Разработка функциональных узлов цифровой системы передачи
Министерство
образования Республики Беларусь
Учреждение
образования «Белорусский государственный университет информатики и
радиоэлектроники»
Факультет
компьютерных технологий
Дисциплина:
Методы и устройства формирования и обработки телекоммуникационных сигналов.
ПОЯСНИТЕЛЬНАЯ
ЗАПИСКА к курсовому проекту на тему:
РАЗРАБОТКА
ФУНКЦИОНАЛЬНЫХ УЗЛОВ ЦИФРОВОЙ СИСТЕМЫ ПЕРЕДАЧИ
Минск 2011
Введение
Постоянно растущие объёмы передаваемой
информации, расширение номенклатуры услуг и ряд других факторов ставят задачи
непрерывного увеличения пропускной способности и скорости передачи данных в
цифровых системах передачи. Однако при этом возникает ряд проблем. Во-первых,
приемник должен знать распределение сигналов во времени. Иначе говоря, приемник
должен, с определенной точностью, знать, где бит начинается и где
заканчивается. Во-вторых, приемник должен определить уровень каждого двоичного
разряда: высокий он (1) или низкий (0). Какие же факторы определяют, насколько
успешной будет интерпретация сигнала, поступившего в приемник? Существенными
являются три фактора: отношение сигнал/шум, скорость передачи данных и ширина
полосы. При фиксированных остальных параметрах справедливы следующие
утверждения:
• Увеличение скорости передачи данных приводит к
увеличению скорости появления ошибочных битов, или частоты битовых ошибок (BER
- bit error rate).
• Увеличение отношения сигнал/шум уменьшает
скорость появления ошибочных битов.
• Увеличение ширины полосы позволяет увеличить
скорость передачи данных.
Существует еще один фактор, позволяющий
увеличить производительность - выбор схемы кодирования. Схема кодирования
представляет собой простое отображение информационных битов в сигнальные
посылки.
Рассмотрим следующие способы оценки или
сравнения различных схем:
Спектр сигнала. Некоторые особенности спектра
сигнала имеют важное значение. Отсутствие высокочастотных компонентов означает,
что для передачи требуется более узкая полоса. Кроме того, желательно также,
чтобы отсутствовала постоянная составляющая. Если в сигнале она присутствует,
то должно существовать прямое физическое соединение передающих устройств. Если
же постоянная составляющая отсутствует, то можно использовать соединение по
переменному току через трансформатор; это дает превосходную электрическую изоляцию
и снижает интерференцию. И, наконец, уровни искажения сигнала и интерференции
зависят от спектральных свойств передаваемого сигнала. На практике передаточная
функция канала всегда хуже на краях полосы пропускания. Следовательно, при
хорошей структуре сигнала основная передаваемая мощность должна быть
сосредоточена в середине полосы передачи. Тогда принимаемый сигнал будет менее
искаженным. Этого можно добиться с помощью кодировок, позволяющих формировать
спектр передаваемого сигнала.
Синхронизация. Приемник должен уметь определять
начало и конец каждого двоичного разряда. Один из довольно дорогостоящих
подходов состоит в выделении специального канала для синхронизации приемника и
передатчика. Альтернативный вариант - создание некоторого механизма синхронизации
на базе переданного сигнала. Организовать такой механизм позволяет
соответствующая кодировка.
Интерференция сигналов и помехоустойчивость.
Отдельные кодировки позволяют добиваться лучшей производительности при наличии
помех, чем другие. Выражается это, как правило, через скорость появления
ошибок.
Стоимость и сложность. Чем выше скорость
передачи сигналов, позволяющая получить определенную скорость передачи данных,
тем выше цена.
Целью данной курсовой работы является разработка
функциональных узлов цифровой системы передачи. В результате выполнения данной
работы нам необходимо будет решить следующие задачи:
провести анализ характеристик системы для
заданного вида модуляции (определение ширины спектра выходного сигнала,
требований к линейным, нелинейным искажениям, погрешности разности фаз
квадратурных составляющих).
разработать структурную схему приемопередающего
устройства;
обосновать выбор типа микросхем для построения
системы связи;
обосновать требования к основным узлам
приемопередающего устройства;
разработать отдельные узлы приемопередающего
устройства (синтезатора частот, модулятора, выходного каскада или др.).
1. Виды модуляции в цифровых
системах передачи
.1 Обзор различных видов и форматов
модуляции
Модуляция это процесс, в котором задействованы
одна или несколько характеристик несущего сигнала: амплитуда, частота или фаза.
Запишем модулированный сигнал:
(t)=Accos[wct + y(t)] (1.1.1)
где y(t) - мгновенная фаза, Ac - амплитуда
сигнала,wc -частота.
Соответственно, существуют три основные технологии
кодирования или модуляции, выполняющие преобразование цифровых данных в
аналоговый сигнал (см. рисунок 1.1): амплитудная манипуляция (amplitude-shift
keying - ASK), частотная манипуляция (frequency-shift keying - FSK) и фазовая
манипуляция (phase-shift keying - PSK). Отметим, что во всех перечисленных
случаях результирующий сигнал центрирован на несущей частоте.
Рисунок 1.1 - Модуляция цифровых данных
аналоговыми сигналами
Амплитудная манипуляция
При амплитудной манипуляции два двоичных
значения представляются сигналами несущей частоты с двумя различными
амплитудами. Одна из амплитуд, как правило, выбирается равной нулю т.е. одно
двоичное число представляется наличием несущей частоты при постоянной
амплитуде, а другое - ее отсутствием (рисунок 1.1.а). Результирующий сигнал
равен
(1.1.2)
Здесь A×cos(2pfct) - несущий сигнал. Метод
амплитудной манипуляции чувствителен к внезапным скачкам напряжения и
неэффективен. В телефонных линиях он обычно используется только при скоростях
до 1200 бит/с. Метод амплитудной манипуляции используется для передачи цифровых
данных по оптоволокну. Иными словами, одна сигнальная посылка представляется
световым импульсом, тогда как другая - отсутствием света. В лазерных
передатчиках имеется, как правило, фиксированный ток смещения, вызывающий
излучение света с более низким уровнем. В результате одна из сигнальных посылок
представляется этим уровнем, тогда как световая волна большей амплитуды
представляет другую сигнальную посылку.
Частотная манипуляция
Наиболее распространенной формой частотной
манипуляции является бинарная, в которой два двоичных числа представляются
сигналами двух различных частот, расположенных около несущей. Результирующий
сигнал равен
(1.1.3)
где f1 и f2 - частоты, смещенные от
несущей частоты на величины, равные по модулю, но противоположные по знаку.
На рисунке 1.2 приведен пример
использования частотной манипуляции для дуплексной работы в телефонной линии.
Данный рисунок представляет собой спецификацию модемов серии Bell System 108.
Напомним что, по телефонным линиям передаются частоты приблизительно от 300 до
3400 Гц и что дуплексная передача означает одновременную передачу сигналов в
обоих направлениях. Для организации дуплексной передачи полоса разделяется на
две части. В одном направлении (передача или прием) числа 0 и 1 представляются
частотами, центрированными на частоте 1170 Гц, но смещенными на 100 Гц в обе
стороны. Чередование этих частот должно дать сигнал, спектр которого лежит в
левой затененной части рисунка 1.2. Подобным образом при приеме или передаче в
противоположном направлении модем использует частоты, смещенные на 100 Гц от
частоты 2125 Гц. Диапазон полученного в результате сигнала обозначен правой
затененной областью рисунка 1.2. Отметим, что сигналы несколько перекрываются,
поэтому между ними существует незначительная интерференция.
Рисунок 1.2 - Дуплексная передача по
телефонной линии с использованием частотной манипуляции
Бинарная частотная манипуляция менее
восприимчива к ошибкам, чем амплитудная манипуляция. В телефонных линиях она
также используется при скоростях до 1200 бит/с. Схема амплитудной манипуляции
применяется в высокочастотных (от 3 до 30 МГц) радиопередачах и в локальных
сетях, использующих коаксиальный кабель, она может применяться даже на более
высоких частотах.
Более эффективной, но и более
подверженной ошибкам, является схема многочастотной манипуляции, в которой
используются более двух частот. В этом случае каждая сигнальная посылка
представляет более одного бита. Переданный сигнал многочастотной манипуляции
(для одного периода передачи сигнальной посылки) можно определить следующим
образом:
(1.1.4)
где fi = fc+(2i-1-M)×fd; fc -
несущая частота; fd - разностная частота; М - число различных сигнальных
посылок = 2L; L - число битов на одну сигнальную посылку.
Для согласования скорости передачи
данных с входным потоком битов каждая выходная сигнальная посылка передается в
течение Тs = LT секунд, где T - время передачи бита (скорость передачи данных =
1/T). Таким образом, одна сигнальная посылка (представляющая собой тон
постоянной частоты) кодирует L бит. Общая требуемая полоса - 2Mfd. Можно
показать, что минимальный разнос частоты составляет 2fd = 1/Ts. Таким образом,
модулятор требует ширины полосы Wd = 2Mfd = М/Тs. При fc = 250 кГц, = 25 кГц и
М = 8 (L = 3 бит) имеем следующее распределение частот для каждой возможной
3-битовой комбинации:= 75 кГц000= 125 кГц 001= 175 кГц 010 = 225 кГц011= 275
кГц 100 = 325 кГц 101 = 375 кГц 110 = 425 кГц111
Схема может поддерживать скорость
передачи данных 2fd = 1/Ts = 50 kбит/с. На рисунке 1.3 представлен пример схемы
многочастотной манипуляции с М = 4. Входной поток битов кодируется по два бита,
после чего передается одна из четырех возможных 2-битовых комбинаций.
Рисунок 1.3 - Использование частоты
схемой многочастотной манипуляции (М = 4)
Фазовая манипуляция
При фазовой манипуляции для
представления данных выполняется смещение несущего сигнала. Простейшая схема, в
которой для представления двух двоичных цифр используются две фазы, называется
бинарной фазовой манипуляцией (рисунок 1.1.в). Получающийся сигнал имеет
следующий вид (для одного периода передачи бита):
(1.1.5)
Поскольку сдвиг фазы на 180° (p) эквивалентен умножению
синусоиды на -1, может использоваться правая часть выражения (1.1.5). Это
позволяет использовать удобную формулировку. Если имеется поток битов и d(t)
определяется как дискретная функция, значение которой равно +1 при передаче 1 и
-1 при передаче 0, то переданный сигнал можно определить следующим образом:
(1.1.6)
Рисунок 1.4 - Полярная диаграмма
сигнала двоичной фазовой модуляции
Альтернативной формой двухуровневой
фазовой модуляцией является дифференциальная фазовая модуляция, пример которой приведен
на рисунке 1.5. В данной системе двоичный 0 представляется сигнальным пакетом,
фаза которого совпадает с фазой предыдущего посланного пакета, а двоичная 1
представляется сигнальным пакетом с фазой, противоположной фазе предыдущего
пакета. Такая схема называется дифференциальной, поскольку сдвиг фаз
выполняется относительно предыдущего переданного бита, а не относительно
какого-то эталонного сигнала. При дифференциальном кодировании передаваемая
информация представляется не сигнальными посылками, а изменениями между
последовательными сигнальными посылками. Схема дифференциальной фазовой
модуляции делает излишним строгое согласование фазы местного гетеродина
приемника и передатчика. До тех пор пока предыдущая полученная фаза точна,
точен и фазовый эталон.
Рисунок 1.5 - Дифференциальная
фазовая манипуляция
Квадратурная фазовая манипуляция
Если каждой сигнальной посылкой
представить более одного бита, то это позволит эффективнее использовать полосу
сигнала. Например, в распространенной кодировке, известной как квадратурная
фазовая манипуляция, вместо сдвига фазы на 180°, используются сдвиги фаз,
кратные p/2 (90°).
(1.1.7)
Таким образом, каждая сигнальная
посылка представляет не один бит, а два.
Рисунок 1.6 - Полярная диаграмма
сигнала четырехпозиционной фазовой модуляции
На рисунке 1.7 в общих чертах
представлена схема модуляции четырехпозиционной фазовой модуляции. Вход - поток
двоичных цифр со скоростью R = 1/tВ, где tB - ширина бита. Поток конвертируется
в два отдельных потока битов со скоростью R/2 каждый. Полученные два потока
называются синфазным (I) и квадратурным (Q). На диаграмме верхний поток
модулируется на несущей fc путем умножения потока битов на несущую. Для
удобства двоичная единица отображается в 1/Ö2, а нуль - в -1/Ö2. Таким образом, двоичная единица
представляется несущей с измененным масштабом, а двоичный нуль - отрицательной
версией несущей с измененным масштабом; амплитуда в обоих случаях постоянна.
Для модуляции нижнего потока используется та же несущая, смещенная на 90°.
После этого два полученных сигнала складываются и передаются. Результирующий
сигнал можно записать следующим образом:
(1.1.8)
Рисунок 1.7 - Схема модулятора
четырехпозиционной фазовой модуляции
На рисунке 1.8 приведен пример
кодирования QPSK. Оба модулированных потока являются сигналами двухуровневой
фазовой манипуляции со скоростью передачи, равной половине скорости передачи
исходного потока. Таким образом, скорость передачи символов в полученных
сигналах равна половине скорости передачи битов на входе. Отметим, что при
переходе от одного символа к другому возможно изменение фазы на 180° (p).
Рисунок 1.8 - Примеры сигналов
четырехуровневой и ортогональной четырехуровневой фазовой модуляции
Поскольку четырехуровневой и
ортогональной четырехуровневой фазовой модуляции отличаются только задержкой в
квадратурном потоке, спектральные характеристики и вероятности ошибок обеих
схем совпадают. Из рисунка 1.8 можно видеть, что в каждый момент времени
изменить знак может только один из двух битов в паре сигналов следовательно,
суммарное изменение фазы никогда не превысит 90° (p/2). Эта особенность может
оказаться выгодной, поскольку физические ограничения модуляторов фазы не
позволяют легко выполнять значительные изменения фазы при больших скоростях
передачи. Кроме того, схема ортогональной четырехуровневой фазовой модуляции
обеспечивает лучшую достоверность передачи в канале (в который входят и
приемник с передатчиком), имеющем существенно нелинейные компоненты.
Нелинейность приводит к расширению полосы передачи, что может вызвать интерференцию
сигналов данного канала с сигналами соседних каналов. Поскольку контролировать
расширение полосы намного легче при незначительных изменениях фазы, схема
ортогональной четырехуровневой фазовой модуляции имеет преимущество перед
схемой четырехуровневой фазовой модуляции.
Особенностью фазомодулированных
сигналов является то, что их спектр ничем не ограничен. При применении фазовой
модуляции в реальных радиоканалах спектр сигнала приходится ограничивать тем
или иным способом. Первоначально ограничение спектра сигнала производилось при
помощи полосового фильтра, включенного на выходе модулятора, однако это
приводит к возникновению межсимвольной интерференции.
Рисунок 1.9 - Спектр сигнала
двоичной фазовой модуляции
Спектр ограниченного по полосе
сигнала с двоичной фазовой модуляцией и временная диаграмма фазы сигнала,
полученного на приемном конце с выхода фазового демодулятора, приведены на
рисунках 1.10 и 1.11.
Рисунок 1.10 - Спектр сигнала
двоичной фазовой модуляции, ограниченного по спектру фильтром Баттерворта
восьмого порядка
Рисунок 1.11 - Временная диаграмма
изменения фазы при ограничении спектра радиочастотного сигнала
На рисунках 1.10 и 1.11 приведена
предельная ситуация, когда межсимвольные искажения, возникающие на передающем
конце радиолинии, еще не приводят к снижению помехоустойчивости сигнала. В
результате ограничения спектра высокочастотное колебание кроме фазовой
модуляции приобретает амплитудную составляющую модуляции. Эта ситуация
иллюстрируется рисунком 1.12.
Рисунок 1.12 - Временная диаграмма
сигнала двоичной фазовой модуляции при ограничении спектра радиочастотного
сигнала
Описанная проблема долгое время
ограничивала скорость передачи данных по радиоканалу, т.к. полосу пропускания
фильтра определяли исходя из условия, что переходный процесс фильтра должен был
закончиться до момента принятия решения о переданном сигнале в отсчетной точке.
Затем Найквист предложил вариант, когда переходный процесс фильтра продолжается
в течение времени передачи нескольких последующих передаваемых символов.
Единственное условие, которое он наложил на переходную характеристику такого
фильтра, это то, что она должна обращаться в ноль в моменты принятия решения
(отсчетные точки). На поведение сигнала во всех остальных точках мы не обращаем
внимания.
Фильтры, обладающие такой переходной
характеристикой, получили название фильтров Найквиста. Подобной характеристикой
обладает идеальный фильтр низкой частоты. Частотная характеристика этого
фильтра приведена на рисунке 1.13.
Рисунок 1.13 - Частотная
характеристика идеального фильтра низких частот
Импульсная характеристика данного
фильтра описывается функцией sin x/x, которая обращается в ноль с периодом
передачи символов Tс. Известно, что подобный фильтр нереализуем, но можно
задаться задержкой сигнала в данном фильтре и ограничить импульсную
характеристику по времени. Подобная импульсная характеристика приведена на
рисунке 1.14.
Рисунок 1.14 - Импульсная
характеристика идеального фильтра низких частот
В результате ограничения импульсной
характеристики по времени, в частотной характеристике фильтра появляются
всплески в полосе задерживания. Известно, что эти всплески могут быть
значительно уменьшены при умножении импульсной характеристики на весовое окно,
однако наибольшее распространение в системах передачи данных получил фильтр
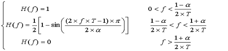
Найквиста, частотная характеристика которого описывается следующей формулой:
(1.1.10)
где a - называется коэффициентом
скругления частотной характеристики фильтра Найквиста. График частотной
характеристики фильтра Найквиста при a=0,3 приведен на рисунке 1.15.
Рисунок 1.15 - Частотная
характеристика фильтра Найквиста
Импульсная характеристика фильтра
Найквиста тоже обращается в ноль в моменты принятия решения (в отсчетных
точках). Импульсная характеристика фильтра Найквиста при a=0,3, приведена на
рисунке 1.16.
Рисунок 1.16 - Импульсная
характеристика фильтра Найквиста
За счет воздействия характеристики
фильтра Найквиста на сигнал появляется паразитная амплитудная модуляция, однако
при попытке ограничить этот сигнал по амплитуде, его спектр немедленно
расширится. Пример временной диаграммы двухуровневой фазовой манипуляции
сигнала приведен на рисунке 1.17.
Рисунок 1.17 - Временная диаграмма
двухуровневой фазовой манипуляции сигнала c α = 0.6
В результате появления
дополнительной амплитудной модуляции усилитель мощности радиосигнала требуется
проектировать с более жесткими требованиями по нелинейным искажениям по сравнению
с усилителем сигналов с постоянной амплитудой. Это, в свою очередь, ведет к
уменьшению к.п.д. усилителя мощности и увеличению массогабаритных параметров
всего устройства в целом. Следует отметить, что двухуровневая фазовая
манипуляция обладает самой высокой помехоустойчивостью.
Рисунок 1.18 - Теоретическая частота
битовых ошибок для различных схем кодирования.
Квадратурная амплитудная модуляция
Квадратурная амплитудная модуляция
(КАМ) является популярным методом аналоговой передачи сигналов, используемым в
некоторых беспроводных стандартах. Данная схема модуляции совмещает в себе
амплитудную и фазовую модуляции. В методе КАМ использованы преимущества
одновременной передачи двух различных сигналов на одной несущей частоте, но при
этом задействованы две копии несущей частоты, сдвинутые относительно друг друга
на 90°. При квадратурной амплитудной модуляции обе несущие являются
амплитудно-модулированными. Итак, два независимых сигнала одновременно
передаются через одну среду. В приемнике эти сигналы демодулируются, а
результаты объединяются с целью восстановления исходного двоичного сигнала. В
общих чертах модуляционная схема КАМ показана на рисунке 1.19. Со скоростью R
бит/с на вход поступает поток двоичных цифр. Этот поток разбивается на два
потока (биты попеременно распределяются по двум отдельным потокам),
передаваемых со скоростью R/2 бит/с каждый. Обратимся к рисунку: верхний поток
модулируется на несущей частоте fc с использованием схемы амплитудной
манипуляции, для чего двоичный поток умножается на несущую. Таким образом,
двоичный нуль представляется отсутствием несущей волны, а двоичная единица -
наличием несущей волны постоянной амплитуды. Для модулирования нижнего потока
та же несущая волна смещается на 90°, после чего вновь используется схема
амплитудной манипуляции. Затем два модулированных сигнала складываются и
передаются вместе. Суммарный переданный сигнал можно записать следующим
образом:
КАМ s(t) =
d1(t)×cos(2pfct) + d2(t)×sin(2pfct). (1.1.11)
Рисунок 1.19 - Модулятор КАМ
При использовании двухуровневой
амплитудной манипуляции каждый из двух потоков может находиться в одном из двух
состояний, а объединенный поток - в одном из 2х2=4 состояний. При использовании
четырехуровневой манипуляции (т.е. четырех различных уровней амплитуды)
объединенный поток будет находиться в одном из 4х4 = 16 состояний. Чем больше
число состояний, тем выше скорость передачи данных, возможная при определенной
ширине полосы. Разумеется, как указывалось ранее, чем больше число состояний,
тем выше потенциальная частота возникновения ошибок вследствие помех или
поглощения. Зависимость вероятности ошибок от отношения сигнал/шум для
различных форматов КАМ показана на рисунке 1.20
1.2 Сравнение схем модуляции
Основные параметры системы при
различных видах модуляции (BPSK, QPSK, 16-QAM, 64-QAM, 256-QAM) приведены в
стандарте IЕЕЕ 802.16. Моделирующая двоичная последовательность отображается в
последовательность символов, каждый из которых содержит 2,4,6,8 бит информации.
Таблица 1.1 - Стандарт IЕЕЕ 802.16
|
Полоса
частот на канал, МГц
|
Скорость
модуляции, МБод
|
Скорость
передачи информации
|
Длительность
кадра, мс
|
Количество
абонентов на кадр
|
|
|
QPSK
|
16-QAM
|
64-QAM
|
|
|
|
20
|
16
|
32
|
64
|
96
|
1
|
4000
|
|
25
|
20
|
40
|
80
|
120
|
1
|
5000
|
|
28
|
22,4
|
44,8
|
89,6
|
134,4
|
1
|
5600
|
Правильный выбор вида модуляции одна из
важнейших задач при проектировании систем связи. Более сложные модуляции весьма
эффективны с точки зрения использования спектра, но они требуют высокого
отношения несущая-шум для работы при данной вероятности ошибок.
Рисунок 1.20 - Коэффициент ошибок в символах в
зависимости от отношения сигнал- шум с числом уровней КАМ в качестве параметра
Эффективность использования спектра системы
передачи определяется как отношение скорости передачи битов входного сигнала к
ширине занимаемой полосы частот и выражается в бит/с. Когда целью является
высокая эффективность использования спектра, наиболее часто пользуют схемы
модуляции КАМ с различным количеством позиций в совокупности. Эти типы
модуляции обеспечивают максимальную гибкость в применении путем изменения
только числа битов/символов, приходящихся на один символ (или другими словами,
числа позиций совокупности), можно добиться соответствия данному частотному
плану.
При выборе мощности передатчика необходимо
учитывать, что при КАМ среднее значение мощности всегда меньше максимальной
мощности усилителя. Отношение пикового и среднего значений мощностей сигналов
для различных форматов КАМ приведены в таблице 1.2.
Таблица 1.2 - Пиковая мощность КАМ
|
Бит/символ
|
Уровень
КАМ
|
Отношение
пиковой и средней мощностей (дБ)
|
|
2
|
4
|
0,00
|
|
4
|
16
|
2,55
|
|
5
|
32
|
2,30
|
|
6
|
64
|
3,68
|
|
7
|
128
|
3,17
|
|
8
|
256
|
4,23
|
|
9
|
512
|
3,59
|
|
10
|
1024
|
4,50
|
1.3 Влияние неидеальности параметров
системы на характеристики ЦСП
На радиооборудование обычно влияет ряд
недостатков. Некоторые из них относятся непосредственно к процессу модуляции.
Другие обычно, но не по существу, возникают вне самого модема в других
формирующих систему радиоблоках. Ниже приводится анализ основных ухудшений
качества, при котором особое внимание уделяется форматам модуляции КАМ. Это
объясняется широким использованием таких форматов модуляции в цифровых системах
радиосвязи и их известной чувствительностью к различным недостаткам.
В процессе модуляции возможны различные виды
ошибок:
квадратурные фазовые ошибки между синусоидальным
и косинусоидальным сигналами несущей;
ошибки амплитуды между синфазным и квадратурным
модулирующими сигналами;
относительная погрешность амплитуды в случае
многоуровневых сигналов из-за различных уровней сигнала;
различные электрические задержки между синфазным
и квадратурным модулирующими сигналами.
Все эти недостатки приводят к увеличению
вероятности ошибки при передаче информации.
В процессе демодуляции также возможны различные
источники ошибок:
квадратурные фазовые ошибки между синусоидальным
и косинусоидальным восстанавливаемыми сигналами несущей;
конечная точность решающих схем;
фазовая ошибка восстанавливаемой несущей;
фазовая ошибка восстанавливаемых тактовых
импульсов.
Под недостатками несущей частоты и устройств
тактовой синхронизации подразумеваются, как правило, и статические и
динамические (фазовое дрожание) ошибки. Чтобы учесть влияния фазового дрожания,
необходимо знать его статистическое распределение. Фазовое дрожание в цепях
синхронизации возникает из-за теплового шума на входе синхронизатора. Будучи
суммой различных случайных составляющих, фазовое дрожание может
рассматриваться, в первом приближении, как случайная гауссова переменная.
Расчет среднеквадратической ошибки на практике
осуществляется путем оценки отношения сигнал-шум (SNR) на выходе синхронизатора
(при наблюдении восстановленного сигнал спектра его фазового дрожания
посредством анализатора спектра), а затем вычисления среднеквадратического
значения фазовой ошибки по следующей формуле:
(1.1.12)
В таблице 1.3 показано ухудшение
отношения S/N из-за статических фазовых ошибок несущей для различных форматов
модуля. (Ухудшение отношения S/N определяется не только приемо-передающим
модулем, но и параметрами аппаратуры многоканальных систем телекоммуникаций,
например ошибкой синхронизации и др).
Таблица 1.3 - Ухудшение отношения
S/N из-за статической фазовой ошибки
|
Фазовая
ошибка (градусы)
|
4-КАМ
(ДБ)
|
16-КАМ
(ДБ)
|
64-КАМ
(ДБ)
|
|
2
|
0,05
|
0,4
|
1,4
|
|
4
|
0,25
|
1,3
|
4,6
|
|
6
|
0,6
|
2,5
|
-
|
|
8
|
1
|
4,1
|
-
|
Влияние линейных искажений
В частности, можно идентифицировать линейные
наклонные и параболические (амплитуда и групповая задержка) искажения. Они
могут быть традиционно определены в полосе (полосе пропускания) Найквиста
(±1/27) путем оценки изменения усиления при полном размахе в дБ или групповой
задержки, приведенной к длительности символа.
В таблицах 1.4 - 1.7 указана чувствительность в
этом отношении для различных форматов модуляции для конкретного случая спада
частотной характеристики 0,5.
Таблица 1.4 - Ухудшение отношения S/N (Ре = КИ)
из-за линейного наклонного искажения амплитуды
|
Искажение
при полном размахе (ДБ) (1)
|
4-КАМ
(ДБ)
|
16-КАМ
(ДБ)
|
64-КАМ
(ДБ)
|
|
1
|
0,05
|
0,1
|
0,55
|
|
2
|
0,1
|
0,6
|
2,5
|
|
3
|
0,25
|
1,2
|
5,7
|
|
4
|
0,4
|
2,3
|
-
|
Таблица 1.5 - Ухудшение отношения S/N(Pe = 10-4)
из-за параболического искажения амплитуды
|
Искажение
при полном размахе (ДБ) (1)
|
4-КАМ
(ДБ)
|
16-КАМ
(ДБ)
|
64-КАМ
(ДБ)
|
|
0,5
|
0,15
|
0,35
|
0,75
|
|
1,0
|
0,4
|
0,95
|
2,8
|
|
1,5
|
0,7
|
1,7
|
-
|
|
2,0
|
1,1
|
2,7
|
-
|
В полосе частот ±f/2.
Таблица 1.6 - Ухудшение отношения S/N из-за
линейного наклонного искажения групповой задержки
|
Искажение
|
4-КАМ
|
16-КАМ
|
64-КАМ
|
|
при
полном размахе
|
(ДБ)
|
(ДБ)
|
(ДБ)
|
|
(%
длительности
|
|
|
|
|
символа)
(1)
|
|
|
|
|
10
|
0,1
|
0,3
|
1,1
|
|
20
|
0,3
|
1,0
|
4,5
|
|
30
|
0,5
|
2,5
|
-
|
|
40
|
0,85
|
4,2
|
-
|
В полосе частот ±f/2
Таблица 1.7 - Ухудшение отношения S/N(Pf = НИ)
из-за параболического искажения групповой задержки
|
Искажение
|
4-КАМ
|
16-КАМ
|
64-КАМ
|
|
при
полном размахе
|
(ДБ)
|
(ДБ)
|
(ДБ)
|
|
(%
длительности
|
|
|
|
|
символа)
(1)
|
|
|
|
|
20
|
0,1
|
0,3
|
1,2
|
|
40
|
0,2
|
1,3
|
5,0
|
|
60
|
0,5
|
2,6
|
-
|
|
80
|
0,8
|
4,2
|
-
|
В полосе частот ±f/2.
Нелинейные искажения
Все форматы модуляции КАМ высокого уровня
чувствительны к нелинейным искажениям. Каждая активная цепь - потенциальный
источник нелинейностей. Однако обычно их основным источником являются СВЧ
усилители мощности. Номинальная мощность на выходе преобразователя ПЧ/ РЧ
составляет порядка нескольких милливатт, и, следовательно, требуется усиление
для получения необходимого выходного уровня. Обычно для прямого усиления
сигнала РЧ используют устройства на GaAs полевых транзисторах. Мощные
транзисторы могут характеризоваться параметром Рыъ, который соответствует
минимальной выходной мощности, при которой сжатие усиления каскада составляет 1
дБ. Следовательно, точка передаточной функции выбирается вблизи участка
насыщения, когда устройство начинает терять линейность. Начиная с этой точки,
быстро возрастающее искажение амплитуды ухудшение BER для сигнала, содержащего
значительную величину амплитудной модуляции, подобно формату модуляции КАМ.
Чтобы гарантировать линейность комплексной
амплитудной характеристики усилителя даже в присутствии пиков амплитуды
модулированного сигнала, необходимо, чтобы максимальное значение мощности
усилителя было больше пикового значения мощности сигнала при КАМ. Однако это
приводит к увеличению стоимости усилителя и не всегда приемлемо в диапазоне СВЧ
где мощность твердотельных усилителей ограничена. Поэтому для компенсации
нелинейных искажений, возникающих в усилителе, в сигнал передатчика вводят
нелинейный корректор. Комплексная амплитудная характеристика корректора
выбирается таким образом, чтобы значение произведения коэффициента передачи
корректора на коэффициент передачи нелинейного усилителя было постоянно во всем
диапазоне изменения амплитуд входного сигнала. На рис. 1.21 представлена
типичная нелинейная характеристика ycилителя и максимальное значение мощности
при которой характеристику усилителя еще можно считать линейной (обычно
характеристика считается линейной до тех пор, пока значение коэффициента
передачи не уменьшится на 1 дБ). Наличие нелинейных искажений приводит к тому,
что увеличение мощности выходного сигнала передатчика, приводит не к уменьшению
вероятности ошибки при приеме цифрового сигнала, а к ее увеличению.
Рисунок 1.21 - Типичная амплитудная
характеристика усилителя
Рисунок 1.22 - Пример расширения спектра,
вызванного нелинейностью комплексной нелинейной характеристики
Таблица 1.8 - Типичные значения в зависимости от
схемы модуляции
|
Схемы
модуляции
|
Типичная
потеря мощности (ДБ)
|
Типичный
коэффициент спада частотной характеристики (%)
|
|
ЧМн/MSK
|
0
|
-
|
|
4-ФМн
|
-2
|
50
|
|
8-ФМн
|
-4
|
50
|
-7
|
35
|
|
64-КАМ
|
-11
|
35
|
|
128-ТСМ
|
|
|
|
256-
КАМ
|
-13
|
50
|
|
512-ТСМ
|
|
|
|
9-QPR
|
-5
|
-
|
|
49-QPR
|
-6
|
-
|
В таблице 1.8 приведены значения потери мощности
для различных видов модуляции. Из таблицы видно, что с увеличением уровня
модуляции потери мощности возрастают. На рис.1.22 показано расширение спектра
выходного сигнала усилителя, обусловленное возникновением интермодуляционных
искажений. Выходная мощность, требуемая от передатчика ЦРРС, зависит от многих
параметров, таких как скорость передачи битов, формат модуляции, длина пролета,
вероятность замирания, коэффициент усиления антенны и т. д.
В ЦРРС малой пропускной способности доминирующим
фактором является тепловой шум, поэтому адекватный уровень выходной мощности
может повысить качество системы. Наоборот, в ЦРРС высокого уровня искажения
становятся основным источником ухудшений, и повышение выходной мощности может
оказаться неэффективным. Для снижения выходной мощности при нормальных условиях
распространения могут использоваться методы адаптивной регулировки мощности
передатчика.
Уровень интермодуляционных искажений в
усилителях измеряется путем подачи на его вход двух тестовых сигнала равных
амплитуд, рис.1.23..P.: интермодуляционные составляющие
Рвх / Рвых: входная/выходная мощность
рном: номинальная мощность (средняя)
рнас: мощность в режиме насыщения
Рисунок 1.23 - Амплитудные характеристики
усилителя
Обоснование основных требований к системе связи
В соответствии со стандартом IEEE 802.16 для
обеспечения вероятности ошибки 10-8 необходимо обеспечить отношение сигнал/шум
28 дБ (формат модуляции 64 КАМ), рис. 2.1. Неидеальность параметров
приемопередающей аппаратуры системы связи приводит к необходимости увеличения
полученного значения отношения сигнал/шум в соответствии с таблицами 1.4-1.7.
Зададим требования к статической фазовой ошибке и линейным искажениям сигнала в
канале связи и используя таблицы 1.1 - 1.7 определим необходимое отношение
сигнал/шум для системы связи с реальными характеристиками указанными выше. В
соответствии с таблицей 1.3, при Δφ = 2 градуса
отношение сигнал/шум должно быть увеличено на 2 дБ (Δφ=2,
формат
модуляции 64 КАМ). Наличие неравномерности сквозной АЧХ тракта требует
увеличение отношения сигнал/шум на 1.5 дБ при формате модуляции 64 КАМ и
линейном наклонном искажении амплитуды 2.5 дБ, таблица 1.4.
Наличие параболического искажения групповой
задержки равного 20 % длительности символа, требует увеличения отношения
сигнал/шум на 1.2 дБ. Результирующее значение отношения сигнал/шум на выходе
СВЧ модуля должно составить.
С/Ш= 28+2+1,5+1,2=32.7 дБ (1.3.1)
Определим необходимое значение полосы
пропускания СВЧ модуля для передачи цифрового потока 150 Мбит/с в формате 64
КАМ(Q=64).
(1.3.2)
где 1.25 - коэффициент увеличения полосы
пропускания реального тракта по сравнению с шириной полосы частот по Найквисту.
Тогда Δf1=31.25
МГц - ширина одностороннего спектра для модулированного сигнала.

, МГц (1.3.3)
Тогда ∆f=62,5 МГц.
Для входного цифрового потока 150
Мбит/с, значение полосы частот выходного сигнала для КАМ 16 приведены в таблице
1.9.
Таблица 1.9 - Значение полосы частот
выходного сигнала 16КАМ
|
Уровень
КАМ
|
64
|
|
Бит/символ
|
6
|
|
Отношение
пиковой и средней мощностей, дБ
|
3,68
|
|
Ухудшение
отношения S/N из-за статической фазовой ошибки, дБ
|
1,4
|
|
Ухудшение
отношения S/N из-за линейного наклонного искажения амплитуды, дБ (искажения
при полном размахе 2 дБ)
|
0,55
|
|
Ухудшение
отношения S/N из-за параболического искажения амплитуды, дБ (искажения при
полном размахе 2 дБ)
|
0,75
|
|
Ухудшение
отношения S/N из-за линейного наклонного искажения групповой задержки, дБ
(искажения при полном размахе 20 % длительности символа)
|
4,5
|
|
Ухудшение
отношения S/N из-за параболического искажения групповой задержки, дБ
(искажения при полном размахе 20 % длительности символа)
|
1,2
|
|
Результирующее
значение отношения сигнал/шум
|
32.7
|
В результате выполнения данного раздела были
рассмотрены: основные виды модуляции с переносом на несущую и особенности,
связанные с их применением; определены основные моменты ухудшения качества при
модуляции и демодуляции; рассчитано значение полосы частот выходного сигнала
(для входного цифрового потока 150 Мбит/с, МГц); рассмотрено влияние линейных и
нелинейных искажений на сигнал; рассчитано отношение сигнал/шум на выходе СВЧ
модуля при вероятности ошибки 10-8 с учетом всех искажений (таблица 1.9). А
также определено необходимое отношение сигнал/шум с учётом неидеальных
параметров тракта (32,7дБ).
2. Разработка функциональных узлов
приемопередатчика ЦСП
.1 Цифровой передатчик
Рассмотрим построение цифрового передатчика на
примере формирования сигнала формата 64КАМ. На рис. 2.1 приведена упрощенная
структурная схема передающего оконечного оборудования (цифрового передатчика).
Согласно Рекомендации F.59б МСЭ-Р цифровые системы радиосвязи могут соединяться
с другим оборудованием только на вполне определенных иерархических цифровых
скоростях.
Рисунок 2.1 - Цифровой передатчик: 1 -
Устройство объединения входных цифровых потоков; 2 - Кодер; 3 - Скремблер; 4 -
Формирователь четных и нечетных импульсов (синфазного и квадратурного потоков)
Предположим, что на вход устройства
формирования синфазного и квадратурного потоков цифрового передатчика поступает
4 цифровых потока Е3. и служебная информация. Эти потоки объединяются и
кодируются самоортогональным сверточным кодом со скоростью 18/19 для
обеспечения возможности исправления ошибок. В результате скорость цифрового
потока имеет эффективную скорость передачи 150 Мбит/с. Этот процесс
группообразования является внутренним делом для радиосистемы и не стандартизован
МСЭ-Т, что не имеет никаких негативных последствий для заказчика, потому что
входы и выходы цифровых систем имеют стандартизованные иерархические скорости.
Информационные биты далее скремблируются в синхронизированном скремблере, что
позволяет обеспечивает гладкий излучаемый спектр, свободный от спектральных
линий, которые могли бы вызвать значительные помехи в аналоговых радиоканалах,
а также гарантирует эффективную синхронизацию и восстановление несущей. Далее
сформированный цифровой поток разбивается на два потока, имеющих в два раза
меньшую скорость - 75 Мбит/c. Эти потоки используются для формирования
синфазного цифрового потока (J) и квадратурного цифрового потока (Q). Затем в
цифроаналоговых преобразователях (Ц/А) из трех импульсов каждого потока формируются
8-уровневый импульсно-амплитудный формат как в синфазном (J), так и в
квадратурном (Q) каналах. Синфазный (J) и квадратурный (Q) каналы,
перемножаются с синфазной (cos(
) и квадратурной (sin(
)
составляющими сигнала промежуточной частоты, например 70 МГц. Это позволяет
формировать 64 (8 х 8 = 64) различных значения комплексного выходного сигнала
цифрового передатчика, что приводит к скорости выходного сигнала 25 Мбод.
2.2 Цифровой приемник
Упрощенная структурная схема
цифрового приемника, показана на рис. 2.2.
Рисунок 2.2 - Цифровой приемник: 1
- устройство выделения несущей частоты; 2 - фильтр Найквиста; 3 -
аналогово-цифровой преобразователь; 4 - устройство формирования цифровых
потоков
Принимаемый сигнал всегда состоит из
суммы полезного сигнала и шума, рис. 2.3.
Рисунок 2.3 - Сигнал на входе
цифрового приемника
Устройство восстановления несущей
частоты формирует квадратурные составляющие промежуточной частоты 70 МГц, что
позволяет обеспечить когерентную демодуляцию принимаемого сигнала 64-КАМ и
выделить на выходе аналоговых перемножителей (преобразователей частоты)
импульсы с амплитудами J и Q (аналогичные импульсам J и Q передатчика,
приведенным на рис. 2.4, рис. 2.5).
Рисунок 2.4 - Синфазный сигнал на
выходе фазового детектора
Рисунок 2.5 - Квадратурный сигнал на
выходе фазового детектора цифрового приемника
На выходах трехразрядных АЦП
формируются синфазный и квадратурный цифровые потоки, имеющие скорость 75
Мбит/c, (соответствуют цифровым потокам передатчика рис. 2.3, рис. 2.4). В
схеме выделения цифровых потоков, цифровые потоки J и Q объединяются,
разуплотняются и дескремблируются. После разуплотнения происходит исправление
ошибок и формирование выходных потоков (4 потока формата E3 и цифровой поток
служебного канала).
2.3 Схема построения выделителя
несущей частоты
Одним из недостатков КАМ является
трудность восстановления спектральной составляющей на несущей частоте. Однако,
существуют специальные схемы построения выделителя несущей частоты, которые
позволяют с определённой погрешностью получить желаемый параметр. Рассмотрим
одну из самых распространённых схем выделителя несущей частоты - схему Костаса,
или синфазно-квадратурную схему, показанную на рис. 2.6.
Рисунок 2.6 - Схема Костаса
Эта схема восстановления использует
одновременно две параллельные схемы отслеживания сигнала (I и Q) для
одновременного выделения составляющих I и Q сигнала, который управляет ГУН.
Синфазная схема Q использует сигнал ГУН, сдвинутый на 90º. Если
частота ГУН равна частоте подавленной несущей, то произведение сигналов I и Q
создаёт напряжение рассогласования, пропорциональное рассогласованию фазы в
ГУН. Напряжение рассогласования контролирует фазу и, таким образом, частоту
ГУН.
2.4 Схема приёмопередающего тракта
Структурная схема приемопередающего
устройства СВЧ (приемопередатчика) приведена на рис. 2.7.
Рисунок 2.7 - Структурная схема
приемопередатчика СВЧ ЦРС
где СЧ - синтезатор частоты; УМ -
усилитель мощности; МШУ - малошумящий усилитель.
На вход передатчика СВЧ поступает
модулированный сигнал промежуточной частоты с выхода цифрового передатчика.
Выходная частота передатчика должна быть равна 14 ГГц. Тогда на второй вход
смесителя необходимо подать такую частоту колебания синтезатора частот
передатчика (fСПД), чтобы суммарная или разностная частота выходного сигнала была
равна 14 ГГц. Важным параметром является выбор промежуточной частоты, которая
поступает с выхода цифрового передатчика, для обеспечения нормальной работы в
заданной полосе частот.
В нашем случае полоса частот
составляет +- 2% от центральной частоты РПдУ, т.е. диапазон рабочих частот
будет fпрд = (13,72-14,28) ГГц. При неизменной частоте сигнала цифрового
передатчика перестройка РПдУ обеспечивается изменением частоты его синтезатора
частот.
Допустим, на первый вход смесителя
поступает промежуточная частота 0.28 ГГц. Тогда на второй вход смесителя
необходимо подать такую частоту колебания синтезатора частот передатчика
(fСПД), чтобы суммарная или разностная частота выходного сигнала была равна 14
ГГц (fСПД = 14.2 ГГц или fСПД =13.8 ГГц). Выберем частоту синтезатора равной
14.2 ГГц. Спектры входных сигналов смесителя показаны на рис. 2.14. Спектр
выходного сигнала реального смесителя содержит спектральные составляющие
входных сигналов смесителя (f = 70 МГц), синтезатора (fCПД = 14070 МГц),
суммарную (fСПД + fПЧ = 14140 МГц) и разностную (fСПД - fПЧ = 14000 МГц)
частоты, рис. 2.8. На выходе смесителя включен полосовой фильтр, который
выделяет спектр выходного сигнала на рабочей частоте передатчика 14000МГц, рис.
2.9.
Рисунок 2.8 - Спектр выходного
сигнала смесителя
Рисунок 2.9 - Выделение нижней
боковой полосы спектра выходного сигнала смесителя
С выхода полосового фильтра сигнал
поступает на выходной усилитель. Требования, предъявляемые к выходному
усилителю передатчика, в значительной мере определяются видом модуляции
сигнала. В системах с частотной (ЧМ) модуляцией не предъявляются жесткие
требования к уровню нелинейных искажений в выходном каскаде передатчика. В
системах с квадратурной амплитудной модуляцией (КАМ), информация о цифровом
потоке содержится в амплитуде и фазе передаваемого сигнала, поэтому искажения
амплитуды и фазы выходного сигнала РПдУ приводят к появлению ошибок в ЦСП, т.е.
к потере части информации. Поэтому при использовании квадратурной амплитудной
модуляции все каскады передатчика должны работать в линейном режиме, что
приводит к необходимости работать при значениях выходной мощности РПдУ в 1.5-3
раза (на 2 - 5 дБ) меньших, максимальной мощности РПдУ. При возникновении
большого ослабления сигнала на трассе (туман, дождь, снег) мощность
принимаемого сигнала уменьшается, что приводит к уменьшению отношения
сигнал/помеха в приемном устройстве и увеличению вероятности ошибок. С приемной
станции передается информация о плохом отношении сигнал/шум. Передающая станция
увеличивает выходную мощность РПдУ, путем уменьшения ослабления сигнала в
переменном аттенюаторе, установленном на входе усилителя мощности. Увеличение
выходной мощности РПдУ приводит к двум противоречивым факторам.
. Уменьшению вероятности ошибок в
связи с увеличением мощности принимаемого сигнала и увеличения отношения
сигнал/ шум на входе приемного устройства.
. Увеличению вероятности ошибок в
связи с переходом усилителя выходного каскада в нелинейный режим работы.
Поэтому выбирается оптимальное
значение мощности сигнала, при которой в результате воздействия двух
противоречивых факторов вероятность ошибки минимальна. Использование в качестве
фильтра колебательного контура (фильтр второго порядка) не позволяет обеспечить
необходимый уровень ослабления верхней боковой полосы частот смесителя. Этот
сигнал будет излучаться передатчиком, и создавать помехи радиоэлектронным
средствам, работающим на частоте 14400 МГц. (Побочные излучения передатчика).
Определение порядка полосового
фильтра для обеспечения заданного значения подавления побочных излучений РПдУ и
зеркального канала РПрУ является одной из проблем при проектировании ЦСП.
Например, при использовании фильтра четвертого порядка ослабление зеркального
канала увеличивается, а потери в полосовом фильтре, его сложность и стоимость
возрастают. Поэтому для ослабления побочного канала увеличивают частоту
цифрового передатчика, а порядок фильтра желательно выбирать поменьше.
Увеличение значения частоты цифрового передатчика приводить к уменьшению
мощности побочных излучений на выходе полосового фильтра. Выражение для
вычисления уровня побочных излучений на выходе радиопередающего устройства
имеет вид:
, (2.1)
где Q - добротность контура; fc -
центральная частота выходного сигнала передающего устройства; f - частота
побочного канала; n - порядок полосового фильтра.
При Q(f - fc) >> 1, выражение
(2.1) может быть упрощено:
A =
10*n*log|fc/(Q(fc-f))| (дБ)(2.2)
Для определения уровня ослабления
побочного канала РПдУ при значении частоты цифрового передатчика fцп, выражение
(2.2) имеет вид:
A =
10*n*log|fc/(Q(fc - fцп))|
(дБ)
(2.3)
A = 10*2*log|14/(200(14 - 0.07))| =
45.9 (дБ)
Также проблемой при разработке РПдУ
является обеспечение работы в широкой полосе частот. Диапазон рабочих частот
РПдУ равен +- 2% от центральной частоты РПдУ. Для частоты 14 ГГц, диапазон
рабочих частот будет fпрд = (13,72-14,28) ГГц При неизменной частоте сигнала
цифрового передатчика перестройка РПдУ обеспечивается изменением частоты его
синтезатора частот. Диапазон перестройки частоты синтезатора составит fcч =
fпрд + fцп. При fцп = 420 МГц диапазон перестройки синтезатора частот составит
14140 - 14700 МГц для центральной частоты 14000 МГц. При этом диапазон частот
побочного канала излучений на выходе смесителя сдвига составит 14560 - 15120
МГц для центральной частоты 14 ГГц.
Рисунок 2.10 - Диапазоны частот: -
радиопередающего устройства (красный цвет, 13,72-14,28 ГГц); - синтезатора
частот (синий цвет, 14140 - 14700 ГГц); - побочных излучений (зеленый цвет.
14560 - 15120 ГГц)
Из рисунка 2.10 видно, что диапазоны
частот выходного сигнала передатчика и побочных излучений перекрываются. В этом
случае применение полосового фильтра с полосой пропускания 13,72-14,28 ГГц не
будет подавлять побочные излучения в диапазоне частот 14560 - 15120 ГГц. Для
подавления побочных излучений с помощью неперестраиваемого полосового фильтра
необходимо выполнение условия:
цп > 0.5(fmax - f min), (2.4)
где fцп - частота цифрового
передатчика; fmin, fmax - нижняя и верхняя частоты рабочего диапазона частот
РПдУ.
Из приведенного условия видно, что
использование неперестраиваемого фильтра для подавления побочных излучений на
выходе РПдУ, работающем в диапазоне частот 13,72-14,28 ГГц, значение частоты
цифрового передатчика должно быть fцп > 0.5(14.28 -13.72) = 0.28 ГГц. При
этом следует учитывать, что увеличение частоты передатчика приводит к
увеличению погрешностей установления амплитуд и разности фаз квадратурных
составляющих в цифровом передатчике, что ухудшает работу ЦСП. Для решения
возникшей проблемы используют два метода:
Используют узкополосный
перестраиваемый полосовой фильтр, центральная частота которого всегда равна
частоте передатчика. Фильтр обеспечивает подавление побочных излучений, частоты
которых находятся в полосе частот РПдУ. Но при изменении выходной частоты РПдУ
необходимо перестраивать частоту узкополосного перестраиваемого фильтра.
Недостатки:
трудность создания перестраиваемого
полосового фильтра в СВЧ диапазоне;
нелинейность ФЧХ одноконтурного
полосового фильтра;
изменение частоты полосового фильтра
при воздействии дестабилизирующих факторов (изменение температуры, радиация и
т.д.).
Использование двух смесителей сдвига
частоты сигнала цифрового передатчика.
В этом случае цифровой передатчик
работает в диапазоне частот, где может быть обеспечена малая погрешность
установления амплитуд и фаз выходного сигнала, затем модулированный сигнал
цифрового передатчика переносится на более высокую частоту, а затем в диапазон
частот 14 ГГц.
Предварительный расчет требуемых
значений коэффициентов передачи устройств РПдУ.
При расчете значений коэффициентов
передачи необходимо учитывать, что уровни сигналов в каждой точке РПдУ должны
быть такими, чтобы обеспечивался линейный режим работы всех элементов схемы.
Максимальной значение мощности смесителя сдвига при которой смеситель является
линейным элементом для входного сигнала составляет Рсм = (0.1 - 0.5) мВт (1 -
5)10-4 Вт. Указанного значение мощности на входе смесителя устанавливается
переменным аттенюаторов, включенным на входе РПдУ. При выполнении смесителя
сдвига на диодах, коэффициент передачи смесителя составляет минус (8 - 10) дБ.
Тогда мощность сигнала на выходе смесителя сдвига составит всм = Рсм*
10(8-10)/10 = (1 - 5)10-5 Вт.
На выходе смесителя установлен
усилитель. Микросхемы усилителей имее6ют значение коэффициента усиления 12-15
дБ. Тогда мощность сигнала на выходе усилителя будет равнаус = (1 - 5)10-5
10(12 - 15)/10 = (1.6 - 8)10-4 Вт.
Управляемый аттенюатор,
обеспечивающий линейный режим работы усилителя выходного каскада имеет
регулируемый диапазон ослабления сигнала 0 - минус 10 дБ.
Мощность сигнала на выходе
управляемого аттенюатора составит
Рат = (0.16 - 8) 10-4 Вт.
Такие значения мощности будут иметь
РПдУ практически всех диапазонов частот и различных значений мощности выходного
сигнала. Для обеспечения необходимого значения мощности выходного сигнала,
значение коэффициента усиления выходного каскада должно быть равно
К = Р1дБ/ PВХ, (2.5)
дБ = 10 log (K).
где Р1дБ - необходимое значение
выходной мощности РПдУ в линейном режиме работы; PВХ - входная мощность
усилителя мощности РПдУ. ВХ = Рат = 8 10-4 Вт.
Для обеспечения выходной мощности
РПдУ 10 Вт, понадобиться усилитель имеющий значения Р1дБ = 1 Вт и коэффициента
усиления дБ = 10 log (10/8*10-4) = 41 дБ.
Для выходной мощности РПдУ 10 мВт,
необходимое значение коэффициента составит 11 дБ.
Если значение коэффициента
выбранного усилителя больше расчетного, линейный режим работы обеспечивается
введением ослабления в управляемом аттенюаторе.
Радиоприемное устройство
На приемной стороне сигнал (fс = 14
ГГц) через полосовой фильтр поступает на вход малошумящего усилителя (МШУ),
усиливается на 15 - 20 дБ и поступает на смеситель. Кроме полезного сигнала на
входе смесителя всегда присутствуют некоторая мощность шума (шумы атмосферы,
индустриальные помехи, шумы приемника и др.). На второй вход смесителя
поступает сигнал гетеродина, формируемый синтезатором частот приемника (частота
гетеродина fг = 14.2 ГГц, или 13.8 ГГц). На выходе смесителя выделяется сигнал
промежуточной частоты, равный разности частот принимаемого сигнала и сигнала
гетеродина (fпр = 200 МГц). Однако при частоте сигнала гетеродина fг =14.2 ГГц
и поступлении на вход смесителя сигнала помехи с частотой fп = 14140 МГц на
выходе смесителя также выделится сигнал промежуточной частоты 70 МГц (fп - fг =
14140 - 14070 = 70 МГц). Такой канал приема называется зеркальным каналом.
ЗК = fC + 2fПР (2.6)
Подавление (ослабление) зеркального
канала может быть обеспечено полосовым фильтром, установленным в тракте антенна
- смеситель и настроенным на частоту принимаемого сигнала. В приемопередающих
устройствах этот фильтр одновременно обеспечивает подавление сигнала
передатчика (частота излучение собственного РПдУ всегда отличается от частоты
принимаемого сигнала), поступающего на вход приемного устройства в результате
работы на общее антенное устройства и неидеальной развязки передатчик -
приемник.
В результате выполнения второго
раздела получили следующие результаты:
) Изучена структурная схема
построения цифрового передатчика и цифрового приемника.
) Рассмотрены методы формирования
синфазного и квадратурного сигналов из входного цифрового потока на примере КАМ
16.
) Определен способ восстановления
спектральной составляющей на несущей частоте на приемной стороне (схема
Костаса)
) Рассмотрены принципы переноса
спектров сигналов в заданный частотный диапазон.
) Произведен предварительный расчет
требуемых значений коэффициентов передачи устройств РПдУ
) Произведен выбор рабочей частоты
цифрового передатчика и промежуточной частоты радиоприемного устройства:
рабочая частота цифрового
передатчика: 14 ГГц;
промежуточная частота радиоприемного
устройства: 70 МГц;
диапазоны частот выходного сигнала
передатчика и побочных излучений не перекрываются, а значит для подавления
побочных излучений в полосе частот (13,72-14,28) ГГц нас устроит двухконтурный
неперестраиваемый полосовой фильтр. Однако следует учитывать, что увеличение
частоты передатчика приводит к увеличению погрешностей установления амплитуд и
разности фаз квадратурных составляющих в цифровом передатчике, что ухудшает
работу ЦСП. Если частота цифрового передатчика < 320 МГц, то для
необходимого подавления побочных излучений необходимо использовать узкополосный
перестраиваемый фильтр;
уровень ослабления побочного канала
РПдУ: А=41 дБ. (рассчитанный уровень ослабления побочного канала РПдУ
удовлетворяет исходному условию, по которому данный уровень должен быть более
40 дБ).
3. Разработка функциональной схемы
цифрового синтезатора частот
.1. Структурная схема синтезатора
частот
В цифровых синтезаторах частоты
используется принцип обратной связи. Такой метод, известен под названием
фазовой синхронизации. Анализ систем косвенного синтеза основывается на
рассмотрении устойчивости и области захвата частоты петли ФАПЧ вместо
исследования побочных составляющих выходного колебания. При использовании этого
метода широко применяются ГУН, программируемые делители частоты и фазовые
дискриминаторы.
Цифровой синтезатор частоты
представляет собой систему ФАПЧ (фазовая автоподстройка частоты) (рис. 3.1).
Рисунок 3.1 - Структурная схема
цифрового синтезатора частоты
приемопередатчик
модулятор цифровой сигнал частота
3.2 Расчет коэффициентов деления
Поскольку частота опорного
кварцевого генератора (ОКГ) лежит в диапазоне 5-15 МГц, положим частоту ОКГ,
равной 10 МГц (fокг =10 МГц). Делитель частоты (ДЧ) уменьшает частоту ОКГ до
частоты сравнения, которую выберем равной 1 МГц (fдч =1 МГц). В этом случае
коэффициент деления делителя частоты равен:

(3.1)
Частота сравнения ОКГ поступает на
один из входов фазового детектора, который выполняет математическую операцию
перемножения входных сигналов. На второй вход фазового детектора через делитель
с переменным коэффициентом деления (ДПКД) поступает сигнал от генератора,
управляемого напряжением (ГУН). Поскольку нам необходимо обеспечить частоту
выходного сигнала fвых =14 ГГц, то в этом случае значение коэффициента деления
делителя с переменным коэффициентом деления равно:

(3.2)
Если предположить, что частота ГУН
отличается от заданного значения fвых на величину ошибки Δf,то частота
на выходе ДПКД будет равна:
дпкд = 
(3.3)
В этом случае на входы фазового
детектора поступают колебания двух различных частот: fдч - с делителя частоты и

- с ДПКД.
Фазовый детектор выполняет
математическую операцию перемножения входных сигналов. В результате
перемножения на выходе фазового детектора формируется сигнал суммарной и
разностной частоты:
с = 
(3.4)
и сигнал ошибки:
ош=
(3.5)
Поскольку верхняя частота полосы
пропускания фильтра нижних частот значительно меньше fдч на выходе ФНЧ
выделяется только сигнал ошибки. Этот сигнал усиливается и поступает на
управляющий вход ГУН, изменяя частоту ГУН таким образом, чтобы сигнал ошибки
был равен нулю. В этом случае частота выходного сигнала ДПКД равна fдч. В
стационарном режиме частота ГУН всегда равна:
гун = fдч·К = 14·1·109 = 14·109
(3.6)
Если значение Кдпкд увеличить на
1,то выходная частота станет равной:
вых1 = fдч · (К дпкд +1) = Fгун +
fдч =14,001· 109 (3.7)
Видно, что изменение коэффициента
деления ДПКД на целое число единиц приводит к изменению частоты выходного
сигнала ГУН на величину fдч. Это означает, что частота выходного сигнала
синтезатора частоты может принимать только дискретные значения, кратные частоте
сравнения (говорят, что на выходе формируется сетка частот с шагом fдч).
Выходной сигнал цифрового
синтезатора частоты имеет некоторую паразитную частотную модуляцию,
обусловленную наличием в спектре реального фазового детектора спектральных
составляющих fдч, 2fдч и т.д. Наиболее опасной является спектральная
составляющая fдч, так как для нее коэффициент передачи ФНЧ больше, чем для
составляющих 2fдч, 3 fдч и т.д. С выхода ФНЧ спектральная составляющая fдч,
поступает на управляющий вход ГУН, что приводит к частотной модуляции выходного
сигнала ГУН синусоидальным напряжением с частотой fдч,.
Наличие частотной модуляции приводит
к появлению в спектре выходного сигнала ГУН спектральных составляющих (fвых
fдч), что
недопустимо, так как частоты (fвых
fдч) отведены для работы других
радиопередающих средств. В соответствии с требованиями стандартов, уровень
побочных излучений не должен превышать -70дБ …-80дБ, т.е. составлять
от мощности
ГУН частоты fвых. Для обеспечения такого малого уровня побочных излучений в
спектре выходного сигнала ГУН необходимо использовать фазовые детекторы с малым
уровнем спектральных составляющих fдч, и значительное ослабление, вносимое ФНЧ
на частоте fдч. При этом к полосе пропускания ФНЧ предъявляются противоречивые
требования: увеличение полосы пропускания приводит к уменьшению времен
перестройки частоты выходного сигнала, но при этом увеличивается значение
коэффициента передачи ФНЧ на частоте сравнения, что приводит к увеличению
уровня побочных составляющих в спектре выходного сигнала. Уменьшение
коэффициента передачи на частоте fдч, может быть обеспечено применением
фильтров более высокого порядка. Однако, ФНЧ более высокого порядка, обеспечивая
меньшее значение коэффициента передачи на частоте fдч., вносит больший фазовый
сдвиг. Максимальный фазовый сдвиг ФНЧ второго порядка составляет 180°, ФНЧ
третьего порядка - 270° и т.д. Это приводит к тому, что обратная отрицательная
связь, реализуемая в схеме ФАПЧ в области нижних частот, может превратиться в
положительную обратную связь и при выполнении условия баланса амплитуд в петле
ФАПЧ возникают колебания самовозбуждения. Поэтому применение в цепи обратной
связи ФАПЧ ФНЧ второго порядка и более высоких порядков требует анализа
устойчивости схемы ФАПЧ.
3.3 Выбор микросхем
В настоящее время ведущие фирмы
выпускают серийные ДПКД, работающие в диапазоне частот до 7 ГГц, а ГУН в
диапазоне частот до 17 - 18 ГГц. Для совместной работы ГУН и ДПКД используют
делители частоты на 2, которые работают на частотах до 18 - 20 ГГц. На рисунке
3.2. показана структурная схема синтезатора частот на 14 ГГц. ГУН работает на
частоте 14ГГц. Синтезатор частот выполнен на микросхеме ADF 4107, работающей в
диапазоне частот до 7 ГГц. Поэтому между ГУН и ДПКД схемы синтезатора включен
прескалер (делитель частоты на 2, микросхеме HMC492LP3). С выхода прескалера
сигнал ГУН с частотой 7 ГГц поступает на ДПКД.
Рисунок 3.2 - Схема цифрового
синтезатора частоты
В ходе выполнения данного раздела:
) Изучены принципы построения
цифровых синтезаторов частот и разработана структурная схема СЧ (рис. 3.1).
) Выбраны микросхемы для реализации
СЧ в заданном диапазоне частот:
ГУН, который работает на частоте 14
ГГц;
частота ОКГ fокг=10 МГц;
Синтезатор частот выполнен на
микросхеме ADF 4107, работающей в диапазоне частот до 7 ГГц;
прескалер (делитель частоты на 2) на
микросхеме HMC492LP3;
) Проведен расчет коэффициентов
деления ДЧ и ДПКД, для обеспечения заданных значений частоты выходного сигнала
(равного 14 ГГц) и сетки частот (шаг сетки частот: 1 МГц):
Кдч=10;
Кдпкд=14∙103
4. Разработка и расчет элементов
функциональной схемы СВЧ-Т
Расчет коэффициента шума РПрУ.
Необходимый нам малошумящий усилитель
(МШУ на микросхеме HMC565, диапазон частот 6-20 ГГц) имеет следующие параметры:
значение коэффициента шума Ks = 2.3
дБ;
значение коэффициента усиления K =
22 дБ.
При бесконечно большом значении
коэффициента усиления МШУ, коэффициент шума РПрУ определяется коэффициентом
шума первого каскада. Наш усилитель имеет значение коэффициента усиления равное
22 дБ. Необходимо рассмотреть влияние следующих каскадов (смесителя) на шумы
РПрУ.
Для расчета коэффициента шума РПрУ
рассмотрим упрощенную структурную схему РПрУ, рис.4.1. Для упрощения схемы
синтезатора частот РПрУ, используем субгармонический смеситель (работающий на
второй гармонике частоты гетеродина). Коэффициент передачи такого смесителя
составляет около минус 13 дБ. Рассмотрим упрощенную структурную схему РПрУ для
двух вариантов:
. МШУ выполнен на двух одинаковых
усилителях. В этом случае приемное устройство может быть представлено в виде
трех каскадов имеющих следующие значения коэффициентов усиления: =22 дБ; K2=22
дБ; K3=-13 дБ;=2.3 дБ; W2=2.3 дБ; W3=2 дБ,
где К1, К2 - коэффициенты усиления
СВЧ смесителя;
К3 - коэффициент передачи
смесителя;, W2 - коэффициенты шума усилителя;- коэффициент шума ПУПЧ.
Рисунок 4.1 - Структурная схема РПрУ
Тогда значение коэффициента шума
РПрУ равно:


(4.1)
или Ks=10lg(1.7)= 2.3 (дБ).
. Коэффициент шума многокаскадного
усилителя с большими значениями коэффициентов усиления каскадов (K >> 1)
определяется коэффициентом шума первого каскада:


(4.2)
или Ks=10lg(1.8)=2.6 (дБ).
Учитывая, что шумовая температура
атмосферы равна Тш=300К, то изменением коэффициента шума от 1.7 до 1.8 можно
пренебречь и использовать один каскад усиления. Тогда значение коэффициента шума
РПрУ Ks = 1.8 (KsдБ = 2.6 дБ).
Ослабление зеркального канала может
быть рассчитано используя выражение (2.2), подставив в него вместо fцп, fЗК.
= 10*n*log|fС/(Q(fС-fЗК))|, (дБ)
(4.3)
или= 10*n*log|fС/2QfПР| = 20*log|14∙109/2*300*400*106|
= 49,3(дБ) (4.4)
4.2 Расчет энергетических
характеристик разрабатываемого устройства
Определим необходимое значение
мощности РПдУ для формата 16КАМ в следующей последовательности:
. Определим чувствительность
приемного устройства СВЧ модуля:
прmin = Ks kT0df, (4.5)
где - коэффициент шума РПрУ в разах
(Ks = 1.8); - постоянная Больцмана;- температура РПрУ в градусах Кельвина (T0 =
300);- полоса частот системы связи для заданного формата (62,5МГц).прmin =
1.8·1.4·10-23 ·300·62,5·106 = 4.73· 10-13 (Вт) (4.6)
.Определим мощность принимаемого
сигнала для обеспечения заданного значения вероятности ошибки:
Рс = Pпрmin100.1*С/(Вт) (4.7)
Рс = 4.76· 10-13 ·100.1·32.7 =
8.8·10-10 (Вт) (4.8)
Отношение сигнал/шум определено в
первом разделе (С/Ш = 32,7 дБ).
Для обеспечения полученного значения
мощности сигнала на входе приемного устройства на расстоянии R= 9000 м мощность
передатчика должна быть равна:

(4.9)
где G1, G2 - коэффициенты усиления
антенн передающего и приемного устройств;
λ - длина волны (
);
А - ослабление сигнала на
гидролокаторах (пыль, туман, дождь, снег и т.д.);
В соответствии с заданием диаметр
антенного устройства не должен превысить 0.4м.
Определим значение коэффициента
усиления антенны:

(4.10)
где Sэф - эффективная площадь
антенны.


(4.11)


(м2) (4.12)
Тогда Sэф*
Sг =
0.024м2.


(4.13)


(4.14)
Выбираем усилитель имеющий значение
выходной мощности в линейном режиме работы равную P1дБ = 55 мВт.
5. Выбор микросхем для практической
реализации функциональных схем СВЧ-Т
В соответствии с исходными данными
система связи должна обеспечить передачу цифрового сигнала 150 Мбит/с используя
формат 64 КАМ. Анализ современной элементной базы показал, что в настоящее
время имеются недорогие усилители, обеспечивающие в диапазоне частот до 14 ГГц
значение коэффициента шума 2,6 дБ и мощность выходного сигнала 55 мВт.
Усилители большей мощности имеют большую стоимость и меньшую номенклатуру.
Для выбора усилителей используем
микросхемы, параметры которых приведены ниже:
Синтезатор частот выполнен на
микросхеме ADF 4107. Характеристики схемы приведены в таблице 5.1.
Таблица 5.1 - Характеристики схемы
ADF4107
|
Тип
синтезатора
|
Синтезируемая
частота, fвых МГц
|
Опорная
чатота, fвх, МГц
|
Коэффициент
деления
|
Частота,
fфд, макс, МГц
|
Разрешение
|
|
|
|
R
|
N
|
|
∆N
|
∆f,кГц
|
|
Одноканальные
синтезаторы типа Integer- N
|
|
ADF4107
|
1000…7000
|
20…250;<20
|
1…16383
|
56…524287
|
104
|
1
|
1,9…13,35
|
Делитель частоты выполнен на микросхеме HMC 432.
Характеристики схемы приведены в таблице 5.2.
Таблица 5.2 - Характеристики схемы НМС 432
|
Part
number
|
Function
|
Input
Freq. (GHz)
|
Input
power (dBm)
|
100 kHz SSB Phase Noise (dBc/Hz)
|
Output
Power (dBm)
|
Bias
supply
|
Package
|
|
|
min
|
max
|
|
|
|
|
|
|
HMC492LP3
|
Divide-by-2
|
0.2
|
18
|
-15
|
-150
|
-4
|
+5V,
78mA
|
Chip
|
МШУ выполнен на микросхеме HMC565. Её параметры
приведены в таблице 5.3.
Таблица 5.3 - Характеристики микросхемы НМС 565
|
Part
number
|
Function
|
Frequency
Range (GHz)
|
Gain
(dB)
|
OIP3
(dBm)
|
NF
(dB)
|
OP1dB
(dBm)
|
Package
|
|
НМС565
|
Low
noise amplifier
|
12-20
|
22
|
20
|
2.5
|
10
|
Chip
|
В результате выполнения четвертого раздела
получили следующие результаты:
) Рассчитано значение коэффициента шума РПрУ:
Ks = 1,8 или KsдБ = 2,6 дБ.
) Рассчитано значение мощности выходного каскада
РПдУ при отсутствии потерь в атмосфере:
-
Pп=55 мВт.
) Произвели выбор необходимых
микросхем:
МШУ на микросхеме HMC 565;
СЧ на микросхеме ADF 4107;
ДЧ на 2 на микросхеме HMC432.
Заключение
В данном курсовом проекте
разработаны функциональные узлы цифровой системы передачи, использующей
QAM-модуляцию (QAM-64). В результате проанализированы характеристики системы
для заданного вида модуляции: определены ширина спектра выходного сигнала,
требования к линейным и нелинейным искажениям, погрешность разности фаз квадратурных
составляющих. Разработана структурная схема приемопередающего устройства,
обоснован выбор типа микросхем для построения системы связи. Разработаны
отдельные узлы приемопередающего устройства: синтезатор частот, модулятор,
выходной каскад.
Список литературы
1. Кореневский
С.А. «Методы и устройства формирования и обработки телекоммуникационных
сигналов. Часть 3»: Метод. пособие по курсовому проектированию для студ. спец.
«Системы радиосвязи, радиовещания и телевидения», «Многоканальные системы телекоммуникаций»
/всех форм обуч. Мн.: БГУИР, 2006 г. - 52 с.
2. Кореневский
С.А. «Методы и устройства формирования и обработки телекоммуникационных
сигналов. Часть 2»: Метод. пособие для проведения практических занятий «Системы
радиосвязи, радиовещания и телевидения», «Многоканальные системы
телекоммуникаций» /всех форм обуч. Мн.: БГУИР, 2005 г. - 53 с.
. Клюев
Л.Л. «Теория электрической связи».- Мн.: Дизайн ПРО, 1998 г. - 335 с.