Расчет устойчивости сварных конструкций
СОДЕРЖАНИЕ
ВВЕДЕНИЕ
.АНАЛИТИТИЧЕСКАЯ
ЧАСТЬ
.1
Материалы
сварных конструкций
.2
Виды
сварных швов и соединений
.3
Типовые
сварные конструкции
.РАСЧЕТНО-ПРОЕКТНАЯ
ЧАСТЬ
.1
Расчет
устойчивости стоек
ЗАКЛЮЧЕНИЕ
ИСПОЛЬЗУЕМАЯ ЛИТЕРАТУРА
ВВЕДЕНИЕ
Сварка является одним из основных
технологических процессов в машиностроении, строительстве и других отраслях
промышленности. Она позволила внести корректные изменения в технологию
производства с вытеснением клепаных конструкций и создать принципиально новые
конструкции машин.
Сварке подвергаются практически любые металлы и
неметаллы в любых условиях - на земле, в воде, в Космосе.
Толщина свариваемых деталей колеблется от
микронов до метров, масса конструкций - от граммов до сотен тонн.
Зачастую сварка является единственно возможным
способом создания неразъемных соединений конструкционных материалов и получения
заготовок, максимально приближенных к форме и размером готовой детали или
конструкции.
До 70% мирового потребления стального проката
идет на производство сварных конструкций и сооружений.
Сварные конструкции бывают машиностроительные,
строительные и технологические. Достоинства сварных конструкций перед
клепаными:
· экономия металла, электроэнергии и труда;
· сокращения сроков изготовления и меньший вес
конструкций;
· возможность наносить слои определенных составов
для получения нужных свойств конструкций (по износостойкости, жара и
коррозионной стойкости, антифрикционной и т.д.).
К недостаткам относятся пониженная долговечность
сварных конструкций при вибрационных и знакопеременных рабочих нагрузках, а
также невозможность получения надежных сварных соединений из некоторых
разнородных металлов.В этих случаях до сих пор оправдано применение клепаных
конструкций.
1.АНАЛИТИТИЧЕСКАЯ ЧАСТЬ
.1 Материалы
сварных конструкций
Для конструкций применяются только стали,
относящиеся к углеродистым, низколегированным и в небольших количествах - к
среднелегированным сталям. Это ограничение связано со свариваемостью сталей и
пригодностью сварных узлов.
Сварные конструкции должны быть прочными,
жесткими и надежными, а также экономичными и минимально трудоемкими. Исходя из
этих требований выбирают и соответствующие марки сталей. В промышленности
России применяют более 400 различных марок сталей, но для сварки узлов и
конструкций применяют только около 40 марок прокатной стали. Для сварных узлов
и конструкций применяются следующие группы сталей:
·. сталь конструкционная, углеродистая,
обыкновенного качества, общего назначения, например от стали В Ст. 2 (КП, ПС,
СП) до стали В Ст. 3Г ПС;
· сталь конструкционная, углеродистая,
качественная, например, сталь 10 (КП, ПС), сталь 20 (КП, ПС), сталь 35, сталь
15К, сталь 20К и др.;
· сталь конструкционная,
низколегированная для сварных конструкций ответственного назначения, например,
09Г2, сталь 14Г2, стали 12ГС, 17ГС, 09Г2С, 10ХСНД, 15ХСНД и др.;
· сталь конструкционная, легированная,
например, стали: 15Х, 20Х, 18ХГТ, 30ХГТ, 20ХГСА, 30ХГСА, 20ХН, 12ХН3А, 20Х2Н4А,
12ГН2МФАЮ и др.;
· сталь конструкционная,
теплоустойчивая, например, сталь 12МХ, сталь 12М1МФ, сталь 25Х2М1Ф и др.;
· стали и сплавы коррозийно-стойкие,
жаростойкие, жаропрочные, износостойкие. Из 50 марок этой группы сталей
наиболее часто применяются для сварных изделий следующие стали: 12Х18Н9Т,
12Х18Н10Т, 12Х18Н9, 08Х18Н10; 20Х23Н18 - как лучшая для изготовления
цементационных реторт в термическом производстве.
В перечисленных группах сталей в качестве
примеров приведены только некоторые марки, применяемых для сварных изделий.
Существует много различных марок алюминия, но не
все имеют хорошую свариваемость. Например, сплав алюминия с медью (4-5% Cu)
Д16, Д1, называемый дюралюминием, имеет плохую свариваемость и для сварочных
конструкций не применяется, а соединяется клепкой. Прочность дюралюминия выше
прочности низкоуглеродистой стали. Свойства алюминия:
· удельный вес 2,7 г/
;
· температура плавления 660ºС;
· высокая теплопроводность - в 3 раза выше, чем у
железа;
· высокий коэффициент теплового расширения - в 2
раза больше, чем у железа, который способствует увеличению деформаций.
Абсолютное большинство сварных конструкций
изготавливается из деформируемых, термически не упрочняемых алюминии-магниевых
и алюминии-марганцевых сплавов. Для термически упрочняемых сплавов сварка
плавлением почти не применяется, так как около шовная зона сильнораз
упрочняется и невозможно получить прочное соединение. Сплавы - силумины имеют
хорошую свариваемость.
Виды сварки алюминия: плавление и давлением;
способы: ручная и механизированная в аргоне плавящимся и неплавящимся
электродом, покрытыми электродами; газовая давлением.
Медь пластична в холодном состоянии и очень
хрупка при высоких температурах, теряя и прочность. Отливки из меди имеют
большую пористость и литейную усадку, поэтому литые детали из чистой меди не
делают. Расплавленная медь хорошо растворяет газы, выделяя их при
затвердевании, и это вызывает пористость.
Медь широко применяется в теплообменной
аппаратуре, электротехнике, в химических аппаратах и т.д. Например, в быту медь
используется для изготовления водонагревательных радиаторов в кухонных
водоподогревных газовых колонках.
Свойства меди:
·. высокая электро- и теплопроводность;
· прочность - 25 кгс/
;
· температура плавления - 1083ºC;
· теплопроводность меди в 6 раз выше, чем у стали,
поэтому при сварке требуется дополнительный нагрев мощным источником теплоты.
Сварку меди выполняют следующими видами и
способами и только в нижнем положении шва:
·. дуговая сварка - угольным и металлическим
плавящимся и неплавящимся электродом;
· газовая сварка ацетиленокислородным
пламенем. В качестве защитной среды используется флюс, енертный по отношению к
меди (азот, аргон), а также электродные покрытия.
. Технические условия на изготовление
сварных конструкций
Надежность и долговечность, сварных конструкций
их экономичность, в изготовление и эксплуатации являются основными показателями
качество, технологической конструкции, сборочно сварочном производстве. Пре
проектирование технологии изготовление конструкции разрабатывают комплекс
работ, включающий заготовительные, сборочные, сварочные и контрольные операции.
Исходными данными для проектирования является: чертежи изделия, программа
выпуска, технические условия.
Чертежи: содержат данные о материале заготовок,
их конфигурации, размеров, типов сварных соединений, то есть решение, которые
были приняты конструктором в процессе проектирования и должны быть к исполнению
технологом. Технолог не имеет права вносить изменение в чертежи.
Программа выпуска: содержит сведения от числа
изделий, которые надо изготовить в течение определённого срока (в течение 1
год.). Эти цифры служат основаниям для выбора: оборудование, технологическая
оснастка, средств механизации и автоматизации. Производственный процесс,
включает: различные, технологические контрольные и транспортные операции.
Главное требование, определяющее последовательность этих операций их содержания
и обеспечение их оснасткой - это выполнения заданной программой выпуска изделий
Высокова качества в кратчайшие сроки при минимальной стоимости. Условно все
конструкции делят на три группы:
. Особа ответственные конструкции,
разрушение которых может привести к человеческим жертвам (грузоподъёмные
машины, транспортные, баллоны, мостовые конструкции.)
. Ответственные конструкции разрушения
которых приводит к большим материальным потерям (устройства технологических
линий выход из строя которых приводит к остановки всей линии).
. Не ответственные конструкции.
Технические условия: Содержат перечень
требований которые предъявляться к материалом, оборудованию а так -же к
выполнению технологических контрольных операций.
1.2 Виды сварных швов и соединений
Все соединения элементов под сварку подразделяют
на четыре основных вида: стыковое, угловое, тавровое, нахлесточное (Рис 1), а
швы делят на два вида: стыковые и угловые.
Рис. 1 Классификация сварных соединений
В поперечном сечении сварное соединение на шлифе
имеет следующие четко выраженные зоны: металл шва, зона сплавления, зона
термического влияния (ЗТВ), основной металл (Рис.2) . С точки зрения качества
сварного шва соединения большой интерес представляет ЗТВ, которую и рассмотрим.
Зона термического влияния - это участок
основного металла около зоны сплавления, структура, свойства и ширина которого
зависят от термического цикла, склонности к восприятию закалки и от свойств
пластического деформирования при сварке.
ЗТВ состоит из зоны перегрева - перегретого
металла, нагреваемого до температур, близких к температуре плавления, и
отличающейся значительным укреплением зерна и пониженной вязкостью; зоны
нормализации,нагреваемой несколько выше температур критической точки и
характеризуемой значительным измельчением зерна;зона неполной
перекристаллизации (частичной нормализации) с максимальной температурой
нагрева, характеризуемой неравномерностью структуры металла, наличием мелких
зерен, образовавшихся при перекристаллизации, и более крупных, не изменившихся
зерен: участок рекристаллизации характеризуется восстановлением приблизительно
ревностных зерен из деформированных, созданных процессом прокатки металла.Затем
зона неполной перекристаллизациипереходит в зону сплавления, далее - основной
металл.
Ширина ЗТВ в стали влияет на эксплуатационные
качества сварного соединения, и чем эта зона шире, тем хуже прочностные
показатели.
Достоинство стыковых соединений - широкий
диапазон соединяемых толщин металла, экономичность по металлу и электроэнергии;
недостаток- необходимость точной сборки и обработки скосов кромок (фасок) под
сварку.
Недостатком нахлесточных соединений является
неэкономичность расхода металла.
Величина нахлестки должна быть не менее трех
толщин металла (который тоньше). Силовой поток в нахлесточном соединении от рабочей
нагрузки проходит не по одной прямой линии, как это происходит в стыковом
соединении, поэтому нахлесточное соединение хуже работает при переменных или
динамических нагрузках. Недостатком нахлесточного соединения является и
возможность попадания влаги между листами. К преимуществам нахлестки относится
простота сборки, отсутствие фасок под сварку, меньшая точность сборки.
Форма подготовки кромок под сварку в зависимости
от толщины и соединения указывается в ГОСТе.
Стыковой шов характеризуется шириной и
усилением, глубиной провара, зазором в стыке, а угловой - катетом шва. Угловые
швы имеются в тавровых, угловых нахлесточных соединениях.
По форме наружной поверхности швы могут быть
плоскими и выпуклыми. Вогнутые швы нежелательны, так как при остывании и
кристаллизации металла шва часто появляются горячие трещины из-за воздействия
растягивающих сил при усадке шва.
1.3 Типовые
сварные конструкции
Балочная конструкция - это ферма со сплошными
стенками из листового металла, сварной конструкции. Балки бывают различного
сечения - от двутавровых до коробчатых.
Они применяются на подкрановых путях мостовых
кранов, в мостах, эстакадах, в различных сооружениях и перекрытиях
промышленного и гражданского строительства.
Балки собирают на стеллажах, стендах, в
кондукторах и различных других приспособлениях, но если характер производства
единичный, то по разметке.
Балки отличаются большой протяженностью швов,
даже по длине ребер, которые бывают до 1,5 м, поэтому сварка их производится
автоматами под флюсом или в защитном газе, или в смеси газов: аргон (85%) +
углекислый газ (15%) - это когда сталь легированная и повышенные требования к
качеству сварки.
В балках также выполняются сначала стыковые швы
(особо при монтажной стыковке), затем - остальные. Ребра жесткости в балках,
как правило, свариваются с одной стороны и не по всему периметру торца ребра.
Ребра в балке устанавливают для придания большей
устойчивости стенке, высота которой бывает до 1 м и более. Если не будет ребер
жесткости, то балка по стенке может прогнуться под рабочей нагрузкой и потерять
устойчивость. Назначение ребер - только придание жесткости, поэтому прочность
сварных швов должна быть в пределах устойчивости ребра и излишние швы лишь
ухудшат конструкцию избыточным нагревом и внутренними напряжениями. В балочных
конструкциях не должно быть швов поперек балки, чтобы не создавать зону перегрева
около шва от сварки, которая значительно ухудшит эксплуатационные качества. Еще
одно принципиальное дополнение - не должно быть швов с замкнутым контуром (типа
кольцевого шва).
К решетчатым конструкциям относятся сварные
стрелы, стойки различных грузоподъемных кранов, фермы конвейеров и различных
перекрытий, мачты, стоики, опоры и подобные конструкции. Решетчатые конструкции
изготовляют в основном из профильного проката: уголков, труб, швеллеров.
Особенность этих конструкций - короткие по протяженности швы, нахлесточные и
угловые соединения. Для сварки решетчатых конструкций применяют ручную дуговую,
полуавтоматическую сварку в углекислом газе, как более маневренную и удобную в
работе. В решетчатых конструкциях до 40% швов, неудобных по доступности. Обычно
толщина свариваемого металла 5-12 мм. При сборке решетчатых конструкций редко
бывают стыковые соединения, но если они есть, то их сварку нужно соединениях
максимальная случае образование трещин выполнять в первую очередь, так как в
этих.
Сварку швов следует выполнять «вразброс» для
уменьшения сосредоточенного нагрева в одной зоне.
Обычно решетчатые конструкции собирают в
специальных стендах, кондукторах, но иногда, при единичном производстве, - на
плитах, стеллажах по разметке вручную. Длина прихваток 20-30 мм, прихватки
накладывают повышенным током, сечением 0,5 от шва и только в местах, подлежащих
сварке. Для прихватки используются те же материалы, что и для сварки узла.
Существует масса сварных листовых конструкций, начиная
от сложных несущих рам, баков, балок, мостов, стоек и до очень простых
конструкций, например, бытовой бак для воды.
Цилиндрические резервуары для различных
жидкостей, в том числе и для нефтепродуктов, изготавливают из листовой стали.
Из листов делают барабаны паровых котлов высокого давления с толщиной стенок до
100 мм. Такие толщины сваривают электрошлаковой сваркой.
При сварке конструкций применяются стыковые и
нахлесточные соединения. В резервуарах вертикальные (поперечные) соединения
выполняют стыковыми, а круговые соединения поясов - нахлесточными, так как
очень сложно обеспечить сборку этих соединений встык без зазоров, особенно при
больших диаметре и высоте.
На изготовление различных ответственных сосудов,
барабанов и котлов, работающих под давлением, объектов нефтехимической
промышленности, грузоподъемных устройств, газопроводов и других изделий
распространяются нормы и правила Госгортехнадзора и других органов надзора за
техническим состоянием и надежностью опасных технических устройств.
На сварку судовых корпусных конструкций
технические условия устанавливаются правилами Речного или Морского Регистра
России.
Кроме сталей для изготовления листовых
конструкций применяют и цветные металлы. В кислородном машиностроении
используют медь и латунь, в производстве цистерн для перевозки кислот, пищевых
продуктов, корпусов судов на подводных крыльях - алюминий и его сплавы, в
химическом машиностроении - жаропрочные и жаростойкие, кислотостойкие
хромоникелевые стали. Для сварки этих конструкций служит в основном сварка в
защитных газах, а также нержавеющие электроды.
2.РАСЧЕТНО-ПРОЕКТНАЯ ЧАСТЬ
.1 Расчет
устойчивости стоек
Расчет на прочность и устойчивость стоек,
работающих при центральном сжатии, производится по формуле

(1)
При введении в расчетную формулу
коэффициента φ<1
обеспечивается
расчетная устойчивость сжатого элемента при продольном изгибе. Величина φ<1 зависит от
гибкости сжатого элемента.
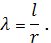
Гибкостью λ называется
отношение свободной длины элемента lк радиусу
инерции rпоперечного
сечения гибкого элемента:

(2)
Радиус инерции

(3)
В направлении, где радиус имеет
наименьшее значение, гибкость элемента наибольшая. Для конструкции, шарнирно
закрепленной по концам (рис.2.1,а), свободная длина 
принимается равной длине стойки.
При этом гибкость стойки определяется формулой (2). Примерами подобных
конструкций могут служить элементы сжатых поясов ферм.
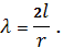
В конструкции, имеющей один
защемленный конец (рис.2.1, б), гибкость

(4)
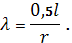
У стоек с защемленными концами
(рис.2.1,в), один из которых (нижний) неподвижен, а другой (верхний) обладает
продольной подвижностью,

(5)
Во избежание местной потери
устойчивости стенку стойки подкрепляют продольными ребрами жесткости.
Значения коэффициентов φ, согласноСНиП,
определяют по таблице 1 в зависимости от гибкости элемента λи от
величины расчетного сопротивления R, которое
принимается R≈0,9
.
Таблица 1. Коэффициенты
φ продольного
изгиба центрально-сжатых элементов
|
Гибкость
элементов
|
Расчетные
сопротивления R≈0,9 , МПа
|
|
200
|
240
|
280
|
320
|
400
|
480
|
520
|
600
|
|
30
40 50 60 70 80 90 100 110 120 130 140 150 160 170 180 190 200
|
939 906 869 827 782 734 665 599 537 479 425
376 328 290 259 233 210 191
|
931 894 852 805 754 686 612 542 478 419 364
315 276 244 218 196 177 161
|
924 883 836 785 724 641 565 493 427 366 313
272 239 212 189 170 154 140
|
917 873 822 766 687 602 522 448 381 321 276
240 211 187 167 150 136 124
|
900 854 796 721 623 532 447 369 306 260 223
195 171 152 136 123 111 101
|
895 849 775 672 568 741 380 309 258 219 189
164 145 129 115 104 98 86
|
891 832 764 650 542 442 349 286 239 203 175
153 134 120 107 97 88 80
|
883 820 729 608 494 386 305 250 209 178 153
134 118 105 94 85 77 71
|
Примечание. Значениякоэффициентовφ
в
таблице увеличены в 1000 раз.
Для подбора поперечного сечения
стоек пользуются методом последовательного приближения. Первоначально задаются
коэффициентом 
в зависимости от рода конструкции.
Можно принять среднее значение 
. По заданному коэффициенту
определяют требуемую площадь поперечного сечения элемента, пользуясь (1). Затем
проектируют сечение, которое обозначим 
, находим в нем наименьшее значение
момента инерции 
, наименьший радиус инерции 
, наибольшую гибкость 
и коэффициент 
, соответствующий значению 
. Определяют напряжение в
спроектированном сечении 
, которое должно быть близким к
в пределах ±5%. В противном случае
размеры поперечных сечений элементов изменяют в требуемом направлении. Обычно
на второй или третьей стадии подбора сечения результаты оказываются
удовлетворительными.
Таблица 2. Двутавровые
балки (по ГОСТ 8239-89*)
h - высота
балки; b - ширина
полки; d - толщина
стенки; t - средняя
толщина полки; R - радиус внутреннего закругления; J - момент
инерции; W - момент
сопротивления; S - статический момент пол усечения; i - радиус
инерции; 
- момент инерции при кручении.
|
*
Профили, рекомендуемые по сокращенному сортаменту, утвержденному Госстроем
СССР от 20.04.1984 г. №59
|
|
|
Номер
балки
|
Размер,
мм
|
A, см2
|
Масса
1м, кг
|
 , см4 , см3 , см , см3 , см4 , см3 , см , см4
|
|
|
|
|
|
|
|
|
h
|
b
|
d
|
t
|
|
|
|
|
|
|
|
|
|
|
|
10*
|
100
|
55
|
4,5
|
7,2
|
7,0
|
12,0
|
9,46
|
198
|
39,7
|
4,06
|
23,0
|
17,9
|
6,49
|
1,22
|
2,28
|
|
12*
|
120
|
64
|
4,8
|
7,3
|
7,5
|
14,7
|
11,5
|
350
|
58,4
|
4,88
|
33,7
|
27,9
|
8,72
|
1,38
|
2,88
|
|
14*
|
140
|
73
|
4,9
|
7,5
|
8,0
|
17,4
|
13,7
|
572
|
81,7
|
5,73
|
46,8
|
41,9
|
11,5
|
1,55
|
3,59
|
|
16*
|
160
|
81
|
5,0
|
7,8
|
8,5
|
20,2
|
15,9
|
873
|
109
|
6,57
|
62,3
|
58,6
|
14,5
|
1,7
|
4,46
|
|
18*
|
180
|
90
|
5,1
|
8,1
|
9,0
|
18,4
|
1290
|
143
|
7,42
|
82,4
|
82,6
|
18,4
|
1,88
|
5,6
|
|
20
|
200
|
100
|
5,2
|
8,4
|
9,5
|
26,8
|
21
|
1840
|
184
|
8,28
|
104
|
115
|
23,1
|
2,07
|
6,92
|
|
22
|
220
|
110
|
5,4
|
8,7
|
10,0
|
30,6
|
21
|
2550
|
232
|
9,13
|
131
|
157
|
28,6
|
2,27
|
8,6
|
|
24
|
240
|
115
|
5,6
|
9,5
|
10,5
|
34,8
|
27,3
|
3460
|
289
|
9,97
|
163
|
198
|
34,5
|
2,37
|
11,1
|
|
27
|
270
|
125
|
6,0
|
9,8
|
11
|
40,2
|
31,5
|
5010
|
371
|
11,2
|
210
|
260
|
2,54
|
13,6
|
|
30
|
300
|
135
|
6,5
|
10,2
|
12
|
46,5
|
36,5
|
7080
|
472
|
12,3
|
268
|
337
|
49,9
|
2,69
|
17,4
|
|
33
|
330
|
140
|
7,0
|
11,2
|
13
|
53,8
|
42,2
|
9840
|
597
|
13,5
|
339
|
419
|
59,9
|
2,79
|
23,8
|
|
36
|
360
|
145
|
7,5
|
12,3
|
14
|
61,9
|
48,6
|
13380
|
743
|
14,7
|
423
|
516
|
71,1
|
2,89
|
31,4
|
|
40
|
400
|
155
|
8,3
|
13,0
|
15
|
72,7
|
57
|
19062
|
963
|
16,2
|
545
|
667
|
86,1
|
3,03
|
40,6
|
|
45
|
450
|
160
|
9,0
|
16
|
84,7
|
66,5
|
27696
|
1231
|
18,1
|
708
|
808
|
101
|
3,09
|
54,7
|
|
50
|
500
|
170
|
10,0
|
15,2
|
17
|
100
|
78,5
|
39727
|
1589
|
19,9
|
919
|
1043
|
123
|
3,23
|
75,4
|
|
55
|
550
|
180
|
11,0
|
16,5
|
18
|
118
|
92,6
|
55962
|
2035
|
21,8
|
1181
|
1356
|
151
|
3,39
|
100
|
|
60
|
600
|
190
|
12,0
|
17.8
|
20
|
138
|
108
|
76806
|
2560
|
23,8
|
1491
|
1725
|
182
|
3,54
|
135
|
* ГОСТ с изменениями.
Задание:
Подобрать двутавровое сечение стойки, если ее
длина l=7 м, сжимающая
нагрузка P=10 т. Концы стойки
закреплены шарнирно, материал - сталь 30 (R=210
МПа), φ=0,6.
Решение
Коэффициент условий работы (по
СНиПу) для колонны может быть равен 1,0. Поэтому R равно
допускаемому напряжению 
.
Принимаем в качестве первого
варианта, что сечение сконструировано в форме сварочного двутавровая из двух
листов размерами 64x4,8 мм и одного листа размером
120х4,8 мм. Площадь сечения A=14,7см2.
Момент инерции смотрим по таблице 2.

=350 см4
Наименьший радиус инерции

.
Гибкость определяется по формуле
(2):
По таблице 1 имеем коэффициент φ=0,376.
Напряжение

МПа.
Напряжение сжатия меньше допустимого

, равного 210 МПа. Сечение подобрано
хорошо.
3. ЗАКЛЮЧЕНИЕ
сварка конструкция шов соединение
При разработке сварных конструкций необходимо
обеспечить комплекс общих и специальных требований по точности, экономичности и
рациональности.
Главное требование - это соответствие
эксплуатационному назначению.
Конструкции должны быть прочными, жесткими и
надежными, а также экономичными и минимально трудоемкими при изготовлении и
монтаже.
Каждая конструкция проходит три этапа:
проектирование, изготовление и сборку (или монтаж).
Проектирование начинается с вариантов компоновки
возможных схем конструкции и заканчивается методами изготовления, сборки или
монтажа.
Конструкция должна обладать устойчивостью
долговечностью, надежностью - по показателям наработки; ремонтопригодностью и
технологичностью изготовления.
На этапе проектирования решают следующие
вопросы: выбор варианта изготовления способов сварки, расчет качества и
точности заготовок и конструкции в целом, возможность механизации сварочных
процессов, технологическая простота деталей, заготовок с возможностью
применения более производительных процессов изготовления (например, резка на
ножницах, пробивка, вырубка на прессах производительной и газовой резки).
На этом этапе выполняется проработка чертежей
всех деталей и заготовок, определяются требования к ним и к конструкциям в
целом.
При проектировании также решается вопрос выбора
материалов по марке и экономичности профилей, с учетом имеющихся типовых схем и
конструктивных элементов. Конструктивно предусматривается минимальное
воздействие от деформаций при сварке путем применения наименьшего количества
сварных швов (в том числе в одном месте), максимальное использование сварки в
нижнем положении при минимуме кантовок.
Следует учитывать, что на одной несущей
конструкции не допускается применять по противоположным концам и сварку и
клепку, так как эти два способа по-разному распределяют воспринимаемую
нагрузку, в особенности знакопеременную.
При проектировании также решаются вопросы
сборки, монтажа готовых конструкций.
При проектировании, а также при изготовлении
сварных конструкций необходимо помнить, что очень большие внутренние напряжения
(иногда - до частичного саморазрушения) возможны при сварке электрозаклепками,
поэтому следует избегать таких соединений, применяя нахлесточную сварку либо в
широких прорезях, либо в отверстиях не менее, например, диаметра 30 мм при
толщине верхнего листа 8 мм.
ИСПОЛЬЗУЕМАЯ ЛИТЕРАТУРА
1. Л.А.
Калганов-«Сварочные работы»,Москва, 2008г.
2. С.А.
Николаев, В.А. Винокуров - «Сварные конструкции. Расчет и проектирование»,
Москва, 2002г.
. В.А.
Винокуров - «Справочник по сварке», Москва. «Машиностроение» 2006г.