Тригонометрические уравнения

  • Вид работы:
    Дипломная (ВКР)
  • Предмет:
    Математика
  • Язык:
    Русский
    ,
    Формат файла:
    MS Word
    182,88 kb
  • Опубликовано:
    2011-10-19
Вы можете узнать стоимость помощи в написании студенческой работы.
Помощь в написании работы, которую точно примут!

Тригонометрические уравнения

СОДЕРЖАНИЕ

Введение

Глава I. Роль тригонометрии в школьном курсе математики

История развития тригонометрии

Общие вопросы изучения тригонометрических функций в школьном курсе

Формирование понятия «тригонометрические уравнения»

Основные понятия и формулы тригонометрии

Решение тригонометрических уравнений

Рекомендации по решению тригонометрических уравнений

Глава II. Методы решения тригонометрических уравнений

Алгебраический метод

Разложение на множители

Приведение к однородному уравнению

Переход к половинному углу

Введение вспомогательного угла

Преобразование произведения в сумму

Универсальная подстановка

Уравнения, содержащие модуль функции и корень четной степени

Заключение

Литература

Приложение

ВВЕДЕНИЕ

В древности тригонометрия возникла в связи с потребностями астрономии, землемерия и строительного дела, то есть носила чисто геометрический характер и представляла главным образом «исчисление хорд».

В настоящее время изучению тригонометрических функций и тригонометрических уравнений уделяется большое внимание в школьном курсе алгебры и начал анализа.

Кроме того, большие трудности при изучении темы «Тригонометрические уравнения» в школьном курсе возникают из-за несоответствия между достаточно большим объемом содержания и относительно небольшим количеством часов, выделенным на изучение данной темы.

Решение тригонометрического уравнения состоит из двух этапов: преобразование уравнения для получения его простейшего вида и решение полученного простейшего тригонометрического уравнения. Существует семь основных методов решения тригонометрических уравнений.

Объектом исследования является процесс изучения тригонометрии в курсе старшей школы.

Предмет исследования - изучение тригонометрических уравнений в курсе алгебры и начала анализа.

Таким образом, основной целью написания данной курсовой работы является изучение тригонометрических уравнений в курсе алгебры и математического анализа.

В соответствии с целью, объектом и предметом исследования определены следующие задачи:

1)      изучить историю тригонометрии;

2)      рассмотреть общие вопросы изучения тригонометрических функций в школьном курсе;

3)      рассмотреть формирование понятия «тригонометрические уравнения»;

4)      охарактеризовать основные понятия и формулы тригонометрии;

)        дать понятие решению тригонометрических уравнений;

)        рассмотреть рекомендации по решению тригонометрических уравнений;

7)      изучить методы решения тригонометрических уравнений.

Структура курсовой работы определена логикой и последовательностью поставленных задач. Курсовая работа состоит из введения, двух глав, заключения, списка литературы из 22 источников и приложения. Объем работы - 29 листов печатного текста.

 

ГЛАВА I. Роль тригонометрии в школьном курсе математики

.1 История развития тригонометрии

Термин «тригонометрия» дословно означает «измерение треугольников».

Понятие «тригонометрия» ввел в употребление в 1595 году немецкий математик и богослов Варфоломей Питиск, автор учебника по тригонометрии и тригонометрических таблиц.

В тригонометрии выделяют три вида соотношений

-   между элементами плоского треугольника (тригонометрия на плоскости);

-       между элементами сферического треугольника, то есть фигуры, высекаемой на сфере тремя плоскостями, проходящими через её центр (сферическая геометрия);

-       между самими тригонометрическими функциями.

 

Потребность в решении треугольников раньше всего возникла в астрономии.

Древние наблюдали за движением небесных светил. Ученые обрабатывали данные измерений, чтобы вести календарь и правильно определять время начала сева и сбора урожая, даты религиозных праздников

Но и на Земле не всегда удавалось непосредственно определить расстояние между какими-то пунктами. И тогда вновь прибегали к косвенным измерениям. Например, вычисляли высоту дерева, сравнивая длину его тени с длиной тени от какого-нибудь шеста, высота которого была известна.

Подобные задачи сводятся к анализу треугольника, в котором одни его элементы выражают через другие. Этим и занимается тригонометрия

Поскольку звезды и планеты представлялись древним точками на небесной сфере, то сначала стала развиваться именно сферическая тригонометрия. Её считали разделом астрономии.

Первые открытые сведения по тригонометрии сохранились на клинописных табличках Древнего Вавилона. Именно от астрономов Междуречья мы унаследовали систему измерения углов в градусах, минутах и секундах, основанную на шестеричной или шестидесятеричной системе счисления.

«Альмагест» (II век) - знаменитое сочинение в 13 книгах греческого астронома и математика Клавдия Птолемея.

В «Альмагесте» автор приводит таблицу длин хорд окружности радиуса в 60 единиц, вычисленных с шагом 0,5° с точностью до единицы и объясняет, как таблица составлялась.

Труд Птолемея несколько веков служил введением в тригонометрию для астрономов. Во II веке до н. э. Астроном Гиппарх из Никеи составил таблицу для определения соотношений между элементами треугольников. Гиппарх подсчитал в круге заданного радиуса длины хорд, отвечающих всем углам от 0º до 180º, кратным 7,5º. По существу, это таблица синусов.

Если греки по углам вычисляли хорды, то индийские астрономы( IV- V в.в.) перешли к полухордам двойной дуги, то есть в точности к линиям синуса. Они пользовались и линиями косинуса - точнее, не его самого, а «обращенного» синуса.

К концу X века ученые исламского мира оперировали наряду с синусом и косинусом четырьмя другими функциями - тангенсом, котангенсом, секансом и косекансом. Они открыли и доказали несколько важных теорем плоской и сферической тригонометрии; использовали окружность единичного радиуса (что позволило толковать тригонометрические функции в современном стиле).

Арабские математики составили исключительно точные таблицы синусов и тангенсов с шагом 1’ и точностью до

Очень важной прикладной задачей была и такая: научиться определять направление на Мекку для пяти ежедневных молитв, где бы не находился мусульманин.

Особенно большое влияние на развитие тригонометрии оказал «Трактат о полном четырехугольнике» астронома Насиреддина ат-Туси (1201-1274). Это было первое в мире сочинение, в котором тригонометрия трактовалась как самостоятельная область математики.

Открытия ученых исламского мира долгое время оставались неизвестными европейским ученым, и тангенсы заново были открыты в XIV в. сначала английским ученым Т. Бравердином, а позднее немецким астрономом Региомонтаном (Иоганом Мюллером 1436-1476). Региомонтан составил обширные таблицы синусов (через 1 минуту с точностью до седьмой значащей цифры)

За таблицами Региомонтана последовал ряд других, еще более подробных. Друг Коперника Ретикус (1514-1576) вместе с несколькими помощниками в течение 30 лет работал над таблицами, законченными и изданными в 1596 году его учеником Ото. Углы шли через 10” ,синусы имели 15 верных цифр.

Дальнейшее развитие тригонометрии шло по пути накопления и систематизации формул, уточнения основных тождеств, становления терминологии и обозначений.

В настоящее время тригонометрические функции лежат в основе специального математического аппарата, так называемого гармонического анализа, при помощи которого изучаются различного рода периодические процессы: колебательные движения, распространение волн, некоторые атмосферные явления и пр.

.2 Общие вопросы изучения тригонометрических функций в школьном курсе

Основными целями изучения тригонометрических функций числового аргумента являются:

)ознакомление учащихся с новым видом трансцендентных функций;

)развитие навыков вычислительной практики (работа с трансцендентными функциями зачастую требует громоздких вычислений);

)установление межпредметных связей с практикой (изучение колебаний маятника, электрического тока, волновой теории света невозможны без знаний о тригонометрических функциях);

)развитие логического мышления (обилие формул порождает необходимость преобразований не алгебраического характера, которые носят исследовательский характер).

В изучении тригонометрических функций можно выделить следующие этапы:. Первое знакомство с тригонометрическими функциями углового аргумента в геометрии. Значение аргумента рассматривается в промежутке (0о;90о). На этом этапе учащиеся узнают, что sin, сos, tg и ctg угла зависят от его градусной меры, знакомятся с табличными значениями, основным тригонометрическим тождеством и некоторыми формулами приведения.. Обобщение понятий синуса, косинуса, тангенса и котангенса для углов (0о;180о). На этом этапе рассматривается взаимосвязь тригонометрических функций и координат точки на плоскости, доказываются теоремы синусов и косинусов, рассматривается вопрос решения треугольников с помощью тригонометрических соотношений.. Введение понятий тригонометрических функций числового аргумента.. Систематизация и расширение знаний о тригонометрических функциях числа, рассмотрение графиков функций, проведение исследования, в том числе и с помощью производной.

Отметим, что существует несколько способов определения тригонометрических функций. Их можно подразделить на две группы: аналитические и геометрические. К аналитическим способам относят определение функции у = sin х как решения дифференциального уравнения f ''(х)=-c*f(х) или как сумму степенного ряда sin х = х - х3 /3!+ х5 /5! - …

К геометрическим способам относят определение тригонометрических функций на основе проекций и координат радиус-вектора, определение через соотношения сторон прямоугольного треугольника и определения с помощью числовой окружности. В школьном курсе предпочтение отдается геометрическим способам в силу их простоты и наглядности.

Отметим, что изучение тригонометрических функций в школьном курсе имеет некоторые особенности. Во-первых, до изучения тригонометрических функций, рассматривались функции вида у=f(x), где х и у - некоторые действительные числа, здесь же - углу ставится в соответствие число, что является несколько непривычным для учащихся. Кроме того, раньше все функции задавались формулами, в которых явным образом был указан порядок действий над значениями аргумента для получения значений функции. Теперь же учащиеся сталкиваются с функциями, заданными таблично.

Таким образом, изучая тригонометрические функции, учащиеся лучше начинают разбираться в сущности самого понятия функции. Они начинают осознавать, что функцией может быть зависимость между любыми множествами объектов, даже если они имеют различную природу (лишь бы каждому значению аргумента соответствовало единственное значение функции).

.3 Формирование понятия «тригонометрические уравнения»

Тригонометрические уравнения - обязательная тема любого экзамена по математике. Основные приемы их решения - замена переменной и разложение на множители. Для успешного решения тригонометрических уравнений нужно хорошо знать тригонометрические формулы, причем не только основные, но и дополнительные (преобразование суммы тригонометрических функций в произведение и произведения в сумму, формулы понижения степени и другие).

Разумеется, вы должны четко знать стандартные формулы корней простейших тригонометрических уравнений (полезно помнить или уметь получать с помощью тригонометрической окружности упрощенные формулы для корней уравнений


Определение 1. Тригонометрическим уравнением называется уравнение, содержащее переменную под знаком тригонометрических функций.

Простейшие тригонометрические уравнения - это уравнения вида

.

В таких уравнениях переменная находится под знаком тригонометрической функции, а - данное число.

Каждое из таких уравнений решается по формулам, которые следует знать. Вот эти формулы:

 

 


Частные случаи





При решении тригонометрических уравнений все задачи сводятся к тому, чтобы привести к такому виду, чтобы слева стояла элементарная тригонометрическая функция, а справа - число. После того, как это будет достигнуто, следует найти значение аргумента функции, используя одну из основных формул выражения аргумента через обратные тригонометрические функции.

.4 Основные понятия и формулы тригонометрии

В тригонометрии угол рассматривается как мера вращения, при котором один луч, вращаясь вокруг вершины угла, переходит в положение другого луча. При этом первый луч называют начальной стороной угла, а конечное положение второго (подвижного) луча называют конечной стороной угла.

Угол считается положительным, если переход от его начальной стороны к конечной совершается вращением подвижного луча против часовой стрелки, и отрицательным, если такой переход совершается вращением по часовой стрелке.

Единичный круг - круг с центром в начале координат и радиусом, равным по длине единице. Окружность этого круга называется единичной окружностью.

Координатные оси делят единичный круг и его окружность на четыре равные части, которые называются четвертями, или квадрантами.

Синус - отношение ординаты конца подвижного радиуса к длине этого радиуса.

Косинус - отношение абсциссы конца подвижного радиуса к длине этого радиуса.

Тангенс - отношение ординаты конца подвижного радиуса к его абсциссе.

Котангенс - отношение абсциссы конца подвижного радиуса к его ординате.

Секанс - отношение длины подвижного радиуса к абсциссе его конца.

Косеканс - отношение длины подвижного радиуса к ординате его конца.

Линия тангенсов - касательная к единичной окружности в конце горизонтального диаметра.

Линия котангенсов - касательная к единичной окружности в конце вертикального диаметра.

Синус и косинус угла равны соответственно ординате и абсциссе конца подвижного радиуса единичной окружности.

Если продолжить единичный радиус до пересечения с линией тангенсов, то тангенс угла равен ординате соответствующей точки на линии котангенсов.

Если продолжить единичный радиус до пересечения с линией котангенсов, то котангенс угла равен абсциссе соответствующей точки на линии котангенсов.

Основные тригонометрические тождества

2 α + cos 2 α = 1


Тождественные преобразования тригонометрических выражений

Функция y = f (x) называется четной, если значение y не изменяется при замене x на -x, т.е. функция y = f (x) называется четной, если f (-x) = f (x)

Функции cos α, sec α, - четные функции, а sin α, tg α, ctg α cosec α - нечетные.

Теоремы сложения: позволяют, зная значения тригонометрических функций двух аргументов α и β, вычислять значения тригонометрических функций от суммы (α + β) и разности (α - β) этих аргументов.

Формулы сложения

sin (α + β) = sin α ∙ cos β + cos α ∙ sin β (α - β) = sin α ∙ cos β - cos α ∙ sin β (α + β) = cos α ∙ cos β - sin α ∙ sin β (α - β) = cos α ∙ cos β + sin α ∙ sin β

 


Формулы приведения

Формулы, при помощи которых тригонометрические функции произвольного угла можно выразить через тригонометрические функции острого угла, называются формулами приведения.


sin 2α = 2 sin α ∙ cos α

cos 2α = cos 2 α - sin 2 α

2 cos 2α = 1 + cos 2 α


Формулы преобразования произведения тригонометрических функций в сумму

2 cos α ∙ cos β = cos (α - β) + cos (α + β)

sin α ∙ sin β = cos (α - β) - cos (α + β)

sin α ∙ cos β = sin (α + β) + sin (α - β)

.5 Решение тригонометрических уравнений

Поскольку каждому значению тригонометрической функции соответствует неограниченное множество углов, то тригонометрическое уравнение, если не сделано каких-либо оговорок, имеет бесчисленное множество решений.

Самый общий метод решения тригонометрических уравнений состоит в том, что различные тригонометрические функции, входящие в уравнение, выражают через какую-нибудь одну из них и, принимая функцию за неизвестное, решают полученное алгебраическое уравнение, в результате чего приходят к одному из так называемых простейших тригонометрических уравнений вида:

sin x = a x = b

tg x = c x = d

где a, b, c, d - числа. a - угол, содержащийся в промежутке от - π/2 до π/2, синус которого равен a. b - угол, содержащийся в промежутке от 0 до π, косинус которого равен b. c - угол, содержащийся в промежутке от - π/2 до π/2, тангенс которого равен c. d - угол, содержащийся в промежутке от 0 до π, котангенс которого равен d.

Решение произвольного тригонометрического уравнения, как правило, сводится к решению одного или нескольких простейших уравнений. Одной из основных идей решения является идея, общая для всех типов уравнений,- переход от одного уравнения к уравнению-следствию или равносильному уравнению (или их системе либо совокупности), от него к следующему и т. д., пока не придем к простейшим уравнениям, из которых получаем решение исходного уравнения. При переходе используются как общие методы (пригодные для любого типа уравнений), так и частные, основанные на использовании формул тождественных преобразований тригонометрических выражений.

.6 Рекомендации по решению тригонометрических уравнений

1.       Если аргументы функций одинаковые, попробовать получить одинаковые функции, использовав формулы без изменения аргументов.

2.       Если аргументы функций отличаются в два раза, попробовать получить одинаковые аргументы, использовав формулы двойного аргумента.

.        Если аргументы функций отличаются в четыре раза, попробовать их привести к промежуточному двойному аргументу.

.        Если есть функции одного аргумента, степени свыше первой, попробовать понизить степень, используя формулы понижения степени или формулы сокращенного умножения. Например,


5.      
Если есть сумма одноименных функций первой степени с разными аргументами (вне случаев 2,3), попробовать преобразовать сумму в произведение для появления общего множителя.

6.       Если есть сумма разноимённых функций первой степени с разными аргументами (вне случаев 2, 3), попробовать использовать формулы приведения, получить затем случай 5.

.        Если в уравнении есть произведение косинусов (синусов) различных аргументов, попробовать свести его к формуле синус двойного аргумента, умножив и разделив это выражение на синус (косинус) подходящего аргумента:


8.       Если в уравнении есть числовое слагаемое (множитель), то его можно представить в виде значений функции угла. Например:

тригонометрия функция уравнение

ГЛАВА II. Методы решения тригонометрических уравнений

2.1 Алгебраический метод

Этот метод нам хорошо известен из алгебры (метод замены переменной и подстановки).

Пример 1. Решить уравнение


2.2 Разложение на множители

Приводим уравнение к виду f(x)=0 и представляем левую часть уравнения в виде произведения f1(x)*f2(x)*...* fm(x). Тогда данное уравнение приводится к совокупности уравнений: f1(x)=0, f2(x)=0,..., fm(x)=0. Следует помнить, что эта совокупность не всегда равносильна исходному уравнению и что здесь надо руководствоваться правилом: произведение равно нулю тогда и только тогда, когда один из множителей равен нулю, а все остальные при этом имеют смысл.

Этот метод рассмотрим на примерах.

Пример 2. Решить уравнение: sin x + cos x = 1 .

Решение. Перенесём все члены уравнения влево:

x + cos x - 1 = 0 ,

преобразуем и разложим на множители выражение в левой части уравнения:

1) . sin() = 0, 2). cos() - sin() = 0,

 = , tg() = 1,

 = 2  = arctg 1 + ,

 = ,


Пример 3. Решить уравнение: cos 2 x + sin x · cos x = 1.

Решение.

cos 2 x + sin x · cos x - sin 2 x - cos 2 x = 0 ,x · cos x - sin 2 x = 0 ,x · ( cos x - sin x ) = 0 ,


Пример 4. Решить уравнение: cos 2x - cos 8x + cos 6x = 1.

Решение.

cos 2x + cos 6x = 1 + cos 8x ,

cos 4x cos 2x = 2 cos ² 4x ,4x · ( cos 2x - cos 4x ) = 0 ,4x · 2 sin 3x · sin x = 0 ,4x = 0 , 2). sin 3x = 0 , 3). sin x = 0 ,


.3 Приведение к однородному уравнению

Уравнение называется однородным относительно sin и cos, если все его члены одной и той же степени относительно sin и cos одного и того же угла. Чтобы решить однородное уравнение, надо:

а) перенести все его члены в левую часть;

б) вынести все общие множители за скобки;

в) приравнять все множители и скобки нулю;

г) скобки, приравненные нулю, дают однородное уравнение меньшей степени, которое следует разделить на

cos ( или sin ) в старшей степени;

д) решить полученное алгебраическое уравнение относительно tg .

Пример 5. Решить уравнение: 3sin 2 x + 4 sin x · cos x + 5 cos 2 x = 2.

Решение.

3sin 2 x + 4 sin x · cos x + 5 cos 2 x = 2sin 2 x + 2cos 2 x ,2 x + 4 sin x · cos x + 3 cos 2 x = 0 ,2 x + 4 tg x + 3 = 0 , отсюда y 2 + 4y +3 = 0 ,

корни этого уравнения: y1=1, y2=3, отсюда

1) tg x = -1, 2) tg x = -3,


.4 Переход к половинному углу

Пример 6. Решить уравнение: 3 sin x - 5 cos x = 7.

Решение.

6 sin ( x / 2 ) · cos ( x / 2 ) - 5 cos ² ( x / 2 ) + 5 sin ² ( x / 2 ) =

= 7 sin ² ( x / 2 ) + 7 cos ² ( x / 2 ) ,

sin ² ( x / 2 ) - 6 sin ( x / 2 ) · cos ( x / 2 ) + 12 cos ² ( x / 2 ) = 0 ,

tg ² ( x / 2 ) - 3 tg ( x / 2 ) + 6 = 0 ,

.5 Введение вспомогательного угла

Рассмотрим уравнение вида:

a sin x + b cos x = c,

где a, b, c - коэффициенты; x - неизвестное.


Теперь коэффициенты уравнения обладают свойствами синуса и косинуса, а именно: модуль (абсолютное значение ) каждого из них не больше 1, а сумма их квадратов равна 1. Тогда можно обозначить их соответственно как cos и sin ( здесь - так называемый вспомогательный угол ), и наше уравнение принимает вид:


Пример 7. Решить уравнение:


.6 Преобразование произведения в сумму

Здесь используются соответствующие формулы.

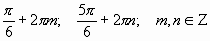
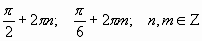
Пример 8. Решить уравнение: 2 sin x · sin 3x = cos 4x.

Решение. Преобразуем левую часть в сумму:

cos 4x - cos 8x = cos 4x ,8x = 0 ,

x = π/ 2 + πk , = π/ 16 + πk / 8 .

2.7 Универсальная подстановка

Как известно, метод замены переменной (метод подстановки) удобен в случае, если уравнение можно представить в виде F(j(x)) = 0, где F и j - некоторые функции. Метод заключается в том, что вводят новую переменную t = j(x). Тогда исходное уравнение принимает вид: F(t) = 0. Находим корни последнего уравнения и для каждого его корня to решаем уравнение j(x) = to. В результате получаем корни исходного уравнения.

Рассмотрим этот метод на примере.

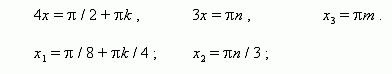
Пример 9. Решить уравнение: 3 sin x - 4 cos x = 3.


Таким образом, решение даёт только первый случай.

.8 Уравнения, содержащие модуль функции и корень четной степени

Пример 10.

 


При отборе корней нет надобности решать неравенство, достаточно вынести корни на тригонометрический круг и выбрать нужные.

Ответ:

Пример 11.


Решение: Учитывая ОДЗ функций, получим:


Ответ:

Пример 12.


Решение: т.к.


Ответ:

ЗАКЛЮЧЕНИЕ

Важным аспектом является изучение тригонометрии - как автономной ветви математики. Учение о тригонометрических функциях имеет широкое применение в практике, при изучении множества физических процессов, в промышленности, и даже в медицине.

В последние годы тригонометрический материал стал постепенно «выжиматься» из основной и старшей школы. Одновременно с этим он традиционно популярен при проведении всевозможных конкурсов, олимпиад, отбором математически одарённых учащихся, а уж на ЕГЭ он имеет место «от А - до С», поскольку чрезвычайно удобен для усложнения.

Другими словами, тригонометрический материал на практике всё более обретает характер селективного инструмента отбора. Соответственно возрастает потребность в хорошей организации обучения этому разделу.

Тем самым анализ учителем возможных подходов к планированию и организации изучения тригонометрии в школе, распределению материала и выбору его сложности с учётом вида школы, предпочтений самого учителя и желаний и способностей учащихся становится чрезвычайно актуальным.

Изучение тригонометрических уравнений позволяет учащимся овладеть конкретными математическими знаниями, необходимыми для применения в практической деятельности, для изучения смежных дисциплин, развития умственных способностей, умение извлекать учебную информацию на основе сопоставительного анализа графиков, самостоятельно выполнять различные творческие работы.

Учащихся демонстрируют теоретические и практические знания о видах тригонометрических уравнений; умение решения разными методами тригонометрические уравнения. Умеют использовать элементы причинно-следственного и структурно-функционального анализа.

Учащиеся могут свободно пользоваться знаниями о видах тригонометрических уравнений; умение решения разными методами тригонометрические уравнения. Владеют навыками контроля и оценки своей деятельности, умением предвидеть возможные последствия своих действий.

В проделанной мною работе была изучена история тригонометрии, рассмотрены общие вопросы изучения тригонометрических функций в школьном курсе, формирование понятия «тригонометрических уравнений», охарактеризованы основные понятия формул тригонометрии, дано понятие решения тригонометрических уравнений, рассмотрены рекомендации по решению тригонометрических уравнений, а так же методы решения тригонометрических уравнений.

ЛИТЕРАТУРА

1.          Алексеев А. Тригонометрические подстановки. // Квант. - 1995. - №2. -с. 40 - 42.

2.       Бескин Н.М. Вопросы тригонометрии и ее преподавания. - М.: Учпедгиз, 1950.

.        Гилемханов Р.Г. О преподавании тригонометрии в 10 классе по курсу В //Математика в школе. 2001-№ 6 -с. 26-28.

.        Горнштейн П.И. Тригонометрия помогает алгебре. // Квант. 1989-№5 - с. 68-70.

.        Зарецкий В.И. Изучение тригонометрических функций в средней школе / Зарецкий В.И. - Минск: Народная асвета, 1970.

.        Калинин С.И. Задачи и упражнения по началам математического анализа. - Киров: ВГПУ, 1997.

.        Крамор В.С. Тригонометрические функции. - М.: Просвещение, 1979.

.        Мишин В.И. Методика преподавания математики в средней школе (Частная методика). - М.: Просвещение, 1987.

.        Мордкович А.Г. Методические проблемы изучения тригонометрии в общеобразовательной. //Математика в школе. 2002 - № 6 - с.32-38.

.        Панчишкин А.А. Тригонометрические функции в задачах - М.: Наука, 1986.

.        Раббот Ж. Тригонометрические уравнения// Квант. 1972- №5- с. 36-38.

.        Синакевич С.В. Тригонометрические уравнения - М.: Учпедгиз, 1959.

.        Цукарь А.Я. Упражнения практического характера по тригонометрии //Математика в школе. 1993-№3- с 12-15.

.        Шаталов В.Ф. Методические рекомендации для работы с опорными сигналами по тригонометрии. - М.: Новая школа, 1993.

15.         Выгодский М.Я. Справочник по элементарной математике. - М.: Наука, 1978.

16.     Письменный Д.Т. Математика для старшеклассников. М.: АЙРИС РОЛЬФ, 1996.

18.         Ярахмедов Г.Я. Избранные вопросы школьной математики. - Новосибирск: Изд-во НГПУ, 1983.

19.         Алимов Ш.А. Алгебра и начала анализа 10-11. Учебник - М.: Просвещение, 2001.

20.     Башмаков Алгебра и начала анализа 10-11. Учебник - М.: Просвещение, 1992.

.        Колмогоров А.Н. Алгебра и начала анализа 10-11. Учебник - М.: Просвещение, 1999.

.        Мордкович А.Г. Алгебра и начала анализа 10-11 // Учебник- М.: Мнемозина, 2003.

Приложение

Формулы зависимости между функциями одного и того же аргумента.

1.

4.

2.

5.

3.

6.


Формулы сложения.


Формулы двойных и половинных углов.

1.

5.

2.

6.

3.

7.

4.

8.


Формулы преобразования суммы в произведение.

 



Формулы преобразования произведения в сумму.


Формулы приведения.

j

j

-a

a

a

a

-a

-a

-a

a

j

a

a

-a

-a

-a

-a

a

a

a

j

-a

a

-a

-a

a

a

-a

-a

a

j

-a

a

-a

-a

a

a

-a

-a

a



Не нашли материал для своей работы?
Поможем написать уникальную работу
Без плагиата!
Без нейросетей!