Пути улучшения использования основных средств предприятия в современных условиях хозяйствования (на материалах ОАО 'Автоагрегат')

  • Вид работы:
    Дипломная (ВКР)
  • Предмет:
    Эктеория
  • Язык:
    Русский
    ,
    Формат файла:
    MS Word
    1,93 Mb
  • Опубликовано:
    2011-08-21
Вы можете узнать стоимость помощи в написании студенческой работы.
Помощь в написании работы, которую точно примут!

Пути улучшения использования основных средств предприятия в современных условиях хозяйствования (на материалах ОАО 'Автоагрегат')


 

 

 

 

 

 

 

 

 

Курсовая работа

по дисциплине Экономика предприятия

тема: Пути улучшения использования основных средств предприятия в современных условиях хозяйствования (на материалах ОАО «Автоагрегат»)

Введение

Для нормального функционирования предприятия, необходимо наличие определенных средств и источников. Основные средства - это часть имущества, используемая при производстве продукции, выполнении работ или оказании услуг, либо для управления организацией.

На протяжении длительного периода использования основные средства поступают на предприятие и передаются в эксплуатацию; изнашиваются в результате эксплуатации; подвергаются ремонту, при помощи которого восстанавливаются их физические качества; перемещаются внутри предприятия; выбывают с предприятия вследствие ветхости или нецелесообразности дальнейшего использования.

Актуальность данной темы заключается в том, что основные средства играют огромную роль в процессе труда, так как они в своей совокупности образуют производственно-техническую базу и определяют производственную мощность предприятия.

Объектом исследования является ОАО «Автоагрегат»).

Предмет исследования - основные средства.

Целью написания курсовой работы является разработка мероприятий по эффективному использованию основных средств ОАО «Автоагрегат».

Из поставленной цели вытекают следующие задачи:

исследовать основные средства, как часть имущества предприятия;

оценить использование основных средств ОАО«Автоагрегат» за 2007-2009 г.г;

разработать мероприятия по эффективному использованию основных средств ОАО «Автоагрегат».

Наиболее полная реализация потенциала, заложенного в основных средствах, возможна при условии комплексного использования всех резервов повышения эффективности их применения в процессе создания продукции и услуг.

1. Основные средства, как часть имущества предприятия

.1 Понятие основных средств и их классификация

Основные средства играют огромную роль в процессе труда, так как они в своей совокупности образуют производственно-техническую базу и определяют производственную мощность предприятия.

Основные средства (фонды) представляют собой совокупность материально-вещественных объектов и ценностей, действующих в неизменной натуральной форме в течение длительного периода. Это средства, создающие материально-техническую основу и условия производственно-хозяйственной деятельности предприятия. Основные средства подразделяются на производственные и непроизводственные [2;с.67].

Отличительной особенностью основных средств является их многократное использование в процессе производства, сохранение первоначального внешнего вида (формы) в течение длительного периода. Под воздействием производственного процесса и внешней среды они постепенно изнашиваются и переносят свою первоначальную стоимость на затраты производства путем начисления износа (амортизации) по установленным нормам, чтобы за срок полезного использования эту стоимость возместить.

Срок полезного использования представляет собой период времени, в течение которого использование основных средств должно приносить доход или служить для выполнения целей деятельности предприятия. Он определяется предприятием самостоятельно, исходя из ожидаемого срока использования и физического износа, зависящего от режима эксплуатации (количества смен), естественных условий и влияния среды и т.п. [3;с.22].

Основные средства предприятия разнообразны по составу и назначению. К основным средствам относятся: здания, сооружения, рабочие и силовые машины и оборудование, измерительные и регулирующие приборы и устройства, вычислительная техника, транспортные средства, инструмент, производственный и хозяйственный инвентарь и принадлежности, рабочий, продуктивный и племенной скот, многолетние насаждения, внутрихозяйственные дороги и прочие соответствующие объекты [9;с.197].

. Здания производственно-технические, служебные и другие, предназначенные для размещения основных, вспомогательных и подсобных производств. К этой группе относят здания заводоуправления, лабораторий, складов, котельных, овощехранилищ и др.

. Сооружения - инженерно-строительные объекты, обслуживающие производство (водопроводные, гидротехнические, канализационные, очистные сооружения, водонапорные башни, дороги, ограждения, плотины и т.д.).

. Передаточные устройства, с помощью которых производится передача электрической, тепловой или механической энергии от машин-двигателей к рабочим машинам (электросети, теплосети), а также передача жидких и газообразных веществ (газопроводы, водопроводные сети и т.д.).

. Машины и оборудование, в том числе:

.1. Силовые машины и оборудование. К ним относят машины-генераторы для производства электрической и тепловой энергии, а также машины-двигатели и др.

.2. Рабочие машины и оборудование - средства труда, которые изменяют форму, свойства или состояние материала. К ним относят орудия производства, предназначенные для механического, термического, химического, электрического воздействия на предмет труда (металлорежущее, прессовое, химическое, электросварочное оборудование и т.д.).

.3. Измерительные и регулирующие приборы и устройства и лабораторное оборудование. В эту группу включают приборы и аппараты, используемые в производстве для автоматического управления, измерения, регулирования и контроля температуры, давления, скорости, массы.

.4. Вычислительная техника. К ней относят различные ЭВМ, управляющие, аналоговые и цифровые вычислительные устройства, а также периферийное оборудование для сбора, фиксации и передачи информации.

. Транспортные средства. К ним относят средства внутрицехового и внутрипроизводственного, межцехового и внепроизводственного транспорта (конвейеры, электрокары и др.). Транспортные средства служат для перемещения людей, средств и предметов труда.

. Инструмент. В эту группу включают режущий, измерительный инструмент, пресс-формы, приспособления к машинам и станкам, срок службы которых более года или стоимость которых свыше 100-кратного размера минимальной месячной оплаты труда за единицу, независимо от срока службы.

. Производственный и хозяйственный инвентарь и принадлежности. В эту группу включают предметы производственного, хозяйственного и конторского назначения: столы, верстаки, контейнеры, пишущие машинки, счетные приборы и т.д.

. Земельные участки и предметы природопользования [3;с.24].

В составе основных средств учитываются также: капитальные вложения на коренное улучшение земель (осушительные, оросительные и др.); капитальные вложения в арендованные объекты основных средств; земельные участки, объекты природопользования (вода, недра и другие природные ресурсы [5;с.2].

Основные средства подразделяются на производственные и непроизводственные.

К производственным основным средствам (фондам) относят здания, сооружения, оборудование, машины, транспортные средства и другие объекты, функционирующие в сфере материального производства. Сохраняя первоначальную натуральную форму, они перекосят свою стоимость на изготовляемую или добываемую с их участием продукцию, выполняемые работы или оказываемые услуги частями в сумме начисленной амортизации (износа).

Объекты основных средств, функционирующие в отраслях непроизводственной сферы (жилищно-коммунальное хозяйство, учреждения науки, культуры, здравоохранения и т. п.), предназначены для непроизводственного потребления; амортизация по ряду объектов включается в расходы на содержание соответствующих подразделений предприятия или самостоятельных учреждений [2;с.67].

По принадлежности основные средства подразделяются на 1) собственные и 2) арендованные. Собственные основные средства предприятия числятся у него на балансе, а арендованные принадлежат другому предприятию и эксплуатируются предприятием временно за определенную плату.

По характеру участия в производственном процессе основные средства делятся на активную и пассивную части. К активной части основных средств относятся средства, непосредственно воздействующие на предмет труда -оборудование, машины, приборы, инструменты. Так как производственная мощность и производительность труда зависят от величины активной части основных средств, то следует стремиться к повышению их удельного веса.

К пассивной части относятся основные средства, содействующие производственному процессу: здания, сооружения, передаточные устройства, инвентарь и принадлежности.

Соотношение стоимости отдельных групп основных средств к их общей стоимости характеризует структуру основных средств.

В машиностроении велик удельный вес зданий - 36,7%, рабочих машин и оборудования - 41%, в то время как по промышленности в целом он составляет соответственно 27,9% и 29,2%. Удельный вес сооружений 6,5%, передаточных устройств 3,7%, силовых машин и оборудования 2,3% ниже, чем по промышленности: 18,8%; 10,6%; 7,5%. Эти различия объясняются спецификой технологических процессов в машиностроении [3;с.25].

На структуру основных средств влияют:

тип производства;

характер выпускаемой продукции - габариты, вес, количество деталей;

технический уровень предприятия;

географическое размещение и климатические условия.

Технологическая структура основных средств характеризуется удельным весом различных видов основных средств внутри определенной их группы.

Например, в группе металлорежущего оборудования определяется удельный вес станков с ЧПУ, агрегатных станков, автоматов и автоматических линий, гибких производственных систем.

Основные средства поступают на предприятие по следующим каналам:

как вклад в Уставный капитал одного из учредителей или в оплату акций акционерного общества;

путем приобретения (строительства) основных средств за плату через долгосрочные инвестиции;

в результате безвозмездной передачи от других юридических или физических лиц;

вследствие аренды (лизинга) с правом или без права выкупа. Основные средства могут выбывать с предприятия по следующим основным причинам:

невозможность дальнейшей эксплуатации из-за износа, ветхости путем списания объекта основных средств с баланса и его полной ликвидацией. Оформляется актом, который подписывается руководителем предприятия и главным бухгалтером;

реализация объекта другому физическому или юридическому лицу по договорным ценам. Сделка оформляется договором купли-продажи;

безвозмездная передача (дарение);

внесение в виде вклада в Уставный капитал другого предприятия;

сдача в долгосрочную аренду [3;с.23].

Таким образом, можно сделать вывод о том, что основные средства оказывают непосредственное воздействие на эффективность производства, качество работы и результаты всей финансово-хозяйственной деятельности предприятий.

1.2 Оценка основных средств на предприятии

Для правильного учета основных средств необходим единый принцип их денежной оценки. В хозяйственной практике различают первоначальную (балансовую) восстановительную, остаточную, ликвидационную и среднегодовую стоимости основных фондов.

Первоначальная стоимость основных средств включает все затраты по их возведению, сооружению и приобретению, включая проектно - изыскательские работы, благоустройство территории, расходы по доставке, монтажу и установке.

В первоначальную стоимость приобретенного оборудования входит его покупная стоимость, расходы на транспортировку, погрузку и разгрузку, страхование и хранение груза, таможенные пошлины, налоги, сборы и другие расходы [3;с.25].

Первоначальной стоимостью основных средств, приобретенных за плату, признается сумма фактических затрат организации на приобретение, сооружение и изготовление, за исключением налога на добавленную стоимость и иных возмещаемых налогов.

Фактическими затратами на приобретение, сооружение и изготовление основных средств являются:

суммы, уплачиваемые в соответствии с договором поставщику (продавцу), а также суммы, уплачиваемые за доставку объекта;

суммы, уплачиваемые организациям за осуществление работ по договору строительного подряда и иным договорам;

суммы, уплачиваемые организациям за информационные и консультационные услуги, связанные с приобретением основных средств;

таможенные пошлины и таможенные сборы;

невозмещаемые налоги, государственная пошлина, уплачиваемые в связи с приобретением объекта основных средств;

иные затраты.

Правильный учет основных средств должен обеспечить получение документально обоснованных данных о наличии и движении основных средств по местам их нахождения (эксплуатации), а в необходимых случаях и в разрезе лиц, ответственных за их сохранность, правильное начисление амортизации (износа), выявление результатов от реализации и другого выбытия объектов из эксплуатации. Важной задачей бухгалтерии является выявление излишних, неиспользуемых и неэффективно используемых объектов основных фондов и производственных площадей [2;с.68].

Единицей учета основных средств является инвентарный объект. Инвентарным объектом основных средств признается объект со всеми приспособлениями и принадлежностями или отдельный конструктивно обособленный предмет, предназначенный для выполнения определенных самостоятельных функций, или же обособленный комплекс конструктивно сочлененных предметов, представляющих собой единое целое и предназначенный для выполнения определенной работы.

В случае наличия у одного объекта нескольких частей, сроки полезного использования которых существенно отличаются, каждая такая часть учитывается как самостоятельный инвентарный объект [5;с.2].

Восстановительная стоимость основных средств определяется умножением первоначальной стоимости основных средств на соответствующий коэффициент пересчета. Коэффициенты пересчета балансовой стоимости основных средств в восстановительную зависят от периода их приобретения.

Восстановительная стоимость вносит единообразие в оценку одних и тех же основных средств, произведенных в разное время.

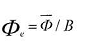
Остаточная стоимость основных средств представляет собой первоначальную или восстановительную стоимость за вычетом износа. Следовательно, остаточная стоимость показывает стоимость основных средств, которая еще не перенесена на производимую продукцию.

Остаточная стоимость рассчитывается по формуле 1.

                                  (1)

где фо- остаточная стоимость основных производственных фондов, руб.;

фп -первоначальная или восстановительная стоимость ОПФ, руб.;

Зк -затраты на капитальный ремонт за весь срок службы ОПФ, руб.;

А -норма амортизации, % ;

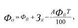
Т -срок, в течение которого используются ОПФ, годы. Среднегодовая стоимость основных фондов определяется на основе первоначальной стоимости с учетом их ввода и выбывших ОПФ по следующей формуле (2):

                                     (2)

где Сл - стоимость выбывших ОПФ в рассматриваемый период руб.;

N-число месяцев функционирования ОПФ, вводимых в рассматриваемом году;

Ni- число месяцев функционирования ОПФ, выбывающих в рассматриваемом году.

Основные фонды занимают, как правило, основной удельный вес в общей сумме основного капитала предприятия. От их количества, стоимости, технического уровня, эффективности использования во многом зависят конечные результаты деятельности предприятия: выпуск продукции, ее себестоимость, прибыль, рентабельность, устойчивость финансового состояния.

Анализ основных фондов может проводиться по нескольким направлениям, разработка которых в комплексе позволяет дать оценку структуры, динамики и эффективности использования основных средств и долгосрочных инвестиций.

Основные направления анализа основных средств и сопутствующие задачи, решаемые в рамках каждого направления представлены в таблице 1.

Таблица 1 - Направления анализа основных средств (ОС)

Основные направления анализа

Задачи анализа

Анализ структурной динамики ОС

Оценка размера и структуры вложений капитала в ОС Определение характера и размера влияния изменения стоимости ОС на финансовое положение предприятия и структуру баланса

Анализ эффективности использования ОС

Анализ движения ОС Анализ показателей эффективности использования ОС Анализ использования времени работы оборудования Интегральная оценка использования оборудования

Анализ эффективности затрат по содержанию и эксплуатации оборудования

Анализ затрат на капитальный ремонт Анализ взаимосвязи объема производства, прибыли и затрат по эксплуатации оборудования

Анализ эффективности инвестиций в ОС

Оценка эффективности капитальных вложений


Выбор направления анализа и решаемых аналитических задач определяется потребностями управления. Анализ структурной динамики основных средств, инвестиционный анализ составляют содержание финансового анализа. Оценка эффективности использования основных средств и затрат по их эксплуатации относятся к управленческому анализу, однако четкой границы между этими видами анализа, как выше уже отмечалось, нет.

Анализ затрат по содержанию и эксплуатации оборудования является составной частью анализа себестоимости продукции.

Методика проведения анализа основных средств нацелена на выбор наилучшего варианта их использования. Поэтому главными особенностями анализа являются: вариантность решений по использованию основных средств и нацеленность на перспективу.

Результатом лучшего использования основных фондов является, прежде всего, увеличение объема производства. Поэтому обобщающий показатель эффективности основных фондов должен строиться на принципе соизмерения производственной продукции со всей совокупностью примененных при ее производстве основных фондов. Это и будет показатель выпуска продукции, приходящейся на 1 рубль стоимости основных фондов, - фондоотдача. Для расчета величины фондоотдачи используется формула 3:

фо = В/Ф                                                   (3)

где Ф - среднегодовая стоимость ОПФ, руб.;

В - среднегодовая стоимость основных производственных фондов предприятия, руб.

Фондоотдача - важнейший показатель использования основных фондов. Повышение фондоотдачи - важнейшая народнохозяйственная задача в период перехода страны к рынку. Следует отметить, что в условиях научно-технического прогресса значительное увеличение фондоотдачи осложнено быстрой сменой оборудования, нуждающегося в освоении, а также увеличением капитальных вложений, направляемых на улучшение условий труда, охрану природы и т.п. Факторы, повышающие фондоотдачу, показаны на рисунке 1.

Рисунок 1 - Факторы роста фондоотдачи

Фондоемкость продукции - величина, обратная фондоотдаче. Она показывает долю стоимости основных фондов, приходящуюся на каждый рубль выпускаемой продукции. Если фондоотдача должна иметь тенденцию к увеличению, то фондоемкость - к снижению. Фондоемкость продукции есть величина, обратная фондоотдаче, которая определяется по формуле 4:

                                                 (4)

Ф - среднегодовая стоимость, руб;

В - годовая выручка от реализации продукции, руб.

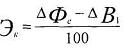
Фондоемкость - очень важный показатель, который органически связан с экономией капиталовложений или с их увеличением. При снижении фондоемкости продукции, но при росте или постоянной выручке от ее реализации наблюдается лучшее использование ОПФ, а, следовательно, появляются условия экономии капиталовложений. Это определяется по формуле 5:

                                       (5)

где Эк - экономия капиталовложений, руб./выручка;

∆ Фе изменения фондоемкости продукции в отчетном году по

сравнению с прошлым, руб.;

∆ В1 прирост выручки за отчетный период, руб.

Показатель фондоотдачи связан с производительностью труда и его фондовооруженностью, которая показана в формуле 6:

                                           (6)

где В - годовая выручка от реализации, руб.;

П - производительность труда, руб./чел.;

Np - среднегодовая численность работников, чел.;

Фво- фондовооруженность труда, руб./чел.

Основным условием роста фондоотдачи, как следует из формулы 3, является превышение темпов роста производительности над темпами роста фондовооруженности труда.

Таким образом, можно сделать вывод о том, что правильного учета основных средств необходим единый принцип их денежной оценки. Различают первоначальную (балансовую) восстановительную, остаточную, ликвидационную и среднегодовую стоимости основных фондов.

1.3 Амортизация и формы воспроизводства основные средств

Под влиянием времени, воздействием сил природы и в процессе эксплуатации основные средства постепенно изнашиваются. Они утрачивают свои первоначальные свойства, физические качества, снижаются их технико-эксплуатационные возможности, в результате уменьшается реальная балансовая стоимость основных средств. По экономическому содержанию различают два вида износа основных средств: физический и моральный.

Под физическим износом понимают постепенную утрату основными фондами своей первоначальной потребительной стоимости, происходящую не только в процессе их функционирования, но и при их бездействии (разрушение от внешних воздействий, атмосферного влияния, коррозии).

Моральный износ - это уменьшение стоимости машин и оборудования под влиянием сокращения общественно необходимых затрат на их воспроизводство (моральный износ первой формы); уменьшение их стоимости в результате внедрения новых, более прогрессивных и экономически эффективных машин и оборудования (моральный износ второй формы). Под влиянием этих форм морального износа основные фонды становятся отсталыми по своей технической характеристике и экономической эффективности. Он встречается в двух видах. Первый связан с тем, что из-за роста производительности труда и совершенствования производства цены на рынке на аналогичное оборудование, используемое на предприятии, снижаются. Его применение становится экономически невыгодным, так как конкурентоспособность снижается по сравнению с подобным оборудованием, но меньшей стоимости, используемым на другом предприятии [3;с. 26].

Второй вид морального износа возникает в связи с тем, что под влияние технического процесса появляются новые, более совершенные производственные и экономические машины, оборудование и т.п. Использование устаревших фондов на предприятии становится не выгодным, так как оно сдерживает рост производительности труда.

Основным источником покрытия затрат, связанных с обновлением основных фондов, в условиях перехода к рыночным отношениям, самофинансирования предприятий являются собственные средства предприятий. Они накапливаются в течение всего срока службы основных фондов в виде амортизационных отчислений.

Амортизация - это денежное возмещение износа основных фондов путем включения части их стоимости в затраты на выпуск продукции. Следовательно, амортизация есть денежное выражение физического и морального износа основных фондов. Амортизация осуществляется в целях полной замены основных фондов при их выбытии. Сумма амортизационных отчислений зависит от стоимости основных фондов, времени их эксплуатации, затрат на модернизацию.

Амортизацию (износ) начисляют ежемесячно по вновь принятым на учет основным средствам начиная с 1-го числа месяца, следующего за месяцем поступления. По выбывшим объектам начисление амортизации прекращают с 1-го числа месяца, следующего за месяцем выбытия из эксплуатации. Расчет производится исходя из 1/12 годовой нормы амортизации по выбывшим и вновь поступившим основным фондам. Техника начисления амортизации основных средств зависит от уровня механизации и автоматизации обработки учетной информации [2;с.85]

Отношение годовой суммы амортизации к стоимости основных фондов, выраженное в процентах, называется нормой амортизации. Исчисленная в процентах норма амортизации показывает, какую долю своей балансовой стоимости ежегодно переносят средства труда на создаваемую ими продукцию. По установленным нормам амортизационные отчисления включаются в себестоимость готовой продукции.

Важную роль в инвестировании средств в основные фонды играет прибыль. Это обусловливается тем, что в условиях рынка целью соблюдения независимости предприятия желательно использовать собственные средства. Характер распределения средств в основные фонды показан на рисунке 2.

Рисунок 2 - Кругооборот стоимости основных фондов

Основной признак предприятия наличия в его собственности, хозяйственном ведении или оперативном управлении обособленного имущества. Именно оно обеспечивает материально - техническую возможность функционирования предприятия, его экономическую самостоятельность и надежность. Без определенного имущества не могут осуществлять свою деятельность не крупные, не малые предприятия, не индивидуальные предприниматели.

Управление воспроизводством основного капитала является составной частью общей стратегии фирмы по обновлению ресурсов. В основе такой стратегии должен лежать принцип поддержания в рабочем состоянии ресурсов операционной производственной системы. Применительно к основному капиталу этот принцип предусматривает восстановление основных средств посредством ремонта, реконструкции и модернизации. При определении стратегии их проведения необходимо определить и выбрать оптимальное сочетание возможных инвестиционных проектов с учетом финансовых возможностей предприятия.

Существуют различные формы простого и расширенного воспроизводства основных фондов. Формы простого воспроизводства - замена устаревшего средства труда и капитальный ремонт. Предприятия имеют право создавать ремонтный фонд. Годовая сумма отчислений в ремонтный фонд определяется предприятием по самостоятельно утвержденным им нормативам. Этот фонд используется для финансирования всех видов ремонта основных фондов [3;с.28].

Процесс простого и расширенного воспроизводства основных производственных фондов, представлен на рисунке 3.

Рисунок 3 - Модель простого и расширенного воспроизводства основных средств.

К формам расширенного воспроизводства основных фондов относятся новое строительство, расширение действующих предприятий, их реконструкция и техническое перевооружение, модернизация оборудования.

Новое строительство - это процесс расширения производства на новых площадях. Расширение предприятия - строительство дополнительных производств на действующем предприятии, либо строительство или расширение существующих цехов. Реконструкция - это процесс, сочетающий обновление техники и переустройство пассивной части основных средств. В процессе реконструкции могут быть внесены существенные изменения в производственные ресурсы предприятия. Техническое перевооружение -процесс совершенствования производства на новой технической основе, приводящей к существенному повышению технического уровня производства и коренному улучшению экономических результатов производственной деятельности [3 ;с.28].

Каждая из этих форм решает определенные задачи, имеет преимущества и недостатки. За счет нового строительства вводятся в действие новые предприятия, на которых все элементы основных фондов соответствуют современным требованиям технического прогресса, решается проблема правильного размещения производительных сил по территории страны.

Формой расширенного воспроизводства основных фондов является и модернизация оборудования, под которой понимается его обновление в целях полного или частичного устранения морального износа второй формы и повышения технико-экономических характеристик до уровня аналогичного оборудования более совершенных конструкций.

Модернизация оборудования может проводиться по нескольким направлениям:

усовершенствование конструкций действующих машин, повышающее их режимные характеристики и технические возможности;

механизация и автоматизация станков и механизмов, позволяющие увеличить производительность оборудования;

перевод оборудования на программное управление. Модернизация оборудования экономически очень эффективна, если в результате ее проведения возрастает годовой объем производства, увеличивается производительность труда и снижается себестоимость продукции. При этом необходимо, чтобы рентабельность производства повышалась. Последнее может быть достигнуто, если относительный прирост прибыли будет больше, чем увеличение стоимости производственных фондов в результате затрат на модернизацию.

Существующие формы воспроизводства основных средств представлены на рисунке 4.

Рисунок 4 - Формы воспроизводства основных средств

Таким образом, из рисунка 4 видно, что существуют различные формы воспроизводства, каждой из которой соответствуют определенные мероприятия.

Повышение эффективности общественного производства зависит от лучшего использования основных фондов.

Процесс простого и расширенного воспроизводства основных средств осуществляется с помощью долгосрочных инвестиций.

Расширенное воспроизводство предполагает обновление основных средств в размерах, превышающих начисленную сумму износа. Источники воспроизводства основных средств представлены на рисунке 5.

Рисунок 5 - Источники воспроизводства основных средств

Источниками долгосрочных инвестиций могут быть: -собственные средства хозяйствующего субъекта;

привлеченные денежные средства, полученные от эмиссии ценных бумаг, паевых и иных взносов юридических и физических лиц;

денежные средства, поступающие в порядке перераспределения из централизованных инвестиционных, ассоциаций и других объединений;

долгосрочные кредиты банков;

средства иностранных инвесторов;

средства внебюджетных фондов;

средства федерального бюджета и бюджетов субъектов РФ.

Собственные средства хозяйствующего субъекта включают первоначальные взносы учредителей и часть денежных средств, полученных в результате финансово-хозяйственной деятельности - амортизационные отчисления и прибыль. Собственные средства предприятия являются основным источником финансирования воспроизводства основных средств. Основной собственный источник капитальных вложений - амортизация. По своей экономической сущности амортизация - это процесс постепенного перенесения стоимости средств труда по мере их износа на производимую продукцию, превращения в денежную форму и накопления ресурсов для последующего воспроизводства основных средств.

Другим важным источником финансирования воспроизводства основных средств является прибыль, остающаяся в распоряжении предприятия. Величина прибыли, направляемая на финансирование инвестиций, определяются предприятием самостоятельно.

Привлеченные финансовые средства включают денежные средства, полученные от размещения акций, взносов членов трудовых коллективов, юридических и физических лиц.

К заемным средствам относятся долгосрочные ссуды коммерческих банков, приобретение основных средств на основе финансового лизинга и инвестиционный налоговый кредит.

Под прочими источниками финансовых ресурсов понимаются другие доходы, отражаемые в финансовом плане предприятия, помимо вышерассмотренных. К прочим доходам предприятия могут относиться: средства ремонтного фонда; мобилизация ресурсов в капитальном строительстве; прибыль и экономия от снижения себестоимости строительно-монтажных работ, выполняемых хозяйственным способом; экономия от снижения цен на оборудование; временно свободные остатки фондов накопления и социального назначения; средства планируемые к получению по перераспределению финансовых ресурсов в системе и другие.

Таким образом, можно сделать вывод о том, что амортизация это денежное возмещение износа основных фондов путем включения части их стоимости в затраты на выпуск продукции. Сумма амортизационных отчислений зависит от стоимости основных фондов, времени их эксплуатации, затрат на модернизацию. Управление воспроизводством основного капитала является составной частью общей стратегии фирмы по обновлению ресурсов.

2. Технико - экономическая характеристика ОАО «Автоагрегат»

.1 Общая характеристика предприятия

Ливенский Автоагрегатный завод возник на базе Ливенского завода автонасосов в августе 1967 года. В начале 90-х годов ОАО «Автоагрегат» преобразовано в акционерное общество в результате приватизации государственного предприятия «Ливенский автоагрегатный завод».

Как акционерное общество образовалось 25 сентября 1992года. Полное наименование ОАО «Автоагрегат», зарегистрировано Постановлением главы администрации города Ливны №321 от 26 июня 1996года, регистрационный номер - 79.

Место нахождение общества: Россия, 303800, г. Ливны, Орловской области, ул. Индустриальная, 2а.

Предельный размер количества общих акций определяется общим собранием акционеров. В 1998 году была проведена конвертация акций, то есть все акции были переведены в обыкновенные.

ОАО «Автоагрегат» имеет линейно-функциональную структуру управления, в последнее время структура реконструировалась, что принесло предприятию только пользу.

Органом управления общества является общее собрание акционеров, совет директоров, генеральный директор (единоличный исполнительный орган) и ликвидационная комиссия.

Органом контроля за финансово-хозяйственной и правовой деятельностью предприятия является ревизионная комиссия.

Совет директоров, генеральный директор и ревизионная комиссия избираются общим собранием акционеров в порядке, предусмотренном уставом предприятия.

В данной организационной структуре управления преобладает вертикальное разделение труда, подчинения распределяются по должностям и руководителям, занимающим эти должности.

Целью общества является извлечение прибыли. Предприятие является юридическим лицом.

Экономико-географическое положение:

) размещение завода в городе Ливны обусловлено чрезвычайно благоприятным экономико-географическим положением по отношению к источникам получения сырья и полуфабрикатов, а также по возможностям обеспечения экономически целесообразных связей с головным предприятием;

) наличие контингента рабочих кадров с необходимыми трудовыми навыками. Имеются возможности для подготовки специалистов высшей и средней квалификации (машиностроительный техникум, институт, техническое училище, ПТУ);

Специализация ОАО «Автоагрегат» - производство фильтров и фильтрующих элементов для грузовых, легковых автомобилей, тракторов, сельскохозяйственных машин, газокомпрессорных станций и других устройств, где необходима очистка используемых сред от механических и иных загрязнений. Также предприятие производит строительные, монтажные, пуско-наладочные и отделочные работы; осуществляет производство товаров народного потребления; производство продукции производственно технического назначения. Организует торговлю и предпродажные подготовки автомототехники и номерных узлов, агрегатов.

Деятельность общества не ограничивается оговорённой выше деятельностью. Оно имеет гражданские права и несёт обязанности, необходимые для осуществления любых видов деятельности, не запрещённых федеральным законом.

Каждый год предприятие представляет новинки продукции, Номенклатура завода, фильтров и фильтрующих элементов очистки масла, топлива и воздуха, составляет более 400 наименований фильтров и фильтроэлементов очистки масла, топлива, воздуха на все виды авто и мототехники.

Продукция:

фильтры очистки масла ВАЗ 210107; 21213; УАЗ; РАФ; FIAT; SEAT; Skoda; болгар, дизел. автопогрузчики дв. 1792, 1794 серия «Rekord», М2141 ЗАЗ1102 «Таврия»; Москвич2141; Renault; FORD; Rover; Lancia; Skoda; SEAT; ВАЗ 2109, 2110, 21213, 111 «Ока». Комплектация;

фильтры очистки топлива КамАЗ, Урал, ЗИЛ. ГАЗдизель, БАЗ, ЛиАЗ, УАЗ3160, УАЗ3162. Дизельный двигатель Т450Д, автомобили семейства ГАЗ с инжекторным двигателем, автомобили семейства ВАЗ с инжекторным двигателем;

фильтры очистки воздуха КамАЗ, ЗИЛ133 ГЯ, Комбайны семейства «Дон1500Б» с двиг. ЯМЗ238, комбайны семейства «Дон680» с двиг. ЯМЗ238 ДК ЗИЛ645. Дизельный двигатель Д44251 «Алтайдизель»; КамАЗ7405 «Евро1» ЗИЛ5301 «Бычок». Комбайны семейства «Дон1500Б» с двиг. Д 46151. Холодильные установки. Дизельные двигатели ТМЗ450Д Урал, Краз, БелАЗ, УАЗ 3160;

Основными потребителями производимой предприятием продукции являются предприятия: ОАО «КамАЗ», АО «АвтоВАЗ», ОАО «Автомобильный завод «Урал», г. Миасс, ОАО ПО «Алтайский моторный завод», г. Барнаул, ООО «Комбайновый завод «Ростсельмаш», г. Ростов- на - Дону, ОАО «Красноярский комбайновый завод» г. Красноярск, Волгоградский тракторный завод, ОАО «Промтрактор», г. Чебоксары, АМО ЗИЛ, г. Москва, ОАО ГАЗ, г. Нижний Новгород, Волгоградский моторный завод и другие автомобильные и тракторные заводы, технические центры сервиса перечисленных предприятий. С 2003 года ОАО «Автоагрегат» поставляет фильтрующие элементы очистки воздуха двух наименований на сборочный конвейер «FORD MOTOR COMPANY ZAO» в г. Всеволжске Ленинградской области. ОАО «Автоагрегат» при осуществлении своей производственной деятельности должно учитывать данные экономические и социальные факторы с целью успешного развития в будущем. Но все же эти факторы не играют решающей роли в работе предприятия. Более значимыми для общества являются те рыночные условия, в которых оно работает. Предприятие постоянно отслеживает изменения, происходящие во внешней среде и стремится строить свою деятельность в соответствии с ее запросами, а также само воздействует на нее с целью адаптации к собственным потребностям. Рыночное окружение ОАО «Автоагрегат» состоит из поставщиков сырья и материалов, необходимых для производства фильтрующих элементов, потребителей продукции, конкурентов, производящих аналогичную продукцию и посредников, с помощью, которых осуществляется сбыт продукции и ее реклама.

2.2 Анализ хозяйственной деятельности ОАО «Автоагрегат» за 2007-2009 гг

На основании данных бухгалтерской отчетности проведем хозяйственный анализ деятельности предприятия в периоде 2007 - 2009 гг.. (Приложение А, Б. В). Данные расчета представлены в таблице Г.1 (Приложение Г).

Товарная продукция - это продукция, которая реализуется на сторону и не потребляется внутри предприятия.

Т = РП - (Ок + Он ) (7)

где: Т - товарная продукция, тыс. руб.;

РП - реализованная продукция, тыс. руб.;

Ок и Он - остаток на начало и конец отчетного периода, тыс. руб.

Резкий рост цен на материалы и энергоресурсы с одной стороны и появление на рынке конкурентов, сбивающих цены на готовую продукцию, привели к снижению товарной продукции. Затруднение сбыта продукции привело к сокращению ее объемов на 29506,69 тыс. руб. в 2008 году, на 105159,12 тыс. руб. в 2009 году, что в процентном соотношении представляет собой 30 %. Динамику изменения объема товарной продукции можно проследить на рисунке 6.

Рисунок 6 - Динамика изменения объема товарной продукции

Выручка от продажи продукции, товаров, работ и услуг с каждым годом снижается. Так в 2008 году снижение выручки составляет 36191,66 тыс. руб., а в 2009 году выручка снизилась на 76982,96 тыс. руб.

Эффективность использования основных фондов определяется не только наличием и составом основных фондов, но и полнотой их использования в течение отчетного периода. Для характеристики использования основных средств применяется система обобщающих показателей.

Фондоёмкость активной части основных фондов - стоимость машин, оборудования и прочих активных фондов, требующаяся для производства 1 рубля товарной продукции. Фондоёмкость, показатель обратный фондоотдачи:

Фе = Сср/N (8)

где: Фе - фондоемкость основных фондов;

Сср - среднегодовая стоимость основных средств;

N - объем товарной продукции.

Фондоотдача активной части фондов - количество продукции, выпущенной с 1 рубля машин, оборудования и прочих активных фондов рассчитывается по формуле

Фо = N/Сср (9)

где: Фо - фондоотдача;

N - объем продукции;

Сср - среднегодовая стоимость основных фондов.

Данный показатель показывает, что в 2007 году на каждый рубль основных средств приходилось 3.49 руб. реализованной продукции, в 2008 году 3.19 руб. в 2009 году 2.27 руб.

Динамику изменения фондоотдачи можно проследить на рисунке 7.

Рисунок 7 - Динамика изменения фондоотдачи

основной средство стоимость фондоотдача

На анализируемом предприятии величина фондоемкости в 2007 году составила 0,44, в 2008 году составила 0,29, в 2009 году 0,31. Показатель фондоемкости снижается в 2008 году. В 2008 году рост этого показателя составляет 7%, в 2009 году увеличение этого показателя на 52%.

Согласно данным бухгалтерской отчетности основные средства с каждым годом выбывают, так в 2008 году выбытие основных средств составит 11004,32 тыс. руб., а в 2009 году основных средств выбыло на 14808,4 тыс. руб.

Фондовооруженность труда - это показатель, который рассчитывается как отношение стоимости фондов к численности персонала. Этот показатель тесно связан с показателем фондоотодачи и производительности труда. Темп роста производительности труда должен быть выше этого показателя. На предприятии величина фондовооруженности увеличивается в 2008 году на 2,79, а в 2009 году увеличение этого показателя на 15,96 по сравнению с 2007 годом.

Производительность труда характеризует эффективность трудовой деятельности людей и определяется количеством продукции, производимой в единицу рабочего времени или затратами рабочего времени на единицу производимой продукции. Производительность труда определяется как отношение выручки от продажи продукции и среднесписочной численности персонала.

На рассматриваемом предприятии величина производительности труда в 2007 году составит 238,3 тыс. руб., в 2008 году - 255,19 тыс. руб./чел., в 2009 году - 241,4 тыс. руб./чел. В 2008 году производительность труда возросла на 16,89 тыс. руб./чел., в 2009 году возросла на 3,1 тыс. руб. Темп роста 2007 года составит - 7 %, в 2009 году темп роста составит - 1 %.

Чистые активы представляют собой реальный собственный капитал организации, поэтому эффективность использования чистых активов характеризуется показателем рентабельности собственного капитала. Рентабельность активов определяет границы и темп роста собственного капитала, рассчитывается по формуле

R =ЧПр/Сср.ч.а (10)

где: ЧПр - чистая прибыль;

Сср.ч.а - среднегодовая стоимость активов.

R2007 год = 1,98%

R2008 год = 2,91%

R2009 год = 6,34%

Как видно из расчетов, в 2008 году повысился уровень рентабельности на 0,93%, а в 2009 году - на 4,36%.

Рентабельность реализованной продукции показывает размер прибыли на 1 рубль реализованной продукции. Также оценим рентабельность основных средств предприятия, этот показатель рассчитывается исходя из чистой прибыли предприятия ОАО «Автоагрегат». Таким образом, рентабельность основных средств в 2007 году составил 6,45%, в 2008 году - 2,41%, в 2009 году - 22,27%. Рентабельность основных средств предприятия в 2008 году снизилась на 3,54%, это связано со снижением чистой прибыли, а в 2009 году наблюдается рост рентабельности на 15,82%, так как чистая прибыль предприятия в 2009 году возросла.

Проводим анализ прибыли предприятия ОАО «Автоагрегат» величина прибыли от продаж в 2008 году составит 24284,07 тыс. руб., а в 2009 году - 15394,27 тыс. руб., что говорит о снижении прибыли на 24% по сравнению с 2007 годом. По сравнению с 2007 годом прибыль в 2009 году снизилась на 16596,73 тыс. руб. или 52%.

Чистая прибыль отчетного периода в 2007 году составит 6441 тыс. руб., в 2008 году - 2590,27 тыс. руб., в 2009 году 18938,05 тыс. руб. Таким образом, в 2008 году снижение чистой прибыли составит 60%, а в 2009 году темп роста составит 194 %.

Прибыль до налогообложения в 2007 году составила 134926 тыс. руб., в 2008 году прибыль составит 8792,92 тыс. руб., что в процентном соотношение составит 37% снижение прибыли, в 2009 году прибыль до налогообложения составит 32806,57 тыс. руб. темп роста по сравнению с 2007 годом составит 136 %.

Из проведенного анализа можно сделать вывод, что предприятие в настоящий момент достаточно рентабельно, его работа проходит эффективно, причин для беспокойства нет.

2.3 Анализ эффективности использования основных средств ОАО «Автоагрегат»

Анализ основных средств может проводиться по нескольким направлениям, разработка которых в комплексе позволяет дать оценку структуры, динамики, и эффективности использования основных средств.

Основная задача анализа основных средств - определение состояния, движения и выявление основных источников финансирования воспроизводства.

Данные о наличие, износе и движения основных средств служит основным источником для оценки производственного потенциала ОАО «АВТОАГРЕГАТ».

Оценка движения основных фондов проводится на основе следующих показателей - коэффициентов поступления, обновления, выбытия. Для характеристики технического состояния основных фондов рассчитываются коэффициенты годности, износа, замены, а так же оценка эффективности их использования основанная на применении общей для всех видов ресурсов технологии оценки.

В процессе анализа использования производственных фондов предприятия ОАО «АВТОАГРЕГАТ» необходимо установить, какие изменения произошли с производственными фондами предприятия.

Анализ производственных фондов обычно начинается с изучения объема основных средств, их динамики и структуры, так как одним из важнейших факторов увеличения объема производства продукции на промышленных предприятиях является обеспеченность их основными фондами. Данные о наличие, износе и движения основных средств служит основным источником для оценки производственного потенциала ОАО «АВТОАГРЕГАТ».

Оценка движения основных фондов проводится на основе следующих показателей - коэффициентов поступления, обновления, выбытия. Для характеристики технического состояния основных фондов рассчитываются коэффициенты годности, износа, замены, а так же оценка эффективности их использования основанная на применении общей для всех видов ресурсов технологии оценки, которая предполагает расчет и анализ показателей фондоотдачи, фондоемкости, фондовооруженности.

Для анализа движения основных средств на ОАО «АВТОАГРЕГАТ», рассчитаем выше названные показатели за 2007-2009гг. по данным, представленным в таблице 2

Таблица 2- Движение основных фондов

Наименование показателя

Значение показателя, тыс. руб.


2007

2008

2009

Наличие на начало отчетного года

24128

24875

23507

Поступило (введено)

801

477

2840

Выбыло

54

1845

25

Наличие на конец отчетного периода

24875

23507

26322


Для характеристики состояния основных фондов, динамики и технического состояния рассчитывают: коэффициент выбытия основных фондов, определяемый по формуле:

Квыб.=                                     (11)

где В - стоимость выбывающих основных фондов за определенный период;

фиач - стоимость основных фондов на начало того же периода.

г.: Квыб.=  100% = 0,2%

г.: Квыб.=  100% = 7,4%

г.: Квыб.=  100% = 0,11%

Динамика коэффициента выбытия основных средств представлена на рисунке 8

Рисунок 8 - Динамика коэффициента выбытия основных средств за 2007-2009гг.

Таким образом, на основании произведенных выше расчетов можно сделать следующие выводы, что в 2007 и 2009 годах коэффициент выбытия имел небольшие и практически одинаковые значения (0,22% и 0,11%), а в 2009 году коэффициента выбытия основных средств возрос до максимального значения и составил 7,4 %.

Коэффициент обновления основных фондов, определяем по формуле:

Кобн. =                                                                 (12)

где Пн - стоимость введенных основных фондов за определенный период;

Фк - стоимость основных фондов на конец года того же периода.

г.: Кобн=  * 100% = 3,2%

г.: Кобн =  * 100% = 2,0%

г.: Кобн=  * 100% = 10,8%

Динамика коэффициента обновления основных средств за 2007-2009 гг. представлена на рисунке 9

Рисунок 9- Динамика коэффициента обновления за 2007-2009гт.

За исследуемый период коэффициент обновления основных фондов в 2007 и 2008 годах снижался, но в 2009 году произошло обновление основных фондов и коэффициент обновления составил 10,8 %. А это для предприятия ОАО «АВТОАГРЕГАТ» положительный фактор, так как значение основных средств -снижение расходов по содержанию, эксплуатации оборудования, снижению простоев, рост производительности труда, повышение качества продукции.

Для анализа эффективности использования активной части основных производственных фондов предприятия необходимо рассмотреть следующие показатели: фондовооружённость, фондоотдачу, фондоёмкость, техническую вооруженность.

Показатель фондовооружённости труда рабочего показывает стоимость основных средств, приходящаяся на одного рабочего:

Ob=OC/R, (13)

где ОС - среднегодовая стоимость основных средств;

R - среднегодовая численность рабочих.

Фво7= 17934/347 = 51,47

Фво8= 14560/379 = 47,9

Фво9= 15456/387 = 48,57

Показатель фондовооруженности активной части производственных фондов снизился в 2008 году на 3,57 в сравнении с 2007 годом, и увеличился на 0,66 или на 101,4% в 2009 году по сравнению с 2007 годом. Снижение этого показателя свидетельствует о том, что стоимость основных средств, приходящихся на одного рабочего в 2008 г. и 2009 г. меньше, чем в 2008 году.

Показатель фондоотдачи показывает, какая сумма выручки от продажи приходится на единицу стоимости основных средств.

Фо= Q /ОС, (14)

где Q - объем продукции.

Фо07= 106144/17934 = 4,33

Фо08= 124864/14560 = 5,16

Фо09= 135479/15456 = 5,44

Динамика фондоотдачи ОАО «АВТОАГРЕГАТ» представлена на рисунке 10.

Рисунок 10 - Показатель фондоотдачи ОАО «АВТОАГРЕГАТ» за 2007-2009 гг.

Данный показатель увеличился в 2008г. на 0,83 в сравнении с 2007 годом и в 2009 году на 0,28 в сравнении с 2008 годом, что свидетельствует об увеличении роста выпуска продукции.

Другой показатель эффективности использования средств - фондоемкость-показатель, обратный фондоотдаче.

Фв=1/Фо = ОС/Q (15)

Фв07 = 1 / 4,33 = 0,23

ФвО8= 1/5,16 = 0,19

ФвО9= 1/5,44 = 0,18

Из расчетных данных следует, что этот показатель снижается в 2008 году на 0,04 в сравнении с 2007 году и в 2009 году на 0,01 в сравнении с 2008 годом.

Это свидетельствует о том, что стоимость основных средств, приходящаяся на каждый рубль выручки от реализации продукции (работ, услуг) с каждым годом снижается.

Расчетные данные анализа эффективности использования основных средств предприятия занесем в таблицу 3.

Таблица 3 - Анализ эффективности использования основных средств

Показатель

2007 г

2008 г.

2009 г.

Абсолютное изменение

Относительное изменение Тпр, %

 

 

 

 

07/08

08/09

07/08

07/09

1 Объём реализованной продукции,тыс .руб.

106144

124864

135479

18720

10615

117,6

108,5

18680

16247

15008

-2433

-1239

87,0

92,4

3 Балансовая прибыльдыс.руб.

3357

595

-8490

-2762

-9085

17,7

-1426,9

4 Среднесписочная численность, чел

347

379

387

32

8

109,2

102,1

5 Фондовооруженность

51,47

47,90

48,57

-3,57

0,66

93,1

101,4

6 Фондоотдача

4,33

5,16

5,44

0,83

0,28

119,1

105,4

8 Фондоемкость

0,23

0,19

0,18

-0,04

-0,01

83,9

94,9


Для характеристики степени использования пассивной части фондов рассчитывают показатель выхода продукции на 1 м2 производственной площади, который в некоторой степени дополняет характеристику использования производственных мощностей предприятия. Повышение уровня данного показателя способствует увеличению производства продукции и снижению ее себестоимости. Данные для анализа использования производственной площади предприятия представлены в таблице 4.

Таблица 4 - Данные для анализа использования производственной площади предприятия ОАО «АВТОАГРЕГАТ»

Показатель

2008год

2009 год

Изменение

Объем производства продукции, тыс.руб. Производственная площадь, м2

134646 57350

125956 57368

-8690 + 18

В том числе площадь цехов, м2

17272

17290

+18

Удельный вес площади цехов в

0,30

0,30

-

общей производственной площади Выпуск продукции на 1 м2, тыс. руб.:




производственной площади

2,35

2,19

-0,16

площади цехов

7,8

7,28

-0,40


В 2009 году произошло увеличение площади цехов на 18 м2 и соответственно всей производственной площади за счет ввода в действие покрасочного участка.

Таким образом, можно сделать вывод, о том, что предприятие недостаточно полно использует не только активную, но и пассивную часть фондов. Неполное использование производственной мощности приводит к снижению объема выпуска продукции, росту ее себестоимости, так как больше постоянных расходов приходится на единицу продукции.

3. Разработка мероприятий по эффективному использованию основных средств ОАО «Автоагрегат»

.1 Основные направления повышения эффективности производственных фондов предприятия

В годовых планах каждого предприятия предусматривается улучшение использования основных производственных фондов, увеличение производственного потенциала на основе расширения, обновления и повышения технического уровня средств производства. Поэтому предприятие ОАО «АВТОАГРЕГАТ» должно разрабатывать комплексные мероприятия, обеспечивающие повышение эффективности использования производственных мощностей и основных фондов.

Экономическая сущность основных производственных фондов как средств труда, используемых при создании продукции и услуг, определяет значение улучшения их использования для наиболее полного удовлетворения потребностей. Основные фонды, участвуя в производственном процессе, интенсифицируют труд, делают его более производительным, способствуют экономии трудовых ресурсов, и издержек производства. Являясь материально -вещественной основой реализации достижений научно-технического прогресса, основные фонды обеспечивают решение одной из важнейших задач отрасли -они создают условия для повышения качества продуктов и услуг. В период становления рыночной экономики и развития конкуренции именно этот фактор часто является определяющим условием стабильного развития, расширения рынков сбыта, повышения конкурентоспособности и эффективности работы предприятий.

Наиболее полная реализация потенциала, заложенного в основных производственных фондах, возможна при условии комплексного использования всех резервов повышения эффективности их применения в процессе создания продукции и услуг. Наиболее общие и значимые направления улучшения использования ОПФ представлены на рисунке 11.

Рисунок 11 - Важнейшие резервы улучшения использования ОПФ

Повышение эффективности использования основных производственных фондов ОАО «АВТОАГРЕГАТ» можно достичь в первую очередь за счет:

) технического перевооружения и реконструкции предприятий, внедрения новой техники и технологии, экономически целесообразной модернизации и замены морально устаревшего оборудования;

) устранения внутриотраслевых и внутрипроизводственных диспропорций;

) роста коэффициента сменности работы оборудования, машин и механизмов, значительного снижения внутрисменных потерь рабочего времени, сокращения сроков капитального ремонта; увеличения в отраслях с прерывным характером производства продолжительности работы оборудования;

) более рационального использования оборудования, находящегося во вспомогательных цехах и производствах, вовлечения в производство бездействующего и неустановленного оборудования;

) ускорения освоения вновь введенных в действие мощностей и достижения проектных технико-экономических показателей в установленные нормативные либо более короткие сроки [9, с.220].

В мероприятиях по повышению эффективности использования производственных фондов должны быть полностью учтены производственные возможности ОАО «АВТОАГРЕГАТ» по дальнейшему углублению специализации, повышению уровня концентрации производства и развитию эффективных кооперированных связей. Наряду с указанными при разработке планов, следует предусматривать реализацию других направлений повышения эффективности использования производственных мощностей и основных фондов, с учетом отраслевых особенностей производства.

Одним из важнейших направлений повышения эффективности использования основных промышленно-производственных фондов ОАО «АВТОАГРЕГАТ» является обеспечение их наилучшей фондоотдачей. Уровень фондоотдачи характеризуется обобщающим показателем - объемом производства чистой, товарной (валовой) продукции на рубль среднегодовой стоимости фондов.

В объединениях, на предприятиях и в цехах промышленного производства мероприятия, направленные на повышение фондоотдачи разрабатываются с учетом влияния на ее уровень следующих факторов: повышения коэффициента сменности работы оборудования, сокращения сроков освоения производственных мощностей, снижения стоимости единицы мощности, увеличения доли активной части основных фондов в их общей сумме, улучшения использования трудовых ресурсов, сырья и материалов, возрастания технико-экономических показателей загрузки производственных мощностей и т. д. [4, с.78].

На повышение эффективности производства значительное влияние оказывает ускорение оборачиваемости нормируемых оборотных средств. С этой целью в цехах ОАО «АВТОАГРЕГАТ» необходимо проводить работу по:

снижению затрат сырья, материалов, топлива и других затрат на единицу продукции;

сокращению длительности технологического цикла производства продукции;

ликвидации сверхнормативных остатков сырья, материалов, топлива и т.д

Основными показателями ускорения оборачиваемости оборотных средств являются: увеличение количества оборотов, оборачиваемость в днях и снижение уровня затрат нормируемых оборотных средств.

На предприятии ОАО «АВТОАГРЕГАТ», а также в их структурных подразделениях особое внимание нужно уделять разработке и внедрению мероприятий, направленных на повышение эффективности капитальных вложений. Это, в свою очередь, позволяет получить максимальный прирост производства продукции на каждый рубль вложенных средств. Поэтому капитальные вложения следует направлять, прежде всего, на техническое перевооружение и реконструкцию основных фондов, внедрение мероприятий, позволяющих повысить технико-огранизационный уровень подготовки и развития производства в цехах. Повышение эффективности капитальных вложений зависит от срока их окупаемости [4, с.79].

Таким образом, можно сделать вывод о том, что наиболее полная реализация потенциала, заложенного в основных производственных фондах, возможна при условии комплексного использования всех резервов повышения эффективности их применения в процессе создания продукции и услуг.

3.2 Улучшение использования производственных фондов за счет переоснащения оборудования

В условиях расширенного воспроизводства и технического прогресса происходит постоянное пополнение и обновление основных средств, что происходит и в ОАО «АВТОАГРЕГАТ». Оно осуществляется в порядке капитальных вложений (строительства, монтажа, приобретения основных средств), безвозмездной передачи сторонними предприятиями и лицами, а также в результате дополнительных взносов по решению учредителей.

Производственные фонды не есть нечто постоянное. С изменением факторов, их определяющих, меняются и производственные фонды промышленного предприятия, поэтому они периодически должна пересматриваться. Однако для устойчивости планирования основные производственные фонды должны рассчитываться на более или менее продолжительный срок. [4, с. 105].

Интенсивный путь улучшения использования производственных фондов заключается в увеличении производительности оборудования в единицу времени и связан с совершенствованием технологических процессов. В различных цехах ОАО «АВТОАГРЕГАТ» имеются свои пути интенсификации производственных процессов: в литейном производстве интенсификации процесса выплавки чугуна и алюминия способствует внедрение машин литья под давлением, в механических цехах - внедрение силового и скоростного резания металла и т. д.

Экстенсивный путь улучшения использования производственных фондов заключается в увеличении времени работы оборудования в течение года, суток и смены. Прежде всего, должны быть ликвидированы внеплановые простои оборудования, связанные с авариями, поломками, отсутствием материалов и другими организационными недостатками. Во многих случаях время работы оборудования может быть увеличено за счет повышения сменности работы.

Большое значение имеет увеличение сроков межремонтного периода работы оборудования, которое достигается за счет более качественного ремонта, улучшения ухода за оборудованием и проведения профилактического осмотра и ремонта в то время, когда оборудование не работает. Увеличение времени работы оборудования обеспечивается сокращением времени ремонта без ухудшения его качества [4, с.112].

Выявив разницу в производительности передового и имеющегося на ОАО «АВТОАГРЕГАТ» оборудования, устанавливают возможное увеличение производственной мощности за счет внедрения новой техники, модернизации оборудования и списания старого оборудования.

Учет поступления и выбытия основных средств ведется в разрезе классификационных групп и инвентарных объектов. При поступлении основных фондов в эксплуатацию комиссией, назначаемой директором (управляющим) предприятия, оформляется акт приемки-передачи.

В акте приемки-передачи основных средств указываются характеристика объекта, его местонахождение, источник финансирования приобретения, год выпуска или постройки, дата ввода в эксплуатацию, результаты испытания объекта, его соответствие техническим условиям и др. Акт приемки-передачи основных средств составляют на каждый объект в отдельности. По общему акту, оформляющему приемку нескольких объектов, рекомендуется приходовать лишь хозяйственный инвентарь, инструменты, станки, если они однотипны, одинаковой стоимости и приняты одновременно. К акту приемки-передачи прилагается необходимая техническая документация (паспорта, спецификации, рабочие инструкции и т.п.

Каждому объекту основных средств, принятому на учет, присваивается инвентарный номер. Он сохраняется на все время эксплуатации объекта и обозначается на нем путем прикрепления металлического жетона, нанесения краски, насечки и т. и. Объекты основных средств обычно нумеруются по порядково-серийной системе, и номер указывается во всех первичных документах и регистрах бухгалтерского учета. Инвентарными номерами транспортных средств (электровозов, тепловозов, локомотивов) обычно служат номера, полученные на заводах-изготовителях, а у автомобильного транспорта и прицепов - знаки, присвоенные им госавтоинспекцией. Присваивать вновь поступившим основным средствам инвентарные номера выбывших объектов нельзя так как это может привести к путанице и ошибкам в учете.

Акт приемки-передачи основных средств с сопроводительными документами передается в бухгалтерию предприятия. На основании акта бухгалтерия открывает инвентарную карточку, где указывает инвентарный номер объекта и основные данные о нем (первоначальная или восстановительная стоимость, норма амортизационных отчислений, величина износа на момент оприходования и др.) [2, с.76].

Резервы мощности могут быть также приведены в действие за счет включения в работу всего имеющегося на предприятии парка машин, лучшей организации труда, снижающей внеплановые простои оборудования (своевременная подача материалов, инструмента, энергии и т. п.), улучшения качества и состава сырья, повышения технического и общекультурного уровня кадров.

Таким образом, можно сделать вывод о том, что уровень использования производственной мощности является важнейшей характеристикой напряженности плановых заданий объединений (предприятий) и их внутренних подразделений. Поэтому ввод в действие в ОАО «АВТОАГРЕГАТ» нового оборудования следует рассматривать как фактор их перспективного совершенствования.

3.3 Экономическая эффективность предложенного мероприятия

Разработка производственной программы предприятия связана с расчетом его производственной мощности. Производственная программа, как правило, предусматривает выпуск продукции в меньшем объеме, чем это позволяют производственные мощности. Последние, следовательно, показывают возможности увеличения выпуска продукции, что особенно важно для разработки перспективных планов [5, с. 105].

Ввод в действие нового оборудования следует рассматривать как фактор перспективно возможного увеличения производственной мощности за счет внедрения новой техники и модернизации оборудования.

Годовой тоннаж (входной) выработки 1 литьевой машины рассчитываем для агрегатов прерывного действия. Для агрегатов прерывного действия полезное время определяется числом календарных суток в году (без выходных и праздничных дней и дней остановки оборудования в связи с ремонтом), умноженным на число часов работы в сутки при установленной сменности и умноженным на суточный тоннах литьевой машины по формуле:

Мвх= [(К - Вв - Р) х С х Д - Н] х ( 1 - Т/100) х Q, (16)

где Мвх - Годовой тоннаж одной литьевой машины прерывного действия.

К = 366 - календарное количество дней в году;

Вв = 116 - число выходных и праздничных дней;

Р- число дней остановки оборудования на ремонт;

С - число смен в сутки;

Д - длительность смены в часах;

Н= 7 - число нерабочих часов в предпраздничные и предвыходные дни;

Т - процент ожидаемых текущих простоев;

Q = 0,7 - тоннаж литья в смену 1 машины.

Определим годовой тоннаж выработки 1 литьевой машины прерывного действия для Литейного цеха ОАО «АВТОАГРЕГАТ». Литьевая машина прерывного действия, работает в две смены продолжительностью по 7 часов, время на капитальный ремонт составляет 15 суток в году, а текущие простои - 10%. Полезный годовой фонд времени пресса определим по формуле 7:

Мвх= [(366 - 116 - 15) х 2 х 7 - 7] х ( 1 - 10/100) х 0,7 = 2068,3 тонн.

Определив годовой (входной) тоннаж выработки 1 литьевой машины, определим возможное увеличение производственной мощности за счет внедрения новой машины и списания старой. Среднегодовая мощность рассчитывается с учетом времени работы оборудования в течение года по формуле:

                                       (17)

где Мср - среднегодовая мощность,

Мвх - входная мощность (на начало планового периода),

Мвыб = (Мвхх k) - выбывающая мощность;

к = 0,3 - коэффициент остаточной мощности оборудования;

Мввод - вводимая мощность,

П1= 8 - количество месяцев, в течение которых в плановом периоде не используется выбывающая мощность,

п2 = 9 - количество месяцев, в течение которых в плановом периоде используется вводимая мощность,

- число месяцев в году [5, с. 106].

Среднегодовую мощность литейного производства определяем по формуле 14:

Мср - 2068,3 - (2068,3 х 0,3 х 8 / 12) + (2068,3 х 9 / 12) -2068,3 - 413,6 + 2070,3 = 3725 (тонн)

Таким образом, можно сделать вывод о том, что за счет внедрения новой литьевой машины в апреле месяце и списания старого оборудования в мае месяце произойдет улучшение использования производственных фондов за счет переоснащения оборудования и нарастание производственной мощности литейного производства с 2068,3 тонны до 3725 тонн.

Заключение

Основные средства (фонды) представляют собой совокупность материально-вещественных объектов и ценностей, действующих в неизменной натуральной форме в течение длительного периода. Это средства, создающие материально-техническую основу и условия производственно-хозяйственной деятельности предприятия. Основные средства подразделяются на производственные и непроизводственные.

Отличительной особенностью основных средств является их многократное . использование в процессе производства, сохранение первоначального внешнего вида (формы) в течение длительного периода. Под воздействием производственного процесса и внешней среды они постепенно изнашиваются и переносят свою первоначальную стоимость на затраты производства путем начисления износа (амортизации) по установленным нормам, чтобы за срок полезного использования эту стоимость возместить.

К основным средствам относятся: здания, сооружения, рабочие и силовые машины и оборудование, измерительные и регулирующие приборы и устройства, вычислительная техника, транспортные средства, инструмент, производственный и хозяйственный инвентарь и принадлежности, рабочий, продуктивный и племенной скот, многолетние насаждения, внутрихозяйственные дороги и прочие соответствующие объекты.

Различают первоначальную (балансовую) восстановительную, остаточную, ликвидационную и среднегодовую стоимости основных фондов.

Оценка движения основных средств на ОАО «АВТОАГРЕГАТ» проводится на основе следующих показателей - коэффициентов поступления, обновления, выбытия.

В результате анализа на предприятии ОАО «АВТОАГРЕГАТ» недостаточно полно использует не только активную, но и пассивную часть фондов. Неполное использование производственной мощности приводит к снижению объема выпуска продукции, росту ее себестоимости, так как больше постоянных расходов приходится на единицу продукции.

Наиболее полная реализация потенциала, заложенного в основных производственных фондах ОАО «АВТОАГРЕГАТ», возможна при условии комплексного использования всех резервов повышения эффективности их применения в процессе создания продукции и услуг. Поэтому ввод в действие в ОАО «АВТОАГРЕГАТ» нового оборудования следует рассматривать как фактор их перспективного совершенствования.

За счет внедрения новой литьевой машины в апреле месяце и списания старого оборудования в мае месяце произойдет улучшение использования производственных фондов за счет переоснащения оборудования и нарастание производственной мощности литейного производства с 2068,3 тонны до 3725 тонн.

Список использованных источников

.       Баканов М. И. Анализ хозяйственной деятельности в торговле.-М. «Экономика», 1990. - С.605.

2. Баканов, М.И. Теория анализа хозяйственной деятельности: Учебник./ М.И.Баканов, А.Д.Шеремет - М.: Финансы и статистика, 2000.

3.     Балабанов И. Т. Анализ и планирование финансов хозяйствующего субъекта. -М. «Финансы и статистика», 1994.- С. 340.

4.      Дубровский В.Ж., Чайкин Б.И. Экономика и управление предприятием (фирмой): Учебник. - Екатеринбург, 1998.- С.385.

.        Кожекин Г.Я., Синица Л.М. Организация производства. - Минск: ИП Экоперспектива, 1998.- С.125.

6. Лукин, В.П., Дудник, Т.А. Экономика предприятия : Курс лекций - Орел ГТУ, 2000.- с.58-63

7.     Раицкий К.А. «Экономика предприятия» [Текст]: Учеб для вузов.-2е изд., М.:Маркетинг, 2000.-696с.

.       Русак Н.А., Стражев В.И., Мигун О.Ф. и др. Анализ хозяйственной деятельности в промышленности. - 4-е изд., испр. и доп. - Мн.: Выш. шк., 1999.- 398с.

9.      Савицкая Г. В. Анализ хозяйственной деятельности предприятия. - Мн., М.: НП «Экоперспектива», 1998.-294с. Сбытовая политика фирмы: практическое пособие. - М.: ВНИИЭС, 1998.- С.240.

10.   Сергеев И.В. «Экономика предприятия»: Учеб. пособие.- М.:Финансы и статистика, 1997.-304с.

11.    Суша Г.З. «Экономика предприятия»: Учеб. пособие/Г.З. Суша.- М.: Новое знание, 2003-384с.

.        Хрипач В.Я. «Экономика предприятия» , Мн, НПЖ, «Финансы и аудит», 2000.-464с.

.        Швандор В.А.,. Горфиниель В.Я Экономика предприятия: Учебник для вузов (Под ред. Проф. В.Я. Горфиниеля, проф. В.А. Швандра) - 3-е изд.; перераб. и доп. - М.:ЮНИТИ - ДАНА, 2003, - 718с.

14.   Шеремет А.Д., Сайфулин Р.С. Методика финансового анализа. - М.: Инфра-М, 1995.

.       «Экономика предприятия»: Учебник для вузов/Под ред. И.О. Волкова.М.:Инфра-М,1998.-416с.

16.    «Экономика организаций»: Учеб для вузов/Под ред. В.Я. Горфинкеля, В.А. Швандара, М.: ЮНИТИ-ДАНА,2003.-608с.

17.   Экономика предприятия»: Учеб для вузов/Под общ. ред. Е.А. Кантора.- СПб.: Питер,2002.-352с.

.       Экономика предприятия: Учебник/ Под ред. проф. Н.А. Сафронова. - М.: «Юристъ», 1999 - 584с.

.       Экономика предприятия: Учеб./Под ред. Н.А. Сафронова, М.: Юрист, 2002. - 608с.

Похожие работы на - Пути улучшения использования основных средств предприятия в современных условиях хозяйствования (на материалах ОАО 'Автоагрегат')

 

Не нашли материал для своей работы?
Поможем написать уникальную работу
Без плагиата!
Без нейросетей!