Финансовая и экономическая эффективность инвестиционного проекта

  • Вид работы:
    Дипломная (ВКР)
  • Предмет:
    Финансы, деньги, кредит
  • Язык:
    Русский
    ,
    Формат файла:
    MS Word
    96,24 kb
  • Опубликовано:
    2011-10-21
Вы можете узнать стоимость помощи в написании студенческой работы.
Помощь в написании работы, которую точно примут!

Финансовая и экономическая эффективность инвестиционного проекта

Содержание

Введение

Глава 1. Экономическая оценка реальных инвестиционных проектов

.1 Виды инвестиционных проектов

.2 Процесс разработки и стадии развития инвестиционных проектов

.3 Рекомендации по разработке инвестиционных проектов, принятые в отечественной практике

.4 Основные принципы оценки эффективности инвестиционных проектов

. Учет риска и неопределенности при оценке эффективности реальных инвестиционных проектов

.1 Общие вопросы учета риска и неопределенности

.2 Анализ чувствительности реального инвестиционного проекта

.3 Проверка безубыточности реального инвестиционного проекта

.4 Методы учета риска при оценке инвестиций за рубежом

Заключение

Список литературы

Введение

Практически по всем важнейшим направлениям инвестиционной политики проводимые в последние годы рыночные реформы противоречили мировому опыту государственного стимулирования инвестиций. Нет никаких оснований предполагать, что при сохранении прежнего экономического курса и ущербной инвестиционной политики, не отвечающей рыночным реалиям, может произойти ожидаемый рост инвестиций. Основным условием выхода российской экономики из экономического кризиса и создания предпосылок для устойчивого развития народного хозяйства является выработка перспективных теоретических и научно-методологических положений национальной инвестиционной политики, определение стратегических направлений и институциональных принципов реализации социально ориентированной инвестиционной деятельности, способной вывести страну из кризиса и обеспечить достойное существование России в ХХI веке.

Одним из наиболее ответственных и значимых этапов прединвестиционных исследований является обоснование экономической эффективности инвестиционного проекта, включающее анализ и интегральную оценку всей имеющейся технико-экономической и финансовой информации. Оценка эффективности инвестиций занимает центральное место в процессе обоснования и выбора возможных вариантов вложения капитала в операции с реальными активами: от замены оборудования на действующем предприятии до создания новых промышленных комплексов или сферы услуг многоцелевого назначения.

Во времена господства плановой экономики широко использовались способы абсолютной и сравнительной экономической эффективности капитальных вложений и новой техники. В их основу был положен критерий народнохозяйственного эффекта, который можно получить в результате создания и реализации объекта инвестиций. Абсолютная экономическая эффективность рассчитывается как отношение прибыли (снижение себестоимости и т.п.) к вызвавшим ее потенциальным вложениям. Сравнительная экономическая эффективность рассчитывается так называемым методом приведенных затрат, который основан на использовании директивно устанавливаемого норматива срока окупаемости капитальных вложений или обратной ему величины - нормативного коэффициента эффективности, имеющего различные значения для расчета приведенных затрат и дисконтирования.

Используемые ранее способы оценки эффективности капитальных вложений и новой техники оказались невостребованными в новых рыночных условиях хозяйствования. Стало очевидным, что в основе расчетов экономической эффективности инвестиционных проектов должны лежать иные критерии и методы.

Совокупность долговременных затрат финансовых, трудовых и материальных ресурсов с целью увеличения накоплений и получения прибыли называется инвестициями.

Инвестиционная деятельность в той или иной степени присуща любому предприятию. Она представляет собой один из наиболее важных аспектов функционирования любой коммерческой организации. Причинами, обуславливающими необходимость инвестиций, являются обновление имеющейся материально-технической базы, наращивание объемов производства, освоение новых видов деятельности.

Управление инвестиционными процессами, связанными с вложениями денежных средств в долгосрочные материальные и финансовые активы, представляет собой наиболее важный и сложный раздел финансового менеджмента. Принимаемые в этой области решения рассчитаны на длительные периоды времени и, как правило:

• являются частью стратегии развития фирмы в перспективе;

• влекут за собой значительные оттоки средств;

• с определенного момента времени могут стать необратимыми;

• опираются на прогнозные оценки будущих затрат и доходов.

Поэтому, значение экономического анализа для планирования и осуществления инвестиционной деятельности трудно переоценить. При этом особую важность имеет предварительный анализ, который проводится на стадии разработки инвестиционных проектов и способствует принятию разумных и обоснованных управленческих решений.

Для того чтобы сделать правильный анализ эффективности намечаемых капиталовложений, необходимо учесть множество факторов, и это наиболее важная вещь, которую должен делать финансовый менеджер. Степень ответственности за принятие инвестиционного проекта в рамках того или иного направления различна. Нередко решения должны приниматься в условиях, когда имеется ряд альтернативных или взаимно независимых проектов. В этом случае необходимо сделать выбор одного или нескольких проектов, основываясь на каких-то критериях. Очевидно, что таких критериев может быть несколько, а вероятность того, что какой-то один проект будет предпочтительнее других по всем критериям, как правило, значительно меньше единицы.

Принятие решений инвестиционного характера, как и любой другой вид управленческой деятельности, основывается на использовании различных формализованных и неформализованных методов. Степень их сочетания определяется разными обстоятельствами, в том числе и тем из них, насколько менеджер знаком с имеющимся аппаратом, применимым в том или ином конкретном случае. В отечественной и зарубежной практике известен целый ряд формализованных методов, расчеты, с помощью которых могут служить основой для принятия решений в области инвестиционной политики. Какого-то универсального метода, пригодного для всех случаев жизни, не существует. Вероятно, управление все же в большей степени является искусством, чем наукой. Тем не менее, имея некоторые оценки, полученные формализованными методами, пусть даже в известной степени условные, легче принимать окончательные решения.

Главным направлением предварительного анализа является определение показателей возможной экономической эффективности инвестиций, т.е. отдачи от капитальных вложений, которые предусмотрены по проекту. Как правило, в расчетах принимается во внимание временной аспект стоимости денег.

Одним из наиболее ответственных и значимых этапов предынвестиционных исследований является обоснование экономической эффективности инвестиционного проекта, включающее анализ и интегральную оценку всей имеющейся технико-экономической и финансовой информации. Оценка эффективности инвестиций занимает центральное место в процессе обоснования и выбора возможных вариантов вложения капитала в операции с реальными активами: от замены оборудования на действующем предприятии до создания новых промышленных комплексов или сферы услуг многоцелевого назначения.

Известно, что проблемы планирования и управления реальными инвестиционными проектами являются одними из основных в теории и практике функционирования различных экономических систем, так как инвестиции - наиболее важный и дефицитный ресурс любой национальной экономики, тем более отрасли.

Теоретические проблемы оценки эффективности и отбора инвестиционных проектов для финансирования в нашей стране достаточно глубоко разработаны и методически отработаны. Однако решение проблем реализации капиталообразующих инвестиционных проектов на практике сопряжено со значительными трудностями. Это вызвано прежде всего сложностями определения затрат на реализацию таких проектов, так как в настоящее время одновременно действуют три рекомендуемые государственные системы ценообразования при строительстве, расширении, реконструкции и техническом перевооружении предприятий (1984, 1991 и 1998-2002 гг.). Общее число нормативов в каждой системе составляет около полумиллиона. Таким образом, в данной области действуют одновременно различные уникальные по своим масштабам и сложностям системы ценообразования, которых нет ни в какой другой области экономики.

Осуществление реальных инвестиционных проектов связано обычно с выполнением нестандартных комплексов работ, планирование которых сопряжено с определенными трудностями, а, в свою очередь, потоки денежных средств в инвестиционный период в значительной мере влияют на эффективность реальных инвестиционных проектов.

Глава 1. Экономическая оценка реальных инвестиционных проектов

1.1 Виды инвестиционных проектов

Инвестиционный проект - план или программа вложения инвестиций с целью получения прибыли.

Различают следующие виды инвестиционных проектов по масштабу их реализации: глобальные, крупномасштабные, региональные, отраслевые, местные и локальные.

К глобальным относят инвестиционные проекты, реализация которых может существенно повлиять на экономическую, социальную или экологическую ситуацию на планете.

Крупномасштабными называются инвестиционные проекты, осуществление которых может повлиять на экономическую, социальную или экологическую ситуацию в стране.

Региональные, отраслевые и местные инвестиционные проекты могут существенно повлиять на экономическую, социальную или экологическую ситуацию в данном регионе, отрасли, городе (районе) и не могут оказать существенного влияния на ситуацию в других регионах, отраслях, городах и районах.

Инвестиционные проекты, реализация которых не может оказать существенного влияния на экономическую, социальную или экологическую ситуацию в данном регионе, отрасли или городе (районе), а также на уровень и структуру цен на товарных рынках, относят к локальным.

По направленности различают инвестиционные проекты: коммерческие, экологические, социальные, затрагивающие государственные интересы.

В зависимости от продолжительности инвестиционного периода проекты подразделяют на краткосрочные (инвестиционный период не превышает одного года) и долгосрочные, имеющие более продолжительный инвестиционный период.

Но характеру и степени участия государства различают инвестиционные проекты с госбюджетным финансированием, с использованием налоговых льгот, гарантий государства или иных форм его участия.

1.2 Процесс разработки и стадии развития инвестиционных проектов

Важной особенностью развития любого инвестиционного проекта является его протяженность во времени. Промежуток времени от момента начала вложения средств в объект инвестирования до момента завершения получения доходов или иных результатов этого вложения называется сроком жизни проекта (the project lifetime).

Процесс разработки и реализации инвестиционного проекта обычно включает следующие стадии (рис. 1):

- предынвестиционная стадия, в процессе которой принимают инвестиционное решение о целесообразности реализации проекта;

- инвестиционная стадия, на которой осуществляют вложения средств в объекты инвестирования;

Рис. 1. Схема развития инвестиционного проекта.

3 - эксплуатационная стадия, которая начинается с момента получения первых результатов от вложения средств и завершается в конце инвестиционного периода;

- стадия ликвидации объекта.

Суммарная продолжительность последних трех стадий определяет срок жизни проекта.

Предынвестиционная стадия (preinvestment phase) включает в себя определение инвестиционных возможностей (исследование возможностей), анализ альтернативных вариантов, предварительное технико-экономическое обоснование (исследование обеспечения), заключение по проекту или оценку осуществимости проекта и решение об инвестировании (подготовку оценочного заключения). При этом следует учитывать, что недостаточно или неправильно обоснованный проект может свести на нет все затраты и усилия на последующих стадиях.

Отправной точкой в предынвестиционных исследованиях является определение инвестиционных возможностей. Исследование возможностей конкретного проекта можно определить как начало превращения инвестиционной идеи в инвестиционное предложение.

Предварительное технико-экономическое обоснование (ПТЭО) является промежуточной стадией между исследованием возможностей и детальным ТЭО, требующим значительных затрат времени и ресурсов.

ПТЭО (исследование обеспечения) может включать в себя:

• анализ рынка предполагаемой продукции;

• исследование сырьевых и материальных запасов;

• лабораторные и опытно-промышленные испытания;

• определение транспортных затрат;

• оценку воздействия на окружающую среду;

• исследование оптимизации масштабов производства;

• обоснование выбора оборудования. Инвестиционная стадия (investment phase) также включает широкий спектр консультационных и проектных работ, в частности:

• установление правовых, финансовых и организационных принципов осуществления проекта;

• лицензирование технологии и проектно-изыскательские работы, включая выбор площадки (трассы), утверждение архитектурно-планировочного задания и организацию торгов на выполнение проектных работ;

• организацию торгов на строительство, заключение договоров и контрактов;

• приобретение (отвод) земли, подготовительные, строительные и монтажные работы;

• предпроизводственный маркетинг, обеспечение поставок и формирование администрации;

• сдачу объекта в эксплуатацию и вывод на проектную мощность.

Стадия эксплуатации (operating phase) может быть рассмотрена с точки зрения как краткосрочных, так и долгосрочных позиций. Краткосрочные проблемы связаны с применением и совершенствованием технологии, финансовым и материально-техническим обеспечением производства, организацией работы персонала. Долгосрочные проблемы касаются прежде всего стратегии, мониторинга совокупных издержек на производство, продолжения маркетинговых исследований, т. е. зависят от качества предынвестиционных решений.

Величина затрат на предынвестиционные исследования зависит от масштаба и природы исследования, вида и глубины исследования, от организаций-заказчиков и подрядчиков исследования и других факторов.

В широко применяемом за рубежом "Руководстве по подготовке промышленных технико-экономических исследований" (Manual for the preparation of industrial feasibility studies)  на основе многолетнего опыта в различных странах приводят следующие показатели величины затрат на проведение предынвестиционных исследований:

• на исследование возможностей - 2-3 человеко-месяца, или 0,2-1,0% от общей величины инвестиционных издержек;

• на ПТЭО - 6-12 человеко-месяцев, или 0,25-1,5%;

• на ТЭО небольших и средних проектов - 12-15 человеко-месяцев, или 1,0-3,0%;

• на ТЭО крупных и сложных проектов - 15-20 человеко-месяцев, или 0,2-1,0% от общей величины инвестиционных издержек. Для большинства крупных промышленных инвестиционных проектов затраты на предынвестиционные исследования составляют от 10 до 15 млн. долларов США.

Рис. 2. Последовательность разработки предварительного ТЭО инвестиционных проектов, принятая в развитых капиталистических странах

За рубежом затраты на разработку инвестиционных исследований в зависимости от вида проекта финансируются инвестором, инвестором совместно с партнерами, национальными банками развития и коммерческими банками, за счет субсидий по техническому сотрудничеству и развитию, включая программы ООН.

В общем виде процесс разработки инвестиционного проекта включает следующие этапы:

• маркетинговые исследования и разработку стратегии инвестирования;

• прогноз масштабов реализации нововведения и разработку программы его реализации;

• прогноз финансовых показателей и оценку экономической и коммерческой эффективности проекта;

• разработку комплексного плана проведения мероприятий по реализации проекта.

Схема разработки предварительного технико-экономического обоснования инвестиционных проектов, принятая в развитых капиталистических странах, представлена на рис. 2.

инвестиционный безубыточность риск экономический

1.3 Рекомендации по разработке инвестиционных проектов, принятые в отечественной практике

В настоящее время основным документом, регламентирующим способы формирования и оценки целесообразности инвестиций в России, являются утвержденные в 1994 г. Минэкономики РФ, Минфином РФ и ГК РФ но строительной, архитектурной и жилищной политике "Методические рекомендации по оценке эффективности инвестиционных проектов и их отбору для финансирования" и их вторая редакция.

В этих методических рекомендациях выделяют следующие этапы формирования инвестиционных проектов:

• определение инвестиционного замысла (идеи);

• исследование инвестиционных возможностей;

• ТЭО проекта, в котором, в отличие от ТЭО строительства, расчеты и контроль над их выполнением завершаются не только утверждением проекта и окончанием сооружения объекта, но и достижением заданной нормы доходности с выводом на проектный режим эксплуатации;

• формирование контрактной документации;

• подготовка проектно-сметной документации;

• строительно-монтажные и пуско-наладочные работы;

• эксплуатация объекта, мониторинг экономических показателей.

В общем случае определение инвестиционного замысла включает следующие работы: отбор и предварительную оценку замысла; инновационный, патентный и экологический анализ нового технического решения; анализ сертификационных требований; предварительное согласование замысла с федеральными, региональными и отраслевыми ведущими организациями; выбор организации, способной осуществить проект.

Исследование инвестиционных возможностей в указанных методических указаниях почти целиком заимствовано из упоминаемого Руководства по подготовке промышленных технико-экономических исследований и заключается в следующем: первоначальном изучении спроса и прогнозировании цен на продукцию (услуги); предварительном решении организационно-правовых вопросов реализации проекта; определении предполагаемого объема инвестиций и первоначальной оценки их эффективности; подготовке исходно-разрешительной и контрактной документации для проектно-изыскательских работ; разработке инвестиционного предложения для потенциального инвестора и подготовке решения о финансировании работ по составлению ТЭО проекта.

Субъектами инвестиций являются предприятия или организации, которые в упоминаемых официальных рекомендациях Госстроя России, Министерства экономики и Министерства финансов РФ называются реципиентами (от recipient - получатель).

В качестве возможных источников финансирования капитальных вложений можно рассматривать:

• собственные финансовые ресурсы и внутрихозяйственные резервы инвестора (прибыль, накопления, амортизационные отчисления, суммы, выплачиваемые страховыми компаниями в виде возмещения за ущерб), различного вида активы (основные фонды, земельные участки, промышленная собственность и т. п.);

• привлеченные ресурсы (средства от продажи акций, средства, выделяемые вышестоящими холдинговыми и акционерными компаниями на безвозмездной основе);

• инвестиционные ассигнования из государственных бюджетов РФ и республик в составе РФ, фондов поддержки предпринимательства на безвозмездной основе;

• иностранные инвестиции в форме финансового или другого участия в уставном капитале совместных предприятий или в форме прямых вложений международных организаций и финансовых институтов, предприятий и организаций различных видов собственности;

• заемные финансовые средства, в том числе кредиты банков, кредиты, предоставляемые государством на возвратной основе, кредиты иностранных инвесторов, облигационные займы, займы инвестиционных фондов и компаний, страховых обществ, векселя и другие средства.

Как видно из перечисленного, первые четыре группы источников представляют собственный капитал реципиента (не возвращается). Расчеты с другими участниками проекта производятся на правах долевого участия. Средства, полученные по пятой группе источников, подлежат возврату на определенных условиях в установленные сроки. Но зато в этом случае кредиторы не участвуют в распределении прибыли.

Для осуществления проекта с новым строительством кроме финансовых средств необходимо иметь: согласованную и утвержденную проектно-сметную документацию; отведенный (приобретенный) земельный участок; договор с подрядной строительной организацией, если строительство не осуществляется хозспособом; сведения о наличии энергетических, сырьевых, материальных и других ресурсов для нормального функционирования нового объекта.

На всех этапах предынвестиционной фазы, начиная с самых первых шагов формулирования целей и поиска направлений их реализации, необходимо проводить оценку эффективности проекта. Эффективность следует рассчитывать параллельно с технологическими разработками, а не под "занавес", как наблюдалось многие годы в отечественной практике. При этом в расчетах основные приоритеты следует отдавать потребителю, т. е. необходимо исходить из того, что нужно потребителю, а не из того, что может производитель. Можно отметить, что Минстрой России установил обязательный порядок расчета показателей эффективности проектов и исходных данных для этих показателей согласно действующим методическим рекомендациям с включением их в состав проектной документации (технико-экономических обоснований и проектов на строительство, расширение, реконструкцию и техническое перевооружение предприятий, зданий и сооружений) по стройкам и объектам производственного назначения, осуществляемым с использованием инвестиционных ресурсов федерального бюджета Российской Федерации, и на потенциально опасные и технически особо сложные объекты независимо от источников финансирования, видов собственности и принадлежности этих объектов. Указанным постановлением рекомендовано органам государственного управления субъектов Российской Федерации установить аналогичные требования к проектной документации по стройкам и объектам, осуществляемым с использованием инвестиционных ресурсов бюджетов республик в составе Федерации, краев, областей, автономных образований, городов Москвы и Санкт-Петербурга. А министерствам и ведомствам Российской Федерации предложено привести в соответствие с этими требованиями отраслевые положения по вопросам разработки проектной документации.

Разработка ТЭО проекта включает следующие работы: полное маркетинговое исследование; формирование программы выпуска продукции (оказания услуг); разработку основных технико-технологических, архитектурно-планировочных, строительных и других инженерных решений; подготовку мероприятий по охране окружающей среды и чрезвычайным ситуациям; составление раздела проекта организации строительства (НОС); решение вопросов организации управления предприятием; подготовку сметно-финансовой документации, включая расчет стоимости строительства и объема капитальных вложений, величины эксплуатационных затрат, потребности в оборотном капитале, определение проектируемых источников финансирования; оценку рисков, связанных с осуществлением проекта; определение сроков строительства (осуществления проекта), экономической эффективности и условий прекращения эксплуатации проекта.

Немаловажную роль играет и экспертиза проектов. В странах с рыночной экономикой экспертиза является одним из основных элементов системы управления и велика ответственность каждого эксперта. Подготовленное ТЭО согласно действующим рекомендациям должно пройти вневедомственную, экологическую и другие виды экспертиз, после чего ТЭО утверждается и подготавливается инвестиционное соглашение.

Инвестиционным соглашением называется результат представленных выше технико-экономических исследований инвестиционных возможностей. Инвестиционное соглашение рекомендуется дополнять информационным меморандумом, в котором содержатся подробные данные о реципиенте, его финансовой состоятельности, выпускаемой продукции, стратегии поведения на рынке и пр. Вместо инвестиционного соглашения в кредитную организацию можно направлять заявку, в которой приведены сведения из инвестиционного соглашения и информационного меморандума.

Необходимо заметить, что, несмотря на схожесть общих подходов к оценке инвестиционных проектов, принятые сравнительно недавно в нашей стране официальные методы их отбора для финансирования в настоящее время не полностью совпадают с принятыми за рубежом методами. В отечественной практике до настоящего времени используются десятками лет апробированные традиционные способы оценки капитальных вложений и затрат на проведение мероприятий научно-технического прогресса, краткое описание которых приводится в данной работе.

1.4 Основные принципы оценки эффективности инвестиционных проектов

Кроме экономической оценки инвестиционных проектов (особенно крупных) рекомендуется проводить следующие виды проектного анализа: 1) технический (проверка технико-технологической обоснованности проекта и приемлемости его для местных условий); 2) экологический (оценка влияния проекта на окружающую среду); 3) организационный или, как его называют в различных переводах, институциональный (оценка ответственности организации за осуществление проекта в заданные сроки и нормальную его эксплуатацию); 4) социальный (проверка приемлемости проекта в общественном отношении).

Экономический анализ или определение экономической эффективности инвестиционного проекта - это проверка соответствия проекта целям и интересам его участников.

Различают два вида экономической эффективности1 инвестиционного проекта (ИП):

• эффективность проекта в целом;

• эффективность участия в проекте.

Оценка эффективности проекта в целом - это определение потенциальной привлекательности проекта для всех возможных участников и источников финансирования. Она включает в себя:

• общественную (социально-экономическую) эффективность проекта;

• коммерческую эффективность проекта.

При определении общественной эффективности учитывают социально-экономические последствия осуществления ИП для общества в целом, т. е. кроме непосредственных результатов и затрат, затраты и результаты в смежных секторах экономики, экологические, социальные и другие эффекты.

Коммерческая эффективность - эффективность осуществления ИП для участника, его реализующего, в предположении, что он производит все необходимые затраты и пользуется всеми его результатами.

Эффективность участия в проекте, определяемая для выявления заинтересованности в нем всех его участников, включает в себя:

• эффективность участия предприятий в проекте (эффективность ИП для предприятий-участников);

• эффективность инвестирования в акции предприятия (эффективность для акционеров акционерных предприятий - участников ИП);

• эффективность участия в проекте структур более высокого уровня по отношению к предприятиям - участникам ИП, в том числе региональную и народнохозяйственную эффективность - для отдельных регионов и народного хозяйства РФ, а также отраслевую эффективность - для отдельных отраслей народного

В дальнейшем будем употреблять термин эффективность.

хозяйства, финансово-промышленных групп, объединений предприятий и холдинговых структур;

• бюджетную эффективность ИП (эффективность участия государства в проекте с точки зрения расходов и доходов бюджетов всех уровней).

2. Учет риска и неопределенности при оценке эффективности реальных инвестиционных проектов

2.1 Общие вопросы учета риска и неопределенности

Все вышеперечисленные рекомендации по экономической оценке реальных инвестиционных проектов основываются на допущении, что оцениваемый проект будет реализован своевременно, потребность в продукции или услугах проекта сохранится, цены на продукцию и услуги будут находиться на достаточно высоком уровне, организация производства будет соответствовать предъявляемым требованиям, государственная политика в отношении данной отрасли будет благоприятной и т. д. Выполнение всех условий одновременно на практике маловероятно. Поэтому при оценке экономической эффективности реальных инвестиционных проектов должны быть рассмотрены все источники неопределенностей и способы их учета. В общем случае под неопределенностью понимают неполноту или неточность информации об условиях реализации проекта. Под риском обычно подразумевают возможность возникновения неблагоприятных ситуаций и последствий в ходе реализации проекта. Термин "неопределенность" обычно применяется, когда результат нельзя точно предугадать, но возможность потерь Не так очевидна, как в случае риска. Но степень4неопределенности (вероятность) является мерой измерения риска.

Проблемы теории принятия решений с учетом неопределенности весьма широки. В данном разделе рассматриваются только основные приемы учета риска на простейших примерах.

При анализе реальных инвестиционных проектов используют следующие понятия теории вероятностей: событие - одно из двух или более явлений, которые могут случиться в данной ситуации; последствие - явление, которое происходит; вероятность - выражение частоты совершения определенного события как следствия ряда повторяющихся попыток (обычно измеряют в процентах).

При применении методов теории вероятностей часто используют правила сложения и умножения вероятностей. Например, вероятность того, что одно или другое из двух или более взаимо-исключаемых событий произойдет, равняется сумме вероятностей отдельных событий. Проиллюстрируем известным примером бросания кубика: вероятность получения одной какой-либо цифры равна 16,67% (1/6), а вероятность выпадения одной из двух каких-либо цифр уже равна 33,3% (1/6 +1/6 = 1/3). Второе правило: вероятность двух независимых событий, имеющих собственные последствия, является произведением их независимых вероятностей. В том же примере вероятность получения дубля на двух кубиках равняется всего 2,8% (1/6 • 1/6 = 1/36).

В общем случае в экономических расчетах неопределенность может иметь объективную и субъективную природу. К первой относят естественные и хозяйственные процессы, имеющие мало предсказуемый характер, ко вторым - еще не познанные по субъективным причинам. Пример объективной природы неопределенности: на нефтяной залежи с примерно одинаковыми гидрогеологическими и горнотехническими условиями было пробурено 100 скважин, 5 из которых оказались сухими. Дебиты добывающих скважин по нефти различаются следующим образом: 25 скважин имеют дебит 30 т/сут, 70 скважин - 6 т/сут. Данный простейший набор статистических данных показывает, что 70% общего фонда скважин имеют относительно низкий уровень дебита, 25% - высокий, а 5% - вообще без притока нефти.

Для иллюстрации субъективной природы неопределенности можно привести оценку величины дебита скважин но первичным данным геофизической разведки. Специалисты иногда могут выразить только качественное отношение к прогнозу. Сложность заключается в переводе качественных характеристик в количественные с достаточным числом градаций, позволяющим сформировать распределение вероятностей. Существует шкала распределения вероятностей от 0 (невозможность предсказать последствие) до 100% (полная уверенность). В случаях, когда эксперт задает только границы интервала, построение исходных вариантов может быть выполнено с применением так называемой случайной величины, равномерно распределенной в интервале от 0 до 100%, с математическим ожиданием, равным 50%. Например, если дебит скважины (1У) равномерно распределен в интервале {D - a; D + а} с математическим ожиданием, равным D, то расчет его можно производить по формуле:


где а - параметр, характеризующий предельное отклонение дебита от ожидаемой величины; г - случайная величина.

В качестве иллюстрации применения элементов теории вероятностей в экономических расчетах приведем еще один простейший пример. Вероятность вскрытия высокопродуктивной скважины на данном месторождении оценивают в 30%, малодебитной - 50%, сухой (безрезультатной) - 20%. Чистый дисконтированный доход при эксплуатации высокодебитной скважины составляет 3000 тыс., малодебитной - 1000 тыс., а сухой - -200 тыс. долл. (в последнем случае - убытки). Ожидаемый ЧДД при бурении скважин на данном месторождении вычисляют следующим "образом: 3000 • 0,3 + 1000 • 0,5 - 200 • 0,2 = 1360 тыс. долл./скв.

Вернемся к предыдущему примеру. Средний ожидаемый дебит скважин составит 30 т • 0,25+ 6 т • 0,70 + 0 • 0,05 =11,7 т. В общем случае, если имеются различные результаты Х1, Х2, ..., Хп и соответствующие им вероятности р1, р2, .. , рn, причем р1 + р2 + ... + рn = 1, то ожидаемый результат можно определить но формуле:


Значение среднего ожидаемого результата еще не говорит о его неопределенности и изменчивости, непосредственно связанной с риском. Мера изменчивости определяется отклонением, которое, в свою очередь, характеризуется дисперсией и стандартным отклонением. Дисперсия представляет собой среднее взвешенное из квадратов отклонений действительных результатов от ожидаемых, стандартное отклонение - квадратный корень из дисперсии. В рассматриваемом примере дисперсия равна [ (30 - 11,7)2 х х0,25 + (б - 11,7)2 х 0,7 + (0 - 11,7)2 х 0,05] = 113,30, а стандартное отклонение - 10,64 (т). Как видно, в данном примере стандартное отклонение сопоставимо со средним ожидаемым значением и наглядно показывает разброс результатов. Следовательно, чем больше стандартное отклонение, тем больше риск. Но следует отметить, что при расчете стандартного отклонения (дисперсии) учитываются как положительные, так и отрицательные результаты.

В методических рекомендациях для расчета ожидаемого интегрального эффекта Эож (экономического - на уровне народного хозяйства или финансового - на уровне отдельного участника) предлагается использовать следующие формулы, учитывающие стохастический (вероятностный) характер исходных данных в проектном анализе:

если известны вероятности различных условий реализации проекта, то


где Э; - интегральный эффект при i-м условии реализации; Pi - вероятность реализации этого условия;

при отсутствии информации о вероятностях условий реализации проекта


где - наибольшее и наименьшее из математических ожиданий интегрального эффекта по допустимым вероятностным распределениям;

-норматив для учета неопределенности эффекта, отражающий систему предпочтений в условиях неопределенности, который рекомендуется принимать равным 0,3.

2.2 Анализ чувствительности реального инвестиционного проекта

Различают следующие виды инвестиционных рисков (в скобках указана причина возникновения):

• законотворческий (нестабильность экономического законодательства и прежде всего системы налогов);

• внешнеэкономический (возможность введения ограничений на торговлю;

• политический (изменение социально-политической ситуации в стране или регионе);

• технический (неточность или неполнота технико-экономических показателей, параметров новой техники и технологии);

• коммерческий (изменение рыночной конъюнктуры, цен, валютных курсов и т. п.);

• природный (влияние природно-климатических факторов, возможность стихийных бедствий);

• производственно-технологический (возможность аварий и отказов оборудования, производственного брака и т. п.);

• институциональный (неопределенность целей, интересов и поведения участников);

• финансовый (возможность неплатежей, банкротств, срывов договорных обязательств).

Все факторы неопределенности, влияющие на экономические показатели инвестиционного проекта, можно разделить на две группы:

) факторы, влияющие на объем денежных поступлений;

) факторы, влияющие на объем затрат.

К первой группе факторов относят цены реализации, систему налогообложения, емкость рынка, долю предприятия на рынке, потенциал роста рыночного спроса и т. п., ко второй - постоянные и переменные издержки и тенденции их изменения. Некоторые факторы могут быть отнесены к обеим группам, например, темпы инфляции, объем производимой продукции, требуемый объем инвестиций, стоимость привлекаемого капитала по источникам его формирования.

Важным вопросом при учете неопределенности и риска является выделение основных факторов, точнее параметров, способных наиболее серьезно повлиять на проект, затем провести так называемый анализ чувствительности проекта или ранжирование параметров.

При оценке устойчивости инвестиционных проектов можно рассмотреть следующие параметры:

• величины инвестиционных затрат и продолжительности строительства;

• время вывода производства на проектную мощность, динамику изменения объемов производства и затрат в период освоения;

• возможный процент брака и затраты, связанные с исправлением брака (включая санкции потребителей);

• объемы производства с учетом возможного недоиспользования проектных мощностей из-за уменьшения спроса на продукцию;

• уменьшение цены на производимую продукцию (услуги);

• производственные издержки (постоянные и переменные затраты, включая заработную плату);

• размеры оборотного капитала и предполагаемые виды расчетов за поставляемую продукцию;

• соотношение собственных и заемных средств;

• ставки ссудного процента.

В ходе данного анализа параметрам на входе проекта задают некоторые предполагаемые значения, после чего рассчитывают соответствующие величины чистого дисконтированного дохода. Усредненные показатели параметров формируют базовый вариант, с которым можно сравнить все остальные, другими словами, проследить, как влияет изменение отобранных факторов на экономические показатели проекта. Для этого значения всех параметров, кроме выбранного, оставляют постоянными, анализируемый параметр изменяют на фиксированную величину, например на 10%, и рассчитывают чистый дисконтированный доход проекта. Затем определяют изменение ЧДД в процентах по отношению к базовому варианту. Изменение ЧДД в процентах на один процент изменения выбранного параметра является показателем чувствительности. Значение параметра, при котором ЧДД становится равным нулю, называют критическим значением. Подобные процедуры повторяют для каждого параметра, что позволяет ранжировать их в порядке уменьшения влияния. На всех стадиях управления менеджерам следует уделять особое внимание факторам с наибольшими показателями чувствительности (табл. 3).

При анализе чувствительности необходимо учитывать точность прогнозирования значений отдельных факторов. Для наглядности рекомендуется составлять общую матрицу показателей чувствительности и точности прогнозирования величины факторов. Пример такой матрицы представлен в табл. 4.

Таблица 3. Пример анализа чувствительности инвестиционного проекта (по данным Института экономического развития Всемирного банка)

Оцениваемый фактор (х)

Шаг измерения, %

Базовое значение ЧДД

Новое значение ЧДД

% изменения

Показатель чувствительности

Рейтинг








Базовый вариант


3912,17

-


...

-

Ставка дисконта

10

3942,17

3590,0

8,93

0,8932

4

Оборотный капитал

10

3942,17

3924,2

0,45

0,0455

6

Остаточная стоимость

10

3842,17

11,70

0,2734

5

Переменны расходы

10

3942,17

3481,0

11,70

1,1697

3

Объем продаж

10

3942,17

3157,0

19,92

1,9916

2

Цена реализации

10

3942,17

2695,9

31,61

3,1613

1


Таблица 12. Показатели чувствительности и точности прогнозирования в инвестиционном проекте

Наименование фактора (х)

Показатель чувствительности

Критическое значение

Степень важности

Точность прогнозирования

Цена реализации

3,16х

6,84

Очень высокая

Высокая

Объем продаж

1,99х

1,2

Очень высокая

Низкая



Текущее значение



Переменные затраты

1,17х

0,6863 з/п

Средняя

Средняя

Ставка дисконта

0,89х

27,79%

Средняя

Средняя

Остаточная стоимость

0,27х

Отрицательное значение

Низкая

Низкая

Оборотный капитал

0,05х

3516,48

Низкая

Высокая


Существуют следующие простые правила принятия управленческих решений по матрице чувствительности и точности прогнозов: 1) при высокой чувствительности и низком уровне надежности прогноза проводят повторную проверку расчетов, при среднем уровне надежности внимательно отслеживают все отклонения от расчетных параметров и производят постоянный контроль при высокой надежности прогнозирования; 2) при средней чувствительности, низком и среднем уровне надежности прогноза рекомендуется отслеживать отклонения, высоком уровне надежности - можно установить и забыть; 3) при низкой чувствительности и таком же уровне прогнозов еще есть необходимость контролировать отклонения параметров, а при средней чувствительности и высоком уровне надежности - так же установить и забыть.

Анализ чувствительности проекта можно проводить не на один фактор, а на их совокупность. В ряде случаев необходимо составление сценариев различных будущих условий реализации проекта. Поэтому такой метод называют анализом сценариев, согласно которому базовый вариант набора параметров, использованный в анализе чувствительности, принимают за ожидаемый сценарий. Затем составляют еще несколько сценариев. Например, "оптимистичный" сценарий представляет собой соображения о том, как может повести себя проект, если все обстоятельства будут более благоприятными, чем предполагалось в базисном варианте. В оптимистичном варианте набор событий должен быть реалистичным, т. е. он должен дать ответ на вопрос, как поведет себя проект, если компании исключительно повезет. Одновременно разрабатывают наихудший или "пессимистичный" вариант, т. е. рассматривают поведение проекта в случае, если все пойдет гораздо хуже, чем предполагалось.

Пример формирования оптимистичного и пессимистичного вариантов представлен в табл. 5.

Это позволяет по-новому оценить все преимущества и недостатки проекта в различных ситуациях. При анализе на чувствительность не только уточняются те факторы, которые в большей степени влияют на экономические показатели проекта, но и намечаются мероприятия по устранению их негативного воздействия. Например, если цена продукции или услуг оказалась критическим фактором, то имеет смысл по-новому оценить качество маркетинговых исследований или рассмотреть возможности снижения стоимости проекта. Если проект оказался весьма чувствительным к изменению объемов производства, то большее внимание уделяют мероприятиям по повышению устойчивости производства, включая совершенствование системы подготовки кадров, менеджмента и т. д. При этом необходимо учитывать, что анализ чувствительности проводят по ограниченному числу факторов, он не охватывает всех возможных обстоятельств и не может приводить к однозначным выводам.

Таблица 5 . Анализ сценариев реализации проектов

Показатель

Значения по вариантам(по сравнению с базовым вариантом)


Пессимистичный

Объем продаж

Снизился на 10%

Увеличился на 5%

Цена реализации

Упала на 15%

Прежняя

Переменные затраты

Возросли на 10%

Снизились на 10%

Остаточная стоимость

Снизилась на 25%

Возросла на 5%

Потребность в оборотном капитале

Выше на 10%

Ниже на 10%

Источники образования оборотного капитала

50% - собственные средства

100% - собственные средства

Чистый дисконтированный доход (ЧДД)

-1253,89

+3942,17

Внутренняя ставка доходности (ВНД)

7,56

27,79


Однако вероятность одновременного воздействия всех неблагоприятных факторов так же мала, как и того, что все будет происходить наилучшим образом. В любом случае анализ чувствительности дает достаточные указания на наиболее рискованные компоненты проекта.

Указанные выше процедуры расчетов обычно выполняются с помощью стандартных табличных процессоров .

2.3 Проверка безубыточности реального инвестиционного проекта

Проверка безубыточности проекта (Break-Even Analysis) является продолжением анализа его чувствительности. Проект считается устойчивым в том случае, если во всех наиболее вероятных и наиболее "опасных" для его участников ситуациях их интересы соблюдаются, а возможные неблагоприятные последствия устраняются за счет созданных запасов и резервов или возмещаются страховыми выплатами.

Обычно при анализе риска вначале определяют вероятные пределы изменения значений параметров критических факторов, затем проводят последовательные проверочные расчеты экономических показателей проекта при условии, что значения параметров находятся в допустимой области. В результате расчетов определяют распределение вероятности различных результатов проекта и его ожидаемую ценность.

В большинстве руководящих материалов по проектному анализу рекомендуется проводить анализ критических значений, который заключается в расчете максимального негативного изменения какого-либо важного элемента проекта, при котором проект все еще соответствует минимальному уровню приемлемости, установленному по одному из показателей функционирования проекта. После этого экспертным путем решается вопрос о продолжении рассмотрения проекта. Например, анализ критических значений позволяет определить, какое уменьшение объема производства может привести к снижению внутренней нормы доходности до минимального приемлемого уровня или чтобы его чистый дисконтированный доход упал до нуля.

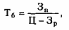
Одним из показателей устойчивости является точка безубыточности (Break-Even Point), т. е. такой объем реализуемой продукции (работ или услуг), при котором выручка от ее реализации равна издержкам производства. Общий объем издержек производства делят на условно-постоянные (не изменяющиеся при изменении объема производства) расходы и условно-переменные, изменяющиеся прямо пропорционально объему производства.

Точку безубыточности (Тб) рекомендуется находить по формуле:


где Ц - цена единицы продукции (работ или услуг);

Зр - условно-переменная составляющая себестоимости на единицу продукции;

Зп "~ условно-постоянные издержки при выполнении проектируемого объема продукции (работ или услуг).

Аналогичная задача может быть решена по проверке возможного уменьшения цены продукции. Например, можно определить, насколько необходимо увеличить объем производимой продукции (выполняемых работ или услуг), для того чтобы компенсировать некоторое снижение цены продукции (работ или услуг).

Следовательно, безубыточность проекта (Break-Even Analysis) позволяет определить как объем производимой продукции, обеспечивающий самоокупаемость и получение необходимой прибыли, так и изменение прибыли предприятия от объема и цены выпускаемой продукции.

Чем меньше величина Тб по сравнению с номинальными объемами производства, тем устойчивее проект. При этом необходимо иметь в виду, что удовлетворительное, на первый взгляд, значение точки безубыточности не гарантирует в общем случае эффективности проекта, так как при определении Зп и Зр обычно не учитываются возможные компенсации инвестиционных затрат, проценты за банковский кредит и т. п.

При определении точки безубыточности объем производства принимают равным объему реализованной продукции (объему продаж).

В некоторых, чаще зарубежных, методиках рекомендуется определять уровень диапазона или резерва безопасности. Чем меньше значение резерва безопасности, тем больше вероятность попадания в область убытков. Значение уровня диапазона безопасности находят по формуле:


где Margin of safety - резерв ("кромка") безопасности;

Burget sales - планируемый объем реализации готовой продукции; Break-Even sales - объем реализации, соответствующий точке безубыточности.

Другим методом учета неопределенности являются проверочные изменения параметров проекта и применяемых в расчете экономических нормативов. В частности, в этих целях используют:

• увеличение сроков строительства и пуско-наладочных работ и стоимости;

• учет запаздывания платежей, неритмичности поставок материалов, внеплановых отказов оборудования, возможных нарушений технологии, штрафов и других санкций или потерь;

• учет влияния инвестиционных рисков на сторонние предприятия и население данного региона;

• увеличение норм дисконта и требуемой ВНД.

Более точным способом учета неопределенности является метод формализованного ее описания, который обычно включает следующие этапы:

• описание множества возможных условий реализации проекта и отвечающих этим условиям затрат;

• преобразование исходной информации о факторах неопределенности в информацию о вероятностях отдельных условий и соответствующих показателях эффективности;

• определение ожидаемых экономических показателей реализации проекта с учетом вероятности условий их выполнения.

2.4 Методы учета риска при оценке инвестиций за рубежом

В последнее время в расчетах экономической эффективности реальных инвестиций как в нашей стране, так и за рубежом все чаще применяют современные математические методы учета риска. Кроме широко известного правила "большого пальца", восходящего к теореме Эррой Линда (1970 г.) с дополнениями Литтла и Миррлея (1974 г.), в нашей стране и за рубежом используют математические приемы оценки перерасходования затрат Безана-Джоунса (1989 г.), возможных результатов сценариев, предложенные Андерсоном (1990 г.), "институционального риска" (Салоп, 1991 г.) и другие.

При использовании зарубежных методов оценки эффективности необходимо учитывать, что в условиях совершенной конкуренции, когда ни одна из компаний не может существенно "взвинтить" цены, получение прибыли, большей, чем у конкурентов, возможно, если компания осуществляет свою деятельность с меньшими издержками, т. е. использует более совершенную технику и технологию. Однако, в связи с тем что время на разработку новой техники в последние годы резко сократилось, внедрение ее связано с определенной долей риска. Тем более традиционно рисковой остается нефтяная и газовая промышленность. При учете риска в этой отрасли в расчетах учитывают следующие факторы: методы оценки ресурсов нефти и газа, будущие цены на нефть и газ, себестоимость их добычи, транспортные расходы, будущую стоимость строительства и обустройства скважин, налоги и плату за землепользование, величину ожидаемого дохода.

Например, оценивается экономическая эффективность двух проектов разработки нефтяных месторождений при разной степени их геологической изученности: первый проект - изученная площадь (100 скважин пробурено, из них 95 дали промышленный приток нефти), извлекаемые запасы - 15 млн. т; второй - слабо изученная площадь (пробурено 5 скважин и только 1 скважина дала промышленный приток нефти), ориентировочные извлекаемые запасы - 100 тыс. т. Результаты расчета экономической эффективности разработки этих месторождений по показателям внутренней нормы доходности, отношению выгод и затрат (benefit-costs ratio - BCR), а также сроку окупаемости с учетом фактора времени представлены в табл. 5.

Как видно из табл. 15, проект 2 без учета риска имеет максимальную величину внутренней нормы доходности, более высокое соотношение выгод и затрат и небольшой срок окупаемости, но вероятность такого исхода невелика. При учете риска лучшим вариантом инвестиций является проект 1. Но при этом сохраняется целесообразность проведения дополнительных геологических и геофизических исследований для более надежной оценки вероятности проекта 2. После получения дополнительных данных необходимо повторить расчеты и выбрать лучший вариант по максимальной величине чистого дисконтированного дохода с учетом состояния рынка ссудного капитала. При окончательном выборе рекомендуется придерживаться следующих правил: 1) особенно рискованные инвестиции финансируются за счет собственных средств; 2) при использовании ссуд необходима тщательная подготовка кредитного соглашения (инвестиции с длительными сроками окупаемости должны инвестироваться за счет долгосрочных кредитов); 3) за весь период осуществления проекта должна быть обеспечена платежеспособность компании. Эти достаточно простые правила позволяют снизить долю риска.

Таблица 6. Результаты расчета экономической эффективности разработки нефтяных месторождений с учетом и без учета риска

Месторождение и вариант расчета

Внутренняя норма доходности (ВНД)

Отношение выгод и затрат (ВСR)

Срок окупаемости


Проект

1


Максимум

0,35

3,0

2,0 года

С учетом риска

2,7

2,2 года


Проект

2


Максимум

0,80

5,2

1,0 год

С учетом риска

0,20

1,4

4,0 года


Совершенно очевидно, что продолжительность реализации проекта в условиях риска оказывает наибольшее влияние на его экономические показатели. При прочих равных условиях изменение цены на нефть или появление эффективных его заменителей может резко изменить оценочные показатели.

Ранее рассматривались в основном технико-экономические аспекты риска в условиях неопределенности. К другим важным экономическим аспектам учета риска должно быть отнесено: определение стоимости проекта в условиях действия инфляционных процессов, степень адаптации проектов к риску, оценка влияния риска на отдельные элементы расчета эффективности инвестиций.

Срок окупаемости с учетом фактора времени является также приближенной оценкой рискованности проекта. Понятно, что степень риска возрастает при удалении момента времени, когда инвестиции начинают давать отдачу. Кроме всего перечисленного, причина этого еще и в том, что вследствие технического прогресса возможно появление более совершенной техники, чем та, которая заложена в проекте. Чем быстрее оборот капитала, тем менее рискованный проект, а прибыль и амортизационные отчисления скорее могут быть направлены в новые проекты или использованы на другие цели.

При составлении проектов, особенно с большим сроком реализации, целесообразно включать такие его блоки, которые могут быть отсрочены или вообще отвергнуты. Например, строительство какой-либо дополнительной очереди нефтепровода, резервуарного парка и т. п., которое может быть перенесено на более поздние сроки либо отвергнуто при резком изменении ситуации. Другим направлением повышения адаптационных возможностей проекта является включение таких объектов, которые могут быть использованы в различных целях, например гибких производственных систем. Но при этом должна быть оценена экономическая эффективность адаптации. Например, если рекомендовать разбуривать недостаточно изученное месторождение более редкой сеткой скважин и принимать умеренные темпы отбора нефти, то в случае благоприятной геологической ситуации экономические показатели могут быть постепенно улучшены, риски при неблагоприятной ситуации будут не столь значительны .

Ранее отмечалось, что одним из способов учета риска является использование при анализе проектов, характеризующихся большой степенью неопределенности конечных результатов, повышенной ставки дисконтирования (увеличения платы за риск).

Например, в США для строительства нефтегазопроводов, нефте-газохранилищ и объектов нефтепромыслового хозяйства ставка дисконтирования принимается в размере 8-10%, а для геологопоисковых работ, разработки новой техники, нефтепереработки установлены более высокие ставки дисконтирования (до 25%). Величина "надбавки" за риск зависит от характера проекта и влияния на него риска. В частности, в США при определении ставки дисконтирования все объекты топливно-энергетического комплекса условно разбиты на следующие группы:

• замена оборудования, обычно не связанная с существенными модификациями производства и имеющая относительно небольшой риск;

• внедрение новой техники, оборудования и технологии (учитывается неопределенность в оценке единовременных и текущих затрат);

• расширение производства (риск значительно больше, чем в предыдущих группах);

• научно-исследовательские и опытно-конструкторские разработки (НИОКР), имеющие недостаточные обоснования своей эффективности.

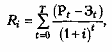
В пределах каждой группы может быть свое деление по степени риска. В нефтяной и газовой промышленности США, при оценке эффективности инвестиций в объекты сбора и транспорта нефти и газа ставка дисконта RD = 0,1 при ставке дисконта в нефтепереработке RD = 0,14. Зная ставки дисконта с учетом и без учета риска, можно определить так называемый "индекс риска" (/,.), который может быть найден как отношение чистого дисконтированного дохода за какой-либо период при ставке дисконта, учитывающего риск, к доходу с нормальной ставкой дисконта.

Величину дисконтированного дохода при нормальной ставке дисконта (Rj) определяют по формуле:


где (Pt - 3t)- чистый доход в t-м году эксплуатации объекта ; i - ставка дисконта без учета риска.

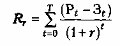
Аналогичная величина при ставке дисконта, учитывающей риск:


где г - ставка дисконта с учетом риска.

Величину индекса риска находят из выражения:


Очевидно, что Ir = f (г, г, Т). При i = 0,15, г = 0,30 и Т = 10 индекс риска равен 2,483. Величина индекса риска растет с увеличением расчетного срока службы проекта и зависит от соотношения ставки дисконта с учетом и без учета риска.

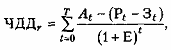
В некоторых случаях необходимо учесть различное влияние риска на показатели проекта в разные годы. Например, в первые годы эксплуатации проекта риск в получении прибыли составляет 10-20%, после 5 лет - 40-50% и т. д. Фактор изменения риска во времени может быть учтен при определении чистого дисконтированного дохода следующим образом:


где At - коэффициент, учитывающий фактор риска получения прибыли в году t.

Например, для реализации проекта требуется 500 млн. долл., ожидаемая величина прибыли в 1-й год составит 50 млн. долл. (с вероятностью 0,9); во 2-й год соответственно - 200 (0,8); в 3-й - 350 (0,7); в 4-й - 400 (0,6); в 5-й - 200 (0,5); в 6-й - 100 (0,4). Здесь первая цифра - объем чистой прибыли в млн. долл., вторая - коэффициент, учитывающий фактор риска. Ставка дисконта без учета риска составляет 10%. Результаты расчета дисконтированной прибыли приведены в табл. 7.

Таблица 7 . Пример определения дисконтированной прибыли с учетом переменного фактора риска

Год (t)

Прибыль (млн. $)

At

Прибыль с учетом риска (млн. S)

Коэффициент дисконтирования

Дисконтированная прибыль (млн. $)

1

50

0,9

45

0,9090

40,9

2

200

0,8

160

0,8264

132,22

3

350

0,7

245

0,7519

184,21

4

400

0,6

240

0,6849

164,37

5

200

0,5

0,6250

62,5

6

100

0,4

40

0,5650

22,6


Предлагаемые приемы дают лишь общие сведения о простейших путях решения проблем учета риска и неопределенности при оценке эффективности реальных инвестиционных проектов.

 

Заключение


Одной из наиболее актуальных проблем современного этапа развития российской экономики является продолжительный инвестиционный кризис. Он вызван рядом причин, среди которых:

·        политическая нестабильность, особенно на фоне экономического кризиса;

·        неотработанная и противоречивая законодательная база;

·        отсутствие механизмов защиты инвестиций;

·        несовершенство банковской и налоговой систем (недостаток кредитных ресурсов, особенно долгосрочных, налоговый гнет);

·        низкий уровень инфраструктуры (аудит, страхование, консалтинг, правовая поддержка);

·        несовершенство фондового рынка в части регистрации прав акционеров, депозитарного обслуживания;

·        низкий уровень менеджмента на предприятиях, несоответствие системы учета международной практике стандартного бухгалтерского и финансового учета и отчетности.

Вне всяких сомнений, активная структурно-инвестиционная перестройка сыграет положительную роль в совершенствовании производительных сил, обновлении основных производственных фондов и их загрузке, снижении издержек производства, повышении конкурентоспособности отечественной продукции и, в итоге, будет способствовать макроэкономической стабилизации.

Следует особо подчеркнуть, что в сложившейся ситуации решение проблем финансирования инвестиционной деятельности связано с переходом от регулирования преимущественно макроэкономических параметров финансовой сферы к комплексному многоцелевому подходу, воздействию на воспроизводственные процессы, на макро- и микроэкономических уровнях. Это, в частности, предполагает приоритетное регулирование не совокупного прироста, а структуры денежной массы (уменьшение доли наличных денег, дедолларизацию денежного обращения, вытеснение квазиденежных средств из платёжного оборота, нормализацию вексельного обращения, целевое регулирование денежных потоков исходя из задач обеспечения потребностей производственного сектора), последовательное снижение процентных ставок и доходности государственных заимствований, создание равных условий функционирования для всех секторов экономики. Переориентация экономической политики позволит повысить эффективность разработанных, но слабо действующих в настоящее время рычагов: налоговых льгот на инвестируемую часть прибыли, гарантии по кредитованию производственных инвестиций, предусмотренные бюджетом развития.

Необходимо отметить и вот какой факт: интересы российского общества, с одной стороны, и иностранных инвесторов - с другой, непосредственно не совпадают. Россия заинтересована в восстановлении, обновлении своего производственного потенциала, насыщении потребительского рынка высококачественными и недорогими товарами, в развитии и структурной перестройке своего экспортного потенциала, проведении антиимпортной политики, в привнесении в наше общество западной управленческой культуры. Иностранные инвесторы естественно заинтересованы в новом плацдарме для получения прибыли за счет обширного внутреннего рынка России, ее природных богатств, квалифицированной и дешевой рабочей силы, достижений отечественной науки и техники и даже ее экологической беспечности. Таким образом, наряду с положительными моментами участие иностранного капитала в российской экономике вызвало (и вызывает) ряд отрицательных последствий, которые не следует сбрасывать со счетов. К ним можно отнести то, что:

)Приоритетное внимание западных фирм к добыче и экспорту энергоносителей способствует не только разбазариванию невозобновляемых ресурсов, но и дальнейшей гипертрофии добывающих отраслей

)Участие западного капитала в приватизации государственной собственности при крайне заниженном курсе рубля позволило за бесценок скупить ряд важных объектов. Так, около 50% заводов по производству минеральных удобрений скуплены бывшими советскими гражданами и работают преимущественно на внешний рынок

)Иностранные капиталовложения нередко используются как способ отмыва “грязных денег” из стран Запада. Имеются серьезные опасения относительно того, что Россия может превратиться в международную “прачечную” по отмыванию средств, имеющих криминальное происхождение.

Применяемые в финансовом анализе методики и критерии можно разбить на две большие группы по такому признаку: учитывают они фактор времени или нет. Учет фактора времени опирается на использование концепции дисконтирования, в связи с чем методы и измерители первой группы часто называют дисконтными. Ко второй группе относят простые или традиционные методы, называемые также бухгалтерскими. Они не предполагают дисконтирование распределенных во времени денежных сумм (затрат и отдачи от них). Как правило, в финансовом анализе одновременно используется не менее двух характеристик - основная и дополнительная. Причем часто сочетаются показатели, полученные дисконтным и простым методами.

В современной зарубежной практике в средних и крупных фирмах дисконтные методы измерения эффективности инвестиций являются преобладающими. Мелкие фирмы обычно ограничиваются субъективными оценками и простыми методами. Возможно, это вызвано небольшими объемами инвестиций и соответственно низким уровнем рисков.

Список литературы

Методические рекомендации по оценке эффективности инвестиционных проектов и их отбору для финансирования. М., 1994.

Методические рекомендации по оценке инвестиционных проектов: (Вторая редакция). М., 2000.

1. Балабанов И.Т. Основы финансового менеджмента. Как управлять капиталом? М., 2002.

2. Бука Л.Ф., Зайцева О.Н. Экономический анализ. Ч. 1. Новосибирск, 2003.

3. Виленский П.Л., Лившиц В.К., Орлова Е.Р., Смолян С.Л. Оценка эффективности инвестиционных проектов. М., 2002 .

4. Зелтынь А.С. Иностранные инвестиции в Россию // ”Эко”. № 8. 2001.

5. Кныш М.И., Перекатов Б.А., Тютиков Ю.П. Стратегическое планирование инвестиционной деятельности. Спб, 2003.

6. Ковалев В.В. Методы оценки инвестиционных проектов. М., Финансы и статистика, 2000.

7. Липсиц И.В., Коссов В.В. Инвестиционный проект: методы подготовки и анализа. М., 2003.

8. Методические рекомендации по оценке эффективности инвестиционных проектов и их отбору для финансирования. М., 2001.

9. Основы экономического анализа: Сб. статей. Ижевск, 2003.

10.Самуэльсон П. Экономикс, т.1, М., 2002 .

11.Чепурин М.Н. Киселева Е.А. Курс экономической теории. Изд.“АСА”, Киров, 2003.

12.Шарп У., Александер Г., Бейли Дж. Инвестиции // пер. с англ. - М.:ИНФРА-М, 2003.


Не нашли материал для своей работы?
Поможем написать уникальную работу
Без плагиата!
Без нейросетей!