Инвестиционная политика. Коммерческая эффективность инвестиционного проекта и ее оценка
Содержание:
Введение
. Инвестиционная
политика
. Коммерческая
эффективность инвестиционного проекта и ее оценка
. Понятие
неопределенности и риска
. Расчетно-графическая
часть
Список используемой
литературы
Введение
Экономическая оценка инвестиций - определение
соответствия технических, организационных, маркетинговых, финансовых и других
решений, заложенных в проекте, целям и экономическим интересам инвестора.
Экономическая оценка инвестиций в первую очередь требует ответа на такие
ключевые вопросы, как рентабельность вложений средств в данный проект, сроки
окупаемости и степень риска инвестора, экономические особенности проекта,
оказывающие влияние на результат. Оцениваются риски чувствительности проекта,
риски на необходимые обновления, и т.д.
При экономической оценке инвестиций
производится построение и исследование экономико-математической модели всего
дальнейшего процесса реализации проекта. Необходимость такого моделирования
обусловливает многоплановость процесса реализации проекта, которую приходится
постоянно упрощать, исключая малозначащие факторы и обращая большее внимание на
существенные факторы.
Таким образом, в условиях рыночной
экономики сущность инвестиций заключается в сочетании двух аспектов
инвестиционного процесса: затрат капитала и результатов, соизмерение этих
элементов лежит в основе теории экономической оценки инвестиций. Инвестиции
осуществляются с целью получения определенного результата (прибыли) и
становятся бесполезными, если данного результата не приносят.
1. Инвестиционная политика
Инвестиционная политика, как и
финансовая политика, является составной частью экономической политики
государства. Инвестиционная политика - это важный рычаг воздействия как на
экономику страны, так и на предпринимательскую деятельность ее хозяйствующих
субъектов.
Под инвестиционной политикой
государства понимается комплекс целенаправленных мероприятий по созданию
благоприятных условий для всех субъектов хозяйствования с целью оживления
инвестиционной деятельности, подъема экономики, повышения эффективности
производства и решения социальных проблем.
Основной целью инвестиционной
политики является создание оптимальных условий для активизации инвестиционного
потенциала.
Основными направлениями
инвестиционной политики выступают меры по организации благоприятного режима для
деятельности отечественных и иностранных инвесторов, увеличению прибыльности и
минимизации рисков в интересах стабильного экономического и социального
развития, повышению жизненного уровня населения.
Результат осуществления инвестиционной
политики оценивается в зависимости от объема вовлеченных в развитие экономики
инвестиционных ресурсов.
Государство может влиять на
инвестиционную активность при помощи амортизационной политики,
научно-технической политики, политики в отношении иностранных инвестиций и др.
Амортизационная политика государства
устанавливает порядок начисления и использования амортизационных отчислений.
Осуществляя соответствующую амортизационную политику, государство регулирует
темпы и характер воспроизводства, и в первую очередь, скорость обновления
основных фондов. Правильная амортизационная политика государства позволяет
предприятиям иметь достаточные инвестиционные средства для простого и в
определенной мере для расширенного воспроизводства основных фондов.
Под научно-технической политикой
государства понимается система целенаправленных мер, обеспечивающих комплексное
развитие науки и техники, внедрение их результатов в экономику страны.
Научно-техническая политика является составной частью инновационной политики и
предполагает выбор приоритетных направлений в развитии науки и техники и
всяческую поддержку государства в их развитии.
В настоящее время российская
экономика нуждается в притоке иностранных инвестиций. Это вызвано практически
полным отсутствием финансирования из средств государственного бюджета,
отсутствием достаточных средств у предприятий, развитием общего экономического
кризиса и спадом производства, большим износом установленного на предприятиях
оборудования и другими причинами. Действительно, иностранный капитал,
привлеченный в национальную экономику и используемый эффективно, с одной
стороны, оказывает положительное влияние на экономический рост, помогает
интегрироваться в мировую экономику. С другой стороны, привлечение иностранных
инвестиций накладывает определенные обязательства, создает многообразные формы
зависимости страны, вызывает резкий рост внешнего долга и др. Таким образом,
иностранные инвестиции могут иметь неоднозначные последствия для национальной
экономики.
В связи с этим, естественно, ставится
вопрос о расширении технической помощи, направленной на углубление
использования собственных ресурсов, повышение квалификации национальных Кадров,
а уже затем о привлечении инвестиций в виде кредитов. Речь идет о том, что
сначала необходимо научиться эффективно использовать свои финансы, а затем
принимать иностранный капитал в свою экономику.
Перспективы же для инвесторов в
России в настоящее время весьма многообещающи. Отсутствие существенной
конкуренции со стороны национальных предпринимателей, дешевая рабочая сила,
емкий рынок дешевого сырья и всепоглощающий рынок потребления, и, самое
главное, высокий процент прибыли, во много раз превышающий среднюю прибыль в
странах со зрелой рыночной экономикой, делают отечественную экономику
привлекательной для иностранных предпринимателей.
Однако; несмотря на это, иностранные
инверторы не очень торопятся вкладывать свои капиталы в российские предприятия.
Основными причинами этого являются:
нестабильность экономической и
политической ситуации;
несовершенное и противоречивое
законодательство;
неясность в определении прав
собственности;
отсутствие реальных льгот и
привилегий для иностранного капитала;
нестабильность рубля как
национальной валюты;
непредсказуемость изменений в
налоговой системе и др.
Государственные мероприятия по
привлечению иностранных инвестиций можно свести в две группы. К первой
относятся действия, направленные на снижение темпов инфляции, рисков для
иностранных инвесторов в России и гарантированные выплаты по внешним долгам. К
второй - мероприятия правительства, которые снижают налоги для иностранных
инвесторов и облегчают таможенные условия.
Таким образом, продуктивная
инвестиционная политика государства тесно связана с амортизационной политикой,
научно-технической политикой, политикой в отношении иностранных инвестиций и
др. Все они являются составными частями экономической и социальной политики
государства, должны вытекать из нее и способствовать ее реализации.
Инвестиционная политика не может
осуществляться без механизма ее реализации. Он должен включать в себя:
выбор источников и методов
финансирования инвестиций;
определение сроков реализации;
выбор органов, ответственных за
реализацию инвестиционной политики;
создание необходимой
нормативно-правовой базы функционирования рынка инвестиций;
создание благоприятных условий для
привлечения инвестиций.
Кроме государственной инвестиционной
политики различают отраслевую, региональную инвестиционную политику и
инвестиционную политику предприятия. Все они находятся в тесной взаимосвязи, но
определяющей является государственная инвестиционная политика, так как она
создает условия и способствует активизации инвестиционной деятельности на всех
уровнях.
Под отраслевой инвестиционной
политикой понимается инвестиционная поддержка приоритетных отраслей хозяйства,
развитие которых обеспечивает экономическую и оборонную безопасность страны,
экспорт промышленной продукции, ускорение научно-технического прогресса и
установление неискаженных хозяйственных пропорций на ближнюю и дальнюю
перспективу.
Под региональной инвестиционной
политикой понимается система мер, проводимых на уровне региона и способствующих
мобилизации инвестиционных ресурсов и определению направлений их наиболее
эффективного и рационального использования в интересах населения региона и
отдельных инвесторов.
Инвестиционная политика в каждом
регионе имеет свои особенности, которые обусловлены следующими факторами:
экономической и социальной
политикой, проводимой в регионе;
величиной имеющегося
производственного потенциала;
природно-климатическими условиями;
оснащенностью энергосырьевыми
ресурсами;
географическим местонахождением и
геополитическим положением;
состоянием окружающей среды;
демографической ситуацией;
привлекательностью региона для
иностранных инвестиций и др.
Все большую роль в .инвестиционной
деятельности в последнее время играют отдельные коммерческие предприятия и
организации. Исходя из этого существенно повышается роль инвестиционной
политики предприятия. Под инвестиционной политикой коммерческого предприятия
понимается комплекс мероприятий, обеспечивающих выгодное вложение собственных,
заемных и других средств в инвестиции с целью обеспечения финансовой
устойчивости работы предприятия в ближайшей и дальнейшей перспективе.
Инвестиционная политика предприятия исходит из стратегических целей его
бизнес-плана.
Многие проблемы формирования
инвестиционного процесса в современных условиях обусловлены отсутствием четко
разработанной системы принципов инвестиционной политики. Система принципов
инвестиционной политики является стержнем развития экономики, обеспечивающим
эффективное взаимодействие всех уровней, начиная от предприятий и охватывая
органы власти всех уровней.
Согласно теории инвестиций основными
принципами инвестиционной политики являются: целенаправленность, эффективность,
многовариантность, системность, гибкость, готовность к освоению ресурсов,
регулируемость действий, комплексность и социальная, экологическая и
экономическая безопасность.
Эти принципы должны реализовываться
в инвестиционной политике органов власти различного уровня. Инвестиционная
политика на федеральном уровне должна активизировать инвестиционную
деятельность на уровне регионов и предприятий.
Так, например, основными принципами
региональной инвестиционной политики на федеральном уровне могут быть
следующие:
) государственная инвестиционная
политика должна обеспечивать единство инвестиционного пространства на всей
территории России, то есть обеспечивать свободное перемещение финансового
капитала, инвестиционных товаров и строительных услуг. Она должна создавать
единство условий экономического и правового регулирования инвестиционной
деятельности, ее информационного обеспечения;
) на федеральном уровне
целесообразно разработать и реализовать ограниченное количество, но реальных
федеральных среднесрочных и долгосрочных программ, органической частью которых
должен стать региональный разрез, согласованный с субъектами Федерации;
) необходимо устранить
многоканальность и частичное дублирование одинаковых по назначению потоков
государственных финансов путем совершенствования их региональной привязки.
Важную роль в управлении потоками играет стабильное и полное разграничение
пропорций, закрепление каждого вида налоговых бюджетных доходов за федеральным
бюджетом и бюджетами субъектов Федерации как экономической основы региональной
инвестиционной политики этих субъектов;
) наделение органов государственной
власти субъектов Федерации широкими полномочиями по экономическому, в первую
очередь налоговому регулированию, стимулирующему инвестиционную деятельность;
) разработка и применение единых
общероссийских нормативно-законодательных основ залогового права,
предусматривающих, в частности, страхование инвестиций от некоммерческих рисков
имуществом субъектов Федерации по их усмотрению.
Для проведения эффективной
муниципальной инвестиционной политики (на уровне муниципальных образований)
требуется выработка стратегии инвестиционной деятельности на уровне региона
(области, края, республики). Привлечение инвестиций на региональном уровне
целесообразно проводить с учетом следующих мер:
оценки собственного инвестиционного
потенциала, сильных и слабых сторон региона;
формирования и реализации стратегии
регионального развития;
разработки целевых комплексных
программ, реализующих круг маркетинговых, организационно-технических и других
мер по привлечению инвестиций в регион. В целевых комплексных программах может
быть отражена система программных мероприятий, например создание бизнес-карты,
которая содержит информацию о деловом потенциале региона в целом и его
отдельных территориальных образований;
формирование банка данных
производственных мощностей, свободных и предлагаемых для включения в
инвестиционный процесс, неэффективно используемых, а также имущества для
передачи в лизинг;
разработка программ по
стимулированию отдельных территорий путем открытия зон свободного
предпринимательства, а также мер по снижению незавершенного строительства;
формирование бизнес-профилей по
отдельным отраслям и предприятиям.
При разработке инвестиционной
политики предприятия необходимо придерживаться следующих принципов:
нацеленность инвестиционной политики
на достижение стратегических планов предприятия и его финансовую устойчивость;
учет инфляции и фактора риска;
формирование оптимальной структуры
портфельных и реальных инвестиций;
ранжирование проектов и инвестиций
по их важности и последовательности исходя из имеющихся ресурсов и с учетом
привлечения внешних источников;
выбор надежных и более дешевых
источников и методов финансирования инвестиций.
Учет этих и других принципов позволит
избежать многих ошибок и просчетов при разработке инвестиционной политики
предприятия.
В современных условиях эффективная
инвестиционная политика должна строиться в развитии четырех базовых принципов:
совершенствование законодательного
обеспечения инвестиционной деятельности;
осуществление концентрации
инвестиционной политики на стратегических направлениях инвестиционных программ;
организация взаимодействия с
предприятиями с целью мобилизации в инвестиции их собственных средств (здесь
речь идет о реализации взаимных интересов предприятий региона в развитии
инвестиционной политики);
осуществление постоянного
мониторинга положительных и отрицательных моментов развития.
2. Коммерческая эффективность инвестиционного проекта и ее оценка
Как известно, эффективность является
важнейшей характеристикой деятельности предприятий. Под ней понимают степень
достижения наилучших результатов при наименьших затратах.
Эффективность проекта - та
категория, которая отображает соответствие затрат и результатов инновационного
проекта интересам и целям участников, здесь могут также учитываться интересы
государства и населения.
При оценке проектов используются
такие виды эффективности, как:
эффективность участия в проекте;
эффективность проекта в целом.
Эффективность проекта в целом
определяется для того, чтобы определить потенциальную привлекательность проекта
для его вероятных участников, а также с целью поиска инвесторов. Этот вид
эффективности включает: общественную (социально-экономическую) и коммерческую
эффективность.
Эффективность участия в проекте
определяется для того чтобы определить возможность реализуемости проекта, а
также заинтересованность в проекте его участников. Здесь включаются такие виды
эффективности как: бюджетная эффективность, эффективность участия в проекте
предприятия, эффективность инвестирования в акции компании, а также
эффективность участия в проекте структур более высокого уровня.
Среди многообразия видов
эффективности проектов также можно выделить такие как:
)Экономическая эффективность -
показывает соотношение затрат на реализацию проекта и его результатов в
соответствии с интересами и целями участников проекта в денежном эквиваленте;
) Экологическая эффективность
проекта - отражает соответствие затрат и результатов с точки зрения государства
и общества;
) Социальная эффективность - здесь
отображено соответствие затрат и общественных результатов рассматриваемого
проекта целям и социальным интересам его участников;
) Другие виды эффективности.
К наиболее значимым видам
эффективности проектов следует отнести коммерческую эффективность, которая
непосредственно связана с проблемой комплексной оценки эффективности
капитальных вложений, поскольку проект в данном случае рассматривается как
объект инвестирования.
Оценка коммерческой эффективности
базируется на следующих основных принципах:
используются предусмотренные
проектом (рыночные, то есть цены, по которым товар приобретается на свободном
рынке) постоянные или переменные цены на товары и услуги;
денежные потоки рассчитываются в
валютах, в которых в проекте предусматривается покупка ресурсов и оплата
продукции;
инвестиционный политика проект
- в случае, если проект
предусматривает и производство и потребление некой продукции, в расчете
учитываются только производственные затраты, но не учитываются расходы на ее
приобретение;
в расчетах учитываются налоги,
сборы, отчисления, предусмотренные законодательством, к примеру, возмещение НДС
за используемые ресурсы;
получение и погашение займов не
учитываются как в денежном потоке, так и в расчетах потребности в оборотном
капитале;
если по проекту предусмотрено
одновременное выполнение нескольких различных видов операционной деятельности,
то при расчете расходы учитываются по каждому из них.
При определении коммерческой
эффективности инновационно - инвестиционного проекта в качестве эффекта
рассматривается поток реальных денег. При реализации инновационного проекта
выделяются такие виды деятельности, как: финансовая, операционная и
инвестиционная. В рамках каждого из этих видов деятельности осуществляются
притоки и оттоки денежных средств. Поток реальных денег представляет собой
разность между притоком и оттоком денежных средств от операционной и
инвестиционной деятельности за каждый период осуществления данного проекта.
Сальдо реальных денег - это разность
между притоками и оттоками денежных средств от всех 3 видов деятельности.
Помимо того, на каждом шаге расчета рассчитывают:
Поток реальных денег - этот
показатель используют в дальнейшем для расчета таких показателей эффективности
инновационно - инвестиционного проекта, как: чистый дисконтированный доход,
срок окупаемости проекта, индекс доходности, внутренняя норма доходности и
других.
Для того, чтобы принять какой-либо
инновационно-инвестиционный проект необходимо, чтобы сальдо реальных денег было
положительным в любом временном промежутке, где данный участник этого проекта
осуществляет затраты или получает доход. Отрицательное сальдо реальных денег
является свидетельством необходимости привлечения дополнительных средств
(собственных или заемных).
3. Понятие неопределенности и риска
Начиная рассмотрение вопроса об
оценке инвестиционного проекта в условиях неопределенности и риска, необходимо
различать понятия риск и неопределенность.
Неопределенность предполагает
наличие факторов, при которых результаты действий не являются
детерминированными (о которых имеется полная и точная информация), а степень
возможного влияния этих факторов на результаты неизвестна; это неполнота или
неточность информации об условиях реализации проекта.
Факторы неопределенности подразделяются
на внешние и внутренние. Внешние факторы -законодательство, реакция рынка на
выпускаемую продукцию, действия конкурентов и др. Внутренние -компетентность
персонала фирмы, ошибочность определения характеристик проекта и т. д.
Отметим некоторые важные особенности,
связанные с учетом неопределенности в инвестиционном проектировании:
неопределенность нельзя трактовать
как отсутствие какой бы то ни было информации об условиях реализации проекта,
речь может идти только о неполноте и неточности имеющейся информации.
Соответственно учет неопределенности
подразумевает сбор и наиболее полное использование всей имеющейся полезной
информации об условиях реализации проекта и степени возможности их
осуществления. Иными словами, упор делается не на отсутствие, а на наличие
информации, и именно эта имеющаяся информация и должна рассматриваться как
точная и обоснованная и использоваться при оценке проекта;
неопределенность может относиться не
только к информации о будущих условиях реализации проекта, но и к использованной
при проектировании информации об уже осуществленных действиях. Поэтому факторы
неопределенности необходимо учитывать и при подготовке исходной информации для
разработки проекта, и при оценке результатов его реализации, а также при
корректировке хода реализации на основе поступающей новой информации.
Под риском понижается вероятность
возникновения условий, приводящих к негативным последствиям для всех или
отдельных участников проекта.
Однако приведенное определение не
охватывает всего содержании риска. Для более полной характеристики определения
риск целесообразно выявить понятие ситуация риска.
Понятие ситуация можно определить
как сочетание, совокупность различных обстоятельств и условий, создающих
определенную обстановку для того или иного вида деятельности.
Среди различных видов ситуаций
особое место занимают ситуации риска. Функционированию и развитию многих
экономических процессов присущи элементы неопределенности. Это обусловливает
появление ситуаций, не имеющих однозначного исхода (решения). Если существует
возможность количественно и качественно определять степень вероятности того или
иного варианта, то это и будет ситуация риска.
Следует отметить, что ситуация риска
качественно отличается от ситуации неопределенности. Ситуация неопределенности
характеризуется тем, что вероятность наступления результатов решений или
событий в принципе невозможно установить. Таким образом, ситуация риска -это
разновидность неопределенности, при которой наступление событий вероятно и
может быть определено.
Влияние факторов риска и
неопределенности приводит к тому, что содержание, состав инвестиционного
проекта и методы оценки его эффективности существенно изменяются. Основным
отличием проектов, разрабатываемых и оцениваемых с учетом неопределенности,
является то, что условия их реализации и соответствующие затраты и результаты
точно не известны. Поэтому приходится принимать во внимание весь спектр их
возможных значений, а также степень возможности каждого из них.
Из вышесказанного вытекают и другие
отличия:
. Необходимость введения новых и
обобщения обычных показателей эффективности проекта.
. Изменение экономического
содержания понятия эффективности проекта.
. Потребность в существенном
изменении содержания инвестиционного проекта, прежде всего в части усложнения
организационно-экономического механизма его реализации.
. Необходимость введения в
рассмотрение дополнительных показателей, характеризующих неопределенность и
риск.
4. Расчетно-графическая часть
Здесь необходимо по
заданным исходным данным рассчитать: чистые денежные поступления по годам срока
жизни гипотетического инвестиционного проекта; показатели экономической
эффективности инвестиций (срок окупаемости инвестиций, чистый дисконтированный
эффект, внутреннюю норму рентабельности инвестиций, индекс рентабельности
инвестиций, коэффициент эффективности инвестиций). По выполненным расчетам
сделать вывод о целесообразности принятия данного проекта к реализации. При
наличии противоречивости оценок эффективности по разным показателям следует
принять решение, ориентируясь на какой-либо один или несколько наиболее важных
показателей, либо принять во внимание дополнительные факторы.
После выполнения
указанных выше расчетов построить график зависимости (по трем-пяти точкам)
чистого дисконтированного эффекта от ставки процента и определить по нему
внутреннюю норму рентабельности инвестиций. Сделать выводы.
|
Выручка
от реализации продукции, тыс.руб.
|
|
|
1-й
год
|
8100
|
|
2-й
год
|
8900
|
|
3-й
год
|
9400
|
|
4-й
год
|
9000
|
|
5-й
год
|
7500
|
|
Общая
сумма текущих издержек, тыс. руб.
|
|
|
1-й
год
|
|
2-й
год
|
6500
|
|
3-й
год
|
7000
|
|
4-й
год
|
6700
|
|
5-й
год
|
5000
|
|
Первоначальные
инвестиции в осуществление проекта, тыс.руб.
|
15000
|
По всем вариантам
принять:
износ оборудования
начисляется по методу линейной амортизации;
ставка налога на
прибыль составляет 20%;
цена
авансированного капитала равна 20%;
рентабельность
авансированного капитала 25%;
участие в проектах
с дисконтированным сроком окупаемости более 4-х лет считается нецелесообразным.
Решение:
1. Методом срока
окупаемости инвестиций:

=
,
где 
- чистые
денежные поступления в году 
;

-нормы дисконта;

- первоначальные инвестиции.
ЧДП - чистые денежные
поступления сумма прибыли + амортизационные отчисления.
ЧДП=ЧП+АО
Так как проект на 5 лет
следовательно по 20% на каждый год.
Сумма амортизационных отчислений
равна
15000
20%=3000 рублей на
каждый год.
Рассчитаем суммы чистых
денежных поступлений по годам в тыс.руб.
1-й год
(8100-5900)-20%=1760+3000=4760 тыс.руб.
-й год
(8900-6500)-20%=1920+3000=4920 тыс.руб.
-й год
(9400-7000)-20%=1920+3000=4920 тыс.руб.
-й год
(9000-6700)-20%=1840+3000=4840 тыс. руб.
-й год
(7500-5000)-20%=2000+3000=5000 тыс.руб.
Чистый приведенный доход [net present value, NPV] позволяет получить
наиболее обобщенную характеристику результата инвестирования, т.е. его конечный
эффект в абсолютной сумме. Под чистым приведенным доходом понимается разница
между приведенными к настоящей стоимости суммой чистого денежного потока за
период эксплуатации инвестиционного проекта и суммой инвестиционных затрат на
его реализацию.

=3966,7+3416,7+2847,2+
,1+2009,4=14574,10
тыс.руб.
По заданию - участие в
проектах с дисконтированным сроком окупаемости более 4-х лет считается
нецелесообразным. Поскольку проект за 5 лет не окупился - это означает, что
проект не может быть принят к осуществлению, так как расчеты срока окупаемости
превышает установленный срок окупаемости.
2. Расчет методом
чистого дисконтированного эффекта:

= 
+
,

=
15000+14574,10=
425,90 тыс. руб.
Данный проект не может
быть принят к осуществлению, так как чистый дисконтированный эффект имеет
отрицательное значение.
3. Расчет методом
внутренней нормы рентабельности:
Внутренние нормы
рентабельности показывает такую расчетную ставку
для которой достигается
0 чистый дисконтированный эффект.

= 
+
=0 или 
=
Показатель
"индекс рентабельности "позволяет вычленить в совокупном чистом
денежном потоке важнейшую его составляющую - сумму инвестиционной прибыли.
Кроме того, он позволяет осуществить сравнительную оценку уровня рентабельности
инвестиционной и операционной деятельности (если инвестиционные ресурсы
сформированы за счет собственных и заемных средств, индекс рентабельности
инвестиций сравнивается с коэффициентом рентабельности активов; если же
инвестиционные ресурсы сформированы исключительно за счет собственных
финансовых средств, то базой сравнения выступает коэффициент рентабельности
собственного капитала). Результаты сравнения позволяют определить: дает ли
возможность реализация инвестиционного проекта повысить общий уровень
эффективности операционной деятельности предприятия в предстоящем периоде или
снизит его, что также является одним из критериев принятия инвестиционного
решения.

+
(
)

=

=

=
=4327,3+4066,1+3696,5+3305,8+3104,6=18500,3
тыс. руб.

=
=4139,1+3720,2+3235,0+2767,3+2485,8=16347,40
тыс.руб.

=-15000+18500,3=3500,3
тыс.руб.

=-15000+16347,40=1347,4
тыс.руб.

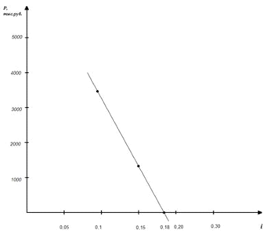
=10%+
(15-10)=18,13 %
При значении 
равным 18,13 % значение

приводится к нулю.
Отобразим метод
внутренней нормы рентабельности на рисунке 1.
Рисунок 1 Метод
внутренней нормы рентабельности.
Вывод: Поскольку
внутренние нормы рентабельности ниже установленного порогового уровня 25%
(рентабельность авансированного капитала по заданию), то проект не принимается.
4.Расчет методом индекса
рентабельности инвестиций:
Рентабельность
инвестиций - это отношение посленалоговой операционной прибыли к чистой (за
вычетом амортизации) балансовой стоимости активов.
Период окупаемости
[Payback Period, PP] является одним из наиболее распространенных и понятных
показателей оценки эффективности инвестиционного проекта. Расчет этого
показателя может быть произведен двумя методами - статичным (бухгалтерским) и
дисконтным.

=

=
=0,97
Вывод: Поскольку индекс
рентабельности инвестиции 
1, проект принимать не
следует.
Список используемой литературы:
1. Инвестиции:
Учебник / Финансовая академия при Правительстве РФ / под ред. проф. Н.И. Лахметкиной
- М.: Кнорус, 2009.
2. Инвестиции:
Сборник заданий для самостоятельной подготовки / Финансовая академия при
Правительстве РФ / под ред. проф. Н.И. Лахметкиной - М.: Кнорус, 2009.
. Бланк И.А.
Основы инвестиционного менеджмента. - В 2-х т. - Киев: Эльга-Н, Ника-Центр,
2008.
. Вяткин В.,
Хэмптон Дж., Казак А. Принятие финансовых решений в управлении бизнесом. - М.:
Издательский дом «ЯВА», 2007.
. Зимин А.И.
Инвестиции: вопросы и ответы. - М.: Юриспруденция, 2008.
. Крутик А.Б.,
Никольская Е.Г. Инвестиции и экономический рост предпринимательства: Учеб.
пособие. - СПб.: Изд-во «Лань», 2008.
. Просветов Г.И.
Инвестиции: задачи и решения: учебно-практическое пособие. - М.: Альфа-пресс,
2008.
. Сергеев И.В.,
Веретенникова И.И. Организация и финансирование инвестиций. - М.: Финансы и
статистика, 2009.
. Хачатурян А.А.,
Шкодинский С.В. Инвестиции: курс лекций / 2-е изд. дополн. и перераб. - М.:
МИЭМП, 2007.
. Экономическая
оценка инвестиций/под ред. М.Римера. 3-е изд.,перераб. и доп. - СПб.:Питер,
2009.-416с.
. В.П. Попков,
В.П. Семенов. Организация и финансирование инвестиций. М.:ЮНИТИ-ДАНА,2010г.