Применение трансформаторов
СОДЕРЖАНИЕ
ВВЕДЕНИЕ
1.
ИСТОРИЯ СОЗДАНИЯ ТРАНСФОРМАТОРОВ
.
КЛАССИФИКАЦИЯ ТРАНСФОРМАТОРОВ
3.
ПРИНЦИП ДЕЙСТВИЯ И УСТРОЙСТВА ОДНОФАЗНЫХ И ТРЕХФАЗНЫХ ТРАНСФОРМАТОРОВ
3.1
Работа однофазного трансформатора вхолостую
.2
Работа однофазного трансформатора под нагрузкою
3.3
Принцип действия и устройства трехфазных трансформаторов
4.
СЕРДЕЧНИКИ ТРАНСФОРМАТОРОВ
4.1
Железо для сердечников
4.2
Форма сечения частей сердечника
4.3
Общая конструкция сердечников однофазных трансформаторов
4.4
Общая конструкция сердечников трехфазных трансформаторов
5.
ОБМОТКИ ТРАНСФОРМАТОРОВ
.1
Обмоточная медь
5.2
Типы обмоток
6.
ПРИМЕНЕНИЕ ТРАНСФОРМАТОРОВ И ОБОЗНАЧЕНИЕ В СХЕМАХ
.
ПРАВИЛА ЭКСПЛУАТАЦИИ
ЗАКЛЮЧЕНИЕ
СПИСОК
ИСПОЛЬЗОВАННОЙ ЛИТЕРАТУРЫ
ВВЕДЕНИЕ
Одним из главных положительных особенностей переменного тока является
легкость преобразования переменного тока одного напряжение в переменный ток
другого. Этот процесс осуществляется при помощи устройства под названием
трансформатор.
Трансформатор - статическое электромагнитное устройство, имеющее две или
более индуктивно связанные обмотки и предназначенное для преобразования
посредством электромагнитной индукции одной или нескольких систем переменного
тока в одну или несколько других систем переменного тока.
Изобретателем трансформатора является русский ученый П.Н. Яблочков. В
1876г. Яблочков использовал индукционную катушку с двумя обмотками в качестве
трансформатора для питания изобретенных им электрических свечей. Трансформатор
Яблочкова имел незамкнутый сердечник. Трансформаторы с замкнутым сердечником,
подобные применяемым в настоящее время, появились значительно позднее, в 1884г.
С изобретением трансформатора возник технический интерес к переменному току,
который до этого времени не применялся.
Трансформаторы широко применяются при передаче электрической энергии на
большие расстояния, распределении ее между приемниками, а также в различных
выпрямительных, усилительных, сигнализационных и других устройствах.
Преобразование энергии в трансформаторе осуществляется переменным
магнитным полем. Трансформатор представляет собой сердечник из тонких стальных
изолированных одна от другой пластин, на котором помещаются две, а иногда и
больше обмоток из изолированного провода. Обмотка, к которой присоединяется
источник электрической энергии переменного тока, называется первичной обмоткой,
остальные обмотки - вторичными.
Если во вторичной обмотке трансформатора намотано в три раза больше
витков, чем в первичной, то магнитное поле, созданное в сердечнике первичной
обмоткой, пересекая витки вторичной обмотки, создаст в ней в три раза больше
напряжение.
Применив трансформатор с обратным соотношением витков, можно так же легко
и просто получить пониженное напряжение.
С допустимой для практики точностью можно считать, что отношение числа
витков первичной обмотки к вторичной равно отношению приложенного напряжения к
выходному.
Это отношение, называемое коэффициентом трансформации, обычно сокращают
на меньшее из чисел, и тогда коэффициент трансформации получают в виде
отношения единицы к некоторому числу (1:4; 1:50) или, наоборот, некоторого
числа к единице (4:1; 50:1).
В радиоаппаратуре трансформаторы используются в первую очередь в питающих
устройствах, позволяющих питать приемники от осветительной сети переменного
тока. Такие трансформаторы называются силовыми.
Кроме того, трансформаторы используются для понижения и повышения
напряжения различной частоты в усилителях и радиоприемниках. Для низких
(звуковых) частот эти трансформаторы изготовляются с сердечниками из листовой
стали. Для токов сравнительно высокой частоты трансформаторы, как и катушки
индуктивности, делаются или совсем без стальных сердечников или с сердечниками
из магнетита, альсифера, карбонильного железа и других специальных металлов.
1. ИСТОРИЯ СОЗДАНИЯ ТРАНСФОРМАТОРОВ
Для создания трансформаторов необходимо было изучение свойств материалов:
неметаллических, металлических и магнитных, создания их теории.
Столетов Александр Григорьевич (профессор МУ) сделал первые шаги в этом
направлении - обнаружил петлю гистерезиса и доменную структуру ферромагнетика
(80-е). Братья Гопкинсоны разработали теорию электромагнитных цепей. В 1831
году английским физиком Майклом Фарадеем было открыто явление электромагнитной
индукции, лежащее в основе действия электрического трансформатора, при
проведении им основополагающих исследований в области электричества.
Схематичное изображение будущего трансформатора впервые появилось в 1831 году в
работах Фарадея и Генри. Однако ни тот, ни другой не отмечали в своём приборе
такого свойства трансформатора, как изменение напряжений и токов, то есть
трансформирование переменного тока.
В 1848 году французский механик Г. Румкорф изобрёл индукционную катушку.
Она явилась прообразом трансформатора.30 ноября 1876 года, дата получения патента
Яблочковым Павлом Николаевичем, считается датой рождения первого
трансформатора. Это был трансформатор с разомкнутым сердечником, представлявшим
собой стержень, на который наматывались обмотки. Первые трансформаторы с
замкнутыми сердечниками были созданы в Англии в 1884 году братьями Джоном и
Эдуардом Гопкинсон.
Большую роль для повышения надежности трансформаторов сыграло введение
масляного охлаждения (конец 1880-х годов, Д. Свинберн). Свинберн помещал
трансформаторы в керамические сосуды, наполненные маслом, что значительно
повышало надежность изоляции обмоток. С изобретением трансформатора возник
технический интерес к переменному току. Русский электротехник Михаил Осипович
Доливо-Добровольский в 1889 г. предложил трёхфазную систему переменного тока, построил
первый трёхфазный асинхронный двигатель и первый трёхфазный трансформатор. На
электротехнической выставке во Франкфурте-на-Майне в 1891 г.
Доливо-Добровольский демонстрировал опытную высоковольтную электропередачу
трёхфазного тока протяжённостью 175 км. Трёхфазный генератор имел мощность 230
КВт при напряжении 95 В.
год можно считать началом производства силовых трансформаторов в СССР,
когда начал работать Московский трансформаторный завод (впоследствии -
Московский электрозавод).В начале 1900-х годов английский
исследователь-металлург Роберт Хедфилд провёл серию экспериментов для
установления влияния добавок на свойства железа. Лишь через несколько лет ему
удалось поставить заказчикам первую тонну трансформаторной стали с добавками
кремния.
Следующий крупный скачок в технологии производства сердечников был сделан
в начале 30-х годов XX в, когда американский металлург Норман П. Гросс
установил, что при комбинированном воздействии прокатки и нагревания у
кремнистой стали появляются незаурядные магнитные свойства в направлении
прокатки: магнитное насыщение увеличивалось на 50 %, потери на гистерезис
сокращались в 4 раза, а магнитная проницаемость возрастала в 5 раз.
2. КЛАССИФИКАЦИЯ ТРАНСФОРМАТОРОВ
Силовой
трансформатор
Силовой трансформатор - трансформатор, предназначенный для преобразования
электрической энергии в электрических сетях и в установках, предназначенных для
приёма и использования электрической энергии.
Автотрансформатор
Автотрансформа́тор - вариант трансформатора, в котором первичная и
вторичная обмотки соединены напрямую, и имеют за счёт этого не только
электромагнитную связь, но и электрическую. Обмотка автотрансформатора имеет
несколько выводов (как минимум 3), подключаясь к которым, можно получать разные
напряжения. Преимуществом автотрансформатора является более высокий КПД,
поскольку лишь часть мощности подвергается преобразованию - это особенно
существенно, когда входное и выходное напряжения отличаются незначительно.
Недостатком является отсутствие электрической изоляции (гальванической
развязки) между первичной и вторичной цепью. Применение автотрансформаторов
экономически оправдано вместо обычных трансформаторов для соединения эффективно
заземленных сетей с напряжением 110 кВ и выше при коэффициентах трансформации
не более 3-4.Существенным является меньший расход стали для сердечника, меди
для обмоток, меньший вес и габариты, и в итоге - меньшая стоимость.
Трансформатор
тока
Трансформа́тор то́ка - трансформатор, питающийся от
источника тока. Типичное применение - для снижения первичного тока до величины,
используемой в цепях измерения, защиты, управления и сигнализации. Номинальное
значение тока вторичной обмотки 1А , 5А. Первичная обмотка трансформатора тока
включается в цепь с измеряемым переменным током, а во вторичную включаются измерительные
приборы. Ток, протекающий по вторичной обмотке трансформатора тока, равен току
первичной обмотки, деленному на коэффициент трансформации.
Трансформатор
напряжения
Трансформатор напряжения - трансформатор, питающийся от источника
напряжения. Типичное применение - преобразование высокого напряжения в низкое в
цепях, в измерительных цепях и цепях РЗиА. Применение трансформатора напряжения
позволяет изолировать логические цепи защиты и цепи измерения от цепи высокого
напряжения.
Импульсный
трансформатор
Импульсный трансформатор - это трансформатор, предназначенный для
преобразования импульсных сигналов с длительностью импульса до десятков
микросекунд с минимальным искажением формы импульса. Основное применение
заключается в передаче прямоугольного электрического импульса (максимально
крутой фронт и срез, относительно постоянная амплитуда). Он служит для
трансформации кратковременных видеоимпульсов напряжения, обычно периодически
повторяющихся с высокой скважностью. В большинстве случаев основное требование,
предъявляемое к ИТ заключается в неискажённой передаче формы трансформируемых
импульсов напряжения; при воздействии на вход ИТ напряжения той или иной формы
на выходе желательно получить импульс напряжения той же самой формы, но, быть
может, иной амплитуды или другой полярности.
Разделительный
трансформатор
Разделительный трансформатор - трансформатор, первичная обмотка которого
электрически не связана со вторичными обмотками. Силовые разделительные
трансформаторы предназначены для повышения безопасности электросетей, при
случайных одновременных прикасаний к земле и токоведущим частям или
нетоковедущим частям, которые могут оказаться под напряжением в случае
повреждения изоляции. Сигнальные разделительные трансформаторы обеспечивают
гальваническую развязку электрических цепей.
Пик-трансформатор
Пик-трансформатор - трансформатор, преобразующий напряжение
синусоидальной формы в импульсное напряжение с изменяющейся через каждые
полпериода полярностью.
Сдвоенный
дроссель
Сдвоенный дроссель (встречный индуктивный фильтр) - конструктивно
является трансформатором с двумя одинаковыми обмотками. Благодаря взаимной
индукции катушек он при тех же размерах более эффективен, чем обычный дроссель.
Сдвоенные дроссели получили широкое распространение в качестве входных фильтров
блоков питания; в дифференциальных сигнальных фильтрах цифровых линий, а также
в звуковой технике.
Основные части конструкции трансформатора
Стержневой тип трёхфазных трансформаторов
Броневой тип трёхфазных трансформаторов
В практичной конструкции трансформатора производитель выбирает между
двумя различными базовыми концепциями:
· Стержневой
· Броневой
Любая из этих концепций не влияет на эксплуатационные характеристики или
эксплуатационную надёжность трансформатора, но имеются существенные различия в
процессе их изготовления. Каждый производитель выбирает концепцию, которую он
считает наиболее удобной с точки зрения изготовления, и стремится к применению
этой концепции на всём объёме производства.
В то время как обмотки стержневого типа заключают в себе сердечник,
сердечник броневого типа заключает в себе обмотки. Если смотреть на активный
компонент (т.e. сердечник с обмотками) стержневого типа, обмотки хорошо видны,
но они скрывают за собой стержни магнитной системы сердечника. Видно только
верхнее и нижнее ярмо сердечника. В конструкции броневого типа сердечник
скрывает в себе основную часть обмоток.
Основными частями конструкции трансформатора являются:
· магнитная система (магнитопровод)
· обмотки
· система охлаждения
3. ПРИНЦИП ДЕЙСТВИЯ И УСТРОЙСТВА ОДНОФАЗНЫХ И
ТРЕХФАЗНЫХ ТРАНСФОРМАТОРОВ
.1 Работа однофазного трансформатора вхолостую
Трансформаторами в электротехнике называют такие аппараты, в которых
электрическая энергия переменного тока от одной неподвижной катушки из
проводника передается другой неподвижной же катушке из проводника, не связанной
с первой электрически. Звеном, передающим энергию от одной катушки другой,
является магнитный поток, сцепляющийся с обеими катушками и непрерывно
меняющийся по величине и по направлению.
На рис. 1а изображен простейший трансформатор, состоящий из двух катушек
/ и II, расположенных коаксиально одна над другой. К катушке / подводится
переменный ток от генератора переменного тока Г; эта катушка называется
первичной катушкой или первичной обмоткой. С катушкою II, называемой вторичной
катушкой или вторичной обмоткой, соединяется цепь с приемниками электрической
энергии.
Действие трансформатора заключается в следующем. При прохождении тока в
первичной катушке / ею создается магнитное поле, силовые линии которого
пронизывают не только создавшую их катушку, но частично и вторичную катушку II.
Примерная картина распределения силовых линий, создаваемых первичною катушкою,
изображена на рис. lb. Как видно из
рисунка, все силовые линии замыкаются вокруг проводников катушки I, но часть их
(на рис. lb силовые линии 1, 2, 3, 4) замыкаются
также вокруг проводников катушки II. Таким образом катушка II является магнитно
связанной с катушкою / при посредстве магнитных силовых линий. Степень
магнитной связи катушек I и //, при коаксиальном расположении их, зависит от
расстояния между ними: чем дальше катушки друг от друга, тем меньше магнитная
связь между ними, ибо тем меньше силовых линий катушки / сцепляется с катушкою
//. Так как через катушку / проходит, как мы предполагаем, переменный ток, т.
е. ток, меняющийся во времени по какому-то закону, например по закону синуса,
то и магнитное поле, им создаваемое, также будет меняться во времени по тому же
закону. Например, когда ток в катушке / проходит через наибольшее значение, то
и магнитный поток, им создаваемый, также проходит через наибольшее значение;
когда ток в катушке / проходит через нуль, меняя свое направление, то и
магнитный поток проходит через нуль, также меняя Свое направление. В результате
изменения тока в катушке / обе катушки / и II пронизываются магнитным потоком,
непрерывно меняющим свою величину и свое направление. Согласно основному закону
электромагнитной индукции при всяком изменении пронизывающего катушку
магнитного потока в катушке индуктируется переменная электродвижущая сила. В
нашем случае в катушке / индуктируется электродвижущая сила самоиндукции, а в
катушке II индуктируется электродвижущая сила взаимоиндукции.
Рис. 2
Изображенный на рис. 1а трансформатор весьма несовершенен, ибо между
первичной катушкой / и вторичной катушкой II магнитная связь невелика.
Магнитная связь двух обмоток, вообще говоря, оценивается отношением
магнитного потока, сцепляющегося с обеими обмотками, к потоку, создаваемому
одной катушкой.
Из рис. l видно, что только часть силовых
линий катушки / замыкается' вокруг катушки II. Другая часть силовых линий (на
рис. l- линии 6, 7, 8) замыкается только
вокруг катушки I. Эти силовые линии в передаче электрической энергии от первой
катушки ко второй совершенно не участвуют, они образуют так называемое поле
рассеяния.
Первым примером выполнения трансформаторов может служить схематически
изображенный на рис. 2 однофазный трансформатор так называемого стержневого тип
а. У него первичные и вторичные катушки Cj и с.2 расположены на железных стержнях а - а,
соединенных с торцов железными же накладками b - b,
называемыми ярмами. Таким образом два стержня а, а и два ярма b, b образуют замкнутое железное кольцо, в котором и проходит
магнитный поток, сцепляющийся с первичной и вторичной обмотками. Это железное
кольцо называется сердечником трансформатора.
Рис. 3
Вторым примером выполнения трансформаторов может служить схематически
изображенный на рис. 3 однофазный трансформатор так называемого броневого типа.
У этого трансформатора первичные и вторичные обмотки с, состоящие каждая
из ряда плоских катушек, расположены на сердечнике, образуемом двумя стержнями
двух железных колец а и b.
Кольца а и b, окружая обмотки, покрывают их почти
целиком как бы бронею; поэтому описываемый трансформатор и называется броневым.
Магнитный поток, проходящий внутри обмоток с, разбивается на две равные части,
замыкающиеся каждое в своем железном кольце.
Применением железных замкнутых магнитных цепей у трансформаторов
добиваются значительного снижения потока рассеяния. У таких трансформаторов
потоки, сцепляющиеся с первичною и вторичною обмотками, почти равны друг другу.
Предполагая, что первичная и вторичная обмотки пронизываются одним и тем же
магнитным потоком, мы можем на основании общего закола индукции для мгновенных
значений электродвижущих сил обмоток написать выражения:
Из последних выражений можно получить следующее отношение:
т. е. индиктируемые в первичной, и вторичной катушках / и II мгновенные
электродвижущие силы относятся друг к другу так же, как числа витков катушек.
Последнее заключение справедливо не только по отношению к мгновенным значениям
электродвижущих сил, но и к их наибольшим и действующим значениям.
Электродвижущая сила, индуктируемая в первичной, катушке, будучи
электродвижущей силой самоиндукции, почти целиком уравновешивает приложенное к
той же катушке напряжение (см. далее). Если через Еу и V1 обозначить действующие значения электродвижущей силы
первичной катушки и приложенного к ней напряжения, то можно написать:
Электродвижущая сила, индуктируемая во вторичной катушке, равна в
рассматриваемом случае напряжению на концах этой катушки. Если, аналогично
предыдущему, через Е3 и Vt обозначить действующие значения электродвижущей силы
вторичной катушки и напряжения на ее концах, то можно написать:
Следовательно, приложив к одной катушке трансформатора некоторое
напряжение, можно на концах другой катушки получить любое напряжение, стоит
только взять подходящее отношение между числами витков этих катушек. В этом и
заключается основное свойство трансформатора.
Отношение электродвижущих сил первичной и вторичной обмоток
трансформатора равно коэффициенту трансформации.
Отношение числа витков первичной обмотки
к числу витков вторичной обмотки называется коэффициентом трансформации
трансформатора.
Трансформатор, у которого коэффициент трансформации меньше единицы,
называется повышающим трансформатором, ибо у него напряжение вторичной обмотки,
или так называемое вторичное напряжение, больше напряжения первичной обмотки,
или так называемого первичного напряжения. Трансформатор, у которого
коэффициент трансформации больше единицы, называется понижающим
трансформатором, ибо у него вторичное напряжение меньше первичного.
3.2 Работа однофазного трансформатора под нагрузкою
При холостой работе трансформатора магнитный поток создается током
первичной обмотки или, Так как магнитная цепь трансформатора выполняется из
железа и потому имеет небольшое магнитное сопротивление, а число витков
первичной обмотки берется обычно большим, то ток холостой работы трансформатора
невелик; он составляет 5-10% нормального.
Согласно закону Ленца магнитодвижущая сила вторичной обмотки действует
против магнитодвижущей силы первичной обмотки.
Если замкнуть вторичную обмотку на какое-либо сопротивление, то с
появлением тока во вторичной обмотке появится и магнитодвижущая сила этой
обмотки.
Казалось бы, что магнитный поток в этом случае должен уменьшаться, но если
к первичной обмотке подведено постоянное по величине напряжение, то уменьшения
магнитного потока почти не произойдет. В самом деле, электродвижущая сила,
индуктируемая в первичной обмотке, при нагрузке трансформатора равна
приложенному напряжению. Эта электродвижущая сила пропорциональна магнитному
потоку. Следовательно, если первичное напряжение постоянно по величине, то и
электродвижущая сила при нагрузке должна остаться почти той же, какой она была
при холостой работе трансформатора. Это обстоятельство имеет следствием почти
полное постоянство магнитного потока при любой нагрузке.
Итак, при постоянном по величине первичном напряжении магнитный поток
трансформатора почти не меняется с изменением нагрузки и может быть принят
равным магнитному потоку при холостой работе.
Магнитный поток трансформатора может сохранить свою величину при нагрузке
лишь потому, что с появлением тока во вторичной обмотке увеличивается и ток в
первичной обмотке и при том настолько, что разность магнитодвижущих сил или
ампер витков первичной и вторичной обмоток остается почти равной
магнитодвижущей силе или ампервиткам при холостой работе. Таким обрізом появление во вторичной обмотке
размагничивающей магнитодвижущей силы или ампервитков сопровождается
автоматическим увеличением магнитодвижущей силы первичной обмотки.
Так как для создания магнитного потока трансформатора требуется, как было
указано выше, небольшая магнитодвижущая сила, то можно сказать, что увеличение
вторичной магнитодвижущей силы сопровождается почти таким же по величине
увеличением первичной магнитодвижущей силы. Это значит, что если при каком-либо
токе во вторичной обмотке /магнитодвижущая сила ее равна, - число витков
вторичной обмотки, то можно сказать, что с большим приближением она равна
магнитодвижущей силе первичной обмотки.
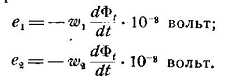
Отдаваемая вторичной обмоткой трансформатора мощность в вольт-амперах,
почти равна мощности, подводимой к первичной обмотке также в вольт-амперах.
Можно написать:
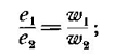
Из последнего равенства получается вторая основная характеристика
трансформатора, а именно, отношение:
где u. - коэффициент трансформации.
Таким образом, отношение токов первичной и вторичной обмоток
трансформатора равно единице, деленной на его коэффициент трансформации. Итак,
основные характеристики трансформатора заключаются в отношениях:
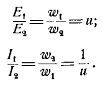
Если перемножить левые части отношений между собой и правые части между
собой, то получим
Если пренебречь потерями энергии в меди обмоток и в железе сердечника
трансформатора, то можно сказать, что вся мощность, подводимая к первичной
обмотке трансформатора от источника энергии, передается вторичной обмотке его,
причем передатчиком служит магнитный поток. В этом отношении трансформатор
можно уподобить механической зубчатой передаче, почему коэффициент
трансформации называется иногда передаточным числом.
.3 Принцип действия и устройства трехфазных трансформаторов
Трехфазный ток можно трансформировать тремя совершенно отдельными
однофазными трансформаторами (см. дальше). В этом случае обмотки всех трех фаз
связаны друг с другом: каждая фаза имеет свою магнитную цепь. Но тот же
трехфазный ток можно трансформировать и .одним трехфазным трансформатором, у
которого обмотки всех трех фаз магнитно связаны между собою, так как имеют обдіую магнитную цепь.
Чтобы уяснить себе Принцип действия и устройства трехфазного
трансформатора, представим себе три однофазных трансформатора, приставленных
один к другому так, что три стержня их образуют один общий центральный стержень
(рис. 4). На каждом из остальных трех стержней наложены первичные и вторичные
обмотки (на рис. 4 вторичные обмотки не изображены).
Предположим, что первичные катушки всех стержней
совершенно одинаковы и намотаны в одном направлении (на рис. 4 первичные
катушки намотаны по часовой стрелке, если смотреть на них сверху). Соединим все
верхние концы катушек в нейтраль О, а нижние концы катушек подведем к трем
зажимам трехфазной сети. Токи в катушках создадут переменные во времени
магнитные потоки, которые будут замыкаться каждый в своей магнитной цепи. В
центральном составном стержне магнитные потоки сложатся и в сумме дадут нуль,
ибо эти потоки создаются симметричными трехфазными токами, относительно которых
мы знаем, что сумма мгновенных значений их равна нулю в любой момент времени.
Например, если бы в катушке , был наибольший и проходил в указанном на рис. 4
направлении, то магнитный поток был бы равен наибольшему своему значению и был
направлен в центральном составном стержне сверху вниз.
Рис. 4
В двух других катушках BY и CZ токи в тот же
момент времени равны половине наибольшего тока и имеют обратное направление по
отношению к току в катушке АХ (таково свойство трехфазных токов). По этой
причине в стержнях катушек BY и CZ магнитные потоки будут равны половине наибольшего
потока и в центральном составном стержне будут иметь обратное направление по
отношению к потоку катушки АХ. Сумма потоков в рассматриваемый момент равна
нулю. То же самое имеет место и для любого другого момента.
Отсутствие потока в центральном стержне не
означает отсутствия потоков в остальных стержнях. Если бы мы уничтожили
центральный стержень, а верхние и нижние ярма соединили в общие ярма (см. рис.
5), то поток катушки АХ нашел бы себе путь через сердечники катушек BY и CZ, причем магнитодвижущие
силы этих катушек сложились бы с магнитодвижущей силой катушки АХ. В таком
случае мы получили бы трехфазный трансформатор с общей магнитною цепью всех
трех фаз.
Рис. 5
Так как токи в катушках смещены по фазе на 7з
периода, то и создаваемые ими магнитные потоки также смещены во времени на 7з
периода, т. е. наибольшие значения магнитных потоков в стержнях катушек следуют
друг за другом через 7з периода. Следствием сдвига по фазе магнитных потоков в
сердечниках на 7з периода является такой же сдвиг по фазе и электродвижущих
сил, индуктируемых как в первичных, так и во вторичных катушках, наложенных на
стержнях. Электродвижущие силы первичных катушек почти уравновешивают
приложенное трехфазное напряжение. Электродвижущие силы вторичных катушек при
правильном соединении концов катушек дают трехфазное вторичное напряжение,
которое подается во вторичную цепь.
У первого трансформатора стержни расположены по
вершинам углов равностороннего треугольника; у второго трансформатора стержни
расположены в одной плоскости.
Расположение стержней по вершинам углов
равностороннего треугольника дает равные магнитные сопротивления для магнитных
потоков всех трех фаз, так как пути прохождения этих потоков одинаковы.
Рис. 6
В самом деле, магнитные потоки трех фаз проходят
каждый в отдельности через один вертикальный стержень полностью и через два
других стержня по половине. На рис. 6 пунктиром изображены пути замыкания
магнитного потока фазы стержня 2. Легко видеть, что для потоков фаз стержней 1
и 3 пути замыкания их магнитных потоков совершенно одинаковы. Это значит, что у
рассматриваемого трансформатора магнитные сопротивления для потоков равны между
собою.
Рис. 7
Расположение стержней в одной плоскости приводит
к тому, что магнитное сопротивление для потока средней фазы (на рис. 7 для
фазы стержня 2) меньше, нежели для потоков крайних фаз (на рис. 7-для фаз
стержней 1 и 3). Действительно магнитные потоки крайних фаз проходят по
несколько более длинным путям, чем пото средней фазы. Кроме того, поток крайних
фаз, выйдя из своих стержней, проходит в одной половине ярма полностью, и
только другой половине (после ответвления в средний стержень) проходит его
половина. Поток же средней фазы по выходе из вертикального стержня тотчас же
разветвляется на две половины, и потому в обеих частях ярма проходит лишь
половина потока средней фазы. Таким образом потоки крайних фаз насыщают ярмо в
большей степени, чем поток средней фазы, а потому магнитное сопротивление для
потоков крайних фаз больше, чем для потока средней фазы.
Следствием неравенства магнитных сопротивлений для потоков разных фаз
трехфазного трансформатора является неравенство токов холостой работы в
отдельных фазах при одном и том же фазном напряжении.
Однако при небольшой насыщенности железа ярма и хорошей сборке железа
стержней это неравенство токов незначительно. Так как конструкция
трансформаторов с несимметричной магнитной цепью значительно проще, чем
трансформатора с симметричной магнитной цепью, то первые трансформаторы и нашли
себе преимущественное применение. Трансформаторы с симметричною магнитною цепью
встречаются редко.
Рассматривая рис. 6 и 7 и предполагая, что во всех трех фазах проходят
токи, легко видеть, что все фазы магнитно связаны друг с другом. Это значит,
что магнитодвижущие силы отдельных фаз влияют друг на друга, чего мы не имеем,
когда трехфазный ток трансформируется тремя однофазными трансформаторами.
Вторую группу трехфазных трансформаторов составляют броневые
трансформаторы. Броневой трансформатор можно рассматривать как бы состоящим из
трех однофазных броневых трансформаторов, приставленных один к другому своими
ярмами.
Рис. 8
На рис. 8 схематически изображен броневой трехфазный трансформатор с
вертикально расположенным внутренним стержнем. Легко видеть из рисунка, что
плоскостями АВ и CD он может быть
разбит на три однофазных броневых трансформатора, магнитные потоки которых
могут замыкаться каждый по своей магнитной цепи. Пути прохождения магнитных
потоков на рис. 8 указаны пунктирными линиями. Как видно из рисунка, в средних
вертикальных стержнях а, на которых наложены первичная I и вторичная II обмотки
одной фазы, проходит полный поток, тогда как в ярмах b-b и боковых стенках проходит по половине потока. При одной
и той же индукции сечения ярма и боковых стенок должны быть вдвое меньше
сечения среднего стержня а.
4. СЕРДЕЧНИКИ ТРАНСФОРМАТОРОВ
.1 Железо для сердечников
Таким условиям до известной степени удовлетворяет мягкое отожженное
железо с примесью кремния, так называемое легированное железо.
В трансформаторостроении обычно применяют средне-легированное и
сильно-легированное железо. Средне-легированное железо содержит около 2%
кремния, а сильно-легированное - около 4%. Если сравнить легированное железо с
обыкновенным динамным железом, не содержащим кремния или содержащим лишь следы
кремния (до 0,1°/о), т° можно констатировать, что
средне-легированное железо при индукции В= 18000 гауссов и частоте
перемагничения /=50 Hz имеет потери
почти на 30°/0 меньше," чем динамное железо, хотя
намагничивающие ампервитки при тех же значениях индукции и частоте у
средне-легированного железа на 10-11% больше, чем у динамного железа.
Сильно легированное железо при индукции В = 18 000 гауссов и
частоте перемагничения =50 Hz
имеет потери почти на 50% меньшие, а намагничивающие ампервитки на 45°/о
большие, чем Динам ное железо. Увеличение намагничивающих ампервитков с
увеличением содержания кремния в железе есть характерное влияние кремния на
железо. В стандарте (ОСТ 377), обязательном с 1 июля 1999 г., на железо,
применяемое в динамостроении и трансформаторостроении, устанавливаются три
марки, причем железо названо сталью, в виду наличия в нем кремния. Эти марки
следующие:
1. Ст. Д - сталь листовая динамная,
2. Ст. С - сталь динамная специальная,
3. Ст. Т - сталь листовая трансформаторная.
Таким образом, по стандарту предусматривается один сорт трансформаторной
стали.
Магнитные свойства стали указанных марок определяются по стандарту
следующими техническими условиями.
а) Магнитная индукция.
Магнитная индукция электротехнической стали для определенных значений
намагничивающих ампервитков на 1 см должна быть не ниже величин, указанных в
таблице 1.
От указанных величин магнитной индукции допускаются отклонения в сторону
уменьшения не более, чем в 50 гауссов.
б) Потери на гистерезис и на токи Фуко.
Потери энергии в стали на гистерезис и . на токи Фуко, измеренные при
максимальной индукции, равной 10000 и 15 000 гауссов при частоте тока 50 Hz и при синусоидальной форме кривой
приложенного напряжения, не должны превосходить величин, указанных в таблице 2.
Из таблицы 1 видно, что при 100 ампер-витков на см динамная сталь Ст. Д
дает индукцию 17 800 гауссов, тогда как трансформаторная сталь Ст. Т дает
индукцию всего 16500 гауссов. Следовательно, при одной и той же индукции,
трансформаторная сталь потребует большее число ампервитков на 1 см.
Из таблицы 2 видно, что потери в трансформаторной стали Ст. Т-0,35 при
индукции 15 000 гауссов составляют 3,3 W/кг, тогда как потери в динамной стали Ст. Д, при той же
индукции, составляют 7,9 W/кг, т. е. почти в
2,5 раза больше. Помимо того, что легированное железо имеет почти в 2,5 раза
меньшие потери сравнительно с динамным железом, оно обладает также значительно
меньшей способностью к «старению», т. е. способностью давать увеличение потерь
на гистерезис и токи Фуко с течением времени. После 500 часов работы
легированное железо понижает свои магнитные свойства в отношении потерь всего
на 3-4% в сравнении с 6-8% у обыкновенного динамного железа. Согласно
общесоюзному стандарту повышение магнитных потерь вследствие старения
определяется следующими величинами:
Следует отметить, что в Германии удалось получить трансформаторное железо
с потерями: 1 W/кг при индукции 10000 гауссов и 2,45 W/кг при индукции 15000 гауссов.
Трансформаторная сталь, как и динамная, изготовляется в виде листов
определенных размеров. Общесоюзным стандартом установлены размеры листовой стали
1000 X 2000 мм* и 750X 1500 для всех марок. Листовая сталь марки Т
изготовляется толщиною 0,35 и 0,5 мм, а листовая сталь остальных марок - только
толщиною 0,5 мм.
От этих величин допускаются следующие отклонения:
а) в длине и ширине отдельных листов d= 5%,
б) в толщине отдельных листов ± 10%.
.2 Форма сечения частей сердечника
Поперечное сечение той части сердечника трансформатора, на которую
насаживаются катушки обмоток и которую в дальнейшем будем называть стержнем или
керном, выбирается так, чтобы катушки имели наименьший периметр (в целях
экономии меди). При одной и той же площади сечения круглое сечение стержня
имеет меньший периметр, чем прямоугольное сечение. Отношение периметра круглого
сечения к периметру квадратного сечения, при одной и той же площади, равно
0,88. Кроме того, как будет показано ниже, круглые катушки более прочны при
коротких замыканиях. Казалось бы, что стержням трансформатора следовало бы
придавать круглое сечение. Так как, однако, стержни трансформатора набираются
из пластин листового железа, то выполнение сердечника с круглым сечением было
бы весьма затруднительно; в этом случае пришлось бы резать пластины постепенно
уменьшающейся ширины. Чтобы все же приблизить сечение стержней сердечника к
круглому сечению, эти стержни собираются из отдельных пакетов пластин разной
ширины, которые в совокупности дают стержень, приближающийся к цилиндрическому.
Рис. 9
Степень приближения сечения стержня к круглому в зависимости от мощности
трансформатора берется неодинаковой. У трансформаторов средней мощности сечение
стержня берется обычно крестообразное с примерными размерами, указанными на
рис. 9а; при этих размерах получается наилучшее использование площади
описанного вокруг сечения круга с диаметром d.
Часто, однако, отступают от приведенных на рис. 9а наивыгоднейших размеров,
придавая стержню менее ясно выраженное крестообразное сечение, приближающееся к
прямоугольному (рис. 9б); получающиеся углы в стержне используются для
установки распорных вставок, удерживающих на месте обмотку. Трансформаторы
большой мощности имеют сечение стержня, весьма приближающееся к круглому. (9с).
а б
Рис. 10
С целью охлаждения при больших сечениях внутри сердечников оставляют
каналы, собирая сердечники из пакетов разной ширины. На рис. 10 изображены
сечения сердечников с каналами для охлаждения. У первого сердечника (рис. 10а)
каналы идут вдоль листов железа, у второго сердечника (рис. 10б) - поперек
листов железа. Наиболее интенсивное охлаждение получается при расположении
каналов поперек листов железа, так как поток тепла, получающегося в железе, в
этом случае направляется вдоль листов, а не поперек листовч как в
первом случае, когда этому потоку приходится проходить через изоляцию между
листами.
Условия производства заставляют, однако, располагать каналы для охлаждения
вдоль листов железа. Надлежащее расстояние между пакетами стержня
обеспечивается подходящими распорками, не мешающими прохождению охлаждающей
среды (обычно масла).
Во многих случаях экономия меди, получающаяся при круглом сечении,
уступает иногда место простоте и более дешевой конструкции стержней с
прямоугольным сечением. При прямоугольном сечении стержней пластины железа
получают одинаковую ширину, что упрощает их резку. Сборка стержней с
прямоугольным сечением также облегчается.
Так как периметр прямоугольного сечения, при одной и той же величине
сечения, больше периметра круглого сечения, то поверхность охлаждения обмотки
при прямоугольном сечении сердечника получается больше, чем при круглом
сечении. Последнее обстоятельство также говорит в пользу прямоугольного сечения
стержня. Однако выполнение прямоугольной обмотки, а также укрепление ее на
стержнях более затруднительно, чем цилиндрической обмотки; на прямых участках
проводники легко выпучиваются и не ложатся параллельно. Изгибы проводников на
углах могут вызвать порчу изоляции.
Цилиндрические катушки более совершенны, чем прямоугольные; их
механическая прочность превосходит механическую прочность прямоугольных
катушек.
С другой стороны при цилиндрических катушках расстояние между соседними
стержнями больше, чем при прямоугольных катушках, а это имеет следствием
увеличение объема железа ярма. В тех случаях, когда экономия меди в катушках и
механическая прочность последних не играют особой роли, что и:леет место,
например, у стержневых трансформаторов небольшой мощности, предпочитают
применять стержни с простейшим прямоугольным сечением. В тех же случаях, когда
экономия меди по абсолютной величине довольно велика и от катушек требуется
особая механическая прочность, что имеет место, например, у трансформаторов
большой мощности, подверженных частым коротким замыканиям, применяют обычно
стержни круглого сечения.
Что касается ярма, то оно выполняется обычно с прямоугольным сечением в
целях упрощения сборки и удешевления всей конструкции сердечника; часто встречаются,
однако, сечения ярма Т-образные (у трансформаторов небольшой мощности).
Следует отметить, что при оценке конструкции сердечников трансформаторов
основываются не на одном только отношении площади поперечного сечения
сердечника к площади поперечного сечения, обнимаемого катушкою, в
предположении, что она непосредственно насажена на сердечник. У крестообразных
и ступенчатых сечений за последнюю площадь принимают площадь окружности,
описанной вокруг сечения сердечника и касающейся его внешних граней (на рис. 9
- окружности с диаметром
d). Дело в том, что в
полное сечение стержня входит не только железо, но и изоляция между пластинами
железа, а также иногда и каналы для охлаждения (см. рис. 10). Поэтому, оценивая
сердечники трансформатора, говорят часто об отношении площади поперечного
сечения только одного железа, проводящего магнитный поток, к площади
поперечного сечения, обнимаемого катушкою, в предположении непосредственной
насадки ее на сердечник (обычно между катушкою и стержнем имеется изоляционная
прослойка). Это отношение называют коэффициентом заполнения железом сечения
сердечника.
При Толщине изоляционной бумаги между листами железа около 0,04 мм и
толщине железа 0,35 мм бумага занимает примерно 10% длины сечения сердечника,
взятой поперек листов железа. Следовательно, если бы сердечник и надвинутая на
него катушка имели прямоугольное сечение и сердечник не имел бы каналов для
охлаждения, то коэффициент заполнения сечения сердечника железом был бы равен
90%. Это и есть наибольший возможный коэффициент заполнения, У крестообразного
сердечника без каналов для охлаждения коэффициент заполнения равен примерно
70%; у двухступенчатого сечения (без каналов) коэффициент заполнения равен
примерно 74%.
У сердечников с каналами для охлаждения коэффициент заполнения железом
снижается до 55-70%.
Путем применения для трансформаторов железа толщиною 0,5 мм и замены
бумажной изоляции лакировкой1 коэффициент заполнения железом сечения
сердечника удалось повысить до 80%. Увеличение коэффициента заполнения с 70%. до
80% имеет следствием экономию меди по крайней мере на 10%.
.3 Общая конструкция сердечников однофазных трансформаторов
Сердечники однофазных и трехфазных трансформаторов конструируются обычно
таким образом, чтобы катушки обмоток можно было изготовлять отдельно на особых
станках и затем пускать их в сборку в готовом виде. С этой целью пластины
железа сердечников режутся вполне определенной формы и собираются определенным
способом. Форма пластин железа диктуется еще и тем, чтобы при нарезке их из
листов железа стандартных размеров получилось возможно меньше отходов. Что
касается способа сборки пластин, то он должен обеспечить наименьшее магнитное
сопротивление сердечников; только при этом условии намагничивающий ток
трансформатора будет небольшим. У маломощных трансформаторов (например, у
звонковых трансформаторов), у которых намагничивающий так, вообще говоря,
относительно велик, сердечник набирается часто из неразрезанных пластин.
Катушки наматываются в этом случае вручную на готовый сердечник.
У мощных трансформаторов сердечники собираются из нарезанных пластин
железа, причем отдельные части сердечника (ярмо и стержни) связываются друг с
другом или «в притык» или же «в нахлестку».
Рис. 11
Примером связи частей сердечника в притык может служить сердечник
однофазного трансформатора стержневого типа, изображенный на рис. 11. Как видно
из рисунка, сердечник составляется из двух отдельных стержней (керн) и двух
ярем, которые тем или иным способом к ним притягиваются. Как стержни, так и ярмо набираются независимо друг от друга.
Рис. 12
Для того чтобы при сборке получить правильное положение стержней
относительно каждого ярма, у мощных трансформаторов применяются цапфы (на рис.
10 изображены пунктиром), которые входят в углубления, имеющиеся в ярмах и в
стержнях. Цапфы изготовляются из не проводящих электрический ток материалов, во
избежание металлического соединения листов железа друг с другом и появления
больших токов Фуко. Для уменьшения токов Фуко в сердечнике прокладывают иногда
в местах стыка стержней и ярма прессшпан, асбестовую бумагу или не растворимый
в масле миканит. Назначение этих прокладок заключается в изолировании пластин
железа ярма от пластин стержней, так как трудно смонтировать сердечник так,
чтобы пластины ярма являлись продолжением пластин стержня. В том случае, когда
пластины ярма в месте стыка попадают между пластинами стержня, нарушается
изоляция последних друг от друга, что влечет за собою увеличение токов Фуко. Так
как сборка сердечников в притык допускает изготовление частей сердечника каждой
в отдельности и монтаж этих частей несложен, то такой метод сборки и
применяется весьма часто у мощных и стержневых трансформаторов.
При выполнении связи частей сердечника в нахлестку („в набор", в
„переплет", или шихтовкой) пластины одной части, например стержня,
переплетаются с пластинами другой части, например ярма, образуя в месте
соединения слой из пластин, принадлежащих поочередно одной и другой части. Рис.
12 дает ясное представление о соединении листов железа в нахлестку.
Примером выполнения сердечника однофазного трансформатора стержневого
типа в нахлестку может служить сердечник, изображенный на рис. 13. Этот
сердечник собирается из чередующихся друг с другом слоев а и б, из которых
каждый содержит пластины только двух размеров. При наложении одного слоя на
другой места Стыков пластин одного слоя покрываются пластинами другого слоя.
Рис. 13
Примером выполнения сердечника однофазного трансформатора броневого типа
в нахлестку может служить сердечник, изображенный на рис. 14. Сердечник состоит
из двух частей, причем каждая часть составляется из двух пар одинаковых пластин
1-1 и 2-2. Отдельные слои пластин накладываются друг на друга таким образом,
что стыки одного слоя перекрываются пластинами следующего слоя.
Рис. 14
В виду того, что сердечники, набранные в нахлестку, требуют несколько
меньший намагничивающий ток и меньше гудят при неудовлетворительной сборке, чем
сердечники, набранные в притык, в настоящее время имеется тенденция сердечники
больших трансформаторов стержневого типа выполнять также в. нахлестку.
Аналогичную, но более упрощенную конструкцию имеет сердечник
трансформатора, схематически изображенного на рис. 15б. Сердечник этого
трансформатора состоит из четырех пластинчатых колец а1 а2,
а3 и а4, охватывающих обмотки В и Н и расположенных под
прямым углом друг к другу.
Для того, чтобы сердечнику придать механическую прочность, пластины его
сжимаются или при помощи болтов и заклепок, проходящих через толщу сердечника,
или же при помощи чугунных плит (или швеллеров), накладываемых на сердечник.
Своеобразную конструкцию имеет сердечник у так называемого
«Берри-трансформатора» броневого типа, схематически изображенного на рис. 15а.
Как видно из рисунка, сердечник этого трансформатора состоит из ряда колец а2
а4. а3..., охватывающих кольцевые обмотки высокого и
низкого напряжения В и Н равномерно по всему их периметру.
Рис. 15
Все устройство, предназначенное для придания механической прочности
сердечнику, должно выполняться так, чтобы оно не мешало охлаждению
трансформатора и не вызывало добавочных потерь от токов Фуко. В том случае,
когда сжимные болты или заклепки пропускаются через толщу сердечника, эти болты
должны быть тщательно изолированы от железа, во избежание электрического
соединения ими пластин железа, что влечет за собою увеличение потерь на токи
Фуко в железе. У трансформаторов небольшой мощности в качестве сжимных болтов с
успехом применяют деревянные шпильки, проходящие через толщу сердечника, с
ввинчиваемыми в них с торцов шурупами для дерева.
Чтобы получить равномерное сжатие листов, под сжимные болты
подкладываются железные пластины толщиною около 1 мм. Сжимные плиты (щеки)
целесообразно выполнять из немагнитного материала. Часто, однако, их выполняют
из чугуна, но располагают так, чтобы они не увеличивали магнитное рассеяние
обмоток и тем самым не увеличивали потерь на токи Фуко. У трансформаторов
небольшой мощности, работающих в масле, сжимные щеки у ярма выполняются из
дерева.
В настоящее время производятся опыты в отношении полной или частичной
замены стяжных болтов склеиванием железных листов помощью бакелитовой массы при
высоком давлении (10-50 am).
.4 Общая конструкция сердечников трехфазных трансформаторов
Сердечники трехфазных трансформаторов стержневого типа выполняются в
настоящее время со стержнями, расположенными в один ряд (рис. 7). Связь
стержней с ярмами осуществляется или в притык или в нахлестку. В первом случае
стержни и оба ярма изготовляются совершенно самостоятельно и затем при сборке,
после наложения катушек, стягиваются при помощи сжимных плит и болтов.
Соединение ярма с сердечниками в притык, в виду простоты выполнения,
применяется довольно часто у мощных трансформаторов.
Во втором случае сердечник и одно ярмо набираются одновременно, с
чередованием пластин, как было указано ранее; пластины же второго ярма
набираются после наложения на сердечники катушек обмотки (рис. 16).

При изготовлении мощных трансформаторов стержневого типа сборка железа в
нахлестку представляет большие затруднения из за значительной ширины листов. С
целью применения сборки пластин в нахлестку и для мощных трансформаторов завод
Сименс- Шуккерт выполняет сердечники из отдельных, рам, вставляемых одна в
другую с воздушным зазором между ними. На рис. 17 изображены три рамы, которые
в совокупности должны дать сердечник трехфазного трансформатора. Перед укладкой
катушек верхние поперечины всех рам разбираются (рис. 18).
При изготовлении сердечников размеры пластин выбираются такими, чтобы при
резке из стандартных листов получалось возможно меньше отходов.
Кроме того, число пластин разных размеров берется наименьшим.
На рис. 19 иллюстрирован один из способов резки пластин и укладки их в
два слоя, поочередно накладываемых друг на друга при сборке сердечника. Если
стержни имеют прямоугольное сечение, то, как видно из рисунка, число пластин с
разными размерами может быть равно трем. При наложении слоев стыки пластин
одного слоя покрываются пластинами другого слоя.
Рис. 18
Если стержни имеют ступенчатое или крестообразное сечение, как изображено
на рис. 9, то пластины ярма приходится делать разной длины: более короткие по середине и более длинные
по бокам.
Последнее обстоятельство несколько обесценивает описываемый способ резки
и сборки пластин в применении к сердечникам с круглым сечением стержней.
Рис. 19 Рис. 20
На рис. 20 изображен другой способ резки и укладки пластин, требующий
наложения друг на друга трех слоев. Число пластин разных размеров равно
четырем, но так как короткие пластины ярма вдвое короче длинных пластин того же
ярма 4-4, то изготовление их из длинных пластин весьма просто.
Рис. 21
Сердечники трехфазных трансформаторов броневого типа выполняются со
сборкой или в притык или в нахлестку. На рис. 21 иллюстрированы два способа
изготовления сердечников трансформаторов броневого типа в притык. При первом
способе требуются пластины трех разных форм, при втором способе требуются
пластины четырех форм.
Сборка сердечников трансформаторов броневого типа в притык применяется у
трансформаторов небольшой мощности. У трансформаторов большой мощности
сердечник собирается в нахлестку. На рис. 22 изображены два слоя (накладываемые
поочередно друг нэ друга) сердечника трансформатора броневого типа со сборкой в
нахлестку. Число пластин разной формы равно четырем.
Рис. 22
Рис. 23
Рис. 24
На рис. 23 изображена конструкция сердечника трансформатора броневого
типа (зав. Сименс-Шуккерт) с большим подразделением железа. Число пластин
разной формы равно двум. Отдельные части собираются в притык.
Несколько своеобразную конструкцию имеют сердечники трансформаторов
стержневого типа весьма большой мощности. У таких трансформаторов сердечник
часто имеет не три, а пять стержней, причем обмотки наложены только на три
средние сердечника.
На рис. 24 изображен пятистержневой сердечник трансформатора рекордной
мощности 100000 kVA, 220/110 kV (AEG). Боковые стержни добавлены с целью ослабления
магнитного потока в ярме, вследствие чего сечение ярма уменьшается почти в два
раза сравнительно с сечением без боковых стержней. Уменьшение сечения ярма
имеет следствием уменьшение высоты трансформатора, что необходимо в целях
облегчения транспорта по железным дорогам весьма мощных трансформаторов.
5. ОБМОТКИ ТРАНСФОРМАТОРОВ
.1 Обмоточная медь
Обмотки трансформаторов, в зависимости от необходимого сечения,
изготовляются или из круглых медных проволок, или же из Проводников
прямоугольной формы. Обмотки высокого напряжения чаще изготовляются из круглых
проволок, так как изолирование их представляет меньшие затруднения, чем
изолирование проводников прямоугольного сечения; кроме того, процесс
изготовления обмотки из прямоугольных проводов при малых сечениях труден,
вследствие возможности перекручивания. Обмотки низкого напряжения у больших
трансформаторов изготовляются обычно из проводников прямоугольного сечения, так
как, вследствие большой площади сечения, круглые проволоки имели бы слишком
большой диаметр. Во избежание потерь от токов Фуко, индуктируемых потоком
рассеяния в меди обмотки при больших сечениях, а также в целях облегчения
фабрикации обмоток, проводники часто составляются из отдельных лент,
располагаемых большой стороной по длине сердечника (см. далее).
Круглая проволока берется диаметром не больше 3,5 мм, так как проволока с
большим диаметром затрудняет работу по намотке катушек и дает плохое
использование сечения этих катушек.
Проводники прямоугольного сечения берутся не свыше 200 лш2,
что соответствует предельным размерам 8 X 25 мм\ делается это с целью
уменьшения потерь от токов Фуко в проводниках. Как круглые, так и прямоугольные
проводники изолируются хлопчатобумажной обмоткой в комбинации с эмалью или
бумагой. Насколько увеличивается диаметр круглой проволоки с разной изоляцией
можно видеть из таблицы 3.
Проволока с изоляцией а -проволока с двойной хлопчатобумажной обмоткой;
применяется для напряжения до 6 kV.
Проволока с изоляцией b-проволока,
покрытая слоем эмали, на который наложена двойная хлопчатобумажная обмотка;
применяется в тех случаях, когда изоляция а считается недостаточной.
Следует отметить, что проволока с одной эмалевой изоляцией. ДЛЯ
изготовления трансформаторных катушек не применяется так как при этой изоляции
получается крайне небольшое расстояние между соседними проволоками витков.
Возможная порча слоя изоляции, например трещина, приводит в этом случае к тому
что получающийся незначительный воздушный слой между проводниками пробивается
напряжением, имеющимся между ними. Навиваемая на слой эмали хлопчатобумажная
обмотка увеличивает расстояние между соседними витками, следовательно
увеличивает толщину слоя воздуха между соседними проволоками в случае порчи
изоляционных покровов.
Проволока с изоляцией с - проволока, покрытая двумя повивами бумаги и
двойной хлопчатобумажной обмоткой; применяется для входных катушек при
напряжении до 6 kV и для средних
катушек при напряжении до 20-35 kV.
Проволока с изоляцией проволока, покрытая четырьмя повивами бумаги и
двойной хлопчатобумажной обмоткой- применяется для входных катушек при
напряжении 22-35 kV
При напряжениях, доходящих до 60-110 kV, увеличение диаметра голой проволоки доходит до 2-2,5 мм.
Увеличение размеров проводника прямоугольного сечения в зависимости от
величины сечения и сорта изоляции, составляет 0,6-0,8 мм на две стороны
последняя цифра (0,8 мм) получается при двух слоях бумажной изоляции с
покрытием двойной хлопчатобумажной обмоткой.
Проводники обмотки масляных трансформаторов обычно изолируются оплеткой
из, бумажной ленты. При больших сечениях проводники прямоугольного сечения
иногда не изолируются, но отдельные витки из них при выполнении катушки
изолируются друг от друга прокладками из бумаги.
.2 Типы обмоток
По способу выполнения обмотки трансформаторов распадаются на
цилиндрические и дисковые. Цилиндрические обмотки представляют собою в целом
полые цилиндры, окружающие сердечники по всей их длине (рис. 25).
Рис. 25
Ближе к сердечнику располагается обычно обмотка низшего напряжения Н, так
как ее легче изолировать от сердечников. Ңа обмотку низшего напряжения, коаксиально с нею, надвигается
цилиндрическая обмотка высшего напряжения В. Таким образом, при указанном
выполнении внутренний цилиндр будет служить обмоткою низшего напряжения, тогда
как наружный цилиндр - обмоткою высшего напряжения.
В небольших трансформаторах цилиндрические обмотки выполняются
непрерывной намоткой проводника. В трансформаторах большой мощности и высокого
напряжения цилиндрические обмотки составляются из секций или катушек,
разобщенных друг от друга изоляционными прокладками.
Для того, чтобы уменьшить потоки рассеяния трансформатора, катушки
первичной и вторичной цилиндрических обмоток располагаются возможно ближе друг
к другу и берутся с небольшими радиальными размерами.
С уменьшения рассеяния трансформатора часто обмотка низшего напряжения
каждого сердечника делится на две цилиндрические катушки, причем одна катушка
располагается непосредственно на сердечнике, а другая снаружи на обмотке
высшего напряжения (рис. 26).
Таким образом, катушка обмотки высшего напряжения находится между двумя
катушками обмотки низшего напряжения.
Рис. 26 Рис. 27
Цилиндрические обмотки применяются преимущественно у стержневых
трансформаторов высокого напряжения, когда разобщенность между перві.чной и вторичной обмотками должна быть
особенно велика. Эта разобщенность между первичной и вторичной обмотками при
высоких напряжениях достигается относительно большим радиальным расстоянием
между катушками обмоток. Последнее обстоятельство, однако, имеет следствием
повышенное рассеяние. Поэтому цилиндрические обмотки всегда дают несколько
большее рассеяние, чем дисковые обмотки.
Дисковые обмотки составляются из плоских или дисковых катушек или секций,
имеющих большой радиальный и небольшой осевой размеры. Катушки высшего
напряжения располагаются на сердечнике трансформатора поочередно с катушками
низшего напряжения, причем надлежащая изоляция между ними получается при
посредстве изоляционных прокладок и воздушных зазоров (рис. 27).
Для того чтобы обеспечить лучшую изоляцию обмоток от сердечников, у ярем
располагают катушки обмотки низшего напряжения. С целью уменьшения магнитного
рассеяния концевые катушки делаются обычно с вдвое, меньшим числом витков, чем
средние катушки. Так как у дисковой обмотки катушки обмоток высшего и низшего
напряжения теснее переплетаются друг с другом, вследствие чего получается более
совершенная компенсация ампервитков этих обмоток то магнитное рассеяние при
дисковой обмотке относительно меньше, чем при цилиндрической. Но тесное
расположение катушек обмоток высшего и низшего напряжения требует весьма
солидной изоляции между ними, если речь идет о трансформаторе высокого напряжения.
Последнее обстоятельство ведет к увеличению высоты обмотки, а с нею и высоты
сердечника. Дисковые обмотки применяются преимущественно в броневых
трансформаторах, хотя при невысоких напряжениях и небольших мощностях они
применяются также в стержневых трансформаторах.
6. ПРИМЕНЕНИЕ ТРАНСФОРМАТОРОВ И ОБОЗНАЧЕНИЕ В
СХЕМАХ
На схемах трансформатор обозначается следующим образом:
Рис. Центральная толстая линия соответствует сердечнику, 1 - первичная
обмотка (обычно слева), 2,3 - вторичные обмотки
Число полуокружностей в очень грубом приближении символизирует число
витков обмотки (больше витков - больше полуокружностей, но без строгой
пропорциональности).
При обозначении трансформатора жирной точкой около вывода могут быть
указаны начала катушек (не менее чем на двух катушках, знаки мгновенно
действующей ЭДС на этих выводах одинаковы). Применяется при обозначении
промежуточных трансформаторов в усилительных (преобразовательных) каскадах для
подчёркивание син- или противофазности, а также в случае нескольких (первичных
или вторичных) обмоток, если соблюдение «полярности» их подключения необходимо для
работы остальной части схемы. Если начала обмоток не указаны явно, то
предполагается, что все они направлены в одну сторону (после конца одной
обмотки - начало следующей).В схемах трёхфазных трансформаторах «обмотки»
располагают перпендикулярно «сердечнику» (Ш-образно, вторичные обмотки напротив
соответствующих первичных), начала всех обмоток направлены в сторону
«сердечника».
Наиболее часто трансформаторы применяются в электросетях и в источниках
питания различных приборов.
Применение в
электросетях
Поскольку потери на нагревание провода пропорциональны квадрату тока,
проходящего через провод, при передаче электроэнергии на большое расстояние
выгодно использовать очень большие напряжения и небольшие токи. Из соображений
безопасности и для уменьшения массы изоляции в быту желательно использовать не
столь большие напряжения. Поэтому для наиболее выгодной транспортировки
электроэнергии в электросети многократно применяют трансформаторы: сначала для
повышения напряжения генераторов на электростанциях перед транспортировкой
электроэнергии, а затем для понижения напряжения линии электропередач до
приемлемого для потребителей уровня.
Поскольку в электрической сети три фазы, для преобразования напряжения
применяют трёхфазные трансформаторы, или группу из трёх однофазных
трансформаторов, соединённых в схему звезды или треугольника. У трёхфазного
трансформатора сердечник для всех трёх фаз общий.
Несмотря на высокий КПД трансформатора (свыше 99 %), в очень мощных
трансформаторах электросетей выделяется большая мощность в виде тепла
(например, для типичной мощности блока электростанции 1 ГВт на трансформаторе
может выделяться мощность до нескольких мегаватт). Поэтому трансформаторы
электросетей используют специальную систему охлаждения: трансформатор
помещается в баке, заполненном трансформаторным маслом или специальной
негорючей жидкостью. Масло циркулирует под действием конвекции или
принудительно между баком и мощным радиатором. Иногда масло охлаждают водой.
«Сухие» трансформаторы используют при относительно малой мощности (до 16000
кВт). Применение в источниках электропитания.
Для питания разных узлов электроприборов требуются самые разнообразные
напряжения. Например, в телевизоре с помощью трансформаторов получают
напряжения от 5 вольт (для питания микросхем и транзисторов) до 30 киловольт
(для питания анода кинескопа). В блоке питания персонального компьютера обычно
также применяется импульсный трансформатор, на первичную обмотку которого
подаётся переменное напряжение прямоугольной (чаще всего) формы с выхода инвертора.
Система управления с помощью ШИМ позволяет стабилизировать напряжение на выходе
источника электропитания. Блоки электропитания в устройствах, которым
необходимо несколько напряжений различной величины, зачастую содержат
трансформаторы с несколькими вторичными обмотками.
В прошлом сетевой трансформатор (на 50-60 Гц) был одной из самых тяжёлых
деталей многих приборов. Дело в том, что линейные размеры трансформатора
определяются передаваемой им мощностью, причём оказывается, что линейный размер
сетевого трансформатора примерно пропорционален мощности в степени 1/4. Размер
трансформатора можно уменьшить, если увеличить частоту переменного тока.
Поэтому в современных блоках питания переменное напряжение сети сперва
выпрямляют, а затем преобразуют в высокочастотные импульсы, которые подаются на
импульсный трансформатор, преобразующий их во все нужные напряжения. Такая
конструкция заметно уменьшает массу блока питания.
Разделительные трансформаторы (трансформаторная гальваническая развязка).
Нейтральный провод электросети может иметь контакт с «землёй», поэтому при
одновременном касании человеком фазового провода (а также корпуса прибора с
плохой изоляцией) и заземлённого предмета тело человека замыкает электрическую
цепь, что создаёт угрозу поражения электрическим током. Если же прибор включён
в сеть через трансформатор, касание прибора одной рукой вполне безопасно,
поскольку вторичная цепь трансформатора никакого контакта с землёй не имеет.
Импульсные трансформаторы (ИТ). Основное применение заключается в передаче
прямоугольного электрического импульса (максимально крутой фронт и срез,
относительно постоянная амплитуда). Он служит для трансформации кратковременных
видеоимпульсов напряжения, обычно периодически повторяющихся с высокой
скважностью. В большинстве случаев основное требование, предъявляемое к ИТ,
заключается в неискажённой передаче формы трансформируемых импульсов
напряжения; при воздействии на вход ИТ напряжения той или иной формы на выходе
желательно получить импульс напряжения той же самой формы, но, быть может, иной
амплитуды или другой полярности.
Измерительные трансформаторы. Применяют для измерения очень больших или
очень маленьких переменных напряжений и токов в цепях РЗиА.
Измерительно-силовые трансформаторы. Имеют широкое применение в схемах генераторов
переменного тока малой и средней мощности (до мегаватта), например, в
дизель-генераторах. Такой трансформатор представляет собой измерительный
трансформатор тока с первичной обмоткой, включённой последовательно с нагрузкой
генератора. Со вторичной обмотки снимается переменное напряжение, которое после
выпрямителя подаётся на обмотку подмагничивания ротора. (Если генератор
трёхфазный, обязательно применяется и трёхфазный трансформатор). Таким образом,
достигается стабилизация выходного напряжения генератора - чем больше нагрузка,
тем сильнее ток подмагничивания, и наоборот.
Согласующие трансформаторы. Из законов преобразования напряжения и тока
для первичной и вторичной обмотки (I1=I2w2/w1,U1=U2w1/w2) видно, что со стороны
цепи первичной обмотки всякое сопротивление во вторичной обмотке выглядит в
(w1/w2)І раз больше. Поэтому согласующие трансформаторы применяются для
подключения низкоомной нагрузки к каскадам электронных устройств, имеющим
высокое входное или выходное сопротивление. Например, высоким выходным
сопротивлением может обладать выходной каскад усилителя звуковой частоты,
особенно, если он собран на лампах, в то время как динамики имеют очень низкое
сопротивление. Согласующие трансформаторы также исключительно полезны в
высокочастотных линиях, где различие сопротивления линии и нагрузки привело бы
к отражению сигнала от концов линии, и, следовательно, к большим потерям.
Трансформатор передаёт только переменную компоненту сигнала, поэтому даже
если все постоянные напряжения в цепи имеют один знак относительно общего
провода, сигнал на выходе вторичной обмотки трансформатора будет содержать как
положительную, так и отрицательную полуволны, причём, если центр вторичной
обмотки трансформатора подключить к общему проводу, то напряжение на двух
крайних выводах этой обмотки будет иметь противоположную фазу. До появления
широко доступных транзисторов с npn типом проводимости фазоинвертирующие
трансформаторы применялись в двухтактных выходных каскадах усилителей, для
подачи противоположных по полярности сигналов на базы двух транзисторов
каскада. К тому же, из-за отсутствия «ламп с противоположным зарядом
электрона», фазоинвертирующий трансформатор необходим в ламповых усилителях с
двухтактным выходным каскадом.
7. ПРАВИЛА ЭКСПЛУАТАЦИИ
Срок службы трансформатора может быть разделен на две категории:
) Экономический срок службы - экономический срок службы
заканчивается, когда капитализированная стоимость непрерывной работы
существующего трансформатора превысит капитализированную стоимость доходов от
эксплуатации этого трансформатора. Или экономический срок жизни трансформатора
(как актива) заканчивается тогда, когда удельные затраты на трансформацию
энергии с его помощью становятся выше удельной стоимости аналогичных услуг на
рынке трансформации энергии.
) Технический срок службы
Работа в
параллельном режиме
Параллельная работа трансформаторов нужна по очень простой причине. При
малой нагрузке мощный трансформатор имеет большие потери холостого хода,
поэтому вместо него подключают несколько трансформаторов меньшей мощности,
которые отключаются, если в них нет необходимости.
При параллельном подключении двух и более трансформаторов требуется
следующее:
) Параллельно могут работать только трансформаторы, имеющие
одинаковую угловую погрешность между первичным и вторичным напряжениями.
) Полюса с одинаковой полярностью на сторонах высокого и низкого
напряжения должны быть соединены параллельно.
) Трансформаторы должны иметь примерно тот же самый коэффициент
передачи по напряжению.
) Напряжение полного сопротивления короткого замыкания должно быть
одинаковым, в пределах ±10 %.
) Отношение мощностей трансформаторов не должно отклоняться более
чем 1:3.
) Переключатели числа витков должны стоять в положениях, дающих
коэффициент передачи по напряжению как можно ближе.
Другими словами это значит, что следует использовать наиболее схожие
трансформаторы, одинаковые модели трансформаторов является лучшим вариантом.
Отклонение от вышеприведенных требований возможны при условии, что имеются в
наличии соответствующие знания.
При одинаковых напряжениях первичной обмотки трансформатор, разработанный
для частоты 50 Гц, может использоваться при частоте сети 60 Гц, но не наоборот.
При этом необходимо принять во внимание, что возможно, потребуется заменить
навесное электрооборудование. При частоте меньше номинальной материал магнитопровода
входит в насыщение, что ведёт к увеличению токов через первичную обмотку и, как
следствие, ее перегрев с вытекающими последствиями.
В зависимости от нагрузки электрической сети меняется её напряжение. Для
нормальной работы электроприёмников потребителей необходимо, чтобы напряжение
не отклонялось от заданного уровня больше допустимых пределов, в связи с чем,
применяются различные способы регулирования напряжения в сети.
ЗАКЛЮЧЕНИЕ
Трансформатором в электротехнике называется аппарат, преобразующий электрическую
энергию переменного тока в электрическую же энергию переменного тока. В этом
аппарате нет непрерывно вращающихся частей. Поэтому трансформатор не является
машиной в обычном смысле этого слова; но так как в трансформаторе все же имеет
место преобразование энергии и притом это преобразование, как и в обычных
электрических машинах, происходит при посредстве магнитного потока, то он
весьма близко к ним подходит по явлениям, в нем происходящим. На этом основании
курс трансформаторов составляет неотъемлемую часть общего курса электрических
машин.
Трансформатор является необходимейшим элементом электрической установки
переменного тока. Он облегчает передачу энергии на далекие расстояния, он же
облегчает ее распределение между крупными и самыми мелкими приемниками.
Благодаря применению трансформатора, позволяющего получать переменный ток при
любом напряжении, облегчается производство электрических машин переменного
тока, которые не могут работать при слишком высоких напряжениях, а также
электрической аппаратуры и приемников электрической энергии. Только благодаря
трансформатору переменный ток получил широчайшее распространение, отодвинув
постоянный ток, не имеющий своего трансформатора, на второе и относительно
весьма скромное место.
Трансформаторы, как и электрические машины, характеризуются, в основном,
мощностью и напряжением. Диапазон мощностей и напряжений современных
трансформаторов весьма широк. Имеются трансформаторы мощностью 0,5 VA, но имеются трансформаторы мощностью
и в 100 000 kVA в одной единице. Точно так же
существуют трансформаторы с напряжением 2-3 V, но существуют трансформаторы с
напряжением 1 миллион вольт или 1000 kV. Последнее напряжение имеется у трансформаторов лабораторного типа.
Наивысшие напряжения промышленных трансформаторов - 110 kV и 220 kV. Причины ограничения предельного напряжения промышленных
трансформаторов кроются не в производстве трансформаторов, а в устройстве линий
передачи и высоковольтной аппаратуры. Точно так же причины ограничения мощности
трансформатора величиною 100 000 kVA
водной единице лежат не в трансформаторе, а в условиях железнодорожного
транспорта. Размеры мощного трансформатора (свыше 100 000 kVA) при высоком напряжении получаются
настолько значительными, что трансформатор с его баком и выводами (изоляторами)
уже не вмещается в железнодорожный габарит даже при специально для него
построенной тележке. Настоящая дипломная работа отразила основные сведения об
устройстве и работе трансформаторов.
трансформатор сердечник обмотка эксплуатация
ЛИТЕРАТУРА
1. Основы
теории цепей, Г.И. Атабеков, Лань, С-Пб.,-М.,-Краснодар, 2006.
2. Электрические
машины, Л.М. Пиотровский, Л., «Энергия», 1972.
. Силовые
трансформаторы. Справочная книга/Под ред. С.Д. Лизунова, А.К. Лоханина.
М.:Энергоиздат 2004. - 616 с ISBN 5-98073-004-4
. Электрические
машины: Трансформаторы: Учебное пособие для электромех. спец. вузов/Б.Н.
Сергеенков, В.М. Киселёв, Н.А. Акимова; Под ред. И.П. Копылова. - М.: Высш.
шк., 1989-352 с ISBN 5-06-000450-3
. Электрические
машины, А.И. Вольдек, Л., «Энергия», 1974.
. Электромагнитные
расчеты трансформаторов и реакторов. - М.: Энергия, 1981-392 с.
. Конструирование
трансформаторов. А.В. Сапожников. М.: Госэнергоиздат. 1959.
. Расчёт
трансформаторов. Учебное пособие для вузов. П.М. Тихомиров. М.: Энергия, 1976.
- 544 с.