорных пунктах должна быть в 1,5 - 2 раза выше, чем на рядовых.
Повышение точности достигается главным образом за счет многократности измерений
разности значений ускорения силы тяжести между опорными точками. Кратность
наблюдений (количество независимых наблюдений на пунктах опорной сети)
рассчитывается на основе неравенства
где 
- среднеквадратическая погрешность
единичного измерения гравиметром,

- проектируемая точность опорной
сети [1].
Рядовая съемка по профилям
(маршрутам) выполняется однодневными рейсами. Рейс - совокупность
последовательных наблюдений на опорных и рядовых пунктах, в результате которых
могут быть получены значения ускорения силы тяжести для всех точек рейса. Часть
рейса между двумя последовательными измерениями на опорных точках - звено.
Продолжительность звеньев рейса не должна превышать интервала времени примерно
линейного смещения нульпункта гравиметра (примерно 2 - 3 часа).
В процессе съемки необходимо
соблюдать правила эксплуатации гравиметров.
Для оценки качества рядовой съемки
проводят специальные контрольные измерения, которые предусматриваются в объеме
5 -10 % от числа основных наблюдений, но не менее 50 точек по всей площади
измерений. Контрольные измерения должны быть равномерно распределены по площади
и во времени. Они выполняются независимыми рейсами - другим оператор, другим
прибором, в другой день. Если на трех и более пунктах рейса при повторном
контроле получено недопустимое расхождений основных контрольных измерений, рейс
(или его звено) бракуется.
Общая точность гравиметрической
съемки оценивается по формуле
где 
и 
- точность рядовой и опорной
сети,

- среднеквадратическая
погрешность определения нормального значения силы тяжести,

- среднеквадратическая
погрешность, определенная поправкой Буге,

- среднеквадратическая
погрешность, определенная поправкой за влияние рельефа местности.
Наземная гравиметрическая съемка
проводится гравиметрами ГР-К1, ГР-К2 (гравиметр разведочный, класс точности
первый и второй), узкодиапазонными наземными гравиметрами типа ГНУ-К1, ГНУ-К2,
ГНУ-КВ,С [1]. Гравиметрический работы в горных условиях проводят
широкодиапазонными гравиметрами ПИН-2. Все эти приборы относятся к
оптико-механическим астазированным кварцевым гравиметрам (ГАК).
Среднеквадратическая погрешность единичного измерения разности ускорений силы
тяжести таких гравиметров не должна превышать ±0,02, ±0,03 и ±0,06 мГал для
приборов класса А, В и С соответственно при продолжительности рейсов не менее 4
часов.
На начальном этапе модель поля
представляется состоящей из трех независимых компонент:
модель измеренного гравитационного
поля (Δg)
U рег - региональная составляющая
поля (поле обусловленное влиянием объектов, размеры которых соизмеримы или
превышают размеры площади исследования);
Uлок - локальная составляющая поля
(поле обусловленное влиянием объектов, размеры которых значительно меньше
размеров площади исследования);
Uпом - помехи, обусловленные
влиянием случайных факторов (погрешности измерений, внешние шумы и т.п.).
Региональная составляющая (или в
некоторых геофизических методах нормальное поле) для интерпретации редко
представляет интерес, поэтому чаще всего эту составляющую поля стараются
исключить.
Локальная составляющая, обусловлена
источниками, размеры которых невелики. Обычно в 5 и более раз меньше длины
профиля измерений поля. Этот вид искажений поля представляет наибольший интерес
т.к. несет информации о неоднородностях, для изучения которых и производятся
геофизические исследования.
В значительной степени деление
аномалий на региональные и локальные является достаточно условным. Так при
интерпретации детальных измерений локальные аномалии могут перейти в разряд
региональных.
Под помехой следует понимать всякие
возмущающие поля, препятствующие выделению сигнала аномалии. Различают:
помехи геологического происхождения,
вызванные влиянием перекрывающих разрез горных пород или рыхлых отложений,
помехи, обусловленные влиянием
рельефа местности,
техногенные помехи,
погрешности измерений.
В любом случае эта составляющая поля
является мешающим фактором и в результате обработки ее необходимо исключить.
Очевидно, что для выделения региональной составляющая в качестве помехи будет
выступать локальная составляющая.
Измерения выполняются по заранее
созданной системе профилей, для опорных точек которых определены
пространственные координаты.
План расположения профилей измерения
гравитационного поля по участку. По изображению плана можно
проконтролировать правильность вычисления координат и определения значения Δg для каждой
точки.
Параметры уравнения регрессии для
вычисления значений региональной составляющей поля. Статистическая значимость
уравнения
Задача аппроксимации (замены)
экспериментальных данных аналитической функцией встречается в разных областях
предметной деятельности, в том числе и при обработке результатов измерений.
Метод наименьших квадратов (МНК).
Матрица коэффициентов при
неизвестных
будет выглядеть следующим образом:
Матрица симметрична относительно
главной диагонали.
Вектор свободных членов:
Обратная матрица системы уравнений:
Произведение обратной матрицы
системы на вектор свободных членов
Уравнение регрессии будет выглядеть
следующим образом:
Подставляя в левую часть уравнения
значения Хi и Yi, получаем
теоретические значения аппроксимирующей функции U(x).
Проверка статистической значимости
регрессии
Статистическая значимость уравнения
определяется на основе дисперсионного анализа и метода проверки статистических
гипотез
Дисперсия значений U(x,y) в области
изменений независимых переменных Х и Y:
, где
.
Dрег=3.356
Остаточная дисперсия:
, Dост=0.053
Значение статистики Фишера, которая
определяет превышение дисперсии регрессии над остаточной дисперсией (т.е.
дисперсией случайной составляющей):
Fexp=63.246
Пороговое значение статистики
Фишера: Fпор=
1.130161
функция
EXCEL Fраспобр(0.05;727;721),
если
Fexp больше Fпор (что мы
и наблюдаем), то принимается альтернативная гипотеза, т.е. принимается гипотеза
о преобладании дисперсии регрессии над остаточной дисперсией (после учета
регрессии), что свидетельствует в пользу статистической значимости уравнения
регрессии в целом.
Фильтрация аномальной составляющей
Для этой задачи используются
линейные фильтры. Цифровая фильтрация реализуется методом скользящего окна.
В работе используется медианный
фильтр. Определяется медиана для значений, попавших в окно фильтра.
Математический аппарат фильтра:
- берутся значения на каждом пикете
по профилю
окно фильтра
количество значений
количество значений на выходе
медианный фильтр (середина чисел,
расп. в порядке возрастания)
Для расчетов я выбрал m=2 для того
чтобы не потерять в точности полученных данных и получить большее количество
значений.
результат фильтрации по каждому
профилю:
Таким образом, с помощью применения
медианного фильтра и фильтра аппроксимации мы выделили локальную составляющую
поля из значений наблюденного поля. Фильтр аппроксимации позволяет выделить
региональную составляющую сигнала. Вычитая ее из значений наблюденного поля, мы
получили сигнал локальной составляющей и помехи. Сигнал помехи мы исключили
медианным фильтром.
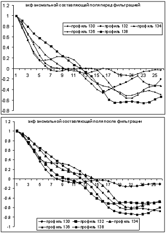
Графики автокорреляционных функций
Для изучения корреляционных свойств сигналов
используется автокорреляционная функция:
j = 0,1,2,…, m, (2)
,
(3)
Процедура вычисления АКФ
По графикам АКФ видим, что
прослеживается закономерность в значениях аномальной составляющей.
По графикам АКФ случайной
составляющей определяем, что перед нами действительно помеха, так как все
графики распределены по нормальному закону с нулевым средним
Выделение объектов с различной
плотностью
Выделение объектов с различной
плотностью производится с помощью программного модуля prizma-g.exe, куда
заносятся значения отфильтрованной аномальной составляющей гравитационного поля
по каждому профилю в отдельности. После ввода значений получаем график
измеренных значений приращения силы тяжести. Внизу графика поле для построения
объектов различной палитры допустимых цветов, которые отличаются избыточной
плотностью. Значение избыточной плотности мы вводим сами исходя из собственных
соображений и имеющегося опыта.
После вычислений на экран выводится
графики измеренного (сплошная линия) и вычисленного (пунктир) поля. Сравнив эти
два графика, принимаем решение относительно дальнейших действий. Можем
произвести корректировку разреза и повторить вычисления, если результаты моделирования
сильно отличаются от полевых данных. Если поле над моделью удовлетворительным
образом совпадает с результатами полевых измерений, принимается решение о
прекращении процесса подбора.
Примеры интерпретации:
Профиль 134
Профиль 128
На основе полученных данных об
объектах с избыточной плотностью по каждому профилю, строим модель исследуемого
участка.
Оценка плотности горных пород на площади
исследования
Модель представлена объектами с
плотностями
=2.53
,
=2.59
,
=2.69
,
=2.73
.если это
класс магматических г.п., то это кислые горные породы, например, гранит; из
минералов это может быть: ортоклаз (
=2.53
), альбит (
=2.60
), кварц (
=2.67
), кальцит (
=2.70
).
Оценивая по статистическим
параметрам, данная группа модели подходит под известняки, граниты и порфириты.
Физико-геологическая модель
исследуемого участка
регрессия
автокорреляционный плотность порода
Исходные данные:
Значения ∆g в каждой
точке измерения (пикете) по всей системе профилей
|
Профиль
|
138
|
Профиль
|
136
|
Профиль
|
134
|
Профиль
|
132
|
Профиль
|
130
|
|
Пикет
|
∆g
|
Пикет
|
∆g
|
Пикет
|
∆g
|
Пикет
|
∆g
|
Пикет
|
∆g
|
|
60
|
-16.66
|
60
|
-16.73
|
60
|
-16.80
|
60
|
-16.71
|
60
|
-16.48
|
|
62
|
-16.76
|
62
|
-16.62
|
62
|
-16.80
|
62
|
-16.65
|
62
|
-16.36
|
|
64
|
-16.69
|
64
|
-16.49
|
64
|
-16.68
|
64
|
-16.56
|
64
|
-16.23
|
|
66
|
-16.65
|
66
|
-16.47
|
66
|
-16.51
|
66
|
-16.46
|
66
|
-16.20
|
|
68
|
-16.62
|
68
|
-16.44
|
68
|
-16.41
|
68
|
-16.36
|
68
|
-16.13
|
|
70
|
-16.56
|
70
|
-16.39
|
70
|
-16.27
|
70
|
-16.21
|
70
|
-15.97
|
|
72
|
-16.51
|
72
|
-16.32
|
72
|
-16.11
|
72
|
-16.05
|
72
|
-15.90
|
|
74
|
-16.40
|
74
|
-16.10
|
74
|
-15.91
|
74
|
-15.84
|
74
|
-15.81
|
|
76
|
-16.26
|
76
|
-15.89
|
76
|
-15.86
|
76
|
-15.91
|
76
|
-15.61
|
|
78
|
-16.19
|
78
|
-15.83
|
78
|
-15.75
|
78
|
-15.84
|
78
|
-15.63
|
|
80
|
-16.49
|
80
|
-15.65
|
80
|
-15.60
|
80
|
-15.79
|
80
|
-15.56
|
|
82
|
-16.27
|
82
|
-15.69
|
82
|
-15.50
|
82
|
-15.72
|
82
|
-15.52
|
|
84
|
-16.15
|
84
|
-15.73
|
84
|
-15.46
|
84
|
-15.50
|
84
|
-15.66
|
|
86
|
-15.65
|
86
|
-15.74
|
86
|
-15.43
|
86
|
-15.45
|
86
|
-15.38
|
|
88
|
-15.37
|
88
|
-15.82
|
88
|
-15.43
|
88
|
-15.32
|
88
|
-15.29
|
|
90
|
-15.25
|
90
|
-15.48
|
90
|
-15.51
|
90
|
-15.23
|
90
|
-15.13
|
|
92
|
-15.17
|
92
|
92
|
-15.61
|
92
|
-15.21
|
92
|
-15.03
|
|
94
|
-14.96
|
94
|
-14.84
|
94
|
-15.30
|
94
|
-15.10
|
94
|
-14.97
|
|
96
|
-14.81
|
96
|
-14.65
|
96
|
-15.27
|
96
|
-15.09
|
96
|
-14.94
|
|
98
|
-14.70
|
98
|
-14.65
|
98
|
-15.14
|
98
|
-14.94
|
98
|
-14.84
|
|
100
|
-14.55
|
100
|
-14.63
|
100
|
-14.94
|
100
|
-14.94
|
100
|
-14.68
|
|
102
|
-14.44
|
102
|
-14.54
|
102
|
-14.54
|
102
|
-14.93
|
102
|
-14.55
|
|
104
|
-14.37
|
104
|
-14.47
|
104
|
-14.51
|
104
|
-14.82
|
104
|
-14.64
|
|
106
|
-14.32
|
106
|
-14.36
|
106
|
-14.39
|
106
|
-14.51
|
106
|
-14.56
|
|
108
|
-14.18
|
108
|
-14.35
|
108
|
-14.27
|
108
|
-14.41
|
108
|
-14.23
|
|
110
|
-14.13
|
110
|
-14.19
|
110
|
-14.07
|
110
|
-14.23
|
110
|
-14.20
|
|
112
|
-13.66
|
112
|
-14.14
|
112
|
-13.97
|
112
|
-14.09
|
112
|
-14.12
|
|
114
|
-13.47
|
114
|
-13.88
|
114
|
-13.84
|
114
|
-14.07
|
114
|
-14.10
|
|
116
|
-13.36
|
116
|
-13.70
|
116
|
-13.77
|
116
|
-13.93
|
116
|
-14.08
|
|
118
|
-13.35
|
118
|
-13.60
|
118
|
-14.03
|
118
|
-13.88
|
118
|
-13.87
|
|
120
|
-13.36
|
120
|
-13.68
|
120
|
-13.97
|
120
|
-13.97
|
120
|
-13.84
|
|
122
|
-13.30
|
122
|
-13.43
|
122
|
-13.62
|
122
|
-14.15
|
122
|
-13.83
|
|
124
|
-13.24
|
124
|
-13.34
|
124
|
-13.43
|
124
|
-13.90
|
124
|
-13.86
|
|
126
|
-13.17
|
126
|
-13.21
|
126
|
-13.26
|
126
|
-13.66
|
126
|
-14.02
|
|
128
|
-13.12
|
128
|
-13.12
|
128
|
-13.20
|
128
|
-13.51
|
128
|
-14.33
|
|
130
|
-13.18
|
130
|
-13.23
|
130
|
-13.03
|
130
|
-13.46
|
130
|
-14.09
|
|
132
|
-13.08
|
132
|
-13.11
|
132
|
-12.98
|
132
|
-13.30
|
132
|
-13.77
|
|
134
|
-12.96
|
134
|
-13.09
|
134
|
-12.94
|
134
|
-13.20
|
134
|
-13.58
|
|
136
|
-12.70
|
136
|
-12.90
|
136
|
-13.00
|
136
|
-13.02
|
136
|
-13.21
|
|
138
|
-12.79
|
138
|
-12.81
|
138
|
-12.87
|
138
|
-12.95
|
138
|
-12.79
|
|
140
|
-12.61
|
140
|
-12.71
|
140
|
-12.73
|
140
|
-12.89
|
140
|
-12.68
|
|
142
|
-12.61
|
142
|
-12.56
|
142
|
-12.65
|
142
|
-12.92
|
142
|
-12.66
|
|
144
|
-12.50
|
144
|
-12.56
|
144
|
-12.76
|
144
|
-12.69
|
144
|
-12.68
|
|
146
|
-12.51
|
146
|
-12.51
|
146
|
-12.65
|
146
|
-12.56
|
146
|
-12.68
|
|
148
|
-12.40
|
148
|
-12.50
|
148
|
-12.55
|
148
|
-12.36
|
148
|
-12.71
|
|
150
|
-12.34
|
150
|
-12.46
|
150
|
-12.43
|
150
|
-12.34
|
150
|
-12.49
|
|
152
|
-12.25
|
152
|
-12.35
|
152
|
-12.38
|
152
|
-12.06
|
152
|
-12.25
|
|
154
|
-12.06
|
154
|
-12.25
|
154
|
-12.25
|
154
|
-12.18
|
154
|
-12.32
|
|
156
|
-12.01
|
156
|
-12.10
|
156
|
-12.17
|
156
|
-12.21
|
156
|
-12.20
|
|
158
|
-12.14
|
158
|
-12.13
|
158
|
-12.04
|
158
|
-12.21
|
158
|
-12.15
|
|
160
|
-12.03
|
160
|
-12.12
|
160
|
-12.09
|
160
|
-12.12
|
160
|
-12.03
|
|
162
|
-11.99
|
162
|
-12.01
|
-12.11
|
162
|
-12.13
|
162
|
-11.98
|
|
164
|
-11.93
|
164
|
-11.94
|
164
|
-12.16
|
164
|
-12.27
|
164
|
-11.93
|
|
166
|
-11.80
|
166
|
-11.87
|
166
|
-11.99
|
166
|
-11.94
|
166
|
-11.79
|
|
168
|
-11.85
|
168
|
-11.80
|
168
|
-11.98
|
168
|
-11.84
|
168
|
-11.74
|
|
170
|
-11.69
|
170
|
-11.80
|
170
|
-11.88
|
170
|
-11.78
|
170
|
-11.61
|
|
172
|
-11.63
|
172
|
-11.68
|
172
|
-11.83
|
172
|
-11.68
|
172
|
-11.54
|
|
174
|
-11.47
|
174
|
-11.74
|
174
|
-11.82
|
174
|
-11.70
|
174
|
-11.55
|
|
176
|
-11.34
|
176
|
-11.52
|
176
|
-11.72
|
176
|
-11.60
|
176
|
-11.53
|
|
178
|
-11.25
|
178
|
-11.41
|
178
|
-11.60
|
178
|
-11.52
|
178
|
-11.52
|
|
180
|
-11.09
|
180
|
-11.35
|
180
|
-11.52
|
180
|
-11.62
|
180
|
-11.46
|
|
182
|
-11.05
|
182
|
-11.22
|
182
|
-11.45
|
182
|
-11.57
|
182
|
-11.41
|
|
184
|
-11.00
|
184
|
-11.17
|
184
|
-11.51
|
184
|
-11.44
|
184
|
-11.39
|
|
186
|
-10.89
|
186
|
-11.07
|
186
|
-11.37
|
186
|
-11.33
|
186
|
-11.24
|
|
188
|
-10.81
|
188
|
-10.98
|
188
|
-11.18
|
188
|
-11.17
|
188
|
-11.17
|
|
190
|
-10.63
|
190
|
-10.82
|
190
|
-11.06
|
190
|
-11.12
|
190
|
-11.04
|
|
192
|
-10.47
|
192
|
-10.71
|
192
|
-10.98
|
192
|
-11.04
|
192
|
-11.02
|
|
194
|
-10.36
|
194
|
-10.71
|
194
|
-10.90
|
194
|
-10.96
|
194
|
-10.77
|
|
196
|
-10.13
|
196
|
-10.65
|
196
|
-10.79
|
196
|
-10.85
|
196
|
-10.64
|
|
198
|
-9.99
|
198
|
-10.42
|
198
|
-10.70
|
198
|
-10.65
|
198
|
-10.50
|
|
200
|
-9.94
|
200
|
-10.00
|
200
|
-10.52
|
200
|
-10.48
|
200
|
-10.47
|
|
202
|
-9.97
|
202
|
-10.10
|
202
|
-10.08
|
202
|
-10.28
|
202
|
-10.16
|
|
204
|
-9.97
|
204
|
-9.98
|
204
|
-10.01
|
204
|
-10.19
|
204
|
-10.00
|
|
Профиль
|
128
|
Профиль
|
126
|
Профиль
|
124
|
Профиль
|
122
|
Профиль
|
120
|
|
Пикет
|
∆g
|
Пикет
|
∆g
|
Пикет
|
∆g
|
Пикет
|
∆g
|
Пикет
|
∆g
|
|
60
|
-16.14
|
60
|
-15.81
|
60
|
-15.61
|
60
|
-15.39
|
60
|
-15.18
|
|
62
|
-16.19
|
62
|
-15.83
|
62
|
-15.75
|
62
|
-15.53
|
62
|
-15.05
|
|
64
|
-16.18
|
64
|
-15.81
|
64
|
-15.81
|
64
|
-15.58
|
64
|
-15.11
|
|
66
|
-15.92
|
66
|
-15.65
|
66
|
-15.86
|
66
|
-15.77
|
66
|
-15.18
|
|
68
|
-15.80
|
68
|
-15.65
|
68
|
-15.85
|
68
|
-16.02
|
68
|
-15.27
|
|
70
|
-15.70
|
70
|
-15.64
|
70
|
-15.88
|
70
|
-15.99
|
70
|
-15.36
|
|
72
|
-15.59
|
72
|
-15.67
|
72
|
-15.78
|
72
|
-15.89
|
72
|
-15.13
|
|
74
|
-15.55
|
74
|
-15.71
|
74
|
-15.54
|
74
|
-15.55
|
74
|
-14.73
|
|
76
|
-15.61
|
76
|
-15.46
|
76
|
-15.38
|
76
|
-15.36
|
76
|
-14.83
|
|
78
|
-15.61
|
78
|
-15.32
|
78
|
-15.30
|
78
|
-15.34
|
78
|
-15.03
|
|
80
|
-15.49
|
80
|
-15.33
|
80
|
-15.02
|
80
|
-15.24
|
80
|
-15.03
|
|
82
|
-15.38
|
82
|
-15.24
|
82
|
82
|
-15.21
|
82
|
-14.98
|
|
84
|
-15.33
|
84
|
-15.17
|
84
|
-14.86
|
84
|
-15.04
|
84
|
-14.92
|
|
86
|
-15.26
|
86
|
-15.03
|
86
|
-14.86
|
86
|
-14.86
|
86
|
-14.91
|
|
88
|
-15.12
|
88
|
-14.67
|
88
|
-14.80
|
88
|
-14.75
|
88
|
-14.89
|
|
90
|
-14.87
|
90
|
-14.65
|
90
|
-14.73
|
90
|
-14.51
|
90
|
-14.78
|
|
92
|
-14.73
|
92
|
-14.65
|
92
|
-14.68
|
92
|
-14.44
|
92
|
-14.73
|
|
94
|
-14.73
|
94
|
-14.60
|
94
|
-14.53
|
94
|
-14.25
|
94
|
-14.48
|
|
96
|
-14.71
|
96
|
-14.60
|
96
|
-14.39
|
96
|
-14.09
|
96
|
-14.01
|
|
98
|
-14.62
|
98
|
-14.66
|
98
|
-14.08
|
98
|
-13.99
|
98
|
-14.05
|
|
100
|
-14.54
|
100
|
-14.44
|
100
|
-13.92
|
100
|
-13.87
|
100
|
-13.91
|
|
102
|
-14.47
|
102
|
-14.02
|
102
|
-13.79
|
102
|
-13.85
|
102
|
-13.79
|
|
104
|
-14.30
|
104
|
-14.11
|
104
|
-13.80
|
104
|
-13.75
|
104
|
-13.68
|
|
106
|
-14.31
|
106
|
-14.02
|
106
|
-13.61
|
106
|
-13.59
|
106
|
-13.45
|
|
108
|
-14.28
|
108
|
-13.91
|
108
|
-13.54
|
108
|
-13.61
|
108
|
-13.29
|
|
110
|
-14.22
|
110
|
-13.95
|
110
|
-13.44
|
110
|
-13.43
|
110
|
-13.18
|
|
112
|
-13.92
|
112
|
-13.93
|
112
|
-13.43
|
112
|
-13.21
|
112
|
-13.11
|
|
114
|
-13.84
|
114
|
-13.58
|
114
|
-13.37
|
114
|
-13.11
|
114
|
-13.08
|
|
116
|
-13.77
|
116
|
-13.58
|
116
|
-13.35
|
116
|
-13.04
|
116
|
-12.82
|
|
118
|
-13.56
|
118
|
-13.44
|
118
|
-13.49
|
118
|
-13.07
|
118
|
-12.73
|
|
120
|
-13.59
|
120
|
-13.58
|
120
|
-13.21
|
120
|
-12.94
|
120
|
-12.66
|
|
122
|
-13.49
|
122
|
-13.28
|
122
|
-12.92
|
122
|
-12.86
|
122
|
-12.71
|
|
124
|
-13.38
|
124
|
-12.90
|
124
|
-12.73
|
124
|
-12.81
|
124
|
-12.63
|
|
126
|
-13.44
|
126
|
-12.88
|
126
|
-12.62
|
126
|
-12.69
|
126
|
-12.57
|
|
128
|
-13.51
|
128
|
-12.76
|
128
|
-12.60
|
128
|
-12.61
|
128
|
-12.55
|
|
130
|
-13.48
|
130
|
-12.74
|
130
|
-12.54
|
130
|
-12.64
|
130
|
-12.40
|
|
132
|
-13.57
|
132
|
-12.83
|
132
|
-12.38
|
132
|
-12.78
|
132
|
-12.33
|
|
134
|
-13.22
|
134
|
-12.60
|
134
|
-12.56
|
134
|
-12.65
|
134
|
-12.01
|
|
136
|
-12.95
|
136
|
-12.60
|
136
|
-12.52
|
136
|
-12.89
|
136
|
-12.01
|
|
138
|
-12.62
|
138
|
-12.65
|
138
|
-12.17
|
138
|
-12.12
|
138
|
-11.87
|
|
140
|
-12.40
|
140
|
-12.78
|
140
|
-12.06
|
140
|
-12.00
|
140
|
-11.92
|
|
142
|
-12.25
|
142
|
-12.74
|
142
|
-11.98
|
142
|
-11.87
|
142
|
-11.62
|
|
144
|
-12.20
|
144
|
-12.74
|
144
|
-11.99
|
144
|
-11.80
|
144
|
-11.60
|
|
146
|
-13.13
|
146
|
-12.39
|
146
|
-12.05
|
146
|
-11.79
|
146
|
-11.42
|
|
148
|
-12.12
|
148
|
-12.29
|
148
|
-12.14
|
148
|
-11.73
|
148
|
-11.74
|
|
150
|
-12.13
|
150
|
-12.21
|
150
|
-12.13
|
150
|
-11.59
|
150
|
-11.74
|
|
152
|
-12.09
|
152
|
-12.11
|
152
|
-12.02
|
-11.64
|
152
|
-12.09
|
|
154
|
-11.96
|
154
|
-12.03
|
154
|
-11.85
|
154
|
-11.48
|
154
|
-12.16
|
|
156
|
-11.94
|
156
|
-11.99
|
156
|
-11.78
|
156
|
-11.42
|
156
|
-12.23
|
|
158
|
-11.80
|
158
|
-11.95
|
158
|
-11.78
|
158
|
-11.52
|
158
|
-12.30
|
|
160
|
-11.85
|
160
|
-11.83
|
160
|
-11.73
|
160
|
-11.68
|
160
|
-12.23
|
|
162
|
-11.71
|
162
|
-11.62
|
162
|
-11.60
|
162
|
-11.60
|
162
|
-12.15
|
|
164
|
-11.70
|
164
|
-11.71
|
164
|
-11.41
|
164
|
-11.51
|
164
|
-11.98
|
|
166
|
-11.61
|
166
|
-11.50
|
166
|
-11.50
|
166
|
-11.29
|
166
|
-11.99
|
|
168
|
-11.52
|
168
|
-11.60
|
168
|
-11.45
|
168
|
-11.28
|
168
|
-11.75
|
|
170
|
-11.46
|
170
|
-11.58
|
170
|
-11.35
|
170
|
-11.11
|
170
|
-11.59
|
|
172
|
-11.36
|
172
|
-11.45
|
172
|
-11.21
|
172
|
-11.13
|
172
|
-11.56
|
|
174
|
-11.41
|
174
|
-11.15
|
174
|
-11.10
|
174
|
-11.15
|
174
|
-11.40
|
|
176
|
-11.32
|
176
|
-11.23
|
176
|
-11.11
|
176
|
-10.96
|
176
|
-11.20
|
|
178
|
-11.35
|
178
|
-11.48
|
178
|
-11.00
|
178
|
-10.97
|
178
|
-11.24
|
|
180
|
-11.35
|
180
|
-11.28
|
180
|
-10.94
|
180
|
-10.74
|
180
|
-10.49
|
|
182
|
-11.31
|
182
|
-11.21
|
182
|
-10.72
|
182
|
-10.51
|
182
|
-10.26
|
|
184
|
-11.25
|
184
|
-11.14
|
184
|
-10.75
|
184
|
-10.58
|
184
|
-10.16
|
|
186
|
-11.09
|
186
|
-11.11
|
186
|
-10.63
|
186
|
-10.51
|
186
|
-10.25
|
|
188
|
-10.97
|
188
|
-10.97
|
188
|
-10.65
|
188
|
-10.61
|
188
|
-10.25
|
|
190
|
-10.87
|
190
|
-10.75
|
190
|
-10.59
|
190
|
-10.60
|
190
|
-10.29
|
|
192
|
-10.78
|
192
|
-10.69
|
192
|
-10.51
|
192
|
-10.49
|
192
|
-10.16
|
|
194
|
-10.61
|
194
|
-10.63
|
194
|
-10.40
|
194
|
-10.30
|
194
|
-10.16
|
|
196
|
-10.51
|
196
|
-10.60
|
196
|
-10.28
|
196
|
-10.31
|
196
|
-10.15
|
|
198
|
-10.36
|
198
|
-10.48
|
198
|
-10.16
|
198
|
-10.31
|
198
|
-10.08
|
|
200
|
-10.21
|
200
|
-10.34
|
200
|
-10.12
|
200
|
-10.07
|
200
|
-10.04
|
|
202
|
-10.10
|
202
|
-9.96
|
202
|
-9.89
|
202
|
-10.02
|
202
|
-10.02
|
|
204
|
-10.02
|
|
|
204
|
-10.12
|
204
|
-10.03
|
204
|
-9.98
|
Пространственные координаты опорных
точек системы профилей
|
Проф.
|
ПК
|
X
|
Y
|
Z
|
|
138
|
60
|
110
|
80
|
0
|
|
138
|
100
|
1115
|
85
|
0
|
|
138
|
206
|
3785
|
170
|
0
|
|
136
|
60
|
115
|
305
|
0
|
|
136
|
90
|
880
|
310
|
0
|
|
136
|
130
|
1880
|
320
|
0
|
|
136
|
170
|
2885
|
340
|
0
|
|
136
|
206
|
3780
|
335
|
0
|
|
134
|
60
|
110
|
485
|
0
|
|
134
|
130
|
1870
|
515
|
0
|
|
134
|
170
|
2875
|
535
|
0
|
|
134
|
206
|
3770
|
530
|
0
|
|
132
|
60
|
110
|
675
|
0
|
|
132
|
110
|
1360
|
710
|
0
|
|
132
|
170
|
2860
|
735
|
0
|
|
132
|
206
|
3765
|
730
|
0
|
|
130
|
105
|
875
|
0
|
|
130
|
206
|
3880
|
950
|
0
|
|
128
|
60
|
100
|
1065
|
0
|
|
128
|
130
|
1995
|
1120
|
0
|
|
128
|
170
|
2930
|
1150
|
0
|
|
128
|
202
|
3740
|
1165
|
0
|
|
126
|
60
|
135
|
1280
|
0
|
|
126
|
110
|
1385
|
1310
|
0
|
|
126
|
202
|
3700
|
1370
|
0
|
|
124
|
60
|
130
|
1430
|
0
|
|
124
|
80
|
650
|
1425
|
0
|
|
124
|
130
|
1880
|
1540
|
0
|
|
124
|
204
|
3740
|
1565
|
0
|
|
122
|
60
|
90
|
1670
|
0
|
|
122
|
130
|
1870
|
1710
|
0
|
|
122
|
204
|
3710
|
1800
|
0
|
|
120
|
60
|
125
|
1870
|
0
|
|
120
|
100
|
1120
|
1900
|
0
|
|
120
|
130
|
1865
|
1915
|
0
|
|
120
|
170
|
2875
|
1950
|
0
|
|
120
|
204
|
3750
|
1975
|
0
|
Значения региональной составляющей
поля
|
пр
120
|
пр
122
|
пр
124
|
пр
126
|
пр
128
|
пр
130
|
пр
132
|
пр
134
|
пр
136
|
пр
138
|
пикет
|
|
-15.637
|
-15.918
|
-16.107
|
-16.267
|
-16.57
|
-16.729
|
-16.848
|
-16.91
|
-16.889
|
-16.774
|
60
|
|
-15.535
|
-15.811
|
-15.999
|
-16.159
|
-16.451
|
-16.615
|
-16.736
|
-16.796
|
-16.772
|
-16.657
|
62
|
|
-15.434
|
-15.706
|
-15.891
|
-16.053
|
-16.333
|
-16.501
|
-16.625
|
-16.683
|
-16.656
|
-16.54
|
64
|
|
-15.334
|
-15.601
|
-15.785
|
-15.948
|
-16.216
|
-16.388
|
-16.514
|
-16.571
|
-16.541
|
-16.425
|
66
|
|
-15.234
|
-15.498
|
-15.679
|
-15.843
|
-16.101
|
-16.277
|
-16.405
|
-16.46
|
-16.426
|
-16.311
|
68
|
|
-15.136
|
-15.395
|
-15.575
|
-15.74
|
-15.986
|
-16.166
|
-16.296
|
-16.349
|
-16.313
|
-16.197
|
70
|
|
-15.039
|
-15.294
|
-15.472
|
-15.637
|
-15.873
|
-16.057
|
-16.188
|
-16.24
|
-16.201
|
-16.085
|
72
|
|
-14.943
|
-15.193
|
-15.369
|
-15.535
|
-15.761
|
-15.948
|
-16.082
|
-16.132
|
-16.09
|
-15.973
|
74
|
|
-14.847
|
-15.093
|
-15.268
|
-15.435
|
-15.649
|
-15.841
|
-15.976
|
-16.024
|
-15.98
|
-15.863
|
76
|
|
-14.753
|
-14.995
|
-15.167
|
-15.335
|
-15.539
|
-15.734
|
-15.871
|
-15.918
|
-15.871
|
-15.753
|
78
|
|
-14.659
|
-14.897
|
-15.068
|
-15.236
|
-15.43
|
-15.629
|
-15.767
|
-15.812
|
-15.762
|
-15.644
|
80
|
|
-14.567
|
-14.8
|
-14.969
|
-15.138
|
-15.322
|
-15.524
|
-15.664
|
-15.708
|
-15.655
|
-15.536
|
82
|
|
-14.475
|
-14.704
|
-14.871
|
-15.041
|
-15.215
|
-15.42
|
-15.562
|
-15.604
|
-15.548
|
-15.429
|
84
|
|
-14.384
|
-14.609
|
-14.774
|
-14.945
|
-15.109
|
-15.317
|
-15.461
|
-15.501
|
-15.443
|
-15.323
|
86
|
|
-14.294
|
-14.515
|
-14.678
|
-14.849
|
-15.004
|
-15.215
|
-15.36
|
-15.399
|
-15.338
|
-15.218
|
88
|
|
-14.204
|
-14.422
|
-14.583
|
-14.754
|
-14.9
|
-15.114
|
-15.261
|
-15.297
|
-15.234
|
-15.113
|
90
|
|
-14.116
|
-14.329
|
-14.489
|
-14.66
|
-14.797
|
-15.014
|
-15.162
|
-15.197
|
-15.133
|
-15.009
|
92
|
|
-14.028
|
-14.238
|
-14.395
|
-14.567
|
-14.694
|
-14.914
|
-15.064
|
-15.097
|
-15.032
|
-14.906
|
94
|
|
-13.941
|
-14.147
|
-14.302
|
-14.475
|
-14.593
|
-14.816
|
-14.967
|
-14.998
|
-14.933
|
-14.804
|
96
|
|
-13.855
|
-14.057
|
-14.21
|
-14.383
|
-14.492
|
-14.718
|
-14.87
|
-14.9
|
-14.834
|
-14.702
|
98
|
|
-13.769
|
-13.968
|
-14.119
|
-14.293
|
-14.393
|
-14.621
|
-14.774
|
-14.802
|
-14.736
|
-14.602
|
100
|
|
-13.685
|
-13.879
|
-14.028
|
-14.202
|
-14.525
|
-14.679
|
-14.706
|
-14.638
|
-14.503
|
102
|
|
-13.601
|
-13.791
|
-13.939
|
-14.113
|
-14.196
|
-14.429
|
-14.585
|
-14.61
|
-14.542
|
-14.405
|
104
|
|
-13.518
|
-13.704
|
-13.85
|
-14.024
|
-14.098
|
-14.334
|
-14.491
|
-14.514
|
-14.446
|
-14.307
|
106
|
|
-13.436
|
-13.618
|
-13.761
|
-13.936
|
-14.002
|
-14.24
|
-14.398
|
-14.42
|
-14.35
|
-14.21
|
108
|
|
-13.355
|
-13.532
|
-13.674
|
-13.849
|
-13.906
|
-14.147
|
-14.306
|
-14.326
|
-14.256
|
-14.114
|
110
|
|
-13.274
|
-13.447
|
-13.587
|
-13.762
|
-13.811
|
-14.054
|
-14.215
|
-14.232
|
-14.161
|
-14.019
|
112
|
|
-13.194
|
-13.363
|
-13.501
|
-13.675
|
-13.717
|
-13.962
|
-14.124
|
-14.14
|
-14.068
|
-13.924
|
114
|
|
-13.114
|
-13.279
|
-13.415
|
-13.589
|
-13.624
|
-13.871
|
-14.034
|
-14.048
|
-13.975
|
-13.83
|
116
|
|
-13.035
|
-13.196
|
-13.33
|
-13.503
|
-13.531
|
-13.78
|
-13.944
|
-13.956
|
-13.883
|
-13.737
|
118
|
|
-12.956
|
-13.114
|
-13.246
|
-13.418
|
-13.439
|
-13.69
|
-13.855
|
-13.865
|
-13.791
|
-13.644
|
120
|
|
-12.879
|
-13.032
|
-13.162
|
-13.334
|
-13.347
|
-13.601
|
-13.767
|
-13.775
|
-13.7
|
-13.551
|
122
|
|
-12.801
|
-12.951
|
-13.079
|
-13.25
|
-13.256
|
-13.512
|
-13.679
|
-13.685
|
-13.61
|
-13.46
|
124
|
|
-12.725
|
-12.87
|
-12.997
|
-13.167
|
-13.166
|
-13.424
|
-13.592
|
-13.596
|
-13.52
|
-13.368
|
126
|
|
-12.648
|
-12.79
|
-12.915
|
-13.085
|
-13.076
|
-13.336
|
-13.505
|
-13.508
|
-13.43
|
-13.278
|
128
|
|
-12.573
|
-12.71
|
-12.833
|
-13.003
|
-12.987
|
-13.249
|
-13.419
|
-13.42
|
-13.341
|
-13.188
|
130
|
|
-12.496
|
-12.632
|
-12.754
|
-12.921
|
-12.911
|
-13.162
|
-13.333
|
-13.332
|
-13.253
|
-13.098
|
132
|
|
-12.419
|
-12.554
|
-12.675
|
-12.84
|
-12.835
|
-13.076
|
-13.248
|
-13.245
|
-13.164
|
-13.009
|
134
|
|
-12.343
|
-12.477
|
-12.597
|
-12.759
|
-12.759
|
-12.99
|
-13.163
|
-13.159
|
-13.077
|
-12.921
|
136
|
|
-12.268
|
-12.4
|
-12.52
|
-12.679
|
-12.683
|
-12.905
|
-13.079
|
-13.073
|
-12.99
|
-12.832
|
138
|
|
-12.193
|
-12.324
|
-12.442
|
-12.6
|
-12.608
|
-12.82
|
-12.995
|
-12.987
|
-12.903
|
-12.745
|
140
|
|
-12.119
|
-12.248
|
-12.365
|
-12.52
|
-12.534
|
-12.736
|
-12.912
|
-12.902
|
-12.817
|
-12.658
|
142
|
|
-12.045
|
-12.173
|
-12.289
|
-12.441
|
-12.459
|
-12.652
|
-12.829
|
-12.817
|
-12.731
|
-12.571
|
144
|
|
-11.971
|
-12.098
|
-12.213
|
-12.363
|
-12.385
|
-12.569
|
-12.746
|
-12.733
|
-12.645
|
-12.484
|
146
|
|
-11.898
|
-12.023
|
-12.137
|
-12.285
|
-12.312
|
-12.486
|
-12.664
|
-12.649
|
-12.56
|
-12.398
|
148
|
|
-11.825
|
-11.949
|
-12.062
|
-12.207
|
-12.238
|
-12.403
|
-12.582
|
-12.565
|
-12.475
|
-12.313
|
150
|
|
-11.753
|
-11.875
|
-11.987
|
-12.13
|
-12.165
|
-12.321
|
-12.501
|
-12.482
|
-12.391
|
-12.228
|
152
|
|
-11.68
|
-11.802
|
-11.912
|
-12.053
|
-12.093
|
-12.239
|
-12.42
|
-12.399
|
-12.307
|
-12.143
|
154
|
|
-11.609
|
-11.729
|
-11.838
|
-11.977
|
-12.02
|
-12.157
|
-12.339
|
-12.317
|
-12.223
|
-12.058
|
156
|
|
-11.537
|
-11.656
|
-11.764
|
-11.9
|
-11.948
|
-12.076
|
-12.258
|
-12.235
|
-12.14
|
-11.974
|
158
|
|
-11.466
|
-11.584
|
-11.69
|
-11.824
|
-11.876
|
-11.995
|
-12.178
|
-12.153
|
-12.057
|
-11.89
|
160
|
|
-11.396
|
-11.512
|
-11.617
|
-11.749
|
-11.804
|
-11.914
|
-12.098
|
-12.071
|
-11.974
|
-11.807
|
162
|
|
-11.325
|
-11.44
|
-11.544
|
-11.673
|
-11.733
|
-11.834
|
-12.019
|
-11.99
|
-11.891
|
-11.723
|
164
|
|
-11.255
|
-11.368
|
-11.471
|
-11.661
|
-11.754
|
-11.939
|
-11.909
|
-11.809
|
-11.64
|
166
|
|
-11.185
|
-11.297
|
-11.398
|
-11.523
|
-11.59
|
-11.674
|
-11.86
|
-11.828
|
-11.727
|
-11.557
|
168
|
|
-11.116
|
-11.226
|
-11.326
|
-11.449
|
-11.519
|
-11.594
|
-11.781
|
-11.747
|
-11.645
|
-11.475
|
170
|
|
-11.045
|
-11.156
|
-11.253
|
-11.374
|
-11.443
|
-11.514
|
-11.702
|
-11.667
|
-11.563
|
-11.392
|
172
|
|
-10.975
|
-11.085
|
-11.181
|
-11.3
|
-11.367
|
-11.435
|
-11.623
|
-11.588
|
-11.482
|
-11.31
|
174
|
|
-10.904
|
-11.015
|
-11.11
|
-11.226
|
-11.291
|
-11.356
|
-11.545
|
-11.508
|
-11.401
|
-11.228
|
176
|
|
-10.834
|
-10.945
|
-11.038
|
-11.152
|
-11.216
|
-11.277
|
-11.466
|
-11.429
|
-11.319
|
-11.146
|
178
|
|
-10.765
|
-10.875
|
-10.966
|
-11.078
|
-11.14
|
-11.198
|
-11.388
|
-11.349
|
-11.238
|
-11.065
|
180
|
|
-10.695
|
-10.805
|
-10.895
|
-11.004
|
-11.065
|
-11.119
|
-11.31
|
-11.27
|
-11.157
|
-10.983
|
182
|
|
-10.625
|
-10.735
|
-10.824
|
-10.931
|
-10.989
|
-11.04
|
-11.232
|
-11.191
|
-11.077
|
-10.902
|
184
|
|
-10.556
|
-10.666
|
-10.752
|
-10.858
|
-10.914
|
-10.962
|
-11.154
|
-11.112
|
-10.996
|
-10.821
|
186
|
|
-10.487
|
-10.597
|
-10.681
|
-10.784
|
-10.839
|
-10.883
|
-11.076
|
-11.033
|
-10.915
|
-10.739
|
188
|
|
-10.417
|
-10.528
|
-10.61
|
-10.711
|
-10.764
|
-10.805
|
-10.998
|
-10.955
|
-10.835
|
-10.658
|
190
|
|
-10.348
|
-10.458
|
-10.539
|
-10.638
|
-10.689
|
-10.726
|
-10.92
|
-10.876
|
-10.754
|
-10.577
|
192
|
|
-10.279
|
-10.389
|
-10.468
|
-10.565
|
-10.614
|
-10.648
|
-10.842
|
-10.797
|
-10.673
|
-10.496
|
194
|
|
-10.21
|
-10.32
|
-10.397
|
-10.492
|
-10.539
|
-10.57
|
-10.764
|
-10.718
|
-10.593
|
-10.415
|
196
|
|
-10.141
|
-10.252
|
-10.326
|
-10.419
|
-10.464
|
-10.491
|
-10.687
|
-10.64
|
-10.512
|
-10.334
|
198
|
|
-10.072
|
-10.183
|
-10.255
|
-10.346
|
-10.389
|
-10.413
|
-10.609
|
-10.561
|
-10.432
|
-10.254
|
200
|
|
-10.003
|
-10.114
|
-10.184
|
-10.273
|
-10.314
|
-10.334
|
-10.531
|
-10.482
|
-10.351
|
-10.173
|
202
|
|
-9.934
|
-10.045
|
-10.114
|
|
-10.239
|
-10.256
|
-10.453
|
-10.403
|
-10.271
|
-10.092
|
204
|
Значения аномальной составляющей
поля и помехи:
|
пр
120
|
пр
122
|
пр
124
|
пр
126
|
пр
128
|
пр
130
|
пр
132
|
пр
134
|
пр
136
|
пр
138
|
пикет
|
|
0.457
|
0.528
|
0.497
|
0.457
|
0.43
|
0.249
|
0.138
|
0.11
|
0.159
|
0.114
|
60
|
|
0.485
|
0.281
|
0.249
|
0.329
|
0.261
|
0.255
|
0.086
|
-0.004
|
0.152
|
-0.103
|
62
|
|
0.324
|
0.126
|
0.081
|
0.243
|
0.153
|
0.271
|
0.065
|
0.003
|
0.166
|
-0.15
|
64
|
|
0.154
|
-0.169
|
-0.075
|
0.298
|
0.296
|
0.188
|
0.054
|
0.061
|
0.071
|
-0.225
|
66
|
|
-0.036
|
-0.522
|
-0.171
|
0.193
|
0.301
|
0.147
|
0.045
|
0.05
|
-0.014
|
-0.309
|
68
|
|
-0.224
|
-0.595
|
-0.305
|
0.1
|
0.286
|
0.196
|
0.086
|
0.079
|
-0.077
|
-0.363
|
70
|
|
-0.091
|
-0.596
|
-0.308
|
-0.033
|
0.283
|
0.157
|
0.138
|
0.13
|
-0.119
|
-0.425
|
72
|
|
0.213
|
-0.357
|
-0.171
|
-0.175
|
0.211
|
0.138
|
0.242
|
0.222
|
-0.01
|
-0.427
|
74
|
|
0.017
|
-0.267
|
-0.112
|
-0.025
|
0.039
|
0.231
|
0.066
|
0.164
|
0.09
|
-0.397
|
76
|
|
-0.277
|
-0.345
|
-0.133
|
0.015
|
-0.071
|
0.104
|
0.031
|
0.168
|
0.041
|
-0.437
|
78
|
|
-0.371
|
-0.343
|
0.048
|
-0.094
|
-0.06
|
0.069
|
-0.023
|
0.212
|
0.112
|
-0.846
|
80
|
|
-0.413
|
-0.41
|
-0.102
|
-0.058
|
0.004
|
-0.056
|
0.208
|
-0.035
|
-0.734
|
82
|
|
-0.445
|
-0.336
|
0.011
|
-0.129
|
-0.115
|
-0.24
|
0.062
|
0.144
|
-0.182
|
-0.721
|
84
|
|
-0.526
|
-0.251
|
-0.086
|
-0.085
|
-0.151
|
-0.063
|
0.011
|
0.071
|
-0.297
|
-0.327
|
86
|
|
-0.596
|
-0.235
|
-0.122
|
0.179
|
-0.116
|
-0.075
|
0.04
|
-0.031
|
-0.482
|
-0.152
|
88
|
|
-0.576
|
-0.088
|
-0.147
|
0.104
|
0.03
|
-0.016
|
0.031
|
-0.213
|
-0.246
|
-0.137
|
90
|
|
-0.614
|
-0.111
|
-0.191
|
0.01
|
0.067
|
-0.016
|
-0.048
|
-0.413
|
0.043
|
-0.161
|
92
|
|
-0.452
|
-0.012
|
-0.135
|
-0.033
|
-0.036
|
-0.056
|
-0.036
|
-0.203
|
0.192
|
-0.054
|
94
|
|
-0.069
|
0.057
|
-0.088
|
-0.125
|
-0.117
|
-0.124
|
-0.123
|
-0.272
|
0.283
|
-0.006
|
96
|
|
-0.195
|
0.067
|
0.13
|
-0.277
|
-0.128
|
-0.122
|
-0.07
|
-0.24
|
0.184
|
0.002
|
98
|
|
-0.141
|
0.098
|
0.199
|
-0.147
|
-0.147
|
-0.059
|
-0.166
|
-0.138
|
0.106
|
0.052
|
100
|
|
-0.105
|
0.029
|
0.238
|
0.182
|
-0.176
|
-0.025
|
-0.251
|
0.166
|
0.098
|
0.063
|
102
|
|
-0.079
|
0.041
|
0.139
|
0.003
|
-0.104
|
-0.211
|
-0.235
|
0.1
|
0.072
|
0.035
|
104
|
|
0.068
|
0.114
|
0.24
|
0.004
|
-0.212
|
-0.226
|
-0.019
|
0.124
|
0.086
|
-0.013
|
106
|
|
0.146
|
0.008
|
0.221
|
0.026
|
-0.278
|
0.01
|
-0.012
|
0.15
|
0
|
0.03
|
108
|
|
0.175
|
0.102
|
0.234
|
-0.101
|
-0.314
|
-0.053
|
0.076
|
0.256
|
0.066
|
-0.016
|
110
|
|
0.164
|
0.237
|
0.157
|
-0.168
|
-0.109
|
-0.066
|
0.125
|
0.262
|
0.021
|
0.359
|
112
|
|
0.114
|
0.253
|
0.131
|
0.095
|
-0.123
|
-0.138
|
0.054
|
0.3
|
0.188
|
0.454
|
114
|
|
0.294
|
0.239
|
0.065
|
0.009
|
-0.146
|
-0.209
|
0.104
|
0.278
|
0.275
|
0.47
|
116
|
|
0.305
|
0.126
|
-0.16
|
0.063
|
-0.029
|
-0.09
|
0.064
|
-0.074
|
0.283
|
0.387
|
118
|
|
0.296
|
0.174
|
0.036
|
-0.162
|
-0.151
|
-0.15
|
-0.115
|
-0.105
|
0.111
|
0.284
|
120
|
|
0.169
|
0.172
|
0.242
|
0.054
|
-0.143
|
-0.229
|
-0.383
|
0.155
|
0.27
|
0.251
|
122
|
|
0.171
|
0.141
|
0.349
|
0.35
|
-0.124
|
-0.348
|
-0.221
|
0.255
|
0.27
|
0.22
|
124
|
|
0.155
|
0.18
|
0.377
|
0.287
|
-0.274
|
-0.596
|
-0.068
|
0.336
|
0.31
|
0.198
|
126
|
|
0.098
|
0.18
|
0.315
|
0.325
|
-0.434
|
-0.994
|
-0.005
|
0.308
|
0.31
|
0.158
|
128
|
|
0.173
|
0.07
|
0.293
|
0.263
|
-0.493
|
-0.841
|
-0.041
|
0.39
|
0.111
|
0.008
|
130
|
|
0.166
|
-0.148
|
0.374
|
0.091
|
-0.659
|
-0.608
|
0.033
|
0.352
|
0.143
|
0.018
|
132
|
|
0.409
|
-0.096
|
0.115
|
0.24
|
-0.385
|
-0.504
|
0.048
|
0.305
|
0.074
|
0.049
|
134
|
|
0.333
|
-0.413
|
0.077
|
0.159
|
-0.191
|
-0.22
|
0.143
|
0.159
|
0.177
|
0.221
|
136
|
|
0.398
|
0.28
|
0.35
|
0.029
|
0.063
|
0.115
|
0.129
|
0.203
|
0.18
|
0.042
|
138
|
|
0.273
|
0.324
|
0.382
|
-0.18
|
0.208
|
0.14
|
0.105
|
0.257
|
0.193
|
0.135
|
140
|
|
0.499
|
0.378
|
0.385
|
-0.22
|
0.284
|
0.076
|
-0.008
|
0.252
|
0.257
|
0.048
|
142
|
|
0.445
|
0.373
|
0.299
|
-0.299
|
0.259
|
-0.028
|
0.139
|
0.057
|
0.171
|
0.071
|
144
|
|
0.551
|
0.163
|
-0.027
|
-0.745
|
-0.111
|
0.186
|
0.083
|
0.135
|
-0.026
|
146
|
|
0.158
|
0.293
|
-0.003
|
-0.005
|
0.192
|
-0.224
|
0.304
|
0.099
|
0.06
|
-0.002
|
148
|
|
0.085
|
0.359
|
-0.068
|
-0.003
|
0.108
|
-0.087
|
0.242
|
0.135
|
0.015
|
-0.027
|
150
|
|
-0.337
|
0.235
|
-0.033
|
0.02
|
0.075
|
0.071
|
0.441
|
0.102
|
0.041
|
-0.022
|
152
|
|
-0.48
|
0.322
|
0.062
|
0.023
|
0.133
|
-0.081
|
0.24
|
0.149
|
0.057
|
0.083
|
154
|
|
-0.621
|
0.309
|
0.058
|
-0.013
|
0.08
|
-0.043
|
0.129
|
0.147
|
0.123
|
0.048
|
156
|
|
-0.763
|
0.136
|
-0.016
|
-0.05
|
0.148
|
-0.074
|
0.048
|
0.195
|
0.01
|
-0.166
|
158
|
|
-0.764
|
-0.096
|
-0.04
|
-0.006
|
0.026
|
-0.035
|
0.058
|
0.063
|
-0.063
|
-0.14
|
160
|
|
-0.754
|
-0.088
|
0.017
|
0.129
|
0.094
|
-0.066
|
-0.032
|
-0.039
|
-0.036
|
-0.183
|
162
|
|
-0.655
|
-0.07
|
0.134
|
-0.037
|
0.033
|
-0.096
|
-0.251
|
-0.17
|
-0.049
|
-0.207
|
164
|
|
-0.735
|
0.078
|
-0.029
|
0.098
|
0.051
|
-0.036
|
-0.001
|
-0.081
|
-0.061
|
-0.16
|
166
|
|
-0.565
|
0.017
|
-0.052
|
-0.077
|
0.07
|
-0.066
|
0.02
|
-0.152
|
-0.073
|
-0.293
|
168
|
|
-0.474
|
0.116
|
-0.024
|
-0.131
|
0.059
|
-0.016
|
0.001
|
-0.133
|
-0.155
|
-0.215
|
170
|
|
-0.515
|
0.026
|
0.043
|
-0.076
|
0.083
|
-0.026
|
0.022
|
-0.163
|
-0.117
|
-0.238
|
172
|
|
-0.425
|
-0.065
|
0.081
|
0.15
|
-0.043
|
-0.115
|
-0.077
|
-0.232
|
-0.258
|
-0.16
|
174
|
|
-0.296
|
0.055
|
0
|
-0.004
|
-0.029
|
-0.174
|
-0.055
|
-0.212
|
-0.119
|
-0.112
|
176
|
|
-0.406
|
-0.025
|
0.038
|
-0.328
|
-0.134
|
-0.243
|
-0.054
|
-0.171
|
-0.091
|
-0.104
|
178
|
|
0.275
|
0.135
|
0.026
|
-0.202
|
-0.21
|
-0.262
|
-0.232
|
-0.171
|
-0.112
|
-0.025
|
180
|
|
0.435
|
0.295
|
0.175
|
-0.206
|
-0.245
|
-0.291
|
-0.26
|
-0.18
|
-0.063
|
-0.067
|
182
|
|
0.465
|
0.155
|
0.074
|
-0.209
|
-0.261
|
-0.35
|
-0.208
|
-0.319
|
-0.093
|
-0.098
|
184
|
|
0.306
|
0.156
|
0.122
|
-0.252
|
-0.176
|
-0.278
|
-0.176
|
-0.258
|
-0.074
|
-0.069
|
186
|
|
0.237
|
-0.013
|
0.031
|
-0.186
|
-0.131
|
-0.287
|
-0.094
|
-0.147
|
-0.065
|
-0.071
|
188
|
|
0.127
|
-0.072
|
0.02
|
-0.039
|
-0.106
|
-0.235
|
-0.122
|
-0.105
|
0.015
|
0.028
|
190
|
|
0.188
|
-0.032
|
0.029
|
-0.052
|
-0.091
|
-0.294
|
-0.12
|
-0.104
|
0.044
|
0.107
|
192
|
|
0.119
|
0.089
|
0.068
|
-0.065
|
0.004
|
-0.122
|
-0.118
|
-0.103
|
-0.037
|
0.136
|
194
|
|
0.06
|
0.01
|
0.117
|
-0.108
|
0.029
|
-0.07
|
-0.086
|
-0.072
|
-0.057
|
0.285
|
196
|
|
0.061
|
-0.058
|
0.166
|
-0.061
|
0.104
|
-0.009
|
0.037
|
-0.06
|
0.092
|
0.344
|
198
|
|
0.032
|
0.113
|
0.135
|
0.006
|
0.179
|
-0.057
|
0.129
|
0.041
|
0.432
|
0.314
|
200
|
|
-0.017
|
0.094
|
0.294
|
0.313
|
0.214
|
0.174
|
0.251
|
0.402
|
0.251
|
0.203
|
202
|
|
-0.046
|
0.015
|
-0.006
|
|
0.219
|
0.256
|
0.263
|
0.393
|
0.291
|
0.122
|
204
|
Полученные значения показывают, что 98% от
общего значения поля занимает его региональная составляющая.
Заключение
В данной курсовой работе была проведена
обработка измеренного сигнала гравитационного поля на участке, выделена его
локальная составляющая, а так же были получены координаты пикетов по каждому
профилю. Фильтрация помех была выполнена следующими видами фильтров: фильтром
аппроксимации - для выделения региональной составляющей поля и медианным - для
выделения локальной составляющей поля. Аппроксимация региональной компоненты
поля произведена многочленом 3-ой степени. Была построена физико-геологическая
модель исследуемого участка.
Список используемой литературы
1. Серков.В.А.,
Курс лекций по дисциплине "Математическая обработка результатов
геофизического эксперимента"- УГГУ, 2010-2011 гг.
2. Кошелев
И.Н., Гравитационная и магнитная разведка. Практикум.-К.: Вища шк. Головное
изд-во, 1984.