Технико-экономическое обоснование организации производства продукции в цехе
Курсовая работа
по дисциплине: «Экономика и
организация производства»
на тему: «Технико-экономическое обоснование организации
производства продукции в цехе»
Содержание
изделие
затрата цех
Введение
. Обоснование программы выпуска
изделия и характеристика принятого типа производства
. Составление схемы технологического
процесса сборки и монтажа электронных узлов, блоков, приборов и устройств
. Расчет программы запуска изделий и
трудоемкости по операциям техпроцесса
. Организация поточного производства
и расчет основных параметров поточной линии
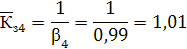
.1 Расчет такта поточной линии
.2 Расчет рабочей длины линии
.3 Расчет заделов на линии
. Планировка цеха (участка) и
принцип его специализации
. Расчет численности работающих в
цехе (на участке)
.1 Расчет списочного и явочного
числа основных производственных рабочих
.2 Расчет численности
промышленно-производственного персонала
.3 Составление штатной расстановки и
штатного расписания работающих
. Структура управления цехом
(участком), организация технического обслуживания и технического контроля
.1 Организация технического контроля
.2 Организация обслуживания цеха
(участка) вспомогательными службами
. Смета затрат на производство и
расчет себестоимости изделий
.1 Расчет годового фонда заработной
платы (ФЗП)
.2 Смета прямых расходов
.3 Расчет затрат на содержание и
эксплуатацию оборудования
.4 Смета общепроизводственных
расходов
.5 Составление калькуляции
себестоимости изделия
.6 Смета затрат на производство
.7 Расчет цены, прибыли и
распределение прибыли
. Определение хозрасчетного
экономического эффекта от внедрения новой технологии производства изделия
Заключение
Введение
Каждый инженер наряду со
специальными знаниями должен хорошо знать экономику производства, научную
организацию производства и труда. Только при этих условиях он может успешно
решать задачи, направленные на дальнейшее повышение темпов развития
производства, улучшение использования основных производственных фондов, рост
производительности труда.
Организацию и планирование
производства можно ассоциировать с понятием менеджмент. Менеджмент - это наука
управления, возникшая на базе практической деятельности по управлению
организациями и предприятиями.
Важное место в повышении
экономических знаний имеет выполнение курсовой работы. Ее разработка
способствует углублению знаний, полученных при изучении дисциплин
экономического профиля, освоению методов технико-экономических и плановых
расчетов, развитию навыков самостоятельной творческой работы, подготовке к
выполнению организационно-экономической части дипломного проекта.
Курсовая работа охватывает только
основные вопросы организации производства и труда, технико-экономического и
оперативно-производственного планирования и управления.
1. Обоснование программы выпуска
изделия и характеристика принятого типа производства
К отличительным признакам различных
типов производства относят: номенклатуру выпускаемых электронных изделий;
стабильность выпуска их во времени; величину партии или серии одновременно
изготавливаемых или собираемых изделий; степень дифференциации технологических
процессов на отдельные операции; уровень специализации производственного
оборудования; квалификацию рабочей силы и т.п. Объективным показателем для
отнесения к тому или иному типу производства служит коэффициент закрепления
операций за рабочим местом (коэффициент серийности). На практике имеют место
следующие значения коэффициента серийности:
мелкосерийное производство: 20-40;
среднесерийное производство: 10-20;
крупносерийное производство: 2-10;
массовое производство: 1.
В задание коэффициент серийности
равен 11, значит, тип производства - среднесерийное производство.
2. Составление схемы
технологического процесса сборки и монтажа электронных узлов, блоков, приборов
и устройств
Вначале определяется трудоемкость
(норма времени) сборки и монтажа изделия. Трудоемкость (затраты труда)
определяется в основном технически обоснованными нормами времени на выполнение
сборочных и монтажных работ, предусмотренных технологией.
Объектом нормирования затрат труда
при сборке и монтаже изделия является технологическая операция. Технически
обоснованная норма времени (трудоемкость) - это устанавливаемое для конкретных
организационно- технических условий время на выполнение операции (работы) при
наиболее эффективном использовании средств и орудий производства и применении
передовых методов организации труда с учетом передового производственного
опыта. В состав технически обоснованной нормы времени включается: основное и
вспомогательное (неперекрываемое), т.е. оперативное время; время на организационное
обслуживание рабочего места; время регламентированных перерывов (перерывы на
отдых, и т.п.), а также подготовительно-заключительное время.
Техническая норма штучного времени
(трудоемкость) в серийном производстве определяется по формуле:
где
- норма оперативного времени, н-час,
-
коэффициенты, учитывающие соответственно время технического, организационного
обслуживания рабочего места, время отдыха и подготовительно-заключительное
время (в процентах к оперативному времени).
В первом приближении время на
техническое обслуживание рабочего места, организационное обслуживание и время
регламентированных перерывов (отдых и подналадка оборудования) соответственно
составляет 2,5%; 4,5 %; 3% от оперативного времени.
Подготовительно-заключительное
время, необходимое для получения задания и ознакомления с работой, изучения
чертежей и технологических инструкций, сдачи работы и подготовки рабочего места
обычно принимается в зависимости от типа производства, при серийном
производстве принимается в размере 7% от оперативного времени. Подсчитаем
техническую норму штучного времени для нашего производства:
Техническая норма штучного времени
(трудоемкость) должна учитывать группу сложности и группу новизны изделий.
Группа сложности изделия и его
элементов определяется функциональным назначением и сложностью разрабатываемой
конструкции.
В нашем случае группа сложности
изделия третья, кроме элементарных блоков и узлов, электронное устройство
включает в себя узлы оригинальной разработки.
Коэффициент усложнения для 3 группы
сложности Ку = 1,25.
Уровень заимствования деталей, узлов
и т.п. во вновь создаваемых изделиях характеризуется коэффициентом снижения
трудоемкости.
Коэффициент снижения трудоемкости Ксн
для 10% уровня заимствования = 0,84. Трудоемкость производства изделий с учетом
коэффициента сложности изделия и уровня заимствования узлов и комплектующих
элементов определяется по формуле:
Трудоемкость техпроцесса можно
определить на основе расчета трудоемкости по одному из видов работ
(заготовительные, механообработка, сборочные, регулировочные и т.д.) и
удельного веса в трудоемкости производства изделий. Наибольший удельный вес в
трудоемкости производства изделий приборостроения, средств автоматики и
телемеханики занимают сборочные, монтажные и регулировочные работы.
Ориентировочная структура распределения
трудоемкости производства изделий приборостроения, средств автоматики и
телемеханики представлена в таблице 1.
Таблица 1. Структура распределения
трудоемкости производства изделий
|
Наименование видов операций
|
Процент трудоемкости изделия
|
|
1. Заготовительные
|
0.8
|
|
2. Механообработка
|
4,7
|
|
3. Отделочные
|
10.0
|
|
4. Деревообрабатывающие 4,9
|
4,9
|
|
5. Обработка пластмасс
|
7.1
|
|
6. Сборка, регулировка, монтаж и т.п.
|
72,5
|
|
ИТОГО
|
100,0
|
Коэффициент сборочных и других работ
К_сб (доли единиц) = 0,725.
Трудоемкость сборочно-монтажных
работ изделий с учетом группы сложности и группы новизны может быть определена
по формуле:
3. Расчет программы запуска изделий
и трудоемкости по операциям техпроцесса
Программа запуска изделий на сборку,
монтаж и т.д. определяется на основании режима работы оборудования,
технологических потерь по операциям и других организационно-технических
факторов, влияющих на уровень выполнения программы.
Трудоемкость сборочно-монтажных
работ по операциям технологического процесса определяется по формуле:
где
- коэффициент, показывающий долю трудоемкости операции в общей
трудоемкости.
α (сборка)
= 30%;
α (монтаж)
= 50%;
α(испытание)
= 15%;
α (контроль)=5%
Программа запуска изделия
рассчитывается по формуле:
где
- программа выпуска изделий в год, шт.;
-
средний коэффициент запуска изделий:
где
- средневзвешенный коэффициент выхода годных изделий, доли
единиц.
Выход годной продукции в целом по
поточной линии может быть определен как произведение коэффициентов выхода
годных изделий по всем операциям:
где
- технологические потери, доли единиц. Рассчитаем программу
запуска по операциям:
Годовая программа выпуска ЭУ = 90
000 шт.
Технологические потери при сборке
=2,2 %;
Технологические потери при монтаже
=2,5 %;
Технологические потери при
тренировке =1,8 %;
Технологические потери при контроле
=1,0 %;
Программа запуска по операциям
соответственно равна:
Общая программа запуска изделия:
На основании проведенных
технико-нормированных расчетов составляется технологическая карта сборки,
монтажа и т.п. изделия (узла):
Таблица 2. Технологическая карта
изготовления изделия и годовой программы запуска
|
Наименование изделия
|
|
№ п/п
|
Наименование операций процесса
|
Коэффициент запуска
|
Годовая программа запуска, шт.
|
Трудоемкости операций
|
|
|
|
|
в %
|
нормо-ч ( )
|
|
1
|
Сборка
|
|
|
30
|
|
|
2
|
Монтаж
|
|
|
50
|
|
|
3
|
Тренировка
|
|
|
15
|
|
|
4
|
Контроль
|
|
|
5
|
|
|
Итого
|
-
|
-
|
100
|
9,44
|
Для дальнейших расчетов будем
использовать суточную программу запуска изделий, которая определяется по
формуле:
где
- число рабочих дней в году, в расчетах принимается 251 день.
4. Организация поточного
производства и расчет основных параметров поточной линии
Характерными признаками поточного
производства являются:
1. Дифференцирование
технологического процесса сборки и монтажа изделия, узла, прибора или
устройства на составляющие операции.
2. Закрепление за каждым
рабочим местом строго определенной операции.
. Последовательное
расположение рабочих мест по ходу технологического процесса.
. Перемещение узлов, приборов
или устройств с операции на операцию при непрерывном процессе сборки и монтажа
без процеживания.
. Равенство или кратность
времени операций на всех рабочих местах поточной линии, т.е. синхронизация
операций.
4.1 Расчет такта поточной линии
Исходным параметром расчета поточной
одно предметной линии является ее такт.
Определим средний такт одно
предметной поточной линии по цеху:
Действительный суточный фонд времени
работы линии:
Где
- продолжительность смены в сутки, принимается равной 8 ч;
-
коэффициент, учитывающий планируемые простои оборудования по
организационно-техническим причинам, в расчетах принимается 0,10;
-
коэффициент сменности работы оборудования в сутки, принимается равным 2.
Число рабочих мест на i-той операции определяется по
формуле:
Средний коэффициент загрузки рабочих
мест определяется по формуле:
где m- число операции техпроцесса;
-
принятое число рабочих мест на i-той операции.
Количество поточных линий
определяется по формуле:
где 25.. .40 - количество рабочих
мест в среднем на одной линии. Количество рабочих мест, их загрузку по
операциям техпроцесса по цеху (участку) и одной поточной линии сводим в
таблицу:
Таблица 3. Количество рабочих мест,
их загрузка по цеху, поточной линии
|
Номер операции тех. процесса
|
Трудо емкость. н-час
|
Кол-во раб.мест по цеху (участку)
|
Кол-во поточны линий
|
Кол-во рабочих мест на одной поточной линии
|
Коэффициент загрузки, %
|
|
|
расч.
|
принят
|
|
расч.
|
принят.
|
|
|
1
|
|
|
76
|
7
|
10,88
|
11
|
98,9
|
|
2
|
|
|
|
|
18,14
|
18
|
100,78
|
|
3
|
|
|
|
|
5,46
|
5
|
109,2
|
|
4
|
|
|
|
|
1,81
|
2
|
90,5
|
|
Итого
|
9,44
|
|
|
|
36,29
|
36
|
100,81
|
Проверим, достигнута ли синхронизация
операций (поточная линия будет непрерывно-поточной), т.е. длительность операций
при этом должна быть равна или кратна такту потока:
Следовательно, мы можем выбрать
непрерывно-поточную линию с тактом равным 0,04 мин/шт.
Суточная программа запуска ЭУ на
каждой j-ой линии:
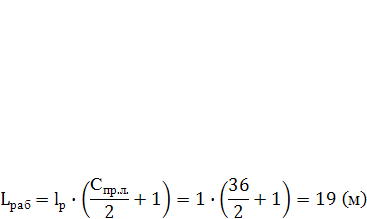
.2 Расчет рабочей длины линии
Рабочая длина линии зависит от двух
величин: от расстояния между рабочими местами и количества рабочих мест на
линии. Рабочая длина линии может быть определена:
• при одностороннем расположении
рабочих:
• при двухстороннем расположении
рабочих мест (шахматное расположение):
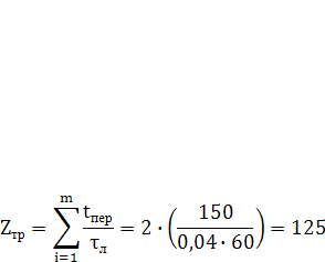
4.3 Расчет заделов на линии
Для обеспечения бесперебойной работы
поточной линии и создания необходимого незавершенного производства определяются
соответствующие заделы.
Задел - объем незавершенного
производства, выраженный в виде определенного количества узлов, блоков, изделий
или сборочных единиц. Рассчитываются следующие заделы:
а) технологический - детали,
сборочные единицы и т.д., находящиеся непосредственно в процессе сборки,
монтажа и на других технологических операциях:
б) транспортный - детали, сборочные
единицы и т.д., находящиеся в процессе перемещения между операциями и
расположенные в транспортных устройствах или спецтаре:
в) резервный (страховой) задел -
нейтрализует отрицательное влияние на ритмичность производства случайных
перебоев в работе оборудования, рабочих мест и колебаний размеров операционных
партий, связанных со случайным выходом изделий в брак и т.д.
Этот задел создается перед наиболее
ответственными и трудоемкими операциями. В данном расчете наиболее трудоемкими
операциями являются сборка и монтаж, поэтому рассчитаем резервный задел на эти
операции:
где m - число операций техпроцесса
принимается равным 2;
- время
возможного перебоя поступлений деталей, сборочных единиц и т.д. с данной
операции на операцию, подлежащую страхованию, в расчетах принимается 150 мин.
5. Планировка цеха (участка) и
принцип его специализации
В основе организации цеха (участка)
лежит принцип специализации.
Специализация осуществляется:
1. По видам выполняемых работ
(сборочные, монтажные, регулировочные) - технологическая;
2. По видам собираемых и
монтируемых изделий - предметная.
В данной работе целесообразно
выбрать технологическую специализацию. Цехи (участки) сборки, монтажа и т.д.
организуются на основе сочетания принципов технологической и предметной
специализации. Если в пределах цеха (участка) осуществляется законченный цикл
сборки, монтажа изделий, то этот цех (участок) называется предметно-замкнутым.
Организация цеха (участка) зависит от принятой специализации техпроцесса и
пространственной планировки оборудования, рабочих мест. Планировка - это план
расположения оборудования, транспортных средств, инженерных сетей, рабочих
мест, проездов, проходов и т.д. Планировка сборочно-монтажного цеха (участка)
зависит от способа сборки, монтажа изделия (стационарная, подвижная), а также от
условий перемещения собираемого и монтируемого изделия между рабочими местами.
В курсовой работе планировка цеха (участка) предусматривается по
предметно-замкнутому принципу. Цех (участок) оборудован однопредметными
поточными линиями.
Определим производственную площадь
цеха (участка) по формуле:
где
- длина цеха, м;
-
ширина цеха, м.
Длина цеха (участка) определяется по
формуле:
где
- рабочая длина поточной линии, м;
С - расстояние от центра приводной и
натяжной станции поточной линии до центра несущих колонн цеха по длине, в
расчетах принимается 2,0 м;
h- шаг несущих колонн цеха по длине, в расчетах принимается 6,0 м.
Ширина цеха (участка)
определяется в зависимости от количества поточных линий и их
конструкций. Ориентировочно ширина цеха может быть принята в размере не менее
12 м (по строительным нормам).
Ширина цеха (участка),
оборудованного несколькими конвейерами, определяется по формуле:
где
- расстояние от центра несущих колонн цеха до центра рабочего
места, в расчетах принимается 2,1 м;
-
расстояние от центра рабочего места до центра несущего органа поточной линии, в
расчетах принимается 1 м;
-
расстояние между центрами несущих органов двух смежных конвейеров поточной
линии, в расчетах принимается 5,8 м;
-
количество поточных линий в цехе (на участке), в данной работе
= 7
Площадь цеха (участка) равна:
При этом учитывается, что норма
проектирования на одно рабочее место составляет 5-6
.
Высота производственного здания цеха
(участка) по строительным нормам принимается не менее 7 м. В этом случае объем
производственного здания цеха (участка) определяется по формуле:
Рисунок 1. Примерная планировка цеха
(участка) с двумя и более поточными линиями
6. Расчет численности рабочих в цехе
(на участке)
6.1 Расчет списочного и явочного
числа основных производственных рабочих
Списочное число производственных
рабочих определяется по формуле:
где
- действительный (эффективный) годовой фонд времени одного
рабочего, чел-ч;
где
- коэффициент планируемых невыходов одного рабочего в течение года
(очередные, учебные отпуска, болезни, выполнение государственных обязанностей и
т.д.), принимается равным 0,12... 0,15;
-
коэффициент выполнения норм, принимается равным 1,1
Явочное количество рабочих на
непрерывно поточной линии может быть равным числу принятых рабочих мест на
линии:
Тогда списочное число рабочих на
линии составит:
где
- коэффициент списочности:
6.2 Расчет численности
промышленно-производственного персонала
Определение численности
промышленно-производственного персонала (ППП) по категориям работающих в цехе
(участке) производится в зависимости от численности производственных рабочих с
помощью коэффициентов, характеризующих отношение численности соответствующей
категории ППП к численности основных рабочих:
• вспомогательных рабочихК1 =
0,50...0,55;
• руководителей и специалистовК2 =
0,1…0,14;
• служащих К3 = 0,01…0,03
Расчетное число работающих цеха
(участка) приведено в таблице:
Таблица 4. Списочная, явочная
численность работающих цеха (участка)
|
№ п/п
|
Категория работающих
|
Метод расчета
|
Число работающих
|
|
|
|
явочное
|
списочное
|
|
1
|
Основные производственные рабочие
|
|
|
|
|
2
|
Вспомогательные рабочие всего, в т.ч.
|
|
158
|
180
|
|
- дежурные рабочие
|
|
47
|
54
|
|
- по ремонту и обслуживанию оборудования
|
|
95
|
108
|
|
16
|
18
|
|
3
|
Руководители и специалисты
|
|
37
|
43
|
|
4
|
Служащие
|
|
9
|
10
|
|
Итого
|
|
491
|
560
|
6.3 Составление штатной расстановки
и штатного расписания работающих
На основании рассчитанного числа
работающих по категориям составляется штатное расписание руководителей,
специалистов и служащих, а для рабочих - штатная расстановка по профессиям и
разрядам.
Таблица 5. Штатная расстановка
рабочих по профессиям и разрядам
|
Наименование профессии
|
Разряд рабочего
|
Часовая тарифная ставка, руб.
|
Количество на участке, чел.
|
|
1 . основные производственные рабочие всего, в т.ч.:
|
|
|
|
|
- слесарь
|
4
|
53,42
|
140
|
|
- монтажник
|
5
|
58,92
|
150
|
|
- испытатель
|
6
|
65,6
|
37
|
|
2. вспомогательные рабочие всего, в т.ч.
|
-
|
-
|
180
|
|
- дежурные по цеху
|
3
|
40,25
|
52
|
|
- по ремонту и обслуживанию оборудования
|
4
|
44,51
|
108
|
|
- контролеры (ОТК)
|
5
|
49,1
|
20
|
|
Итого рабочих по цеху
|
-
|
-
|
507
|
Месячные должностные оклады
устанавливают из расчета: для руководителей и специалистов от 8 до 14
минимальных месячных оплат тру; для служащих - от 3 до 6 минимальных месячных
оплат труда.
Таблица 6. Штатное расписание и
месячный оклад руководителей, специалистов и служащих по цеху
|
Наименование должности по категориям
|
Количе ство, чел.
|
Месячный и среднемесячный оклад, руб.
|
Заработная плата за месяц, руб.
|
|
1. Руководители
|
|
|
|
|
1.1 Начальник цеха
|
1
|
15400
|
15400
|
|
1.2 Зам. начальника по производству
|
1
|
14300
|
14300
|
|
1.3 Зам. начальника по техническим вопросам
|
1
|
14300
|
14300
|
|
1.4 Начальник плановоэкономического бюро
|
1
|
13200
|
13200
|
|
1.5 Мастер ОТК
|
3
|
11000
|
33000
|
|
1.6 Старший мастер
|
7
|
11000
|
77000
|
|
1.7 Мастер участка
|
12
|
9900
|
118800
|
|
Итого по руководителям
|
26
|
11000
|
286000
|
|
2. Специалисты
|
|
|
|
|
2.1 Диспетчер
|
4
|
8800
|
35200
|
|
2.2 Технолог
|
3
|
9900
|
29700
|
|
2.3 Экономист
|
2
|
8800
|
17600
|
|
2.4 Бухгалтер
|
2
|
8800
|
17600
|
|
2.5 Инженер по ОТ и ТБ
|
2
|
8800
|
17600
|
|
2.6 Инженер-электронщик
|
4
|
8800
|
35200
|
|
Итого по специалистам
|
17
|
8994,12
|
152900
|
|
3. Служащие
|
|
|
|
|
3.1 Секретарь
|
1
|
6600
|
6600
|
|
3.2 Табельщик
|
2
|
6600
|
13200
|
|
3.3 Завхоз
|
1
|
5500
|
5500
|
|
3.4 Уборщица
|
1
|
3300
|
3300
|
|
3.6 Кладовщик
|
5
|
4400
|
22000
|
|
Итого по служащим
|
10
|
5060
|
50600
|
7. Структура управления цехом
(участком), организация технического обслуживания и технического контроля
В этом разделе рассмотрим схему
управления цехом (участком) и краткое описание функций аппарата управления.
Далее дадим краткую характеристику организации технического контроля и
обслуживания цеха (участка) вспомогательными службами (снабжение рабочих мест
инструментом, организация ремонта и обслуживания оборудования, организация
внутрицехового транспорта и т.д.).
7.1 Организация технического
контроля
Технический контроль является
составной частью любого производственного процесса, поэтому необходимо указать
на наличие межоперационного и приемочного (выходного) контроля качества
выпускаемых изделий, устройств.
7.2 Организация обслуживания цеха
(участка) вспомогательными службами
Работы по техническому обслуживанию
производства выполняется специальными хозяйствами - инструментальным,
ремонтным, транспортно-складским, энергетическим. Организация обслуживающих
хозяйств определяется их ролью в производственном процессе. К техническому
обслуживанию предъявляют повышенные требования, так как оно непосредственно
влияет на качество выпускаемой продукции и обеспечивает нормальную работу
предприятия в целом и отдельных его структурных подразделений.
8. Смета затрат на производство и расчет
себестоимости изделий
Смета затрат на производство сборки,
монтажа изделия, устройства включает все затраты, необходимые для выполнения
годовой программы запуска изделий цехом (участком). Смета затрат на
производство группируется по экономическим элементам, что необходимо для
финансовых и экономических расчетов включая определение плановых и фактических
расходов по цеховой, производственной и полной себестоимости изделий. Вначале
рассчитывается фонд заработной платы (ФЭП) по цеху (участку) и составляются
частные сметы затрат.
8.1 Расчет годового фонда заработной
платы (ФЗП)
ФЗП включает основную и
дополнительную заработную платы каждой категории работников.
Основной ФЗП (ФЗПО) для
каждой категории рассчитывается отдельно.
а) Заработная плата основных
производственных рабочих цеха определяется по премиально-сдельной системе. При
этом сдельная расценка запуска единицы изделия определяется как:
где
- трудоемкость изготовления единицы изделия, н-час;
-
средняя часовая тарифная ставка сдельщика, руб.
Рассчитаем часовые тарифные ставки
выполняемых работ по операциям техпроцесса. Для этого произведем расчет часовых
тарифных ставок (
) по
разрядам:
Часовая тарифная ставка 1-го разряда
устанавливается:
где
-
минимальная месячная оплата труда (в расчетах принято 1100,00 руб.);
- коэффициент
роста тарифной ставки (из условий работы предприятия; для производственных
рабочих принимаем от 6 до 8; для вспомогательных рабочих от 5 до 7);
- среднее количество часов работы в
месяц.
Для производственных рабочих:
Для вспомогательных рабочих:
Часовая тарифная ставка i-того разряда определяется по
формуле:
где
- тарифный коэффициент i-того разряда.
Производственных рабочих:
Вспомогательных рабочих:
Средняя часовая тарифная ставка
сдельщика определяется по формуле:
где
- сумма произведений часовых тарифных ставок сдельщиков на
соответствующую трудоемкость по
операциям техпроцесса, руб.
Основная заработная плата
производственных рабочих на единицу изделия определяется:
Сдельная расценка запуска единицы
изделия:
где Кпр - коэффициент,
учитывающий премии рабочим, принимаем 1,3.
Годовой основной фонд заработной
платы производственных рабочих:
б) Заработная плата вспомогательных
рабочих основного производства (дежурный персонал, ремонтный персонал,
наладчики, работники КИПиА, крановщики и т.д.) начисляется по
повременно-премиальной системе оплаты труда.
Годовой основной фонд заработной
платы дежурного персонала (дежурные слесари и электромонтеры, работники КИПиА,
крановщики и т.п.) определяется по формуле:
где Fдр- годовой действительный фонд времени одного рабочего, чел.-ч.; Ст.деж
- часовая тарифная ставка дежурного персонала, руб./ч
Годовой основной фонд заработной
платы ремонтного и обслуживающего персонала определяется по формуле:
где СТ.РЕМ - часовая
тарифная ставка ремонтного персонала, руб./ч
Годовой основной фонд заработной
платы работников ОТК определяется по формуле:
где СТ.ОТК - часовая
тарифная ставка работников ОТК, руб./ч
в) Годовой основной фонд заработной
платы руководителей, специалистов и служащих рассчитывается по месячным
должностным окладам и штатному расписанию (см. табл. 6).
где ОР.СП.СЛ -
среднемесячный оклад соответственно руководителей, специалистов и служащих,
руб.;
11 - количество месяцев в году для
одного работника;
KР.СП.СЛ - коэффициент,
учитывающий премии руководителям, специалистам и служащим, принимаем 1,2.
г) Фонд дополнительной заработной
платы определяется в размере 12% от фонда основной заработной платы по каждой
категории работников.
Фонд дополнительной заработной платы
производственных рабочих:
Фонд дополнительной заработной платы
дежурного персонала:
Фонд дополнительной заработной платы
ремонтного и обслуживающего персонала:
Фонд дополнительной заработной платы
работников ОТК:
Фонд дополнительной заработной платы
руководителей, специалистов и служащих:
д) Среднемесячная заработная плата
одного рабочего и одного работающего определяется:
где
- плановый годовой фонд заработной платы соответственно рабочих
или всего персонала, руб.;
- число месяцев в году;
r - численность соответственно рабочих или всего персонала, чел.
На основании произведенных расчетов
по заработной плате работников цеха (участка) составляется ведомость годового
фонда заработной платы и отчислений на социальные нужды (Осн).
Осн определяются по
ставкам, действующим на момент расчета (единый социальный налог - 26,0 % и
отчисления по обязательному социальному страхованию от несчастных случаев на
производстве и профзаболеваний - 2,5 %, в сумме - 28,5 %).
Таблица 7.Расчет годового фонда
заработной платы персонала и отчислений на социальные нужды
|
|
|
Фонд заработной платы, руб.
|
|
|
Общий фонд заработной платы с отчислениями на социальные нужды,
руб. (гр.6+гр.8)
|
|
№ п/п
|
Категория персонала
|
Средне списочная численность, чел.
|
Основной
|
Дополнительный
|
Итого общий фонд (гр.4+гр.5)
|
Среднемесячная заработная плата, руб.
|
Отчисления (Осн) на социальные нужды, руб. гр.6*0,285
|
|
|
1
|
Рабочие, всего в т. ч.:
|
507
|
86976337, 97
|
10437160, 564
|
97413499
|
16011,42
|
27762847, 22
|
125176346, 22
|
|
1.1
|
Производственные
|
|
|
|
77134861,44
|
19657,2
|
21983435, 51
|
99118296, 95
|
|
1.2.
|
Вспомогательные вт.ч.:
|
180
|
18105925,97
|
2172711, 124
|
20278637,09
|
9388,26
|
5779411,57
|
26058048, 66
|
|
1.2.1
|
Ремонтный персонал
|
108
|
47
|
|
12367424, 69
|
9542,77
|
3524716, 04
|
15892140, 73
|
|
1.2.2
|
Дежурный персонал
|
52
|
|
|
5384769, 94
|
8629,44
|
1534659, 43
|
6919429, 37
|
|
1.2.3.
|
Работники ОТК
|
20
|
2255752, 2
|
270690, 264
|
2526442, 46
|
10526,84
|
720036, 1
|
3246478, 56
|
|
2.
|
Руководители
|
26
|
|
|
4228224
|
13552
|
1205043, 84
|
5433267, 84
|
|
3.
|
Специалисты
|
17
|
|
|
2260474, 19
|
11080,76
|
644235, 14
|
2904709, 33
|
|
4.
|
Служащие
|
10
|
|
|
748070, 4
|
6233,92
|
213200, 06
|
961270, 46
|
|
Итого
|
560
|
93437738,5
|
11212528,6
|
104650267,1
|
15572,96
|
29825326, 12
|
134475593, 22
|
.2 Смета прямых расходов
а) В смету прямых расходов включаются
затраты на основные материалы (металл, стекло, керамика, сплавы, лак, дерево и
т.п., покупные комплектующие изделия), которые следует определять по формуле:
где
- соответственно норма расхода исходного материала и величина
отходов на единицу изделия, натуральные показатели. Величину возвратных отходов
можно принять в размере 10-15% от
;
П - цены покупных комплектующих
изделий, полуфабрикатов;
KТ- коэффициент,
учитывающий транспортно - заготовительные расходы, принимается 1,03... 1,05;
,
- цена основного материала и стоимость отходов.
l - количество наименований материала.
По заданию на курсовой проект имели
место только затраты на покупные комплектующие изделия и полуфабрикаты.
=
3267,6
1,05 = 3430,98 (руб.) - сумма затрат на одно изделие.
= 3365,63
0,03 =
100,9689 (руб.) - сумма затрат на вспомогательные материалы.
Всего затраты материалов на годовой
объем запуска изделий (руб.) составят:
= (
+
=
(100,9689 + 3430,98) ∙ 97110 = 342987557,68 (руб.)
б) затраты на технологическое
топливо и энергию принимаются в размере 1% от заработной платы (тарифной)
основных производственных рабочих: 688704,12 руб.
в) стоимость по возмещению износа
инструмента и приспособлений целевого назначения включает затраты на
специальные инструменты и приспособления, которые могут быть использованы
только для сборки, монтажа данного изделия. Эти расходы исчисляют в зависимости
от балансовой стоимости оборудования.
Капиталовложения в технологическое
оборудование (балансовая стоимость) определяется по формуле:
где
- оптовая цена единицы оборудования, в расчетах в среднем
принимается 60 тыс. руб.;
-
коэффициент, учитывающий транспортно-заготовительные расходы, в расчетах
принимается 0,1;
-
коэффициент, учитывающий затраты на строительные и монтажные работы, в расчетах
принимается 0,13;
-
коэффициент удорожания поточной линии, принимается 0,5 (рассчитывается от
балансовой стоимости технологического оборудования линии).
Общие капиталовложения определяем по
формуле:
где KПТ - капиталовложения в подъемно-транспортное и
загрузочноразгрузочное оборудование, принимаются 10 % от
:
KПТ = 2811780 (руб.)
KСКУ - капиталовложения в
средства контроля и управления производственным процессом, принимаются в
размере 20 % от KОБ:
KСКУ = 5623560 (руб.)
KОБЩ = 28117800 + 2811780 +
5623560 = 36553140 (руб.)
Затраты на специальный инструмент,
приспособления целевого назначения определяются как:
где
- коэффициент, учитывающий доли затрат, принимается за 0,25.
Затраты на возмещение износа
специального инструмента, приспособлений целевого назначения:
Таблица 8. Смета прямых расходов на
сборку и монтаж изделия
|
№ п/п
|
Содержание затрат
|
Сумма годовых затрат, руб.
|
|
1
|
Основные материалы (за вычетом реализуемых отходов)
|
333182467,8
|
|
2
|
Вспомогательные материалы для технологических целей
|
9805089,88
|
|
3
|
Покупные комплектующие изделия и полуфабрикаты
|
324917923,06
|
|
4
|
Энергия для технологических целей
|
688704,12
|
|
5
|
Основная заработная плата основных производственных рабочих
(тарифная и доплаты по сдельно-премиальной системе)
|
68870412
|
|
6
|
Дополнительная заработная плата ОПР
|
8264449,44
|
|
7
|
Отчисления на социальные нужды ОПР
|
21983435,51
|
|
8
|
Возмещение износа инструмента и приспособлений целевого
назначения
|
3514725
|
|
9
|
Прочие прямые расходы (5 % от суммы статей 1-8)
|
38561360,34
|
|
Итого
|
809788567,15
|
8.3 Расчет затрат на содержание и
эксплуатацию оборудования
Расчет расходов на содержание и
эксплуатацию оборудования приборостроения, средств автоматики и телемеханики
производится, как правило, по методу коэффициенто-машино-часов на 1 час работы
оборудования с учетом его стоимости, производительности и т.п.
В этом случае оборудование
группируется с учетом технологического назначения и примерно одинаковой
величины расходов на содержание и эксплуатацию его работы. По каждой группе
оборудования устанавливается величина расходов на содержание и эксплуатацию в
расчете на год.
Нормативная величина расходов на 1
час работы единицы оборудования одной из групп (сборка, монтаж, контроль и
т.п.) принимается в качестве базовой и условно равной единице, а по отношению к
ней определяются коэффициенты затрат по другим группам. В качестве базового
оборудования в курсовом проекте принимается оборудование одного рабочего места
операции монтажа изделия.
Номинальная величина расходов одного
часа работы оборудования
принимается:
сборка - 36,00 руб., монтаж - 26,00
руб., испытание - 28,80 руб., контроль - 28,80 руб.
Далее определяются коэффициенты
приведения расходов на содержание и эксплуатацию 1 часа работы для
соответствующей i-ой группы оборудования по формуле:
где
- нормативная
величина расходов на содержание и эксплуатацию 1 ч работы одной единицы
соответствующей i-ой группы оборудования, руб.;
,0 - нормативная величина расходов 1
ч работы единицы оборудования базовой операции (монтаж), руб.;
-
коэффициент приведения расходов на содержание и эксплуатацию 1
ч\работы единицы оборудования
базовой операции (монтаж), равный единице.
=
36,00
26,00 = 1,39 (сборка);
= 26,00
26,00 = 1,00 (монтаж);
= 28,80
26,00 = 1,11 (тренировка);
= 28,80
26,00 = 1,11 (контроль).
Годовое количество машино-часов
оборудования базовой операции определяется в зависимости от действительного
фонда его работы (
) , а
суммарное годовое количество приведенных машино-часов определяется по формуле:
где
- число принятых рабочих мест базовой операции (монтаж).
Действительный фонд работы
оборудования:
Суммарное годовое количество
приведенных машино-часов оборудования по техпроцессу:
где t- число групп оборудования.
Годовые расходы на содержание и
эксплуатацию базовой операции (монтажа) могут быть определены на основании
удельного веса заработной платы ремонтного персонала в общих расходах на
содержание и эксплуатацию оборудования данной операции. Доля заработной платы
ремонтного персонала операции монтажа составляет 45 - 65% от общих годовых
расходов на содержание и эксплуатацию оборудования. Возьмем в качестве значения
50%.
Годовые расходы на содержание и
эксплуатацию оборудования базовой операции (монтажа) составляют:
где
- заработная плата с отчислениями на социальные нужды ремонтного
персонала операции монтажа.
-
коэффициент, учитывающий долю принятых рабочих i мест операции монтажа к общему
числу принятых рабочих мест на линии.
Стоимость одного приведенного
коэффициенто-машино-часа операции монтажа:
Таблица 9. Смета расходов на
содержание и эксплуатацию оборудования
|
№ п/п
|
Наименование статей
|
Сумма расходов, руб.
|
|
1
|
Содержание производственного оборудования
|
15892140,8
|
|
2
|
Амортизация производственного оборудования, транспортных
средств, ценного инструмента
|
4386376,8
|
|
3
|
Отчисления в ремонтный фонд
|
2249424
|
|
4
|
Возмещение износа предметов сроком службы менее 1 года
|
1124712
|
|
5
|
Прочие расходы
|
12543092,91
|
|
Итого
|
36195746,51
|
Годовые расходы на содержание и
эксплуатацию оборудования, включаемые в смету затрат, определяются по формуле:
8.4 Смета общепроизводственных
расходов
Общепроизводственные (цеховые)
расходы предусматривают затраты на обслуживание и управление цехом (участком).
Содержание цехового персонала
включает заработную плату с отчислениями на социальные нужды руководителей,
специалистов и служащих, а также заработную плату вспомогательных рабочих -
дежурный персонал и работников ОТК с отчислениями на социальные нужды, кроме
ремонтного персонала.
Расходы на содержание зданий и
сооружений (отопление, освещение, вентиляция, водоснабжение, канализация,
уборка) определяются в зависимости от площади и удельных затрат на 1 м2
зданий и сооружений. В расчетах удельные затраты на 1 м2 принимаются
900 - 1000 руб./год (
):
Годовые амортизационные отчисления
на здания и сооружения определяются по формуле:
где
- стоимость 1 м зданий и сооружений, которая ориентировочно
принимается в размере 1100...1200 руб./м3;
-
норма амортизации зданий и сооружений, в расчетах принимается в размере 0,025 -
0,03 (рассчитывается от стоимости здания).
Расходы по текущему ремонту зданий и
сооружений принимаются в размере 1,5 % их стоимости и определяются (руб.) по
формуле:
Расходы по охране труда, технике
безопасности и промышленной санитарии принимаются в размере 2 - 3 % годового
фонда заработной платы всех категорий рабочих цеха (участка):
Расходы на испытания, опыты,
исследования, рационализацию и изобретательство принимаются в размере 980,00 руб.
в год на одного явочного рабочего в цехе (участке) = 980,00 * 491 = 481180
(руб.)
Таблица 10. Смета
общепроизводственных расходов
|
№ п/п
|
Статьи расхода сметы
|
Сумма расходов, руб.
|
|
1
|
Содержание цехового персонала, всего, в том числе: руководители,
специалисты, служащие, вспомогательные рабочие основного производства
(дежурный персонал, ОТК)
|
19465155,56
|
|
2
|
Расходы на содержание зданий и сооружений
|
|
|
3
|
Амортизационные отчисления зданий и сооружений
|
|
|
4
|
Расходы по текущему ремонту зданий и сооружений
|
|
|
5
|
Расходы по охране труда и технике безопасности
|
|
|
6
|
Расходы на опыты, испытания, рационализацию и т.п.
|
481180
|
|
7
|
Отчисления в ремонтный фонд (1,5% от )
|
|
|
8
|
Прочие общепроизводственные расходы (5% от суммы статей 1 - 7)
|
1285264,23
|
|
Итого
|
26990548,76
|
8.5 Составление калькуляции
себестоимости изделия
Таблица 11. Калькуляция
себестоимости изделия
|
№ п/п
|
Наименование статей калькуляции
|
Сумма, руб. на единицу
|
Сумма на год. объем, руб.
|
|
1
|
Основные материалы (за вычетом реализуемых отходов)
|
3702,03
|
333182467,8
|
|
2
|
Вспомогательные материалы для технологических целей
|
108,95
|
9805089,88
|
|
3
|
Покупные комплектующие изделия и полуфабрикаты
|
3610,2
|
324917923,06
|
|
4
|
Энергия и топливо для технологических целей
|
7,65
|
688704,12
|
|
5
|
Основная заработная плата основных производственных рабочих
|
765,23
|
68870412
|
|
6
|
Дополнительная заработная плата основных производственных
рабочих
|
91,83
|
8264449,44
|
|
7
|
Отчисления на социальные нужды
|
244,26
|
21983435,51
|
|
8
|
Возмещение износа инструмента и приспособлений целевого
назначения и специальные расходы
|
39,05
|
3514725
|
|
9
|
Расходы по содержанию и эксплуатации оборудования
|
402,17
|
36195746,51
|
|
10
|
Общепроизводственные расходы
|
299,89
|
26990548,76
|
|
11
|
Прочие расходы
|
428,46
|
38561360,34
|
|
Итого общепроизводственная себестоимость
|
9699,72
|
872974862,4
|
Калькуляция на изделие
разрабатывается по статьям калькуляции, в основу которых положен признак
экономического назначения расходов. Группировка по статьям калькуляции
используется в текущем планировании и учете издержек производства, при
исчислении себестоимости единицы отдельных видов изделий.
.6 Смета затрат на производство
Смета затрат на производство
составляет по экономическим элементам. Классификация затрат по экономическим
элементам имеет народнохозяйственное значение, она едина для всех отраслей
промышленности и основывается на признаке экономической однородности издержек
производства
Таблица 12. Смета затрат на
производство.
|
№ п/п
|
Экономические элементы затрат
|
Сумма, руб.
|
|
1
|
Материальные затраты (за вычетом отходов)
|
333182467,8
|
|
2
|
Затраты на оплату труда (основная и дополнительная зарплата ППП)
|
104650267,1
|
|
3
|
Отчисления на социальные нужды
|
29825326,12
|
|
4
|
Амортизационные отчисления на оборудование, здания и сооружения
|
4861648,8
|
|
5
|
Отчисления в ремонтный фонд
|
2487060
|
|
6
|
Прочие расходы
|
52389717,48
|
|
Итого
|
872974862,4
|
8.7 Расчет цены, прибыли и
распределение прибыли
На продукцию
производственно-технического назначения определяется оптовая и отпускная цены.
Оптовая цена изделия (Ц0) для производителя включает:
Отпускная цена (
) - это цена для покупателя:
где
- полная себестоимость, руб.;
-
прибыль на изделие, руб.;
-
налог на добавленную стоимость, руб.
Полная себестоимость определяется:
где
- общехозяйственные расходы, руб.; составляет 80... 100% от
основной заработной платы основных рабочих на единицу продукции;
-
внепроизводственные расходы, 3...5% от (
Прибыль на изделие определяется:
где
- норматив рентабельности продукции, принимается 0,25...0,35.
Налог на добавленную стоимость
принимается 0,18 от
:
Прибыль от реализации продукции
определяется по формуле:
где
- акцизы (косвенные налоги), в курсовой работе не считаются.
В курсовой работе
принимается равным объему реализации продукции. Валовая
(балансовая) прибыль определяется:
где
- прибыль от реализации основных фондов и другого имущества,
руб.; в курсовой работе не считается;
-
сальдо вне реализационных результатов, руб.; в курсовой работе не считается.
Налогооблагаемая прибыль
определяется:
-
дивиденды, полученные по облигациям, акциям и другим ценным бумагам,
принадлежащим предприятию, руб.;
-
льготы по налогу на прибыль, руб.;
В курсовой работе
,
не
считаются. Сумма налога на прибыль, подлежащего перечислению в бюджет
определяется:
-
ставка налога на прибыль, принимается 0,24;
Прибыль, остающаяся в распоряжении
предприятия (чистая прибыль) определяется:
Эта прибыль направляется в:
резервный фонд (10%) -
руб.
фонд накопления (40%) = 13849632
руб.
фонд потребления (50%) = 17312040
руб.
9. Определение хозрасчетного
экономического эффекта от внедрения новой технологии производства изделия
Экономический эффект от создания
продукции по мероприятию НТО на отдельном предприятии образует часть финансовых
средств предприятия, формируемых за счет прибыли, остающейся в его распоряжении
за расчетный период
где
- прибыль, остающаяся в распоряжении предприятия в году, руб.,
-
выручка от реализации продукции в году t по оптовым ценам для производителя,
руб.;
-
полная себестоимость годового объема продукции в году t, руб.
-
общая сумма налогов, выплат из балансовой прибыли в году, руб (
;
где
- отпускная цена изделия для производителя, руб.
Принимаем
равным объему реализации.
-
начальный год расчетного периода;
-
конечный год расчетного периода, за расчетный период принимается период
проектирования, изготовление новых средств труда, может быть принят от 5 до 8
лет.
-
коэффициент приведения разновременных затрат и результатов к расчетному году,
расчетный год - календарный год, предшествующий началу выпуска продукции.
В целях анализа эффективности
единовременных затрат, финансируемых предприятием по данному мероприятию НТО,
определяется период возврата единовременных затрат (К), который определяется
сложением величин (Pt +Иt+ Ht)*at до момента, пока получаемая сумма не сравняется с величиной
единовременных вложений, приведенных к расчетному году. Величину срока возврата
сопоставляют с продолжительностью расчетного периода:
где
- текущие издержки при использовании продукции в году t без учета амортизационных
отчислений (
- А),
где Kt - единовременные
затраты при производстве продукции в году t;
где
-
затраты на научно-исследовательские и опытно-конструкторские работы, составляют
от 30 до 40 % от
.
-
затраты на подготовку и освоение производства изделия:
Период проектирования и освоения
производства (
) изделия
принимается от 1 до 3 лет. Если
= 1,
то Kt = Kt . Если
> 1, то Kt распределяются пропорционально по годам (20...30...50 %).
Таблица 13. Расчет
хозрасчетного экономического эффекта от организации поточного производства
изделия за расчетный период.
|
Наименование
|
Усл.
|
Годы расчетного периода
|
|
|
1
|
2
|
3
|
4
|
5
|
6
|
|
1 .Выручка от реализации продукции, руб.
|
OPt
|
-
|
175723200
|
175723200
|
175723200
|
175723200
|
175723200
|
|
2.Полная себестоимость годового объема выпуска продукции, руб.
|
Сt
|
-
|
130165200
|
130165200
|
130165200
|
130165200
|
130165200
|
|
3.Текущие издержки годового объема выпуска, руб.
|
Иt
|
-
|
125303551
|
125303551
|
125303551
|
125303551
|
125303551
|
Нt
|
-
|
10933920
|
10933920
|
10933920
|
10933920
|
10933920
|
|
5.Коэффициент приведения
|
|
-
|
0,8696
|
0,7561
|
0,6575
|
0,5718
|
0,4972
|
|
6.Прибыль, остающаяся у предприятия, руб.
|
Пt
|
-
|
34624080
|
34624080
|
34624080
|
34624080
|
34624080
|
|
7.То же с учетом at, руб.
|
|
-
|
30109100
|
26179267
|
22765333
|
19798049
|
17215093
|
|
8.То же с нарастающим итогом, руб.
|
|
-
|
30109100
|
56288367
|
79053700
|
98851749
|
116066842
|
|
9.Единовременные затраты, руб.
|
Kt
|
50436248
|
-
|
|
|
|
|
|
10.Разность между выручкой от реализации, текущими издержками и
налогом, руб.
|
Иt Нt
|
-
|
39485729
|
39485729
|
39485729
|
39485729
|
39485729
|
|
11 .То же с учетом at , руб.
|
|
-
|
34336790
|
29855160
|
25961867
|
22577940
|
19632304
|
|
12.Тоже с нарастающим итогом, руб.
|
|
-
|
34336790
|
64191950
|
90153817
|
112731757
|
132364061
|
|
13.Превышение прибыли над затратами, руб.
|
|
|
-203271 48
|
5852119
|
28617452
|
48415501
|
65630594
|
|
|
|
|
|
|
|
|
|
Заключение
Дадим
технико-экономическую характеристику проектируемого изделия (таблица 14).
Таблица 14. Таблица
технико-экономических показателей
|
№ п/п
|
Наименование показателей
|
Ед. изм.
|
Величина
|
|
1.
|
Абсолютные показатели
|
|
1.1
|
Годовой выпуск продукции
|
шт.
|
90000
|
|
|
|
руб.
|
175723200
|
|
1.2
|
Состав работающих, всего, в т. ч.:
|
чел
|
560
|
|
1.2.1
|
- основные производственные рабочие
|
чел.
|
327
|
|
1.2.2
|
- вспомогательные рабочие
|
чел.
|
180
|
|
1.2.3
|
- руководители и специалисты
|
чел.
|
43
|
|
1.2.4
|
- служащие
|
чел.
|
10
|
|
1.3
|
Общая площадь цеха
|
м2
|
1886
|
|
1.4
|
Фонд заработной платы работающих, в том числе рабочих
|
руб.
|
104650267,1
|
|
|
|
|
97413499
|
|
1.5
|
Материальные затраты
|
руб.
|
333182467,8
|
|
1.6
|
Стоимость основных производственных фондов
|
руб.
|
36553140
|
|
1.7
|
Балансовая прибыль
|
руб.
|
45558000
|
|
1.8
|
Прибыль, остающаяся у предприятия
|
руб.
|
34624080
|
|
2.
|
Относительные показатели
|
|
2.1
|
Годовой выпуск на одного работника
|
руб./чел.
|
313791,43
|
|
2.2
|
Годовой выпуск на одного рабочего
|
руб./чел.
|
346594,08
|
|
2.3
|
Годовой выпуск на 1 руб. стоимости основных фондов (фондоотдача)
|
руб.
|
4,81
|
|
2.4
|
Производственная площадь на 1 рабочее место
|
м2/р.м.
|
7,43
|
|
2.5
|
Себестоимость единицы продукции (полная)
|
руб.
|
1446,28
|
|
2.6
|
Материалоемкость продукции
|
руб.
|
1,9
|
|
2.7
|
Среднемесячная ЗП работника цеха
|
руб.
|
15572,96
|
|
2.8
|
Среднемесячная ЗП одного рабочего
|
руб.
|
16011,42
|
|
3
|
Показатели эффективности
|
|
3.1
|
Расчетный период
|
лет
|
6
|
|
3.2
|
Начальный год расчетного периода
|
год
|
2011
|
|
|
Конечный год расчетного периода
|
год
|
2016
|
|
3.3
|
Единовременные затраты
|
руб.
|
50436248
|
|
3.4
|
Срок возмещения единовременных затрат
|
лет
|
1
|
|
3.5
|
Экономический эффект
|
руб.
|
116066842
|