Повышение эффективности использования основных производственных фондов на предприятии ООО 'Сибпромтехцентр'

  • Вид работы:
    Дипломная (ВКР)
  • Предмет:
    Эктеория
  • Язык:
    Русский
    ,
    Формат файла:
    MS Word
    938,89 kb
  • Опубликовано:
    2011-07-14
Вы можете узнать стоимость помощи в написании студенческой работы.
Помощь в написании работы, которую точно примут!

Повышение эффективности использования основных производственных фондов на предприятии ООО 'Сибпромтехцентр'

Кафедра «Менеджмент»

 











ДИПЛОМНАЯ РАБОТА

На тему: Повышение эффективности использования основных производственных фондов на предприятии ООО «Сибпромтехцентр»




Студента:

Бернада Анастасии Михайловны





Омск 2011

Аннотация на дипломную работу

Студент: Бернада Анастасия Михайловна

Научный руководитель: Степанов Виктор Андреевич

Дипломная работа на тему: «Повышение эффективности использования основных производственных фондов (на примере ООО «Сибпромтехцентр»). Работа содержит 3 главы, заключение и библиографический список.

В первой главе раскрываются такие вопросы как: сущность основных производственных фондов, методы переоценки и начисления амортизации, а также направления повышения эффективности их использования.

Во второй главе проводится экономический анализ основных производственных фондов данного предприятия, их структура, движение и эффективность использования. В результате анализа выявляются недостатки их использования, а также факторы, влияющие на фондоотдачу и рентабельность основных производственных фондов.

В третьей главе предлагаются мероприятия по совершенствованию использования основных фондов, которые в дальнейшем могут быть внедрены на предприятии.

Общий объем работы составляет 80 страниц.

Содержание

Введение

. Теоретические основы использования основных производственных фондов предприятия

.1 Сущность, понятие и показатели использования основных фондов

.2 Методы оценки и начисления амортизации основных фондов

.3 Направления повышения эффективности использования основных фондов

. Анализ совершенствования использования основных фондов на примере ООО «Сибпромтехцентр»

.1 Характеристика ООО «Сибпромтехцентр», технико-экономические показатели

.2 Анализ движения и технического состояния основных производственных фондов предприятия

Глава 3. Разработка мероприятий по совершенствованию использования основных производственных фондов ООО «Сибпромтехцентр»

.1 Краткая характеристика мероприятий и обоснование их роли в совершенствовании использования основных производственных фондов

.2 Расчет экономической эффективности от внедрения мероприятий по совершенствованию использования основных производственных фондов ООО «Сибпромтехцентр»

Заключение

Библиографический список

Введение

Любое предприятие независимо от формы собственности и вида деятельности должно постоянно проводить анализ структуры, движения и эффективности использования основных производственных фондов.

Данная информация позволяет предприятию выявить пути и резервы повышения эффективности использования основных фондов, а также вовремя обнаружить и устранить негативные факторы, которые в дальнейшем могут повлечь серьезные последствия для успешной деятельности предприятия.

Именно поэтому проблема повышения эффективности использования основных фондов является актуальной для любой организации. Неэффективное их использование приводит к сокращению объемов производства или реализации, что в свою очередь уменьшает доходы предприятия, а, соответственно, отражается и на прибыли. Тема дипломной работы в современных условиях очень важна, так как во многих строительных организациях основные фонды используются неэффективно, а предприятия часто не стремятся совершенствовать их использование

Состав основных производственных фондов во многом определяется отраслевой принадлежностью предприятия. Несомненны различия, присущие многим отраслям промышленности, строительству, транспорту, сельскому хозяйству, связи и другим областям хозяйствования.

Цель дипломной работы - выявление и устранение недостатков использования основных фондов ООО “Сибпромтехцентр”.

Для достижения данной темы необходимо решить следующие задачи:

анализ состояния основных производственных фондов ООО “Сибпромтехцентр”;

определение факторов, оказывающих влияние на эффективность использования основных фондов;

расчет экономической эффективности от внедрения мероприятий по совершенствованию использования основных фондов.

Объектом данной дипломной работы являются Общество с ограниченной ответственностью «Сибпромтехцентр».

Предметом исследования является политика управления основными фондами на строительном предприятии.

Работа имеет традиционную структуру и включает в себя введение, основную часть, состоящую из 3 глав, заключение, библиографический список.

1. Теоретические основы использования основных

производственных фондов предприятия

.1 Сущность, понятие и показатели использования основных

фондов

В практике учета и статистики основные фонды определяются как часть имущества, используемая в качестве средств труда при производстве продукции, выполнении работ или оказании услуг либо для управления организацией в течение периода, превышающего 12 мес. или обычный операционный цикл, если он превышает 12 мес.

Рассмотрим понятие основных фондов в определении разными авторами.

Основные фонды - длительно используемые средства производства, участвующие в производстве в течение многих циклов, имеющие длительные сроки амортизации. К основным средствам (фондам) относят землю, производственные здания, сооружения, машины, оборудование, приборы, инструменты, то есть физический капитал. Объем основных средств исчисляется в денежном выражении, в виде их стоимости. В силу этого основные средства характеризуют иногда как денежные средства, вложенные в основные средства производства [8, с. 415].

Основные фонды - денежное выражение совокупности средств труда, функционирующих в рамках производственно-хозяйственной организации без изменения материальной формы и переносящих свою стоимость вновь созданной продукции в течение определенного срока заранее установленными частями. К основным производственным фондам относятся здания, сооружения, передаточные устройства, силовые и рабочие машины и оборудование, транспортные средства, инструмент длительного пользования, производственный и хозяйственный инвентарь, продуктивный и рабочий скот, многолетние насаждения. Основные производственные фонды оцениваются по первоначальной стоимости, т. е. по стоимости приобретения или принятия на баланс в момент сдачи в эксплуатацию; по восстановительной стоимости, определяющей стоимость фондов при их воспроизводстве в современных условиях (восстановительная стоимость фондов определяется, как правило, после проводимой переоценки основных фондов, которая учитывает моральный износ фондов), по остаточной стоимости, представляющей собой разницу между первоначальной стоимостью и начисленной величиной износа. Выделяют активную часть основных производственных фондов (в нее входят силовые и рабочие машины, инструмент, регулирующие приборы, вычислительная техника, транспортные средства). От величины активной части основных производственных фондов прямо зависит объем производства продукции. К пассивной части основных фондов относятся здания, сооружения и инвентарь, т.е. та часть фондов, которые создают нормальные условия производства. К основным непроизводственным фондам относится стоимость зданий и инвентаря непроизводственных подразделений предприятия (жилье, здания, клубы, санитарные и оздоровительные учреждения, помещения для обучения кадров и имеющийся в них инвентарь) [66, с. 223].

Основные фонды народного хозяйства - совокупность материально-вещественных ценностей, действующих в течение длительного времени: здания, сооружения, машины, оборудование, транспортные средства, рабочий и продуктивный скот. Основные фонды, функционирующие в сфере материального производства, называются производственными основными фондами, в непроизводственной сфере - непроизводственными основными фондами. Основные фонды народного хозяйства - важнейшая и наиболее быстро возрастающая часть национального богатства. Основные фонды в денежном выражении называются основными средствами [14].

Отличительной особенностью основных фондов является их многократное использование в процессе производства, сохранение первоначального внешнего вида (формы) длительное время, постепенное снашивание под действием производственного процесса, а также то, что свою первоначальную стоимость основные средства переносят на вновь созданный продукт постепенно через амортизационные отчисления.

Объект основных фондов - законченное устройство со всеми приспособлениями и принадлежностями к нему; отдельный конструктивно обособленный предмет, предназначенный для выполнения определенных самостоятельных функций; обособленный комплекс конструктивно объединенных предметов одного или различного назначения, имеющих для их обслуживания общие приспособления, принадлежности, управление и единый фундамент, в результате чего каждый предмет может выполнять свои функции, а комплекс - определенную работу только в составе комплекса, а не самостоятельно. Если один объект основных фондов состоит из частей, имеющих различный срок полезного использования (эксплуатации), то каждая из этих частей может признаваться в бухгалтерском учете как отдельный объект основных средств [9, с. 178].

Для учета и планирования основных фондов государством разрабатывается единая для всего народного хозяйства классификация. Средства труда объединяются по их видам, группам, подгруппам, а также по отраслям народного хозяйства и сферам действия, что позволяет их типизировать, кодировать, формировать в единые формы учета и отчетности.

Классификация основных средств.

. По назначению и сфере применения:

основные производственные средства;

основные непроизводственные средства.

. По степени использования:

находящиеся в эксплуатации основные средства;

находящиеся в резерве основные средства;

находящиеся в стадии достройки, реконструкции, частичной ликвидации;

находящиеся на консервации.

. В зависимости от имеющихся прав на имущество:

объекты, принадлежащие предприятию на правах собственности;

объекты, находящиеся в оперативном управлении или хозяйственном ведение;

объекты, полученные в аренду.

. По натурально-вещественному составу:

здания;

сооружения;

передаточные устройства;

машины и оборудование;

транспортные средства;

инструменты, производственный и хозяйственный инвентарь [33, с. 97].

Для характеристики и использования основных фондов применяется система обобщающих, стоимостных, относительных и натуральных показателей. Классификация показателей использования основных фондов представлена в таблице 1.1.

Таблица 1.1 - Показатели использования основных фондов

Группа

Состав показателей

Показатели экстенсивного использования основных фондов

1. Коэффициент экстенсивного использования оборудования 2. Коэффициент сменности 3. Коэффициент загрузки оборудования 4. Коэффициент использования сменного режима времени работы оборудования 5. Коэффициенты экстенсивного использования производственных площадей. 6. Коэффициент загрузки производственных площадей.

Показатели интенсивного использования основных фондов

1. Коэффициент интенсивного использования оборудования 2. Коэффициенты интенсивного использования производственных площадей.

Показатели интегрального использования основных фондов

1. Коэффициент интегрального использования оборудования 2. Фондоотдача 3. Фондоемкость 4. Рентабельность основных фондов (основного капитала) и т.п.


Рассмотрим каждый показатель в отдельности. Коэффициент экстенсивного использования основных фондов (Кэкст) характеризует уровень использования активной части основных производственных фондов по времени

 (1.1)

где Тф - фактическое время работы машин и оборудования, ч;

Тр - режимный фонд времени работы машин и оборудования, ч.

На уровень использования основных фондов влияет коэффициент сменности оборудования:

, (1.2)

где Ст1 - количество оборудования, отработавшего в первую смену;

Ст2 - количество оборудования, отработавшего во вторую смену;

Ст3 - количество оборудования, отработавшего в третью смену;

Сту - количество установленного оборудования.

Повышение сменности работы оборудования и снижение внутрисменных простоев позволяет использовать основные фонды более эффективно.

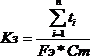
Коэффициент загрузки оборудования (Кз) характеризует использование оборудования во времени и рассчитывается по формуле:

, (1.3)

где t - трудоемкость i-го изделия, изготовленного на данной группе оборудования, час;э - эффективный фонд времени единицы оборудования, час;

Ст - количество оборудования в группе, шт.;- количество видов изделий, изготавливаемых на данной группе.

Коэффициент интенсивного использования (Кинт) характеризует уровень использования машин и оборудования по мощности:

, (1.4)

где Пф - фактическая производительность основного технологического оборудования (ед. продукции/час);

Пв - технически обоснованная производительность машин и оборудования (ед. продукции/час).

Интегральный коэффициент использования (Кинтегр) комплексно характеризует эксплуатацию оборудования по времени и мощности. Данный коэффициент определяется по формуле

. (1.5)

 

Фондоотдача - это основной обобщающий показатель эффективности использования основных фондов. Отражает объем продукции (валовой, товарной или реализованной), приходящийся на один рубль основных фондов. Фондоотдача рассчитывается по формулам

 (1.6)

где ТП - объем товарной продукции, р.;

В - выручка от реализации продукции (реализованная продукция), р.;

среднегодовая стоимость основных фондов, р..

Фондоемкость - показатель, обратный фондоотдаче. Показывает, какая величина основных фондов приходится на рубль выпущенной (валовой, товарной или реализованной) продукции. Расчет может осуществляться по формуле

. (1.7)

Рост товарной (реализованной, валовой) продукции не связанный с увеличением стоимости основных фондов свидетельствует о росте фондоотдачи и снижении фондоемкости.

О повышении эффективности использования основных фондов можно делать вывод при увеличении фондоотдачи, которое не сопровождается снижением фондовооруженности.

Фондовооруженность - показатель оснащенности основными производственными фондами (показывает стоимость основных производственных фондов, которая приходится на одного работника):

, (1.8)

где Чппп - среднесписочная численность промышленно-производственного персонала.

Рентабельность основных фондов (Роф) рассчитывается по формуле:

 (1.9)

где Пр - прибыль от реализации продукции, руб. [16, с. 103-104].

Структура основных фондов страны отражает особенности размещения производительных сил в экономике, уровень научно-технического развития региона, концентрацию промышленного производства. Для управления основным капиталом на всех уровнях хозяйствования первостепенное значение имеет функционально-видовая группировка средств труда. Она позволяет получить информацию о важнейших качественных изменениях, происходящих в экономическом потенциале предприятия. Динамика видовой структуры отражает изменения в технической оснащенности производства, темпах внедрения инноваций, развития специализации, концентрации, комбинирования и др.

Не все элементы основных фондов играют одинаковую роль в процессе производства. В зависимости от непосредственного участия в производственном процессе производственные основные фонды подразделяются на активные и пассивные.

К активным основным фондам относятся рабочие машины и оборудование, инструменты, измерительные и регулирующие приборы и устройства, технические сооружения (горные выработки шахт и разрезов, нефтяные и газовые скважины). Они принимают непосредственное участие в производственном процессе, способствуют увеличению выпуска продукции. Основная масса производственных основных фондов в промышленности сосредоточена в активной части. [67, 138-140]. Прогрессивность изменений в видовой структуре производственных фондов выражается в увеличении доли их активной части, т.е. средств труда, непосредственно участвующих в создании продукта (машины, оборудование, транспортные средства, приборы, инвентарь и др.).

Пассивные основные фонды (производственные здания, инвентарь) оказывают лишь косвенное влияние на производство продукции. К ним, как правило, относят первые две группы: здания и сооружения, т.е. фонды, обеспечивающие условия осуществления производственного процесса. Чем выше доля активной части фондов, тем большими возможностями располагает предприятие по увеличению выпуска продукции. Деление основных фондов на активную и пассивную части в значительной мере условно. Нередко повышение объема производства заключается в увеличении стоимости сооружений или передаточных устройств, что приводит к прогрессивным изменениям в технологическом процессе. Во многих отраслях промышленности (нефтедобыча, газодобыча и др.) сооружения и передаточные устройства являются наиболее активной частью фондов.

От состояния производственного аппарата, организации его использования в производственном процессе в значительной мере зависит общий уровень производительности труда. Между тем, по оценкам экспертов, удельный вес производств, соответствующих современным требованиям, составляет лишь 8%. Причина такого удручающего положения кроется в состоянии основных фондов.

В начале 2008 г. общий уровень износа основных фондов в коммерческих организациях, по данным Росстата, достигал почти 44%. При этом на крупных предприятиях этот средний показатель был значительно превышен. Так, на предприятиях по добыче полезных ископаемых износ основных фондов приближался к отметке 50%, в производстве транспортных средств и оборудования превышал 52%.

Среди активной части основных фондов - машин и оборудования - износ был заметно выше: его средний уровень превысил 51%, в том числе в добыче полезных ископаемых он достигал 55%. Полностью изношенные машины и оборудование составляли свыше одной пятой всех машин. В добыче полезных ископаемых и химическом производстве такой техники насчитывалось почти одна четверть, в производстве транспортных средств доля полностью изношенной техники превысила средний уровень почти в два раза.

При таких «запасах» на предприятиях старой и изношенной техники ее выбытие характеризуют микроскопические величины, не превышающие 1,5-2% в год.

Накопление устаревшей техники на предприятиях, по сути дела, становится серьезным препятствием для подлинного перевооружения производства на базе новой техники и технологии.

Стратегия сохранения на предприятии изношенного оборудования приводит к тому, что ликвидация оборудования имеет место практически только в связи с его физической изношенностью. При этом моральный износ и экономическая неэффективность его эксплуатации в расчет практически не принимаются. По данным Росстата, именно физическая изношенность почти в 75% случаев была причиной ликвидации оборудования.

В этих условиях вместо установки нового технически более передового и производительного оборудования, способного обеспечить качество выпускаемого оборудования и рост производительности труда, предприятие занимается ремонтом подобной техники, отвлекая на эти цели значительные средства, как материальные, так и людские.

По данным исследования ГУ-ВШЭ и Всемирного банка при финансовой поддержке Министерства экономического развития РФ, физический износ оборудования в группе предприятий-лидеров достиг угрожающего уровня. Только у четверти из них парк машин и оборудования можно считать приемлемым (менее 20% оборудования за пределами нормативных сроков эксплуатации). А у половины оборудование совершенно изношено. Более половины лидеров не имеют долгосрочной стратегии развития.

По данным опроса, проведенного в сентябре - октябре 2008 г. газетой «Экономика и жизнь», почти 60 предприятий промышленности (из них около 60% - предприятия машиностроения) имели затраты на ремонт оборудования, в 1,4 раза превышающие инвестиции в новое оборудование.

Для машиностроительных предприятий этот показатель был еще выше - он достигал 1,53 раза. Совершенно естественно, что такие затраты на ремонт препятствуют подлинному техническому перевооружению производства и соответствующему росту производительности труда.

Выборочное исследование инвестиционной активности по состоянию на 10 октября 2008 г., по данным службы Госстатистики РФ, показало, что основной целью инвестирования в основной капитал в 2008 г., как и в предыдущие годы, являлась замена изношенной техники и оборудования. На это указали 70% респондентов (в 2007-м - 73%, в 2000-м - 56%).

Однако недостаток собственных средств и высокий процент кредита ограничивают инвестиционную деятельность предприятий и, как следствие, рост производительности труда [65].

Улучшение использования основных фондов решает широкий круг экономических проблем, направленных на повышение эффективности производства: увеличение объема выпуска продукции, рост производительности труда, снижение себестоимости, экономию капитальных вложений, увеличение прибыли и рентабельности капитала и, в конечном счете, повышение уровня жизни общества.

Таким образом, основные фонды представляют собой имущество, многократно используемое в производственном процессе, сроком, превышающим 12 мес. Основные фонды можно подразделить на 10 основных групп. Каждая группа состоит из множества разнообразных средств труда. В зависимости от непосредственного участия в производственном процессе производственные основные фонды подразделяются на активные и пассивные. Обобщающую оценку движения основных фондов дают коэффициенты обновления, выбытия, прироста, а технического состояния - коэффициенты износа и годности.

1.2 Методы оценки и начисления амортизации основных фондов

Планирование и учет воспроизводства основных фондов осуществляется в натуральных и стоимостных показателях. Натуральные измерители применяются при расчетах производственной мощности предприятий, организации производственного процесса, определении технического состояния средств труда и их качественной характеристики, а также при разработке межотраслевых и плановых балансов основных фондов и оборудования.

В экономике более широкое использование имеет система стоимостных показателей, получившая особое развитие в условиях рынка. В денежном выражении осуществляется свободный учет и планирование на всех уровнях управления воспроизводственным процессом основного капитала, а также начисление и использование амортизационного фонда, включение износа средств труда в себестоимость продукции, планирование объемов и источников финансирования капитальных вложений и др. В управлении основными фондами используется дифференцированная система стоимостных оценок, которая определяется целевой установкой измерения стоимости основного капитала: для внутрипроизводственной деятельности и оценки результатов, для начисления амортизации и расчета налогов, продажи и сдачи в аренду, залоговых операций и др. [68, 104-106]

Основные средства учитываются в натуральных и стоимостных показателях.

Натуральные необходимы для установления количества и состава основных средств, расчета производственной мощности, организации ремонта и замены оборудования.

Стоимостные показатели необходимы для определения общей стоимости структуры и динамики основных средств, расчета амортизационных отчислений, себестоимости, рентабельности и т. д.

Существуют 3 метода оценки основных средств:

.        По первоначальной стоимости - это сумма фактических затрат организации на приобретение, доставку и доведения до рабочего состояния основных средств.

Первоначальная стоимость - это фактическая стоимость создания основных средств. По первоначальной стоимость основные средства учитываются и оцениваются в ценах тех лет, когда они были созданы.

.        По восстановительной стоимости.

Восстановительная стоимость - это стоимость воспроизводства основных средств в современных конкретных эксплуатационных условиях. Восстановительная стоимость показывает, сколько денежных средств пришлось бы затратить предприятию в данный момент времени для замены имеющихся изношенных в той или иной степени основных средств такими же, но новыми.

Восстановительная стоимость определяется путем переоценки основных средств.

В настоящее время предприятие имеет право самостоятельно не чаще 1 раза в год (на начало отчетного периода) производить переоценку основных средств. Переоценка может производиться:

по официально-публикуемым индексам;

прямым пересчетом по документально подтвержденным рыночным ценам.

. По остаточной стоимости.

Остаточная стоимость - это стоимость, еще не перенесенная на готовую продукцию. Остаточная стоимость определяется как разность между первоначальной (восстановительной) стоимостью и суммой начисленной амортизацией.

Основные средства учитываются на предприятии по первоначальной стоимости, а после переоценки по восстановительной стоимости.

В балансе предприятия основные средства отражаются по остаточной стоимости.

Кроме этого можно выделить два вида оценки основных средств:

. Ликвидационная стоимость - это стоимость возможной реализации, выбывающих, полностью изношенных основных средств.

. Амортизируемая стоимость - это стоимость, которую необходимо перенести на готовую продукцию. В Российской экономической практике - это первоначальная (восстановительная) стоимость, в мировой практике - разность между первоначальной и ликвидационной стоимостью.

На предприятиях происходит непрерывный процесс движения основных фондов: устаревшее оборудование выбывает, на его смену приходит более новое, более совершенное. Для определения движения основных фондов рассчитывают следующие показатели:

Коэффициент обновления основных фондов:

 (1.10)

где, Фвв - стоимость введенных основных фондов за отчетный период;

Фк - стоимость основных фондов на конец отчетного периода.

Коэффициент выбытия основных фондов:

 (1.11)

где, Фвыб. - стоимость выбывших основных фондов за отчетный период;

Фн - стоимость фондов на начало отчетного периода.

Коэффициент прироста основных фондов (Крост) отражает относительное увеличение основных фондов за счёт их обновления.

 (1.12)

где Фвв - стоимость вновь введённых основных фондов за определённый период;

Фвыб - стоимость выбывших основных фондов за определённый период.

Коэффициент годности основных фондов - характеризует их состояние на определённую дату.

 (1.13)

где К - коэффициент годности основных фондов;

Фп - первоначальная стоимость всех или отдельных видов, групп основных фондов;

Физн - стоимость износа тех же основных фондов./2/

Фкон - стоимость основных фондов на конец того же периода.

Коэффициента износа (Кизн):

 (1.14)

Кизн = сумма износа основных фондов/первоначальная стоимость основных фондов на соответствующую дату.

Данные коэффициенты показывают, какая часть основных фондов обновилась или выбыла с предприятия.

При определении стоимости основных фондов на предприятии определяют величину среднегодовой стоимости основных фондов. Она необходима и для начисления налога на имущество.

 (1.15)

где, П1 и П2 - количество полных месяцев с момента ввода или выбытия основных фондов до конца текущего года [7, с. 33-34].

В процессе эксплуатации основные средства подвергаются износу, который может быть вызван воздействием как материальных, так и нематериальных факторов.

С точки зрения экономики износ - это потеря стоимости основных средств. Виды износа:

. Физический износ - это потеря стоимости в результате изменения физических, механических и т.п. свойств основных средств.

. Моральный износ делится на:

моральный износ I-го рода - это удешевление новых средств труда и потеря стоимости у действующих средств труда;

моральный износ II-го рода - это потеря стоимости из-за появления более производительных и технически совершенных новых средств труда.

. Социальный износ - это потеря стоимости в результате того, что новые основные средства обеспечивают более высокий уровень социальных требований (комфортность, безопасность, эргономичность).

. Экологический износ - это потеря стоимости в результате ужесточения стандартов в области охраны окружающей среды.

Кроме этого, можно выделить частичный и полный износ.

Частичный наступает вследствие неравномерного износа отдельных элементов основных средств и возмещается путем ремонта.

Полный износ соответствует полному обесцениванию основных средств, когда их дальнейшее использование убыточно или невозможно. В этом случае основные средства ликвидируются и замещаются новыми.

Амортизация - это процесс переноса стоимости основных средств на готовую продукцию и возмещение этой стоимости в процессе реализации продукции.

Амортизационные отчисления - это денежное выражение размера амортизации, которое должно соответствовать степени износа основных средств. Амортизационные отчисления включаются в себестоимость продукции [13, с. 53].

В настоящее время существенно изменился порядок налогового учета амортизируемого имущества. Основные коррективы внес Федеральный закон от 26.11.2008 г. №224-ФЗ «О внесении изменений в часть первую, часть вторую Налогового кодекса РФ и отдельные законодательные акты РФ» (далее - Закон №224-ФЗ).

февраля 2011 года в Минюсте России был зарегистрирован Приказ Минфина России от 24.12.2010 №186н, который внес изменения в нормативные правовые акты по бухгалтерскому учету, в частности в Положение по бухгалтерскому учету «Учет основных средств» ПБУ 6/01. Согласно документу, активы стоимостью в пределах лимита, установленного в учетной политике организации, но не более 40 000 рублей за единицу, могут отражаться в бухгалтерском учете и бухгалтерской отчетности в составе материально-производственных запасов.

Таким образом, стоимость имущества, относимого в состав основных средств по ПБУ, увеличена до 40 тысяч рублей.

Приказ Минфина вступает в силу с бухгалтерской отчетности 2011 года [48].

Амортизируемым признается имущество организации, одновременно удовлетворяющее следующим условиям:

·        первоначальная стоимость - не менее 40 000 руб.;

·        срок полезного использования превышает 12 месяцев;

·        принадлежит организации на праве собственности (если иное не предусмотрено гл. 25 НК РФ);

·        используется для извлечения дохода (п. 1 ст. 256 НК РФ).

Амортизируемое имущество можно подразделить на следующие виды:

·        основные средства;

·        нематериальные активы;

·        капитальные вложения в предоставленные в аренду или безвозмездное пользование объекты основных средств, которые произведены в форме неотделимых улучшений (ст. 256, 257 НК РФ).

Отметим новый вид амортизируемого имущества, введенный с 1 января 2009 года, - это капитальные вложения в объекты основных средств, полученные по договору безвозмездного пользования. Порядок их амортизации аналогичен порядку, который применяется в отношении капитальных вложений в арендованные ОС (п. 1 ст. 258 НК РФ):

·        капвложения, стоимость которых возмещается ссудополучателю ссудодателем, амортизируются последним в соответствии с главой 25 НК РФ;

·        капитальные вложения, произведенные ссудополучателем с согласия ссудодателя, стоимость которых не возмещается ссудодателем, амортизируются ссудополучателем в течение срока действия договора безвозмездного пользования исходя из сумм амортизации, рассчитанных с учетом срока полезного использования, определяемого для полученных объектов ОС в соответствии с Классификацией основных средств, утвержденной постановлением Правительства РФ от 01.01.2002 г. №1.

Изменения, внесенные в пункт 1 статьи 257 НК РФ, закрепили право организаций амортизировать основные средства, выявленные в результате инвентаризации. Первоначальная стоимость таких объектов определяется как сумма налога с дохода, уплаченного при их выявлении (п. 20 ст. 250, п. 2 ст. 254 НК РФ).

Имущество, которое не подлежит амортизации, перечислено в пункте 2 статьи 256 НК РФ. Следует отметить, что из указанного перечня исключен подпункт 5, а именно: продуктивный скот, буйволы, волы, яки, олени, другие одомашненные дикие животные (за исключением рабочего скота). Причем данное изменение распространяется на правоотношения, возникшие с 1 января 2008 года (подп. 2 ст. 2 Федерального закона от 22.07.2008 г. №135-ФЗ). Поскольку в бухгалтерском учете амортизация продуктивного скота начислялась, то возникали постоянные налоговые обязательства. Теперь все перечисленные животные будут амортизироваться в общеустановленном порядке и в бухгалтерском, и в налоговом учете [50].

Начисление амортизации может производиться одним из четырех следующих методов, при этом годовая сумма амортизационных отчислений определяется:

1)      Линейный метод (способ равномерного, пропорционального списания стоимости основных средств), сумма амортизационных отчислений определяется исходя из первоначальной стоимости объекта основных средств и нормой амортизации, исчисленной исходя из срока полезного использования этого объекта. При применении линейного метода норма амортизации по каждому объекту амортизируемого имущества определяется по формуле:

К = (1/n)*100%, (1.16)

где, К - норма амортизации в процентах к первоначальной (восстановительной) стоимости объекта амортизируемого имущества;

n - срок полезного использования данного объекта амортизируемого имущества, выраженный в месяцах (годах).

2)      Способ уменьшения остатка. При использовании способа уменьшаемого остатка годовая сумма начисленной амортизации определяется исходя из остаточной стоимости объекта ОС, принимаемой на начало каждого отчетного года, и нормы амортизации, исчисленной при постановке на учет данного объекта исходя из срока его полезного использования и коэффициента ускорения, который устанавливается законодательством РФ.

Согласно Главе 25 НК РФ, в отношении амортизируемых основных средств, используемых для работы в условиях агрессивной среды и (или) повышенной сменности, к основной норме амортизации налогоплательщик вправе применять специальный коэффициент, но не выше 2. Для амортизируемых основных средств, которые являются предметом договора финансовой аренды (договора лизинга), к основной норме амортизации налогоплательщик вправе применять специальный коэффициент, но не выше.

3)      Способ списания стоимости по сумме чисел лет срока полезного использования (кумулятивный способ) Данные положения не распространяются на основные средства, относящиеся к I, II и III амортизационным группам, в случае, если амортизация по данным ОС начисляется нелинейным методом. К работе в агрессивной среде приравнивается также нахождение ОС в контакте с взрывопожароопасной, токсичной или иной агрессивной технологической средой, которая может послужить причиной (источником) инициирования аварийной ситуации.

По легковым автомобилям и пассажирским микроавтобусам, имеющим первоначальную стоимость соответственно более 300 тысяч рублей и 400 тысяч рублей, основная норма амортизации применяется со специальным коэффициентом 0,5.

Допускается начисление амортизации по нормам амортизации ниже установленных по решению руководителя организации, закрепленному в учетной политике для целей налогообложения. Использование пониженных норм амортизации допускается только с начала налогового периода и в течение всего налогового периода.

4)  Способ списания стоимости по сумме чисел лет срока полезного использования, при котором начисление амортизации производится исходя из первоначальной стоимости объекта и годового соотношения, где в числителе - число лет, оставшихся до конца срока службы объекта, а в знаменателе - сумма чисел лет срока службы объекта [7, с. 28-30].

Амортизационные отчисления производятся ежемесячно в размере 1/12 суммы годовой амортизации, независимо от способа начисления амортизации.

На введенные в действие основные средства амортизация начинает начисляться с 1-го числа следующего за датой введения месяца. На выбывающие основные средства начисления амортизации прекращается с 1-го числа следующего за датой выбытия месяца.

Порядок расчета амортизации и определения прибыли регламентируется Налоговым кодексом (25 глава).

Разрешается использовать как линейные методы начисления амортизации, так и нелинейные (2 и 3).

Для исчисления полезного срока использования основных средств предусмотрена их классификация на 10 групп:

) все недолговечное имущество со сроком полезного использования от 1 года до 2-х лет включительно;

) 2-3 года;

) 3-5 лет;

) 5-7 лет;

) 7-10 лет;

) 10-15 лет;

) 15-20 лет;

) 20-25 лет;

) 25-30 лет;

) свыше 30 лет.

Классификация основных средств, включаемых в амортизируемые группы, утверждается Правительством РФ. В целях налогообложения прибыли исчисляется не годовые суммы и нормы амортизации, а месячные.

Нематериальные активы - это затраты предприятия на не имеющие материально-вещественные формы активы, используемые в течение длительных периодов и приносящие доход.

К нематериальны активам относятся права, возникающие:

) из авторских и иных договоров на произведение искусства, науки, литературы, программы ЭВМ, базы данных и т.д.;

) из патентов на изобретение, свидетельств на полезные модели, промышленные образцы, товарные знаки или лицензионные договоры на их использование.

Учет нематериальных активов регламентируются положением по бухгалтерскому учету и Налоговым Кодексом (25 глава). В составе нематериальных активов учитываются также организационные расходы и деловая репутация фирмы (ее цена). Организационные расходы - это долгосрочные затраты, связанные с созданием фирмы.

Деловая репутация фирмы возникает в результате купли-продажи действующих предприятий. Также предприятия покупаются и продаются по рыночной цене. Отклонение рыночной цены от стоимости активов и составляет величину деловой репутации фирмы или ее цену.

Нематериальные активы переносят свою стоимость на готовую продукцию или на издержки производства и обращение путем начисления амортизации.

Амортизация может начисляться линейным способом, способом списания стоимости пропорционально объему продукции, способом уменьшаемого остатка.

Срок полезного использования нематериальных активов определяется предприятием самостоятельно с учетом следующего:

) срок полезного использования совпадает со сроком действия нематериальных активов, который устанавливается в соответствующем договоре;

) срок использования нематериальных активов определяется на предприятии;

) если срок полезного использования определить невозможно, то он устанавливается в 20 лет [33, с. 112-114].

Таким образом, оценка основных фондов осуществляется по полной первоначальной стоимости, первоначальной стоимости с учетом износа (остаточной первоначальной стоимости), полной восстановительной стоимости, восстановительной стоимости с учетом износа (остаточной восстановительной стоимости). В связи с износом основных фондов необходимо осуществлять их переоценку, которая может проводиться двумя методами: прямой оценки и посредством системы индексов цен. Чтобы стоимость выбывающих фондов была полностью перенесена на готовую продукцию, необходимо амортизировать данные фонды в целях последующего их воспроизводства. В практике начисления амортизации применяются два вида методов: линейный и нелинейный. Начисление амортизации в отношении объекта амортизируемого имущества происходит по нормам амортизации, установленным для данного объекта.

1.3 Направления повышения эффективности использования

основных фондов

От состояния производственного аппарата, организации его использования в производственном процессе в значительной мере зависит общий уровень производительности труда. Между тем, по оценкам экспертов, удельный вес производств, соответствующих современным требованиям, составляет лишь 8%. Причина такого удручающего положения кроется в состоянии основных фондов.

К началу 2010 г. полная учетная стоимость основных фондов в Российской Федерации составила 74,5 трлн.рублей, остаточная балансовая - 40,7 трлн.рублей. В составе основных фондов 28,9% занимают основные фонды транспорта и связи, 25% - операций с недвижимым имуществом, аренды и предоставления услуг, 8,6% - добычи полезных ископаемых, 8,1% - обрабатывающих производств 6,6% - производства и распределения электроэнергии, газа и воды.

По сравнению с началом предыдущего года полная учетная стоимость основных фондов экономики Российской Федерации возросла на 3,6% (в сопоставимых ценах), а по сравнению с началом 2006 г. - на 11,5% (в сопоставимых ценах). За последние несколько лет высокие темпы роста стоимости основных фондов наблюдались в финансовой деятельности (9,4% по сравнению с прошлым годом и 32,3% по сравнению с началом 2006 г.), оптовой и розничной торговле, ремонте автотранспортных средств, мотоциклов, бытовых изделий и предметов личного пользования (соответственно 9% и 32,1%), добыче полезных ископаемых (6,4% и 24,5%), обрабатывающих производствах (5,8% и 20,4%), предоставлении прочих коммунальных, социальных и персональных услуг (5,1% и 19,8%), здравоохранении и предоставлении социальных услуг (4,3% и 16%).

В целом по экономике остающееся недостаточным поступление новых основных фондов сдерживает замену устаревших, изношенных фондов. Коэффициент выбытия основных фондов, рассчитанный по полной учетной стоимости, в 2009 г. по коммерческим организациям (без субъектов малого предпринимательства) составил 0,6%, в том числе зданий - 0,3%, сооружений - 0,2%, машин и оборудования - 1,4%, транспортных средств - 1,4% В организациях сельского хозяйства, охоты и лесного хозяйства, рыболовства, рыбоводства коэффициент выбытия составил примерно 2,6-2,7%, в организациях обрабатывающих производств, гостиниц и ресторанов, представляющих прочие коммунальные, социальные и персональные услуги, по добыче полезных ископаемых - 1,0-1,4%, оптовой и розничной торговли, ремонта автотранспортных средств, мотоциклов, бытовых изделий и предметов личного пользования, по производству и распределению электроэнергии, газа и воды, транспорта и связи, операций с недвижимым имуществом, аренды и предоставления услуг - 0,2 -0,9%.

Отсутствие возможности своевременной замены основных фондов ведет к продлению сроков использования неэффективных машин и оборудования. Во многих случаях они ликвидируются только при практической невозможности их дальнейшей эксплуатации вследствие физической изношенности. Так, по данным выборочного обследования инвестиционной активности организаций, осуществляющих деятельность в области добычи полезных ископаемых, обрабатывающих производств и производства и распределения электроэнергии, газа и воды, в 2009 г. 72% машин и оборудования ликвидировалось вследствие физической изношенности и лишь 15% - из-за экономической неэффективности эксплуатации.

Наличие физически и морально изношенных основных фондов приводит к неэффективности их использования. Недостаточные темпы обновления основных фондов сдерживают процесс модернизации экономики России [5].

Очевидно, что любое предприятие стремится к повышению эффективности использования своих основных производственных фондов. Это является залогом увеличения выработки продукции, что в конечном итоге ведет к повышению доходов, а, следовательно, и к повышению уровня рентабельности. Поэтому проблема максимальной эффективности основных фондов должна стать одной из ключевых для любой организации. В процессе использования основные фонды, изнашиваясь, передают свою стоимость создаваемому продукту. Чем больше основные фонды используются в пределах возможного в режимном периоде времени работы и выше степень их использования, тем выше их эффективность. Кроме того при эффективном использовании основных фондов снижается потребность в них, что ведет к экономии, то есть минимизации затрат, а это в свою очередь также влияет на повышение уровня рентабельности.

Направления улучшения использования основных фондов.

) Уменьшение времени работы оборудования - происходит за счет ввода не установленного оборудования, увеличение коэффициента сменности, уменьшения времени ремонта и ликвидации внутрисменных потерь рабочего времени.

) Оптимальная загрузка оборудования и площадей - за счет ускорения сроков освоения проектной мощности, ликвидации узких мест, введения многостаночного обслуживания и рационального использования производственных площадей.

) Техническое совершенствование основных средств - за счет технического перевооружения и реконструкции, исп. прогрессивных технологических процессов и развития изобретательства и рационализации.

) Совершенствование организации производства, труда.

Более подробно направления рассмотрены в таблице 1.2.

На успешное решение проблемы улучшения использования основных фондов, производственных мощностей и роста производительности труда оказывает значительное влияние создание крупных производственных объединений. Вместе с этим необходимо больше внимания обратить на развитие специализации производства и технического перевооружения действующих предприятий, вывод с этих предприятий несвойственной их профилю продукции, создание специализированных промышленных объектов в тяготеющих к крупным индустриальным центрам небольших и средних городах, где имеются резервы рабочей силы. Проводя курс на развитие специализации действующих предприятий, следует иметь в виду, что это упрощает их производственную структуру, высвобождает рабочую силу из вспомогательных и обслуживающих подразделений, комплектует тем самым вторые смены основных цехов и повышает коэффициент сменности.

Таблица 1.2 - Направления улучшения использования основных фондов

№ п/п

Направление

Характеристика направления

1

2

3

1

Уменьшение времени работы оборудования

В результате повышения коэффициента сменности не только производительно используется активная часть фондов - машины и оборудование, но и пассивная - здания, сооружения. Сокращение рабочих мест наряду с использованием прогрессивного высокопроизводительного оборудования в две смены значительно увеличит объемы производства и качество продукции. Так же для повышения эффективности использования основных фондов действующих предприятий - сокращение времени внутрисменных простоев оборудования, которые на ряде промышленных предприятий достигают 15-20% всего рабочего времени.

2

Оптимальная загрузка оборудования и площадей

Интенсивность основных производственных фондов во многом зависит от машиностроения, имеющего мощный научно-производственный потенциал. В этой связи представляют интерес внедрение мероприятий по новой технике и их эффективность. Практика промышленных предприятий показывает, что здесь идет процесс увеличения единичной мощности оборудования: - в станках, машинах и агрегатах упрочняются наиболее ответственные детали и узлы; - повышаются основные параметры производственных процессов (скорость, давление, температура); - механизируются и автоматизируются не только производственные процессы, но и вспомогательные и транспортные операции; - устаревшие машины модернизируются и заменяются новыми, более совершенными; - совершенствования технологических процессов; - организации непрерывно-поточного производства на базе оптимальной концентрации производства однородной продукции; -обеспечения равномерной, ритмичной работы предприятий, проведения ряда других мероприятий, позволяющих повысить скорость обработки предметов труда и обеспечить увеличение производства продукции в единицу времени, на единицу оборудования или на 1 кв. м производственной площади.

3

Техническое совершенствование основных средств

Производственные фонды во многих отраслях изношены на 60-70%, что чревато техногенными катастрофами. Увеличиваются аварийность и травматизм, снижается производительность труда, ухудшается качество продукции независимо от квалификации работников.

4

Совершенствование организации производства, труда.

Улучшение использования основных фондов в значительной степени зависит от квалификации кадров, особенно от мастерства рабочих, обслуживающих машины, механизмы, агрегаты и другие виды производственного оборудования. Творческое и добросовестное отношение работников к труду является важным условием улучшения использования основных фондов. Известно, что от совершенства системы морального и материального стимулирования в значительной степени зависит уровень использования основных фондов [13, с. 61].



Таким образом, направления, которые улучшают использование основных фондов предприятия, представляют собой:

I. Техническое совершенствование средств труда:

• техническое перевооружение на базе комплексной автоматизации и гибких производственных систем;

• замена устаревшей техники, модернизация оборудования;

• ликвидация «узких мест» и диспропорции в производственных мощностях предприятия;

• механизация вспомогательных и обслуживающих производств;

• внедрение прогрессивной технологии спецоснастки;

• развитие изобретательства и рационализации.

II. Увеличение времени работы машин и оборудования:

• ликвидация бездействующего оборудования (сдача в аренду, лизинг, реализация и пр.); • своевременное проведение капитального ремонта, сокращение его сроков, а также проведение планово-предупредительных мероприятий; • снижение простоев: целосменных, внутрисменных.

• увеличение сменности работы оборудования;

III. Улучшение организации и управления производством:

• ускорение движения проектной производительности вновь введенных производственных систем;

• внедрение научной организации труда и производства;

• улучшение обеспечения материально-техническими ресурсами;

• совершенствование управления производством;

• повышение квалификации пользователей, развитие материальных стимулов у работников, способствующих повышению эффективности производства, повышение трудовой дисциплины.

• обеспечение производства необходимым числом рабочих

Все эти мероприятия направлены на повышение эффективности использования основных фондов, которые являются важнейшим звеном любой деятельности.

2. Анализ совершенствования использования основных фондов на

примере ООО «Сибпромтехцентр»

.1 Характеристика ООО «Сибпромтехцентр», технико-

экономические показатели

производственный фонд амортизация рентабельность

Полное фирменное наименование общества: Общество с ограниченной ответственностью ««Сибпромтехцентр»».

Почтовый адрес: 644015 г. Омск, ул. 22 Декабря 98

Общество учреждено на неограниченный срок деятельности, создано и действует в соответствии с Гражданским Кодексом РФ и Федеральным законом «Об обществах с ограниченной ответственностью» от 08.02.1998 г. №14-ФЗ.

Цель создания и деятельности Общества - ускоренное формирование рынка товаров и услуг, наиболее полное удовлетворение потребностей организаций и физических лиц в товарах и услугах различного профиля, получение прибыли. Для достижения указанных целей Общество осуществляет следующие виды деятельности:

строительство, ремонт и реконструкция жилья, социально-бытовых и сельскохозяйственных объектов;

строительно-монтажные работы следующих видов: работы по устройству наружных сетей и оборудования, устройство внутренних инженерных систем, монтаж технологического оборудования, монтаж и ремонт электрооборудования и электрических сетей, монтаж и осуществление технических испытаний средств сигнализации и связи, за исключением охранной и пожарной сигнализации, монтаж и ремонт санитарно-технического оборудования, землеройные, дорожно-строительные и дорожно-ремонтные работы

выполнение работ и обязанностей заказчика в строительстве, комплектация строительных объектов оборудованием и строительными материалами.

Общество учреждается и осуществляет свою деятельность на основе законодательства РФ, Учредительного договора и Устава. Общество является собственником принадлежащего ему имущества, имеет зарегистрированный фирменный знак, печать, штампы и бланки со своим наименованием.

Участие в Обществе иностранных юридических и физических лиц определяется законодательством РФ об иностранных инвестициях.

Уставный капитал Общества образуется только за счет участников и составляет 1104628 рублей. Для пополнения возможных убытков в обществе создается резервный фонд, который образуется путём ежегодных отчислений не менее 5% чистой прибыли. Отчисления в указанный фонд продолжаются, пока он не достигнет 25% Уставного капитала.

Источниками формирования имущества являются: денежные взносы участников, арендуемые основные фонды, доходы от ценных бумаг, банковских депозитов, кредиты банков и других кредиторов, поступления от взыскания имущественных санкций, деятельности совместных предприятий и иные источники.

Высшим органом Общества является Общее Собрание участников Общества, которое избирает председателя. Общее Собрание созывается раз в год в марте месяце для рассмотрения и утверждения годовых отчётов, балансов и других вопросов. Председатель Общего Собрания и директор не могут быть представлены в одном лице. Директор является единоличным исполнительным органом общества. Основной задачей директора является выработка экономической политики, и её реализация с целью увеличения прибыли общества.

Общество прекращает свою деятельность: по решению общего собрания, по решению суда. Ликвидация считается завершенной, а Общество прекратившим существование с момента внесения соответствующей записи в единый государственный реестр юридических лиц.

Организационная структура предприятия - линейно-функциональная представлена на рис 2.1.

Рис. 2.1 - Организационная структура предприятия

При среднесписочной численности 204 человека на конец 2010 года, самой многочисленной категорией является основной персонал, то есть рабочие предприятия непосредственно занятые в строительно-монтажных работах.

Персонал можно подразделить в зависимости от структурного состава предприятия на административно-управленческий, работников сметно-договорного, производственно-технического отдела, бухгалтерии, отдела снабжения, работников общестроительных, механического, столярного, электромонтажного участков, а также участка монтажа венсистем, жестяных работ, складского хозяйства и гаража.

Административно-управленческий персонал имеет высшее образование, а для руководителей среднего звена, то есть непосредственных начальников отделов обязательно среднеспециальное образование. Профессионально-квалификационная структура персонала приведена в табл. 2.1. На конец 2010 г было 204 чел.

Таблица 2.1 - Профессионально-квалификационная структура

персонала

Показатели

2009 г., чел.

Уд вес, %

2010 г., чел.

Уд вес, %

Темп роста, %

Темп прироста, %

1

2

3

4

5

6

Всего работников, в т.ч.

309

100

204

100

66,02

-33,98

Административно-управленческий

27

8,73

24

11,76

88,89

-11,11

Основной

243

78,64

168

82,35

69,14

-30,86

Вспомогательный

39

12,62

12

5,88

30,77

-69,23


По данным табл. 3 можно сделать следующие выводы: численность рабочих в 2010 году по сравнению с 2009 годом увеличилась незначительно на 2 человека. Доля административно-управленческого и вспомогательного персонала снизилась в общем объеме численности предприятия за счет увеличения доли основного персонала. Более наглядно структура персонала показана на рис. 2.2 и рис. 2.3.

Рис. 2.2 - Профессионально-квалификационная структура персонала на

год

Рис. 2.3 - Профессионально-квалификационная структура персонала на

год

Предприятие располагает собственной производственной базой, которую составляют: здания и сооружения (2-х этажное здание площадью 1006 м2, гараж с мастерскими 780 кв.м., столярный цех - 180 кв.м., цех монтажных заготовок - 360 кв.м., складские помещения - 930 кв.м., открытые асфальтовые площадки под складирование строительных материалов и конструкций - 7080 кв.м.), а также основные механизмы (козловой и автомобильный краны, экскаватор, автобетоносмеситель, автомашины бортовые - 6 шт., автосамосвалы 6 шт., автобус ПАЗ). Технико-экономические показатели ООО «Сибпромтехцентр» представлены в табл. 2.2:

Таблица 2.2 - Технико-экономические показатели ООО

«Сибпромтехцентр»

Наименование показателя

ед. изм.

2009 г.

2010 г.

Темп роста, %

Темп прироста, %

Отклонение (+,-) тыс.руб.

1

2

3

4

5

6

7

Объём строительных работ

тыс.руб.

61739

71045

115,07

+15,07

+9306

Общие затраты

тыс.руб.

60617

69519

114,69

+14,69

+8902

Валовая прибыль

тыс.руб.

1567

2308

147,29

+47,29

+742

Чистая прибыль

тыс.руб.

1116

1860

166,67

+66,67

744

Прибыль на одного работника предприятия

тыс.руб.

5,071

11,314

223,11

+123,11

+6,243

Налог на прибыль

тыс.руб.

244

536

219,67

+119,67

+220

Рентабельность продукции

%

2,6

3,3

126,92

+26,92

-

Среднесписочная численность

чел.

309

204

66,02

-33,98

105

Фонд оплаты труда

тыс.руб.

11789

6763

57,37

-42,63

-5026

Отчисления на социальные нужды

тыс.руб.

4338

2621

60,42

-39,58

-1717

Среднегодовая стоимость основных фондов

тыс.руб.

2794

3935

140,84

+40,84

+1141

В т.ч. активная часть

тыс.руб.

1711

2797

163,47

+63,47

+1086

Фондоотдача

руб.

22,0969

18,05464

81,71

-18,29

- 4,04

Фондоотдача активной части фондов

 руб.

36,08358

25,40043

70,39

-29,61

- 10,68315

Фондоемкость

руб.

0,045

0,055

122,22

+22,22

+0,01

Рентабельность использования основных фондов

%

56,08

58,65

105,58

+5,58

-


Из табл. 2.2 видно, что несмотря на большое снижение среднесписочной численности на 105 чел. объем строительных работ в 2010 году по сравнению с 2009 годом увеличился на 9306 тыс.руб., что составило 15%. Это увеличение незначительно, так как сумма затрат также возросла на 8902 тыс.руб.

Поэтому показатель рентабельности продукции очень низкий: в 2009 г. - 2,6%, а в 2010 г. 3,3%. Фонд оплаты труда снизился с 11789 тыс.руб. до 6763 тыс.руб. в связи с большим сокращением рабочих на 105 чел. Среднегодовая стоимость основных производственных фондов в 2010 году по сравнению с 2009 годом увеличилась на 1141 тыс.руб. Это произошло за счет увеличения среднегодовой стоимости активной части (на 1135 тыс.руб.). Фондоотдача основных производственных фондов уменьшилась на 4,04 руб., а активной части на 10,68315 руб., в связи с небольшим увеличением объема производства на 15%, а среднегодовая стоимость основных производственных фондов увеличилась значительно на 41%, активной части на 63%. Рентабельность использования основных производственных фондов увеличилась на 5,58%.

Изменение среднегодовой стоимости основных производственных фондов за 2009-10 гг., в том числе их активной части изображено на рис. 2.4:

Рис. 2.4 - Изменение среднегодовой стоимости основных

производственных фондов за 2009-2010 гг.

Несмотря на значительное уменьшение численности на 105 чел. произошло увеличение объема строительных работ на 9,306 тыс.руб., поэтому целесообразно рассмотреть профессионально-квалификационную структуру персонала предприятия.

Одним из важнейших факторов увеличения объема производства продукции на промышленных предприятиях является обеспеченность их основными фондами в необходимом количестве и ассортименте и более полное и эффективное их использование.

Задачи анализа - определить обеспеченность предприятия и его структурных подразделений основными фондами и уровень их использования по обобщающим и частным показателям; определить факторы, влияющие на изменение их уровня; рассчитать влияние использования основных фондов на объем производства продукции и другие показатели; выявить резервы повышения эффективности использования основных средств.

Для анализа основных производственных фондов в качестве информационных источников используем следующую документацию за 2009-2010 г.: форма №I «Баланс предприятия», форма №5 «Приложение к балансу предприятия» разд. 2 «Состав и движение основных средств», форма №11 «Отчет о наличии и движении основных средств».

Анализ основных производственных фондов необходимо начать с анализа состояния и соотношения активной и пассивной части, так как эти показатели оказывают непосредственное влияние на объем строительных работ.

В табл. 2.3 отражена стоимость основных фондов на начало и конец 2009 года, а также стоимость активной и пассивной части фондов за и их соотношение.

Таблица 2.3 - Состав основных производственных фондов на 2009 и

гг.

Показатели

На конец 2009 года, тыс.руб.

в %

На конец 2010 года, тыс.руб.

 в %

Отклонение(+,-)






тыс.руб.

в %

1

2

3

4

5

6

7

Всего основных производственных фондов

 3295

100

4575

100

+1280

+38,85

активные фонды

 2167

65,77

3428

74,93

+1261

+58,19

пассивные фонды

1128

34,23

1147

25,07

+19

+1,68


Как видно из табл. 2.3 удельный вес и сумма активной части основных производственных фондов увеличились как на конец отчетных периодов, так и в 2010 году по сравнению с 2009 годом, тогда как доля и сумма пассивной части основных фондов, напротив, уменьшились.

Для более наглядного представления о динамике активной и пассивной частей основных фондов данные отражены на рис. 2.5.

Рис. 2.5 - Динамика активной и пассивной части основных

производственных фондов ООО «Сибпромтехцентр» за 2009-2010 г.

Структура основных фондов предприятия представлена в таблице 2.5:

Таблица 2.4 - Структура основных фондов в динамике

Группа основных фондов

На конец 2009 г.

На конец 2010 г.

Отклонение (+, -), тыс. руб.

Темп роста, %

Темп прироста, %


в тыс. руб.

в %

в тыс. руб.

в %




1

2

3

4

5

6

7

8

Здания и сооружения

970

29,44

970

21,20

-

91,76

-8,24

Рабочие машины

861

26,13

1329

29,05

+468

102,92

+2,92

Вычислительная техника

158

4,8

177

3,87

+19

99,07

-0,93

Транспортные средства

1306

39,64

2099

45,88

+793

106,24

+6,24

Всего производственных фондов

3295

100

4575

100

+1280

138,85

+38,85


По данным табл. 2.4 можно сделать следующие выводы: в структуре основных производственных фондов на конец года наблюдаются позитивные изменения. Общая сумма основных фондов в 2010 году по сравнению с 2009 годом увеличилась на 1280 тыс.руб. и составила 4575 тыс.руб. Сумма основных фондов по группе “Здания и сооружения не изменилась и составила 970 тыс.руб., а удельный вес снизился по сравнению с 2009 годом уменьшился на 2,92% в связи с увеличение удельного веса по другим группам. Сумма основных фондов по группе “Рабочие машины” увеличилась на 468 тыс.руб. и составила 1329 тыс.руб., удельный вес по данной группе также увеличился с 26,13% до 29,05%, а отклонение составило 2,92%. Наибольшее увеличение основных фондов на 793 тыс.руб. произошло по группе “Транспортные средства” удельный вес увеличился с 39,64% 2009 году до 45,88% в 2010 году, его изменение составило 6,24%. Наименьший удельный вес составляет “Вычислительная техника”. По сравнению с 2009 годом в 2010 году произошло увеличение суммы по этой группе, и изменение составило 19 тыс. руб.

Удельный вес активной части основных производственных фондов, в которую входят рабочие машины и транспортные средства, возрос за отчетный период на 1261 тыс. руб., или на 9,16%, что следует оценить положительно, так как активная часть непосредственно участвует в производственном процессе. Повышение удельного веса активной части фондов также способствует росту технической оснащенности, увеличению производственной мощности, возрастанию фондоотдачи.

Более наглядно удельный вес каждой группы основных фондов в 2009-2010 гг. представлен на рис. 2.6 и рис. 2.7:

Рис. 2.6 - Структура основных фондов ООО «Сибпромтехцентр» в

г.

Рис. 2.7 - Структура основных фондов ООО «Сибпромтехцентр» в

г.

Так как группы основных фондов “Транспортные средства” и “Рабочие машины” являются активной частью фондов предприятия и занимают наибольший удельный вес, необходимо провести анализ структуры данных групп по видам оборудования. Анализ проведем на основании табл. 2.5:

Таблица 2.5 - Видовая структура активной части основных фондов

Вид основных фондов

2009 г. Количество, шт.

2009 г. Удельный вес, %

2010 г. Количество, шт.

2010 г. Удельный вес, %

1

2

3

4

5

Кран козловой

1

8,33

2

14,28

Экскаватор

1

8,33

1

7,14

Автомобили грузовые

9

75

9

64,29

Автомобильный бетоносмеситель

1

8,33

2

14,28

Итого

12

100

14

100


Из табл. 2.5 видно, что наибольший удельный вес (75%) занимают автомобили грузовые, так как большую часть работ предприятие выполняет по отделке и ремонту уже построенной недвижимости, а данный вид транспорта служит для перевозки строительных материалов. Другими видами основных фондов предприятие располагает в одном экземпляре, так как в соответствии с его небольшим размером и спецификой деятельности нет необходимости закупать данные виды основных фондов в количестве более единицы.

Из табл. 2.5 так же видно, что в 2010 г. также как и в 2009 г. основной удельный вес занимают автомобили грузовые. Удельный вес других видов основных фондов снизился в связи с увеличением их общего количества.

2.2 Анализ движения и технического состояния основных

производственных фондов предприятия

Большое значение имеет анализ движения и технического состояния основных производственных фондов (ОПФ), который проводится по данным бухгалтерской отчетности: отчет по основным средствам.

По анализируемому предприятию данные о степени обновления выбытия прироста, износа и годности сформированы на основании ф. 11 в табл. 2.6:

Таблица 2.6 - Движение и техническое состояние основных фондов

Показатель

Уровень показателя


2009 г.

2010 г.

Отклонение (+,-), тыс. р.

Темп роста, %

Темп прироста, %

1

2

3

4

5

6

Наличие на начало года тыс.руб.

2293,0

3295,0

+1002,0

143,70

Поступление, тыс.руб.

1444,0

1303,0

-141,0

90,24

-9,76

Выбытие, тыс.руб.

442,0

23,0

-419,0

0,05

-99,95

Наличие на конец года, тыс.руб.

3295,0

4575,0

+1280,0

138,85

+38,85

Коэффициент обновления, 0,4380,285-65,07-34,93






Коэффициент выбытия 0,190,0069-3,63-96,37






Коэффициент прироста 0,4370,388-88,79-11,21






Коэффициент износа 0,190,228-120,0+20,0






Коэффициент годности 0,810,772-95,31-4,69







Из табл. 2.6 видно, что в 2010 году по сравнению с 2009 годом на конец года основных фондов поступило меньше на 141 тыс.руб., в связи с этим коэффициент обновления снизился с 0,438 до 0,285, а его изменение составило -34,93%.

Выбытие основных фондов также уменьшилось на 419 тыс.руб. и составило 23 тыс.руб., за счет этого их наличие на конец 2010 года по сравнению с 2009 годом увеличилось на 1280 тыс.руб. и составило 4575 тыс.руб. Коэффициент прироста в связи со снижением поступления уменьшился с 0,437 до 0,388, отклонение составило -11,21%. Коэффициент износа увеличился на 20%. Соответственно коэффициент годности в 2009 году составлял 0,81, а в 2010 - 0,772, а его изменение - 4,69%. Более наглядно на рис 2.10.

Рис. 2.8 - Движение и техническое состояние основных фондов ООО

«Сибпромтехцентр» в 2009-2010 гг.

В 2010 году по сравнению с 2009 годом техническое состояние основных средств на предприятии несколько ухудшилось за счет их менее интенсивного обновления.

Для более полного представления о техническом состоянии и движении основных производственных фондов на предприятии и выявления степени их изношенности необходимо провести анализ активной части основных фондов, непосредственно задействованных в производственном процессе. Активную часть основных производственных фондов на предприятии составляют группы “Рабочие машины” и “Транспортные средства”.

Рассмотрим движение и техническое состояние основных фондов по группе “Рабочие машины”. Результаты расчетов представлены в таблице 2.7:

Таблица 2.7 - Движение и техническое состояние группы основных

фондов “Рабочие машины”

Показатель

Уровень показателя


2009 год

2010 год

Отклонение (+,-), тыс. руб.

Темп роста, %

Темп прироста, %

1

2

3

4

5

6

Наличие на начало года тыс.руб.

919,0

861,0

-58,0

93,69

-6,31

Поступление, тыс.руб.

267,0

484,0

+217,0

181,27

+81,27

Выбытие, тыс.руб.

325,0

16,0

-309,0

4,92

-95,08

Наличие на конец года, тыс.руб.

861,0

1329,0

+468,0

154,36

+154,36

Коэффициент обновления

0,31

0,364

-

117,42

+17,42

Коэффициент выбытия

0,354

0,019

-

5,37

-94,63

Коэффициент прироста

0,063

0,54

-

857,14

+757,14

Коэффициент износа

0,254

0,24

-

94,49

-5,51


По данным табл. 2.7 можно сделать следующие выводы: в 2010 году по сравнению с 2009 годом основных фондов поступило больше на 217 тыс.руб., а выбыло меньше на 309 тыс.руб. В связи с этим коэффициент обновления увеличился на 0,054 и составил 0,364, а коэффициент выбытия снизился с 0,354 до 0,019, его абсолютное отклонение составило 0,335. Произошло значительное увеличение коэффициента прироста, оно составило 757,14%. Снижение коэффициента износа незначительно 5,51%. В данной группе основных фондов увеличилась интенсивность обновления, и снизилось количество выбывших средств. Динамика коэффициентов показана на рис. 2.9:

Рис. 2.9 - Техническое состояние группы основных фондов “Рабочие

машины”

Рассмотрим движение и техническое состояние основных фондов по группе “Транспортные средства” на основании табл. 2.8:

Таблица 2.8 - Движение и техническое состояние группы основных

фондов по группе “Транспортные средства”

Показатель

Уровень показателя


2009 год

2010 год

Отклонение (+,-), тыс.руб.

Темп роста, %

Темп прироста, %

 

1

2

3

4

5

6

 

Наличие на начало года тыс.руб.

335

1306

+971

389,85

+289,85

 

Поступление, тыс.руб.

995

800

-195

80,40

-19,60

 

Выбытие, тыс.руб.

24

7

-17

29,17

-70,83

 

Наличие на конец года, тыс.руб.

1306

2099

+793

160,72

+60,72

 

Коэффициент обновления

0,762

0,381

-

50,00

-50,00

 

Коэффициент выбытия

0,072

0,0053

-

7,36

-92,34

 

Коэффициент прироста

2,899

0,607

-

20,94

-79,06

 

Коэффициент износа

0,212

0,277

-

130,66

+30,66

 

Коэффициент годности

0,788

0,723

-

91,75

-8,25

 


Из табл. 2.8 видно, что поступление основных фондов в 2010 году по сравнению с 2009 годом снизилось на 195 тыс.руб. и составило 800 тыс.руб. Выбытие основных средств также снизилось с 24 тыс.руб. до 7 тыс.руб., абсолютное отклонение составило 17 тыс.руб. В связи с этим коэффициент обновления уменьшился на 50%, а коэффициент выбытия - на 92,34%. Коэффициент прироста уменьшился значительно на 79,06%. Коэффициент износа также увеличился на 30,66% и составил 0,277, соответственно уменьшился коэффициент годности с 0,788 до 0,723, что является отрицательным.

Рис. 2.10 - Техническое состояние группы основных фондов по группе

“Транспортные средства”

Таким образом, поступление основных фондов в 2009 году составило 1444 тыс. руб., из них основная часть фондов (1262 тыс.руб.) поступила по группам “Транспортные средства”(995 тыс.руб.) и “Рабочие машины”(267 тыс.руб.). Так как эти группы основных фондов составляют их активную часть, которая непосредственно влияет на объем строительных работ, это следует оценить положительно. Большая часть основных фондов в 2009 году выбыла по группе “Рабочие машины” (325 тыс.руб.), а в 2010 году выбытие основных фондов произошло только по этим двум группам на сумму 23 тыс.руб. Наибольшее обновление в 2009 году произошло по группе “ Транспортные средства”, так как коэффициент обновления по данной группе составлял 76,2%, а в 2010 году 38,1%. Наибольший коэффициент выбытия в 2009 г. по группе “Рабочие машины” (35,4%). В 2010 г. произошло резкое уменьшение данных коэффициентов, как по всем основным фондам, так и по их активной части, так предприятие располагает оборудованием, пришедшим в негодное состояние, но не ликвидирует его. Произошло значительное снижение коэффициента прироста по группе “Транспортные средства”.

Для более полного представления о структуре и движении основных фондов предприятия рассмотрим их видовой состав на основании табл. 2.9:

Таблица 2.9 - Виды основных фондов группы “Здания и сооружения”

Вид основных фондов

Данные на конец периода, тыс.руб.


2009 г. тыс.руб.

2010 г. тыс.руб.

Отклонение (+,-), тыс. р.

Удельный вес 2009 г., %

Удельный вес 2010 г., %

1

2

3

4

5

6

Вид (группа): здания и сооружения

970,254

970,254

0,00

100

100

Гараж кирпичный

11,500

11,500

0,00

1,19

1,19

Гараж кирпичный

14,980

14,980

0,00

1,54

1,54

Здание конторы

609,995

609,995

0,00

62,87

62,87

Здание мастерской

101,590

101,590

0,00

10,47

10,47

Склад материалов

232,189

232,189

0,00

23,93

23,93


Из табл. 2.9 видно, что данную группу основных фондов составляют два гаража, склад и два здания. Сумма и структура основных производственных фондов по группе в течение 2009-2010 г. не изменились. На рис. 2.11 показан удельный вес каждого составляющего группы основных фондов «Здания и сооружения.

Рис. 2.11 - Виды основных фондов группы “Здания и сооружения”

В таблице 2.10 представлены данные о видах основных фондов по группе “ Машины и оборудование”:

Таблица 2.10 - Виды основных фондов группы “Машины и

оборудование”

Наименование основных фондов

Данные на конец периода


2009 г. тыс.руб.

2010 г. тыс.руб.

Отклонение (+,-), тыс.руб.

Темп роста, %

Темп прироста, %

Вид (группа): Машины и оборудование

398,055

431,710

+33,655-00

108,45

+8,45

Бетономеситель

0,00

13,900

+13,900-00

-

-

Компрессор

34,500

34,500

0-00

100

0

Компрессор

29,000

29,000

0-00

100

0


По данным табл. 2.10 можно сделать следующие выводы: общая сумма по группе основных средств в 2010 г. по сравнению с 2009 г. увеличилась на 33,655 тыс.руб. за счет поступления двух мониторов “LG” на сумму 4,422 тыс.руб. и 15,332 тыс.руб., бетоносмесителя за 13,900 тыс. руб. В данной группе основных фондов к активным фондам относятся: бетоносмеситель и экскаватор.

Таблица 2.11 - Виды основных фондов группы “Передаточные

устройства”

Наименование основных фондов

Данные на конец периода


2009 г. тыс. руб.

2010 г. тыс. руб.

Отклонение (+,-), тыс. руб.

Вид (группа): Передаточные устройства

620,774

1,040,952

+420,178

Кабель силовой

0,00

435,908

+435,908

Кабельная линия

15,730

0,00

-15,730

Противопожарная сигнализация

82,787

82,787

0,00

Тепловой узел

69,925

69,925

0,00

Теплосеть

452,3320

452,332

0,00


Из табл. 2.11 видно, что общая сумма основных фондов по группе в 2010 г. по сравнению с 2009 г. увеличилась на 420,178 тыс.руб. за счет приобретения кабеля на сумму 435,908 тыс.руб. Кабельная линия стоимостью 15,730 тыс.руб. была списана в связи с окончанием срока службы. Данная группа основных фондов относится к пассивным фондам.

Таблица 2.12 - Виды основных фондов группы “Транспортные

средства”

Наименование основных фондов

Данные на конец периода, тыс.руб.


2009 г. тыс.руб.

2010 г. тыс.руб.

Отклонение (+,-), тыс.руб.

1

2

3

4

Вид (группа): Транспортные средства

1,306,008

2,099,493

+793,485

Автобус КАВЗ 3270

3,515

0,00

-3,515

Автобус ПАЗ

58,437

58,437

0,00

Автомобиль ВАЗ 21043

9,165

9,165

0,00

Автомобиль ВАЗ 21061

11,365

11,365

0,00

Автомобиль ГАЗ 24

9,165

9,165

0,00

Автомобиль ГАЗ 31029

11,365

11,365

0,00

Автомобиль ГАЗ 3110

136,666

136,666

0,00

Автомобиль ГАЗ 33021

18,396

18,396

0,00

Автомобиль ГАЗ 33073

3,360

3,360

0,00

Автомобиль ГАЗ 33073

3,360

3,360

0,00

Автомобиль ГАЗ 53

3,000

0,00

Автомобиль ГАЗ САЗ 53 Б

10,080,

10,080

0,00

Автомобиль ЕРАЗ

3,396-00

0,00

-3,396,

Автомобиль ЗИЛ

3,000

3,000

0,00

Автомобиль ЗИЛ

25,870

25,870

0,00

Автомобиль ЗИЛ

11,400

11,400

0,00

Автомобиль ЗИЛ

5,000

5,000

0,00

Автомобиль ЗИЛ

30,600

30,600

0,00

Автомобиль ЗИЛ

6,500

6,500

0,00

Автомобиль ЗИЛ

4,625

4,625

0,00

Автомобиль ЗИЛ

3,600

3,600

0,00

Автомобиль ИЖ 2715

5,104

5,104

0,00

Автомобиль ИЖ 2717-220

85,041

85,041

0,00

Автомобиль УАЗ 3303

10,265

10,265

0,00

Автомобильный бетоносмеситель КАМАЗ 851411

708,187

708,187

0,00

Автомобильный кран МАЗ 553702-045

0,00

800,396

+800,396


Данные табл. 2.12 свидетельствуют об увеличении в 2010 г. общей суммы основных фондов по группе на 793,485 руб. за счет приобретения автомобильного крана МАЗ за 800,396 руб., а также о списании в связи с приходом в негодное для использования состояние автобус КАВЗ 3270 стоимостью 3515 тыс. руб. и автомобиля ЕРАЗ стоимостью 3396 тыс. руб. к активным основным фондам в этой группе относятся: Автомобиль ЕРАЗ, ЗИЛ, автомобильный бетоносмеситель КАМАЗ и автомобильный кран МАЗ.

Обеспеченность предприятия отдельными видами машин, механизмов, оборудования, помещениями устанавливается сравнением фактического наличия с их плановой потребностью, необходимой для выполнения плана по выпуску продукции. Основными показателями, характеризующими эффективность использования основных фондов, являются фондоотдача, фондоемкость и рентабельность использования основных фондов.

Показатели эффективности использования основных производственных фондов представлены в табл. 2.13.

Таблица 2.13 - Показатели эффективности использования ОПФ

Показатель

2009 год

2010 год

Отклонение (+,-)

Темп роста, %

Темп прироста, %

1

2

3

4

5

6

Объем строительных работ, тыс.руб.

61739

71045

+9306

115

+15

Среднегодовая стоимость ОПФ, тыс.руб.

2794

3935

+1141

141

+41

Среднегодовая стоимость активной части ОПФ, тыс.руб.

1711

2797

+1135

163

+63

Среднегодовая стоимость единицы оборудования, тыс.руб.

285,2

223,8

- 61,4

78

-22

Прибыль, тыс.руб.

1567

2308

+742

147

+47

Фондоотдача ОПФ, руб.

22,0969

18,05464

- 4,04

81

-19

Фондоотдача активной части ОПФ, руб.

36,08358

25,40043

- 10,68315

70

-30

Фондоемкость, коп.

4,5

5,5

+1

122

+22

Рентабельность использования ОПФ, %

56

58,7

-

105

+5


По данным табл. 2.13 можно сделать следующие выводы: среднегодовая стоимость основных производственных фондов в 2010 году по сравнению с 2009 годом увеличилась на 1141 тыс.руб. Это произошло за счет увеличения среднегодовой стоимости активной части (на 1135 тыс.руб.). среднегодовая стоимость единицы оборудования уменьшилась на 61,4 тыс.руб. в связи с увеличением среднегодового количества оборудования. Фондоотдача основных производственных фондов уменьшилась на 4,04 руб., а их активной части на 10,68315 руб., так как объем производства увеличился всего на 15%, а среднегодовая стоимость основных производственных фондов увеличилась значительно на 41%, их активной части на 63%. На основании этих показателей можно сделать вывод, что освоение основных фондов на предприятии, а также ввод их в действие происходит медленно. Фондоемкость снизилась незначительно на 1 коп. Рентабельность использования основных производственных фондов увеличилась на 5% из-за роста прибыли на 47%.

Факторный анализ фондоотдачи и фондорентабельности основных фондов осуществляется в соответствии со структурно-логической моделью факторного анализа фондорентабельности и фондоотдачи ОПФ, которая представлена на рисунке 2.12:

Рис. 2.12 - Структурно-логическая модель факторного анализа

фондорентабельности и фондоотдачи ОПФ

Для выявления факторов, оказавших непосредственное влияние на данные показатели необходимо провести факторный анализ, исходная информация для анализа представлена в табл. 2.14.

Таблица 2.14 - Исходная информация для анализа эффективности

использования основных фондов

Показатель

2009 год

2010 год

Отклонение (+,-)

Темп роста, %

Темп прироста, %

1

2

3

4

5

6

Объем строительных работ, тыс.руб.

61739

71045

+9306

115,07

+15,07

Среднегодовая стоимость, тыс. руб. основных производственных фондов (ОПФ)

2794

3935

+1141

140,84

+40,84

их активной части (ОПФа)

1711

2797

+1135

163,47

+63,47

Единицы оборудования тыс. руб.

285,17

223,76

- 61,41

78,46

-21,53

Удельный вес активной части ОПФ (Уда)

61,24

71,08

+9,8

116,07

+16,07

Фондорентабельность (Rопф), %

56

58,7

-

104,8

+4,8

Рентабельность продукции (Rп),%

2,6

3,3

-

126,92

+26,92

Фондоотдача ОПФ (ФО0пф), руб.

22,09699

18,05463

-4,04236

81,71

-18,29

Фондоотдача активной части фондов (ФОа)

36,0835

25,4004

-10,6831

70,4

-29,6

Среднегодовое количество действующего оборудования (К), шт.

6

12,5

+6,5

208,3

+108,3

Отработано за год всем оборудованием (Т), машино-час

11794

24640

+12530

208,92

+108,92

В том числе единицей оборудования: часов (Тед)

1966

1971

+5

100,25

+0,25

смен (СМ)

252

256

+4

101,59

1,59

Дней (Д)

252

256

+4

101,59

1,59

Коэффициент сменности работы оборудования

1

1

-

100

0

Средняя продолжительность смены (П), ч

7,8

7,7

-0,1

98,72

-1,28


Фондоотдача в 2010 году по сравнению с 2009 годом уменьшилась на 4,04236 руб., что составило 18,3%. Факторами первого уровня, влияющими

на фондоотдачу основных производственных фондов, являются:

·    Изменение доли активной части фондов в общей сумме основных производственных фондов;

·        Изменение фондоотдачи активной части.

По данным табл. 6 произведем расчет влияния данных факторов на изменение фондоотдачи основных производственных фондов способом абсолютных разниц:

За счет изменения доли активной части ОПФ изменение фондоотдачи составило:

ФОуд = УДа2010 - УДа2009 * ФОа2009, (2.1)

100

ФОуд = (71,08-61,24) * 36,08358=+3,55062 руб.

100

ФОа = (ФОа2010 - ФОа2009)* УДа2010, (2.2)

100

ФОа =(25,40043-36,08358)*71,0 =- 7,59358 руб.

100

Итого: - 4,04296 руб.

Фондоотдача активной части фондов непосредственно зависит от структуры, времени работы и среднечасовой выработки. Расчет влияния факторов на прирост фондоотдачи оборудования можно выполнить способом цепной подстановки:

Расчет влияния факторов на прирост фондоотдачи оборудования можно выполнить способом цепной подстановки:

, (2.3)

ФОаn=

Для определения первого условного показателя фондоотдачи необходимо вместо плановой взять фактическую среднегодовую стоимость единицы оборудования, которая при одинаковых ценах может измениться только за счет его структуры:

ФОаусл1=, (2.4)

ФОаусл1=

 

В результате изменения структуры оборудования уровень фондоотдачи увеличился на +9,90253 руб. (45,98446-36,08193).

Далее следует установить, какой была бы фондоотдача при фактической структуре оборудования и фактическом количестве отработанных дней, но при плановой величине остальных факторов:

ФОаусл2=, (2.5)

ФОаусл2=

Увеличение фондоотдачи на +0,72992 руб. (46,71438-45,98446) является результатом отсутствия целодневных простоев.

Третий условный показатель фондоотдачи рассчитывается при фактической его структуре, фактическом количестве отработанных дней, фактическом коэффициенте сменности и при плановом уровне остальных факторов:

 

ФОусл3 = , (2.6)

ФОусл3 =

Так как коэффициент сменности остался без изменений, то фондоотдача за счет данного коэффициента также не изменилась. (46,71438-46,71438).

При расчете четвертого условного показателя фондоотдачи остается плановым только уровень среднечасовой выработки:

ФОдусл4=, (2.7)

ФОдусл4=

В связи с тем, что продолжительность смены в 2010 году ниже, чем в 2009 году на 0,1 ч, фондоотдача оборудования уменьшилась на - 0,59891 руб. (46,11547-46,71438).

При фактической выработке оборудования фондоотдача составит:

аф=, (2.8)

аф=

что на - 20,71504 меньше, чем в 2009 году (25,40043-46,11547)

Чтобы узнать, как эти факторы повлияли на уровень фондоотдачи ОПФ, полученные результаты надо умножить на фактический удельный вес технологического оборудования в общей сумме ОПФ:

Изменение фондоотдачи ОПФ за счет:

структуры оборудования +9,90253*0,71=+7,03872 руб.;

целодневных простоев +0,72992*0,71=+0,51883 руб.;

коэффициента сменности 0*0,71=0 руб.;

внутрисменных простоев - 0,59881*0,71=-0,42571 руб.; среднечасовой выработки -20,71504*0,71=-14,72425 руб.

Итого (- 10,6815*0,71) = -7,59241 руб.

Более наглядно результаты факторного анализа можно представить в табл. 2.15:

Таблица 2.15 - Результаты факторного анализа фондоотдачи

Фактор

Изменение фондоотдачи, руб.

Изменение производства продукции, тыс.руб.


Активной части ОПФ

ОПФ


1

2

3

4

1. Среднегодовая стоимость ОПФ 2. Доля активной части фондов 3. Отдача активной части фондов

+1141

22,09699

25212,67


+3,55062

3935

+13971,65


-7,59358

3935

-29880,74

Итого

-4,04296

3935

-15909,09

Второго уровня

Структура оборудования

+9,90253*0,71

+7,03872*3935

+27697,36

Целодневные простои

+0,72992*0,71

0,51889*3935

+2041,60

Коэффициент сменности

0*0,71

0*3935

0

Внутрисменные простои

-0,59891*0,71

-0,42571*3935

-1675,17

Среднечасовая выработка

-20,71504*0,71

-14,7243*3935

-27939,92

Итого

- 10,6815

- 7,59241 * 3935

- 29876,13


Из табл. 2.15 видно, что доля активной части основных производственных фондов предприятия возросла, но ее фондоотдача снизилась. За счет этого недополучено продукции на сумму 29880,74 тыс.руб. Несмотря на то, что каждой единицей оборудования в 2010 году по сравнению с 2009 годом было отработано на 4 дня больше, имелись внутрисменные потери, и за счет данного фактора недополучено продукции на 1675,17 тыс.руб. За счет снижения среднечасовой выработки произошли потери объема производства на сумму 57939,92 тыс.руб.

Увеличение доли активной части основных производственных фондов на данном предприятии следует оценить положительно. Но за счет внутрисменных потерь снизилась часовая выработка, вследствие чего в целом уменьшилось производство продукции на сумму 59615,09 тыс. руб. (1675,17+57939,92). Данный показатель является резервом увеличения выпуска продукции на предприятии.

Зная из-за каких факторов изменилась фондоотдача, можно определить их влияние на уровень фондорентабельности путем умножения абсолютного прироста фондоотдачи за счет i-го фактора на плановый уровень рентабельности продукции.

Таблица 2.16 - Результаты факторного анализа фондорентабельности

Изменение фондоотдачи, руб.

Расчет влияния на фондорентабельность

Изменение фондорентабельности, %

1

2

3

4

Первого уровня

Доля активной части фондов

+3,55

+3,55*2,6

+9,23

Отдача активной части фондов

- 7,59

-7,59*2,6

-19,73

Итого

-4,04

-4,04*2,6

-10,50

Второго уровня

Структура оборудования

+7,03872

+7,03872*2,6

+18,30067

Целодневные простои

+0,51883

+0,51883*2,6

+1,34896

Коэффициент сменности

-

-

-

Внутрисменные простои

-0,42571

-0,42571*2,6

-1,10685

Выработка за 1 машино-час

-14,72425

-14,72425*2,6

-38,28305

Итого

-7,59241

-7,59241*2,6

-19,74027

На основании этого расчета можно установить неиспользованные резервы повышения уровня рентабельности основных производственных фондов. За счет сокращения внутрисменных простоев и роста среднечасовой выработки предприятие имеет возможность повысить рентабельность основных фондов на 39,4% (1,10685+38,28305).

Таким образом, из-за увеличения доли активной части основных фондов должен был произойти рост объема строительных работ на сумму 29880,74 тыс.руб., а фактически объем производства увеличился только на 9306 тыс.руб., а фондоотдача снизилась. Это произошло в связи с тем, что освоение основных фондов на предприятии, а также ввод их в действие происходит медленно, а оборудование с истекшим сроком службы не ликвидируется.

Из-за внутрисменных потерь и снижения часовой выработки объем строительных работ снизился на 59615,09 тыс. руб. Ликвидируя влияние данных факторов, предприятие может увеличить объем строительных работ на 89495,83 тыс. руб.

В связи со спецификой производства (строительство) предприятие не имеет производственных площадей, только здание для персонала и склады, а также с тем, что предприятие существует с 1998 года, и модернизация и реконструкция оборудования не проводились, то анализ производственной мощности на данном предприятии произвести невозможно.

На основе анализа основных фондов, проведенного в данной главе, выяснилось, что снижение фондоотдачи произошло в связи с внутрисменными потерями и снижением среднечасовой выработки. Уменьшение рентабельности основных фондов произошло из-за медленного освоения и ввода их в действие.

На основании результатов анализа предлагаются мероприятия, по совершенствованию использования основных фондов на предприятии.

. Обучения на курсах “Машинист козлового крана” еще одного работника.

. Замена трех автомобилей ЗИЛ грузоподъемностью 5 тонн на один автомобиль КАМАЗ, имеющий грузоподъемность 15 тонн.

. Предлагается простаивающий автомобильный бетоносмеситель сдать в аренду сроком на 6 месяцев.

Глава 3. Разработка мероприятий по совершенствованию

использования основных производственных фондов ООО

«Сибпромтехцентр»

 

.1 Краткая характеристика мероприятий и обоснование их роли в

совершенствовании использования основных производственных

фондов


Несмотря на то, что объем строительных работ, и прибыль предприятия увеличились в 2010 г. по сравнению с 2009 г., фондоотдача основных производственных фондов снизилась. На основе анализа основных фондов, проведенного во второй главе, выяснилось, что снижение фондоотдачи произошло в связи с внутрисменными потерями и снижением среднечасовой выработки. Уменьшение рентабельности основных фондов произошло из-за медленного освоения и ввода их в действие.

На основании результатов анализа в данной главе предлагаются мероприятия, по совершенствованию использования основных фондов на предприятии.

. Предприятие располагает оборудованием, при работе на котором необходимо пройти специальное обучение. Одним из видов такого оборудования является козловой кран, которым в данный момент умеет управлять только один работник. После обучения на курсах “Машинист козлового крана” еще одного работника появится возможность работы крана в летний период (с мая по сентябрь) в две смены с коэффициентом сменности 1,6. Также можно будет осуществлять замену работника в целях избегания внутрисменных потерь и снижения среднечасовой выработки, что увеличит объем строительных работ предприятия в целом.

. Основная часть грузовых автомобилей имеет большой срок эксплуатации (15 лет) и требует значительных затрат на ремонт и обслуживание. В связи с этим целесообразно рекомендовать замену трех автомобилей ЗИЛ грузоподъемностью 5 тонн на один автомобиль КАМАЗ, имеющий грузоподъемность 15 тонн и требующий меньших затрат на техническое обслуживание и содержание. Но так как предприятие не располагает средствами для приобретения нового автомобиля, можно предложить автомобиль со сроком эксплуатации от трех лет.

. В связи с тем, что на предприятии не предполагается увеличение объема работ, а для выполнения заключенных контрактов достаточно одного стационарного бетоносмесителя, мощность которого позволяет обеспечить данный объем работ, предлагается простаивающий автомобильный бетоносмеситель сдать в аренду сроком на 6 месяцев. Сдача в аренду осуществляется на следующих условиях: предприятие-арендодатель оставляет своего водителя, тем самым сохраняются расходы на заработную плату. Затраты на техническое содержание переходят в обязанности арендатора.

3.2 Расчет экономической эффективности от внедрения

мероприятий по совершенствованию использования основных

производственных фондов ООО «Сибпромтехцентр»

. Рассчитаем эффективность обучения работника на курсах “Машинист козлового крана”. Необходимые данные для расчета приведены в табл. 3.1:

Таблица 3.1 - Исходные данные для расчета эффективности

мероприятия

Показатели

величина

1

2

Количество обучаемых, чел.

1

Затраты на обучение одного человека, тыс. руб.

6

Выработка козлового крана в час, тыс.руб.

0,773

Продолжительность смены, ч.

8

Коэффициент загрузки оборудования

0,8

Срок воздействия программы, мес.

5

Коэффициент сменности

1,6

Заработная плата, тыс.руб.

12,0

Затраты на содержание крана в день, тыс.руб.

0,608


1.       Рассчитаем выработку крана в смену:

0,773*8*0,8=4,947 тыс.руб.

. Рассчитаем выработку крана в две смены:

,773*16*0,8=9,894 тыс.руб.

. Изменение выработки за 5 мес.:

(9,894 - 4,947)*22*5=544,170 тыс.руб.

. Затраты на содержание крана за 5 мес.:

,608*22*5=66,880 тыс.руб.

. Затраты на заработную плату:

а) дополнительная заработная плата:

12,0*14/100=1,68 тыс.руб.

б) общая:

,0+1,68=13,68 тыс.руб.

. Налоги с фонда заработной платы:

,68*34/100=4,651 тыс.руб.

. Эффект:

,170-6,000-66,880-(4,651+13,68)*5= 379,635 тыс.руб.

Таким образом, мероприятие по обучению работника на курсах «Машинист козлового крана» является эффективным, а эффект составляет 379,635 тыс.руб.

. Вторым мероприятием является частичная замена старого оборудования на новое, более производительное. Данные для расчета эффекта воздействия программы по замене оборудования приведены в табл. 3.2:

Таблица 3.2 - Исходные данные для расчета эффективности

мероприятия

Показатели

ЗИЛ

КамАЗ 65115-017

1

2

3

Количество автомобилей, шт.

 3

 1

Грузоподъемность, тонн

 5

 15

Грузооборот в день одной машины, т/км

560

560

Заработная плата, тыс.руб.

10,0

 12,0

Налоги с фонда оплаты труда, %

 34,0

34,0

Затраты на ремонт в мес., тыс.руб.

 3,6

 1,5

ГСМ на 100 км., л.

45

50

Срок эксплуатации, мес.

120

37


Срок эксплуатации автомобилей ЗИЛ 10 лет, они полностью перенесли свою стоимость на производимую продукцию, поэтому начисление амортизации на данный вид основных фондов прекращено.

1.       Грузооборот в день трех автомобилей ЗИЛ:

560*3=1680 т/км.

2.       Количество километров, пройденных за смену тремя автомобилями ЗИЛ:

1680/5=336 км.

3.       Количество километров, пройденных автомобилем КамАЗ при перевозке того же объема груза:

1680/20=84 км.

. Отклонение составит:

-84=252 км.

Рассчитаем затраты на содержание трех автомобилей ЗИЛ:

. Расходы на заработную плату:

а) основная заработная плата:

10*3=30 тыс.руб.

б) дополнительная заработная плата:

*14/100=4,2 тыс.руб.

в) общая:

+4,2=34,2 тыс.руб.

. Налоги с фонда оплаты труда:

,20*34,0/100=11,628 тыс.руб.

. Затраты на ГСМ:

*45/100=151 л.

*23*22=76,406 тыс.руб.

. Общая сумма затрат в месяц:

,2+11,628+76,406+3,6=125,834 тыс.руб.

Рассчитаем затраты на содержание автомобиля КАМАЗ:

. Расходы на заработную плату:

а) основная заработная плата:

,0 тыс.руб.

б) дополнительная заработная плата:

12,0*14/100=1,68 тыс.руб.

в) общая:

,0+1,68=13,68 тыс.руб.

Налоги с фонда оплаты труда:

,68*34,0/100=4,651 тыс.руб.

. Амортизация:

На=1/37*100=2,7%

аморт. =600*2,7/100=16,2 тыс.руб.

. Затраты на ГСМ:

*50/100=42 л.

*23*22=21,252 тыс.руб.

. Общая сумма затрат в месяц:

,68+4,651+16,2+21,252+1,5= 57,283 тыс.руб.

. Разница в затратах: 125,834-57,283=67,06 тыс.руб.

. Годовой экономический эффект рассчитывается по следующей формуле:

Эг=С-Ен*К (3.1)

Эг - годовой экономический эффект, С - изменение себестоимости, Ен - нормативный коэффициент экономической эффективности, К - вложенный капитал.

Эг=67,06*12-0,15*600=714,72 тыс.руб.

Результаты расчетов сведем в табл. 3.3.

Таблица 3.3 - Соотношение затрат на содержание автомобилей ЗИЛ

и КамАЗ

Показатели

ЗИЛ

КАМАЗ

Отклонение (+,-)

1

2

3

4

Заработная плата, тыс.руб.

34,2

13,68

-20,52

Налог с фонда оплаты труда, %

11,628

4,651

-6,977

Амортизация, тыс.руб.

 -

16,2

+16,2

Затраты на ремонт в мес., тыс.руб.

3,6

1,5

-2,1

Затраты на ГСМ, тыс.руб.

76,406

21,252

-55,154

Итого, тыс.руб.

125,834

57,238

-67,06


В связи с тем, что грузоподъемность автомобиля ЗИЛ 5 тонн, а автомобиля КамАЗ 15 тонн, КамАЗ может выполнить дневной грузооборот ЗИЛа - 560 т/км, пройдя расстояние меньше на 252 км.; а содержание в месяц одного автомобиля КамАЗ меньше, чем трех автомобилей ЗИЛ на 67,06 тыс.руб. Таким образом мероприятие по замене трех автомобилей ЗИЛ на один автомобиль КамАЗ является эффективным.

. Рассчитаем эффективность сдачи в аренду автомобильного автобетоносмесителя на шасси КамАЗ 7 куб.м. Данные для расчета эффекта воздействия программы по аренде в табл. 3.4.

Таблица 3.4 - Исходные данные для расчета эффективности

мероприятия

Показатель

Значение

1

2

Первоначальная стоимость оборудования, тыс. руб.

700,0

Стоимость аренды за месяц, тыс.руб.

55,0

Срок аренды, лет

0,5

Затраты на ремонт оборудования (4% от первоначальной стоимости), тыс.руб.

 28,0

Срок службы оборудования, мес.

 25

Затраты на заработную плату в мес., тыс.руб.

13,0


. Доход от аренды:

*6=330 тыс.руб.,

. Расходы на заработную плату:

а) основная заработная плата:

,0*6=78,0

б) дополнительная заработная плата:

,0*14/100=10,92 тыс.руб.

в) общая:

,0+10,92=79,92 тыс.руб.

3. Налоги с фонда оплаты труда:

79,92*34/100=27,173 руб.

. Норма амортизации:

На = 1/25*100= 4%,

*6 = 24%

аморт. =700,0*24 / 100 = 168,0 тыс.руб.

. Эффект:

,0 - 79,92 - 27,173 - 168,0= 54,907 тыс.руб.

Для более наглядного представления об изменении показателей использования основных производственных фондов ООО «Сибпромтехцентр».

Изменение показателей использования основных производственных фондов ООО «Сибпромтехцентр» после проведения предложенных мероприятий представим в таблице 3.5:

Таблица 3.5 - Изменение показателей использования основных фондов

Показатель

До мероприятия

После мероприятия

Отклонение (+,-)

Темп роста, %

Темп прироста, %

1

2

3

4

5

6

Объем строительных работ, тыс.руб.

71045

71589

+544

100,77

+0,77

Общие затраты, тыс.руб.

69519

68714

-805

98,84

-1,16

Валовая прибыль, тыс.руб.

2308

2454

+146

106,33

+6,33

Среднегодовая стоимость ОПФ, тыс.руб.

3935

3885

-50

98,73

-1,27

В т.ч. активная часть

2797

2647

-150

94,64

-5,36

Фондоотдача, руб.

18,06

18,82

+0,77

104,21

+4,21

Фондоотдача активной части, руб.

25,40

26,91

+1,51

105,94

+5,94

Фондоемкость, руб.

0,055

0,053

-0,002

96,36

-3,64

Рентабельность использования основных фондов, %

58,65

64,83

+6,18

110,54

+10,54


Объем строительных работ увеличился на 544 тыс.руб. вследствие увеличения выработки за счет проведения первого мероприятия. Общие затраты снизились на 805 тыс.руб. после замены трех автомобилей ЗИЛ на один автомобиль КамАЗ. Среднегодовая стоимость основных производственных фондов уменьшилась в связи с приобретением автомобиля КамАЗ стоимостью 700 тыс.руб. и ликвидацией трех автомобилей ЗИЛ на общую сумму 750 тыс.руб. Фондоотдача возросла 0,77 руб. а активной части на 1,51 руб. из-за увеличения объема строительных работ и снижения среднегодовой стоимости основных производственных фондов. Фондоемкость снизилась на 0,002 руб., а рентабельность основных фондов увеличилась на 6,18%.

Таким образом, применение на практике предлагаемых мероприятий будет эффективно и улучшит использования основных производственных фондов предприятия.

Заключение

Состояние и эффективное использование основных фондов непосредственно влияет на эффективность производства и результаты финансово-хозяйственной деятельности предприятия.

Данная работа посвящена анализу состояния и эффективности использования основных фондов на примере ООО “Сибпромтехцентр”, расположенного по адресу: 644015 г. Омск, ул. 22 Декабря 98.

Анализ проводился в динамике за 2009-2010 гг. В ходе анализа оценивалось техническое состояние основных фондов за данный период, их состав, структура, эффективность использования.

Анализ структуры основных фондов показал, что общая сумма в 2010 году по сравнению с 2009 годом увеличилась на 1280 тыс.руб. и составила 4575 тыс.руб. Сумма основных фондов по группе “Здания и сооружения не изменилась, а по группе “Рабочие машины” увеличилась на 468 тыс.руб. Наибольшее увеличение основных фондов на 793 тыс.руб. произошло по группе “Транспортные средства”, а наименьший удельный вес составляет “Вычислительная техника”. По сравнению с 2009 годом в 2010 году произошло увеличение суммы по этой группе на 19 тыс.руб.

По результатам анализа движения основных фондов можно сделать следующие выводы: поступление основных фондов в 2009 году составило 1444 тыс. руб., из них основная часть фондов (1262 тыс.руб.) поступила по группам “Транспортные средства”(995 тыс.руб.) и “Рабочие машины”(267 тыс.руб.). Большая часть основных фондов в 2009 году выбыла по группе “Рабочие машины” (325 тыс.руб.), а в 2010 году выбытие основных фондов произошло только по этим двум группам на сумму 23 тыс.руб. Наибольшее обновление в 2009 году произошло по группе “ Транспортные средства”, так как коэффициент обновления по данной группе составлял 76,2%, а в 2010 году 38,1%. Наибольший коэффициент выбытия в 2003 г. по группе “Рабочие машины” (35,4%). В 2010 г. произошло резкое уменьшение данных коэффициентов, как по всем основным фондам, так и по их активной части, так предприятие располагает оборудованием, пришедшим в негодное состояние, но не ликвидирует его. Произошло значительное снижение коэффициента прироста по группе “Транспортные средства”.

Степень влияния на фондоотдачу и фондовооруженность определялась с помощью факторного анализа методом цепных подстановок. В ходе анализа выяснилось, что на предприятии в течение данного периода имелись внутрисменные потери, и снизилась среднечасовая выработка. Несмотря на увеличение среднегодовой стоимости основных фондов, объем работ увеличился незначительно. Это связано с тем, что освоение поступивших основных фондов, а также ввод их в действие происходит медленно, а оборудование с большим сроком эксплуатации, пришедшее в негодное состояние не ликвидируется.

За счет этого недополучено продукции на сумму 29880,74 тыс.руб. Несмотря на то, что каждой единицей оборудования в 2010 году по сравнению с 2009 годом было отработано на 4 дня больше, недополучено продукции на 1675,17 тыс.руб. За счет снижения среднечасовой выработки произошли потери объема производства на сумму 57939,92 тыс.руб.

Увеличение доли активной части основных производственных фондов на данном предприятии следует оценить положительно. Но за счет внутрисменных потерь снизилась часовая выработка, вследствие чего в целом уменьшилось производство продукции на сумму 59615,09 тыс. руб. Данный показатель является резервом увеличения выпуска продукции на предприятии.

Из-за увеличения доли активной части основных фондов должен был произойти рост объема строительных работ на сумму 29880,74 тыс.руб., а фактически объем производства увеличился только на 9306 тыс.руб., а фондоотдача снизилась. Это произошло в связи с тем, что освоение основных фондов на предприятии, а также ввод их в действие происходит медленно, а оборудование с истекшим сроком службы не ликвидируется.

Из-за внутрисменных потерь и снижения часовой выработки объем строительных работ снизился на 59615,09 тыс. руб. Ликвидируя влияние данных факторов, предприятие может увеличить объем строительных работ на 89495,83 тыс. руб.

По результатам анализа предложены следующие мероприятия:

1) Обучение еще одного работника на курсах “Машинист козлового крана”, с целью повышения коэффициента сменности с 0,8 до 1,6, а также для сокращения имеющихся внутрисменных простоев. Эффективность данного мероприятия составила 379,635 тыс. руб.

2) Частичная замена старых грузовых автомобилей на новый, более производительный. Эффективность данного мероприятия измеряется разницей в сумме затрат на обслуживание и техническое содержание нового автомобиля, которая составляет 67,06 тыс. руб.

) Сдача в аренду сроком на 6 месяцев простаивающего автомобильного бетоносмесителя. Эффективность от внедрения данного мероприятия составит 54,907 тыс. руб.

За счет предложенных мероприятий улучшились основные показатели использования основных производственных фондов: увеличился объем строительных работ, фондоотдача, в т.ч. активной части, а также рентабельность использования основных фондов и валовая прибыль; снизились общие затраты и фондоемкость продукции. Таким образом, внедрение предложенных мероприятий может повысить эффективность использования основных производственных фондов предприятия.

Библиографический список


1.       ГОСТ Р 1.0-2004 «Стандартизация в Российской Федерации. Основные положения» <http://www.know-house.ru/gost/files/N487983-4.zip>

.        ГОСТ 31251-2003 Конструкции строительные. Методы определения пожарной опасности. Стены наружные с внешней стороны <http://www.vashdom.ru/gost/31251-2003/>

.        Налоговый кодекс Российской Федерации (части первая и вторая): по состоянию на 1 октября 2010 года. - Новосибирск: Сиб. унив. изд-во, 2010. - 544 с.

4.   Общероссийский классификатор основных фондов ОК 013-94

.    Россия в цифрах. 2010: Краткий статистический сборник / Росстат - M., 2010. - 558 с.

6.  Анализ хозяйственной деятельности в промышленности: Учебник / Н.А. Русак, В.И. Стражев и др. - Мн.: Высш. Школа., 2005. - 398 с.

8.       Архипов А.И. Экономический словарь. - 2-е изд. - М.: Проспект, 2010, - 672 с.

.        Астахов В. П. Бухгалтерский (финансовый) учет: Учебное пособие. - Москва: ИКЦ «Март», 2006. - 960 с.

10.  Астринский Д. Проблемы воспроизводства основных фондов / Д. Астринский. - М.: Пресса, 2007. - 358 с.

11.     Базылев Н.И. Макроэкономика. - Мн.: Современная школа, 2007. - 288 с.

.        Баканов М.И., Шеремет А.Д. Теория экономического анализа. - М.: Финансы и статистика, 2008. - 416 с.

13.  Берзинь И.Э., Пикунова С.А. Экономика предприятия: Учеб. для вузов. - М.: Дрофа, 2006, - 368 с.

.      Большой энциклопедический политехнический словарь / Автор: Коллектив авторов. - Издательство: Мультитрейд Год: 2004 Формат: iso

15.     Бондарь А.В. Макроэкономика. Учебное пособие. - Мн.: БГЭУ, 2009. - 415 с.

16.  Бондарец А.В., Скосырева Н.П. Экономика организаций (предприятий) Учебное пособие / ВолгГТУ. - Волгоград, 2006. - 214 с.

17.     Борисов Е.Ф. Экономическая теория: учебник. - М.: Юрайт-М, 2002. - 384 с.

18.  Бороненкова С.А. Управленческий анализ. - М.: Финансы и статистика, 2004. - 384 с.

19.     Вавилов Ю.Я., Грязнова А.Г., Маркина Е.В., Орланюк-Малицкая Л.А. Финансы. - М.: Финансы и статистика, 2007. - 504 с.

20.  Волков Ф.М. Повышение эффективности основных производственных фондов / Ф.М. Волков, И.Т. Кошкин. - М.: МГУ, 2002. - 220 с.

21.  Ворст И., Ревентлоу П. Экономика фирмы. - М.: Высшая школа, 2003. - 312 с.

22.     Годин А.М. Маркетинг. - М.: Дашков и К, 2008. - 756 с.

.        Гордиенко Ю.Ф., Обухов Д.В., Зайналабидов М.С. Менеджмент. - Р-н-Д.: Феникс, 2006. - 235 с.

.        Грузинов В.П. Грибов В.Д. Экономика предприятия. Учебное пособие. - М.: Финансы и статистика, 2006, - 208 с.

.        Добросердова И.И., Попова Р.Г., Самонова И.Н. Финансы предприятий. - СПб.: Питер, 2008. - 208 с.

.        Ермаков Е.В. Менеджмент организации. - М.: МПСИ, 2007. - 208 с.

27.  Ефимова О.В. Финансовый анализ. - М.: Издательство “Бухгалтерский учет”, 2009. - 352 с.

28.  Зенкина И.В. Теория экономического анализа. - М.: Дашков и К, 2008. - 208 с.

29.     Иванова А.И. Менеджмент. - М.: ПРИОР, 2008. - 128 с.

.        Камаев В.Д. Основы экономики. - М.: Владос, 2005. - 158 с.

.        Капканщиков С.Г. Макроэкономика. - М.: КноРус, 2008. - 400 с.

.        Киселева Е.А. Макроэкономика. Экспресс-курс. - М.: КноРус, 2009. - 384 с.

.        Корсаков М.Н. Экономика предприятия. - Таганрог: Изд-во ТРТУ, 2005 - 528 с.

.        Котлер Ф. Основы маркетинга. - М.: Вильямс, 2008. - 656 с.

.        Красникова Е.Л. Экономика переходного периода. - М.: Омега-Л, 2008. - 341 с.

.        Кузнецов Б.Т. Макроэкономика. - М.: Юнити, 2009. - 463 с.

.        Куликов Л.М. Основы экономической теории. - М.: Финансы и статистика, 2009. - 400 с.

.        Курс экономической теории: Общие основы экономической теории. Микроэкономика. Макроэкономика. Основы национальной экономики: учебное пособие для студентов вузов / Рук. авт. коллектива и науч. ред. А.В. Сидоровича; МГУ им. М.В. Ломоносова. - М.: Изд-во «Дело и Сервис», 2007. - 1040 с.

.        Курс экономической теории: учебник / Под общей редакцией Чепурина М.Н., Киселевой Е.А. - Киров: «АСА», 2007. - 848 с.

.        Лифшиц А.С. Управленческие решения. - М.: Кнорус, 2009. - 248 с.

.        Лябушин Н.П. Анализ финансово-экономической деятельности предприятия: Уч. пос. для ВУЗов / Н.П. Лябушин. - М.: ЮНИТИ, 2003. - 470 с.

.        Маховикова Г.А. Микроэкономика. - М.: Эксмо, 2009. - 224 с.

.        Микроэкономика. Учебник. В 3 т. / Под ред. В.М. Гальперина. - М.: Омега-Л, 2008. - 1040 с.

.        Николаева И.П. Основы экономической теории. - М.: Юнити, 2002. - 231 с.

.        Основы экономики и управления. / Под ред. Н.Н. Кожевникова. - М.: Academia, 2007. - 272 с.

.        Основы экономики. Учебное пособие для СПО. / Под ред. Б.И. Табачникаса. - М.: Вита-Пресс, 2000. - 464 с.

.        Пенюгалова А.В. Теория экономического анализа. - Ростов-на-Дону.: Феникс, 2008. - 183 с.

.        Перевозчикова Е.М. Учет основных средств в 2011. //«Российский бухгалтер». 2011. - №1 - http://www.rosbuh.ru/article.asp?rba_id=3037

.        Предпринимательство. Учебник / Под ред. М.Г. Лапусты. - М.: ИНФРА-М, 2002. - 520 с.

.        Полякова Е.В. Налоговый учет основных фондов. // Налоговый учёт для бухгалтера - 2009 - №2 - с. 17-19.

.        Положение по бухгалтерскому учету "Учет основных средств" (ПБУ 6/2001).

.        Пястолов С.М. Экономический анализ деятельности предприятия. Учеб. пос. для ВУЗов. - М.: Академический проект, 2004. - 576 с.

.        Раицкий К.А Экономика организации: Учебник. - М.: «Дашков и К0», 2003.

.        Рубцов И.В. Финансы организации (предприятия). - М.: Элит, 2006. - 448 с.

.        Савицкая Г.В. «Анализ хозяйственной деятельности предприятия» - М, изд-во «Экоперспектива», 2001.

.        Савченко П.В. Национальная экономика. - М.: Экономистъ, 2007. - 864 с.

.        Сафрончук М.В. Микроэкономика. - М.: КноРус, 2009. - 256 с.

.        Сергеев И.В. Экономика предприятия: Учеб. пособие. - М.: Финансы и статистика, 2003. - 304 с.

.        Слабов С.С. Основы менеджмента. - М.: Изд. МГУ, 2004. - 224 с.

.        Тебекин А.В. Менеджмент организации. - М.: Кнорус, 2008. - 416 с.

61.  Хунгуреева И.П., Шабыкова Н.Э., Унгаева И.Ю. Экономика предприятия: Учебное пособие. - Улан-Удэ, Изд-во ВСГТУ, 2004. - 240 с.

.      Шеремет А.Д. Теория экономического анализа. - М.: Инфра-М, 2008. - 367 с.

63.     Шестакова К.Д. Микроэкономика. - М.: ПРИОР, 2004. - 126 с.

.        Шуляк П.Н. Финансы предприятия. - М.: Дашков и К, 2009. - 624 с.

.        Шухгальтер М.М. Состояние основных фондов тормозит развитие экономики //«Экономика бизнеса» - 2010. - №09 (9275). - http://www.eg-online.ru/article/51194/

.        Экономика и право. Энциклопедический словарь - Издательство: Дашков и Ко, 2007 г. - 568 с.

.        Экономика предприятия: Учебник для вузов / Под ред. проф. В.Я. Горфинкеля, проф. В.А. Швандара. -3-е изд., перераб. и доп. - М.: ЮНИТИ-ДАНА, 2006. -718 с.

.        Экономическая теория: учеб. пособие / Под ред. А. Г. Грязновой, В. М. Соколинского. - 2-е изд. - М.: КНОРУС, 2005. - 464 с.

.        Эриашвили Н.Д., Симагина С.Г. Книгоиздание. Менеджмент. Маркетинг. - М.: Юнити, 2009. - 351 с.

.        Ямпольская Д.О., Зонис М.М. Менеджмент. - СПб.: ИД "Нева", 2005. - 288 с.

.        http://www.aup.ru/articles/finance/2.htm

Похожие работы на - Повышение эффективности использования основных производственных фондов на предприятии ООО 'Сибпромтехцентр'

 

Не нашли материал для своей работы?
Поможем написать уникальную работу
Без плагиата!
Без нейросетей!