Совершенствование управления основными фондами
основной фонд
Выпускная квалификационная работа
Тема:
Совершенствование управления основными фондами
Оглавление
Введение
.1 Сущность, значение и функции основных фондов
предприятия
.2 Классификация основных фондов предприятия
.3 Эффективность использования основных фондов
предприятия и показатели их оценки
Глава 2. Исследование состояния и эффективности
использования основных фондов ИП Васильев С.Е.
.1 Организационно-экономическая характеристика
деятельности ИП Васильев С.Е.
.2 Анализ состава и структуры основных фондов ИП
Васильев С.Е.
.3 Оценка эффективности использования основных
фондов ИП Васильев С.Е.
. Повышение эффективности использования основных
фондов ИП Васильев С.Е.
.1 Взаимосвязь эффективности использования
основных фондов предприятия и результатов его деятельности
.2 Направления оптимизации структуры основных
фондов предприятия
Заключение
Список использованных источников
Приложение
Введение
В условиях
становления рыночных отношений предприятия становятся собственниками определенного
обособленного имущества, поэтому важное значение приобретает оценка имущества
предприятия. В своей деятельности предприятие для осуществления
производственно-хозяйственной деятельности должно располагать определенной
массой средств производства (средств труда и предметов труда). Средства труда и
предметы труда различаются по характеру участия в производстве продукции и
образования ее стоимости.
Наиболее значимой
частью активов предприятия являются основные средства, числящиеся на балансе
предприятия и находящиеся в эксплуатации, в запасе, на консервации, а также
сданные в аренду другим предприятиям.
Основные средства -
это денежная оценка основных фондов предприятия как материальных ценностей.
Основные фонды -
это материально-вещественные ценности, действующие в неизменной натуральной
форме в течение длительного периода (более года) и утрачивающие свою стоимость
по частям. Главным определяющим признаком основных фондов выступает способ
перенесения стоимости на продукт - постепенно, в течение ряда производственных
циклов частями, по мере износа. Износ основных фондов учитывается по
установленным нормам амортизации, сумма которой включается в себестоимость
продукции. После реализации продукции начисленный износ накапливается в особом
амортизационном фонде, который предназначается для новых капитальных вложений.
Таким образом, единовременно авансированная стоимость в уставный капитал (фонд)
в части основного капитала совершает постоянный кругооборот, переходя из
денежной формы в натуральную, в товарную и снова в денежную. В этом состоит
экономическая сущность основных фондов.
Основные фонды
представляют специфическую экономическую категорию, связанную с формированием
материальных фондов общества и их использованием в различных отраслях народного
хозяйства для производства валового внутреннего продукта и удовлетворения
культурно-бытовых потребностей населения.
Основные фонды
предопределяют экономический потенциал страны, от их величины, качества и
эффективности использования зависят масштабы и темпы роста национального
богатства, развития общественного производства, повышения материального уровня
жизни народа.
Анализ основных
фондов может проводиться по нескольким направлениям, разработка которых в
комплексе позволяет провести оценку структуры, динамики и эффективности
использования основных средств и долгосрочных инвестиций.
Задачами анализа
состояния и эффективности использования основных производственных фондов на
предприятии являются:
установление
обеспеченности предприятия и его структурных подразделений основными фондами -
соответствия величины, состава и технического уровня фондов потребности в них;
выяснение
выполнения плана их роста, обновления и выбытия;
изучение
технического состояния основных средств и особенно наиболее активной их части -
машин и оборудования;
определение степени
использования основных фондов и факторов, на нее повлиявших;
выяснение
эффективности использования оборудования во времени и по мощности;
определение влияния
использования основных фондов на объем продукции;
выявление резервов роста
фондоотдачи, увеличения объема продукции и прибыли за счет улучшения
использования основных фондов.
Актуальность темы
выпускной квалификационной работы состоит в том, в задачу эффективного
управления основными фондами входит увеличение производства необходимой
обществу продукции, а так же повышение отдачи созданного производственного
потенциала и более полное удовлетворение потребностей населения, улучшение
баланса оборудования, снижение себестоимости продукции, рост рентабельности
производства, накоплений предприятия.
Использование всех
возможностей основных фондов приводит к тому , что уменьшается потребность во
вводе новых производственных мощностей при изменении объема производства, и
исходя из этого к лучшему использованию прибыли предприятия.
Эффективное
управление основными фондами также означает, что оборачиваемость их ускоряется,
а это в довольно значительной мере способствует решению проблемы сокращения
разрыва в сроках физического и морального износа, ускорения темпов обновления
основных фондов.
А также эффективное
управление основными фондами очень тесно связано и с другой важнейшей задачей
современного периода экономики России - повышением качества выпускаемой
продукции, потому как в условиях рыночной конкуренции реализуется быстрее и
большим спросом пользуется высококачественная продукция.
Имея четкое
представление о каждом в отдельности элементе основных фондов в
производственном процессе, их моральном и физическом износе, о факторах,
влияющих на использование основных фондов, можно выявить методы, с помощью
которых можно повысить эффективность управления основными фондами и
производственными мощностями предприятия, обеспечивая снижение издержек
производства и, при этом, рост производительности труда.
Основные цели
дипломного исследования состоят:
. В изучении
теоретического материала, действующих в настоящее время методик анализа
эффективности использования основных фондов;
. В определении
путей повышения эффективности управления основными фондами организации.
В соответствии с
данными целями в исследовании были поставлены следующие задачи:
дать определение
понятию и рассмотреть классификацию и сущность основных фондов;
изложить
методологические основы и показатели оценки эффективности использования
основных фондов предприятия;
исследовать динамику
основных экономических показателей предприятия;
рассчитать и
проанализировать состояние и эффективность использования основных фондов на
предприятии;
рассмотреть
методические подходы к оптимизации структуры стоимости основных фондов
предприятия для повышения его финансовой устойчивости и роста ресурсного
потенциала;
привести пути
повышения эффективности использования основных фондов предприятия.
Объектом
исследования является ИП Васильев С.Е.
Предмет
исследования - основные фонды предприятия.
Методологической
основой дипломного исследования послужили нормативные документы по учёту и
экономическому анализу основных фондов, научные работы отечественных и зарубежных ученых по исследуемому вопросу,
бухгалтерская отчётность ИП Васильев С.Е. за 2007-2009 г.
1. Основные фонды и их значение для деятельности
предприятия
1.1
Сущность, значение и функции основных фондов предприятия
Одним из важнейших
элементов национального богатства являются основные фонды.
Основные фонды -
созданные общественным трудом потребительные стоимости, которые длительное
время в неизменном натурально-вещественной форме используются в народном
хозяйстве. [9, c. 316]
Актив принимается
организацией к бухгалтерскому учету в качестве основных средств, если
одновременно выполняются следующие условия:
а) объект
предназначен для использования в производстве продукции, при выполнении работ
или оказании услуг, для управленческих нужд организации либо для представления
организацией за плату во временной владение и пользование или во временное пользование;
б) объект
предназначен для использования в течение длительного времени, т.е. срока
продолжительностью свыше 12 месяцев или обычно операционного цикла, если он
превышает 12 месяцев;
в) организация не
предполагает последующую перепродажу данного объекта;
г) объект способен
приносить организации экономические выгоды (доход) в будущем. [4]
Основные фонды
являются тем элементом национального хозяйства, оценка которого на сегодняшний
день максимально приближена к методологии СНС 1993, что стало возможным
благодаря внедрению в практику государственной статистики Общероссийского
классификатора основных фондов (ОКОФ). Общероссийский классификатор основных
фондов (ОКОФ) входит в состав Единой системы классификации и кодирования
технико-экономической и социальной информации Российской Федерации (ЕСКК) и
разработан в соответствии с Государственной программой перехода Российской
Федерации на принятую в международной практике систему учета и статистики в
соответствии с требованиями развития рыночной экономики.
Статистическое
изучение основных фондов начинается с определения их общего объема, при этом
единицей учета служит инвентарный объект (устройство, предмет или комплекс
предметов со всеми приспособлениями, образующими единое целое, например здание,
станок, компьютер и т.п.). При оценке объема основных фондов в статистике
приходиться сталкиваться с тем, что состав инвентарных объектов неоднороден и
по назначению, и по срокам функционирования, и по отраслевой принадлежности.
[3, c.48]
Основные фонды по
назначению и сфере применения делятся на производственные и непроизводственные.
При этом среди основных производственных фондов выделяются фонды
промышленности, строительства, сельского хозяйства и других производственных
отраслей. Среди непроизводственных основных фондов выделяют фонды образования,
науки, здравоохранения и т.д. Основные фонды промышленного предприятия также
делятся на промышленно-производственные, прямо или косвенно участвующие в
производстве промышленной продукции и переносящие свою стоимость на эту
продукцию, и непромышленные - производственные (строительство, сельское
хозяйство и т.п.) - непроизводственные (жилищное хозяйство, здравоохранение,
образование и т.п.).[12, c. 182]
Основные фонды
состоят из материальных и нематериальных основных фондов.
К материальным
основным фондам (основным средствам) относят: здания, сооружения, машины и
сооружения, измерительные и регулирующие приборы и устройства, жилища,
вычислительная техника и оргтехника, транспортные средства, инструмент,
производственный и хозяйственный инвентарь, рабочий, продуктивный и племенной
скот, многолетние насаждения, прочие виды материальных основных фондов.
Нематериальные
основные фонды (нематериальные активы) - это объекты интеллектуальной
собственности, использование которых ограничено установленными на них правами
владения.
Нематериальные
основные фонды включают:
геологические
изыскания и разведку недр;
компьютерное
программное обеспечение и базы данных, которые предприятие предполагает
использовать в производстве более одного года, независимо от того, куплены они
на рынке или произведены для собственного использования;
оригинальные
произведения развлекательного жанра, литературы или искусства, поскольку
предприятия, владеющие такими фондами, могут их продавать либо использовать в производстве
неоднократно в течение более одного года;
наукоемкие
промышленные технологии, топологии интегральных микросхем, секреты производства
(ноу-хау), торговые знаки, патенты, т.е. объекты интеллектуальной
собственности, права владения которыми позволяют предприятию, как продавать
данные нематериальные фонды, так и использовать их в производстве в течение
более одного года. [8, c. 156]
Информационной
базой изучение основных фондов являются данные форм статистической отчетности,
результаты выборочных наблюдений, данные бухгалтерского и первичного учета.
Крупные и средние организации представляют в органы государственной статистики
ежегодную форму статистического наблюдения № 11 - «Сведения о наличии и
движении основных фондов (средств) и других нефинансовых активов». В этом
отчете содержатся данные о наличии, движении, видовом составе и отраслевой
структуре основных фондов, их амортизации, капитальном и текущем ремонте,
среднегодовой стоимости, некоторые данные о других нефинансовых активах, не
относящихся активах, не относящихся по существующей методологии учета к
основным фондам. Бюджетные и другие некоммерческие организации представляют в
органы статистики форму № 11 (краткую), которая содержит сокращенный набор
показателей. Данные об основных фондах малых предприятий получают на основе
выборочных наблюдений, а также расчетными методами.[11, c.
306-308]
Для учета основных
фондов используют натуральные и стоимостные измерители. Натуральные показатели
необходимы для расчета производственной мощности предприятий и планирования
развития производства. Стоимостная оценка позволяет оценить общий объем
основных фондов предприятий, так как они представлены множеством объектов,
различных по назначению и мощности. Стоимостной анализ основных фондов
промышленности России показывает, что в 90-х годах идет резкое сокращение
основных фондов. Это связано с критическим состоянием экономики страны. Начиная
с 2000 г. наблюдаются положительные сдвиги в экономике, о чем свидетельствует
постепенное наращивание фондов промышленности.[2, c.24]
На основе
стоимостной оценки основных фондов рассчитывают степень износа основных фондов,
размер амортизационных отчислений, рентабельность производства.
В связи с
длительным функционированием в производстве один и тот же объект основных фондов
в один и тот же момент времени может быть оценен по-разному.
Применяются
различные способы оценки в зависимости от времени приобретения основных фондов
и их состояния. Они представлены в таблице 1, на пересечении строк и граф
которой образуются четыре вида оценки основных фондов.
Полная
первоначальная стоимость (Фп.п) - фактическая стоимость ввода в
действие основных фондов. Она характеризует сумму фактических затрат на
приобретение или сооружение основных фондов, на доставку, установку и монтаж
оборудования. Недостатком этого вида оценки является неоднородность цен в
разные временные промежутки, особенно в условиях инфляции, что может привести к
недостоверности оценки основных фондов.
Таблица 1.1
Виды оценки
основных фондов
|
По состоянию
|
С учетом времени оценки
|
|
Первоначальная стоимость (момент приобретения)
|
Восстановительная стоимость (в современных
условиях)
|
|
Полная
|
Полная первоначальная - Фп.п
|
Полная восстановительная - Фв.п.
|
|
Остаточная (за вычетом износа)
|
Первоначальная за вычетом износа - Фп.о
|
Восстановительная за вычетом износа - Фв.о.
|
Первоначальная
стоимость за вычетом износа, или первоначальная остаточная стоимость (Фп.о),
соответствует полной первоначальной стоимости объекта за вычетом суммы износа
за время существования объекта за вычетом суммы износа за время существования
объекта плюс стоимость частичного восстановления основных фондов в ходе их
капитального ремонта и модернизации.
Полная
восстановительная стоимость (Фп.о) характеризует стоимость
воспроизводства основных фондов в современных условиях, то есть затраты на
создание (приобретение) объекта по современным ценам. Она определяется в
процессе переоценок основных фондов, которые осуществляются согласно
постановлениям о проведении единовременной переоценки, а также в результате
проведения непрерывной переоценки. В момент ввода объекта в действие Фп.о=
Фп.о
Различия между
первоначальной и восстановительной стоимостью основных фондов зависят от
изменения цен на их отдельные элементы. При этом восстановительная стоимость
может быть как больше, так и меньше первоначальной стоимости, что зависит от
направления изменения цен на материалы, стоимости производства строительных и
монтажных работ, транспортных тарифов, уровня производительности труда и т.д.
Оценка основных
фондов по восстановительной стоимости позволяет унифицировать основные фонды,
введенные в действие в разные периоды. Она необходима для определения объема
капитальных вложений и анализа воспроизводства основных фондов.
Восстановительная
стоимость за вычетом износа, или восстановительная остаточная стоимость (Фв.о.),
характеризует фактическую степень изношенности объекта в новых условиях
воспроизводства. Она рассчитывается путем умножения полной восстановительной
стоимости, полученной в результате переоценки основных фондов, на коэффициент
их износа:
Фв.о = Фв.п
* Кизн.
Балансовая
стоимость основных фондов - это стоимость основных фондов, по которой они
учтены в балансе предприятия. Основные фонды, которыми располагало предприятие
или организация до момента последней переоценки, учитываются по полной
восстановительной стоимости, а та часть основных фондов, которая введена в
действие после переоценки, учитывается по полной первоначальной стоимости. [7, c.
150]
Стоимостным
выражение величины износа является амортизация. Нормативная база начисления
амортизации отражена в 25-й главе 5 Налогового кодекса РФ, введенного в
действие в 2007 г.
Амортизация -
процесс возмещения утраченной стоимости (износа) основных фондов, выраженных в
денежной форме. Амортизационные отчисления - это бухгалтерский показатель,
зачастую не соответствующий реальному износу. За весь период функционирования
объекта сумма амортизационных отчислений должна возместить полную
первоначальную стоимость объекта.
Нормы амортизации
устанавливаются предприятиями в зависимости от срока полезного использования.
Также предприятие может воспользоваться установленными нормами амортизации по
отдельным видам и группам основных фондов, исходя из назначения объекта и срока
его службы:
где, Агод
- сумма амортизационных отчислений за год
-
среднегодовая стоимость основных фондов. [7, c. 240]
Амортизация
начисляется линейным и нелинейным методами. При линейном методе ежемесячный
объем амортизации определяется умножением полной учетной стоимости объекта
основных фондов на норму амортизации (Nа), которая
определяется по формуле:
где n - амортизационный
период, т.е. срок полезного использования элемента основных фондов, выраженный
в месяцах.
При
использовании нелинейного метода ежемесячная амортизация определяется как
произведение остаточной балансовой стоимости объекта основных фондов на норму
амортизации, рассчитываемую как
После
того как остаточная балансовая стоимость объекта основных фондов снижается до
уровня 20% от полной стоимости, осуществляется переход на линейный метод
начисления амортизации.
Для
отражения процесса изменения стоимости основных фондов за отчетный период
строят балансы основных фондов. Балансы составляются в двух видах оценок: по
полной и по остаточной стоимости. Баланс основных фондов по полной стоимости
отражает изменение стоимости основных фондов как совокупности материальных благ
без учета изменения их физического состояния.
Фн
+ Фвв = Фвыб + Фк,
где Фн,
Фк - полная стоимость основных фондов на начало и конец года; Фвв,
Фвыб - стоимость соответственно новых и выбывших основных фондов.
Баланс
основных фондов по остаточной стоимости характеризует изменения стоимости
основных фондов с учетом износа.
Фн
+ Фвв = Фвыб + А + Фк,
Органы
государственной статистики составляют балансы основных фондов в текущих ценах,
в среднегодовых ценах и в постоянных ценах базисного года. Балансы в постоянных
ценах позволяют отслеживать динамику объема основных фондов без учета инфляции.
[11, с. 312]
На
основе данных баланса можно рассчитать систему показателей, характеризующих
движение и состояние основных фондов.
К
показателям движения основных фондов относятся:
коэффициент
динамики (по полной и остаточной стоимости);
коэффициент
поступления;
коэффициент
обновления;
коэффициент
выбытия;
коэффициент
выбытия из-за ветхости и износа.
Для
оценки состояния фондов рассчитывают коэффициенты годности и износа. [10, c.256]
Коэффициент
динамики (Кдин) определяется как отношение стоимости фондов на конец
периода (Фк) к стоимости фондов на начало периода (Фн):
Коэффициент
поступления (Кпост) характеризует долю поступивших фондов (П) в их
общей стоимости на конец года (Фк)
Коэффициент
обновления характеризует долю новых поступлений фондов (Пнов) в
общей стоимости фондов на конец периода:
Коэффициент выбытия
(Квыб) характеризует долю стоимости выбывших фондов (В) в общей
стоимости фондов на начало периода (Фн):
Интенсивность
выбытия из-за ветхости и износа (Вветх) показывает коэффициент
выбытия из-за ветхости и износа (Квыб. ветх.):
Коэффициент износа
(Ки) характеризует по состоянию на определенную дату ту часть полной
стоимости основных фондов, которую они уже утратили в процессе эксплуатации, и
рассчитывается как отношение суммы износа (И) к полной стоимости фондов

Коэффициент
годности (Кг) показывает, какую часть своей стоимости основные фонды
еще сохранили в процессе эксплуатации:
Коэффициенты
годности и износа взаимосвязаны: Кн + Кг = 1, или 100%
К
показателям эффективности использования основных фондов относят фондоотдачу и
фондоемкость. Фондоотдача (f) показывает количество продукции (Q), приходящейся на
1 рубль среднегодовой стоимости основных фондов предприятия (
):
Фондоемкость
(fе) является обратной величиной, оценивающей стоимость
фондов, приходящуюся на 1 рубль продукции:
Чем
выше фондоотдача (ниже фондоемкость), тем эффективнее, при всех прочих равных
условиях, используются основные фонды предприятия. [11, с.315]
.2
Классификация основных фондов предприятия
Классификация
основных средств обеспечивает информационную поддержку решения следующих задач:
·
проведение работ по оценке объемов, состава и
состояния основных средств;
·
реализации комплекса функций по статистическому
наблюдению основных средств;
·
осуществления международных сопоставлений по
структуре и состоянию основных средств;
·
расчета экономических показателей состояния и
эффективности использования основных средств;
·
расчета рекомендательных нормативов проведения
капитальных ремонтов основных средств.
Существует
несколько признаков классификации основных средств в зависимости от которых
осуществляется их группировка (см. Приложение 1).[2]
Для организации
бухгалтерского учета предусмотрена укрупненная классификация основные средства
по следующим признакам:
·
в зависимости от имеющихся прав на объекты основных
фондов;
·
по степени использования;
·
в зависимости от характера участия в
хозяйственной деятельности;
·
по видам.
В зависимости от
имеющихся прав на объекты основных фондов выделяют:
·
объекты, принадлежащие организации на правах
собственности, (в том числе и сданные в аренду, переданные в безвозмездное
пользование, переданные в доверительное управление);
·
находящиеся у организации на правах оперативного
управления или хозяйственном ведении;
·
арендованные основные средства, т. е. находящиеся
во временном пользовании за определённую плату;
·
основные фонды, полученные организацией в
безвозмездное пользование;
·
основные фонды, полученные организацией в
доверительное управление.
В учётном отношении
все числящиеся на балансе организации объекты основных средств, в том числе
временно не используемые, сданные в аренду или лизинг, учитываются как основные
средства в эксплуатации.
В зависимости от
степени использования различают основные фонды:
·
действующие в эксплуатации (как в работе, так и в
ремонте или в простое);
·
в запасе (резерве), предназначены для замены этих
видов основных фондов, выбывающих из эксплуатации;
·
в стадии достройки, дооборудования, реконструкции
и частичной ликвидации;
·
на консервации. Бездействующими
(законсервированными) считаются основные фонды предприятий или отдельных цехов,
временное прекращение эксплуатации которых документально оформлено в
установленном порядке.
Такое деление
необходимо для получения информации о загрузке и эффективности использования
основных средств, возможности замены износившихся средств, принятия мер к
передаче или реализации другим предприятиям ненужных средств, а также
правильного расчета износа для включения в издержки производства.
В зависимости от
характера участия основных фондов в процессах хозяйственной деятельности они
подразделяются на:
·
производственные;
·
непроизводственные;
·
жилье.
Главным критерием
группировки основных фондов по этому признаку является вид деятельности данной
организации или её подразделения. При этом классификационной единицей выступает
вся совокупность основных фондов, числящихся на балансе.
К производственным
основным фондам относятся основные фонды промышленного, строительного,
сельскохозяйственного назначения, автомобильного транспорта, связи, торговли и
прочих видов деятельности материального производства. Они неоднократно
участвуют в процессе производства, изнашиваются постепенно, а их стоимость
переносится на производимый продукт по частям по мере использования.
Пополняются они за счет капитальных вложений. Состав основных производственных
фондов во многом определяется отраслевой принадлежностью предприятия.
Основные
производственные фонды - материально-техническая база общественного
производства. От их объема зависят производственная мощность предприятия, уровень
технической вооружённости труда. Накопление основных фондов и повышение
технической вооруженности труда обогащают процесс труда, придают труду
творческий характер, повышают культурно-технический уровень общества.
Непроизводственные
основные фонды - это здания клубов, дворцов и домов культуры, здания гостиниц,
бань, санпропускников, детские и спортивные учреждения, другие объекты
культурно-бытового обслуживания, которые находятся на балансе предприятия. В
отличие от производственных, непроизводственные фонды не участвуют в процессе
производства и не переносят своей стоимости на продукт, ибо он не создается.
Стоимость их исчезает в потреблении. Фонд возмещения не создается.
Воспроизводятся они за счет национального дохода.
Несмотря
на то, что непроизводственные основные фонды не оказывают непосредственного
влияния на объем производства и рост производительности труда, их постоянное
увеличение неразрывно связано с улучшением благосостояния работников
предприятия, с повышением материального и культурного уровня их жизни, что, в
конечном счете, влияет на результаты деятельности предприятий.
В состав жилья
включаются объекты, предназначенные для проживания людей: жилые дома, общежития
и пр.
При
классификации основных средств по их видам и назначению следует руководствоваться
официально принятой для составления бухгалтерской и статистической отчетности
группировкой основных фондов. Классификация по видам в зависимости от
натурально-вещественного состава и целей является основой аналитического учета
основных средств.
При определении
состава и группировки основных фондов по видам необходимо руководствоваться
Общероссийским классификатором основных фондов (ОК 013-94), утвержденным
постановлением Государственного комитета Российской Федерации по
стандартизации, метрологии и сертификации. [3] увеличения пассивной части. И в
то же время, ее размер должен быть достаточным для обеспечения эффективного
функционирования активной части основных фондов.
Производственная
структура представляет собой соотношение различных групп основных
производственных фондов в их общей среднегодовой стоимости. На производственную
структуру влияют следующие факторы:
• характер
выпускаемой продукции, ее сложность и конструктивно-технологические
особенности. При изготовлении крупногабаритной продукции, имеющей большую массу
и сложную конфигурацию, возрастает доля пассивной части основных
производственных фондов, а при выпуске продукции с простой конфигурацией,
небольшой массой и габаритными размерами увеличивается их активная часть;
• тип производства.
При массовом и крупносерийном производстве продукции возрастает доля активной
части основных производственных фондов;
• технический
уровень производства. Новые технологические процессы, автоматизация и высокий
технический уровень производства приводят к увеличению доли активной части
основных производственных фондов в их структуре;
• уровень
концентрации, специализации, кооперирования, комбинирования и диверсификации
производства. На крупных специализированных предприятиях с развитыми
кооперированными связями при увеличении объемов производства возрастает доля
активной части основных производственных фондов;
• географические и
климатические условия расположения предприятия (т.е. размещение предприятий на
территории страны). Расположение предприятий вблизи источников сырья,
электростанций и потребителей позволяет снизить долю пассивной части основных
фондов. Доля пассивной части также уменьшается в зонах с теплым климатом.
При анализе
производственной структуры особое внимание обращается на долю активной части
основных производственных фондов в их общей стоимости, так как экономические
показатели работы предприятия (например, объем выпускаемой продукции) растут
при увеличении этой доли.
Технологическая
структура основных производственных фондов характеризуется соотношением
различных основных фондов внутри определенной группы. Так, в группе «Рабочие
машины и оборудование» существенной задачей является повышение удельного веса
оборудования, обеспечивающего внедрение ресурсосберегающих технологий (т. е.
материала, энерго- и трудосберегающих технологий).
Возрастная
структура основных производственных фондов характеризует их распределение по
возрастным группам (до 5 лет; от 5 до 10 лет; от 10 до 15 лет; от 15 до 20 лет;
свыше 20 лет). Расчет среднего возраста основных фондов может быть произведен
как по отдельным их видам, так и в целом по предприятию. Низкие темпы
обновления парка оборудования ведут к увеличению возраста основных фондов, что
отрицательно сказывается на конкурентоспособности и качестве выпускаемой продукции.
В 2002 г. средний возраст оборудования в отечественной промышленности составил
19 лет, в то время как в развитых странах он не превышает 6 - 6,5 лет. В
машиностроительном комплексе Российской Федерации из 1,5 млн. станков только
6,8% станков имеет возраст менее 10 лет.
1.3
Эффективность использования основных фондов предприятия и показатели их оценки
Учет наличия и
движения основных производственных фондов необходим для того, чтобы узнать
ситуацию по обеспеченности предприятия, что позволяет ему выпускать продукцию в
нужном объеме и сроки. Учетная политика предприятия - совокупность способов
учета движения и наличия основных производственных фондов. Она осуществляется
различными службами предприятия (главного инженера, главного механика, планово-экономической,
бухгалтерией) на основе первичного наблюдения, стоимостного измерения и
итогового обобщение факторов хозяйствования с основными производственными
фондами.
Цель учетной
политики предприятия - обеспечить возможность объективно судить о наличии и
движении основных производственных фондов и об их влиянии на формирующиеся
затраты по выпуску продукции.
Основные фонды
планируются и учитываются в натуральной и стоимостной формах.
Планирование и учет
в натуральной форме необходимы для определения производственной мощности, путей
улучшения технического состава и использования конкретных видов машин и
оборудования, увязки планов капитального строительства с выпуском продукции
соответствующими отраслями промышленности. Эта оценка проводится путем инвентаризации
с помощью учета выбытия и прибытия основных фондов.
Планирование и учет
в стоимостной форме необходимы для разработки балансов основных фондов,
изучение их отраслевой структуры и определения динамики, исчисления норм и
размеров амортизации, потребности в средствах на капитальные вложения, расчетов
фондоотдачи, фондоемкости, сроков окупаемости и т. д.
В зависимости от
конкретных целей и задач планирования, учета и анализа используют несколько
видов оценки основных фондов в стоимостном выражении.
В бухгалтерском
учете и отчетности основные фонды отражаются по балансовой стоимости.
Балансовая стоимость основных фондов представляет собой их первоначальную
стоимость. По фондам подвергшимся переоценке, балансовая стоимость определяется
по данным переоценки и представляет собой их восстановительную стоимость.
Первоначальная
(балансовая) стоимость основных фондов включает стоимость приобретения данного
вида оборудования, зданий, сооружений, транспортные расходы по доставке
оборудования от изготовителя к месту установки (включая тарифы на перевозку и
стоимость погрузочно-разгрузочных работ), а также стоимость произведенных
строительно-монтажных работ на месте эксплуатации, при этом стоимость
выражается в ценах действующих на данный момент.
Балансовая
(первоначальная или восстановительная) стоимость служит базой для учета и
контроля движения основных средств, определения сумм амортизации и степень
износа в денежном выражении.
Так как в процессе
эксплуатации основные фонды изнашиваются, применяют также другой показатель -
первоначальная стоимость за минусом износа, т. е. остаточная стоимость.
Остаточная стоимость отражает реальную стоимость по истечении определенного
периода их эксплуатации и произведенных амортизационных отчислений.
Остаточная
стоимость определяется как разность между балансовой стоимостью и суммой износа
конкретного вида основных фондов за период их эксплуатации.
Fост = Fn - A (1.1)
где:
- остаточная стоимость конкретного вида основных фондов,
руб.;
-
первоначальная стоимость данного вида основных фондов, руб.;
А -
норма начисленной амортизации, руб.
В целях
приведения стоимости основных фондов к современным условиям воспроизводства, а
также реальной величины износа необходимо переоценивать основные фонды.
Переоцениваются основные фонды по восстановительной стоимости - стоимости
основных фондов на данный момент времени, с учетом действующих цен. Она
определяется путем периодической переоценки основных фондов с учетом их
физического состояния и морального износа и действующих на момент переоценки
оптовых цен, складывающихся на 1 января года оценки основных производственных
фондов. Основанием для подтверждения рыночной цены могут быть справки о
стоимости производства аналогичных фондов от предприятий изготовителей. Либо
применяются коэффициенты, дифференцированные по периодам приобретения фондов.
Предприятия
и объединения учитывают наличие и движение всех основных фондов, числящихся на
балансе основной деятельности, в том числе производственных и
непроизводственных фондов по их первоначальной (восстановительной) и остаточной
стоимости.
В целях
контроля за движением основных средств, проверки достоверности и полноты,
данных бухгалтерского учета и их соответствия фактическому состоянию
периодически проводят инвентаризацию основных средств.
Для
характеристики наличия и движения основных фондов используют следующие данные:
а) балансовая
стоимость основных фондов на начало и на конец отчетного года. Стоимость
основных фондов на конец отчетного года определяется балансовым методом как
алгебраическая сумма стоимости основных фондов, имевшихся в начале года и
фондов, выбывающих в связи с ликвидацией (с износом или передаваемых другим
предприятиям) в течение данного года и вновь вводимых фондов в этом периоде (за
счет строительства или приобретения у других предприятий).
F1 - F2 = 1 + Fвыб.
- Fнов., (1.2)
где:
- стоимость основных фондов на конец отчетного года,
руб.;
-
стоимость основных фондов на начало отчетного года, руб.;
-
стоимость вновь вводимых основных фондов в данном периоде, руб.;
-
стоимость выбывших основных фондов в данном периоде, руб.
б) стоимость вновь
поступивших за данный период основных фондов по всем источникам, включая
дооценку фондов, стоимость ранее не учтенных фондов, а также стоимость
приобретенных за плату фондов, передачу объектов из оборотных в основные фонды,
безвозмездное поступление фондов от других организаций;
в) стоимость
вновь введенных в действие (построенных, изготовленных) в данном периоде новых
основных фондов по всем источникам финансирования, в том числе за счет кредитов
банка и других ассигнований;
г) стоимость
выбывших в данном периоде основных фондов, включая уценку фондов, стоимость
реализованных и безвозмездно переданных фондов, передачу объектов из основных
фондов в оборотные;
На основе этих
данных рассматривают ряд показателей, которые отражают движение основных производственных
фондов.
Прирост основных
производственных фондов за данный период определяется разностью между
стоимостью вновь поступивших и вывших основных фондов в данном периоде, т. е.
где:
- прирост основных производственных фондов за данный
период, руб.;
-
стоимость вновь вводимых основных фондов в данном периоде, руб.;
-
стоимость выбывших основных фондов в данном периоде, руб.
Прирост
основных фондов может быть также определен как разность между общим объемом
капитальных вложений в данном году, суммой средств, идущих на возмещение
выбытия фондов, и стоимостью объектов незавершенного строительства на начало и
на конец данного года, т. е.
=F-(F1)выб[(K2)н - (K1)н] , (1.4)
где:
- прирост основных производственных фондов за данный
период, руб.;
К -
объем капитальных вложений в данном году, руб.;
-
средства на возмещение выбытия основных фондов, руб.;
-
стоимостью объектов незавершенного строительства на начало периода, руб.;
-
стоимостью объектов незавершенного строительства на конец периода, руб.
Годовой
ввод в действие основных фондов является одним из важнейших показателей плана
капитальных вложений предприятия и определяется по формуле:
=
, (1.5)
где:
- годовой ввод в действие основных фондов, руб.;
-
стоимостью объектов незавершенного строительства на конец периода, руб.;
К -
объем капитальных вложений в данном году, руб.;
-
стоимостью объектов незавершенного строительства на начало периода, руб.
Общий
объем подлежащих вводу фондов в действие основных фондов в планируемом периоде
может быть также определен суммированием проектируемого прироста этих фондов и
компенсируемой стоимости выбывших фондов за этот же период, т. е.
, (1.6)
где:
- объем подлежащих вводу в действие основных фондов,
руб.;
-
прирост основных производственных фондов за данный период, руб.;
-
средства на возмещение выбытия основных фондов, руб.
Коэффициент
прироста основных фондов отражает относительное увеличение основных фондов за
счет их обновления и определяется по формуле:
=
, (1.7)
где:
- коэффициент прироста основных фондов;
-
стоимость вновь введенных основных фондов за данный период, руб.;
-
стоимость выбывших основных фондов за данный период, руб.;
F2- стоимость основных фондов на конец периода, руб.
Коэффициент
выбытия основных фондов определяется отношением стоимости выбывших основных фондов
к стоимости наличных фондов на начало данного периода, т. е.
kвыб=Fвыб/F1, (1.8)
где:
- коэффициент выбытия основных фондов;
-
стоимость выбывших основных фондов за данный период, руб.;
F1 - стоимость основных фондов на начало периода, руб.
Коэффициент
обновления основных фондов определяется путем деления суммы годовых вводов
основных фондов за каждый год рассматриваемого периода (i = 1, 2, 3, …, n) на стоимость
основных фондов, действующих в конце анализируемого периода, т. е.
, (1.9)
где:
- коэффициент обновления основных фондов;
-
сумма годовых вводов основных фондов за каждый год рассматриваемого периода (i = 1,2,3,…,n), руб.;
F2- стоимость основных фондов на конец периода, руб.
Среднегодовая
(плановая, фактическая) стоимость основных фондов служит базой для исчисления
показателей расчетной рентабельности и платы за фонды и определяется как
частное от деления на 12 суммы, полученной путем сложения Ѕ стоимости основных
производственных фондов, действующих на 1 января планируемого и отчетного года F1 и на 1 января
следующего года F2, а также балансовой плановой или фактической стоимости
этих фондов на каждое 1-е число остальных месяцев данного (планируемого, отчетного)
года:
, (1.10)
где: F1 -
стоимость основных фондов на начало периода, руб.;
F2 - стоимость основных фондов на конец периода, руб.;
Fi - балансовая (плановая или фактическая) стоимость основных фондов,
руб.
Основные фонды,
участвующие в процессе производства, постепенно утрачивают те полезные свойства
орудий и средств труда, которые определяют их место и роль в системе
расширенного производства, т.е. подвергаются физическому и моральному износу.
Физический износ
основных фондов - это утрата потребительской стоимости под воздействием
процесса труда и сил природы. Физический износ, который связан с
производственным потреблением в процессе эксплуатации основных фондов,
называется эксплуатационный износ. Второй вид физического износа, который
непосредственно не связан с эксплуатацией фондов, а происходит под воздействием
различных внешних природных факторов (влияние атмосферных осадков, температуры,
влажности, ржавления и т. п.), называется естественный износ. Следовательно,
используются основные фонды или нет, они подвергаются физическому износу. Его
уровень зависит от интенсивности производственного процесса, сроков
эксплуатации, степени нагрузки оборудования, условий применения и содержания, а
также квалификации персонала. Физический износ может быть: полный или
частичный. Полный преодолевается путем ликвидацией основных средств и заменой
его на новые основные фонды, частичный возмещается путем ремонта.
Для характеристики
физического износа основных фондов используют ряд показателей.
Остаточный срок
службы основных фондов определяется по следующей формуле:
,
(1.11)
где:
- остаточный срок службы основных фондов, годы (месяцы);
-
средний нормативный срок службы соответствующего элемента основных фондов, годы
(месяцы);
-
коэффициент физического износа основных фондов в части их стоимости, подлежащей
возмещению путем реновации.
В результате
физического износа основных фондов снижается технико-экономические показатели
их работы, увеличиваются затраты на обслуживание и ремонт, во многих случаях
снижается производительность труда и качество продукции. Следовательно, чтобы
уменьшить физический износ, необходимо обеспечить нормальные условия
эксплуатации, проводить своевременный ремонт и уход за ними, уменьшить
внеплановый простой машин, не допускать длительного хранения оборудования на
складах предприятия.
Наряду
с физическим износом основные фонды подвергаются моральному износу, т. е.
обесцениванию до наступления срока физического износа. Моральный износ связан с
тем, что эксплуатация основных фондов постепенно становится менее эффективной в
сравнении с новыми основными фондами того же назначения.
Различают
два вида морального износа. Первый вид связан с тем, что из-за роста
производительности труда и совершенствования производства цены на рынке на
аналогичное оборудование, используемое на предприятии, снижаются. Его
применение становится экономически невыгодным, так как конкурентоспособность
снижается по сравнению с подобным оборудованием, но меньшей стоимости,
используемым на другом предприятии.
Моральный
износ можно уменьшить или исключить вовсе. Часть морально устаревшей техники
может быть модернизована или реконструирована, что позволяет повысить ее
производительность до уровня современных образцов. Моральный износ исключается
полностью или частично, когда основные фонды заменяются или сокращаются сроки
освоения новой техники.
Вопрос
о моменте наступления морального износа отдельных объектов и о целесообразности
их замены должен решаться в каждом конкретном случае на основе тщательно
выполненных расчетов экономической эффективности нового, более прогрессивного
оборудования.
Под
амортизацией принято понимать процесс перенесения стоимости изношенной части
основных фондов на создаваемую продукцию (выполняемую работу). Амортизация
основных средств представляет собой сложное экономическое явление. Она призвана
выполнять три важнейших функции:
§ определение текущей оценки изношенной части основных фондов;
§ распределение на стоимость готовой продукции затрат основных
средств;
§ накопление финансовых ресурсов для последующего замещения выбывших
основных средств или вложение капитала в новое производство.
Первые две функции
принято относить к бухгалтерским, в то время как третья является экономической,
поскольку именно она позволяет оценить достаточность отчислений с позиции
восстановления и обновления основного капитала
Объектами для
начисления амортизации является имущество предприятий и организаций, со сроком
полезного использования более 12 месяцев и первоначальной стоимостью более
20000 рублей. Не начисляется амортизация по объектам, не относящимся к основным
фондам. Не начисляется амортизация также на землю и иным объекты
природопользования (вода, недра и другие природные ресурсы), а также на
материально-производственные запасы, товары, объекты незавершенного
капитального строительства, ценные бумаги и т. д.
Не подлежат
амортизации следующие виды амортизируемого имущества:
§ имущество бюджетных организаций, за исключением имущества,
приобретенное для осуществления предпринимательской деятельности;
§ имущество некоммерческих организаций, полученное в качестве целевых
поступлений или приобретенных за счет средств целевых поступлений и
используемое для некоммерческой деятельности;
§ имущество, приобретенное с использованием бюджетных средств
целевого финансирования;
§ объекты внешнего благоустройства (объекты лесного хозяйства,
дорожного хозяйства, сооружение которых осуществлялось с применением бюджетного
или иного целевого назначения и другие аналогичные объекты)
§ продуктовый скот, буйволы, волы, олени и другие животные;
§ приобретенные издания (книги, брошюры), произведения искусства;
§ приобретенные права на результат интеллектуальной деятельности и
объекты интеллектуальной собственности.
Для удобства
расчета и планирование амортизационных отчислений все амортизируемое имущество
распределяется по амортизационным группам в соответствии со сроками его
полезного использования. Срок полезного использование - период, в течение
которого основные фонды служат для выполнения целей деятельности предприятия.
Это срок определяется физическими возможностями основных фондов, а также
техническими и экономическими факторами, представляющий жизненный цикл
оборудования. Срок полезного использования может быть определен техническими
условиями эксплуатации или в централизованном порядке. При отсутствии
ограничений он может устанавливаться собственниками предприятия самостоятельно,
с учетом планируемого срока использования, режима эксплуатации, агрессивности
среды и других факторов.
Основные средства
объединяются в следующие амортизационные группы:
первая группа - все
недолговечное имущество со сроком полезного использования от 1 года до 2 лет
включительно;
вторая группа -
имущество со сроком полезного использования от 2 лет до 3 лет включительно;
третья группа -
имущество со сроком полезного использования от 3 лет до 5 лет включительно;
четвертая группа -
имущество со сроком полезного использования от 5 лет до 7 лет включительно;
пятая группа -
имущество со сроком полезного использования от 7 лет до 10 лет включительно;
шестая группа -
имущество со сроком полезного использования от 10 лет до 15 лет включительно;
седьмая группа -
имущество со сроком полезного использования от 15 лет до 20 лет включительно;
восьмая группа -
имущество со сроком полезного использования от 20 лет до 25 лет включительно;
девятая группа -
имущество со сроком полезного использования от 25 лет до 30 лет включительно;
десятая группа -
имущество со сроком полезного использования свыше 30 лет.
В соответствии с
Налоговым кодексом РФ [12] амортизацию можно рассчитать двумя методами:
линейным и нелинейным.
При использовании
линейного метода сумма, начисленная за один месяц амортизации, определяется,
как произведение его первоначальной стоимости и нормы амортизации,
определенного для данного объекта. Норма амортизации - это установленный размер
амортизационных отчислений за определенный период времени по конкретному виду
основных фондов, выраженный в большинстве случаев в процентах к их балансовой
стоимости. Применяется линейный метод для зданий, сооружений, передаточных
устройств, входящих в восьмую - десятую амортизационную группы. При применении
линейного метода норма амортизации по каждому объекту определяется по формуле:
, (1.13)
где: К - норма
амортизации к первоначальной (восстановительной) стоимости имущества, %;
n - срок полезного использования данного
имущества, месяцы.
При применении
нелинейного метода сумма начисленной амортизации определяется как произведение
остаточной стоимости основных фондов и нормы амортизации, определенной для
данного объекта, т. е.
, (1.14)
где: К - норма
амортизации к остаточной стоимости имущества, %;
n - срок полезного использования данного
имущества, месяцы.
При этом с месяца,
следующего за месяцем, в котором остаточная стоимость объекта основных фондов
достигнет 20% от первоначальной (восстановительной) стоимости этого объекта,
амортизация по нему начисляется в следующем порядке:
а) остаточная
стоимость фиксируется как его базовая стоимость для дальнейших расчетов;
б) сумма
начисляемой за один месяц амортизации в отношении данного объекта определяется
путем деления базовой стоимости данного объекта на количество месяцев,
оставшихся до истечения срока полезного использования.
Сумму
амортизационных отчислений предприятие использует самостоятельно, направляя ее
на развитие производства и воспроизводство основных фондов.
Имея ясное
представление о роли каждого элемента основных фондов в производственном
процессе, факторах, влияющих на использование основных фондов можно выявить
методы, направления, при помощи которых повышается эффективность использования
основных фондов предприятия, обеспечивая снижение издержек производства и рост
производительности труда.
В условиях рыночных
отношений на первый план выдвигают такие вопросы, как технический уровень,
качество, надежность продукции, что целиком зависит от качественного состояния
техники и эффективного ее использования. Улучшение технических качеств средств
труда и оснащенности работников ими обеспечивают основную часть роста
эффективности производственного процесса.
Однако анализу
эффективной эксплуатации основных фондов на предприятиях не уделяют должного
внимания. В условиях ускоренного научно-технического прогресса и интенсификации
производства необходимо решать задачи по улучшению использования основных
фондов, выявления резервов.
Для более полного
анализа необходимо:
а) определить
взаимосвязь показателей эффективности производственно-хозяйственной
деятельности предприятия со степенью использования производственных фондов, что
предусматривает исследование не только показателей использования оборудования,
но и показателей производственно-хозяйственной деятельности предприятия;
б) анализ
использования основных фондов во внутризаводских подразделениях и в целом по
предприятию во взаимосвязи с условиями производства, т. е. необходим анализ и
определение резервов в цехах и на участках предприятия;
Изучая и оценивая
основные фонды в целом по предприятию или во взаимосвязи предприятия и
подразделения можно наметить меры по улучшению их использования, что обеспечит
снижение издержек и рост производительности труда.
основной
фонд использование оптимизация
Глава
2. Исследование состояния и эффективности использования основных фондов ИП
Васильев С.Е.
.1
Организационно-экономическая характеристика деятельности ИП Васильев С.Е.
Васильев Сергей
Евгеньевич является индивидуальным предпринимателем, занимающейся коммерческой
деятельностью без образования юридического лица с 1999 г. специализируется в
пошиве продаже текстильных товаров, юридический адрес: г. Тула, ул. Нестерова,
д. 2, фактический адрес соответствует юридическому; ИНН 7801006790, КПП
781401001, ОГРН 1027807565796.
Индивидуальный
предприниматель имеет свою печать, свой товарный знак, расчетный счет в банке,
имеет право заключать сделки и подписывать договоры.
Индивидуальный
предприниматель, привлекая на основе договоров гражданско-правового характера и
трудовых договоров может использовать в своей деятельности труд других граждан.
Характеристика
сферы деятельности торгового предприятия.
розничное торговое
предприятие, реализующее продукты широкий ассортимент текстильной
промышленности.
Основными
направлениями деятельности являются пошив изделий и продажа домашнего текстиля
и спецодежды.
Обладая многолетним
опытом работы на рынке текстиля, постоянно изучая предпочтения покупателей,
предлагаются товары, способные удовлетворить самый изысканный вкус.
В ассортименте
постельное белье, одеяла, подушки, верхний мужской трикотаж, нижнее белье,
пижамы, одежда для дома и отдыха, халаты, махровые изделия, полотенца, столовое
белье, ковровые комплекты для ванных комнат и многое другое. Поставляемая
продукция отличается высоким качеством и разнообразием.
Торговые марка
«Мона Лиза» (домашний текстиль, постельное белье), «Monolux» (швейная
фурнитура) и «Тюль» (тюль, портьера). «Монолит-спецодежда» по праву завоевали
известность и доверие потребителей, а также признание специалистов.
В магазинах представлен
домашний текстиль ведущих европейских производителей, включающий в себя: линию
постельного белья, уникальный ассортимент подушек и одеял, пледов и покрывал,
махровые полотенца, халаты и тапочки, милые домашние мелочи. Все изделия
изготовлены из чистого хлопка. Продукция прекрасно сочетает в себе современный
дизайн, тонкий вкус, высокое качество и экологичность используемых материалов.
В магазине продажа
товаров ведется на основе самообслуживания и через прилавок обслуживания.
Рис. 3.1
Организационно управленческая структура
Рынок в Росси резко
меняется. Работать приходится в жесткой конкуренции, причем во всех ее
проявлениях, борьба за качество и профессионализм работников входит в
конкурентоспособность магазина. Предъявляемые повышенные требования к
персоналу, высокая конкуренция заставляет каждого работника, постоянно повышать
свою квалификацию, посещая семинары и тренинги.
Отбор персонала, к
сожалению, остается проблемой для многих компаний. Отобрать из массы кандидатов
лучшего - это не простая задача. Хочется избежать ошибок - не упустить
подходящего кандидата, но и не принять человека, которого придется увольнять
после совершенных им ошибок.
Работника назначают
на должность с определенными требованиями к профессиональным и личностным
качествам, со строго очерченными обязанностями. При продвижении работника по
служебной лестнице рассматривается не только достигнутые результаты, его опыт и
мнение вышестоящих руководителей, но и самооценка самим работником возможности
профессионально-квалификационного роста.
На предприятии
почти нет текучести кадров, работники получают регулярно не только заработную
плату (с учетом премий), но и различные ценные подарки по итогам работы за
месяц, что является важным мотивационным фактором.
Анализ
основных показателей хозяйственной деятельности по ИП Васильев С.Е. показывает,
что объем выручки от реализации товаров, работ, услуг в действующих ценах за
весь отчетный период увеличился на 43,3%% или на 290590 руб., а в сопоставимых -
на 27,2%. Наиболее значительное увеличение объема деятельности - на 22,5%
отмечено в 2008 году по сравнению с 2007 годом.
Валовой доход также
имеет тенденцию к увеличению. В 2008 году по сравнению с 2007 годом он возрос
на 13%, а в 2009 году по сравнению с 2008 годом - на 30%. Относительный
показатель валового дохода - его уровень по отношению к обороту также
увеличился за весь период на 3,07 процентных пункта.
Таблица 2.1
Динамика
основных показателей деятельности ИП Васильев С.Е. за 2007-2009 г г. [13, 14]
|
Показатели
|
Годы
|
|
2007 г.
|
2008 г.
|
2009 г.
|
2008 г. К 2007 г.
|
2009 г. К 2008 г.
|
2009 г. К 2007 г.
|
|
Выручка от реализации товаров, работ, услуг в
действующих ценах, руб.
|
671070
|
821990
|
961660
|
122,5
|
117
|
143,3
|
|
Выручка от реализации товаров, работ, услуг в
сопоставимых ценах, руб.
|
671070
|
733920
|
853290
|
109,4
|
103,8
|
127,2
|
|
Валовая прибыль, руб.
|
133470
|
150730
|
195880
|
113
|
130
|
146,8
|
|
Уровень валовой прибыли, %
|
19,89
|
20,54
|
22,96
|
+0,65
|
+2,42
|
+3,07
|
|
Издержки обращения в сумме, руб.
|
129770
|
145640
|
174960
|
122,2
|
120,1
|
134,8
|
|
Уровень издержек обращения, %
|
19,34
|
17,72
|
18,19
|
-1,62
|
+0,47
|
-1,15
|
|
Товарные запасы в сумме, руб.
|
63790
|
67570
|
73980
|
105,9
|
109,5
|
116
|
|
Товарные запасы в днях
|
34,2
|
29,6
|
27,7
|
86,6
|
93,6
|
80,99
|
|
Прибыль (убыток) до налогообложения, руб.
|
116000
|
83400
|
133900
|
71,9
|
160,6
|
115,4
|
|
Рентабельность, %
|
1,73
|
1,01
|
1,39
|
-0,72
|
+0,38
|
-0,34
|
|
Численность работников
|
25
|
25
|
23
|
-
|
94,8
|
94,8
|
|
Производительность труда, руб.
|
266,3
|
326,2
|
402,4
|
122,5
|
123,3
|
151,1
|
Издержки
обращения в сумме увеличились на 34,8%, а по отношению к товарообороту (уровень
издержек обращения) наблюдается снижение на 1,15%. Сумма товарных запасов
возросла на 16%. Однако это не вызвало замедления оборачиваемости средств,
вложенных в товарные запасы.
Их
оборачиваемость ускорилась с 34,2 дней в 2007 году до 27,7 дня в 2009 году. Это
свидетельствует о том, что за период с 2007 по 2009 год повысилась
эффективность использования оборотных средств в целом, так как товарные запасы
являются основным элементом оборотных средств предприятия потребительской кооперации,
в том числе и ИП Васильев С.Е..
Конечным
результатом деятельности организации в 2007-2009 г. г. являлась прибыль. Ее
сумма составила в 2009 году 1339 руб., что выше аналогичного показателя
прошлого года на 60,6%.
Хотя
организация и является прибыльным, относительный показатель прибыльности -
рентабельность остается на очень низком уровне и составляет в 2009 году 1,39
руб. в расчете на 1 рубль выручки.
Численность
работников предприятия в 2007-2008 году не изменялась и составляла 25 человек,
в 2009 году произошло снижение численности на 5,2% или 2 человек.
В
текущем, 2005 году, создано 3 новых рабочих места, предоставлена работа для 5
человек, имеющих группу инвалидности.
При
этом за каждый год также отмечен некоторый рост производительности труда работников.
За три года производительность труда возросла на 51,1%.
В структуре оборота
розничной торговли преобладают продовольственные товары (рис. 3). За 2009 г.
структура оборота сложилась следующим образом: женский текстиль - 89%,
постельное белье - 11%.
В 2008 г. структура
оборота незначительно отличалась: 89,1% - продовольственные товары, 10,9%
-непродовольственные товары.
Однако такая
структура оборота не оптимальна.
Поэтому важным
направлением совершенствования ассортимента является увеличение доли
непродовольственных товаров в общем объеме.
В
оценке общей результативности хозяйственной деятельности важное значение имеет
анализ финансовых результатов отдельных отраслей. Как показали результаты
анализа, наибольшая сумма прибыли получена за 2009 г. от торговой отрасли, что
связано с тем, что эта отрасль является основной в хозяйственной деятельности
ИП Васильев С.Е..
Положительная
динамика розничного оборота во многом зависит от укомплектованности штатов
торговых работников, обеспеченности торговых предприятий продавцами, кассирами
и другими работниками, а также интенсивного и эффективного использования их
труда. К показателям, характеризующим состояние труда, следует отнести
среднегодовую численность работников, расходы на оплату труда, фонд заработной
платы, также среднемесячную заработную плату 1 работника и уровень заработной
платы.
Рассматривая
состояние имущества предприятия (табл. 2.2) можно сделать следующие выводы.[7,
8, 9]
Таблица 2.2
Состав
и структура имущества ИП Васильев С.Е. в 2008-2009 г г. (на конец года)
|
Показатели
|
2008 г.
|
2009 г.
|
Отклонение по уд. весу ( +,-), %
|
|
Сумма, руб.
|
Уд. вес, %
|
Сумма, руб.
|
Уд. вес, %
|
|
|
Внеоборотные активы
|
207640
|
66,9
|
289830
|
71,8
|
+4,9
|
|
Оборотные активы
|
102770
|
33,1
|
114020
|
28,2
|
-4,9
|
|
Всего
|
310410
|
100
|
403850
|
100
|
-
|
|
|
|
|
|
|
|
Стоимость
имущества за анализируемый период возросла на 30,1% или 93440 руб. при этом
изменилась и структура имущества. Увеличилась доля внеоборотных активов в его
составе на 4,9%. Стоимость внеоборотных активов значительно превышает стоимость
оборотных и составляет 71,8% от общей стоимости имущества.
В
целом, делая вывод об эффективности хозяйственной деятельности ИП Васильев С.Е.
следует отметить, что в настоящее время экономическое положение организации
достаточно устойчивое.
2.2
Анализ состава и структуры основных фондов ИП Васильев С.Е.
Анализ основных
фондов может проводиться по нескольким направлениям, разработка которых в
комплексе позволяет дать оценку структуры, динамики и эффективности
использования основных средств и долгосрочных инвестиций.
Основные
направления анализа основных средств и соответствующие задачи, решаемые в
рамках каждого направления, представлены в таблице 2.3.
Таблица 2.3
Основные
направления и задачи анализа основных средств
|
Основное направление анализа
|
Задачи анализа
|
|
Анализ структурной динамики основных средств
|
Оценка размера структуры вложений капитала в
основные средства Определение характера и размера влияния изменения стоимости
основных средств на финансовое положение предприятия и структуру баланса
|
|
Анализ эффективности использования основных
средств
|
Анализ движения основных средств Анализ
показателей эффективности использования основных средств Анализ использования
времени оборудования Интегральная оценка использования оборудования
|
|
Анализ эффективности затрат по содержанию и
эксплуатации оборудования
|
Анализ затрат на капитальный ремонт Анализ
затрат по текущему ремонту Анализ взаимосвязи объема производства, прибыли и
затрат по эксплуатации оборудования
|
|
Анализ эффективности инвестиций в основные
фонды
|
Оценка эффективности капитальных вложений
Оценка эффективности привлечения займов для инвестирования
|
Выбор направлений
анализа и решаемых аналитических задач определяется потребностями управления.
Анализ структурной динамики основных средств, инвестиционный анализ составляют
содержание финансового анализа. Оценка эффективности использования основных
средств и затрат по их эксплуатации относятся к управленческому анализу, однако
четкой границы между этими видами анализа нет.
В ходе
экономического анализа основных фондов ИП Васильев С.Е. нам необходимо оценить
размеры, динамику и структуру вложений капитала предприятия в основные
средства, выявить главные функциональные особенности производственной
деятельности (бизнеса) анализируемого хозяйствующего субъекта, их использование
по обобщающим и частным показателям, рассчитать влияние использования основных
фондов на объём производства продукции и другие показатели.
С этой целью будет
произведено сопоставление данных на начало и конец отчетного периода по всем
элементам основных средств. В качестве источников бухгалтерской информации для
анализа основных средств использованы формы №№ 1, 2, 5 годовой и квартальной
бухгалтерской отчетности предприятия. Обобщенная картина процесса движения и
обновления основных средств в разрезе стандартных классификационных групп
получена по данным формы № 5 («Приложение к бухгалтерскому балансу», раздел
«Амортизируемое имущество»). Оценка изменений производится по первоначальной
стоимости основных средств.
В отчетных формах
показывается следующие показатели по основным средствам:
в ф.№ 1: по стр.120
- остаточная стоимость основных средств;
в ф.№ 5: по
стр.360-370 - первоначальная стоимость основных средств и данные по их
поступлению и выбытию;
по стр.392-395 -
сумма начисленной амортизации (остатки на начало и конец года);
по стр.397 - сумма
индексации по стоимости основных средств;
по стр.398 - сумма
индексации по стоимости износа основных средств.
Основные
фонды занимают более 70% имущества ИП Васильев С.Е., поэтому одной из
центральных в настоящее время для предприятия занимает проблема их
рационального использования. От решения этой проблемы в конечном итоге зависят
перспективы развития деятельности предприятия.
Проанализируем
структуру основных средств по первоначальной стоимости за 2008-2009 г г. Анализ
структуры основных фондов имеет важное значение для оценки оптимальности
размещения основных средств по отраслям деятельности организация, структурным
подразделениям, а также для выявления доли отдельных видов основных средств.
Таблица 2.4
Анализ структуры
основных фондов ИП Васильев С.Е. за 2008-2009 гг.
|
2008 г.
|
2009 г.
|
Отклонение +,-
|
|
Виды основных фондов
|
Сумма, тыс. руб.
|
Уд. вес, %
|
Сумма, тыс. руб.
|
Уд. вес, %
|
Сумма, руб.
|
Уд. вес, %
|
|
1. Здания
|
12944
|
84,2
|
17353
|
83,3
|
+4409
|
-0,9
|
|
2. Сооружения
|
384
|
2,5
|
625
|
3, 0
|
+241
|
0,6
|
|
3. Машины и оборудование
|
1261
|
8,2
|
1750
|
8,4
|
+489
|
0,2
|
|
4. Транспортные средства
|
753
|
4,9
|
1042
|
5,0
|
+289
|
0,1
|
|
6. Прочие
|
31
|
0,2
|
62
|
0,2
|
+31
|
-
|
|
Итого
|
15373
|
100,0
|
20832
|
100,0
|
+5459
|
-
|
|
В том числе активная часть
|
2045
|
13,3
|
2854
|
13,6
|
+788
|
0, 3
|
|
|
|
|
|
|
|
|
|
Из
таблицы 2.4 видно, что за анализируемый период произошли незначительные
изменения в структуре основных средств ИП Васильев С.Е. Наибольший удельный вес
в составе основных средств занимают здания: более 80%.
При рассмотрении
динамики изменения удельного веса активной части основных фондов мы исходим из
того, что курс взятый директором организация на первоочередное направление
капитальных вложений на техническое перевооружение и реконструкцию означает
более быстрый рост и обновление этой части фондов. Повышение удельного веса
активной части фондов характеризует прогрессивность их структуры, рост
технической оснащенности предприятия, способствует увеличению выпуска
продукции, росту фондоотдачи. Причем темпы роста машин и оборудования должны,
как правило, опережать темпы роста других основных фондов.
За 2009 год для
торговли скоропортящимися товарами приобретено холодильного оборудования - 5
единиц, торгового - 3 комплектов, технологического оборудования - 8 единиц.
Приобретена автомашина-фургон для перевозки хлебобулочных изделий в отдаленные
сёла района.
При
анализе структуры производственного оборудования важное значение имеет оценка
его возрастного состава. Анализ возрастного состава оборудования проводится
методом группировки по срокам его функционирования.
Особое
внимание здесь необходимо обратить на следующие показатели: доля оборудования,
работающего сверх нормативных сроков, средний возраст оборудования (табл. 2.5).
Исчисление среднего
возраста основных фондов производится по формуле средней арифметической
взвешенной:
(2.1)
где Х - срок службы
оборудования,
f - удельный вес
возрастной группы оборудования.
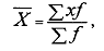
Средний
возраст равен: 607,25/100=6,1 года
Таким образом,
средний возраст оборудования, используемого в Шебекинском организация
относительно невысок в сравнении с другими кооперативными организациями.
Таблица 2.5
Возрастная
структура производственных мощностей ИП Васильев С.Е. на начало 2009 года
|
Срок службы
|
Число единиц, штук
|
Удельный вес в общем количестве, % (f)
|
Середина интервала
|
|
|
|
X
|
X*f
|
|
До 5 лет
|
4
|
45,1
|
2,5
|
112,75
|
|
5-10 лет
|
4
|
43,9
|
7,5
|
329,25
|
|
10-15 лет
|
5
|
5,5
|
12,5
|
68,75
|
|
15-20 лет
|
5
|
5,5
|
17,5
|
96,25
|
|
Свыше 20 лет
|
-
|
-
|
-
|
-
|
|
Итого
|
18
|
100
|
|
607,25
|
Основная доля в
общем количестве приходится на основные фонды, работающие до 10 лет. По этим
данным можно судить, что более 85% всех основных активов ИП Васильев С.Е. еще
не подверглось физическому износу.
В то же время
управленческий (детализированный) анализ выявил, что определенная часть
оборудования морально устарела, то есть, отстала по своим техническим
характеристикам и экономической эффективности от новых, более современных видов
оборудования повышенной производительности.
Проведем далее
анализ движения основных средств в соответствии с рекомендованной методикой.
[21]
Из очевидного
баланса основных средств можно вывести взаимосвязанный набор показателей для
анализа и оценки процесса обновления средств:
(2.2)
где FК.
Г.ОФ - производственные средства на конец года;Н. Г.ОФ
- производственные средства на начало года;новОФ -
производственные средства, введенные в отчетном периоде (году);выбОФ
- производственные средства, выбывшие в отчетном периоде (году).
На
основании этого равенства рассчитываются следующие показатели.
Коэффициент
обновления основных средств, исчисляемый по принятой методологии:
К1 = FНОВОФ
/ FК. Г.ОФ.(2.3)
Коэффициент
эффективности обновления основных средств:
К2 = FВЫБОФ/FНОВОФ.(2.4)
Коэффициент
масштабности обновления основных средств:
К3 = FНОВОФ/FН.
Г.ОФ.(2.5)
Для целей
экономического анализа имеет смысл рассчитывать также обратный коэффициент,
который характеризует срок обновления основных производственных средств:
(2.6)
Коэффициент
стабильности основных средств, который характеризует сохраняемые для
дальнейшего использования средства:
К6
=
(2.7)
Коэффициент
выбытия основных производственных средств:
К7
= FВЫБОФ/FН. Г.ОФ.(2.8)
Индекс роста
основных средств показывает, во сколько раз увеличилась величина ОПФ за
период:
, (2.9)
Рассчитаем
показатели движения основных средств и оформим расчет в табличной форме (см.
таблицу 2.6). Для этого воспользуемся данными таблицей 7 и рис. 4.
Таблица 2.6
Относительные
показатели движения основных фондов ИП Васильев С.Е. за 2008-2009 гг.
|
Показатели по годам
|
Здания
|
Сооружения
|
Машины и оборудование
|
Транспортные средства
|
Всего
|
|
1. Коэффициент обновления основных средств, ед.
|
|
2008 г.
|
0, 16
|
0, 22
|
0, 14
|
0, 15
|
0, 16
|
|
2009 г.
|
0,25
|
0, 39
|
0,28
|
0, 27
|
0,26
|
|
2. Коэффициент выбытия основных средств, ед.
|
|
2008 г.
|
0,00
|
0,00
|
0,014
|
0,006
|
0,09
|
|
2009 г.
|
0,00
|
0, 00
|
0,02
|
0,01
|
0,015
|
|
3. Коэффициент эффективности обновления
основных средств, ед.
|
|
2008 г.
|
0, 00
|
0, 00
|
0, 23
|
0,29
|
0,25
|
|
2009 г.
|
0,00
|
0,00
|
0, 36
|
0,43
|
0,40
|
|
4. Коэффициент масштабности обновления основных
средств, ед.
|
|
2008 г.
|
0,18
|
0, 24
|
0, 26
|
0, 17
|
0, 19
|
|
2009 г.
|
0,34
|
0, 63
|
0,39
|
0,35
|
|
5. Срок обновления основных средств, год.
|
|
2008 г.
|
5, 56
|
4,2
|
3, 85
|
5, 88
|
5, 26
|
|
2009 г.
|
2, 94
|
1, 58
|
2,56
|
2, 63
|
2, 86
|
|
6. Коэффициент стабильности основных средств,
ед.
|
|
2008 г.
|
1, 00
|
1, 00
|
1, 00
|
1, 00
|
1, 00
|
|
2009 г.
|
1, 00
|
1, 00
|
1, 00
|
1, 00
|
1, 00
|
|
7. Индекс роста основных средств, ед.
|
|
2008 г.
|
-
|
-
|
-
|
-
|
1, 224
|
|
2009 г.
|
1, 340
|
1, 627
|
1, 387
|
1, 183
|
1, 169
|
|
|
|
|
|
|
|
Таким образом, как
видно из полученных данных стоимость основных фондов имеет устойчивую тенденцию
к увеличению. За три года прирост стоимости составил 7656 руб. или 61,8%.
Увеличение стоимости всех составляющих основного капитала в 2009 г. привело,
соответственно, к росту стоимости основного капитала в целом. В то же время за
исследуемый период основные фонды не выбывали.
2.3
Оценка эффективности использования основных фондов ИП Васильев С.Е.
В первой главе мы
определили, что эффективность использования основных фондов предприятий и
организаций характеризуется рядом стоимостных и натуральных показателей. Одни
характеризуют общую эффективность основных фондов в целом по предприятию или
организации, другие применяют для характеристики использования отдельных видов
средств труда по типам предприятий и отраслям хозяйственной деятельности.
Там же приведена
методика расчёта таких показателей, как: фондоотдача, фондоемкость,
фондовооруженность и фондорентабельность .
Таблица 2.7
Финансовые
показатели ИП Васильев С.Е. за 2007- 2009 г г.
|
п/п
|
Финансовый показатель
|
Единица измерения
|
Годы
|
|
|
|
2007
|
2008
|
2009
|
|
1.
|
Выручка от реализации продукции (стр.010 ф.№ 2)
|
руб.
|
671070
|
821990
|
901660
|
|
2.
|
Прибыль (убыток) отчетного года (стр.140 ф.№ 2)
|
»
|
116000
|
83400
|
133900
|
|
3.
|
Среднегодовая стоимость основных средств
(стр.120 ф.№ 1)
|
»
|
128760
|
153730
|
208320
|
|
4.
|
Среднегодовая стоимость машин и оборудования
(стр.363 ф.№ 5)
|
»
|
546000
|
654000
|
800000
|
|
5.
|
Среднегодовая численность работников
предприятия(стр.850 ф.№ 5)
|
человек
|
25
|
25
|
23
|
Произведём расчёт
этих показателей и оценку эффективности использования основных фондов ИП
Васильев С.Е. на основе бухгалтерской отчётности предприятия (табл. 2.7).
Расчёт фондоотдачи
даст возможность определить, какой объем хозяйственной деятельности организация
(оборота по реализации произведенной продукции) приходится на рубль основных
средств.
Фотд
=
(2.10)
Фондоемкость
- обратный показатель фондоотдачи. Он характеризует эффективность с точки
зрения потребностей в средствах труда и показывает, сколько требуется основных
средств для обеспечения деятельности (выручки в производстве, товарооборота,
заготовительного оборота и т.п.).
Фе
=
=
(2.11)
Фондорентабельность
основных фондов свидетельствует о том, сколько прибыли получило организация на
каждый вложенный в основание фонда рубль и рассчитаем мы её по формуле:
Rопф =
х100%(1.12)

Фондовооруженность
- это показатель, характеризующий степень оснащения живого труда (рабочей силы)
средствами труда. Он рассчитывается по формуле:
Фв
=
(2.13)
Напряженность
использования оборудования характеризует объем хозяйственной деятельности
(товарооборота, реализованной продукции и т.п.), приходящийся на рубль основных
производственных средств. Он определяется по формуле:
(2.14)
где Кно
- коэффициент напряженности использования оборудования;
Фоб -
среднегодовая стоимость используемых машин и оборудования.
Учитывая,
что между количеством работников и производительностью их труда имеется
определенная зависимость, мы можем также рассчитать производительность труда на
предприятии:
ПТ =
, (2.15)
где Ч -
количество работников предприятия
или
ПТ =Фотд
х Фв , т.е. ПТ =
(2.16)
Относительная
экономия основных средств:
,
(2.16)
где ОПФ0
,ОПФ1 - соответственно среднегодовая стоимость основных фондов в
базисном (2008 г.) и отчетном (2009 г.) годах.
Iвп - индекс объема валового производства продукции,
рассчитывается по формуле:
, (2.17)
где В -
выручка от продаж.
.
Сведем
все рассчитанные показатели эффективности основных производственных фондов ИП
Васильев С.Е. за период 2007-2009г г. в таблицу 2.8.
Анализ
таблицы убедительно доказывает, что потребность в основных фондах существенно
зависит от эффективности их использования. Чем выше эффективность
использования, тем относительно меньше объем основных фондов, требуемый для
нормального осуществления продажи товаров и услу г.
Полученные значения
показывают, что предприятие получило 5 руб. 21 коп. в 2007 году готовой продукции
с 1 рубля основных средств, и 5 руб. 35 коп и 4 руб. 63 коп. в 2008 и 2009
годах соответственно.
Таблица 2.8
Показатели
эффективности использования основных производственных фондов ИП Васильев С.Е.
за период 2007-2009гг
|
Показатели
|
ед. изм.
|
Годы
|
Динамика, %
|
|
|
2007 г
|
2008 г
|
2009 г
|
2008 г./ 2007 г.
|
2009 г./ 2008 г
|
2009г/ 2007 г
|
|
Фондоотдача
|
руб/руб
|
5, 21
|
5, 35
|
4,63
|
102, 7
|
80, 9
|
83, 1
|
|
Фондоемкость
|
»
|
0, 192
|
0,187
|
0,231
|
97, 4
|
123, 5
|
120, 3
|
|
Фондорентабельность
|
%
|
9, 009
|
5,423
|
6,427
|
60, 2
|
118, 5
|
71, 3
|
|
Фондовооруженность
|
руб./ чел.
|
51, 095
|
61,003
|
87,161
|
119, 4
|
142, 9
|
170, 6
|
|
Производительность труда
|
»
|
266, 3
|
326,18
|
402,37
|
122, 4
|
123, 4
|
151, 1
|
|
Напряженность использования оборудования
|
единицы
|
122, 9
|
125, 69
|
112,70
|
102, 3
|
89, 7
|
91, 7
|
|
Относительная экономия основных средств
|
руб.
|
-
|
2040, 03
|
6381,57
|
-
|
в 3 раза
|
-
|
Фондоотдача в 2009
году по отношению к 2007 году снизилась на 16, 9 %, несмотря на то, что
стоимость основных фондов в 2009 году по сравнению с 2007 годом увеличилась на
62,8%. На практике это означает, что рубль вложений в основные фонды
«оборачивает» небольшую товарную массу. Соответственно с понижением фондоотдачи
повысилась фондоемкость на 20, 3% за этот же период. Расчет показывает, что для
выпуска продукции на 1 руб. в 2007 году необходимо было 19 копеек основных
средств, в 2008 году 18 копеек, а в 2009 году - 21 копейки.
В
то же время повышение фондовооруженности на 70,6% свидетельствует о техническом
прогрессе на предприятии. Это значительно повлияло на повышение
производительности труда.
3. Повышение
эффективности использования основных фондов ИП Васильев С.Е.
.1
Взаимосвязь эффективности использования основных фондов предприятия и
результатов его деятельности
В условиях развития
рыночных отношений процесс формирования основных фондов осуществляется под
воздействием противоречивых факторов. С одной стороны, экономически не
целесообразно увеличивать суммы средств, направляемых на увеличение основных
фондов, так как это снижает эффективность их использования, особенно в период
осуществления капитальных вложений и начальный период эксплуатации. С другой
стороны, развитие конкуренции требует постоянного совершенствования процесса
производства, что во многом связано с дополнительными капитальными вложениями.
При анализе влияния
основных средств на результаты деятельности предприятия в первую очередь
необходимо проанализировать их долю в активах (для этого при кратком анализе
используют такой важный показатель, как коэффициент иммобилизации имущества,
показывающий долю основных средств во всем имуществе предприятия, то есть,
какую часть средств оно вложило в иммобилизованные активы), проследив при этом,
за счет каких источников происходило их формирование в пассиве.
Прогрессивной
тенденцией является опережающий рост производственных фондов по сравнению с
непроизводственными и более сильная динамика активной части основных фондов.
Необходимо
отметить, что все рассчитанные выше показатели показывали влияние эффективности
основных средств на деятельность предприятия лишь косвенным образом; однако
существуют показатели, которые прямо (в количественной оценке) раскрывают
данную экономическую зависимость. Так, например, прирост фондоотдачи показывает
условную величину роста выручки.
Данная зависимость
раскрывается факторной моделью:
(3.1)
(3.2)
(3.3)

(3.3)
где DКФО - прирост фондоотдачи;
DРКФО - прирост реализации вследствие прироста
фондоотдачи;
DРКСР - прирост реализации вследствие прироста
средней стоимости основных средств;
DРК - общий прирост
реализации;
Р1,
Р2 - объемы реализации в базисном и отчетном периодах;
ФСР1,
ФСР2 - средняя стоимость основных средств в базисном и отчетном
периодах.
Необходимо
отметить, что существуют различные варианты данной методики факторного анализа
эффективности основных средств. Так, некоторые авторы индексируют стоимость
основных средств, вводят в формулу дополнительный компонент (удельный вес
стоимости основных производственных фондов в общей их сумме). Также возможен
обратный расчет: анализ влияния выручки от реализации и средней стоимости
основных средств на фондоотдачу.
Используемая
в анализе модель зависит от направления исследования, и не совсем правильным
будет использование обеих (обратных) моделей в одном исследовании. Кроме того,
наибольший интерес для анализа хозяйственной деятельности предприятия
представляет анализ влияния эффективности средств труда на результаты
деятельности, а не наоборот, поскольку конечными и важнейшими показателями
деятельности являются именно выработка продукции и финансовые результаты
(прибыль).
Таким
образом, с помощью вышеприведенной формулы можно выделить влияние фондоотдачи
на выручку от реализации.
Рассчитаем
необходимые показатели этой модели по ИП Васильев С.Е..
Таблица 3.1
Расчет влияния
фондоотдачи и средней стоимости основных средств на выработку реализованной
продукции ИП Васильев С.Е. за
2007-2009г г.
|
Показатели
|
Годы
|
|
2007
|
2008
|
2009
|
|
1. Среднегодовая стоимость основных
производственных фондов, руб.
|
12876
|
15373
|
20832
|
|
2. Выручка от реализации продукции, руб.
|
67107
|
82199
|
96166
|
|
3. Фондоотдача на основные производственные
фонды, %
|
521, 178
|
534, 697
|
461, 626
|
|
4. Прирост (уменьшение) продукции в
сопоставимых ценах, руб., всего в том числе за счет факторов:
|
х
|
82199-67107= 15092
|
96166-82199= 13967
|
|
а) за счет роста (снижения) фондоотдачи
|
х
|
(534,697-521,178) х 15373/100 = 2079
|
(461, 626-534, 697) х 20832/100= -15222
|
|
б) за счет изменения среднегодовой стоимости
основных производственных фондов
|
х
|
67107 х (15373/12876-1) =13013
|
82199х(20832/15373-1) = 29189
|
На основании данных
табл. 3.1 можно сделать следующие выводы о влиянии эффективности основных
фондов на объем продукции предприятия.
В обоих отчётных
периода, в 2008 г. по сравнению с 2007 г., и в 2009 г. по сравнению с 2007
г.произошло увеличение реализации продукции в сопоставимых ценах на 15092 руб.
и 13967 руб. соответственно.
Однако как
показывают расчеты влияния фактора основных фондов на эту сумму, в первом
периоде увеличение прироста продукции произошло как за счёт увеличения
фондоотдачи, так и за счёт увеличения среднегодовой стоимости основных
производственных фондов.
Во втором же
периоде увеличение прироста продукции обусловлено
негативным влиянием фондоотдачи на 15222 руб. и если бы не прирост продукции за
счет изменения среднегодовой стоимости основных производственных фондов на 29189
руб., уменьшение продукции было бы значительно больше.
Однако, необходимо
отметить, что выручка является количественным показателем, в то время как
финансовые результаты деятельности (прибыль) выступают в роли качественного
показателя, характеризующего итоги деятельности хозяйствующего субъекта.
При положительных
изменениях в объемных показателях могло произойти увеличение затрат предприятия
в расчете на единицу продукции, вследствие чего прибыль могла уменьшиться.
Следовательно,
возникает необходимость в анализе влияния эффективности основных фондов на
прибыль предприятия. В данном расчете возможно применение той же модели, что и
при анализе влияния эффективности основных фондов на выручку, только вместо
выручки подставляем прибыль от реализации, и тогда вместо фондоотдачи выступает
фондорентабельность. В остальном формула остается неизменной.
Соответствующий
расчет представлен в форме таблицы 12.
Таблица 3.2
Расчет влияния
фондорентабельности и средней стоимости основных фондов на прибыль от
реализации продукции ИП Васильев С.Е. за период 2007-2009 гг.
|
Показатели
|
Годы
|
|
2007
|
2008
|
2009
|
|
1. Среднегодовая стоимость основных
производственных фондов, руб.
|
12876
|
15373
|
20832
|
|
2. Прибыль от реализации продукции, руб.
|
1160
|
834
|
1339
|
|
3. Фондорентабельность на основные
производственные фонды, %
|
9, 009
|
5,423
|
6,427
|
|
4. Прирост (уменьшение) прибыли от реализации
продукции в сопоставимых ценах, руб., всего
|
х
|
834-1160 = -326
|
1339-834 = 505
|
|
в т. ч. за счет факторов:
|
|
(5, 423-9, 009)х
|
(6, 427-5, 423)х
|
|
а) за счет роста (падения) фондорентабельности
|
х
|
15373/100=-551
|
20832/100 = 209
|
|
б) за счет изменения среднегодовой стоимости
основных фондов
|
х
|
1160 х (15373/12876-1)= 225
|
834 х (20832/15373-1)=296
|
Из таблицы наглядно
видно, что уменьшение прибыли в первом отчётном периоде (2008 г. /2007 г.)
происходило в основном за счёт уменьшения фондорентабельности основных
производственных фондов (на 551 руб), в то время как изменение среднегодовой
стоимости основных фондов на 225 руб. позволило сократить уменьшение прибыли до
326 руб.
Во втором же
отчётном периоде (2009 г. /2008 г.) произошёл значительный рост прибыли на 505
руб., как за счет роста фондорентабельности, так за счет изменения
среднегодовой стоимости основных фондов.
Вместе с тем,
рациональное использование основных фондов влияет не только на уровень
фондоотдачи, но и на такие показатели, как производительность труда,
себестоимость продукции, качество изделий, посредством которых можно
воздействовать на конечные результаты производства. В связи с этим не следует
только по одному показателю фондоотдачи судить о влиянии использования основных
фондов на эффективность производства. Всесторонняя оценка результативности
использования основных фондов возможна только при комплексном учете всех
частных показателей эффективности производства.
Может существовать
несколько вариантов положительного влияния действующих и вновь введенных
основных фондов на эффективность производственной деятельности ИП Васильев
С.Е..
Первый вариант -
рост фондоотдачи сопровождается одновременным улучшением других частных
показателей эффективности производства - производительности труда,
себестоимости продукции, качества изделий. Этот вариант возможен в том случае,
если предприятия организация не будут подвергаться подвергшихся коренной
реконструкции или значительному расширению
Второй вариант -
временное снижение фондоотдачи, а затем ее быстрое увеличение. Данный вариант
возможен при реконструкции предприятий организация. Временное снижение
фондоотдачи при этом варианте вызывается тем обстоятельством, что существует
известный период между моментом, когда производятся затраты на освоение и
внедрение новой техники, и моментом, когда данная техника начинает приносить
ожидаемый экономический эффект. Рассматриваемый вариант положительно влияет на
эффективность производства посредством того, что создает предпосылки для
будущего эффекта от внедрения новой техники.
Третий вариант -
фондоотдача падает, но рост производительности труда, снижение себестоимости
продукции, улучшение качества изделий перекрывают потери от ее снижения, что в
конечном итоге ведет к повышению эффективности производства. Данный вариант
имеет место в следующих случаях.
Вводятся новые
основные фонды, позволяющие снизить расход сырья, топлива и других затрат, а
также значительно улучшить качество выпускаемой продукции. Однако не всегда
происходит одновременно и увеличение выпуска изделий, и рост фондоотдачи. Но
если при этом снижение фондоотдачи перекрывается снижением себестоимости
продукции или возрастающим текущим эффектом на предприятиях-потребителях за
счет улучшения качества продукции, то оно допустимо и не противоречит росту
эффективности производства.
Четвертый вариант.
Возможно такое положение, когда фондоотдача на предприятии падает, другие же
частные показатели - производительность труда, себестоимость продукции,
качество изделий - улучшаются, но не в такой мере, чтобы перекрыть снижение
фондоотдачи. Но и такое положение не есть безусловное доказательство
неэффективного использования основных фондов предприятия и понижения
эффективности производства. Назначение основных фондов заключается как в
решении производственных задач - увеличении выпуска продукции, снижении текущих
затрат, улучшении качества продукции, так и социально-экономических -
облегчении труда, улучшении условий работы и др.
В связи с этим
эффект от использования средств труда состоит не только в увеличении
фондоотдачи, росте производительности труда, улучшении качества продукции, снижении
себестоимости, но и в улучшении условий труда.
Пятый вариант -
снижение фондоотдачи происходит благодаря созданию наиболее благоприятных
условий, способствующих рациональной организации производственного процесса.
Например, строительство новых производственных и складских помещений. Значение
этого варианта определяется тем, что он создает необходимые предпосылки,
позволяющие увеличить фондоотдачу, производительность труда, снизить
себестоимость продукции, т. е. в конечном итоге способствует повышению
эффективности производства.
Таким образом,
целью деятельности ИП Васильев С.Е. является не повышение фондоотдачи любой
ценой, а рост конечных результатов. В определенных случаях целесообразно идти
на некоторое снижение фондоотдачи, с тем, чтобы улучшить другие показатели -
производительность труда, качество продукции, снизить себестоимость, добиться
роста социального эффекта, укрепить свои рыночные позиции.[23]
3.2
Направления оптимизации структуры основных фондов предприятия
Главной целью
реформирования и реструктуризации ИП Васильев С.Е. будет повышение его
конкурентоспособности на региональном уровне. Предприятие должно модифицировать
свою структуру и в том числе структуру основных фондов таким образом, чтобы они
отвечали целям и задачам предприятия, способствовали экономическому росту.
В первую очередь
будет продолжена активизация маркетинговой деятельности предприятия путем
создания сбытовых сетей и систем управления финансами, а также повышения
квалификации управленческих кадров.
С целью
оптимизации <#"529730.files/image091.gif">
Рис. 6. Схема
факторной системы фондорентабельности