Защите склонов и оврагов от эрозии

  • Вид работы:
    Реферат
  • Предмет:
    География, экономическая география
  • Язык:
    Русский
    ,
    Формат файла:
    MS Word
    222,13 kb
  • Опубликовано:
    2012-01-13
Вы можете узнать стоимость помощи в написании студенческой работы.
Помощь в написании работы, которую точно примут!

Защите склонов и оврагов от эрозии

Содержание

Введение

Определение класса капитальности сооружения и объёма поверхностного стока

Гидравлический расчёт водосбросного сооружения

Фильтрационный расчёт водозадерживающего вала

Статистический расчёт водозадерживающего вала по схеме плоского сдвига

Расчёт объёма работ

Крепление ковша за рисбермой

Литература

Введение

эрозия почва вал ковш

Эрозия - это разрушение почвы струями и потоками талых, дождевых, ливневых вод или ветром. Она ведет к смыву и размыву почвы и служит причиной развития оврагов.

В системе противоэрозионных мероприятий, особенно в начальной стадии их реализации, важное место принадлежит гидротехническим сооружениям. Они делятся на несколько видов:

·        сооружения на водосборной площади;

·        сооружения головные овражные;

·        сооружения русловые и донные.

Вал широкого профиля представляет собой земляное сооружение, задерживающее поверхностный сток, и относится к сооружениям на водосборной площади.

Земляные сооружения прочны по конструкции, позволяют максимально механизировать строительные работы, не требуют специальных материалов, быстро приостанавливают эрозионные процессы, улучшают водный режим склонов и тем самым способствуют получению высоких урожаев сельскохозяйственных культур.

Водозадерживающие валы устраивают обязательно с водовыпусками. Если длина вала превышает 100 метров, то необходимо через 50 - 100 метров возводить перемычки.



Определение класса капитальности сооружения и объёма поверхностного стока

Высоту сооружении рассчитываем по формуле:

Н = Н1 + а,

где Н1 - глубина воды у водозадерживающего вала, м;

а - превышение отметки гребня водозадерживающего вала над уровнем воды в прудке (с учётом волнения воды в прудке принимается постоянным и равным 1,0 м).

Н = 1,95 + 1= 2,95 м.

Согласно СНиП 11-53-73, по высоте сооружения и грунту основания, принимаем IV класс капитальности сооружения.

Объём ливневого стока:

Wл=10∙F∙kx∙x,

гдеF - площадь водосборной территории, га;

kл - коэффициент стока ливневых паводков;

х - толщина слоя выпавших осадков за один расчётный ливень, можно принять х = 4∙S;- сила дождя (характеризует интенсивность ливня данного района заданной обеспеченности).

х = 10 мм/мин= 4∙10=40

Wл=10∙128∙0,8∙40=40960 м3

Величину поверхностного стока вод с промышленных территорий определяем по формуле:

Wлу=2,5∙Нт∙kc∙kвн,


гдеНт - слой осадков за тёплый период, мм;

kc - коэффициент, учитывающий объём стока дождевых вод в зависимости от интенсивности;

kвн - коэффициент, учитывающий интенсивность формирования дождевого стока.

Нт = 460 мм

kc = 0,75

kвн = 0,44

Wлу = 2,5∙460∙0,75∙0,44 = 38,0 м3

Величину стока талых вод определяем по формуле:

Wт=10∙F∙h,

гдеF - площадь водосбора, км2 (приложение 1);

h - слой весеннего стока расчётной обеспеченности, мм

h = h1∙kp;

h1 - средний слой весеннего стока для данного района, мм;

k - коэффициент стока, зависящий от коэффициента вариации Cv

С учётом понижающего коэффициента К.П, Воскресенского

Wт = 10∙p∙h1∙kp∙F

h1 = 15 мм

p = 0,5

kp = 1,54= 128 га

Wт = 10∙0,5∙128∙1,54∙16,5 = 10560 м3.

Величину поверхностного стока вод с промышленных территорий определяем по формуле:

Wту = Hx∙kт∙k′p,

гдеНх - слой осадков за холодный период, мм;

kт - коэффициент, учитывающий объём стока талых вод;

k′p - коэффициент, учитывающий вывоз снега с территории.

Wту = 10∙0,23∙0,77 = 1,771 м3

В расчёт принимаем Wмах= Wт= 10560м3.

Гидравлический расчёт водосбросного сооружения

Размеры водозадерживающего вала:

Ширину по гребню при условии устройства вала широкого профиля принимаем равной 4м.

Заложение откосов принимаем:

·        для верхнего mв = 2,0

·        для низового mh = 1

.        Определяем расчётный расход Q.

Весь объём вод должен быть сброшен за 2 часа.

, м3/с;

м3

.        Определяем площадь отверстия водовыпуска.

В качестве расчётного случая принимаем невыгодное сочетание условий, т.е.:

прудок наполнен на высоту Н1 = 1,95 м;

напор над центром отверстия принимаем Н = Н1.

Тогда .

Первоначально коэффициент расхода  принимаем равным:

 - отверстие принимаем прямоугольной формы

м2

 

3.      Уточняем расход по водовыпуску

,

где  - коэффициент сопротивления на входе, выходе и по длине водовыпуска;

 - гидравлический радиус;

С - коэффициент Шези;

n - коэффициент шероховатости (n = 0,014).

Уточняем расход:

,

гдеН0 - гидродинамический напор над центром водовыпускного отверстия Н01, м. =0,32

Lвып=13.4 м.

=0,022

=59,07



м3/с.

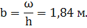
4.      Считаем удельный расход на 1 п.м. на выходе:

q = /d

q = 6,46/1,84 = 3,51 м2

.        Определяем критическую глубину и скорость:

=1,08


6.      Находим глубину в сжатом сечении

p = 0


Уравнение решаем методом последовательных приближений.


Для расчёта в первом приближении принимаем  под корнем равную нулю:



hc принимаем равной 0,51.

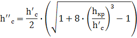
7.      Находим вторую сопряжённую глубину


Т.к. , то необходимо запроектировать водобойную стенку:

- толщина водобойных плит

 высота водобойной стенки

 длина водобойного колодца

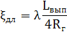
8.      За водобойной стенкой мы предусматриваем рисберму.

Угол растекания потока при выходе из отверстия водовыпуска принимаем равным .

Длину рисбермы определяем как:

Lp = 81,08 = 8,64 м,

Скорость на выходе с рисбермы:

 м/с

Т.к.  м/с  м/с, необходимо запроектировать ковш.

Фильтрационный расчёт водозадерживающего вала

В качестве противофильтрационного устройства применяем глиняный экран. Толщину глиняного экрана принимаем:

по верху

 по низу

Введём допущения:

экран фильтрационный заменяем эквивалентным слоем грунта с коэффициентом фильтрации kt;

передний наклонный откос заменяем вертикальным.

Эквивалентный слой грунта:

, м

, м

 м

 м

где Т - глубина залегания водоупора (Т=∞)

Трасч = 0,5∙l0

l0 - длина основания (17,8 м)

Трасч = 0,5∙17,8 = 8,9 м

L = 5,5 м (расстояние от точки пересечения уровня воды в прудке с передним откосом эквивалентного слоя грунта до дренажной траншеи).

Lp = L+δ+

δ=(δвн)/2=(8,71+10,12)/2=9,42 м.

Lp=4,34+9,42+5,5=19,26 м.

Расход, фильтрующийся через тело вала:

 м/с

 м2

Ординаты кривой депрессии:

Таблица 1 - координаты кривой депрессии между осью ординат h и сечением 1-1

х

0

1

2

3

4

5

6

0,76

0,69

0,61

0,54

0,46

0,38

0,30


Таблица 2 - координаты кривой депрессии сечением 1-1 и дренажём

х0123456








0,74

0,68

0,61

0,52

0,43

0,31

0,07


 для основания сооружения


В соответствии со СНиП II-53-73, на предварительной стадии проектирования противофильтрационных элементов плотин можно принимать ориентировочные значения допускаемого среднего градиента фильтрационного потока в грунтах основания и тела плотин.

Полученные значения не превышают значений допускаемого среднего потока.

Статистический расчёт водозадерживающего вала по схеме плоского сдвига

Статистический расчёт сводится к определению запаса общей устойчивости сооружения на плоский сдвиг по формуле:


гдеf=tgφ - коэффициент трения грунта по грунту (обычно равен тангенсу угла трения грунта в мокром состоянии);

 - сумма всех сил с учётом насыщения грунта водой ниже депрессинной кривой, кН;

 - сумма гидростатического давления воды на вал со стороный прудка, кН;

- допускаемый коэффициент надёжности (для IV класса капитальности ).

Сумма вертикальных сил равна

=Gсух+Gнас+Gвод

=487,56+150,1+4,73=624,34 кН/м2

Сумма горизонтальных сил будет равна:

кН/м2

f = tg33 = 0,65

Тогда получаем kc= 0,65∙186,5/624,34 = 0,19 ≤  =1,05.

Вывод: проектируемое сооружение удовлетворяет условиям устойчивости при проверке на плоский сдвиг.

 

Расчёт объёма работ

Объём земляных работ:

Wзр= F ∙ L

гдеF - площадь поперечного сечения сооружения,

L - длина сооружения в плане,

F = 31 м2

Wзр = 31 ∙ 1340 = 41540 м3

Объём бетонных и каменных работ:

Объём бетонных работ складывается из работ на сооружение водовыпуска и водобойного колодца.

Объём бетонных работ по водовыпуску:б.р.вод.= 2∙ (b+h) ∙ Lвып ∙ 0,2

где0,2 - толщина бетона водовыпускаб.р.вод.= 2 ∙ (2,95+1) ∙13,4 ∙ 0,2 = 21,17 м3

Объём бетонных работ по водобойному колодцу определяется аналогично земляным работам с учётом геометрии сооружения:

F = 7,42 ∙ 0,6 + 5 ∙ 0,5 + 0,5 ∙ 2 ∙ 2 = 8,95 м2

L = 5 м.б.р.кол.= 8,95 ∙ 5 = 44,76 м3

Wб.р = Wб.р.вод+ Wб.р.кол = 44,76 + 21,17 = 65,93 м3

Объём каменных работ сводится к посчёту каменной насыпки при возведении рисбермы. Толщину каменной наброски принимаем равной 0,5 м.

Wр = Sр ∙ 0,5

Площадь поверхности рисбермы:

Sр = (5 + 8) : 2 ∙ 8,64 = 56,16 м2

Wр = 56,16 ∙ 0,5 = 28,08 м3

Крепление ковша за рисбермой

Концевой участок рисбермы выполняем в виде предохранительного ковша, его заглубление принимают в зависимости от технико-экономических показателей на полную или частичную глубину размыва. Крутизна верхового откоса ковша должна соответствовать гидравлическим условиям требуемого растекания потока до неразмываемых скоростей и обеспечивать размещение на нём наклонного участка рисбермы или деформируемого крепления. Крутизну низового размываемого откоса ковша принимают по условиям его устойчивости в строительный период.

Дно ковша прикрывают слоем мелкого камня толщиной 1-3 метра для образования отмостки в случае размыва за рисбермой.

Т.к.  м/с  м/с, то проектируем ковш глубиной от уровня рисбермы:

hк===1,57 м

Рисберма сопрягается с дном ковша откосом 1:3, такое же сопряжение и при входе в водоспуск.



Список используемой литературы

1.Салов А.Н. Защита склонов и оврагов от эрозии. Методические указания к курсовой работе. Новосибирск, НГАВТ, 2008.

.СПиП 11-53-73

.Гидротехнические сооружения. Справочник проектировщика. М.: Стройиздат, 1983.

.Киселев П.Г. Справочник по гидравлическим расчётам. М.: Энергоиздат, 1961,

.Богомолов А.И., Михайлов К.А. Гидравлика. М.: Стройиздат, 1972.

.Степанов П.М. и др. Гидротехнические противоэрозионные сооружения. М.: Колос, 1974.

.Пашков Н.Н., Долгачев Ф.М, Гидравлика, основы гидрологии. М.: Атомэнергоиздат, 1985.


Не нашли материал для своей работы?
Поможем написать уникальную работу
Без плагиата!
Без нейросетей!