Ревизия основных средств

  • Вид работы:
    Дипломная (ВКР)
  • Предмет:
    Бухучет, управленч.учет
  • Язык:
    Русский
    ,
    Формат файла:
    MS Word
    191,07 kb
  • Опубликовано:
    2012-01-24
Вы можете узнать стоимость помощи в написании студенческой работы.
Помощь в написании работы, которую точно примут!

Ревизия основных средств

МИНИСТЕРСТВО ОБРАЗОВАНИЯ И НАУКИ РОССИЙСКОЙ ФЕДЕРАЦИИ

Федеральное агентство по образованию

негосударственное образовательное учреждение высшего

профессионального образования

«СЕВЕРО-КАВКАЗСКИЙ ГУМАНИТАРНО-ТЕХНИЧЕСКИЙ ИНСТИТУТ»




КУРСОВАЯ РАБОТА (проект)

По дисциплине «Аудит»

На тему «Ревизия основных средств»











Ставрополь, 2007

Содержание

Введение.

Глава 1. Понятие основных средств.

.1. Определение основных средств.

.2. Информационная база.

.3. Классификация основных средств.

.4. Отражение основных средств на счетах бухгалтерского учета и их оценка.

Глава 2. Ревизия основных средств.

.1. Переоценка основных средств.

.2. Декапитализация основных средств.

.3. Восстановление основных средств.

.4. Выбытие основных средств.

.5. Особенности учета основных средств у арендодателя (лизингодателя).

Глава 3. Аудиторское заключение.

Заключение.

Список использованных источников.

Приложения.

Введение


Основные средства формируют основную составляющую материально-технической базы организаций и играют важную роль в осуществлении ведущих направлений их деятельности. С развитием рыночных отношений в учете основных средств произошли существенные изменения. Эти изменения коснулись: состава и структуры основных средств; амортизации их стоимости; учета долгосрочных инвестиций; учета операций, связанных с лизингом и арендой имущества; переоценки стоимости основных средств; учета и финансирования затрат на ремонт основных средств; учета реализации и прочего списания основных фондов. Аудиторская проверка, следовательно, должна проводиться по указанным направлениям.

Таким образом, конкретная цель аудита основных средств - проверка правильности формирования состава, полноты и реальности учета основных средств и достоверности амортизации их стоимости.

Программу внутреннего контроля основных средств и соответствующих хозяйственных операций обычно не разрабатывают, потому что у большинства организаций таких операций немного и издержки на специальный контроль не оправдываются.

Поэтому обзор внутреннего контроля и системы учета основных средств необходимо осуществлять при большом количестве операций. Перечень основных средств в проверяемой организации может быть небольшим, но операции по их движению могут оказаться многочисленными и риск неэффективности контроля может считаться высоким. Когда же налицо небольшое количество основных операций и существенный аудит каждой уже проведен, то тест контроля обычно не используется. Однако в любом случае аудиторские процедуры должны быть направлены на изучение системы учета, поскольку требуется определить, какая информация может быть получена.

Глава 1. Понятие основных средств

.1 Определение основных средств

Основные средства - это внеоборотные активы, отвечающие определенным критериям и обладающие материально-вещественной структурой.

В этом определении присутствуют следующие ключевые понятия: основные средства; внеоборотные активы; определенные критерии; материально-вещественная структура.

Основные средства - это словосочетание подчеркивает тот факт, что именно это имущество определяет материально-техническую базу и производственный потенциал предприятия. Вместе с тем основные средства - это чисто отечественная характеристика, которая отсутствует в учете большинства стран. Как правило, большинство зарубежных бухгалтеров используют более конкретные понятия - оборудование, здания и т. д.

Как и нематериальные активы, основные средства представляют собой капитализированные расходы организации, но в отличие от них стоимость основных средств определяется их материальным воплощением.

С юридической точки зрения основными средствами следует признать то, что считается таковыми согласно нормативным документам, и то, за что устанавливается материальная ответственность работников организации.

С экономической точки зрения возможны две трактовки.

Согласно первой основные средства рассматриваются как вложенный капитал, и, следовательно, все основные средства должны учитываться по себестоимости и их можно уподобить расходам будущих периодов (динамический баланс).

Согласно второй трактовке основные средства понимаются как ресурс, находящийся в предприятии (статический баланс).

Внеоборотные активы - это все активы, которые используются более года и не относятся к оборотным.

Критерии выделения основных средств из множества внеоборотных активов установлены ПБУ 6/01 «Учет основных средств», согласно которому активы принимаются к учету в качестве основных средств при единовременном соблюдении следующих условий:

а) использование в производстве продукции при выполнении работ или оказании услуг, либо для управленческих нужд организации;       

б) использование в течение длительного времени, т. е. срока полезного использования продолжительностью свыше 12 месяцев или обычного операционного цикла, если он превышает 12 месяцев;

в) организацией не предполагается последующая перепродажа данных активов;

г) способность приносить организации экономические выгоды (доход) в будущем.

Из этого определения следует, что от других материально-вещественных ценностей основные средства отличаются длительным сроком полезного использования.

Под словами «полезное использование» следует понимать согласно п. 4 ПБУ 6/01 возможность приносить доход. Если объект приносит доход более одного года, он относится к основным средствам, если меньше, то к материалам. Если организация относит объект к основным средствам, то она сама определяет срок полезного использования исходя из следующих факторов:

1.   ожидаемого срока использования объекта в соответствии с предполагаемой производительностью;

2.   ожидаемого физического износа, зависящего от режима эксплуатации, естественных условий и влияния агрессивной среды, системы проведения ремонта;

3.   планируемого объема производства продукции или работ в результате практического применения этого объекта;

4.      ограничений, вытекающих из нормативно-правовых актов.

Срок полезного использования, исходя из приведенных факторов (за исключением последнего), может быть определен только приблизительно, т. е. граница между основными средствами и оборотными активами размыта и устанавливается, как правило, исходя из интересов организации.

Приведенные критерии основных средств строго соответствуют нормативным документам, но на практике их выполнение осложняется тем, что часто весьма сложно решить, будет ли использоваться тот или иной объект больше или меньше одного года. Но даже если ясно, что объект будет служить больше 12 месяцев, все равно возникает проблема цены. Нетрудно привести примеры имущества со сроком полезного использования больше года (например, канцелярские принадлежности, калькуляторы и пр.), но которые с точки зрения здравого смысла назвать основными трудно. Составители нормативных документов это конечно понимают и вводят еще один, в сущности решающий, - стоимостной критерий, который объекты стоимостью не более 10 000 руб. за единицу разрешает сразу декапитализировать, т. е. списывать на затраты на производство (расходы на продажу) по мере отпуска в производство и эксплуатацию. Это значит, что в учетной политике может быть принят лимит меньше 10 000 руб., что может существенно изменить финансовые результаты фирмы. В налоговом учете этого делать нельзя. (Глава 25 НК РФ устанавливает жесткий лимит в 10 000 руб.) Отсюда вытекает порядок, согласно которому объекты стоимостью выше стоимостного лимита капитализируются, а ниже - рекапитализируются в затраты на производство или же сразу, как было сказано, декапитализируются. При этом каждый капитализируемый объект представляет собой единицу учета.

Материально-вещественная структура представлена набором предметов, служащих больше года и выступающих для организации ее инвентарными объектами.

Инвентарным объектом средств является объект, которому присвоен инвентарный номер. Объект должен быть предназначен для выполнения определенных самостоятельных функций. В качестве объекта может выступать обособленный комплекс конструктивно сочлененных предметов, представляющих собой единое целое и предназначенный для выполнения определенной работы.

Инвентарный номер сохраняется за объектом на весь период его нахождения в организации и не присваивается другим объектам в течение пяти лет после его выбытия. В бухгалтерии на каждый объект или на группу однотипных объектов открывается инвентарная карточка, содержащая информацию о наименовании, стоимости и технико-эксплуатационных характеристиках объекта, дате принятия к учету и пр.

1.2 Информационная база

Информационная база, используемая при проверке основных средств, включает:

·    основные нормативные документы, регулирующие вопросы организации бухгалтерского учета и налогообложения основных средств;

·        приказ об учетной политике организации;

·        регистры синтетического и аналитического учета движения основных средств, используемые в организации;

·        первичные документы по отражению операций по основным средствам;

·        бухгалтерскую отчетность.

Ревизор должен ознакомиться с методологией учета основных средств, изложенной в приказе об учетной политике организации. В частности, необходимо знать:

·    лимит стоимости объектов для их отнесения к основным средствам и средствам в обороте;

·        установленный перечень объектов, относимых к основным средствам независимо от стоимости;

·        способы начисления амортизации по основным средствам;

·        порядок отражения затрат на ремонт основных средств;

·        предусмотрено ли проведение переоценки основных средств на 1 января отчетного года;

·        сроки проведения инвентаризации основных средств;

·        перечень счетов и субсчетов, установленных рабочим планом счетов и используемых для отражения операций по учету основных средств.

Регистры синтетического и аналитического учета, используемые для отражения хозяйственных операций по учету основных средств и привлекаемые для проведения проверки, зависят от применяемых форм бухгалтерского учета. К ним относятся регистры синтетического учета по счетам 01 "Основные средства", 02 "Износ основных средств", 08 "Капитальные вложения", 47 "Реализация и прочее выбытие основных средств"; оборотные ведомости по счетам синтетического и аналитического учета, сальдовые ведомости.

Операции по учету движения основных средств оформляются, как правило, типовыми унифицированными формами первичной документации, а в отдельных случаях первичными документами, разработанными организацией и утвержденными приказом по учетной политике.

Бухгалтерская отчетность, используемая при проверке, включает: бухгалтерский баланс, приложение к бухгалтерскому балансу (ф. № 5) и пояснительную записку.

В "Бухгалтерском балансе" (ф. № 1) основные средства, принадлежащие организации на праве собственности, оперативного управления и хозяйственного ведения, представлены в разделе I "Внеоборотные активы" по статье "Основные средства" (стр. 120) с детализацией по видам: земельные участки и объекты использования (стр. 121); здания, машины и оборудование (стр. 122). Основные средства показываются в балансе в оценке НЕТТО - по остаточной стоимости (за исключением объектов основных средств, по которым в соответствии с установленным порядком погашение стоимости не производится).

В "Приложении к бухгалтерскому балансу" (ф. № 5) раскрываются данные:

·    наличии на начало и конец отчетного периода и движении в течение отчетного периода отдельных видов основных средств. Основные средства показываются по первоначальной (восстановительной стоимости);

·        суммах начисленной амортизации на начало и конец отчетного периода по всем основным средствам, а также по отдельным группам: здания и сооружения; машины, оборудование, транспортные средства и др.;

·        наличии на начало и конец отчетного периода основных средств, переданных в аренду, как в целом, так и по отдельным видам (здания, сооружения);

·        наличии на начало и конец отчетного периода основных средств, переведенных на консервацию.

В пояснительной записке раскрывается исходя из Положения по бухгалтерскому учету "Учет основных средств" (ПБУ 6/97) информация:

·    об изменениях стоимости основных средств, в которой они приняты к бухгалтерскому учету (включая в случаях достройки, дооборудования, реконструкции и частичной ликвидации);

·        о принятых организацией сроках полезного использования объектов основных средств (по основным группам);

·        об объектах основных средств, стоимость которых не погашается;

·        о способах начисления в бухгалтерском учете амортизационных отчислений по отдельным объектам основных средств.

1.3 Классификация основных средств

Можно выделить шесть оснований для классификации:

. По натурально-вещественному составу и выполняемым функциям. В соответствии с Общероссийским классификатором основных фондов (ОКОФ) основные средства учитываются по следующим группам: здания, сооружения, машины и оборудование, транспортные средства, производственный и хозяйственный инвентарь, рабочий и продуктивный скот, многолетние насаждения, другие виды основных средств (книжные фонды библиотек, капитальные затраты в арендованные основные средства, расходы на мелиоративные, осушительные и другие работы по улучшению земель).

Кроме того, в состав основных средств включаются земельные участки и объекты природопользования, приобретённые организацией в собственность.

. По отраслевой принадлежности различают: основные средства промышленности, сельского хозяйства, торговли и т, д.

. По степени использования в деятельности организации они подразделяются на находящиеся в эксплуатации, в запасе (резерве), в стадий достройки, дооборудования, реконструкции и частичной ликвидации, на консервации.

. По имеющимся правам на объекты основных средств они подразделяются на следующие группы:

а) основные средства, принадлежащие организации на праве собственности (в том числе сданные в аренду);

б) основные средства, находящиеся у организации в оперативном управлении или хозяйственном ведении;

в) основные средства, полученные организацией в аренду.

5. По характеру участия в производственном процессе основные средства делятся на активные и пассивные. Активные основные средства непосредственно воздействуют на предмет труда, пассивные обеспечивают условия для нормального протекания процесса производства.

6. По назначению основные средства подразделяются на производственные, используемые для получения доходов по обычным видам деятельности, и непроизводственные, не используемые при осуществлении обычных видов деятельности организации. К основным средствам производственного назначения относятся объекты, использование которых направлено на систематическое получение прибыли как основной цели хозяйственной деятельности. Они применяются в процессе производства промышленной продукции, в строительстве, сельском хозяйстве, торговле и общественном питании, заготовке сельскохозяйственной продукции и других аналогичных видах деятельности.

1.4 Отражение основных средств на счетах бухгалтерского учета и их оценка

Планом счетов для учета основных средств предусмотрен счет 01 «Основные средства». По дебету счета отражается принятие основных средств к учету по первоначальной стоимости или дооценка этой стоимости в случаях, предусмотренных законодательством. Выбытие основных средств и суммы уценки первоначальной стоимости объекта отражаются по кредиту счета.

Аналитический учет основных средств по счету 01 «Основные средства» ведется по отдельным инвентарным объектам, а также по их видам, местам нахождения и другим признакам, необходимым для составления бухгалтерской отчетности.

Если основное средство изначально предназначено для предоставления другим хозяйствующим субъектам, то бухгалтерский учет операций, с ним связанных, ведется на счете 03 «Доходные вложения в материальные ценности». Содержание записей по дебету и кредиту счета 03 аналогично счету 01 «Основные средства».

Аналитический учет по счету 03 «Доходные вложения в материальные ценности» ведется по видам материальных ценностей, арендаторам и отдельным объектам материальных ценностей.

В ходе эксплуатации, да и просто со временем основные средства изнашиваются и теряют свою первоначальную стоимость. Это обесценение могло бы быть отражено по кредиту счета 01 «Основные средства», но тогда сальдо по счету не будет соответствовать оценке первоначальной стоимости этого имущества.

Она нужна как минимум для двух целей:

1)   чтобы начислять амортизацию

2)      для отражения временной динамики основных средств по вложенному в них капиталу.

 Поэтому из счета 01 «Основные средства» как бы «вынесен кредит» в виде отдельного счета 02 «Амортизация основных средств». Он предназначен для обобщения данных о накопленной амортизации (износе) за время эксплуатации основных средств. По кредиту данного счета отражаются суммы начисленной амортизации, а по дебету - списание накопленной амортизации при выбытии объекта основных средств.

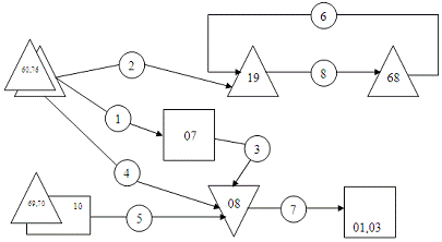
Теперь дадим самое общее представление о синтетическом учете основных средств на протяжении их жизненного цикла (см. рис. 1).

Рис. 1. Общая схема бухгалтерских записей по учету основных средств

Комментарии к рисунку:

1- поступили основные средства. Все расходы, связанные с их поступлением, собираются на калькуляционном счете 08 «Вложения во внеоборотные активы»;

2- отражен НДС по приобретенным основным средствам;

3- принимаются к учету (вводятся в эксплуатацию) основные средства;

4- начисляется амортизация основных средств, т. е. ранее капитализированные в них расходы постепенно, по мере эксплуатации, списываются на расходы организации, т. е. рекапитализируются;

5- отражается выбытие основных средств. При этом выявляется их остаточная стоимость (первоначальная за минусом накопленной амортизации), которая списывается на прочие расходы - декапитализируется.

Таким образом, здесь в центре учета стоит счет 01 «Основные средства».

Построение аналитического учета на данном счете должно обеспечивать получение информации о суммах накопленной амортизации по отдельным инвентарным объектам и других данных, необходимых для управления организацией и составления бухгалтерской отчетности.

Оценка основных средств представляет собой денежное выражение стоимости, в которой они находят отражение в бухгалтерском учете. Применяются три вида их оценки: первоначальная, текущая (восстановительная) и остаточная.

Основные средства принимаются к бухгалтерскому учету по первоначальной стоимости, которая определяется:

• по объектам, приобретенным за плату, - по сумме фактических затрат организации на приобретение, сооружение и изготовление основных средств, за исключением НДС и других возмещаемых налогов;

0 для объектов, поступивших безвозмездно, - по текущей рыночной стоимости на дату их принятия к учету;

1 для объектов, вносимых учредителями в счет их вкладов в уставный (складочный) капитал, - по денежной оценке, согласованной учредителями;

2 для объектов, полученных по договорам, предусматривающим исполнение обязательств (оплату) неденежными средствами, - по стоимости переданного или подлежащего передаче имущества исходя из цены, по которой в сравнимых обстоятельствах обычно определяется стоимость аналогичных товаров (ценностей). При невозможности установить стоимость ценностей, переданных или подлежащих передаче организацией, стоимость основных средств, полученных организацией по договорам, предусматривающим исполнение обязательств (оплату) неденежными средствами, определяется исходя из цены, по которой в сравнимых обстоятельствах приобретаются аналогичные объекты основных средств.

Таким образом, способ оценки основного средства зависит от варианта поступления объекта на предприятие. Изменение первоначальной стоимости основных средств допускается в случаях их достройки, дооборудования, реконструкции и частичной ликвидации, а также в результате переоценки.

Восстановительная стоимость (полная восстановительная стоимость) - стоимость аналогичных объектов основных средств в действующих условиях воспроизводства, т. е. стоимость всех затрат на приобретение (строительство) основных средств, включая затраты на транспортировку, установку и т. п. по действующим рыночным ценам и тарифам на определенную дату. С течением времени первоначальная стоимость отклоняется от восстановительной в силу различных причин - высокого уровня инфляции, удешевления производства, состояния рынка и пр. В том случае, когда величина отклонения становится существенной, первоначальная стоимость переоценивается и доводится до уровня восстановительной, что соответствует теории статического баланса.

Остаточная стоимость основных средств - это первоначальная стоимость за вычетом суммы начисленной амортизации. По остаточной стоимости основные средства отражаются в бухгалтерском балансе. Аналогично полной восстановительной стоимости используется понятие остаточной восстановительной стоимости.

В учете особое значение придается формированию первоначальной стоимости основных средств, другими словами - капитализации расходов, принимаемых в учете как основные средства. При этом, чем больше первоначальная стоимость амортизируемого объекта, тем больше величина начисляемой амортизации и меньше величина прибыли.

Заметим, что величина первоначальной стоимости объекта, которая будет декапитализироваться путем начисления амортизации в бухгалтерском учете, и первоначальная стоимость объекта, которая будет амортизироваться, в налоговом учете, как правило, не совпадают.

Для исчисления первоначальной стоимости основных средств во всех случаях их поступления предназначен счет 08 «Вложения во внеоборотные активы». По дебету этого счета собираются затраты на приобретение, изготовление и сооружение основных средств, стоимость основных средств, оприходованных по другим вариантам поступления, а также расходы, связанные с подготовкой их к эксплуатации. В зависимости от вида основных средств и способа их поступления первоначальная стоимость объектов основных средств отражается на различных субсчетах.

Сформированная первоначальная стоимость объектов основных средств после их ввода в эксплуатацию, принятия к учету на основе акта приемки-передачи и других документов списывается с кредита счета 08 «Вложения во внеоборотные активы» в дебет счета 01 «Основные средства» или счета 03 «Доходные вложения в материальные ценности». При этом бухгалтерские записи отличаются по каждому из приведенных выше случаев.

Рассмотрим их.

Приобретение основных средств за плату. Действующим законодательством деятельность по приобретению, изготовлению и сооружению основных средств рассматривается как инвестиционная деятельность, осуществляемая в форме капитальных вложений (долгосрочных инвестиций).

Пункт 8 ПБУ 6/01 определяет общие правила формирования первоначальной стоимости основных средств, приобретенных за плату, по фактическим затратам на их приобретение, сооружение и изготовление, которые слагаются из следующих сумм:

- выплаченных организацией в соответствии с договором поставщику (продавцу);

уплачиваемых организациям за осуществление работ по договору строительного подряда и иным договорам;

- выплаченных за информационные и консультационные услуги, связанные с приобретением основных средств;

3  регистрационных сборов, государственных пошлин и других аналогичных платежей, произведенных в связи с приобретением (получением) прав на объект основных средств;

- таможенных пошлин и иных платежей;

невозмещаемых налогов, уплачиваемых в связи с приобретением объекта основных средств;

вознаграждений посреднической организации, через которую приобретен объект основных средств;

иных затрат, непосредственно связанных с приобретением, сооружением и изготовлением объекта основных средств (например, начисленные до принятия объекта основных средств к учету проценты по заемным средствам).

Не включаются в фактические затраты на приобретение, сооружение или изготовление основных средств общехозяйственные или иные аналогичные расходы, кроме случаев, когда они непосредственно связаны с приобретением, сооружением или изготовлением основных средств.

Объект основных средств, стоимость которого при приобретении выражена в иностранной валюте, оценивается в рублях путем пересчета суммы в иностранной валюте по курсу Центрального банка Российской Федерации, действующему на дату принятия объекта к бухгалтерскому учету.

Таковы общие правила формирования оценки основных средств. В конкретных случаях процесс формирования первоначальной стоимости основного средства зависит от способа его приобретения, технологических и других особенностей подготовки к эксплуатации. В связи с этим можно выделить следующие категории основных средств:

4 отдельные объекты основных средств, не требующих осуществления строительно-монтажных работ при подготовке к эксплуатации. К ним относятся земельные участки, объекты природопользования, отдельные объекты основных средств, приобретаемые вне строительства (оборудование, транспортные средства и т. д.) и др.;

5 объекты, требующие монтажа (сборки);

6 объекты, вводимые капитальным строительством.

Рассмотрим особенности формирования оценки и принятия к учету каждой из перечисленных групп основных средств.

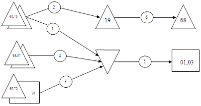
Рис. 2. Схема бухгалтерских записей по приобретению основных средств, не требующих осуществления строительно-монтажных работ при подготовке к эксплуатации

Поясним записи:

1- отражаются суммы, уплачиваемые продавцам и контрагентам за приобретение, доставку, и прочие расходы, связанные с подготовкой к использованию объектов основных средств;

2- учтен НДС, предъявленный продавцами и контрагентами;

3- отражены расходы по подготовке объектов к использованию, осуществляемые собственными силами организации;

4- начислены проценты по кредитам и займам;

5- введен объект основных средств в эксплуатацию;

6- принят к налоговому вычету НДС.

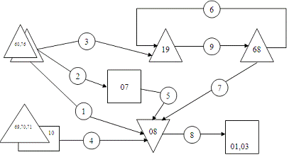
Основные средства, требующие монтажа. Объекты, требующие монтажа (сборки) (технологическое, энергетическое и Производственное оборудование), учитываются при поступлении по дебету счета 07 «Оборудование к установке» в сумме фактической себестоимости приобретения, которая определяется в соответствии с порядком, установленным для учета материально-производственных запасов (см. рис. 3).

Рис. 3. Схема учета приобретения объектов основных средств, требующих монтажа

Поясним записи:

1- отражаются суммы, уплачиваемые продавцам (поставщикам) и контрагентам за приобретение, доставку, и прочие расходы, связанные с приобретением оборудования;

2- учтен НДС, предъявленный продавцами (поставщиками) и контрагентами;

3- передано оборудование в монтаж;

4-отражены расходы на монтажные работы, выполненные подрядным способом (без НДС);

5- отражены расходы на монтажные работы, выполненные хозяйственным способом;

6- начислен НДС на стоимость монтажных работ, выполненных хозяйственных способом;

7- введен объект в эксплуатацию;

8- принят к налоговому вычету НДС.

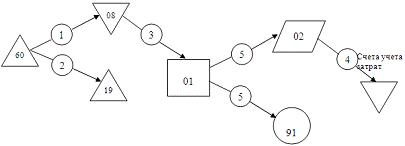
Объекты, вводимые капитальным строительством. Объектами, вводимыми капитальным строительством» являются здания, сооружения со всеми относящимися к ним обустройствами (галереями, эстакадами), оборудованием, мебелью, инвентарем, а также при, необходимости с прилегающими к ним инженерными сетями, объектами внешнего благоустройства и пр.

Бухгалтерский учет операций по капитальному строительству ведется в порядке, установленном ПБУ 2/94 «Учет договоров (контрактов) на капитальное строительство» и Положением по бухгалтерскому учету долгосрочных инвестиций.

При капитальном строительстве организация строительства объектов, контроль за его ходом, бухгалтерский учет производимых при этом затрат выполняются застройщиками. Застройщики - это предприятия, специализирующиеся на выполнении указанных функций, а также действующие предприятия (заказчики), осуществляющие капитальное строительство.

Строительно-монтажные работы могут выполняться силами специализированных организаций (подрядный способ) или собственными силами застройщика-заказчика (хозяйственный способ).

К расходам, формирующим первоначальную стоимость объекта, вводимого строительством, относятся затраты на строительные работы, на монтаж оборудования, на приобретение оборудования, требующего и не требующего монтажа, инструмента, инвентаря и другие расходы, предусмотренные сметами. Заказчик-застройщик отражает соответствующие расходы по дебету счета 08 «Вложения во внеоборотные активы» (субсчет 03 «Строительство объектов основных средств»).

Общее представление о записях см. на рис. 4:

Рис. 4. Общая схема учета приобретения объектов, вводимых капитальным строительством

Поясним записи:

1- отражены суммы, уплачиваемые:

а) продавцам (поставщикам) за приобретение оборудования, не требующего монтажа, инструмента, хозинвентаря;

б) подрядчикам за строительно-монтажные работы;

в) другим контрагентам за расходы, предусмотренные сметой на строительство;

2- отражены расходы, связанные с приобретением, доставкой и проч. оборудования, требующего монтажа;

3- учтен НДС, предъявленный продавцами (поставщиками), подрядчиками и прочими контрагентами;

4- отражены расходы на строительно-монтажные работы, выполненные хозяйственным способом;

5- передано оборудование в монтаж;

6- начислен НДС на стоимость строительно-монтажных работ, выполненных хозяйственным способом;

7- отражены расходы на государственную регистрацию прав на недвижимость;

8- введен объект в эксплуатацию;

9- принят к налоговому вычету НДС.

При этом инвентарная стоимость отдельного здания, сооружения и помещения складывается из затрат, а каждой единицы объектов, требующих монтажа, - из фактической себестоимости приобретения, затрат на строительно-монтажные работы и прочих расходов, связанных с капитальным строительством. Каждая единица оборудования, не требующего монтажа, инструмента и инвентаря (предназначенных в качестве первого комплекта для вводимых объектов), а также оборудования, требующего монтажа, но предназначенного для постоянного запаса, принимается к учету по фактической себестоимости их приобретения.

Получение основных средств в счет вклада в уставный (складочный) капитал. Общее правило оценки основных средств, полученных в счет вклада в уставный (складочный) капитал, приведено в п. 9 ПБУ 6/01 - по денежной оценке, согласованной учредителями (участниками) организации, если иное не предусмотрено законодательством Российской Федерации. При учреждении акционерных обществ эта оценка не может быть выше оценки рыночной стоимости имущества, выполненной независимым оценщиком. Согласно ст. 34 Федерального закона «Об акционерных обществах» от 26 декабря 1995 г. № 208-ФЗ привлечение независимого оценщика для оценки рыночной стоимости является обязательным.

Это требование запрещает искусственно завышать оценку основных средств. В противном случае учредители могли бы произвольно завысить оценку имущества, а при последующей его амортизации создать псевдорасходы и тем самым скрыть прибыль. Наоборот, учредители имеют возможность занизить первоначальную оценку, что уменьшит последующие амортизационные начисления и тем самым увеличить прибыль.

Первоначальная стоимость основных средств, полученных в счет вклада в уставный капитал, формируется на счете 08 «Вложения во внеоборотные активы» и складывается из их денежной оценки, согласованной учредителями (участниками), расходов на доставку, если их несет учреждаемая организация, и других расходов, связанных с подготовкой объекта к эксплуатации. Кроме того, в акционерных обществах в первоначальную стоимость этих объектов могут быть включены расходы на оплату услуг независимого оценщика, если они оплачиваются учреждаемой организацией. Это отражается следующими бухгалтерскими записями по дебету счета 08 «Вложения во внеоборотные активы»:

1.   на сумму денежной оценки, согласованной учредителями (участниками), - в корреспонденции со счетом 75 «Расчеты с учредителями» (субсчет 75-1 «Расчеты по вкладам в уставный (складочный) капитал»);

2.      на расходы по доставке и приведению объекта в состояние, пригодное для использования, - в корреспонденции со счетами расчетов, денежных средств и пр.;

.        на оплату услуг независимого оценщика, если они оплачиваются учреждаемой организацией, - в корреспонденции со счетами расчетов или денежных средств.

Получение основных средств по договору дарения (безвозмездно). Первоначальная стоимость основных средств, полученных по договору дарения (безвозмездно), формируется по дебету счета 08 «Вложения во внеоборотные активы» и складывается из их текущей рыночной стоимости на дату принятия к учету, расходов на доставку, если они оплачиваются принимающей стороной, и других расходов, связанных с подготовкой объекта к использованию. Это отражается следующими бухгалтерскими записями:

1.   на текущую рыночную стоимость поступившего основного средства - в корреспонденции со счетом 98 «Доходы будущих периодов» (субсчет 98 «Безвозмездные поступления»);

2.      на расходы по Доставке и приведению объекта в состояние, пригодное для использования, - в корреспонденции со счетами расчетов, денежных средств и пр.

В дальнейшем после ввода основного средства в эксплуатацию (Дт 01, Кт 08) часть доходов будущих периодов (в сумме начисленной амортизации за отчетный период) признается доходами отчетного периода (Дт 98 «Доходы будущих периодов», Кт 91 «Прочие доходы и расходы»). Применение счета 98 «Доходы будущих периодов» позволяет «эффект дарения» - безвозмездно полученного дохода - растянуть на весь срок эксплуатации объекта, т. е. если вам подарили пальто и вы его будете носить пять лет, то стоимость (рыночная) в момент получения подарка не признается доходом того периода, когда вам вручили пальто, ибо это не разовый подарок, а поскольку он будет приносить пользу (как говорят ученые бухгалтеры - выгоду) в течение пяти лет, постольку и стоимость пальто надо разделить в нашем примере на пять, лет.

И каждый последующий год - подарка будет относиться на доходы текущего отчетного периода.

Таким образом, стоимость «подарка» капитализируется по активу как основное средство, подпадая под налог на имущество, и пассиву как доход будущих периодов. И затем, как мы отметили выше, стоимость объекта декапитализируется и по активу (Дт сч. 20, 25, 26, Кт сч. 02), и по пассиву (Дт сч. 98, Кт сч. 9.1).

Поступление по результатам инвентаризации. Выявленные при инвентаризации неучтенные объекты основных средств или капитальных вложений принимаются к учету по рыночной стоимости, что отражается бухгалтерскими записями: Дт сч. 01 «Основные средства», Дт сч. 07 «Оборудование к установке», Дт сч. 08 «Вложения во внеоборотные активы», Кт сч. 91-1 «Прочие доходы».

Получение основных средств в совместную собственность. Если у одного и того же объекта имеется несколько собственников, то данный объект находится в совместной собственности. Отметим, что этот объект может находиться в каждый отдельно взятый момент времени во владении только одного собственника. Однако на счете 01 «Основные средства» следует показать у каждого собственника стоимость его доли данного основного средства.

Отсюда следует, что каждый собственник амортизирует свою долю самостоятельно и по своим принятым в его учетной политике нормам и методам. Более того, каждый собственник может:

а)   переоценить стоимость своей доли, но не само значение доли, если ее величина была установлена законом или предусмотрена в договоре;

б)   заложит или продать свою долю собственности. При этом новый покупатель должен поставить на учет (по дебету счета 01) объект по фактически уплаченной величине и именно ее и амортизировать. Но сама доля его собственности в совместном объекте остается неизменной.

Глава 2. Ревизия основных средств.

.1 Переоценка основных средств

Организация в соответствии с теорией статического баланса имеет право не чаще одного раза в год (на начало отчетного года) переоценивать группы однородных объектов основных средств по текущей (восстановительной) стоимости. В последующем они переоцениваются регулярно, чтобы их стоимость существенно не отличалась от текущей (восстановительной) стоимости.

Первоначальная стоимость основных средств и суммы начисленной амортизации могут переоцениваться двумя способами:

1.   путем умножения первоначальной стоимости и суммы амортизации на повышающий (понижающий) индекс (индекс-дефлятор).

Пример. Организация переоценивает оборудование с первоначальной стоимостью 40 000 руб. и начисленной амортизацией 15 000 руб., используя индекс в размере 1,2. Дооценка первоначальной стоимости составит (40 000*1,2 - 40 000) = 8000 руб. (Дт 01 Кт 83), а увеличение амортизации (15 000*1,2 - 15 000) = 3000 руб. (Дт 83 Кт 02);

2.   путем прямого пересчета исходя из документально подтвержденных рыночных цен. При этом амортизация пересчитывается пропорционально изменению стоимости объекта основных средств. Для подтверждения рыночных цен используются: данные о ценах на аналогичную продукцию, предоставленные в письменной форме организацией-изготовителем; сведения об уровне цен, полученные в органах государственной статистики, торговых инспекциях и организациях, имеющих такие сведения и расположенных на соответствующих территориях; информация об уровне цен, опубликованная в средствах массовой информации, специальной литературе, каталогах, рекламных объявлениях, пресс-релизах; экспертные заключения о рыночной стоимости однородных объектов основных средств.

Сумма дооценки объекта основных средств в результате переоценки зачисляется в добавочный капитал организации, что отражается бухгалтерской записью: Дт сч. 01 «Основные средства», Кт сч. 83 «Добавочный капитал» - на сумму дооценки первоначальной стоимости; Дт сч. 83 «Добавочный капитал», Кт сч. 02 «Амортизация основных средств» - на сумму дооценки амортизации по объекту.

Сумма уценки объекта основных средств в результате переоценки относится на счет учета нераспределенной прибыли (непокрытого убытка), что отражается следующим образом: Дт сч. 84 «Нераспределенная прибыль (непокрытый убыток)», Кт сч. 01 «Основные средства» - на сумму уценки первоначальной стоимости; Дт сч. 02 «Амортизация основных средств», Кт сч. 84 «Нераспределенная прибыль (непокрытый убыток)» - на сумму уценки амортизации объекта.

Более сложное правило отражения переоценки применяется в том случае, когда проводится дооценка основного средства, которое ранее уценивалось, и уценка была отнесена на счет нераспределенной прибыли (непокрытого убытка). В этом случае сумма дооценки в пределах суммы уценки (равная ей) относится на этот же счет, а дооценка - сверх этой суммы на добавочный капитал.

Пример. Организация провела переоценку основного средства на 01.01.04, при этом первоначальная стоимость объекта дооценивается на 18 000 руб., а амортизация увеличивается на 7000 руб. Ранее на 01.01.02 оно было уценено на 10 000 руб. (первоначальной стоимости) и амортизации на 2000 руб. с отнесением на счет нераспределенной прибыли (непокрытого убытка).

В бухгалтерском учете переоценка будет отражена следующими записями:

1.   на сумму дооценки первоначальной стоимости в пределах ранее сделанной уценки Дт сч. 01 «Основные средства», Кт сч. 84 «Нераспределенная прибыль (непокрытый убыток)» - 10 000 руб.;

2.      на сумму дооценки амортизации в пределах ранее сделанной уценки, отнесенной на финансовые результаты Дт сч. 84 «Нераспределенная прибыль (непокрытый убыток)», Кт сч. 02 «Амортизация основных средств» - 2000 руб.;

.        на сумму дооценки первоначальной стоимости сверх сумм ранее сделанной уценки Дт сч. 01 «Основные средства», Кт сч. 83 «Добавочный капитал» - 8000 руб.;

.        на сумму дооценки амортизации сверх ранее сделанной уценки, отнесенной на финансовые результаты Дт сч. 83 «Добавочный капитал»,

Кт сч. 02 «Амортизация основных средств» - 5000 руб.

Если уценке основного средства предшествовала его дооценка, которая была отнесена на увеличение добавочного капитала, то сумма уценки в пределах суммы дооценки объекта (равная ей) относится в уменьшение добавочного капитала организации, а сверх нее - на счет нераспределенной прибыли (непокрытого убытка).

Пример. Организация (в условиях предыдущего примера) проводит переоценку основного средства (в третий раз!) на 01.01.03, при этом первоначальная стоимость объекта уценивается на 21 000 руб., а амортизация уменьшается на 9000 руб. Отразим результаты переоценки в учете:

1.   на сумму уценки первоначальной стоимости в пределах ранее сделанной дооценки, отнесенной на добавочный капитал Дт сч. 83 «Добавочный капитал», Кт сч. 01 «Основные средства» - 8000 руб.;

2.   на сумму уценки амортизации объекта в пределах ранее сделанной дооценки, отнесенной на добавочный капитал Дт сч. 02 «Амортизация основных средств», Кт сч. 83 «Добавочный капитал» - 5000 руб.;

3.      на сумму уценки первоначальной стоимости сверх ранее сделанной дооценки Дт сч. 84 «Нераспределенная прибыль (непокрытый убыток)», Кт сч. 01 «Основные средства» - 13 000 руб.;

.        на сумму уценки амортизации объекта сверх ранее сделанной дооценки Дт сч. 02 «Амортизация основных средств», Кт сч. 84 «Нераспределенная прибыль (непокрытый убыток)» - 4000руб.

При выбытии объекта основных средств сумма его дооценки переносится с добавочного капитала организации на нераспределенную прибыль организации, т. е. происходит трансформация одной формы собственного капитала в другую: Дт сч. 83 «Добавочный капитал»,

Кт сч. 84 «Нераспределенная прибыль (непокрытый убыток)».

Процедура переоценки основных средств сложна в методологическом плане, трудоемка и, следовательно, дорогостояща. В настоящее время она не носит обязательного характера, поэтому важно оценить целесообразность ее проведения.

В условиях инфляционной экономики при стабильном росте цен дооценка стоимости основных средств увеличивает величину амортизационных отчислений, а следовательно, уменьшает величину бухгалтерской прибыли. Амортизационная стоимость основных средств согласно ст. 257 НК РФ переоценке не подлежит, и, таким образом, в настоящее время переоценка не влияет на налогооблагаемую прибыль.

2.2 Декапитализация основных средств

По способам декапитализации основные средства можно сгруппировать следующим образом:

0 объекты, стоимость которых не декапитализируется (не амортизируется), так как их потребительские свойства с течением времени не изменяются. К ним относятся земельные участки, объекты природопользования и произведения искусства;

1 объекты, которые изнашиваются, но в соответствии с действующим законодательством не амортизируются. К ним относятся следующие виды основных средств: объекты жилищного фонда (если они не используются для извлечения дохода), объекты внешнего благоустройства и другие аналогичные объекты (объекты лесного хозяйства, дорожного хозяйства и т. п.); продуктивный скот, буйволы, волы, олени; многолетние насаждения, не достигшие эксплуатационного возраста. По указанным объектам основных средств и объектам основных средств некоммерческих организаций в конце отчетного года по установленным нормам амортизационных отчислений начисляется износ (на забалансовом счете 010 «Износ основных средств»);

2  объекты, стоимость которых разрешается списывать на затраты производства (расходы на продажу) по мере их отпуска в производство и эксплуатацию. К ним относятся объекты основных средств стоимостью не более установленного лимита за единицу, а также приобретенные книги, брошюры и тому подобные издания. В целях обеспечения сохранности этих объектов должен быть организован надлежащий контроль за их движением;

3  объекты, которые подлежат декапитализации путем начисления амортизации.

Амортизация - процесс погашения стоимости объектов основных средств путем списания части первоначальной (восстановительной) стоимости основных средств на текущие издержки производства или обращения*.

В течение срока полезного использования годовая сумма амортизации рассчитывается одним из следующих способов:

1.   линейным;

2.      способом уменьшаемого остатка, в том числе с применением коэффициента ускоренной амортизации;

3.   способом списания стоимости по сумме чисел лет срока полезного использования (кумулятивный способ);

4.   способом списания стоимости пропорционально объему продукции (работ).

В течение года амортизация начисляется ежемесячно и равномерно в размере 1/12 годовой суммы независимо от результатов хозяйственной деятельности организации в отчетном периоде. Начисление амортизации начинается с 1-го числа месяца, следующего за месяцем принятия объекта к бухгалтерскому учету, и прекращается с 1-го числа месяца, следующего за месяцем полного погашения стоимости этого объекта или списания его с бухгалтерского учета. Начисление амортизации может приостанавливаться на период восстановления (ремонта, модернизации и реконструкции) объектов основных средств продолжительностью свыше 12 месяцев или на период консервации по решению руководителя на срок более трех месяцев.

Выбор способа начисления, амортизации является существенным элементом учетной политики организации, влияющим на величину ее расходов, а значит, и на финансовый результат - прибыль. Рассмотрим особенности начисления амортизации каждым из перечисленных способов.

При линейном способе годовая сумма амортизационных отчислений определяется путем умножения первоначальной стоимости объекта основных средств на норму амортизации, которая рассчитывается как величина, обратная сроку полезного использования, т. е. N= 1:T*100%, где Т- срок полезного использования.

Пример. Принято к учету основное средство стоимостью 150 000 руб. со сроком полезного использования 5 лет. Годовая норма амортизации составит 20%, годовая сумма амортизационных отчислений равна 150 000*20:100 = 30 000 руб.

При способе уменьшаемого остатка годовая сумма амортизационных отчислений (А) определяется по формуле:

A=K*N*C0

где С0 - остаточная стоимость объекта на начало года;- линейная норма амортизации;

К - коэффициент ускорения, устанавливаемый в соответствии с законодательством Российской Федерации.

По перечню высокотехнологических отраслей и для эффективных видов машин и оборудования коэффициент устанавливается в размере не выше двух, а для движимого имущества, передаваемого по договору финансового лизинга и относящегося к активной части основных средств, - не выше трех.

Ниже приводится расчет годовых сумм амортизационных отчислений способом уменьшаемого остатка с коэффициентом ускорения 2 и 3 для основного средства, рассмотренного в предыдущем примере (см. табл. 1).

В научной бухгалтерской литературе с начала XX в. высказывались две точки зрения на природу амортизации: Е. Е. Сивере (1852-1917) утверждал, что это источник (резерв), позволяющий обновить действующий парк основных средств; Р. Я. Вейцман (1870-1936) настаивал на том, что это регулятив, показывающий уменьшение стоимости основных средств и увязывающий ранее понесенные расходы с полученными доходами.

Таблица 1

 Расчет амортизации способом уменьшаемого остатка

Год

Коэффициент ускорения 2 (норма амортизации 40%)

Коэффициент ускорения 3 (норма амортизации 60%)


остаточная стоимость

амортизационные отчисления

остаточная стоимость

амортизационные отчисления

1

150 000

60 000

150000

90000

2

90 000

36 000

60000

36000

3

54 000

21 600

24000

14400

4

32 400

12 960

9600

5760

5

19 440

7 776

3840

2304


Ликвидационная стоимость показывает величину недоамортизированной стоимости основного средства на момент окончания срока полезного использования объекта. Если объект будет использоваться за пределами нормативного срока, то ликвидационная стоимость списывается на расходы следующего года или будет продолжено начисление амортизации данным способом. основной средство аудиторский учет

При способе списания стоимости по сумме лет чисел срока полезного использования годовая сумма амортизационных отчислений определяется по формуле

А = Cn*t:Q,

где Сn - первоначальная стоимость объекта;

t - число лет, оставшихся до конца срока полезного использования объекта;

Q - сумма чисел (кумулятивное число) лет срока полезного использования. Если срок полезного использования равен 5, то сумма чисел (кумулятивное число) лет использования объекта составляет 1 + 2 + 3 + 4 + 5 = 15. Соотношение t:Q определяет часть стоимости основного средства, рекапитализируемую или декапитализируемую в отчетном году.

Расчет годовых сумм амортизационных отчислений по кумулятивному способу (в условиях предыдущего примера) приводится ниже (см. табл. 2).

 
Таблица 2

Расчет амортизации способом списания стоимости по сумме лет чисел срока полезного использования

Год

Первоначальная стоимость

Коэффициент соотношения

Амортизационные отчисления за год

1

150 000

5/15

50 000

2

150 000

4/15

40 000

3

150 000

3/15

30 000

4

150 000

2/15

20 000

5

150 000

1/15

10 000


При способе списания стоимости пропорционально объему продукции (работ) амортизация начисляется исходя из натурального показателя объема продукций (работ) в отчетном периоде и соотношения первоначальной стоимости объекта и предполагаемого объема продукции (работ) за весь срок полезного использования объекта.

Пример. Принят к учету объект основных средств стоимостью 20 000 руб. Предполагаемый объем производства равен 1000 изделиям, и амортизационные отчисления на одно изделие составляют 20 000: 1000 = 20 руб. Если за отчетный период произведено 40 изделий, то амортизация будет начислена в сумме 20*40 = 800 руб.

Первые три способа связывают 'Процесс амортизации со временем (объект разрушается с возрастом), последний - с объемом работ (объект разрушается по мере эксплуатации).

На практике преобладает линейный способ амортизации, так как он отличается простотой и логичностью.

Для иллюстрации влияния способа амортизации на величину амортизационных отчислений основных средств и оценку, в которой они отражаются в бухгалтерской отчетности (остаточную стоимость объектов на конец года), сгруппируем результаты расчетов по способам начисления амортизации (см. табл. 3).

 
Таблица 3

Сравнительные данные расчета амортизации тремя способами (в тыс. руб.)

Год

Линейный способ

Способ уменьшаемого остатка (норма амортизации 40%)

Кумулятивный способ

 

амортизационные отчисления за год

остаточная стоимость на конец года

амортизационные отчисления за год

остаточная стоимость на конец года

амортизационные отчисления за год

остаточная стоимость на конец года

1

30

120

60

90

50

100

2

30

90

54

40

60

3

300

60

21,6

32,4

30

30

4

30

30

12,96

19,4

20

10

5

30

0

7,78

11,66

10

0

Заметим, что амортизация являемся значительным, но не единственным расходом, связанным с эксплуатацией основных средств. С течением времени существенными становятся расходы на обслуживание и восстановление данного вида внеоборотных активов. Поэтому, принимая решение о способе амортизации, необходимо принимать во внимание полную сумму расходов по использованию основных средств.

При линейном способе амортизация начисляется равномерно, в то время как расходы на обслуживание, ремонт и модернизацию основных средств возрастают и, следовательно, общая сумма расходов на эксплуатацию к концу срока их полезного использования увеличивается. Поэтому линейный способ целесообразно применять для основных средств со стабильной производительностью, относительно постоянными периодическими расходами на ремонт и незначительным уровнем морального износа.

Способ уменьшаемого остатка и способ списания стоимости по сумме чисел лет срока полезного использования являются вариантами ускоренного начисления амортизации. В первые годы эксплуатации амортизация начисляется в больших размерах, чем к концу срока полезного использования. Этот способ начисления амортизации целесообразно применять для высокотехнологичного оборудования, подверженного быстрому моральному износу и требующего значительных затрат на модернизацию.

Способ списания стоимости пропорционально объему продукции (работ) традиционно применялся для основных средств, расходы на эксплуатацию которых определяются не продолжительностью, а интенсивностью их использования.

Эти рассуждения строились в предположении, что динамике доходов от использования основных средств должно соответствовать изменение расходов на их эксплуатацию во времени. Такая амортизационная политика обеспечивает предприятию стабильные показатели по отчетной прибыли.

Заметим, что речь в данном случае идет о прибыли, которая формируется в бухгалтерском учете и отражается в бухгалтерской отчетности.

При расчете прибыли в налоговом учете суммы начисленной амортизации по основным средствам могут существенно отличаться от амортизации, принятой в бухгалтерском учете. Это вызвано:

• различием амортизируемой стоимости. Так, в первоначальную стоимость основных средств включаются проценты по инвестиционным кредитам и займам, начисленным до принятия объектов к учету, а в налоговом учёте проценты по любым кредитам и займам относятся на внереализационные расходы и не включаются в амортизационную стоимость основного средства;

• составом амортизируемых объектов. В налоговом учете не подлежат амортизации основные средства, приобретенные за счет бюджетных ассигнований, полученные в рамках целевого финансирования, и другие объекты, амортизируемые в бухгалтерском учете;

• сроком полезного использования. В налоговом учете срок полезного использования устанавливается в соответствии с классификацией основных средств по амортизационным группам. Введено 10 амортизационных групп: первая со сроком полезного использования от 1 до 2 лет включительно; вторая - свыше 2 лет до 3 лет; третья - свыше 3 лет до 5 лет; четвертая - свыше 5 лет до 7 лет; пятая - свыше 7 лет до 10 лет; шестая - свыше 10 лет до 15 лет; седьмая - свыше 15 лет до 20 лет; восьмая - свыше 20 лет до 25 лет; девятая - свыше 25 лет до 30 лет и десятая - свыше 30 лет. Классификация основных средств по амортизационным группам установлена постановлением Правительства Российской федерации от 1 января 2002 г. № 1. Она может быть использована и в бухгалтерском учете;

• способами начисления амортизации. В налоговом учете применяется два способа начисления амортизации - линейный и нелинейный. Выбор способа закрепляется в налоговой политике.

При линейном способе амортизация начисляется равномерно по месяцам в течение срока полезного использования.

При нелинейном способе норма амортизации определяется по формуле

К=(2/n)*100%,

где К- норма амортизации в процентах к остаточной стоимости объекта;

n - срок полезного использования в месяцах.

Данным способом амортизация начисляется до достижения величины амортизации 80% от первоначальной стоимости объекта или достижения остаточной стоимости 20% от первоначальной. При сроке полезного использования 3 года это достигается через 29 месяцев; при сроке 4 года - через 38 месяцев; 5 лет - через 48 месяцев и т. д. В дальнейшем амортизация начисляется равномерно до истечения срока полезного использования.

В бухгалтерском учете начисление амортизации отражается по кредиту счета 02 «Амортизация основных средств» в дебет:

·    счетов затрат 20 «Основное производство», 23 «Вспомогательное производство», 25 «Общепроизводственные расходы», 26 «Общехозяйственные расходы», 44 «Расходы на продажу» и др. - по объектам, используемым для получения доходов по основным видам деятельности;

·        счета 91 «Прочие доходы и расходы» - по объектам, не используемым для получения доходов по основным видам деятельности;

·        счета 08 «Вложения во внеоборотные активы» по объектам, используемым в капитальном строительстве.

2.3 Восстановление основных средств

В процессе эксплуатации основные средства теряют свои технико-экономические качества, морально и физически устаревают. Эти процессы могут быть компенсированы путем их восстановления. В зависимости от того, как меняются технико-эксплуатационные характеристики и сущность объекта основных средств, различают, следующие варианты восстановления - реконструкцию, модернизацию и ремонт.

Понятия реконструкции и модернизации определены в ряде нормативных документов, регулирующих планирование и учет капитальных вложений и капитального строительства. Приведем определения, представляющие особую важность для бухгалтерского учета, - определения НК РФ (п. 2 ст. 257).

К реконструкции относится переустройство существующих объектов основных средств, связанное с совершенствованием производства и повышением его технико-экономических показателей. Она осуществляется по проекту реконструкции основных средств в целях увеличения производственных мощностей, улучшения качества и изменения номенклатуры продукции.

К модернизации относятся работы, вызванные изменением технологического или служебного назначения основного средства, повышенными нагрузками и (или) другими новыми качественными характеристиками, придаваемыми основным средствам.

Затраты на модернизацию и реконструкцию, улучшающие нормативные показатели функционирования основных средств, отражаются в учете как капитальные вложения (долгосрочные инвестиции). Они увеличивают первоначальную стоимость основных средств.

Если в результате проведенной реконструкции или модернизации были улучшены (повышены) первоначально принятые нормативные показатели функционирования объекта основных средств, то организацией может быть принято решение увеличить срок полезного использования объекта. Бухгалтерские записи по отражению модернизации и реконструкции аналогичны другим операциям, осуществляемым в форме капитальных вложений.

Ремонт - процесс восстановления утраченных функций объекта основных средств. В зависимости от сложности и объема работ выделяют текущий, средний и капитальный ремонт. Рекомендуется проводить ремонты в соответствии с планом, который формируется по видам основных средств исходя из системы планово-предупредительного ремонта, разрабатываемой организацией. Ремонтные работы могут проводиться как подрядным, так и хозяйственным способом.

Затраты на ремонт основных средств производственного назначения считаются расходами по обычным видам деятельности в том отчетном периоде, когда они были понесены, и относятся на счета затрат на производство или продажу, а непроизводственного - списываются на прочие расходы. При выполнении ремонта подрядным способом составляются бухгалтерские записи по кредиту счета 60 «Расчеты с поставщиками и подрядчиками» в дебет счетов:

1.   20 «Основное производство», 23 «Вспомогательное производство», 25 «Общепроизводственные расходы», 26 «Общехозяйственные расходы» и др. - на стоимость выполненных ремонтных работ (без НДС) для объектов производственного назначения;

2.      91 «Прочие доходы и расходы» - на стоимость выполненных ремонтных работ (без НДС) для объектов непроизводственного назначения;

.        19 «Налог на добавленную стоимость по приобретенным ценностям» - на сумму НДС, предъявленную подрядчиком.

Расходы на ремонт, выполненный хозяйственным способом, отражаются в учете путем дебетования счетов: 20 «Основное производство», 23 «Вспомогательное производство», 25 «Общепроизводственные расходы», 26 «Общехозяйственные расходы», 91 «Прочие доходы и расходы» и др. и кредитования счетов: 10 «Материалы», 70 «Расчеты с персоналом по оплате труда», 69 «Расчеты по социальному страхованию и обеспечению» и др. - на сумму расходов по проведению ремонтных работ хозяйственным способом.

В целях равномерного отнесения предстоящих расходов на ремонт в издержки производства и обращения организации могут создавать резерв предстоящих расходов на ремонт путем включения периодических отчислений в текущие расходы на производство и продажу: Дт сч. 20 «Основное производство», 23 «Вспомогательное производство», 25 «Общепроизводственные расходы», 26 «Общехозяйственные расходы», 91 «Прочие доходы и расходы» и др., Кт сч. 96 «Резервы предстоящих расходов». В дальнейшем расходы на ремонт списываются за счет созданного резерва: Дт сч. 96 «Резервы предстоящих расходов», Кт сч. 60 «Расчеты с поставщиками и подрядчиками» - на стоимость ремонтных работ, выполненных подрядным способом; Кт сч. 10 «Материалы», 70 «Расчеты с персоналом по оплате труда», 69 «Расчеты по социальному страхованию и обеспечению» и др. - на стоимость ремонтных работ, выполненных хозяйственным способом.

При существенных размерах внеплановых затрат на ремонт они могут быть капитализированы как расходы будущих периодов и затем списаны на текущие расходы (декапитализированы) способом, установленным в учетной политике организации, что отражается бухгалтерскими записями по дебету счета 97 «Расходы будущих периодов»:

1.   на стоимость выполненных ремонтных работ подрядным способом (без НДС) - в корреспонденции со счетом 60 «Расчеты с поставщиками и подрядчиками»;

2.      на стоимость выполненных ремонтных работ хозяйственным способом - в корреспонденции со счетами 10 «Материалы», 70 «Расчеты с персоналом по оплате труда», 69 «Расчеты по социальному страхованию и обеспечению» и др.

Таким образом,

• если начисляется резерв, связанный с ремонтом, то у предприятия возникают псевдорасходы (затраты показаны, но на самом деле ни одного рубля не было потрачено);

• если проводится ремонт, а резерв не был начислен или же был начислен в недостаточном объеме, то часть понесенных затрат отражается как расходы будущих периодов, что создает псевдоприбыль (средства на ремонт изъяты из актива, а в пассиве фиксируется прибыль).

2.4 Выбытие основных средств

Основные средства могут выбывать из организации по следующим причинам:

1.   при списании в случае морального и физического износа;

2.      в результате продажи;

.        как вклад по договору простого товарищества;

.        в результате безвозмездной передачи по договору дарения;

.        при передаче по договору лизинга;

.        по другим причинам.

Физически изношенные и морально устаревшие основные средства, которые постоянно не используются на предприятии, подлежат списанию. В соответствии с п. 31 ПБУ 6/01 доходы и расходы, связанные со списанием основных средств, отражаются на счете 91 «Прочие доходы и расходы». По дебету счета фиксируется остаточная стоимость основного средства и другие расходы, вызванные выбытием, по кредиту - поступления от списания основных средств (материалы, детали, узлы, агрегаты разобранного и демонтированного оборудования, оприходованные по, текущей рыночной стоимости).

Остаточная стоимость выбывающего основного средства выявляется на счете 01 «Основные средства» при списании суммы накопленной амортизации в дебет счета 01 с кредита счета 02 «Амортизация основных средств». С этой целью к счету 01 «Основные средства» может быть открыт субсчет «Выбытие основных средств», в дебет которого переносится первоначальная стоимость выбывающего объекта, а в кредит - сумма накопленной амортизации, что отражается бухгалтерскими записями: Дт сч. 01-1 «Основные средства» (субсчет «Выбытие основных средств»), Кт сч. 01 «Основные средства» - на сумму первоначальной стоимости объекта; Дт сч. 02 «Амортизация основных средств», Кт сч. 01 «Основные средства» (субсчет «Выбытие основных средств») - на сумму начисленной амортизации по выбывающему объекту.


Пример. Списывается (ликвидируется) частично изношенное оборудование стоимостью 300 000 руб. и начисленной амортизацией 280 000 руб. Стоимость металлолома, оприходованного при списании, составила 50 000 руб.

Поясним записи:

- списывается первоначальная или восстановительная стоимость ликвидируемого основного средства - 300 000 руб.;

-- списывается сумма амортизации, начисленной до момента списания, - 280 000 руб.;

- списывается остаточная (недоамортизированная) стоимость ликвидируемых основных средств. Это сумма прямого убытка предприятия, возникающая по причине недоиспользования, т.е. преждевременной ликвидации основных средств, - 20 000 руб.;

- принимается к учету металлолом, оприходованный при списании ликвидируемых основных средств, - 50 000 руб.

И, как следствие всего цикла, на самом счете 91 «Прочие доходы и расходы» благодаря записям на его субсчетах образовался окончательный итог от ликвидации. В нашем случае это 30 000 руб. (кредитовое сальдо по счету 91 «Прочие Доходы и расходы»).

В бухгалтерском учете основные средства списываются на основании первичного документа - акта на списание основного средства, в котором отражаются причины списания.

При продаже основных средств доходы и расходы согласно ПБУ 9/99 также отражаются на счете 91 «Прочие доходы и расходы». Доходом признаются поступления от продажи или дебиторская задолженность покупателя в сумме, предусмотренной договором, а расходами - остаточная стоимость выбывающего объекта основных средств, налоги на стоимость реализации и расходы на продажу.

При безвозмездной передаче основных средств записи составляются по аналогичной схеме. Доходы в данном случае, естественно, отсутствуют, но в соответствии с действующим законодательством передача основного средства на безвозмездной основе признается реализацией (за исключением случаев, перечисленных в п. 2 ст. 146 НК РФ) и подлежит обложению НДС. В учете данная операция отразится следующими записями по дебету счета 91 «Прочие доходы и расходы»:

1.   остаточная стоимость объекта - в корреспонденции со счетом 01 «Основные средства»;

2.      НДС на стоимость безвозмездно переданного имущества - в корреспонденции со счетом 68 «Расчеты по налогам и сборам»;

3.   расходы на подготовку к передаче, доставку и др. - в корреспонденции со счетами 10 «Материалы», 70 «Расчеты с персоналом по оплате труда», 76 «Расчеты с разными дебиторами и кредиторами» и др.

 При недостаче, хищениях и порче основных средств расходы (потери) от их выбытия отражаются в бухгалтерском учете на основании результатов проведенной инвентаризаций по дебету счета 94 «Недостачи и потери от порчи ценностей» следующими записями:

1.   на остаточную стоимость объекта - в корреспонденции со счетом 01 «Основные средства;

2.      на сумму восстановленного НДС, приходящегося на недоамортизированную стоимость объекта и ранее принятого к налоговому вычету, - в корреспонденции со счетом 68 «Расчеты по налогам и сборам».

Результаты инвентаризации регулируются на основании решения руководителя. Если будут установлены виновные лица и принимается решение о взыскании с них материального ущерба, то по дебету счета 73 «Расчеты с персоналом по прочим операциям» (субсчет 73-2 «Расчеты по возмещению материального ущерба») делаются записи:

1.   на сумму недостачи (по остаточной стоимости) - в корреспонденции со счетом 94 «Недостачи и потери от порчи ценностей»;

2.      на разницу между взыскиваемой суммой и стоимостью недостачи (рыночной стоимостью) - в корреспонденции со счетом 98 «Доходы будущих периодов» (субсчет 98-4 «Разница между суммой, подлежащей взысканию с виновных лиц, и стоимостью по недостачам ценностей»).

Если виновное лицо не установлено или суд отказал во взыскании, то потери от недостач, порчи и хищений относятся на дебет счета 91 «Прочие доходы и расходы» в корреспонденции со счетом 94 «Недостачи и потери от порчи ценностей».

При авариях, стихийных бедствиях и других аналогичных обстоятельствах доходы и расходы, связанные с ликвидацией основного средства, рассматриваются как чрезвычайные и отражаются на счете 99 «Прибыли и убытки».

По дебету счета 99 «Прибыли и убытки» фиксируются следующие чрезвычайные расходы:

1.   остаточная стоимость объекта - в корреспонденции со счетом 01 «Основные средства»;

2.      расходы по демонтажу, разборке основного средства и др. - в корреспонденции со счетами 70 «Расчеты с персоналом по оплате труда», 69 «Расчеты по социальному страхованию и обеспечению» и др.

Чрезвычайные доходы отражаются по кредиту счета 99 «Прибыли и убытки» следующими записями:

1.   на текущую рыночную стоимость имущества, остающегося при ликвидации основного средства, - в корреспонденции со счетами 10 «Материалы», 01 «Основные средства»;

2.   на сумму полученного (признанного) страхового возмещения - в корреспонденции со счетами денежных средств или расчетов.

2.5 Особенности учета основных средств у арендодателя (лизингодателя)

Аренда - основанное на договоре возмездное (за плату) временное владение и пользование или временное пользование имуществом, которое не теряет своих натуральных свойств в процессе его использования (непотребляемые вещи). В аренду могут быть переданы земельные участки и другие обособленные природные объекты, предприятия, здания, сооружения, оборудование, транспортные средства и пр.

Отношения арендодателя и арендатора устанавливаются договором аренды, его общие принципы регулируются ст. 607 ГК РФ. В договоре указываются состав и стоимость передаваемого в аренду имущества, размер арендной платы и форма ее уплаты, срок аренды, обязанности арендатора и арендодателя по содержанию имущества, условия возврата или выкупа, а также улучшения арендованного имущества.

Арендная плата устанавливается в виде твердой суммы платежей или путем предоставления услуг, передачи вещи, а также на основе принятой доли от продукции, плодов или доходов, полученных в результате использования арендуемого имущества.

В договоре аренды может быть предусмотрено, что арендованное имущество переходит в собственность арендатора по истечении срока аренды или до его истечения при условии внесения арендатором всей обусловленной договором выкупной цены.

Арендодатель обязан выполнить за свой счет капитальный ремонт переданного в аренду имущества, а арендатор - поддерживать имущество в исправном состоянии, проводить за свой счет текущий ремонт и нести расходы на содержание имущества, если договором не предусмотрено иное.

Различают текущую (операционную) аренду отдельных объектов основных средств, долгосрочную аренду целого комплекса основных средств (предприятий) и лизинг (финансовую аренду) как с правом выкупа, так и без него.

Самым главным в учете аренды считается то, что сданное в аренду имущество учитывается на балансе у арендодателя. Это приводит к некоторому парадоксу: имущества нет на предприятии, а на балансе оно продолжает числиться по дебету счета 01 «Основные средства». Напротив, там, где это имущество эксплуатируют, на балансе его нет.

Особенности имеет учет основных средств, предоставляемых в лизинг. В соответствии с ГК РФ по договору финансовой аренды (договору лизинга) арендодатель обязуется приобрести в собственность указанное арендатором имущество у определенного им продавца и предоставить это имущество за плату во временное владение и пользование для предпринимательских целей. Основополагающие нормы, регулирующие лизинговые отношения, определены в Федеральном законе «О лизинге».

Предметом лизинга не могут быть земельные участки и другие природные объекты.

Субъектами лизинга (физическими или юридическими лицами) выступают:

·    лизингодатель, который за счет привлеченных и (или) собственных средств приобретает в собственность имущество и предоставляет его в качестве предмета лизинга лизингополучателю;

·        лизингополучатель, который обязан принять предмет лизинга за определенную плату на определенный срок и на определенных условиях во временное владение и в пользование в соответствии с договором лизинга;

·        продавец, который в соответствии с договором купли-продажи с лизингодателем продает лизингодателю в обусловленный срок имущество, являющееся предметом лизинга.

Под лизинговыми платежами понимается общая сумма платежей по договору лизинга за весь срок действия договора лизинга, в которую входит возмещение затрат лизингодателя, связанных с приобретением и передачей предмета лизинга лизингополучателю, возмещение затрат, связанных с оказанием других предусмотренных договором услуг, а также доход лизингодателя.

Лизингополучатель за свой счет осуществляет техническое обслуживание предмета лизинга и обеспечивает его сохранность, а также осуществляет капитальный и текущий ремонт предмета лизинга, если иное не предусмотрено договором.

Имущество, переданное в лизинг, в течение всего срока действия договора остается в собственности лизингодателя.

Отражение операций финансовой аренды (лизинга) в бухгалтерском учете зависит от того, на чьем балансе - лизингодателя или лизингополучателя - будет учитываться имущество в соответствии с условиями договора.

Эта деятельность для лизинговой фирмы является обычной и в случае учета лизингового имущества на балансе лизингодателя может в его учете отражаться по схеме учета аренды. Но порядок бухгалтерских записей будет несколько иным.

. Приобретено лизинговое имущество: Дт сч. 08 «Вложения во внеоборотные активы», Кт сч. 60 «Расчеты с поставщиками и подрядчиками».

. Учтен НДС: Дт сч. 19-1 «Налог на добавленную стоимость по приобретенным ценностям», Кт сч. 60 «Расчеты с поставщиками и подрядчиками».

. Принято к учету имущество, предназначенное для сдачи в аренду по договору лизинга: Дт сч. 03 «Доходные вложения в материальные ценности», Кт сч. 08 «Вложения во внеоборотные активы».

Стоит обратить внимание, что в этом случае основные средства не рассматриваются как таковые и не отражаются на счете 01 «Основные средства», а показываются как совершенно обособленный вид активов, которых нет в организации, но которые составляют его собственность (по крайней мере, до получения последнего платежа).

Если по условиям договора лизинговое имущество учитывается на балансе лизингополучателя, то его передача с баланса лизингодателя будет отражаться аналогично его продаже.

Обоснование экономической целесообразности заключения договора лизинга, подбор удобных механизмов взаимодействия сторон, выбор конкретных условий договора являются, несомненно, существенным моментом договорной, а следовательно, и финансовой политики лизингодателя и лизингополучателя.

Глава 3. Аудиторское заключение

Задание 1. Составьте договор на проведение аудиторской проверки.

Договор N 1

Место заключения: аудиторская фирма «Константин», г. Ставрополь, ул. 1 Промышленная, 10, офис 10.

Дата: 09.10.2007

Аудиторская фирма «Константин», именуемая в дальнейшем Исполнитель, в лице Генерального директора Солтанова Геннадия Григорьевича, действующего на основании Устава, с одной стороны, и Закрытое Акционерное Общество «Кред», именуемый в дальнейшем Заказчик, в лице Генерального директора Редекоп Дмитрия Петровича, действующего на основании Устава, с другой стороны, заключили настоящий договор о нижеследующем:

. Предмет договора

.1. Заказчик поручает, а Исполнитель принимает на себя выполнение следующих работ:

а) проведение аудиторской проверки бухгалтерской отчетности Заказчика за период с 01.01.2006 по 31.12.2006 и составление аудиторского заключения о достоверности этой отчетности, а также письменной информации (отчета) аудитора руководству экономического субъекта по результатам проведения аудита;

б) оказание сопутствующих аудиту услуг: разработка анкеты тестов оценки системы бухгалтерского учета и внутреннего контроля предприятия; оценка уровня существенности; расчет аудиторского риска и документальное оформление их результатов.

.2. Сроки выполнения работы (или отдельных этапов работы): с 10.10.2007 по 05.11.2007.

. Права и обязанности Исполнителя

.1. Проводит аудит бухгалтерской отчетности Заказчика, руководствуясь Указом Президента РФ "Об аудиторской деятельности в Российской Федерации" от 22 декабря 1993 г. N 2263 и Правилами (стандартами) аудиторской деятельности, одобренными Комиссией по аудиторской деятельности при Президенте Российской Федерации.

.2. Самостоятельно определяет формы и методы аудиторской проверки исходя из требований нормативных актов Российской Федерации, а также конкретных условий договора с Заказчиком.

.3. Имеет право проверять в полном объеме документацию о финансово-хозяйственной деятельности, наличии денежных сумм, ценных бумаг, материальных ценностей, получать разъяснения по возникшим вопросам в ходе аудита и дополнительные сведения, необходимые для аудиторской проверки.

.4. Имеет право получать по письменному запросу необходимую для осуществления аудиторской проверки информацию от третьих лиц, в том числе при содействии государственных органов, поручивших проверку.

.5. Имеет право привлекать к участию по выполнению работ, предусмотренных в договоре, дополнительных аудиторов (специалистов), сторонних консультантов или экспертов.

.6. Имеет право отказаться от проведения аудиторской проверки или от выражения своего мнения о достоверности бухгалтерской отчетности в аудиторском заключении в случае непредставления Заказчиком необходимой документации.

.7. Обязан неукоснительно соблюдать при осуществлении аудиторской деятельности требования законодательных актов Российской Федерации и других нормативных документов.

.8. Обязан квалифицированно проводить аудиторскую проверку, а также оказывать иные аудиторские услуги.

.9. Обязан обеспечить сохранность документов, получаемых и составляемых в ходе аудиторской проверки, и не разглашать их содержания без согласия собственника (руководителя) Заказчика, за исключением случаев, предусмотренных законодательными актами Российской Федерации, независимо от продолжения или прекращения отношения с Заказчиком и без ограничения сроком давности.

.10. Составляет аудиторское заключение и письменную информацию (отчет) аудитора руководству экономического субъекта по результатам проведения аудита на русском языке, все стоимостные показатели выражаются в валюте Российской Федерации.

.11. Передает руководителю или уполномоченному лицу Заказчика один экземпляр аудиторского заключения в составе вводной, аналитической (отчета) и итоговой частей и один экземпляр заключения в составе вводной и итоговой частей, а также один экземпляр письменной информации (отчета) аудитора руководству проверяемого экономического субъекта по результатам проведения аудита.

.12. Передает Заказчику итоговую часть заключения только после официального получения в полном объеме составленной и подписанной бухгалтерской отчетности Заказчика.

. Права и обязанности Заказчика

.1. Имеет право получать от Исполнителя информацию о требованиях законодательства, касающегося проведения аудита, в том числе об основаниях для замечаний и выводов, сделанных аудитором.

.2. Имеет право обратиться с соответствующим заявлением в орган, выдавший Исполнителю лицензию на осуществление аудиторской деятельности, для проверки качества аудиторского заключения в порядке, предусмотренном п. 15 "Временных правил аудиторской деятельности в Российской Федерации", утвержденных Указом Президента Российской Федерации от 22 декабря 1993 г. N 2263.

.3. Обязан создавать Исполнителю условия для своевременного и полного проведения аудиторской проверки, предоставлять всю документацию, необходимую для ее проведения, давать по запросу Исполнителя разъяснения и объяснения в устной и письменной форме, а также выполнять необходимые копировально-множительные работы.

.4. Обязан оперативно устранять выявленные аудиторской проверкой нарушения порядка ведения бухгалтерского учета и составления бухгалтерской отчетности.

.5. Не может предпринимать каких-либо действий с целью ограничения круга вопросов, подлежащих выяснению при проведении аудиторской проверки или оказании сопутствующих аудиту услуг.

.6. Не может оказывать давления на Исполнителя в любой форме с целью изменения его мнения о достоверности бухгалтерской отчетности Заказчика.

. Стоимость аудиторских услуг и порядок расчетов

.1. Стоимость аудиторских услуг определяется по цене, устанавливаемой соглашением сторон в соответствии со статьей 424 Гражданского кодекса Российской Федерации.

.2. Стоимость аудиторских услуг по настоящему договору составляет 15000 рублей, 00 копеек, (пятнадцать тысяч рублей 00 копеек), в том числе НДС 2000 рублей.

.3. Оплату аудиторских услуг Заказчик осуществляет на основании счета, выписываемого Исполнителем.

.4. Оплата работ производится в следующем порядке: 30 % от стоимости работ Заказчик перечисляет на расчетный счет Исполнителя в течение трех дней с даты начала работ, 70 % от стоимости работ Заказчик перечисляет на расчетный счет Исполнителя в течение трех дней после подписания приемо-сдаточного акта. За каждый день просрочки Заказчик выплачивает Исполнителю пеню в размере 3 % от суммы платежа.

. Ответственность сторон, порядок разрешения споров

.1. Каждая из сторон должна выполнять свои обязанности надлежащим образом, в соответствии с требованиями настоящего договора, а также оказывать другой стороне всевозможное содействие в выполнении его обязанностей.

.2. В случае возникновения споров стороны примут все меры для их разрешения путем переговоров.

.3. В случае если согласие не будет достигнуто путем переговоров, все споры, разногласия и конфликты, возникающие в связи с исполнением настоящего договора, а также в случае его нарушения или расторжения, будут разрешаться судом Промышленного района.

.4. За неисполнение обязательств по настоящему договору Заказчик и Исполнитель несут имущественную ответственность в соответствии с действующим законодательством и условиями настоящего договора.

.5. Стороны освобождаются от ответственности за частичное или полное неисполнение обязательств по настоящему договору, если таковое явилось следствием обстоятельств непреодолимой силы, определяемых в соответствии с действующим законодательством.

.6. Во всем, что не предусмотрено настоящим договором, стороны руководствуются действующим законодательством, в том числе положениями главы 39 Гражданского кодекса Российской Федерации.

. Конфиденциальность

.1. Объем не подлежащей разглашению информации определяется Заказчиком и согласовывается с Исполнителем отдельным приложением к договору.

.2. Стороны обязуются сохранять строгую конфиденциальность информации, полученной в ходе исполнения настоящего договора, и принять все возможные меры, чтобы предохранить полученную информацию от разглашения.

.3. Передача конфиденциальной информации третьим лицам, опубликование или иное разглашение такой информации могут осуществляться только с письменного согласия другой стороны независимо от причины прекращения действия настоящего договора.

.4. Ограничения относительно разглашения информации не относятся к общедоступной информации или информации, ставшей таковой не по вине сторон, а также к информации, ставшей известной стороне из иных источников до или после ее получения от другой стороны.

.5. Исполнитель не несет ответственности в случае передачи информации государственным органам, имеющим право ее затребовать в соответствии с законодательством Российской Федерации.

. Заключительные положения

.1. Все дополнения и изменения к настоящему договору действительны лишь в том случае, если они совершены в письменной форме и подписаны уполномоченными на то лицами.

.2. Настоящий договор вступает в силу со дня его подписания.

Настоящий договор подписан 09.10.2007 в двух экземплярах, по одному для каждой из сторон. Место исполнения сделки: аудиторская фирма «Константин», г. Ставрополь, ул. 1 Промышленная, 10, офис 10.

. Срок действия договора и юридические адреса сторон

.1. Срок действия договора 6 месяцев.

.2. Договор может быть расторгнут по желанию одной из сторон с письменным извещением другой стороны за 15 дней до даты расторжения.

Адреса и расчетные счета сторон.

Исполнитель: аудиторская фирма «Константин»

г. Ставрополь, ул. 1 Промышленная, 10, офис 10

Банковские реквизиты:

Северо-Кавказский Банк Сбербанка РФ

Р/сч.: 36987002458122365440

ИНН 1100586790,

БИК: 902657001

К/Счет: 14785236900000000555;

Лицензия №15362,

выдана Минфином РФ

Исполнитель:

Подпись: Солтанов

Солтанов Геннадий Григорьевич

Заказчик: Закрытое Акционерное Общество «Кред»

г. Ставрополь, ул. Буйнакского, 15, офис 5

Банковские реквизиты:

Северо-Кавказский Банк Сбербанка РФ

Р/сч.: 32105803790254012300

ИНН 2596300755,

БИК: 330201090

К/Счет: 96385274100000000777

Заказчик:

Подпись: Редекоп

Редекоп Дмитрий Петрович

Задание 2. Разработайте анкету тестов (вопросник) оценки системы бухгалтерского учета и внутреннего контроля предприятия.

Оценка системы бухгалтерского учета и внутреннего контроля ЗАО «Кред» проводится по нескольким группам факторов, влияющих на финансово - хозяйственную деятельность экономического субъекта:группа. Общеэкономические факторы

. Состояние экономики в целом (например, рост или спад производства).

. Процентные ставки и возможности финансирования.

. Уровень инфляции, денежная (валютная) ревальвация.

. Государственная политика, в том числе:

а) денежно - кредитная;

б) финансово - бюджетная;

в) фискальная;

г) финансовое стимулирование;

д) тарифы, торговые ограничения.

. Курсы иностранных валют и валютный контроль.группа. Отраслевые факторы

. Рынок и конкуренция.

. Цикличность (сезонность) деятельности.

. Изменения в технологии производства.

. Предпринимательский риск (например, легкость вхождения для конкурентов и прочие).

. Спад или расширение отрасли.

. Неблагоприятные условия (например, падение спроса, проблемы с производственными мощностями, серьезная ценовая конкуренция).

. Особенности бухгалтерского учета хозяйственных операций.

. Основные экономические показатели и статистические данные.

. Требования и проблемы, связанные с охраной окружающей среды.

. Нормативно - правовая база.

. Энергоснабжение и затраты.группа. Индивидуальные факторы

. Корпоративная структура - частное, общественное, государственное предприятие (включая любые происходящие или запланированные изменения).

. Акционеры - бенефициары и третьи стороны (местная, зарубежная, деловая репутация и опыт).

. Структура капитала (включая любые происходящие или запланированные изменения).

. Организационная структура.

. Цели, философия, стратегические планы управления.

. Приобретения, слияния или сокращение деятельности экономического субъекта (запланированные или осуществленные в последнее время).

. Источники и методы финансирования (текущие, первоначальные).

. Совет директоров, в частности:

а) состав совета;

б) деловая репутация и квалификация руководителей, входящих в совет;

в) независимость от исполнительного руководства и контроль за его деятельностью;

г) периодичность проведения собраний;

д) наличие службы внутреннего контроля и масштаб ее деятельности;

е) наличие политики в отношении корпоративного поведения.

. Качество управления экономическим субъектом, в частности:

а) квалификация и репутация руководства;

б) ротация персонала;

в) ведущий финансовый персонал и его статус в организации;

г) обеспечение бухгалтерии персоналом;

д) система поощрительных вознаграждений и стимулов как часть оплаты (например, на основе прибыли);

е) использование прогнозов и смет;

ж) давление на управление (например, чрезмерная загруженность);

з) доминирование одного лица, поддержка цены акций, неприемлемые сроки объявления результатов;

й) системы управленческой информации.

. Деятельность внутреннего аудита (наличие, качество).

. Отношение к внутренним средствам и методам контроля.группа. Факторы, связанные с особенностями экономической деятельности.

. Характер экономического субъекта (например, производитель, оптовое торговое предприятие, предприятие по оказанию финансовых услуг, предприятие, осуществляющее импортные или экспортные операции).

. Местонахождение средств производства, складов, офисов.

. Работа по найму (например, местоположение, обеспечение, уровни заработной платы, коллективные договоры, пенсионные обязательства, государственное регулирование).

4. Товары или услуги и рынки (например, основные клиенты и контракты, условия оплаты, рентабельность, доля рынка, конкуренты, экспорт, политика цен, репутация товаров, гарантии, книга заказов, тренды, рыночная стратегия и цели, производственные процессы).

5. Основные поставщики товаров и услуг (например, долгосрочные контракты, стабильность снабжения, условия оплаты, импорт, методы доставки, такие как «своевременные»).

. Запасы (например, местоположения, количество).

. Коммерческие концессии, лицензии, патенты.

. Категории основных расходов.

. Научно - исследовательские и опытно - конструкторские работы.

. Валютные фонды, обязательства и операции по валюте, хеджирование валютообменных операций.

. Законодательство и инструкции, оказывающие значительное влияние на деятельность предприятия.

. Информационные системы - состояние на текущий момент и планы их изменения.

. Структура долгов, включая условия и ограничения.группа. Финансовые факторы

. Системы прогнозирования доходов и финансовых потоков.

. Лизинг и прочие финансовые соглашения (кредиты, займы).

. Доступность кредитов.

. Другие финансовые источники.

. Валютные операции и процентные ставки.

. Операции с ценными бумагами.

. Сравнение с прибыльностью производственных операций.группа. Нормативно - правовые факторы

. Учетная политика, требования к бухгалтерскому учету и отчетности.

. Нормативные и законодательные акты, система налогообложения.

. Меры государственного регулирования: средства, методы и требования.

. Аудиторские требования представления отчетности.

5. Пользователи бухгалтерской отчетности.

Задание 3. Оцените уровень существенности, проведя расчет в таблице 1 или предложив свой метод определения показателя.

Таблица 1

Оценка уровня существенности

Наименование базового показателя

Значение базового показателя бухгалтерской отчетности проверяемого экономического субъекта, тыс. руб.

Доля, %

Значение, принимаемое для нахождения уровня существенности, тыс. руб.

Балансовая прибыль предприятия

 376

5

 37,6

Валовой объем реализации

1190

2

595

Валюта баланса

472

2

118

Собственный капитал

55

10

13,75

Общие затраты предприятия

735

2

183,75


Задание 4. Рассчитайте аудиторский риск для проверяемого предприятия.

Для расчета аудиторского риска необходимо рассчитать величину запасов и затрат:

ЗЗ = З + НДС (10),

На начало года: ЗЗ = 1586 + 162 = 1748 тыс. р.

На конец года: ЗЗ = 396 + 129 = 525 тыс. р.

где З - запасы.

Рассчитываем наличие собственных оборотных средств (СОС):

СОС = СС - ВА (11),

На начало года: СОС = 64 - 2 = 62 тыс. р.

На конец года: СОС = 9 тыс. р.

где СС - собственный капитал,

АА - величина внеоборотных активов.

Необходимо рассчитать перманентный капитал: наличие собственных оборотных средств и долгосрочных заемных источников формирования запасов и затрат, т. е. с учетом долгосрочных кредитов и заемных средств (ПК).

ПК = (СС + ДЗС) - ВА (12),

На начало года: ПК = (64 + 1287) - 2 = 1349 тыс. р.

На конец года: ПК = 9 + 868= 877 тыс. р.

где ПК - перманентный капитал,

ДЗС - долгосрочные заемные средства.

Рассчитываем общую величину основных источников формирования запасов и затрат.

ВИ = (СС + ДЗС + КЗС) - ВА (13),

На начало года: ВИ = (64 + 1287) - 2 = 1349 тыс. р.

На конец года: ВИ = 9 + 868= 877 тыс. р.

где ВИ - все источники, КЗС - краткосрочные заемные средства.

Рассчитываем три показателя обеспеченности запасов и затрат источников формирования:

. Изменение (+) или недостаток (-) собственных оборотных средств:

± Фсос = СОС - 33 (14).

На начало года: ± Фсос = 62 - 1748 = -1686 тыс. р.

На конец года: ± Фсос = 9 - 525 = -516 тыс. р.

. Изменение (+) или недостаток (-) перманентного капитала:

± ФПК = ПК - 33 (15).

На начало года: ± ФПК = 1349 - 1748 = -399 тыс. р.

На конец года: ± ФПК = 877 - 525 = 352 тыс. р.

. Изменение (+) или недостаток (-) всех источников (показатель финансово-эксплуатационной потребности):

± Фви = ПК - 33 (16).

На начало года: ± Фви = 181 - 8 = -399 тыс. р.

На конец года: ± Фви = 379 - 32 = 352 тыс. р.

Рассчитываем показатели финансовой устойчивости:

. Коэффициент капитализации:

На начало года: U1 = (1287+1522) / 64 = 43,9

На конец года: U1 = (868 + 1206) / 9 = 230,4


На начало года: U2 = (64-2) / 287 = 0,02

На конец года: U2 = 9 / 2083 = 0

. Коэффициент финансовой независимости

На начало года: U3 = 64 / 287 = 0,02

На конец года: U3 = 9 / 2083 = 0

. Коэффициент финансирования:

На начало года: U4 = 64 / (1287 + 1522) = 0,02

На конец года: U4 = 9 / (868 + 1206) = 0

. Коэффициент финансовой устойчивости:

На начало года: U5 = (64 + 1287) / 2873 = 0,47

На конец года: U5 = (9 + 868) / 2083 = 0,42

Рассчитанные данные сводим в таблицу

Таблица - Аудиторский риск.

№ п/п

Наименование показателей

На начало года

На конец года

Отклонения (+; -)

1

Коэффициент капитализации

4,9

20,4

186,5

2

Коэффициент обеспеченности собственными источниками финансирования

0,02

0

-0,02

3

Коэффициент финансовой независимости

0,02

0

-0,02

4

Коэффициент финансирования

0,02

0

-0,02

5

Коэффициент финансовой устойчивости

0,47

0,42

-0,05


± Фсос < 0

± ФПК на начало года < 0

± ФПК на конец года > 0

± Фви на начало года < 0

± Фви на начало года < 0

Из расчетов трех показателей обеспеченности затрат и запасов источников формирования видно, что ООО «Кред» находится в кризисном состоянии, т. к. показатели собственных оборотных средств, перманентного капитала и финансово-эксплуатационной потребности < 0.

Задание 5. Составьте схему документооборота аудиторской проверки.


Задание 6. Составьте программу получения аудиторских доказательств правильности отражения учетных показателей, отразив: перечень процедур проверки, источники информации, методы сбора доказательств, период проведения и координаты исполнителя. При выполнении используйте результаты, полученные по итогам проведенного анкетирования, оценке уровня существенности и аудиторского риска и анализ схемы документооборота.

План аудита основных средств и НМЛ.

. Проверяемая организация: ЗАО «Кред».

. Период аудита: 10.10.07. - 05.11. 07 г.

. Проверяемый период: 1.01.06 - 31.12.06 г.

. Количество чел.-ч.: 400.

. Аудитор: Солтанов Г. Г.

. Планируемый аудиторский риск: 3%.

. Планируемый уровень существенности: 5%.

Планируемые виды работ

Период проведения

Исполнитель

1. Решение организационных вопросов.

10.10.07-11.10. 07

Солтанов Г. Г.

2. Проверка соблюдения законодательства

12.10.07-14.10. 07

Тимофеева О. С.

3. Проведение инвентаризации

15.10.07 - 23.10.07

Кубриков В. С.

4. Проверка поступления, выбытия осн-х ср-в.

24.10.07-28.10.07

Кубриков. В. С.

5. Проверка правильности начисления аморт-и

28.10.07-01.11.07

Соловушкина Т. Т.

6. Проверка проводок и первичной документации

01.11.07 - 05.11.07

Тимофеева О. С.

7. Составление и предоставление аудиторского заключения

05.11.07

Солтанов Г. Г.


Таблица 2

Программа аудита основных средств и НМА.

Перечень аудиторских процедур

Период

Исполнитель

Рабочие документы

 

проведений

 

аудитора

А

1

2

3

1. Решение общих вопросов организации:

10.10.07-11.10. 07

Солтанов Г. Г.

Устав, Учреди-

1 .1 . Сбор общих сведений о клиенте

 

 

тельные документы

1.2. Описание состояния и постановку

 

 

Приказ по Учётной

бух. Учета и внутреннего контроля

 

 

политике

1.3. Описание компьютерной системы

 

 

Паспорт ЭВМ

1.4. Предварительный обзор баланса

 

 

Баланс Ф. №1

1.5. Согласование организационных воп-

 

 


росов.

 

 

Протоколы совмест

1.6. Утверждение графика проведения

 

 

ного заседания

аудита

 

 

Гл. книга,

1.7. Сверка Гл. книги и баланса

 

 

баланс Ф.№1

2. Проверка соблюдения законодательства

12.10.07-14.10. 07 .

Тимофеева О. С.

Положение о бух.уч.

2.1. Проверка построения учёта основных

 

 

Гражданский кодекс

ср-в и НМД

 

 

Инструкции, приказы

2.2. Проверка изменений в учёте по

 

 

нормы амортизации

сравнению с предыдущим годом

 

 

Постановления

3. Проведение инвентаризации

15.10.07 - 23.10.07

Кубриков В. С. 

Акты, инвентариза-

3.1. Проверка последней инвентаризации и


 

ционные описи, ве-

её результаты

 

 

домости, Приказы

3.2. Ознакомиться с материалами

 

 

договора на мате-

переоценки основных средств и их

 

 

риальную ответств.

Отражение в учёте.

 

 


3.3. Проверить наличие приказов о

 

 

 

создании на предприятии постоянно

 

 

 

действующей комиссии по списанию

 

 

 

по списанию основных средств; кто

 

 

 

отвечает и заключены ли с ними договора о

 

 

 

материальной ответственности.

 

 

 

4. Проверка поступления и выбытия

24.10.07-28.10.07

Кубриков В. С.

Первичная докумен-

основных средств.


 

тация на

4.1. Учёт поступления

 

 

поступление

4.2. Учёт выбытия

 

 

перемещение и вы-

4.3. Учёт ремонта

 

 

бытие и ремонт.

4.4. Учёт арендованных осн-х ср-в.

 

 

 

4.5. Учёт НМА

 

 

 

5. Проверка правильности начисления

28.10.07-01.11.07

Соловушкина Т. Т.

Расчёт амортизации,

амортизации

.

 

Инструкция по

5.1. Учёт износа основных средств

 

 

нормам

5.2. Соблюдение норм амортизации.

 

 

амортизации.

6. Проверка правильности проводок и

01.11.07 - 05.11.07

Солтанов Г. Г.

Гл книга ,

сверка первичной документации с


 

Инвентариза-

регистрами синтетического и

 

 

ционные описи,

аналитического учёта



акты, ведомости.

7. Составление и предоставление

05.11.07 г.

Солтанов Г. Г.

Черновик

аудиторского заключения.


 

аудиторского

7.1. Написать в 2-х экз.



заключения, новые

7.2. Ознакомление работников с черновиком



записи, копии доку-

7.3. Подписание заключения и вручение



ментов и т. д.

клиенту



 


Задание 7. В октябре 2001 года предприятием уплачена арендная плата за 4 квартал в сумме 60 тысяч ден. ед. Вся сумма арендной платы отнесена на счет 26 «Общехозяйственные расходы».

Получена пеня на сумму 800 ден. ед за нарушение обязательств, предусмотренных договором поставки товаров. На всю сумму составлена бухгалтерская проводка:

Дт 51 «Расчетный счет»

Кт 76 «Расчеты с разными дебиторами и кредиторами»» - пеня 800 ден. ед.

Безвозмездно передано другим предприятиям товаров на 15 тысяч ден. ед. При этом сделана бухгалтерская проводка:

Дт 83 «Добавочный капитал»

Кт 90 «Продажи» - на переданные товары, 15 тыс. ден. ед.

Дт 90 «Продажи»

Кт 41 «Товары» - списываются переданные товары 15 тыс. ден. ед.

Сделайте необходимые записи в рабочем документе аудитора.

На сумму арендной платы производятся начисления арендодателю, арендатор дебетирует счет «издержки производства» (25 «Общепроизводственные расходы и др.», (26)) и кредитирует счет 76 «Расчеты с различными кредиторами и дебиторам», перечисленные суммы арендной платы отражены по счету Д 76 К51, 52, следовательно Д 76 К 51 = 60 000 р. - уплачена арендная плата.

Д 51 К 76 - уже перечисленная плата

Д 91 К 41 = 15 000 р. - безвозмездная передача

Д 91 К 41 = 15 000 р. - переданные товары

Задание 8. По данным аналитического учета числится объект стоимостью 100 тыс. ден. ед. В ходе проверки было установлено, что данный объект был безвозмездно передан другой организации. НДС по данной операции не начислялся. Кроме того, на себестоимость были отнесены расходы по его демонтажу на сумму 500 ден. ед.

Сделайте необходимые записи в рабочем документе аудитора.

При безвозмездной передаче основных средств их остаточная стоимость вписывается на счет К 01 Д 91

Сумма амортизации Д 02 К 01

Расходы по демонтажу по безвозмездно переданным объектам отражается на счете 91 к соответствующим и другим их счетам.

Финансовый результат безвозмездной передачи основных средств списывают со счета 91 на счет 99.

Задание 9. Согласно данным бухгалтерского учета предприятия в 1 квартале 2001 года в качестве оплаты труда работникам предприятия отпускалась готовая продукция по фактической себестоимости, что в учете отражено следующим образом:

Дт 70 «Расчеты с персоналом по оплате труда»

Кт 43 «Готовая продукция» 3540 ден. ед.

В ходе проверки аудитором было установлено, что продажная стоимость отпущенной таким образом продукции составляла 4885,2 рубля.

Сделайте необходимые записи в рабочем документе аудитора.

При натуральной оплате труда составляются следующие бухгалтерские записи:

1.   Д 20, 23, 25 К 70 - на сумму 4 зарплат

2.      Д 70 К 90, 91 - на сумму выданной премии, товаров, материалов по ценам реализации

.        Д 90, 91 К43, 41, 40 - на производственную себестоимость продукции фактической стоимости товаров и материалов

Задание 10. При проверке правильности и обоснованности отнесения на счет затрат производства расходов по оплате обучения работников аудитор установил, что в мае отчетного года учебному заведению уплачено за обучение работников 17900 ден. ед. Фонд оплаты труда за год по предприятию составляет 500000 ден. ед.

Сделайте необходимые записи в рабочем документе аудитора.

Первичный документ

Содержание операции

Корреспондирующие  счета

Расчетная ведомость

Начислена заработная плата

Д 44 К 70

Больничный лист

Начислены пособия по временной нетрудоспособности

Д 69 К 70

Платежная ведомость

Выплачена из кассы сумма заработной платы

Д 70 К 50

Расчетная ведомость

Удержан НДФЛ и др.

Д 70 К 68


Аудиторское заключение

Юридический адрес: г. Ставрополь, ул. 1 Промышленная, 10, офис 10. Телефон: 23-23-23.

Лицензия на проведение общего аудита № 15362 выдана МинФин РФ.

Лицензия действительна по 06.06.2010. Свидетельство о государственной регистрации аудиторской фирмы «Константин» №17070 выдано Налоговой службой г. Ставрополь.

Расчетный счет № 36987002458122365440 в Северо-Кавказском Банке Сбербанка РФ.

В аудите принимали участие Солтанов Г. Г.

Кубриков В. С.

Соловушкина Т. Т.

Тимофеева О. С.

Отчет аудиторской фирмы

Исполнительному органу

ЗАО «Кред»

1 Нами проведен аудит бухгалтерской отчетности ЗАО «Кред» за 2006 год.

2 При планировании и проведении аудита отчетности, указанной в параграфе 1 настоящей части, нами рассмотрено состояние внутреннего контроля у ЗАО «Кред». Ответственность за организацию и состояние внутреннего контроля несет исполнительный орган ЗАО «Кред».

3 Мы рассмотрели состояние внутреннего контроля исключительно для того, чтобы определить объем работ, необходимых для формирования аудиторского заключения о достоверности бухгалтерской отчетности. Проделанная в процессе аудита работа не означает проведение полной и всеобъемлющей проверки системы внутреннего контроля ЗАО «Кред» с целью выявления всех возможных недостатков.

4 В процессе аудита нами не были обнаружены никакие факты, из которых можно было бы сделать вывод о несоответствии системы внутреннего контроля ЗАО «Кред» масштабам и характеру его деятельности.

5 Наши мнения о достоверности отчетности, указанной в параграфе 1 настоящей части, приведено в следующей части Аудиторского заключения. Нами не обнаружены никакие серьезные нарушения установленного порядка ведения бухгалтерского учета и подготовки бухгалтерской отчетности, которые могли бы существенно повлиять на достоверность бухгалтерской отчетности.

6 При проведении аудита отчетности, указанной в параграфе 1 настоящей части, нами рассмотрено соблюдение ЗАО «Кред» применимого законодательства Российской Федерации при совершении финансово-хозяйственных операций. Ответственность за соблюдение применимого законодательства Российской Федерации при совершении финансово-хозяйственных операций несет исполнительный орган ЗАО «Кред».

7 Мы проверили соответствие ряда совершенных ЗАО «Кред» финансово-хозяйственных операций применимому законодательству исключительно для того, чтобы получить достаточную уверенность в том, что бухгалтерская отчетность не содержит существенных искажений. Однако цель проведенного нами аудита бухгалтерской отчетности не состояла в том, чтобы выразить мнение о полном соответствии деятельности ЗАО «Кред» законодательству. Поэтому такое мнение мы не высказываем.

8 Результаты проведенной нами проверки показывают, что проверенные финансово-хозяйственные операции осуществлялись ЗАО «Кред» во всех существенных отношениях, в соответствии с указанным в предыдущем параграфе настоящей части законодательством.

Заключение аудиторской фирмы

акционерам ЗАО «Кред» о бухгалтерской отчетности ЗАО «Кред» за 2006год

1 Нами проведен аудит прилагаемой бухгалтерской отчетности ЗАО «Кред» за 2006 год. Данная отчетность подготовлена исполнительным органом ЗАО «Кред» исходя из Федерального Закона от 21.11.1996 № 129-Ф3 «О Бухгалтерском учете» (с изменениями и дополнениями, вступившими в силу 01.01.2004).

2 Ответственность за подготовку данной отчетности несет исполнительный орган ЗАО «Кред». Наша обязанность заключается в том, чтобы высказать мнение о достоверности во всех существенных аспектах данной отчетности на основе проведенного аудита.

3 Мы проводили аудит в соответствии с Федеральным Законом Об Аудиторской Деятельности № 119-Ф3 от 13 июля 2001 года.

4 . Аудит планировался и проводился таким образом, чтобы получить достаточную уверенность в том, что бухгалтерская отчетность не содержит существенных искажений. Аудит включал проверку на выборочной основе подтверждений числовых данных и пояснений, содержащихся в бухгалтерской отчетности. Мы полагаем, что проведенный аудит дает достаточные основания для того, чтобы высказать мнение о достоверности данной отчетности.

Руководитель аудиторской фирмы Солтанов Г.

Заключение

Особенностью основных средств является их многократное использование в процессе производства, сохранение первоначального внешнего вида в течение длительного периода. Под воздействием производственного процесса и внешней среды они снашиваются постепенно и переносят свою первоначальную стоимость на затраты производства в течение нормативного срока их службы путем начисления износа (амортизации) по установленным нормам.

Основные средства всегда играли большую роль в процессе труда, так как они являются основной базой производственного процесса. В наше время, необходимо более серьезно относится к учету основных средств, обеспечивать бережное отношение к ним, рациональное их использование.

В связи с этим перед бухгалтерским учетом основных средств стоят задачи:

5 контроль за сохранностью и наличием основных средств по местам их использования;

6 правильное документальное оформление и своевременное отражение в учете их поступления, выбытия и перемещения;

7 контроль за правильным расходованием средств на реконструкцию и модернизацию основных средств;

8 исчисление доли стоимости основных средств в связи с использованием и износом для включения в затраты предприятия;

9 контроль за правильностью и эффективностью использования рабочих машин, оборудования, производственных площадей, транспортных средств и других основных средств;

10   точное определение результатов от списания, выбытия объектов основных средств.

Эти задачи решают с помощью надлежащей документации и обеспечения правильной организации учета наличия и движения основных средств, расчетов по их амортизации и учета затрат по их ремонту.

Список использованных источников

1. Положение по бухгалтерскому учету «Учет основных средств» ПБУ 06/01

2.      Налоговый Кодекс РФ.

.        План счетов бухгалтерского учета финансово-хозяйственной деятельности организаций

.        «Бухгалтерский и налоговый учет основных средств»(2-е издание) Р.З. Тумасян /Москва/ООО «Нитар Альянс»/ 2004

.        «Самоучитель по бухгалтерскому и налоговому учету» (3-е издание) Н.Л. Вещунова, Л.Ф. Фомина/Москва/ Проспект/ 2003

.        «Бухгалтерский учет» Козлов Е.П. /Москва/Финансы и статистика, 2001

.        Г. И. Костюк, Аудиторские Консультации. Журнал Бухгалтерский учет, № 17, 2000 г.

.        Гориславцев и Ко., журнал Аудиторские Ведомости, №1, 2000 г.

.        Данные из отчета по прохождению практики на ЗАО «Кред» за 2006 год.

Приложение

Таблица 1. - Аналитический баланс ЗАО «Кред»

Наименование статей 

На начало года

На конец года

Отклонения


тыс. р.

%

тыс. р.

%

тыс. р.

%

Актив







I Внеоборотные активы:







Основные средства

2

0,07

-

-

0

0

Итого по разделу I

2


-




II Оборотные активы:







Запасы

1586

55,2

396

19

-1190

-75

В том числе:







НДС

162

5,64

129

6,19

-33

-20,4

Дебиторская задолженность (платежи по которой ожидаются в течение 12 месяцев после отчетной даты)

1003

34,9

1496

71,8

493

49,1

Покупатели и заказчики

733

25,5

1496

71,8

763

104,1

Денежные средства

12

0,42

2

0,09

-10

-83,3

Прочие оборотные активы

108

3,76

60

2,88

-48

-44,4

Итого по разделу II

2871


2083




Баланс

2873


2083




Пассив







III Капитал и резервы.







Уставной капитал

8

0,28

8

0,38

0

0

Нераспределенная прибыль

56

19.50

1

0,04

-55

-98,2

Итого по разделу III

64


9




IV Долгосрочные обязательства







Займы и кредиты

1287

44,8

868

41,8

-419

-32,6

Итого по разделу IV

1287


868




V Краткосрочные обязательства







Займы и кредиты







Кредиторская задолженность

1519

52,9

1205

57,8

-314

-20,7

В том числе:







Поставщики и подрядчики

1516

52,8

1199

57,6

-317

-20,9

Задолженность перед персоналом организации

3

0,10

6

0,29

3

100

Прочие кредиторы

3

0,10

1

0,05

-2

-66,7

Итого по разделу V

1522


1206




Баланс

2873


2083




Таблица 2. Финансовое состояние организации.

№ п/п

Наименование статей

На начало года

На конец года

Отклонение





тыс. р.

%

1

Общая стоимость имущества организации

2873

2083

-790

-27,5

2

Стоимость внеоборотных средств активов

2

-

0

0

3

Стоимость оборотных средств

2871

2083

-788

-27,4

4

Стоимость материальных оборотных средств

1586

396

-1190

-75

5

Величина заемного капитала

2809

2074

-735

-26,2

6

Величина собственного капитала

64

9

-55

-85,9

7

Величина собственных средств капитала организации

62

9

-53

-85,5

8

Рабочий капитал

1349

877

-472

-35,1


Таблица 3. Динамика аналитических групп активов организации.

Группы активов

На начало года (тыс. р.)

На конец года (тыс. р.)

Отклонение




тыс. р.

%

Активы, всего

7968

5551

- 2417

-30,3

Текущие

2871

2083

- 788

- 27,4

Ликвидные

1015

1498

483

47,5

Недвижимость

2

0

-

-

Материально-производственные запасы (МПЗ)

1586

396

- 1190

- 75

Реальные

1588

396

-1192

-75,1

Чистые

64

9

- 55

- 85,9

Чистые ликвидные

- 507

292

799

- 157,6

Собственные текущие активы

1349

877

- 472

- 35,1


Таблица 4. - Группировка активов и пассивов организации для анализа ликвидности баланса.

Актив

На начало года, тыс. руб.

На конец года, тыс. руб.

Пассив

На начало года, тыс. руб.

На конец года, тыс. руб.

А1 Наиболее ликвидные А2 Быстро реализуемые А3 Медленно реализуемые активы А4 Трудно реализуемые активы

 12   1003    1748    2

 2   1496    525    -

П1 Наиболее срочные обязательства П2 Краткосрочные пассивы П3 Долгосрочные пассивы П4 Постоянные или устойчивые пассивы

 1519    3   1287    64

 1205    1    868     9


2873

2083


2873

2083


А1 ³ П1 - не соблюдается

А2 ³ П2 - соблюдается

А3 ³ П3 - на начало года соблюдается, на конец года не соблюдается

А4 < П4 - соблюдается

Таблица 5. - Анализ платежеспособности.

№ п/п

Показатели

На начало года

На конец года

Отклонения (+; - )

1

Общий показатель платежеспособности

0,54

0,62

0,08

2

Коэффициент абсолютной ликвидности

0,01

0

-0,01

3

Коэффициент «критической оценки»

0,67

1,24

0,57

4

Коэффициент текущей ликвидности

1,81

1,68

-0,13

5

Коэффициент маневренности функционирующего капитала

-1,81

1,74

3,55

6

Доля оборотных средств в активах

0,96

0,97

0,1

7

Коэффициент обеспеченности собственными средствами

0,02

0

-0,02


Таблица 6. - коэффициенты деловой активности.

№ п/п

Наименование коэффициента

На начало года

На конец года

Отклонение (+; -)

1

Коэффициент общей оборачиваемости капитала (ресурсоотдачи).

2,77

4,99

2,22

2

Коэффициент оборачиваемости мобильных средств

2,77

4,99

2,22

3

7953

10404

2451

4

Фондоотдача

3976,5

10404

6427,5

5

Коэффициент отдачи собственного капитала

124,3

1156

1031,7

6

Коэффициент оборачиваемости материальных средств

4,55

19,8

15,25

7

Коэффициент оборачиваемости денежных средств

662,75

5202

 4539,25

8

Коэффициент оборачиваемости средств в расчетах

7,93

6,95

-0,98

9

Срок оборачиваемости средств в расчетах

56

52

7

10

Коэффициент оборачиваемости кредиторской задолженности

5,24

8,63

3,39

11

Срок оборачиваемости кредиторской задолженности

69

42

-27

12

Период погашения кредиторской задолженности поставщикам

57

108

51

13

Период хранения производственных запасов

108

108

0

14

Длительность нахождения в авансах поставщикам

684

704

17

15

Длительность процесса производства

17,0

17,5

0

16

Длительность хранения готовой продукции на складе

77

77

0

17

Период погашения дебиторской задолженности

118

118

0


Таблица 7. - Показатели, характеризующие прибыльность.

№ п/п

Наименование показателя

Отчетный период

Аналогичный период

Отклонения

1

Рентабельность продаж

0,01

1,42

1,41

2

Общая рентабельность отчетного периода

4,06

2,98

-1,08

3

Рентабельность собственного капитала

0,01

0,32

0,31

4

Экономическая рентабельность

0,03

1,58

1,55

5

Фондорентабельность (рентабельность основного капитала)

1,56

366,7

65,14

6

Рентабельность основной деятельности

4,06

2,98

-1,08

7

Рентабельность перманентного капитала

100

144,8

55,8

Таблица 8. - Динамика относительных показателей, составляющих выручку от продажи (%).

Показатели

Кварталы отчетного периода


I

II

III

IV

1. Выручка от продажи продукции

100

100

100

100

2. Себестоимость, управленческие и коммерческие расходы

72,0

74,2

72,7

73,3

3. Прибыль от продажи

28,0

25,8

27,3

26,7

4. Прибыль отчетного периода

26,2

21,4

22,8

20,8

5. Платежи в бюджет

8,9

7,8

8,1

7,3

6. Нераспределенная прибыль

17,3

13,6

14,7

13,5


Похожие работы на - Ревизия основных средств

 

Не нашли материал для своей работы?
Поможем написать уникальную работу
Без плагиата!
Без нейросетей!