Решение уравнений в радикалах

  • Вид работы:
    Дипломная (ВКР)
  • Предмет:
    Математика
  • Язык:
    Русский
    ,
    Формат файла:
    MS Word
    138,87 kb
  • Опубликовано:
    2011-08-26
Вы можете узнать стоимость помощи в написании студенческой работы.
Помощь в написании работы, которую точно примут!

Решение уравнений в радикалах















Решение уравнений в радикалах

Содержание

Введение

Глава 1

Глава 2

Заключение

Список литературы

Введение

Предметом исследования в данной работе является решение уравнений в радикалах (история вопроса).

Объектом исследования в работе является жизнь и научная деятельность (а именно решение кубических уравнений в радикалах) итальянского математика эпохи Возрождения Джироламо Кардано. О котором так писал Г. Э. Лессинг (1729- 1781): «Этот исключительный гений поверг все будущие поколения в сомнения относительно него. Приходится верить, что величайший разум очень тесно связан с величайшим сумасбродством, или его характер останется неразрешимой загадкой» (Гутер, Полунов 1980: 40).

Цель работы заключается в том, чтобы выяснить, как был открыт метод решения кубических уравнений в радикалах Джироламо Кардано и какие события в его жизни, в жизни Италии и мира предшествовали этому.

Цель работы определила следующие ее задачи:

Попытаться описать жизнь Италии и мира того времени, когда жил и творил Джироламо Кардано. Описать жизнь самого Кардано.

Попытаться описать, как именно Джироламо пришел к решению кубических уравнений в радикалах.

Практическая значимость работы заключается в том, что кубические уравнения применяются в инженерии, в архитектурном деле, в механике и в других областях науки, в которых необходимо проводить сложные математические вычисления.

Глава 1

 XVI век - последний век эпохи Возрождения- этого «величайшего прогрессивного переворота из всех, пережитых до того времени человечеством» (Ф.Энгельс); век, когда, расшатывая религиозно- схоластические представления о мироздании, начала зарождаться новая наука, свободная от теологической опеки и обращенная к природе и человеку. В XVI веке европейские математики сумели, наконец, сравниться в мудрости с древними греками и превзойти их там, где успехи эллинов были не велики: в решении уравнений. Такой прорыв в неведомое стал итогом долгой культурной революции. Она началась в 14 веке, когда в Италии появились первые великие поэты Нового времени: Данте Алигьери (1265-1321) и Франческо Петрарка. Подобно Гомеру, они объявили своим современникам: пришла пора строить новый мир, равняясь на античные образцы и стараясь их превзойти!

XVI век - век Леонардо да Винчи, Тициана, Лодовико Ариосто, Микеланджело Буонарроти, Фернана Магеллана, Николая Коперника, Мартина Лютера, Эразма Роттердамского, Тихо Браге, Андрея Везалия, Франсуа Виета, Джордано Бруно и многих, многих других. Это и век Джироламо Кардано - итальянского математика, врача, философа, инженера и писателя.

Он жил в трудное для Италии время: страна, государственно раздробленная, придавленная прессом феодально-католической реакции, не раз подвергавшаяся нашествиям иностранных войск, переживала глубокий политический кризис. Городские коммуны Италии XIV-XVI веков были во многом похожи на полисы Эллады. На их улицах гремели столь же бурные политические споры и религиозные проповеди, а в залах университетов обычные лекции чередовались с публичными диспутами на самые разные темы. Существуют ли в природе те «универсалии», о которых писал Платон? Например, законны ли общие понятия «овощ» и «фрукт» - или существуют только репа и капуста, яблоко и персик? Возможны ли в геометрии новые теоремы, не известные Евклиду? Можно ли решить те геометрические задачи, которые были не под силу древним грекам - например, разделить любой угол на три равные части?

Когда распространилось книгопечатание, споры этого рода начали волновать не только узкий круг профессионалов. Теперь каждый образованный человек мог заглянуть в книгу Евклида или Архимеда и составить свое мнение об их открытиях. Итальянские художники XV века научились применять стереометрию в живописи. Они изобрели технику перспективы, благодаря которой плоские изображения пространственных тел кажутся неотличимы от реальных предметов. Особенно отличился в этой области Леонардо да Винчи из Флоренции (1452-1519). Следуя по стопам Архимеда, он применял геометрию к решению механических задач: например, Леонардо рассчитал и построил водолазный колокол, создал проекты подводной лодки и вертолета.

Ровесник Леонардо - профессор Сципион дель Ферро из Болоньи (1465-1526) посвятил всю жизнь решению различных алгебраических уравнений. Затруднения, связанные с неудобными обозначениями неизвестных величин и действий над ними, были огромны. Попробуйте, например, решить квадратное уравнение, не используя знаки (+), (-) и др., а заменяя их словами! Сципион преодолел эти трудности. Комбинируя решение квадратного уравнения с извлечением кубического корня, он сумел решить уравнение вида (х.. = рх + q). Оказалось, что оно имеет 3 разных корня, и что к нему сводится произвольное кубическое уравнение вида (ах.. + вх.. + сх + d = 0). Сейчас эти факты очевидны для каждого старшеклассника, видавшего график функции (у = х..) и понимающего, что такое линейная замена переменной в многочлене. Но итальянцы 16 века не ведали понятий "функция", "график" и "многочлен"!

Характерно, что Сципион дель Ферро не опубликовал свое открытие в печати. Он не смог изложить его просто и доступно для любознательного студента, а оставил лишь записи, понятные математикам высшей квалификации. Один из таких читателей - Николо Фонтана из Брешии (...) по прозвищу Тарталья ("Заика") - разобрался в записях Ферро и начал применять кубические уравнения при составлении и решении новых алгебраических задач. Эти задачи он предлагал своим коллегам-соперникам на регулярных диспутах, похожих на современные олимпиады для школьников или на шахматные турниры. Победа на таком турнире была очень важна для профессора: чем ярче его успех, тем больше студентов посещают его лекции, и тем выше оплачивают его труд городские власти!

Некоторое время Никколо Тарталья был почти непобедим в математических соревнованиях; сравниться с ним мог только Джироламо Кардано из Павии. В 1535 году, обсуждая итоги очередного турнира, Тарталья и Кардано заговорили о решении кубических уравнений. Тут Тарталья (нечаянно, или ради похвальбы) сообщил Кардано, что он знает способ решения кубических уравнений, открытый еще профессором Ферро.

Мы не знаем, сколь много нового рассказал Тарталья Кардано. Но мастеру хватило этой информации для полного решения кубического уравнения; в итоге Кардано сравнялся с Тартальей в алгебраическом мастерстве. Он не стал скрывать свое умение от всех, а поделился им со своим лучшим учеником - Лодовико Феррари. Тот, придя в восторг, попробовал развить новую технику для решения уравнений степени 4 - и преуспел в этом деле. Тут Кардано почувствовал, что в математике назревает переворот. Кто первый поведает людям о новых алгебраических открытиях - тот прославится на весь мир и встанет вровень с Евклидом!

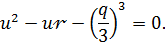
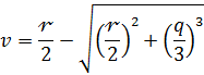
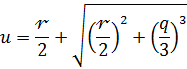
В 1545 году Кардано опубликовал книгу "Великое искусство", в которой дал полное решение уравнений-многочленов степени 3 или 4 и тех задач, которые к ним сводятся. При этом Кардано честно написал о заслугах Ферро, Тарталья и Феррари. Тем не менее, Тарталья был возмущен: у него украли его тайную славу! Последовал долгий ожесточенный спор, завершившийся уроком на все времена. Честь нового открытия достается тому, кто первый сообщит о нем широкой публике во всех подробностях! Так способ решения кубического уравнения (х.. = рх + q) получил название "формула Кардано":

Кардано выполнил линейное преобразование, позволяющее привести кубическое уравнение к виду, свободному от члена 2-ой степени; указал на зависимость между корнями и коэффициентами уравнения, на делимость многочлена на разность x-a, если a-его корень. Кардано одним из первых в Европе допускал существование отрицательных корней уравнений.

Формула Феррари для корней многочлена степени 4 выглядит еще сложнее, поскольку в ней решение идет в два этапа. Сначала по уравнению степени 4 составляется вспомогательное кубическое уравнение, а потом по нему - квадратное уравнение.

Решение уравнений-многочленов степеней 3 и 4 стало крупным успехом новой европейской математики. Но за всякий успех приходится платить. Платой за удачи Кардано и Феррари оказалось появление МНИМЫХ чисел. Так были названы квадратные корни из отрицательных чисел. Они неизбежно возникают при решении кубического уравнения по способу Кардано, даже если такое уравнение имеет три действительных корня.

В середине 16 века европейские математики уже привыкли к целым и дробным, отрицательным и иррациональным числам. Любые два числа этих сортов можно сравнить по величине и изобразить точками на числовой прямой: (а) лежит справа от (в), если а<в. Но выражения вида  или 1 +не удается вписать в эту общую картину! И хотя было понятно, как проделывать над ними арифметические действия и даже как извлекать из них корни - но придумать для новых чисел удачные геометрические "портреты" математики сумели лишь к концу 18 века. До тех пор "мнимые" числа считались безобразным промежуточным продуктом неискусных вычислений: их терпели, но избегали говорить и думать о них. Вспомним, что на 20 веков раньше Пифагор и его ученики так же относились к новонайденным иррациональным числам!

Джироламо Кардано (1501-1576) был одним из выдающихся и разносторонних ученых эпохи Возрождения. Родился в Павии. Отца звали Фацио. Доктор права и медицины одновременно, «хорошо сведущий в математике», Фацио пользовался в Милане известностью благодаря своей учености, вспыльчивости и далеко не добродушному юмору. К деньгам относился беззаботно и легко давал в долг; среди знакомых слыл любителем порассказать всякие загадочные истории, но друзей имел немного. Среди них Фацио выделял сенатора Анджело Сельватико, своего бывшего ученика, и механика Галеаццо дель Россо, изготовлявшего замечательные мечи и небывалой крепости доспехи. Верил Фацио в духов и демонов и почитал великого геометра эллинов Евклида. На хлеб насущный зарабатывал как юрист и преподаватель гражданского права и математики; был близок кругу миланских ученых и инженеров, в который входили математик Лука Пачоли, архитектор Донато Браманте, члены инженерной коллегии Пьетро Монти, Джакомо Андреа Феррари и Леонардо да Винчи. Великий Леонардо неоднократно советовался с мессером Фацио по вопросам геометрии.

Фацио противился появлению на свет ребенка, которого Клара (мать Джироламо Кардано), будучи вдовой, носила под сердцем. Ему (Фацио) было пятьдесят шесть лет, он был на двадцать два года старше Клары. Дочь математика Джакомо Микери Клара «была вспыльчива, обладала хорошей памятью и даровитостью, была невысокого роста, скорее тучная, и отличалась благочестием» (что, как мы видим, не помешало ей иметь внебрачного ребенка). Когда Джироламо было чуть больше месяца, дети Клары от брака с неким Антонио Альберио - два сына и дочь - умерли от чумы в Милане.

Долгая и бурная жизнь Кардано была полна взлетов и падений. Он то становился аскетом, то предавался всевозможным излишествам; он знал застенки инквизиции и дворцы вельмож, ему пришлось познать голод, нищету, унижения, обиды, но и вкусить славу лучшего врача Европы, советов которого домогались папы и государи, авторитетного математика, известного литератора, автора многих десятков книг. Почти ровесник своего века, он усвоил и принял все его предрассудки и заблуждения: с гениальными алгебраическими открытиями у него соседствуют астрологические изыскания, описания хитроумных механизмов перемежаются сообщениями о чудесах, различных пророчествах и чудищах. Бесстрашный философ, отрицавший бессмертие души, он приходил в трепет от любого дурного предназначения и твердо верил в амулеты, признавал «вещие сны», хиромантию и мистическую власть чисел.

Для нас, конечно, важны не заблуждения Кардано, столь характерные не только для него, но и для его времени, а замечательные математические открытия. История навсегда сохранит его имя среди имен тех, кто, по выражению А. И. Герцена, «приготовил пропилеи новой науки»: «Во главе их (не по времени, а по мощи)- Джордано Бруно, потом Ванини, Кардан, Кампанелла, Телезий, Парацельс и другие. Главный характер этих великих деятелей состоит в живом, верном чувстве тесноты, неудовлетворенности в замкнутом кругу современной им науки, во всепоглощающем стремлении к истине, в каком- то даре предвидения ее».

Глава 2

Математические работы Кардано - «Практика общей арифметики и простые измерения», «Великое искусство, или О правилах алгебры», «Правила Ализа», «Великое искусство арифметики», «Новое сочинение об отношениях чисел», «Об игре в кости» и некоторые другие - собраны в четвертом томе лионского издания сочинений Миланца(1663).Он писал почти обо всем, что знала математика Возрождения, перемежая по своему обыкновению новые, собственные результаты с теми, которые уже были получены другими авторами. Однако ни в одной из областей математики его достижения не являются столь весомыми и неоспоримыми, как в алгебре.

В первой главе «Великого искусства» Кардано называет создателем алгебры «Мохаммеда, сына араба Мусы». Очевидно, он имел в виду Мухаммеда ибн Муса ал - Хорезми (787ок.850), написавшего в 820 году «Краткую книгу об исчислении ал - джабра и ал - мукабалы». Название трактата ал - Хорезми соответствует методам решения уравнений: ал - джабр (восстановление) означает перенос отрицательного члена в другую часть уравнения с положительным знаком, действие ал - мукабалы (противопоставления) заключаются в уничтожении в обеих частях уравнения одинаковых членов (приведении подобных). Выполнив, например, преобразования уравнения  произведем операции ал - джабр и ал - мукабала соответственно. В «Краткой книге» содержались методы решения уравнений первой и второй, которые автор приводил в числовой форме, но сопровождал геометрическими доказательствами, заимствованными арабской наукой у древних греков. Сочинение «Мохаммеда, сына араба Мусы», переведенное на латинский язык, пользовалось большой известностью в средневековой Европе. Поначалу переводчики полностью переписывали заглавие «Краткой книги», но постепенно вторая часть стала воспроизводиться все реже и, наконец, совсем исчезла. Осталось только слово «ал - джабр», которое затем превратилось в «алгебру». Аналогично слово «алгорифм» (алгоритм) произошло от «ал - Хорезми». Интересно, что «ал - джабр» имеет также смысл «исправление того, что сломано». Историк математики В.П.Шереметьевский указывал, что в народном испанском языке слово algebraista означает «костоправ».

Алгебраические термины, которые использовали переводчики ал - Хорезми, представляли собой латинские эквиваленты арабских слов, обозначающих те же понятия. Неизвестная называлась res (вещь) или radix (корень), квадрат неизвестной- census (имущество), куб- cubus (куб), постоянная в уравнении- numerus (числа). Позднее итальянские математики использовали вместо латинского res народное cosa и иногда именовали алгебру arte della cosa. Немцы в XV веке исказили cosa в coss, поэтому немецких алгебраистов называли также и «коссистами». Упоминается «коссическое искусство» или «косс» и в первой русской арифметике Л.Магницкого.

Спустя примерно 350 лет после смерти ал - Хорезми результаты арабских алгебраистов изложил в своей «Книге абака» сын купца Боначчи из Пизы Леонардо, известный в истории математики как Леонардо Пизанский, или Фибоначчи. Его сочинение во многом способствовало усилению интереса европейцев к алгебре и появлению других алгебраических работ. Европейская алгебра (как, впрочем, и арабская) вплоть до XV века не использовала символы, поэтому уравнения записывались в словесной форме. Например, запись уравнения  выглядела так: census et radices aeguantur numeris (квадрат и корни равны числам). Символическая алгебра впервые появилась в книге «Сумма» Луки Пачоли.

В своей «Сумме» Лука Пачоли рассматривал правила решения уравнений первой и второй степени, а также некоторых частных видов уравнений четвертой степени. В соответствии с традицией, идущей от ал - Хорезми, он указывал для квадратных уравнений два корня, но отрицательный опускал; не рассматривались им также корни равные нулю. Что же касается уравнений третьей степени, то Пачоли отрицал возможность их решения. «Сумма» как бы подводила итоги результатам, полученным в алгебре до XV века. На это сочинение опирались в своем творчестве выдающиеся итальянские алгебраисты XV века - дель Ферро, Тарталья, Кардано и Бомбелли.

Основная алгебраическая проблема, занимавшая Кардано,- изыскание способов решений уравнений третьей и четвертой степеней. В соответствии с математическими традициями своего времени он рассматривал только уравнения с положительными коэффициентами, поэтому, например, уравнение ,где >0 или<0, распадалось у него на три отдельных случая:  (эти уравнения вслед за Кардано назовем «уравнениями Тартальи»). Кардано никогда не записывал уравнения в канонической форме (Идея приравнивания уравнения нулю была чужда математикам Возрождения. Впервые каноническую форму уравнения привел англичанин Т.Гэрриот (1580- 1621) в книге «Применение аналитического искусства».), но следил, чтобы коэффициент при старшей степени неизвестной был равен единице. Математическая символика Кардано заимствована в основном у Пачоли.

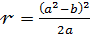
Первые попытки решения кубического уравнения встречаются уже в «Практике арифметики». Правда, Кардано удалось справиться лишь с уравнениями частного вида, но методы, которые он применял, заслуживают внимания, так как впоследствии он с успехом использовал их и в «Великом искусстве». Он подметил, что кубическое уравнение иногда удается решить, если добавить в обе его части одно и то же выражение, так, чтобы образовался общий делитель, который можно было бы сократить. При этом решение кубического уравнения сводилось к решению квадратного! Например, если в обе части уравнения  добавить ,то после преобразований можно получить или откуда .

Но частный результат, каким бы изящным методом он ни достигался, не идет ни в какое сравнение с общей формулой решения, которую Кардано так и не удалось отыскать. Поэтому можно представить себе его возбуждение, когда он узнал, что подобной формулой владеет простой учитель арифметики (Тарталья). В конце концов, Миланцу удалось заполучить «великий секрет», и с этого времени начинается второй и наиболее плодотворный этап его алгебраического творчества. Но для того, чтобы по достоинству оценить результаты миланского врача, необходимо вернуться к работам Тартальи, ибо они были тем самым исходным пунктом, от которого началось восхождение Кардано к «аналитическим вершинам».

Первым кубическим уравнением, решенным Тартальей, было уравнение вида

 (1)

Он никогда не писал о пути, приведшем его к решению, но итальянскому историку математики Э.Бортолотти удалось восстановить ход его рассуждений. кардано кубический уравнение радикал

Предположим, что корнем (1) является выражение

. (2)

Возведем обе части его в квадрат и куб, получим соответственно

 (3)

 (4)

Умножим обе части (3) на  , а обе части (4) на  , сложение полученных результатов даст

 (5)

Теперь разделим почленно (5) на :

 . (6)

Из сравнения уравнений (1) и (6) следует, что

 (7)

 . (8)

Найдем из (7)  и, подставив в (8), получим

. (9)

И если постоянный член уравнения (1) определяется выражением (9), то одним из его корней будет  .

Это важный, но все-таки частный результат. Все, что удалось найти Тарталье, заключается в обнаружении одного из корней (1) и открытия способа составления кубического уравнения по его заданному корню типа Для того же, чтобы получить общую формулу решения, необходимо определить значение  из (9), то есть опять-таки решить полное кубическое уравнение. Чего Тарталья сделать не мог.

Следующим его достижением было решение уравнения вида

 (10)

Вероятно, так же как и в предыдущем случае, он попытался искать решение в форме какого- либо иррационального выражения и методом «проб и ошибок» привел к двучлену

 (11)

Если возвести (11) в куб:

 (12)

Помножим обе части (11) на :

 (13)

и почленно сложить (12) и (13), то придем к уравнению


Из сравнения (10) и (14) следует, что

 (15)

Из (15) получим уравнение для отыскания :


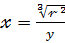
Оно решается в радикалах. Найдем отсюда  


Таким образом, мы придем к знаменитой формуле, которая во всех учебниках алгебры именуется (не совсем справедливо) формулой Кардано:


Аналогичным путем, отправляясь от выражения


Тарталья получил решение уравнения вида

 (16)

марта 1539 года он сообщил «великий секрет» Кардано в виде capitola in rima (главы в стихах):

Когда куб рядом с вещью

Вместе равны какому- либо числу,

То найди два других числа,

На него разнящихся,

Потом допусти и всегда держись

Этого правила, что их произведение

Должно равняться кубу трети вещи.

Возьми от них стороны куба

И правильно вычти их.

Остаток даст тебе искомую вещь…

(«Куб рядом с вещью»- это ; «число»- ; «на него разнящихся»-; произведение, равное «кубу трети вещи»- ; «правильно вычти их»-; «остаток»- это ).

Далее аналогичным образом излагалось правило решения уравнения (16); что касается третьего уравнения

 , (17)

то здесь Тарталья ограничился следующим замечанием: «третье выражение… разрешается вторым ввиду того, что по природе своей они почти совпадают».

Этот «кулинарный рецепт», по характеру своему напоминавший правила средневековых практических арифметик, был, конечно, вполне достаточен для механического решения кубического уравнения, но не давал никаких указаний для понимания решения и доказательства формулы. Более того, даже такой опытный математик, как Кардано, поначалу его не понял. Попытавшись испытать формулу на уравнении , он запутался, так как вместо  ошибочно взял   и вынужден был обратиться к автору «рецепта» за разъяснением. Тарталья в письме от 25 апреля 1539 года привел решение уравнения и объяснил Миланцу его ошибку, добавив, что «справедливость и целесообразность такого способа действий (т.е. формулы) можно легко доказать геометрическим путем».

Итак, в начале мая 1539 года Кардано имел в своем распоряжении:

- зарифмованные правила решения уравнений (10) и (16);

- численный пример, разъясняющий применение правила для уравнения(10);

- указание на геометрический способ доказательства формулы.

Ему оставалось:

- найти правило решения уравнения(17);

- доказать «справедливость… такого способа действия»;

- найти способ решения остальных десяти кубических уравнений, иначе говоря, тех, в которых встречается квадрат неизвестной.

Результаты этих исследований Кардано вместе с изложением способа решения уравнений четвертой степени, предложенного Феррари, и образуют основное содержание «Великого искусства».

Решение уравнений Тартальи обсуждается в одиннадцатой- тринадцатой главах книги и предварительно в главе шестой, где геометрическим путем доказываются «три предполагаемых, чрезвычайно полезных выражения»:

, (18)

, (19)

 (20)

 Если (18) и (19) записать в виде:

, (21)

, (22)

то из (22) следует, что  удовлетворяет уравнению , когда  определяются из уравнений ; аналогично из (21) видно, что  удовлетворяет , если  находятся из уравнений , что согласуется с capitolo in rima.Кардано предоставил читателям возможность самостоятельно найти решение уравнений , ограничившись лишь сообщением конечных результатов. Он привел также формулу решения (17), хотя и не указал, каким способом она была получена. Историки математики полагают, что это было сделано следующим образом.

Рассмотрим уравнение (17) и вспомогательное уравнение

. (23)

Сложив почленно (17) и (23), получим

. (24)

После деления обеих частей (24) на  имеем

, (25)

 ,

где - корень уравнения(23),для которого применимо правило Тартальи. Здесь, таким образом, использован способ, который Кардано ранее уже применял в «Практике арифметики».

Доказательство формулы Тартальи Кардано дает геометрическим путем на частном примере- уравнении  .

Решению десяти уравнений третьей степени, в которых встречается слагаемое с ,Кардано посвящает главы с четырнадцатой по двадцать третью. Основная его идея состоит в том, чтобы, используя подстановки определенного вида, избавиться в этих уравнениях от квадратичного члена и свести их к одному из уравнений Тартальи. Иначе говоря, используя рациональное соотношение , он трансформирует различные типы уравнения  в различные типы уравнения  и определяет значения корней  первого уравнения в функции корней у второго. Для уравнения Кардано применяет подстановку  , в остальных девяти случаях использует выражения


(в зависимости от того, находится ли квадратичный член в правой или левой части соответственно). Кроме того, в уравнении  он иногда избавляется от квадратичного члена с помощью подстановки , а в уравнении - с помощью  .Кардано посвятил доказательству «справедливости и целесообразности» предложенных им подстановок отдельную, седьмую главу «Великого искусства», видимо, стоившую ему большого напряжения.

Остановимся на одном моменте, связанном с решением кубических уравнений, в которых встречается слагаемое с первой степенью неизвестного. Если к такому уравнению применить преобразование  ,тогда отрицательные значения  трансформированного уравнения будут соответствовать положительным значениям  исходного. Поэтому Кардано вынужден был принимать во внимание отрицательные и нулевые значения корней уравнения с . Признание отрицательных корней позволило ему, в частности, едва ли не первому прийти к мысли о существовании двух корней всякого квадратного уравнения. Однако подобно своим современникам Кардано рассматривал отрицательные числа как особый род величин, характеризуемый термином minus purum (чистый минус). Поэтому, не исключая из рассмотрения отрицательных корней, он не придавал им самостоятельного значения, называл их fictae(ложные) или falsae(фальшивые), в отличие от положительных, «истинных»(verae) корней, и рассматривал в качестве вспомогательного средства для нахождения положительных корней уравнений с неизвестной .

А для того чтобы найти отрицательные корни уравнения, Кардано пользуется еще одной подстановкой: .При этом преобразовании меняют знак слагаемые нечетной степени и остаются неизменными слагаемые четной степени, и, таким образом, уравнение трансформируется в другое, корни которого имеют то же абсолютное значение, что и у исходного, но противоположный знак. «Нахождением отрицательного корня мы всегда находим соответствующий положительный корень другого уравнения», - пишет Кардано. Он замечает, в частности, что если уравнение содержит только слагаемые четной степени и постоянные и если оно имеет положительные корни, то оно обладает столькими же отрицательными корнями с теми же абсолютными значениями.

Во многих главах « Великого искусства» Кардано приводит примеры кубических уравнений, которые могут быть решены не через общие формулы, а с помощью некоторых искусственных приемов. В частности, уравнения он рекомендует сначала преобразовать в  , а затем извлечь кубический корень из обеих частей. Особенно много таких примеров в других книгах Миланца- «Правило Ализа» и «Великое искусство арифметики».

Тридцать девятая глава « Великого искусства» посвящена уравнениям четвертой степени, их классификации и методам решения. Хотя Кардано привел в « Практике арифметики» несколько примеров уравнений четвертой степени, решенных им тем же приемом, который он применял и для кубических уравнений, найти общую формулу решения ему так и не удалось. Честь этого замечательного открытия принадлежит Лодовико Феррари.

Около 1540 года да Кои предложил ученику Кардано следующую задачу: «Разделить число 10 на три части так, чтобы они составляли геометрическую прогрессию, причем произведение первых двух частей равнялось 6». Легко видеть, что эта задача сводится к решению уравнения четвертой степени. Действительно, пусть  есть средняя часть. Тогда по условию:  , и, следовательно,

 (26)

Следуя приему, предложенному Кардано, Феррари прибавил к обеим частям (26) по , обратив тем самым левую часть уравнения в полный квадрат:

 (27)

Если бы правая часть (27) тоже была квадратом, то решение было бы очевидным. Поскольку это не так, то потребовалось дальнейшее развитие идеи Кардано, и Феррари задался целью найти выражение, содержащее новую неизвестную, которое, обращая в полный квадрат левую часть исходного уравнения, обращало бы (в зависимости от этой неизвестной) в полный квадрат также и правую часть. Обозначим новую неизвестную через  Очевидно, что для того, чтобы левая часть (27) обращалась при добавлении к ней новой неизвестной в полный квадрат ,ее необходимо дополнить выражением .

Тогда (27) представится в виде


Или


Определим теперь  из условия обратимости правой части в полный квадрат:

 .

Отсюда получаем кубическое уравнение, которое называют обычно кубической резольвентой и которое позволяет определить (поделив результат на 2):

 (29)

Полагая , представим (28) в виде:

 

 ,

откуда, после извлечения корня, имеем:

  . (30)

Итак, остается подставить в (30) значение , найденное из (29), и решить квадратное уравнение.

Изложив метод Феррари, Кардано дал его геометрическое доказательство и показал, что предложенная процедура справедлива не только для различных видов уравнений четвертой степени типа  (то есть уравнений без кубического слагаемого), но и для уравнений без линейного слагаемого (то есть , которые сводятся к уравнениям первого типа с помощью подстановки . Удивительно, что ни Феррари, ни Кардано не обратили внимания на то, что эта же процедура пригодна и для решения полного уравнения четвертой степени , так как подстановка  приводит его к уравнению без кубического слагаемого. И.Цейтен замечает по этому поводу: «Идея была слишком новой, чтобы Кардано попытался сделать из нее полную теорию, параллельно той, что он сделал для кубических уравнений, где любой пробел мог быть признаком незнания».

В той же тридцать девятой главе Кардано привел ряд примеров уравнений четвертой степени, которые он решил методом, отличным от предложенного Феррари.

После открытия способов решения уравнений третьей и четвертой степеней естественно ожидать появления попыток изыскания подобных же способов и для уравнений высших степеней. Принимал ли Кардано участие в этих попытках, неизвестно. Во всяком случае, он об этом не сообщает, ограничившись решением некоторых частных типов уравнений (например, уравнения  в «Правиле Ализа»).

В двадцать седьмой - тридцать восьмой главах «Великого искусства» Кардано привел множество приемов, позволяющих решать некоторые уравнения специального вида (например, ,) ,путем введения облегчающих вспомогательных величин, и предложил метод приближенного нахождения корней. Суть этого метода, названного автором «золотым правилом», состоит в следующем.

Пусть задано уравнение с положительными коэффициентами  . Тогда если для положительного целого  справедливо:  и  , то корень уравнения находится между значениями  . Поскольку

 ,

то в качестве второго приближения можно выбрать  и т.д. «Золотое правило» является дальнейшим развитием «правила двойного ложного положения», широко применявшегося арабскими алгебраистами.

Итак, усилиями дель Ферро, Тартальи, Кардано и Феррари в первой половине XVI века были открыты способы решения кубических уравнений четвертой степени. Предложенный Кардано прием искусственных подстановок оказался весьма плодотворным для дальнейшего развития алгебры. Он явился той почвой, на которой великому французскому математику Франсуа Виету (1540- 1603) удалось создать применяемый и сегодня «общий способ преобразования уравнений». Но заслуги миланского врача этим не ограничиваются: он первым из математиков не только дал способы решения уравнений, но и попытался проникнуть в их природу, сформулировать положения, общие для всех алгебраических уравнений. И в этом главная историческая ценность «Великого искусства»!

Прежде всего, заметим, что до появления этой книги уравнения с более чем одним корнем относили к диковинкам, а отрицательные корни, как правило, во внимание вообще не принимались. Кардано же, решая в восемнадцатой главе уравнения , нашел, что каждое из них имеет по три корня  соответственно. Более того, в первой главе книги, написанной, вероятно, позже остальных глав, он приводит примеры уравнений, имеющих различное число корней:

 ни одного отдельного корня,

 один корень (2),

два корня (3, -7),

 три корня (-3, 40-4, -40-4),

 четыре корня (2, -2, 3, -3).

Кардано, таким образом, возводит исключение в правило и открывает перед алгеброй широкие горизонты, закладывая основы для определения характера и числа корней уравнения по его виду и виду его коэффициентов. В «Великом искусстве» он учит различать не только характер корней трехчленных кубических уравнений, но задолго до Декарта высказывает основополагающую идею «правила знаков» («Если в данном уравнении  сосчитаем число перемен и повторений знаков между его последовательными членами, то окажется, что уравнение может иметь столько корней положительных, сколько перемен знаков, и столько корней отрицательных, сколько повторений знаков».) Относительно этого правила Кардано приводит в главе семнадцатой следующие соображения. Выделяя в уравнении «крайние деноминации» (члены) и «средние», или «вставные деноминации», он рассматривает такие случаи:

Крайние деноминации равны между собой (иначе говоря, все члены уравнения по одну сторону от знака равенства имеют более высокую степень, чем члены, находящиеся по другую сторону). Примеры: . В этом случае имеется одно изменение знака, и уравнение имеет один (положительный) корень.

Крайние деноминации равны средним. Примеры:. Здесь два изменения знака, и уравнение имеет два корня, если только оно не ложное.

Крайние и средние деноминации уравниваются, чередуясь между собой, как например, в уравнении . Здесь более чем два изменения знака, и уравнение может иметь три корня.

Кардано доказывает сформулированные положения. Например, в случае уравнения  его рассуждения таковы. Имеются величины , говорит он, которые доставляют . Тогда по мере увеличения  кубический член увеличивается быстрее, чем , а по мере того как  становится меньше,  уменьшается медленнее, чем , поскольку пропорция  увеличивается и уменьшается вместе с соответствующим изменением .

Следовательно, неравенство  можно преобразовать в равенство , которое можно заставить посредством изменения  как увеличиваться, так и уменьшаться. Поэтому уравнение имеет два корня.

Конечно, подобные доказательства лишены строгости, и их следует рассматривать скорее как комментарии к сформулированным положениям. Кардано использует их в главе первой, где анализирует характер корней трехчленных кубических уравнений. Для уравнения (17), например, он указывает следующие возможные случаи:

при  два корня, один положительный и один отрицательный, абсолютная величина положительного корня в два раза больше абсолютной величины отрицательного;

при  - три корня, один положительный и два отрицательных: абсолютная величина положительного корня является суммой абсолютных величин двух отрицательных корней;

при  - один корень, положительный.

Аналогичным образом анализируются остальные пять видов трехчленных уравнений. Как утверждал впоследствии голландский историк математики Н.Л. В. А. Гравелар, Карданово «различение характера корней в трехчленных уравнениях даже с современной точки зрения едва ли оставляет желать лучшего».

Хотя Кардано при изложении результатов своего исследования ограничился действительными значениями корней, все же мнимые величины не ускользнули от его внимания. Он впервые столкнулся с ними при решении уравнения (17), когда при  ему пришлось извлекать кубический корень из мнимой величины. После многих неудачных попыток, он понял, что столкнулся с «неприводимым случаем» (casus irreducibilis) и обратился за разъяснением к Тарталье, но тот не захотел (а точнее - не мог) помочь Миланцу. Этот «неприводимый случай» очень смущал Кардано, так как ограничивал применимость формулы дель Ферро - Тартальи. Он не понимал, почему, например, при решении уравнения  получается «бессмысленный» результат  , в то время как уравнению удовлетворяет «истинный» корень (рассматриваемое уравнение имеет два отрицательных корня:). Так же, как впоследствии Р.Бомбелли, он пытался свести кубические корни вида  к виду , чтобы при сложении мнимые числа исчезли. Он посвятил много времени этим попыткам, получил интересные частные результаты, которые затем привел в «Правиле Ализа», но окончательно справиться с «неприводимым случаем» так и не смог. Однако в процессе своих исследований Кардано сделал важный шаг в понимании природы мнимых величин, которые он называл «минусом корня» (radix m) или «воображаемым минусом» (m sophisticum).Решая задачу о делении 10 на две части, произведение которых равно 40 (то есть, определяя корень квадратного уравнения ), он получил  . При этом он показал, что если с этими числами производить вычисления как с обычными двучленами и полагать , то они действительно будут удовлетворять условию задачи. В тридцать седьмой главе «Великого искусства» Кардано ставит одну за другой четыре задачи, которые сводятся к решению уравнения ; требуется найти две величины, для которых:

сумма;

сумма

сумма

сумма.

Он отмечает, что вторая и третья задача дают «чистый минус», а первая и четвертая - «воображаемый минус». Он вычисляет суммы и произведения полученных ответов и подчеркивает, что первые всегда равны коэффициенту при первой степени неизвестной (), а вторые - свободному члену ().

Из приведенных примеров ясно, что Кардано понимал необходимость учета комплексных корней при решении квадратных уравнений. Но более того, в тех случаях, когда ему удавалось свести решение кубического уравнения (например,  к решению квадратного (, которому удовлетворяли комплексные корни- , от внимания не мог ускользнуть тот факт, что среди корней исходного уравнения также имеются и корни комплексного вида:  . Поэтому можно утверждать, что современное деление корней на положительные, отрицательные и комплексные, о котором впервые четко было заявлено в книге «Новое открытие в алгебре» (1629) голландца Альбера Жирара (1590- 1632) , ведет свое начало от «Великого искусства». Но вместе с тем необходимо отметить, что Кардано, свободно складывавший и перемножавший мнимые числа, так и не понял окончательно их природы и считал их совершенно ненужными и бессмысленными. Именно по этой причине он не мог справиться с «неприводимым случаем», заслуга в разрешении которого принадлежит Р. Бомбелли, А. Жирару и другим математикам.

Кардано знал и говорил о некоторых соотношениях между корнями и коэффициентами уравнения. В главе восемнадцатой, решая уравнения:

,

,

он делает вывод: «Ясно, что коэффициент при второй степени неизвестной в этих примерах, в которых  имеет три значения, всегда можно найти путем их сложения». Иначе говоря, для уравнения  наблюдается соотношение , где  - корни уравнения. Тот факт, что Кардано пришел к своему открытию через решение этого уравнения, легко объясним: оно является единственным из тринадцати кубических уравнений, у которого «крайние деноминации» равны средним «переменным», и, таким образом, возможно появление трех положительных корней.

Впоследствии Кардано, однако, не подчеркивает, что это положение имеет особую силу, так как среди действительных корней обнаруживаются отрицательные корни при условии, что можно предположить следующее: «сложить минус» сводится к тому же, что и «отнять плюс» (глава восемнадцатая). Он приводит это выражение и в первой главе, поясняя уравнения , и говорит, что разность (абсолютной величины) между положительными и отрицательными корнями этого уравнения означает коэффициент при квадратичном члене. Кардано иллюстрирует свое утверждение с помощью уравнения  , три корня которого равны 3,. Он знает, что это же положение относится и к уравнениям (16) и (17), в которых отсутствует член с  и, значит, сумма корней равна нулю (при  - три корня, один положительный и два отрицательных: абсолютная величина положительного корня является суммой абсолютных величин двух отрицательных корней). Действительно, Кардано сводит решение уравнения (17) к решению квадратного уравнения (25). Следовательно, (17) соответствуют две величины, для которых - положительный корень уравнения (23) - является суммой. Кроме того, знак минус перед  означает, что сумма корней этого уравнения равна нулю (излишне говорить, что Кардано знал о зависимости, которая существует между корнями квадратного уравнения и коэффициентом  при первой степени неизвестной).

Наконец, решение уравнения третьей степени, в котором встречается квадратичный член, Кардано сводит посредством подстановки  к решению уравнения третьей степени без этого члена. Это уравнение должно иметь вид , если  - действительные величины, для чего, как мы уже видели, должно соблюдаться равенство , следовательно, .

Таким образом, Кардано можно с полным правом считать предшественником Ф. Виета, Т. Гэрриота и А. Жирара, сформулировавших положение о зависимости коэффициентов и корней уравнений.

Скажем немного о результатах, полученных Кардано в других областях математики.

В «Новом сочинении об отношениях чисел» он касается некоторых вопросов комбинаторики, основываясь главным образом на рассмотрении свойств таблицы биноминальных коэффициентов, получившей впоследствии название «треугольника Паскаля». Этот «треугольник» до него уже был опубликован М. Штифелем (1549), И.Шейбелем(1545), Ж. Пелетье (1549), Хр. Рудольфом (1553) и Н. Тартальей(1556). Он выписывает все пятнадцать сочетаний из шести элементов по два, утверждая без доказательства справедливость соотношения ; наконец, приводит правило для нахождения элементов «треугольника Паскаля», из которого следует, что ему было известно важное соотношение

 .

Если бы Кардано применил это правило для разложения двучленов, он мог бы предвосхитить биноминальную теорему для положительных степеней. Но вместо этого он обратился к примерам использования чисел «треугольника» в музыкальных гармониях.

До появления методов анализа бесконечно малых комбинаторика являлась основным аппаратом теории вероятности - еще одним разделом математики, привлекавшим внимание Кардано. Он рассматривал некоторые вероятностные задачи, связанные с игровыми ситуациями, в «Практике арифметики», причем, как утверждает советский историк науки Л. Е. Майстров, фактически уже пользовался теоремой сложения вероятностей, которая появилась значительно позже.

Существенным шагом в развитии вероятностных представлений явилась другая его книга «Об игре в кости». Тщательное изучение этой интересной работы было предпринято известным норвежским математиком О. Оре в 1953 году и Л. Е. Майстровым - в 1968 году. Оценивая достижения Миланца, Майстров писал: «Работа Кардано - существенный шаг в развитии вероятностных понятий и представлений. Он сделал правильный подсчет количества всевозможных исходов как без повторений, так и с повторениями, при бросании двух и трех игральных костей. Он подошел к пониманию статистической закономерности, высказал некоторые соображения относительно вопроса, который впоследствии будет назван законом больших чисел. Он, наконец, близко подошел к определению вероятности через отношение равновозможных событий, используя представление о математическом ожидании, ввел, по существу, понятие безобидной игры».

Писал Кардано о совершенных и треугольных числах, о связи «магических» квадратов с планетами, о «полезных и вредных для человека числах», о различных геометрических проблемах, о правилах коммерческой арифметики, о календарных вычислениях и о многом, многом другом. Но все, что было сделано или написано им в различных областях математики, не идет в сравнение с его алгебраическими результатами, так как «никто иной не проник в тайну arte della cosa тех дней, как Джироламо Кардано, Миланец» (Р. Бомбелли, «Алгебра», 1572).

Заключение

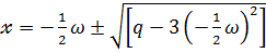
 Итак, предметом нашего исследования стало решение уравнений в радикалах (история вопроса). Мы рассмотрели, каким образом в эпоху Возрождения были решены уравнения третьей степени. Мы выяснили, что эти уравнения были решены в радикалах Джироламо Кардано - итальянским математиком, врачом, естествоиспытателем и изобретателем - одним из выдающимся ученым эпохи Возрождения. Формула Кардано для решения уравнений третьей степени в радикалах выглядит так:


Таким образом, объектом исследования нашей работы стала жизнь и научная деятельность (а именно решение кубических уравнений в радикалах) итальянского математика эпохи Возрождения Джироламо Кардано (1501- 1576).

Наша цель работы заключалась в том, чтобы выяснить, как был открыт метод решения кубических уравнений в радикалах Джироламо Кардано и какие события в его жизни, в жизни Италии и мира предшествовали этому. Этой цели я считаю, мы достигли. Задачи, которые ставили в работе мы также выполнили.

Мы описали жизнь Италии и мира того времени, когда жил и творил Джироламо Кардано. Описали жизнь самого Кардано.

Мы описали, как именно Джироламо пришел к решению кубических уравнений в радикалах.

Решение уравнений в радикалах очень важное открытие эпохи Возрождения. Оно прославило на века имя Джироламо Кардано. Кубические уравнения применяются в инженерии, в архитектурном деле, в механике и в других областях науки, в которых необходимо проводить сложные математические вычисления.

Похожие работы на - Решение уравнений в радикалах

 

Не нашли материал для своей работы?
Поможем написать уникальную работу
Без плагиата!
Без нейросетей!