Эксплуатация компрессорного цеха ГТК 25
КУРСОВАЯ РАБОТА
По
дисциплине:
"Эксплуатация
и ремонт оборудования компрессорных станций"
На
тему:
" Эксплуатация компрессорного цеха ГТК 25"
Введение
Компрессорные станции магистральных
газопроводов предназначены для компримирования транспортируемого газа до
давления, обеспечивающего его подачу от источников газа до
газораспределительных станций потребителей.
Основными параметрами КС являются
количество транспортируемого газа, давление и температура газа на входе и
выходе станции.
По технологическому принципу КС
делятся на головные, размещаемые обычно в непосредственной близости от
месторождений газа, и на промежуточные, располагаемые по трассе газопровода, в
соответствии с его гидравлическим расчетом, на площадках, выбранных в процессе
изысканий. На ГКС газ не только компримируется, но и подготавливается для
транспорта.
Для обеспечения требований,
предъявляемых к транспортируемому газу, на головных станциях газопровода
производится сепарация, осушка, очистка, удаление сероводорода и углекислоты,
охлаждение и замер количества газа. На промежуточных КС обязательно
производится очистка газа от механических примесей и, при необходимости,
охлаждение газа.
По типу применяемых на них
газоперекачивающих агрегатов КС разделяют на:
станции, оборудованные поршневыми
компрессорами с газомоторным приводом (газомотокомпрессорами);
станции, оборудованные центробежными
нагнетателями с приводом от электродвигателей.
Бесперебойная работа КС
обеспечивается согласованным функционированием всего комплекса сооружений,
который по степени значимости может быть разделен на объекты основного и
вспомогательного назначения.
К основным объектам КС относятся:
площадки приема и пуска очистных устройств; установки очистки газа от
механических примесей; компрессорный цех; коллекторы газа высокого давления;
узел охлаждения газа.
1. Газотурбинная
установка ГТН-25, краткая техническая характеристика ГТК-25, устройство ГТУ и
нагнетателя
Газотурбинная установка ГТН-25,
входящая в состав ГПА, предназначена для сжатия и транспортирования газа по
магистральным газопроводам и служит приводом центробежного нагнетателя
природного газа.
ГТН-25 является блочным
автоматизированным агрегатом промышленного типа для бесподвальной установки на
компрессорной станции (КС). ГТУ выполнена по простому циклу, трехвальной, с
прямоточным движением рабочего тела и осевым входом в компрессор. Выхлоп
продуктов сгорания в зависимости от конкретных условий компоновки КС может
осуществляться вверх или в сторону. Агрегат размещается в легкосборном индивидуальном
здании (укрытии) с разделительной стенкой между помещениями ГТУ и нагнетателя.
Краткая техническая характеристика
ГТК-25ИР
Газоперекачивающий агрегат ГТК-25ИР
состоит из газотурбинной установки MS 5002 и центробежного нагнетателя типа PCL 804 - 2/36 B.
Основные параметры ГТК-25ИР:
·
мощность на муфте нагнетателя (при нормальных условиях по ГОСТ
20440-75), МВт 23,8;
·
температура продуктов сгорания на выходе из силовой турбины, °С 500;
·
частота вращения вала турбины
низкого давления, об/мин 4670;
·
частота вращения вала турбины высокого давления, об/мин 5100;
·
частота вращения вала силовой турбины, об/мин 4670.
Основные параметры нагнетателя PCL
804-2/36 B:
·
отношение давлений (степень сжатия) 1,45;
·
мощность потребляемая (на муфте), МВт 21,6
·
сжимаемая среда природный газ;
·
мощность (объем), м3/ч 32604;
·
мощность (вес), кг/с 355,6.
Условия на стороне всасывания:
·
молекулярный вес 16,3;
·
давление, МПа (кгс/см2) 5,28
(52,8);
·
температура, єС. 15.
Условия на стороне нагнетания:
·
давление, МПа (кгс/см2) 7,6
(76);
·
температура, єС. 46;
·
мощность, кВт 21580;
·
скорость, об/ мин 4670;
·
направление вращения (глядя со стороны привода) против
часовой стрелки.
Оборудование, входящее в состав ГТУ:
блок турбогруппы;
система маслоснабжения;
система автоматического
регулирования (ССАР);
установка воздушных
маслоохладителей;
система КИП и А;
трубопроводы;
КУВ;
Устройство и работа ГТУ
Газотурбинная установка состоит из:
двух компрессоров: компрессор
низкого давления (КНД) и компрессор
высокого давления (КВД);
трех турбин: ТВД, ТНД и СТ.
Компрессор низкого давления,
приводимый турбиной низкого давления и компрессор высокого давления, приводимый
турбиной высокого давления, входят в блок газогенератора и служат для
производства рабочего тела для силовой турбины.
Силовая турбина вместе с диффузором
и выхлопным патрубком, образующие блок силовой турбины, являются приводом
центробежного нагнетателя (ЦН).
ГТУ выполнена в общем корпусе
цилиндрической формы, имеющем горизонтальный и ряд вертикальных разъемов.
Корпус турбокомпрессора состоит из
корпусов компрессоров и турбин, в которых расположены корпуса подшипников со
вкладышами для установки роторов КНД, ТНД, КВД-ТВД, СТ. Ротор ТНД проходит
внутри ротора КВД-ТВД.
Для проворота ротора КВД-ТВД при
пуске, служит валоповоротное устройство, а для проворота КНД-ТНД -
мотор-редуктор.
Пуск агрегата осуществляется при
помощи пускового турбодетандера, работающего на перекачиваемом газе.
ГТУ работает по схеме открытого
цикла. Воздух из атмосферы через КУВ засасывается и последовательно сжимается
сначала в КНД, а затем в КВД. Далее воздух попадает в камеру сгорания, куда
подается и топливо. Продукты сгорания направляются на ТВД и ТНД, которые
приводят КВД и КНД, затем поступают на СТ, вращающую нагнетатель.
После турбины продукты сгорания
выбрасываются и атмосферу через дымовую трубу. ГТУ позволяет производить
установку утилизатора тепла за турбиной с соответствующим уменьшением полезной
мощности.
Общий корпус ГТУ состоит из
всасывающей части КНД, корпуса КНД, корпуса блока среднеосевых компрессоров,
корпуса КВД и корпуса турбины, соединенных между собой по вертикальным фланцам.
Центробежный нагнетатель
Центробежный нагнетатель (ЦН) типа
650 представляет собой полнонапорную двухступенчатую центробежную машину,
предназначенную для параллельной схемы работы на КС. Вместе со вспомогательным
оборудованием и первичными датчиками САУ нагнетатель смонтирован на раме и
представляет собой транспортно-монтажный блок.
ЦН служит для сжатия природного газа
и его перекачки по магистральным газопроводам.
Корпус ЦН изготавливается из
высококачественных конструкционных сталей.
Корпус сварно-литой, с торцевых
сторон закрывающийся крышками, которые крепятся к корпусу шпильками.
Ротор ЦН - сборный, имеет кованный
вал и кованное основание колес, на которых фрезеруются спирального типа
лопатки. Лопатки закрываются покрышками, крепящимися заклепками или сваркой.
Все колеса надежно с натягом насажены на валы и крепятся шпонками. Каждый ротор
состоит из необходимого числа колес, шеек под опорные подшипники, упорного
диска под упорный подшипник, диска реле осевого сдвига, специальных уступов и
буртов под уплотнения и полумуфты для связи с ротором СТ.
Вся ходовая часть машины, включая
ротор, неподвижные элементы проточной части, уплотнения и подшипники образуют
единый узел-пакет, который может быть легко заменен в процессе эксплуатации.
2. Последовательность
пуска агрегата ГТК-25 ИР
Проверить, находится ли все автоматы
щитов НВ1, НВ2 и ДВ в положении «Включено». При подаче питания на панель щита
управления «Спидтроник» необходимо вернуть некоторые индикаторы неисправности и
оповестительное устройство в исходное состояние (превышение оборотов,
температуры, 14Х/РВ и т.д.).
Система автоматики контролирует
выполнение предпусковых условий:
отсутствует сигнал аварийного
останова от системы телемеханики;
отсутствует опасная концентрация
газа в блок - боксе турбины и в укрытии агрегата;
нет пожара в укрытии и блок - боксах
агрегата;
отсутствует аварийный останов
станции;
напряжение на аварийном маслонасосе
смазки есть;
отсутствует сигнал наличия пламени в
камерах сгорания;
разрешение пуска от цехового щита
автоматики компрессорной станции;
исправность цепей
электрогидравлических сервоприводов;
наличие напряжения 0,4 кВ на ДВ.
Выполнение перечисленных условий
индицируется зеленым табло «Проверка» на лицевой панели щита управления.
Ключ выбора режима «43» в любом
положении, кроме «Выкл» и выполнены следующие условия:
автоматы безопасности турбины
высокого давления и турбины низкого давления взведены;
температура смазочного масла выше
+20°С;
платы защиты по сверх оборотам
турбины высокого давления и турбины низкого давления исправны и стоят на месте;
турбины высокого давления и пусковая
турбина не вращается;
неисправность системы контроля
пламени в камерах сгорания;
цепь датчика 96 СД исправна;
контроль давления воздуха за осевым
компрессором;
заслонка системы охлаждения турбины
открыта;
технологические краны в открытом
положении;
противопомпажная система осевого
компрессора в исходном положении;
счетчик цифровой установки «Пустой»;
температура на выходе нагнетателя в
норме;
отсутствует повышенное давление на
выходе нагнетателя;
отсутствует высокая температура
подшипников нагнетателя;
защита по температуре выхлопа
исправна;
отсутствует вибрация турбины;
отсутствует вибрация и осевой сдвиг
ротора нагнетателя;
отсутствует перепад давления на
фильтрах воздухозаборной камеры.
Выполнение перечисленных условий и
наличие сигнала «Проверка» индицируется зеленым табло «Готовность» на лицевой
панели щита управления. Сигнал «Пуск» не пройдет, если данные условия не
выполнены.
Подан сигнал пуска от:
ключа пуск / стоп щита НВ1 при
положении ключа «43» «Прокрутка», «Зажигание», «Ручная»
щита НС1 при ключе «43» в «Автомат»;
системы телемеханики при положении
ключа «43» «Дистанционное».
Загорается белое табло «Пуск» и
янтарное «Вспомогательное оборудование в работе».
С интервалом в 6 секунд запускаются
вспомогательные механизмы:
насос смазки;
насос уплотнения;
насос системы охлаждения масла;
вентиляторов блок - боксов турбины;
заслонки системы вентиляции блок -
боксов открываются;
вентилятор инерционного фильтра Н1:
вентилятор инерционного фильтра №2,
вспомогательный гидронасос;
вентиляторы инерционного фильтра №3 и
№4;
разрешается работа насосов
дегазаторов.
Открываются отсечные краны пускового
и топливного газа.
После того, как установилось
нормальное давление масла в системах смазки, гидравлики и уплотнения и воздуха
в блок - боксах турбины, а также за полнились аккумуляторы смазки и уплотнения,
вводится главная цепь защиты «4», загорается янтарное табло «Последовательность
выполняется» (табло «Проверка», и «Готовность», «Пуск» гаснут), поступают
команды на:
закрытие клапана 20 НД (перекрытие
сброса масла предельной защиты);
открытие клапана 20 CS (ввод
пусковой муфты в зацеплении и включение валоповорота);
закрытие свечей пускового и
топливного газа при достижении температуры газа +15°С;
краны нагнетателя - открывается 4
кран (GP), продувается контур нагнетателя, закрывается 5 кран (GV), заполняется
контур нагнетателя. При перепаде давления на 1 кране (GS) меньше 1,5 кг/см2
открывается 1 (GS) и 2 (GD) краны, закрываются 4 кран (GP);
включается пусковая турбина,
раскручивается ротор турбины высокого давления, включается зеленое табло 14 SR
и 14 HR, указывая, что пусковая турбина и ротор турбины высокого давления
вращаются. При скорости вращения вала турбины высокого давления 20% номинала
включается зеленое табло 14 НМ.
Краны нагнетателя в рабочем
положении; ключ «43» не в положении «Выключено», а «Прокрутка». После 120
секунд прокрутки на скорости 25% номинала турбины высокого давления включается
синее табло «Пуск - топливо», «Пуск - сопла», напряжение VCE устанавливается на
величину зажигания, открываются стопорный и регулирующий клапаны, подавая
топливо в камере сгорания, включаются свечи зажигания.
При появлении пламени в камерах
сгорания включается янтарное табло «Пламя», VCE понижается до величины
подогрева (6,4).
По истечении одной минуты прогрева
VCE экспоненциально растет, ротор турбины высокого давления начинает ускорятся,
при этом:
включается янтарное табло «Ускорение
ТВД», если VCE управляется контуром ограничения ускорения турбины высокого
давления (1% рабочей скорости в секунду);
включается красное табло «Температура
топлива», если VCE управляется контуром ограничения скорости роста температуры
выхлопа (2,78°С в секунду;
включается зеленое табло 14 НА,
когда обороты достигнут 40%;
начинает разгонятся турбина низкого
давления, при этом включается янтарное табло «Ускорение ТНД», если VCE
управляется контуром ограничения ускорения турбины высокого давления (1%
рабочей скорости в секунду);
отключается пусковая турбина и
выводится из зацепления пусковая муфта при достижении оборотов турбины низкого
давления приблизительно 60% номинала, с агрегата стравливается пусковой газ
(14SR - гаснет).
Обороты турбины высокого давления
достигают рабочей скорости (91%), при этом происходит:
включение зеленое табло 14HS;
открывание входной направляющий
аппарат осевого компрессора;
закрывание воздуховыпускные клапаны
осевого компрессора;
отключение вспомогательного
маслонасоса при давлении в коллекторе насосов более 6,1 кг/см2 и в
коллекторе смазки более 1,4 кг/см2;
отключение вспомогательного
гидронасоса при давлении в гидросистеме более 74 кг/см2.
Окончание ускорения турбины высокого
давления. Обороты турбины высокого давления достигли 99% номинала, загорается
зеленое табло «Скорость ТВД», табло «Пуск - сопла» гаснет, поворотный
направляющий аппарат начинает прикрываться, обороты турбины низкого давления
ускоряются до 45% от номинала, загорается зеленое табло 14 LS и красное табло
«Последовательность операции завершена», гаснут табло «Вспомогательное
оборудование в действии», «Последовательность выполняется».
Окончание ускорения турбины низкого
давления. Обороты турбины низкого давления соответствуют цифровой остановке.
Нагрузка агрегата регулируется:
ключом 70 R4 в положении ключа «43»
«Ручное» и «Выключено»;
со станционного щита при положении
ключа «43» «Автоматическое»;
сигналом телеуправления при
положении ключа «43» «Дистанционное».
Последовательность останова агрегата
ГТК-25 ИР:
Ключ пуска / останова «1» щита
«Спидтроник» кратковременно поворачивается в положение «Останов», при этом
происходит:
отключение красного табло
«Последовательность операций завершена», включается янтарное табло
«Последовательность операций выполняется» и «Вспомогательное оборудование в
работе»;
отключение противопомпажной системы
нагнетателя, открывается клапан GR;
обороты турбины низкого давления
снижаются до минимального значения, горит зеленое табло «Понижение».
Обороты турбины низкого давления
достигают минимального значения, гаснет табло «Понижение».
Главная цепь защиты турбины «4»
сбрасывается, при этом происходит:
отключение табло «Скорость ТНД» и
«ТВД»; VCE = 0;
открывается воздуховыпускные клапаны
осевого компрессора;
закрывается выходной направляющий аппарат
осевого компрессора;
отключается клапан 20 HD (сброс
масла предельной защиты);
стопорный и регулирующий клапаны
перекрывают подачу топлива на турбину, гаснет янтарное табло «Пламя»;
полное открытие
поворотно-направляющего аппарата;
стравливание топливного газа с
агрегата.
Турбина высокого давления и турбина
низкого давления выбегают:
при 98% рабочей скорости турбины
высокого давления электропитания агрегата 0,4 В переходит на сеть;
последовательно гаснут табло 14 HS,
14 LS, 14 HA;
запускаются вспомогательные насосы
смазки и гидравлики;
гаснут табло 14 НМ, 14 НR,
«Последовательность выполняется», «Останов»;
включается табло «Проверка»,
«Готовность». Турбина готова к пуску;
Запускается десяти часовой таймер
охлаждения и каждые три минуты происходит проворачивание ротора турбины
высокого давления;
при снижении температуры в турбинном
отсеке ниже 49°С отключаются вентиляторы блок - бокса турбины;
при снижении температуры охлаждающей
жидкости ниже 32°С и 21°С отключаются вентиляторы системы охлаждения масла.
Цикл охлаждения оканчивается:
гаснет табло «Вспомогательное
оборудование в работе»;
отключается валоповорот;
отключается вспомогательный
гидронасос;
отключается насос системы охлаждения
масла;
отключается вспомогательный насос
смазки.
3. Система автоматики
ГТК - 25 ИР
Система автоматики ГТК-25 ИР
выполняет следующие функции:
автоматический пуск и останов
агрегата;
регулирование параметров агрегата;
защита агрегата от аварийных
ситуаций;
измерение и регистрация параметров
агрегата;
технологическая сигнализация;
предупредительная сигнализация о
выходе параметров за допустимые пределы.
. Система регулирования
«Спидтроник».
Система предназначена для
регулирования скорости ТНД и ТВД, температуры на выхлопе, ускорения ТНД и ТВД,
а также для управления запуском и остановом агрегата.
Регулирующими органами турбины
являются:
регулирующий газовый клапан (подвод
энергии к турбине);
поворотный направляющий аппарат
(ПНА), перераспределяющий энергию между ТНД и ТВД.
Клапан и ПНА управляются
электрогидравлическими сервоприводами, перемещение которых пропорционально
управляющим сигналом постоянного тока:
напряжению VCL для регулирующего
газового клапана;
напряжению NCL для ПНА.
Напряжение VCL и NCL вырабатываются
системой управления «Спидтроник». Значение VCL выбирается по параметру (запуск,
скорость, температура или ускорение), требующему наименьшего количества
топлива.
. Управление запуском.
Контур включается при запуске
агрегата и отключается при достижении рабочих оборотов ТВД. О работе контура
сигнализирует синее табло «Пуск-топливо», «Пуск-сопло» на лицевой панели щита
«Спидтроник». Контур формирует сигнал VCL при запуске турбины следующим
образом:
«Зажигание». По команде зажигание
пламени в камерах сгорания контур устанавливает на шине VСL напряжение 7,5
единиц VCL (3,75 В);
«Прогрев». После появления пламени в
камеру сгорания контур устанавливает на шине VCL напряжение 6,8 единиц VCL
(3,4В);
«Ускорение». После 60 секунд
прогрева контур дает разрешение на экспоненциальный рост напряжения на шине
VCL.
В течении минуты напряжение
возрастает до 9,3 единиц VCL (4,65В). При срабатывании реле рабочей скорости 14
HS (91% скорости ТВД), контур управления запуском выключается из работы, а
формирование сигнала VCL осуществляется другими контурами регулирования,
описанном ниже.
. Контур регулировки оборотов ТНД.
Контур поддерживает обороты ТНД в
соответствии с цифровой установкой (DSP), о чем сигнализирует зеленое табло
«Скорость ТНД на лицевой панели щита Спидтроник».
. Контур ограничения ускорения ТВД /
ТНД.
Контур ограничивает ускорение ТВД
или ТНД 1% рабочей скорости в секунду, о чем сигнализирует янтарное табло
«Ускорение ТВД» или «Ускорение ТНД» на лицевой панели щита «Спидтроник».
. Контур регулирования температуры
на выхлопе.
От 12 термопар, установленных по
окружности в выхлопной шахте, в модуле усреднения формируется сигнал среднего
значения температуры на выхлопе (ТХ).
Контур ограничивает температуру
перед ТВД, которая определяется по сигналу ТХ и давлению за осевым компрессором
РСД.
Контур также ограничивает скорость
роста температуры на выхлопе до 2,78°С в секунду. О работе контура
сигнализирует красное табло «Температура - топлива» на лицевой панели щита
«Спидтроник».
. Контур регулирования ПНА.
При низкой нагрузке агрегата контур
поддерживает обороты ТВД от 99% до 100%. О работе контура сигнализирует красное
табло «Температура - сопло» на лицевой панели щита «Спидтроника».
Система вызывает аварийный останов
агрегата при возникновении ситуации, угрожающих целостности оборудования и
безопасности обслуживающего персонала.
Защиты делятся на три основные
группы:
действующие при наличии пламени в
камере сгорания;
действующие постоянно при пуске и
работе агрегата.
Агрегат остается в работе, если
возникают следующие условия:
). Защиты, действующие до зажигания:
наличие напряжения на станции
управления аварийного маслонасоса;
наличие напряжения 0,4 кВт на ДВ;
исправность электрогидравлических
сервоприводов;
разрешение пуска от цехового щита
автоматики;
исправность цепей зажигания (только
при дистанционном пуске агрегата).
). Защиты, действующие при наличии
пламени в камерах сгорания:
нормальное давления масла предельной
защиты;
нормальное давление в гидросистеме;
температура в коллекторе смазки не
превышает предельного значения;
наличие пламени к камере сгорания;
обороты ТВД ниже предельных;
обороты ТНД ниже предельных.
). Защиты, действующие постоянно при
пуске и работе агрегата:
уровень в аккумуляторе масла
уплотнения выше минимального;
не нажата кнопка аварийного останова
станции;
не нажата кнопка аварийного останова
на щите НВ1 «Спидтроник»;
исправен хотя бы один из двух
каналов защиты по превышению температуры продуктов сгорания при рабочих
оборотах ТВД;
отсутствие пожара на агрегате;
отсутствие пожара в укрытии
агрегате;
отсутствует опасная концентрация
газа в укрытии и блок - боксах агрегата;
соблюдена последовательность
перестановки в рабочее положение кранов технологической обвязки нагнетателя;
нормальная температура воды в
утилизаторе;
перепад на фильтрах BOI не превышает
предельного значения;
нормальный перепад масло - газ;
нормальное давление смазочного масла
на входе в нагнетатель;
наличие напряжения +12 В в системе
управления;
нормальное давление смазочного
масла;
температура и давление газа на
выходе нагнетателя не превышают предельных значений;
отсутствует высокая температура
масла на сливе подшипников нагнетателя;
вибрация турбины не превышает
предельного значения;
вибрация и осевой сдвиг ротора
нагнетателя не превышает предельных значений;
дистанционный пуск продолжался менее
30 минут;
температура продуктов сгорания не
превышает предельного значения;
не произошло снижения оборотов ТВД
ниже допустимого значения на рабочем режиме.
4. Система технического
обслуживания и ремонта ГПА
Система технического обслуживания и
ремонтов ГПА ГТК-25ИР [10] предусматривает следующие виды работ:
·
ТО - 1 -
ежедневное техническое обслуживание. Включает контроль систем измерения,
сигнализации и регулирования параметров работы систем ГПА с использованием
штатных индикаторов и средств контроля;
·
ТО - 2 -
еженедельное техническое обслуживание. Включает контроль технического состояния
элементов САУ ГПА и контроль неравномерности температурного поля на выхлопе
турбины с построением диаграммы;
·
ТО - 3 -
ежемесячное техническое обслуживание;
·
ТО - 4 -
ежеквартальное техническое обслуживание;
·
ТО - 5 -
полугодовое техническое обслуживание;
·
ТО - 6 -
ежегодное техническое обслуживание.
СР - средний ремонт. Выполняется после наработки агрегатом 16000 часов
и, кроме того, включает в себя все работы, предусмотренные очередным ТО.
КР - капитальный ремонт. Выполняется после наработки агрегатом 30000
часов или по фактическому состоянию агрегата, отраженному в акте комиссии,
проводившей обследование.
Основными факторами для вывода
агрегата в капитальный ремонт по фактическому состоянию следует считать резкое
возрастание потока отказов составных частей ГПА и невозможность их
восстановления путем текущих или средних ремонтов, достижение предельного
состояния составных частей ГПА после аварии или стихийного бедствия (пожар, затопление
кабельных каналов, крупные механические повреждения и т.п.), невозможность
дальнейшего использования ГПА по назначению.
В объем капитального ремонта
включаются все работы, выполняемые при техническом обслуживании, текущем и
среднем ремонтах.
Мелкие неисправности и отказы
оборудования ГПА устраняются в процессе эксплуатации. Объем работ по текущему
ремонту определяется при проведении технического обслуживания или в процессе
эксплуатации. Так как объем этих работ невелик, он отдельно не планируется, совмещается
с проведением технического обслуживания.
Организация технического
обслуживания
Организацию и руководство работ по
техническому обслуживанию ГПА осуществляет начальник ГКС (начальник цеха).
Начало, окончание и содержание работ по ТО согласуются с начальником ГКС
(начальником цеха).
Работы, проводимые при ТО - 3 ¸ ТО - 6, регистрируются в эксплуатационных формулярах ГПА и
различных систем, а также в «Журнале учета технического обслуживания средств
автоматизации». Работы по ТО - 1 и ТО - 2 выполняются в порядке текущей
эксплуатации и в журналах не регистрируются. Повреждения и отказы ГПА,
выявленные при всех видах ТО, а также обнаруженные сменным персоналом при
эксплуатации ГПА, фиксируются в «Журнале дефектов основного и вспомогательного
оборудования» и в «Журнале учета неисправностей и отказов средств
автоматизации».
Техническое обслуживание и текущий
ремонт проводятся силами эксплуатационного персонала или подрядных организаций.
Запасные части, предназначенные для
текущих ремонтов и ТО ГПА, входят в оперативный запас ЗИП и хранятся в ЛПУМГ
(компрессорном цехе). Ответственность за формирование, расход и восполнение
оперативного запаса ЗИП несут начальники соответствующих служб (ГКС, КИП и А и
ЭВС). Комплект оперативного запаса ЗИП формируется в зависимости от условий
эксплуатации, количества цехов с ГПА ГТК-25ИР в составе КС, трудоемкости и
продолжительности ремонта, при котором заменяются отдельные виды запчастей,
удаленности от КС региональных складов ПО «Союзгазэнергоремонт» и СУ
«Орггазремавтоматика», а также фактического расхода запчастей на данной КС.
Комплект оперативного запаса ЗИП является неснижаемым и восполняется постоянно
по мере расхода.
Организация плановых ремонтов
Плановый средний или капитальный
ремонт ГПА [11] проводится силами специализированных ремонтных организаций и
эксплуатационного персонала. Вывод ГПА в ремонт, приемку в эксплуатацию и
оценку качества ремонта производит комиссия под руководством начальника ГКС. В
состав комиссии входят: начальник компрессорного цеха, инженер по ремонту и
инженер по эксплуатации, инженер - электрик, инженер службы КИП и А, начальник
участка и прораб (мастер) ремонтной организации, представитель теплотехнической
лаборатории.
После вскрытия агрегата и демонтажа
оборудования КИП и А по результатам обследования и проверок составляется
уточненная ведомость дефектов и график проведения работ по основному и
вспомогательному оборудованию.
Централизованному ремонту при
необходимости подлежат следующие узлы и детали агрегата:
·
роторы ТВД и ТНД;
·
все подшипники турбин и нагнетателей;
·
насосы;
·
электромоторы, генераторы и трансформаторы;
·
блок стопорного и регулирующего клапанов;
·
маслоохладители;
·
редуктор блока вспомогательных механизмов;
·
блок управления поворотными соплами ТНД;
·
блок управления входными направляющими лопатками ОК;
·
элементы камер сгорания;
·
турбодетандер;
·
регуляторы давления и температуры;
·
предохранительные клапаны;
·
элементы системы КИП и А (реле давления, температуры, перепада и т.п.;
·
датчики давления, скорости, вибрации, влажности, загазованности и
т.п.; электронные блоки системы управления; преобразователи, сумматоры,
карточки системы «MARK - V», электропневматические преобразователи, расходомеры,
сервоклапана и т.п.).
Государственная и ведомственная
поверка средств измерений проводится после их стендовой проверки и настройки в
процессе ремонта ГПА.
газотурбинный нагнетатель ремонт газ
5. Расчет свойств
транспортируемого газа
Трубопровод длиной L=1200 км, диаметром D=1420 мм и толщиной стенки S=18 мм. Производительность
трубопровода Q=30 млрд м3/год. Температура в конце участка t=25°C (298 К), а температура в начале
участка t0=15°C (288 К).
Определить:
) Плотность газа
) Газовую постоянную
) Коэффициент сжимаемости
газа
Состав газа
|
Название
|
Плотность, кг/м3
|
Молярная масса, кг/кмоль
|
|
Метан (CH4)
|
0.669
|
16.04
|
|
Этан (C2H6)
|
1.264
|
30.07
|
|
Пропан (C3H8)
|
1.872
|
44.09
|
|
Бутан (C4H10)
|
2.519
|
58.12
|
|
Пентан (C5H12)
|
3.228
|
72.15
|
|
Углекислый газ(CO2)
|
1.842
|
64.07
|
|
Азот (N2)
|
1.165
|
28.02
|
Решение:
. Плотность газа в
стандартных условиях (t=20°C=293К, Р=0,101325 МПа) определяют по формуле:
ρ =
(0,9*0,669)+(0,05*1,264)+(0,03*1,872)+(0,007*2,519)+(0,006*3,228)+
+(0,004*1,842)+(0,003*1,165)=0,768 кг/м3
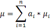
2. Малярная масса газа при
стандартных условиях. Определяют по формуле:
𝜇=
(0.9*16.04)+(0.05*30.07)+(0.03*44.09)+(0.007*58.12)+(0.006*72.15)+
+(0.004*64.07)+(0.003*28.02)=18.414 кг/кмоль
. Газовая постоянная:

, где 
_ константа
=8314,4 дж/кмоль
R=
=451,5 дж/кг
4. Псевдокритические T и P:
Tпк=155,24*(0,564+ρ)=206,8
К
Рпк=0,1737*(26,831-ρ)=4,527 МПа
. Относительная плотность
газа по воздуху:
∆=
,
где ρв - плотность
воздуха=1,206 кг/м3
∆=0,768/1,206=0,637 кг/м3
6. Суточная производительность
газопровода:

, где
Кн - оценочный
коэффициент пропускной способности газопровода для D=1420
мм, Кн=0,88.
Q=30*103/365*0.88=93.39
млн м3/сут
7. Средняя температура:
8. Tср0=303 К, Т0=288 К
Tср= (Т0+Тср0)/2=295,5
К
9. Давление в начале участка:
Рн= Рнаг - (GPвых+GPохл)
Рнаг - давление при нагнетании
(начальное) = 70*0,0981=68,67 кгс/см2=6,85 МПа
GPвых - потери давления на выходе=0,11 МПа
GPохл - потери давления в системе охлаждения(АВО)= 0,0588 МПа
Рн - 6,85 - (0,11+0,0588) = 6,69 МПа
. Давление в конце участка:
Рвс - давление на всасывании в
нагнетатель, лежит пределах
,7-52,8 кгс/см3, среднее
значение Рвс = 5,1 МПа
∆Рвс - потери давления на узле
очистки ПУ. ∆Рвс = 0,12 МПа
Рк=5,1+0,12=5,22 МПа
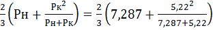
. Среднее давление:
Рср=

6,69 + 6,69+5,222)
=4,99 МПа
12. Приведенные Т и Р:
Рпр=Рср / Рпк=4,99/4,527=1,102
Тпр=
Тср / Тпк=295,5/206,8=1,428
13. Коэффициент сжимаемости газа:
Zср=
=0,88.
Литература
1.
Инструкция по технической эксплуатации агрегатов ГТК - 25И фирмы
«Нуово-Пиньон». Москва. - 1998. - 110 с.
2.
Козаченко А.Н. Эксплуатация компрессорных станций магистральных
газопроводов. - М.: Нефть и газ, 1999. - 463 с.
3.
Комягин А.Ф. Автоматизация производственных процессов и АСУ ТП
газонефтепроводов. - М.: Недра, 1982. - 215 с.