Расчет насосной установки для трубопровода
ФЕДЕРАЛЬНОЕ
АГЕНТСТВО ПО ОБРАЗОВАНИЮ
ФИЛИАЛ ГОУ
ВПО "УФИМСКИЙ ГОСУДАРСТВЕННЫЙ НЕФТЯНОЙ
ТЕХНИЧЕСКИЙ
УНИВЕРСИТЕТ" В Г. ОКТЯБРЬСКОМ
Кафедра: МТМ
КУРСОВАЯ
РАБОТА
по курсу:
"Гидромашины и компрессоры"
на тему:
"Расчет насосной установки для трубопровода"
Выполнил:
ст. группы МПВ-06-11
Сабитова Л.З.
Проверил: доцент
Нурутдинов Р.Г.
Содержание
Исходные данные
. Гидравлический расчёт трубопровода
. Построение гидравлических характеристик трубопровода
. Выбор насоса
. Регулирование работы центробежного насоса
. Определение предельно допустимой высоты всасывания
. Устройство насосной установки
Библиографический список
Исходные данные
|
Жидкость
|
|
Расчётная
производительность
|
Q , м /час90
|
|
|
Вязкость
|
, см /с0,025
|
|
|
Плотность
|
, кг/ м 810
|
|
|
Давление насыщенных паров
|
P , кПа3,44
|
|
|
Приёмный трубопровод
|
|
Длина
|
L , м16,0
|
|
|
Геометрическая высота
всасывания
|
H , м+5,0
|
|
|
Суммарный коэффициент
местных сопротивлений
|
4,2
|
|
|
Давление в приёмном баке
|
P , Па105
|
|
|
Напорный трубопровод
|
|
Длина
|
L , м3000
|
|
|
Геометрическая высота
|
H , м80
|
|
|
Суммарный коэффициент
местных сопротивлений
|
20
|
|
|
Давление нагнетания
|
P , МПа0,18
|
|
1. Гидравлический расчёт трубопровода
В практике проектирования насосных установок и насосных станций выбор
трубопроводов и подбор насосного оборудования осуществляется просчётом нескольких
вариантов при различных диаметрах труб с минимизацией затрат на строительство
линейной части трубопровода и стоимости расхода электрической энергии на привод
насосных агрегатов.
Для
определения диаметров нагнетательного dH и всасывающего dB
трубопроводов задаются средним значением скоростей VH, VB
движения жидкостей в трубах в пределах: вязкие жидкости (
> 0,1 см2/с): нефти, лёгкие и тяжелые
масла, мазуты-
H = 0,5…1,0 м/с,B
= 0,2…0,8 м/с;
Рассчитывается
внутренний диаметр нагнетательного и всасывающего трубопроводов:

(1)
Полученные
значения d'H и d'B округляем до ближайших величин
диаметров dH и dB по сортаменту труб, выпускаемых
промышленностью, согласно ГОСТ 8732-78, таким образом, чтобы скорости перекачки
VH и VB оставались в допускаемых пределах. Выбираем dH
= 159 мм с толщиной стенки 5 мм => d'H=150 мм, dB =
159 мм с толщиной стенки 5 мм => d'B=150 мм.
.
Построение гидравлических характеристик трубопровода
Для
построения характеристики трубопровода, то есть зависимости потребного напора Нпотр
от расхода жидкости Qр,
определяется величина приведённой высоты нагнетания Ζ, величина суммарных потерь напора h: на
трение жидкости о стенки трубопровода hтр, потерь напора на местных сопротивлениях hм:
гидравлический трубопровод насосный центробежный
(2)
Определяем
скорость движения жидкости для 7 режимов расхода жидкости:
и относительный эквивалент шероховатости внутренней поверхности труб:
Определяем число Рейнольдса:
Исходя
из числа Рейнольдса определяем коэффициент Дарси λ:
(3)
Для
турбулентного режима течения жидкости коэффициент Дарси рассчитывается по
эмпирическим и полуэмпирическим формулам:
в
зоне гладкого трения Reкр < Re ≤ Re'1=
15/КЭ
Потери
на трение определяются по формуле Дарси - Вейсбаха:
(4)
Потери
на местных сопротивлениях вычисляются по формуле:
(5)
Суммарные
потери напора h определяем по формуле:
(6)
Потребный
напор определяем сложением суммарных потерь напора h и приведённой
высоты нагнетания Ζ:
(7)
Результаты
гидравлического расчёта трубопровода сводим в таблицу 1.
Таблица
1 Результаты гидравлического расчёта трубопровода.
|
Q, м3/ч
|
V, м/с
|
Re
|
hтр, мhм, мh,
мZH
|
|
|
|
|
|
|
0
|
0
|
0
|
∞
|
0
|
0
|
0
|
93,078
|
93,078
|
|
18
|
0,252
|
16023,7
|
0,028
|
1,721
|
0,0752
|
1,7962
|
|
94,8742
|
|
36
|
0,5
|
32047,4
|
0,024
|
5,8
|
0,296
|
6,096
|
|
99,174
|
|
54
|
0,76
|
48071,15
|
0,0214
|
11,96
|
0,684
|
12,644
|
|
105,722
|
|
72
|
1,01
|
64095
|
0,02
|
19,74
|
1,207
|
20,95
|
|
114,028
|
|
90
|
1,26
|
80118
|
0,018
|
27,66
|
1,88
|
|
122,618
|
|
108/
|
2,52
|
96142,3
|
0,018
|
110,62
|
7,52
|
118,14
|
|
211,218
|
По полученным значениям Q и H на миллиметровой бумаге в масштабе
производим графическое построение гидравлической характеристики трубопровода в
координатах Q - H и определяем режимную точку, соответствующую проектной
подаче QР и Hпотр, по которой производим подбор
перекачивающего насоса.
3. Выбор насоса
По полученным данным выбираем центробежный насос типа НК: 6НК-9×1.
Электронасосные агрегаты типа НК - центробежные, горизонтальные,
консольные, одноступенчатые - предназначены для перекачивания нефти и нефтепродуктов
плотностью до 1 т/м3, вязкостью до 0,001 см2/с с температурой от 0 до 80 С и от
0 до 200 С. Насосы применяются в нефтеперерабатывающей, нефтехимической и
других отраслях промышленности.
Насосы данного типа рассчитаны на работу при непосредственном соединении
с электродвигателем через упругую муфту, а также с ремённой передачей
посредством шкива, консольно насаженного на вал.
Эти насосы ― одноколёсные, консольного типа с горизонтальным валом.
Всасывающий патрубок расположен горизонтально вдоль оси, напорный вертикально
вверх, но может быть повёрнут на 90°, 180° и 270° в вертикальной плоскости.
Вращение вала происходит, если смотреть со стороны всасывающего патрубка,
против часовой стрелки.
Корпус, рабочее колесо и уплотняющие кольца насоса ―
чугунные; вал выполнен
из стали и укреплён на шариковых подшипниках, размещённых в масляной ванне на
опорном кронштейне. Все насосы НК имеют обыкновенный сальник с мягкой набивкой.
Так как рабочая точка не совпадает с характеристикой насоса при выбранном
диаметре рабочего колёса, то производим регулировку насоса методом обточки
рабочих колёс насоса.
Таблица 2. Техническая характеристика насоса.
4. Регулирование работы центробежного насоса
При регулировании насоса путём изменения размеров рабочих колёс (обточки)
характеристики насоса будут изменяться по соотношениям:
где штрихом обозначены параметры насоса после обточки.
На графике гидравлической характеристики трубопровода и характеристики
насоса построим параболу обточки по формуле:
H=KQ
, где K=H’/(Q’)
=Hпотр/Qр
;
Таблица
3. Зависимость (Q-H) для параболы обточки.
При
определении диаметра после обточки (
) вместо Q и H
подставляются координаты точки пересечения параболы обточки и кривой H-Q
насоса, соответствующей диаметру рабочего колеса до обточки (
):


≈338
мм


≈338
мм
При
обточке рабочего рабочего колеса изменяется кпд насоса. Предельные
относительные величины обрезки рабочих колёс зависят от коэффициента
быстроходности.
значит
значение n
должно быть не больше 120.
.
Определение предельно допустимой высоты всасывания
Допустимая
высота всасывания насоса H
определяется из уравнения
H
, где
― гидравлические потери на трение и местное
сопротивление во всасывающем трубопроводе;
― число
оборотов вала насоса в минуту; Q ― подача насоса, м
/с (у
насоса с колесом двухстороннего действия следует принимать Q/2);
C ― коэффициент Руднёва ― принимается в зависимости от коэффициента
быстроходности n
:
Таким
образом,
;
H
> H
=3 м.
6. Устройство насосной установки
Насосной установкой называют несколько насосных агрегатов, объединенных
для работы на общий напорный трубопровод.
В состав насосного агрегата входят: насос, двигатель, трубопроводная
арматура, измерительные приборы и устройства для заполнения насоса жидкостью
перед пуском, а также пусковые устройства двигателя и приборы автоматического
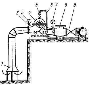
управления агрегатом. Схема компоновки насосного агрегата изображена на рис. 2.
Рис. Схема оборудования насосной установки.
На основании приведенных расчетов опишем насосную установку.
- электродвигатель
- центробежный насос
- трубопровод подводящий
- сетка-фильтр
- обратный клапан
- трубопровод напорный
- задвижка
- приемного бака
- в напорный бак
- обратный клапан
Рис. Схема оборудования насосной установки.
Библиографический список
1.
Е.З.Рабинович.
Гидравлика. - М: Недра , 1980. - 278 с.
2.
К.А.Ибатулов.
Гидравлические машины и механизмы в нефтяной промышленности. - М.: Недра, 1972.
- 285 с.
4.
Т.М.Башта и др.
Гидравлика, гидравлические приводы. - М: Машиностроение, 1970. - 504 с.
5.
Нефтяные
центробежные насосы: Каталог. - М.: ЦИНТИхимнефтемаш, 1980. - 51 с.