Процесс улучшения контроля за температурой теплоносителя в бойлерной

  • Вид работы:
    Дипломная (ВКР)
  • Предмет:
    Информатика, ВТ, телекоммуникации
  • Язык:
    Русский
    ,
    Формат файла:
    MS Word
    169,02 kb
  • Опубликовано:
    2012-03-11
Вы можете узнать стоимость помощи в написании студенческой работы.
Помощь в написании работы, которую точно примут!

Процесс улучшения контроля за температурой теплоносителя в бойлерной

ВВЕДЕНИЕ

На сегодняшний день в сфере КЖХ наблюдается тотальный износ и старение всех имеющихся технических ресурсов. Все чаще и чаще мы слышим о всякого рода авариях, связанных с работой коммунального хозяйства, будь то: прорывы на теплотрассах или отказ аппаратуры, и т.д., где был необходим постоянный контроль измеряемой среды.

Очевидно, что назрела необходимость в полной замене имеющихся технических систем, с учетом передовых разработок и современных новинок. Для повышения срока службы, надежности и точности полученной информации целесообразно применять современную техническую аппаратуру и создавать более надежные, для современного производства, системы автоматического управления.

В моем курсовом проекте рассматривается процесс улучшения контроля за температурой теплоносителя в бойлерной.

НАЗНАЧЕНИЕ

Описание системы для сбора данных о параметрах теплоносителя в бойлерной.

Назначение, функциональные возможности, состав и структурная схема системы.

Система предназначена для сбора данных о параметрах теплоносителя в бойлерной. Данная система обеспечивает формирование на светоиндикаторе, выдачу на монитор и распечатку на принтере информации: среднесуточные данные о параметрах теплоносителя, ежеминутный контроль теплоносителя, архивацию и выдачу данных о параметрах теплоносителя за месяц. Данные из компьютера могут предоставляться как в виде таблиц, так и в виде диаграмм.

Вариант исполнения системы представлен в виде следующей структурной схемы.

Рис. 1 - Структурная схема

Д1 - Датчик параметров входящих (температуры и расхода).

Д2 - Датчик параметров исходящих (температуры и расхода).

АЦП - Аналогово-цифровой преобразователь.

В - Вычислитель.

БИ - Блок индикации.

Шина M-BUS - Выход на M-Bus.

ЭВМ - Компьютер.

СОМ - СОМ-порт.

ПРИНТ - Принтер.

СЕТЬ - Выход для подключения данного прибора в сеть ETHERNET.- Пересылка информации в глобальную сеть INTERNET.

САР - Система автоматического регулирования.

ОПИСАНИЕ ТЕПЛОСЧЕТЧИКА CF Combi

Теплосчетчики CF Combi производства Schlumberger Industries, предназначены для измерения и учета тепловой энергии, потребляемой средними объектами (квартиры, коттеджи, небольшие бойлерные, офисы, магазины и т.д.) объема теплоносителя и других параметров теплоносителя. CF Combi состоит из механического счетчика горячей воды (крыльчатый одноструйный), двух платиновых термопреобразователей сопротивления Pt100 и электронного тепловычислителя Th-III (далее -вычислитель).

К теплосчетчику возможно подключение двух дополнительных счетчиков воды с импульсными выходами и вывод на дисплей их показаний.

Теплосчетчик хранит информацию о количестве потребленной тепловой энергии и объема теплоносителя за два последних года, а так же максимальные зарегистрированные значения по расходу теплоносителя и мгновенной тепловой мощности.

Вычислитель каждые 24 часа производит автоматический контроль точности определения разности температур; в случае отказа питания накопленная информация сохраняется (EEPROM).

Считывание показаний с теплосчетчика может производиться визуально с дисплея вычислителя, а также дистанционно - через шину М-BUS и индукционную розетку с помощью ручного терминала, находящегося на расстоянии до 100 м, или компьютера с помощью интерфейса, связанного с теплосчетчиком телефонной линией или специальным кабелем.

Использование шины М-BUS позволяет обеспечить снятие показаний с 250 теплосчетчиков по следующим параметрам: количество тепловой энергии; объем теплоносителя; объемы воды, измеренные двумя дополнительными счетчиками; температуры теплоносителя; сигналы неисправностей; серийный номер вычислителя; дата и время снятия показаний.

По метрологическим характеристикам теплосчетчики соответствуют требованиям 4-го класса точности рекомендации МОЗМ Р 75.

При заказе теплосчетчиков должны быть указаны:

условное обозначение прибора (CF Combi),

единицы измерения тепловой энергии (МВтч или ГДж),

номинальный диаметр счетчика воды (150 или 200 мм) и место установки - подающий или обратный трубопроводы,

наличие дополнительных функций (одна из ниже перечисленных):

подключение двух дополнительных счетчиков воды (с ценой импульса 100л/имп.) + выход на M-Bus;

импульсный выход по количеству теплоты («сухой» контакт).

ТЕХНИЧЕСКИЕ ХАРАКТЕРИСТИКИ

Условия эксплуатации:

температура окружающей среды . от +5 до +55 °С,

относительная влажность, от 30 до 93 %,

атмосферное давление от 86 до 106,7 кПа,

температура хранения от -10 до +60 °С.

Входы для двух дополнительных счетчиков

сигнал замыкания «сухого контакта»,

цена импульса. 100 л/импульс.

Термопреобразователи температуры:

тип ТСП . Pt 100 по IEC 751 Class B

Основные параметры теплосчетчика приведены в таблице 1

Таблица 1

Пределы измерений разности температур ΔТ теплосчетчика, °С вычислителя, °С

3 - 120 3 - 160

Пределы измерения температуры Т теплосчетчика, °С  - вычислителя, °С

0 - 120 0 - 160

Пределы относительной погрешности:

Счетчик воды установлен горизонтально

Счетчик установлен в  вертикальном или наклонном положении

По измерению тепловой энергии, % при разности температур ΔТ и диапазона расходов Qt ≤ Q ≤ Qmax ΔТ > 20°С 3 < ΔТ < 20°С

± 4 ± 5

± 5 ± 7

По измерению объема, % в диапазоне расходов: Qt ≤ Q ≤ Qmax Qmin ≤ Q < Qt

± 2 ± 5

± 3 ± 5

Емкость отсчетного устройства, разрядов

7

Цена младшего разряда вычислителя по температуре, °С по объему, м3 по тепловой энергии, Мвт / ГДж

0,1 на Т; 0,01 на ΔТ 0,01 0,001 / 0,01

Питание

Заменяемая литиевая батарея 3В, 1.8 А ч, срок службы 7 лет

Безопасность

Установка расходомера

Горизонтальное положение

Другие варианты

Номинальный диаметр Дн, мм Номинальный Qn, м3 / ч Максимальный Qmax, м3 / ч Переходный Qt, м3 / ч Минимальный Qmin, м3 / ч Порог чувствительности счетчика, л / ч

150 200 1,5 2,5  3 5  0,12 0,20  0,03 0,05  16 30

150 200  1,5 2,5  3 5  0,15 0,25  0,06 0,1  16 30

Цена импульса счетчика воды, л

 1

Максимальное рабочее давление, бар

 16

Потери давления при Qn, Мбар

 200


Выходные характеристики:

Импульсный выход

длительность импульса 500 мс,

коммутируемый ток не более 20 мА,

максимальное напряжение 30 В,

частота тока не более 1 Гц,

полное сопротивление нагрузки не более 10 Ом,

время задержки первого импульса 1,5 с,

расстояние до сумматора - не более 30 м,

контакт не поляризованный.Bus выход

скорость передачи . 300 или 2400 бод,

протокол обмена по стандарту IEC 870-5.

Средний срок службы - 12 лет.

Основные размеры теплосчетчика приведены на рис.1 и в таблице 2.

Таблица 2

Дн, мм

счетчик наружная резьба, дюйм

штуцер, наружная резьба С, дюйм

тройник внутренняя резьба, дюйм

длина без штуцеров А, мм

длина со штуцерами В, мм

вес счетчика, кг

150

3/4

½

3/4

110

170

1,3

200

1

3/4

1

130

200

1,4

Рис. 2

КОМПЛЕКТНОСТЬ

В комплект поставки теплосчетчика входят:

теплосчетчик типа CF Combi (вычислитель, 2 датчика температуры, расходомер) 1 к-т

M-Bus интерфейс c возможностью подключения двух счетчиков воды (по заказу) 1 шт.

Repetition интерфейс с импульсным выходом по энергии (по заказу) . 1 шт.

аксессуары: присоединительные штуцера в сборе и тройник 1 к-т

паспорт прибора 1 экз.

методики поверки (по требованию) 1 к-т.

УСТРОЙСТВО И ПРИНЦИП РАБОТЫ ТЕПЛОСЧЕТЧИКА

Теплосчетчик состоит из счетчика объемного расхода воды, подобранной пары термопреобразователей и вычислителя

Теплосчетчики определяют количество тепловой энергии по формуле

Q=Σ K х V х ΔT

где:

К - тепловой коэффициент, определяемый свойствами теплоносителя при определенных температурах и давлении, который автоматически вычисляется по специальному алгоритму, МДж/(К*м3);- объемный расход теплоносителя, м3;

ΔT - разность температур в подающем и обратном трубопроводах, °С.

Счетчик объемного расхода теплоносителя - крыльчатый, с импульсным выходом.

Принцип его работы заключается в измерении числа оборотов крыльчатки, вращающейся под действием протекающей воды, которое через магнитную (или электромагнитную) передачу передается на отсчетное устройство. Отсчетное устройство изолировано от воды (сухоходный механизм) для предотвращения воздействия воды, примесей и грязи.

Разность температур определяется посредством пары термопреобразователей

сопротивления Pt 100, подобранной так, чтобы погрешность разности их показаний была минимальной. Испытания и последующую поверку этих термопреобразователей производят одновременно и дают паре один серийный номер. Замена одного из термопреобразователей не допускается - при отказе одного из них пару заменяют целиком.

Вычислитель - микропроцессорное устройство с дисплейным табло. Он имеет терминал для подключения счетчика воды, термопреобразователей и дополнительный интерфейс для подключения двух счетчиков воды и выходных устройств.


Рис. 3

Дисплей обычно выключен. При нажатии одной из кнопок пользователя жидкокристаллический дисплей (LSD) включается и на нем появляется показатель энергии. И наоборот, если ни одна из пользовательских кнопок не была нажата в течение 10 минут, LSD выключается.

Режим пользователя состоит из 3 отдельных уровней. Активизация каждого из уровней производится на заводе; 2-ой уровень активизируется только в случае подключения двух дополнительных счетчиков воды.

Для перехода от одного уровня к другому необходимо держать нажатыми две кнопки управления по меньшей мере в течение 2 секунд.

В пределах какого-либо уровня для перехода к следующему изображению на дисплее необходимо нажать кнопку прямого хода.

В пределах какого-либо уровня для перехода к предыдущему изображению на дисплее необходимо нажать кнопку обратного хода.

Ниже приведены блок-схема пользовательского режима и описание уровней (рисунок 4).

Рис .4

При индикации текущих параметров, на экране высвечивается величина и единица измерения (пр: текущее значение тепловой энергии, рис. 5а); при индикации сохраненных значений за предыдущие годы на экране индицируется величина, единица измерения и год, за который эта величина была посчитана (рис. 5б).

Рис. 5

МЕРЫ БЕЗОПАСНОСТИ

Устранение дефектов теплосчетчиков, замена, присоединение и отсоединение их от трубопровода должны производиться при отсутствии давления в трубопроводе.

К работе по монтажу, установке, обслуживанию и эксплуатации теплосчетчиков допускаются лица, имеющие необходимую квалификацию, и прошедшие инструктаж по технике безопасности.

ПОДБОР ЭЛЕМЕНТОВ И РАСЧЕТ НАДЕЖНОСТИ

Технические характеристики термопреобразователя Pt100.

Тип термопреобразователя

Диапазон измеряемых температур, оС

Допустимая погрешность, %

Разрешающая способность, оС

Pt100

-50.200

+/-(0,1+*)

0,1






Инерционность 10сек.

Выходной сигнал 0 - 15мВ.

Датчик температуры Pt-100 представляет собой термоэлектрический преобразователь, чувствительный элемент которого представляет собой два термоэлектрода, сваренных между собой в термопару (рабочий спай) и изолированных по всей длине при помощи керамической трубки. Под воздействием разности температур между термопарой и свободными концами термоэлектродов в термопаре появляется термо-ЭДС, которая приводит к возникновению в цепи термопары электрического тока, пропорционального разности температур. К термоэлектродам присоединяются провода, идущие к вторичному преобразователю.

Данные датчики используются по причине высоких эксплуатационных характеристик: устойчивость к температурному воздействию от -50°C до 200°C, гидростойкость, обеспечение необходимого диапазона измерений параметров, низкая погрешность измерений.

Описание АЦП:

Отечественным аналогом используемого в теплосчетчике является АЦП, представляющий собой 12-разрядный преобразователь напряжения в двоичный код на микросхеме К572ПВ1А и операционном усилителе К553УД2. Микросхема К572ПВ1А вместе с ОУ, играющим роль компаратора, выполняет функции АЦП последовательного приближения с параллельным двоичным кодом на выходах. Преобразование запускается подачей импульса на стробирующий вход. По завершении цикла преобразования результат записывается в регистр, откуда может быть считан в любое время. В микросхеме используются 2 источника питания, позволяющие согласовать ее практически с любой входной и выходной цепями. Цифровые выходы микросхемы могут иметь 3 устойчивых состояния. АЦП на К572ПВ1А обладает следующими характеристиками: напряжение 1 источника питания 5 В, напряжение 2 источника питания 20 В, опорное напряжение 15 В, напряжение 0 - 0,4 В, напряжение 1 - 2,4 В, тактовая частота 250 кГц, время преобразования 170 мкс, погрешность преобразования не более 0,1%. Данная микросхема использована, поскольку она имеет широкие функциональные характеристики, позволяющие построить на ее основе законченный блок АЦП, полностью согласованный с ЭВМ, обладает достаточно высокой точностью и диапазоном измерений.

Рис. 6 - Условное графическое изображение АЦП К572ПВ1А

бойлерная теплоноситель теплосчетчик

Данные об элементах, содержащихся в системе, сведем в таблицу:

№ поз.

Обозн.

Наименование

Тип

Надежность

1

B

Вычислитель

CF Combi

7,4·104 ч

2

Д1, Д2

Счетчик объемного расхода теплоносителя -крыльчатый


8,7·104 ч

3

Д1, Д2

Термопреобразователи

Pt100

3,2·104 ч

4

АЦП

Аналого-цифровой преобразователь

К572ПВ1А+К553УД2

5·105 ч

5

ЭВМ

ЭВМ

Athlon 1500/256Mb/ 60Gb/S3TRIO64V2/16Mb/ 15”LG-SW500E/S-300

1·105 ч


Рассчитаем интенсивность отказа каждого элемента.

, где Т - время наработки на отказ.

 ч-1

 ч-1

 ч-1

 ч-1

 ч-1

 ч-1

Рассчитаем суммарную интенсивность отказа.

 ч-1

Время наработки на отказ:  ч

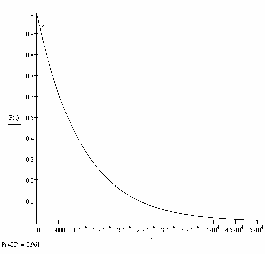
Вычислим вероятность безотказной работы в течение 2000 часов.

 0.801

считается, что если P(t) > 0,96, то изделие работает надежно. В нашем случае(t) =0.801< 0,96, значит, система не будет работать надежно. Это связано с использованием в системе датчиков, обладающих низким сроком службы. Остальная часть системы обладает большей надежностью (1,4×10-5). Следовательно, в течение эксплуатации необходимо заменять вышедшие из строя датчики. Также надежность системы можно увеличить, продублировав датчики, но это приведет к возрастанию стоимости системы и экономически нецелесообразно.

Рис. 7

Похожие работы на - Процесс улучшения контроля за температурой теплоносителя в бойлерной

 

Не нашли материал для своей работы?
Поможем написать уникальную работу
Без плагиата!
Без нейросетей!