Творческие способности детей дошкольного возраста

  • Вид работы:
    Дипломная (ВКР)
  • Предмет:
    Психология
  • Язык:
    Русский
    ,
    Формат файла:
    MS Word
    1,94 Mb
  • Опубликовано:
    2011-11-28
Вы можете узнать стоимость помощи в написании студенческой работы.
Помощь в написании работы, которую точно примут!

Творческие способности детей дошкольного возраста

Содержание

Введение

Глава 1. Теоретические основы формирования способностей человека

1.1 Характеристика и классификация способностей и их отражение в работах отечественных и зарубежных психологов

.2 Особенности развития творческих способностей у детей дошкольного возраста

Глава 2. Эмпирическое исследование творческих способностей у детей дошкольного возраста

.1 Программа и методики исследования

.2 Результаты исследования, их анализ и интерпретация

Заключение

Литература

Приложения

ВВЕДЕНИЕ


Актуальность исследования обусловлена тем, что необходимость продуктивных преобразований в сфере общественной жизни неизбежно затрагивает вопросы творчества, творческой инициативы, способностей к активности творческого характера. В этом контексте проблема развития творческих способностей детей дошкольного возраста приобретает особое значение. Кардинальные изменения в общественной и экономической жизни нашего государства выдвигают новые задачи по воспитанию всесторонне развитой личности, способной усваивать научные знания, быстро адаптироваться к изменяющимся условиям и активно влиять на ход общественных, экономических и культурных процессов. В современных условиях необходимо не только вооружить человека определенной суммой знаний, но и воспитывать самостоятельную, творчески развитую личность.

Предмет исследования - творческие способности детей дошкольного возраста.

Объект исследования - воспитанники дошкольного образовательного учреждения развивающего вида № 923 города Москвы.

Цель исследования - изучение творческих способностей у детей дошкольного возраста.

Задачи исследования:

1.  Проанализировать литературу по теме исследования.

2.      Изучить особенности развития и компоненты творческих способностей у дошкольников.

.        Выявить критерии одарённости у детей дошкольного возраста.

.        Провести эмпирическое исследование по выявлению влияния интеллекта на творческие способности у детей дошкольного возраста.

Гипотеза исследования - творческие способности дошкольника не зависят от уровня развития его интеллекта.

Методы исследования:

теоретический анализ отечественной и зарубежной литературы;

эмпирические методы: наблюдение, тестирование;

метод математической обработки.

Глава 1. Теоретические основы формирования способностей человека

1.1    Характеристика и классификация способностей и их отражение в работах отечественных и зарубежных психологов

Всякая деятельность требует от человека обладания специфическими качествами, определяющими его пригодность к ней и обеспечивающий определённый уровень успешности её выполнения. В психологии эти индивидуально-психологические особенности называют способностями личности, причём выделяют только такие способности, которые, во-первых, имеют психологическую природу, во-вторых, индивидуально варьируют.

Способность, по определению, это свойство личности, характеризующее успешность её в той или иной деятельности и возможность выполнения этой деятельности без избыточных усилий [25].

Способности имеют органические, наследственно закрепленные предпосылки для их развития в виде задатков. Люди от рождения бывают наделены различными задатками, хотя различия эти не так велики, как это утверждают те, которые различия в способностях ошибочно целиком сводят к различию врожденных задатков. Различия между людьми в задатках заключаются, прежде всего, в прирожденных особенностях их нервно-мозгового аппарата - в анатомо-физиологических, функциональных его особенностях. Исходные природные различия между людьми являются различиями не в готовых способностях, а именно в задатках. Между задатками и способностями очень большая дистанция; между одними и другими - весь путь развития личности. Задатки многозначны; они могут развиваться в различных направлениях. Задатки - лишь предпосылки развития способностей. Развиваясь на основе задатков, способности являются все же функцией не задатков самих по себе, а развития, в которое задатки входят как исходный момент, как предпосылка. Включаясь в развитие индивида, они сами развиваются, т.е. преобразуются и изменяются.

Способности формируются в процессе взаимодействия человека, обладающего теми или иными природными качествами, с миром. Результаты человеческой деятельности, обобщаясь и закрепляясь, входят как «строительный материал» в построение его способностей. Эти последние образуют сплав исходных природных качеств человека и результатов его деятельности. Способности человека - это снаряжение, которое выковывается не без его участия. Способности человека определяются диапазоном тех возможностей к освоению новых знаний, их применению к творческому развитию, которые открывает освоение этих знаний [35].

Можно сказать, что способности проявляются не в самих знаниях, умениях, навыках, а в динамике их приобретения, в том, насколько быстро и легко человек осваивает конкретную деятельность. От способностей зависит качество выполнения деятельности, её успешность и уровень достижений, а также то, как эта деятельность выполняется.

Рассматривая соотношение способностей и деятельности, следует отметить, что если человек не справляется с требованиями, которые предъявляет ему деятельность, то это не означает полное отсутствие у него способностей. Вероятно, что данному индивиду потребуется больше времени на усвоение знаний, умений и навыков. Кроме того, способности человека могут развиться через какое-то время или проявиться в другом виде деятельности.

О природе способностей ведётся достаточно много споров. Одна из господствующих точек зрения, ведущая свою историю ещё от Платона, утверждает, что способности биологически обусловлены. Обучение и воспитание может лишь изменять скорость их появления, но они всегда проявятся тем или иным образом. В пользу наследственности способностей свидетельствуют существующие многочисленные династии артистов, художников, врачей и т.д. Однако скорее в большинстве случаев следует говорить не о биологической, а о социальной наследственности.

Представители другой крайней точки зрения считают, что особенности психики целиком определяются качеством воспитания и обучения. Сторонники данного направления ссылаются на случаи, когда дети самых отсталых и примитивных племён, получив соответствующее обучение, ничем не отличались от образованных европейцев [25].

Отдельные способности не могут существовать сами по себе и независимо друг от друга. Каждая способность изменяется, приобретает качественно иной характер в зависимости от степени развития других способностей. Качественная характеристика способностей предполагает выявление отличий между людьми в различных областях деятельности. Каждая способность имеет различную силу, уровень, то есть, имеет количественную характеристику, показывающую, в какой мере развиты они у данного человека по сравнению с другими людьми.

Способности могут различаться не только по своей направленности, по качественным и количественным характеристикам, но и по своему уровню и масштабу.

Мастерство, т.е. совершенство в конкретном виде деятельности, требует большого и напряжённого труда. Мастерство в большой степени связано с производительностью. Уровень мастерства в процессе деятельности изменяется, развивается структура способностей человека, формируется его личность.

Под талантливостью понимают высокий уровень развития специальных способностей. Так же как и способности, талант проявляется и развивается в деятельности. Деятельность талантливого человека отличается принципиальной новизной, оригинальностью подхода.

Высший уровень развития способностей называют гениальностью. Высокий уровень одарённости, который характеризует гения, неизбежно связан с незаурядностью в различных областях деятельности.

Развитие способностей определяется не столько продуктами человеческой культуры, сколько деятельностью человека по их присвоению. Способности человека развиваются в деятельности. Классифицируя человеческие способности, мы можем выделить следующие из них:

·    природные (или естественные) - биологически обусловленные в своей основе (восприятие, память, мышление и т.д.);

·        общие (умственные, тонкость и точность ручных движений, развитая память, совершенная речь и др.);

·        специальные (музыкальные, математические, лингвистические, технические, спортивные и др.);

·        теоретические и практические;

·        учебные и творческие;

·        способности к общению, взаимодействию с людьми, предметно-деятельностные, предметно-познавательные (иначе их называют социально обусловленные способности);

·        способности межличностного характера (умение убеждать других, оказывать влияние на других, добиваться взаимопонимания и т.д.).

Патологическое снижение способностей называется олигофренией. Различают три основные её степени: лёгкая (дебильность), средняя (имбецильность) и глубокая (идиотия) (См. рис. № 1).

Важным условием развития способностей следует считать формирование настойчивости, умение максимально напрячься в деле достижения цели. Способности развиваются тем успешнее, чем чаще в своей деятельности человек добирается до предела своих возможностей и постоянно поднимает этот потолок всё выше и выше.

Неблагоприятные условия для развития способностей могут быть различной природы. При высокой спонтанной активности ребёнка это может быть нехватка соответствующих впечатлений. При неблагоприятных общих условиях воспитания, например, при частых психических травмах, энергия ребёнка может тратиться на неконструктивные переживания. Излишнее принуждение может погасить спонтанную активность ребёнка и засушить способность [25].

Поскольку любая наука содержит в себе остатки иррационализма, постольку и психология способностей нуждается в изначальном авторитете, «отце-основателе». На эту роль вправе претендовать Френсис Гальтон [5]. Именно он стал основоположником эмпирического подхода к решению проблемы способностей, одаренности, таланта, предложил основные методы и методики, которыми исследователи пользуются и по сей день.

Гальтон пытался объяснить влиянием наследственности индивидуальные различия между людьми, и не случайно его работы послужили отправным пунктом развития дифференциальной психологии. Два фактора - наследственность и среда - влияют на развитие человека. И, чтобы выявить относительное влияние наследственности и среды в течение жизни, он в 1876 году предложил использовать методику сравнения испытуемых-близнецов, выросших в одинаковых и разных социальных средах (разлученные близнецы).

Сэр Френсис выделил список проблем и методических подходов, которые стали основой психологии способностей как научной отрасли.

Первая проблема: развитие способностей и их детерминанты. Основным звеном в детерминации способностей является соотношение наследственности и среды.

Вторая проблема: взаимосвязь специальных и общих способностей. Гальтон полагал, что, измеряя параметры простейших психических процессов, можно определить уровень творческой одаренности человека.

С этой проблемой тесно связана третья: создание методов измерения способностей, в более широком смысле - методов измерения психических свойств индивидуальности.

Гальтон полагал, что тесты сенсорного различения могут служить для измерения интеллекта человека. Он приблизился к представлению о когнитивной сложности интеллекта как одной из основных его характеристик, считая, что поле, на котором действует наш интеллект и рассудок, тем обширнее, чем лучше органы чувств реагируют на внешние раздражители. Заметив нарушение способности различать тепло, боль, холод при идиотии, он окончательно убедился в том, что по сенсорной различительной чувствительности можно определить интеллектуальную одаренность.

В меньшей мере Гальтон обращал внимание на роль социальных условий в развитии способностей. Однако позже этот пробел был восполнен другими исследователями [5].

В частности, А. А. Бодалев считал, что социальная психология способностей является сегодня едва ли не главной проблемной областью психологии способностей в целом. Развитие общества связано с изменением отношения к различным способностям. Главной задачей социальной психологии, с его точки зрения, является прослеживание взаимосвязей: общественная потребность в определенных способностях - условия для их развития - реальное развитие способностей [39].

Б. М. Теплов выделял три признака способностей, которые и легли в основу определения, наиболее часто используемого специалистами:

) способности - это индивидуально-психологические особенности, отличающие одного человека от другого;

) только те особенности, которые имеют отношение к успешности выполнения деятельности или нескольких деятельностей;

) способности несводимы к знаниям, умениям и навыкам, которые уже выработаны у человека, хотя и обусловливают легкость и быстроту их приобретения.

Тем самым область психологии способностей - это раздел психологии индивидуальных различий (дифференциальной психологии).

Б. М. Теплов указывает на то, что, помимо успеха в деятельности, способность детерминирует скорость и легкость овладения той или иной деятельностью, и это изменяет положение с определением: скорость обучения может зависеть от мотивации, но чувство легкости при обучении (иначе - «субъективная цена», переживание трудности) скорее обратно пропорционально мотивационному напряжению [22].

Итак, чем больше развита у человека способность, тем успешнее он выполняет деятельность, быстрее ею овладевает, а процесс овладения деятельностью и сама деятельность даются ему субъективно легче, чем обучение или работа в той сфере, в которой он не имеет способности.

Наиболее детально этот вопрос рассматривается в работах В.Д. Шадрикова [38]. Он приходит к выводу, что понятие «способность» является психологической конкретизацией категории свойства. Свойством какой «вещи» является способность? По В. Д. Шадрикову, наиболее общим понятием, которое описывает психологическую реальность, является понятие психической функциональной системы, процесс функционирования которой (психический процесс) обеспечивает достижение некоторого полезного результата.

Отсюда «…способности можно определить как свойства функциональных систем, реализующих отдельные психические функции, имеющих индивидуальную меру выраженности, проявляющуюся в успешности и качественном своеобразии освоения и реализации отдельных психических функций. При определении индивидуальной меры выраженности способностей целесообразно придерживаться тех же параметров, что и при характеристике любой деятельности: производительности, качества и надежности (в отношении рассматриваемой функции)» [38, с.96].

Поскольку всякий психический процесс (в том числе - познавательный) является временной характеристикой функционирования соответствующей системы, В. Д. Шадриков выделяет способности мыслительные, восприятия, памяти и так далее. Способности, по Шадрикову, являются общими в смысле отнесенности к конкретным видам деятельности: не существует, с этой точки зрения, «лётных», «кулинарных», «музыкальных», «педагогических» и прочих способностей.

В. Д. Шадриков вводит понятие общей одаренности, определяя ее как пригодность к широкому кругу деятельностей или сочетание способностей, от каждой из которых зависит успешность выполнения той или иной деятельности, но и в этом случае общее не предшествует частному, а наоборот есть результат «сборки» отдельных элементов [38].

Различая специальные и общие способности, Д. Н. Завалишина вслед за Б. М. Тепловым связывает общие способности с более общими условиями ведущих форм человеческой деятельности, а специальные - с отдельными видами деятельности [16]. Тем самым вновь проводится линия «деятельностной редукции»: способности конституируются не по видам психических функциональных систем, а по видам деятельности.

Разумнее было бы предположить, что способности связаны с какими-то общими сторонами функционирования психики, которые проявляются не в конкретных деятельностях или группах деятельностей, а в общих формах внешней активности (поведения) человека.

Следуя Б. Ф. Ломову, выделявшему три функции психики: коммуникативную, регуляторную и познавательную, можно было бы говорить о коммуникативных, регуляторных и познавательных способностях.

Многие психологи связывают способности к творческой деятельности, прежде всего с особенностями мышления. В частности, известный американский психолог Гилфорд, занимавшийся проблемами человеческого интеллекта, установил, что творческим личностям свойственно так называемое дивергентное мышление [10]. Люди, обладающие таким типом мышления, при решении какой-либо проблемы не концентрируют все свои усилия на нахождение единственно правильного решения, а начинают искать решения по всем возможным направлениям с тем, чтобы рассмотреть как можно больше вариантов. Такие люди склонны образовывать новые комбинации из элементов, которые большинство людей знают и используют только определенным образом, или формировать связи между двумя элементами, не имеющими на первый взгляд ничего общего. Дивергентный способ мышления лежит в основе творческого мышления, которое характеризуется следующими основными особенностями:

быстрота - способность высказывать максимальное количество идей (в данном случае важно не их качество, а их количество).

гибкость - способность высказывать широкое многообразие идей.

оригинальность - способность порождать новые нестандартные идеи (это может проявляться в ответах, решениях, несовпадающих с общепринятыми).

законченность - способность совершенствовать свой «продукт» или придавать ему законченный вид.

Ученые и педагоги, занимающиеся разработкой программ и методик творческого воспитания, считают, что один из компонентов творческого потенциала человека составляют следующие способности [14]:

. Способность рисковать.

. Дивергентное мышление.

. Гибкость в мышлении и действиях.

. Скорость мышления.

. Способность высказывать оригинальные идеи и изобретать новые.

. Богатое воображение.

. Восприятие неоднозначности вещей и явлений.

. Высокие эстетические ценности.

. Развитая интуиция.

По вопросу о составляющих творческих способностей можно выделить творческое воображение и качество творческого мышления как обязательные компоненты творческих способностей. Исходя из этого, можно определить основные направления в развитии творческих способностей детей:

·    развитие воображения;

·        развитие качеств мышления, которые формируют креативность.

творческий способность дошкольник интеллект

1.2 Особенности развития и компоненты творческих способностей у детей дошкольного возраста

Любые задатки, прежде чем превратиться в способности, должны пройти большой путь развития.

Первые годы жизни ребенка - самые ценные для его будущего, и надо как можно полнее использовать их. Точнее говоря, первые толчки к развитию творческих способностей.

Интересно, что ни у кого не возникает вопроса, когда начинать учить ребенка разговаривать. С ним просто говорят - со дня его рождения, когда он еще и не воспринимает, кажется ничего. Проходит пять, десять месяцев, наступает момент - произнесено первое слово!

Условия для того, чтобы это произошло, были обеспечены заранее, они опережали развитие речи, непрерывно стимулировали ее, и созревание соответствующих отделов мозга шло успешно.

А что если и в развитии других способностей поступить подобным образом: насколько это, возможно, заранее окружить ребенка такой средой и такой системой отношений, которые стимулировали бы самую разнообразную его творческую деятельность и развивали бы в нем именно то, что в соответствующий момент способно наиболее эффективно развиваться? Именно в этом и состоит важное условие эффективного развития творческих способностей [29].

Детское творчество особенно ярко проявляется в играх. Творчество детей в этих играх направлено на создание игровой ситуации. Творческая игра учит детей обдумывать, как осуществить тот или иной замысел. В творческой игре, как ни в какой другой деятельности, развиваются ценные для детей качества: активность, самостоятельность.

Детские творческие игры - явление многообразное. Их содержание усложняется и развивается в том случае, если они увлекают детей. С её помощью можно достичь больших успехов в воспитательно-образовательной работе с детьми.

Руководство творческими играми приобретает важное значение, но встречаются определенные трудности. Педагог должен учитывать многие факторы, которые развивают ребенка, - его интересы, личные качества, навыки общественного поведения.

Формируя интерес к играм, необходимо читать и рассказывать детям произведения художественной литературы, рассматривать иллюстрации к этим произведениям, показывать диафильмы.

Любые игры только тогда дают результаты, когда дети играют с удовольствием. Так же и творчество - это всегда интерес, увлечение и даже страсть. Но этот интерес легко притупить не только небольшим нажимом, но даже просто «перебарщиванием». Поэтому никогда не следует доводить занятие играми до пресыщения, до того, что дети не хотят играть. Заканчивать игру нужно, как только промелькнет первый признак потери интереса к ней [31].

Творческая деятельность - специфический вид активности человека, направленный на познание и творческое преобразование окружающего мира, включая самого себя (См. рис. №1).

Творческая деятельность




 

Декоративно-прикладная (ИЗО, шитье, вязание, макраме)

Художественно-эстетическая ( музыка, вокал, хореография, театр)

 

Рис. № 1. Виды творческой деятельности

Среди декоративно-прикладного творчества дети любят заниматься больше всего изобразительным искусством, в частности рисованием. По характеру того, что и как изображает ребенок, можно судить о его восприятии окружающей действительности, об особенностях памяти, воображения, мышления.

Большую роль в развитии творческих способностей детей занимают занятия по шитью, вязанию. Изучив основы вязания, дети сами комбинируют узоры, творчески подходят к выполнению изделия.

Раскроив изделие, дети подбирают оформление для него, по принципу цветовой гаммы.

В процессе таких занятий у детей развивается логическое мышление, творческое воображение.

Важное место в художественно-эстетической деятельности детей занимает музыка. Детям доставляет удовольствие прослушивание музыкальных произведений, повторение музыкальных рядов и звуков на различных инструментах. В дошкольном возрасте впервые зарождается интерес к серьезным занятиям музыкой, который в дальнейшем может перерасти в настоящее увлечение и способствовать развитию музыкального дарования. Дети учатся петь, выполнять разнообразные ритмические движения под музыку, в частности танцевальные.

Вокальные занятия также являются творческой деятельностью. Пение развивает музыкальный слух и вокальные способности. Для раскрытия творческих способностей, используются коллективно разыгрываемые этюды, музыкально-танцевальные импровизации [12].

Есть великая формула «дедушки» космонавтики К.Э. Циолковского, приоткрывающая завесу над тайной рождения творческого ума: «Сначала я открывал истины, известные многим, затем стал открывать истины, известные некоторым, и, наконец, стал открывать истины, никому еще не известные» [39, с.89].

Видимо, это и есть путь становления творческих способностей, путь развития изобретательского и исследовательского таланта.

Одним из основных принципов обучения является принцип от простого к сложному. Этот принцип заключается в постепенном развитии творческих способностей.

В процессе организации обучения развитию творческих способностей большое значение придается общедидактическим принципам: научности, систематичности, последовательности, доступности, наглядности, активности, прочности, индивидуального подхода.

Все занятия по развитию творческих способностей проводятся в игре. Для этого нужны творческие, развивающие игры, которые при всем своем разнообразии объединены под общим названием не случайно, они все исходят из общей идеи и обладают характерными творческими способностями.

. Каждая игра представляет собой набор задач.

. Задачи дают ребенку в разной форме, и таким образом знакомит его с разными способами передачи информации.

. Задачи расположены примерно в порядке возрастания сложности.

. Задачи имеют очень широкий диапазон трудностей. Поэтому игры могут возбуждать интерес в течение многих лет.

. Постепенное возрастание трудности задач - способствует развитию творческих способностей.

Наряду с принципами используют и методы: практические (упражнения, игры, моделирование), наглядные (наблюдение - рассматривание рисунков, картин, просмотр диафильмов, прослушивание пластинок), словесные (рассказ, беседа, чтение, пересказ). В работе с детьми все эти методы должны сочетаться друг с другом [11].

Человеческое мышление, способность к творчеству - величайший дар природы. Очень важно понимать, что даром этим природа отмечает каждого человека. Но так же очевидно и то, что свои дары она поровну не делит и кого-то награждает щедро, не скупясь, а кого-то обходит стороной. Одаренным же принято называть того, чей дар явно превосходит некие средние возможности, способности большинства.

Многие специалисты называют одарённостью генетически обусловленный компонент способностей. Этот генетически обусловленный дар в значительной мере определяет как конечный итог (результат развития), так и темп развития. Внешнее окружение, или, как говорят в профессиональной литературе, среда и воспитание, либо подавляют его, либо помогают этому дару раскрыться. И подобно тому, как ювелир может превратить природный алмаз в роскошный бриллиант, благоприятная окружающая среда и квалифицированное педагогическое руководство способны превратить этот природный дар в выдающийся талант [7].

Многие в нашем отечестве не хотели и до сих пор не хотят «ждать милостей от природы». Отсюда и идеи о том, что нет детей одаренных и нет, не одаренных. Есть лишь те, кого правильно или неправильно обучали и воспитывали, «нет плохих учеников, есть плохие учителя...»

«Одаренный ребенок - это ребенок, который выделяется яркими, очевидными, иногда выдающимися достижениями (или имеет внутренние предпосылки для таких достижений) в том или ином виде деятельности».

Естественно, возникает вопрос, о каких достижениях идет речь. В специальной литературе чаще всего выделяют несколько категорий детей, которых обычно и называют одаренными:

дети с высокими показателями по специальным тестам интеллекта (интеллектуальная одаренность);

дети с высоким уровнем творческих способностей (творческая одаренность);

дети, достигшие успехов в каких-либо областях деятельности (юные музыканты, художники, математики, шахматисты и др.), эту категорию детей чаще называют талантливыми;

дети, хорошо обучающиеся в школе (академическая одаренность).

Каждая из этих категорий отражает определенное отношение к пониманию одаренности как психического явления [21].

Что же такое одаренность в современном понимании?

Концепций одаренности, созданных современными учеными, существует очень много. В их описаниях нередко могут заблудиться даже профессионалы психологи. Мы облегчим свою задачу, обратившись сразу к наиболее популярной и принимаемой большинством современных специалистов идее - концепции человеческого потенциала американского психолога Джозефа Рензулли [33]. Согласно его учению, одаренность представляет собой сочетание трех характеристик (См. рис. № 3):

интеллектуальных способностей (превышающих средний уровень);

творческости;

настойчивости (мотивация, ориентированная на задачу).

Примечательно, что в самом названии данной теоретической модели Дж. Рензулли использует вместо термина «одаренность» термин «потенциал». Это свидетельство того, что данная концепция - своего рода универсальная схема, применимая для разработки системы воспитания и обучения не только одаренных, но и всех детей [36].

Выделенная Дж. Рензулли триада представляется автором обычно в виде трех взаимно пересекающихся окружностей, символизирующих мотивацию, выдающиеся способности (интеллект) и творческость (креативность), что в значительной мере проясняет характер взаимодействия данных трех составляющих.

Рис. № 2. Элементы человеческого потенциала Дж.Рензулли (малая модель)

Кроме того, в его теоретической модели учтены знания на основе опыта и благоприятная окружающая среда. Автор отмечает, что в соответствии с его концепцией число одаренных детей может быть значительно выше, чем при их идентификации по тестам интеллекта или достижений.

На сегодняшний день большинство психологов признает, что качественное своеобразие и характер развития одаренности - это всегда результат сложного взаимодействия наследственности (природных задатков) и социальной сферы опосредованного деятельностью ребенка (игровой, учебной, трудовой). В то же время нельзя игнорировать и роль психологических механизмов саморазвития личности, лежащих в основе формирования и реализации индивидуального дарования.

Детский возраст - период становления способностей, личности и бурных интегративных процессов в психике. Уровень и широта интеграции характеризуют формирование и зрелость самого явления - одаренности. Одним из наиболее дискуссионных вопросов, касающихся проблемы одаренных детей, является вопрос о частоте проявления детской одаренности. Существуют две крайние точки зрения «все дети являются одаренными» - «одаренные дети встречаются крайне редко». Указанная альтернатива снимается в рамках следующей позиции: потенциальная одаренность по отношению к разным видам деятельности присуща многим детям, тогда как актуальную одаренность демонстрирует значительная часть детей [9].

Поскольку одаренность в детском возрасте можно рассматривать в качестве потенциала психического развития по отношению к последующим этапам жизненного пути личности, следует учитывать сложность самой проблемы «одаренный ребенок». В значительной мере она связана со спецификой детской одаренности (в отличие от одаренности взрослого человека). Одаренность конкретного ребенка в значительной мере условная характеристика. Самые замечательные способности ребенка не являются прямым и достаточным показателем его достижений в будущем. Нельзя закрывать глаза на то, что признаки одаренности, проявляемые в детские годы, даже при самых, казалось бы, благоприятных условиях могут либо постепенно, либо весьма быстро исчезнуть [21].

Глава 2. Эмпирическое исследование творческих способностей у детей дошкольного возраста

.1 Программа и методики исследования

Эмпирическое исследование проводилось на базе дошкольного образовательного учреждения развивающего вида № 923 города Москвы. Данный детский сад имеет приоритет, направленный на развитие художественно-изобразительной деятельности, поэтому вся работа учреждения строится на развитии творческих способностей детей.

В нашем исследовании участвовало 14 детей (6 мальчиков и 8 девочек) подготовительной группы в возрасте от 6 до 7 лет.

На первом этапе исследования мы провели знакомство с детьми, наблюдали за ними в процессе занятий с воспитателем, игры. Нашей целью было выявить детей, охотно и быстро идущих на контакт, чтобы предложить им поучаствовать в нашем исследовании.

На втором этапе исследования мы непосредственно проводили тестирование детей с целью выявления влияния интеллекта на творческие способности.

Для исследования интеллекта нами подобран и предложен детям тест «Прогрессивные матрицы Равена» [34], для исследования креативности - тест «Скульптура» и «Странная картинка» [30].

Тестирование проводилось индивидуально с каждым ребёнком, затем осуществлялась качественная и количественная оценка выполнения задания.

Прогрессивные матрицы Равенна

Ребенку предлагалась серия из десяти постепенно усложняющихся задач одинакового типа: на поиск закономерностей в расположении деталей на матрице (представлена в верхней части указанных рисунков в виде большого четырехугольника) и подбор одного из восьми данных ниже рисунков в качестве недостающей вставки к этой матрице, соответствующей ее рисунку (данная часть матрицы представлена внизу в виде флажков с разными рисунками на них). Изучив структуру большой матрицы, ребенок должен указать ту из деталей (тот из восьми имеющихся внизу флажков), которая лучше всего подходит к этой матрице, т.е. соответствует ее рисунку или логике расположения его деталей по вертикали и по горизонтали (См. приложение № 1).

На выполнение всех десяти заданий ребенку отводилось 15 минут. По истечении этого времени эксперимент прекращался, и определялось количество правильно решенных матриц, а также общая сумма баллов, набранных ребенком за их решения. Каждая правильно решенная матрица оценивалась в 1 балл.

«Скульптура»

Комментарии к методике психодиагностики креативности. Способы оценивания развитости воображения ребенка дошкольного возраста через его рассказы, рисунки, поделки выбраны не случайно. Данный выбор соответствует трем основным видам мышления, имеющимся у ребенка этого возраста: наглядно-действенному, наглядно-образному и словесно-логическому. Фантазия ребенка наиболее полно проявляется как раз в соответствующих видах творческой деятельности.

Ребенку предлагается набор пластилина и задание: за 10 минут смастерить какую-либо поделку, вылепив ее из пластилина, затем описать её, возможно придумав какую-либо историю (См. приложение № 2).

«Странная картинка»

Цель: выявление уровня развития способности к преобразованию исходной целостности путем разрешения противоречия (умение видеть целое раньше частей).

Материал: картинка с изображением человечка, солнца, луны и звезд, карандаш (См. приложение № 3) .

Инструкция к проведению. Ребенку предъявляется картинка с изображением человечка, над головой которого одновременно сияет солнце и светит луна со звездами (солнце и луна со звездами отделены друг от друга некоторым расстоянием). Психолог говорит ребенку: «Посмотри внимательно на эту картинку и скажи: что здесь нарисовано?» После того как ребенок ответил, ему задается другой вопрос: «Как ты думаешь, правильно ли нарисована эта картинка, или же художник что-то напутал? Так может быть?»

Если ребенок считает картинку «неправильной», то психолог предлагает ему объяснить и показать, как сделать ее «правильной». (Использование карандаша не является обязательным, если сам ребенок не обращается к нему).

2.2 Результаты исследования, их анализ и интерпретация

Анализ результатов исследования показал разные уровни развития интеллекта и наличия творческих способностей. Результаты приведены в таблице:

Результаты исследования интеллекта по тесту «Прогрессивные матрицы Равенна»

имя ребёнка

 номер матрицы

баллы


1

2

3

4

5

6

7

8

9

10


Оля А.

1

1

0

1

0

0

0

0

0

0

3

Саша В.(д)

1

1

0

1

0

0

0

1

0

0

4

Саша Д.(м)

0

0

0

1

0

0

0

0

0

0

1

Гена Д.

1

0

0

1

0

0

0

1

0

0

3

Лиза Ж.

1

0

1

0

0

0

0

1

0

0

3

Боря К.

1

1

0

0

0

1

0

0

0

0

3

Олег К.

0

1

0

1

0

0

0

0

0

0

2

Кира М.

0

1

0

1

0

0

0

1

0

0

3

Максим Н.

1

1

0

1

0

0

0

0

0

0

3

Соня О.

1

0

0

1

0

0

0

1

0

0

3

Алёша П.

0

1

1

0

0

0

0

1

0

0

3

Катя П.

1

0

0

0

0

0

1

0

0

0

2

Женя С.(д)

1

0

0

0

0

0

0

0

0

0

1

Ульяна Ю.

1

1

0

0

1

0

1

1

0

5


По результатам теста «Прогрессивные матрицы Равена» мы можем сделать следующие выводы (см. Приложение №4):

средний уровень интеллекта наблюдался всего у двоих детей, которые набрали 4 и 5 баллов;

низкий уровень интеллекта наблюдался у десяти детей;

очень низкий уровень интеллекта наблюдался у двоих детей, которые решили всего по одной матрице.

Также результаты исследования интеллекта мы можем наблюдать на гистограмме №1

Гистограмма №1. Результаты исследования интеллекта дошкольников по тесту «Прогрессивные матрицы Равена»

Анализ результатов, представленных на гистограмме № 1 позволяет сделать вывод о том, что тест «Прогрессивные матрицы Равена» оказался слишком сложным для детей данной возрастной группы. Инструкция к заданию была понята детьми, но при рассматривании матриц дети терялись и не могли уловить определённую закономерность. Средний уровень интеллекта определился всего лишь у двоих детей (что составляет 14,28%), которые решили 4 и 5 матриц и объяснили свой выбор. Низкий уровень интеллекта показало десять детей (что составляет 71,42%), которые решили по 3 и 2 матрицы. Не все дети могли объяснить свой выбор, а некоторые делали свой выбор наугад. Очень низкий уровень показали двое детей (что составляет 14,28%), которые правильно решили всего по одной матрице, но смогли объяснить свой выбор.

Результаты исследования творческих способностей

имя ребёнка

название теста


«Скульптура»

«Странная картинка»

Оля А.

7

3

Саша В.(д)

6

2

Саша Д.(м)

9

4

Гена Д.

7

3

Лиза Ж.

9

4

Боря К.

8

4

Олег К.

5

1

Кира М.

8

3

Максим Н.

9

4

Соня О.

7

1

Алёша П.

10

3

Катя П.

9

3

Женя С.(д)

8

1

Ульяна Ю.

9

4


По результатам теста «Скульптура» мы можем охарактеризовать творчество детей следующим образом (См. Приложение №5):

один ребёнок сделал поделку, которая была оценена в 10 баллов;

восемь детей представили поделки, оценённые в 8-9 баллов;

четверо детей слепили поделки, оценённые в 6-7 баллов;

один ребёнок сделал поделку, оценённую в 5 баллов.

Результаты теста «Скульптура» мы можем увидеть на гистограмме №2:

Гистограмма №2. Результаты исследования дошкольников по тесту «Скульптура»

Проанализировав результаты, представленные на гистограмме № 2, мы можем сделать вывод о том, что дети представленной группы показали большую заинтересованность данным заданием. Ребята с удовольствием принялись за лепку, и этот процесс постоянно сопровождался обсуждением своих поделок с друзьями.

Один ребёнок (что составляет 7,14%), сделавший поделку, оценённую в 10 баллов и выполненную с хорошим художественным вкусом, детально проработал каждую часть своего изделия. Он великолепно изобразил избушку на курьих ножках, а также рассказал, из какой она сказки и кто в ней живёт.

Восемь детей (что составляет 57,14%) представили поделки, оценённые в 8-9 баллов. Дети совершенно не задумывались, что они будут лепить, идеи приходили к ним моментально, и они тут же принимались за работу. Поделки были оригинальны, но не слишком детально проработаны. Ребятами были изображены: танк, дерево, енот, собачка, морж, кустик клубники, ваза с цветком, мельница.

Четверо детей (что составляет 28,57%) представили поделки, оценённые в 6-7 баллов. Работы были необычными, но были выполнены без особой фантазии. Ребята достаточно красочно рассказывали о своих поделках, но в работе не могли реализовать фантазии. Они представили такие поделки как уточка, цыплёнок, цветок и вишенки на ветке.

Один ребёнок (что составляет 7,14%) сделал поделку, которая была оценена в 5 баллов. У ребёнка не очень хорошо развита мелкая моторика, поэтому он сделал простую и достаточно примитивную поделку - самолёт.

Анализизируя результаты, полученные в процессе использования методики «Странная картинка», мы можем сделать следующие выводы (См. Приложение №6):

пятеро детей получили по 4 балла;

пятеро человек - 3 балла;

один ребёнок - 2 балла;

трое детей - 1 балл;

Результаты теста «Странная картинка» представлены на гистограмме №3:

Гистограмма №3 Результаты исследования дошкольников по тесту «Странная картинка».

Проанализировав результаты, представленные на гистограмме № 3, мы можем сделать выводы о том, что дети без труда справились с тестовым заданием и показали достаточно высокий уровень воображения.

Пятеро детей (что составляет 35,71%), получивших 4 балла, предлагали преобразовать целостность изображения при помощи карандаша, дорисовать окно (чтобы получилась комната) или луну закрыть облаками, придумывали сказки о том, как мальчик из дневного леса очутился в ночном, а также был вариант о том, что мальчик так сильно ударился о дерево головой, что из глаз посыпались звёзды.

Пять человек (что составляет 35,71%), получившие по 3 балла, хотели изменить рисунок разными способами, например, убрать луну или солнце, а также солнце превратить в шарик, дорисовав верёвочку.

Один ребёнок (что составляет 7,14%), который получил 2 балла, предложил разделить картинку на два сектора, чтобы в одном оказался мальчик и солнце, а в другом луна со звёздами.

Трое детей (что составляет 21,42%), получившие по 1 баллу, увидели на картинке противоречие, но не знали, как его устранить.

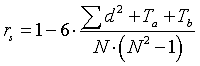
В процессе данного исследования возникла необходимость выявить влияние интеллекта на творческие способности дошкольников при помощи математических методов. Мы произвели практический расчёт коэффициента ранговой корреляции Спирмена. Метод ранговой корреляции Спирмена позволяет определить тесноту (силу) и направление корреляционной связи между двумя признаками или двумя профилями (иерархиями) признаков. Для этого мы:

. Определили два признака, которые будут участвовать в сопоставлении как переменные A и B.

. Проранжировали значения переменной A в соответствии с правилами ранжирования.

. Проранжировали значения переменной B в соответствии с теми же правилами.

. Подсчитали разности d между рангами A и B по каждой строке таблицы.

. Возвели каждую разность в квадрат d2. Подсчитали сумму d2.

При наличии одинаковых рангов рассчитываем поправки по формулам:

Ta = ((2 -2) + (2 -2) + (8 -8)) / 12 = 43;

Tb = ((2 -2) + (2 -2) + (2 -2) + (5 -5)) / 12 = 11,5

где a - объем каждой группы одинаковых рангов в ранговом ряду A;- объем каждой группы одинаковых рангов в ранговом ряду B.

. Рассчитали коэффициент ранговой корреляции rs по формуле:

s эмп. = 1 - 6 355 + 43 + 11,5 = 0,1

(14 -1)

где (d2) - сумма квадратов разностей между рангами;- количество испытуемых или признаков, участвовавших в ранжировании.

. Определили по таблице критические значения rs для данного N.

rs кр. = 0,54 ( р < 0,05)

,68 (р < 0,01), rs эмп. < rs кр.

. На основании таблицы критических значений выборочного коэффициента корреляции рангов мы определили, что корреляция между переменными А и В близка к нулю, следовательно наша гипотеза о том, что интеллект не влияет на творческие способности ребенка дошкольного возраста не подтвердилась.

Это показывает «ось значимости»:


Заключение

Анализ литературы по теме исследования показал, что основоположником эмпирического подхода к решению проблемы способностей, одаренности, таланта был Френсис Гальтон. Мы узнали о существовании различных подходов к определению творческих способностей: А. А. Бодалев считал, что развитие общества связано с изменением отношения к различным способностям; В.Д.Шадриков выделял способности мыслительные, восприятия, памяти и так далее; Б. Ф. Ломов - коммуникативные, регуляторные и познавательные способности.

Б. М. Теплов выделял три признака способностей, которые и легли в основу определения, наиболее часто используемого специалистами: 1) индивидуально-психологические особенности, отличающие одного человека от другого; 2) это только те особенности, которые имеют отношение к успешности выполнения деятельности или нескольких деятельностей; 3) это те особенности, которые не сводятся к наличным знаниям, умениям, навыкам, но которые могут объяснять легкость и быстроту приобретения знаний и навыков.

Известный американский психолог Гилфорд определил, что творческим личностям свойственно дивергентное мышление, которое характеризуется быстротой, гибкостью, оригинальностью и законченностью.

При изучении особенностей развития и компонентов творческих способностей у детей мы узнали, что первыми толчками к развитию этих способностей служит игра и один из основных принципов обучения в игре - принцип от простого к сложному.

В нашем исследовании выявлены основные критерии оценки одарённости у детей, которые были представлены в виде триады Джозефа Рензулли: интеллектуальные способности (превышающие средний уровень), творческость (креативность), настойчивость (мотивация, ориентированная на задачу).

В ходе проведения эмпирического исследования при помощи ранговой корреляции Спирмена мы выявили, что существует взаимосвязь между развитием интеллекта и проявлением творческих способностей у детей дошкольного возраста.

Таким образом, гипотеза нашего исследования о том, творческие способности дошкольника не зависят от уровня развития его интеллекта, не подтвердилась.

Литература

1.     Бодалёв А.А. Психология личности. - М., 1988.

2.      Божович Л.И. Личность и ее формирование в детском возрасте. - М.: Просвещение, 1968.

.        Большой психологический словарь / Под редакцией Б. Г. Мещерякова, В. П. Зинченко.- М.,Прайм-Еврознак, 2007 г.

.        Брушлинский А.В. Воображение и творчество // Научное творчество.- М., 1969.

.        Выготский Л.С. Педагогическая психология. - М., 1996.

.        Выготский Л.С. Проблема обучения и умственного развития. - М., 1996.

.        Гильбух Ю.З. Умственно одаренный ребенок. - Киев, 1992.

.        Гиппенрейтер Ю.Б. Общение с ребенком. - М., 1995.

.        Глотова Г.А. Творческая одаренность личности. - Екатеринбург, 1992.

.        Годфруа Ж. Что такое психология. - М.: Мир, 1999, кн.1 - 490 с.

.        Детская практическая психология / Под редакцией Т.Д. Марцинковского. - 2001.

.        Дружинин В. Н. Ситуационный подход к психологической диагностике способностей // Психологический журнал - 1991. - № 2.

.        Дружинин В.Н. Психология общих способностей. - СПб.: Питер Ком., 1999.

.        Ефремов В.И. Творческое воспитание и образование детей на базе ТРИЗ. Пенза: Уникон-ТРИЗ.

.        Забрамная С. Д. Наглядный материал для психолого-педагогического обследования детей в медико-педагогических комиссиях. - М. 1985.

.        Завалишина Д. Н. Творческий аспект практического мышления // Психологический журнал. - 1991. - № 2.

.        Кащенко В.П. Исключительные дети. - М., 1926.

.        Кон И.С. Ребенок и общество. - М., Педагогика, 1988, 264 с.

.        Коршунова Л.С., Пружинин Б.И. Воображение и рациональность. Опыт методологического анализа познавательной функции воображения.- М.: 1989.

.        Левитов Н.Д. Детская и педагогическая психология. - М., 1960.

.        Лейтес Н.С. Возрастная одаренность и индивидуальные различия. - М.:МОДЭК, 1997. - 448 с.

.        Лейтес Н.С. Умственные способности и возраст. - М.: Педагогика, 1971.

.        Ломов Б. Ф. Методологические и теоретические проблемы психологии. - М.: Наука, 1984.

.        Мелхорн Г., Мелхорн Х.-Г. Гениями не рождаются. Общество и способности человека. - М., 1989.

.        Морозов А.В. Основы психологии. Учебник для вузов. - М.: Академический Проект, 2005.

.        Мухина В. С. Возрастная психология: Феноменология развития, детство, отрочество. - М., 1998.

.        Ниренберг Д.И. Искусство творческого мышления.: Перевод с англ.- Минск: Попурри, 1996.- 240с.

.        Одаренные дети: выявление, развитие, поддержка. - Челябинск, 1996.

.        Полуянов Ю.А. Воображение и способности. - М.: Знание, 1982.- 96с.

.        Психологические исследования творческой деятельности / Под редакцией Тихомирова О.К., М. Наука, 1975, 256 стр.

.        Психология и педагогика игры дошкольника / Под редакцией А. В. Запорожца, А. П. Усовой. - М., 1966.

.        Психология одаренности детей и подростков / Под редакцией Н.С. Лейтеса. - М.: "Академия", 1996.

.        Психология одаренности: от теории к практике / Под редакцией Д. В. Ушакова. - М., 2000.

.        Развитие и диагностика способностей / Под редакцией В. Н. Дружинина, В. Д. Шадрикова. - М., 1991.

.        Рубинштейн С. Л. Основы общей психологии - СПб.: Издательство «Питер», 2000.

.        Савенков А.И. Одаренные дети в детском саду и школе. - М., Академия, 2004.

.        Степанов С. С. Диагностика интеллекта методом рисуночного теста. - М., 1994.

.        Стеценко А. Социокультурная парадигма в изучении одаренности: недостающие звенья //Основные современные концепции творчества и одаренности / Под редакцией Д. Б. Богоявленской. - М., 1997.

.        Теплов Б.М. Избранные труды: В 2 т. - М., 1985.

Приложение №1

Наглядный материал к тесту «Матрицы Равена»








Правильные решения матриц следующие (первая из приводимых ниже пар цифр указывает на номер матрицы, а вторая - на правильный ответ): 1-7, 2-6, 3-6, 4-1, 5-2,6-5 ,7-6, 8-1, 9-3, 10-5.

Выводы об уровне развития:

баллов - очень высокий;

-9 баллов - высокий;

-7 баллов - средний;

-3 балла - низкий;

-1 балл - очень низкий.

Приложение № 2

Оценка результатов теста «Скульптура»

-1 балл ставится ребенку в том случае, если за отведенное на выполнение задания время (5 мин) он так и не смог ничего придумать и сделать руками.

-3 балла ребенок получает тогда, когда он придумал и вылепил из пластилина что-то очень простое, например шарик, кубик, палочку, кольцо и т.п.

-5 баллов ребенок зарабатывает в том случае, если он сделал сравнительно простую поделку, в которой имеется небольшое количество обычных деталей, не более двух-трех.

-7 баллов ребенку ставится в том случае, если он придумал что-то необычное, но вместе с тем не отличающееся богатством фантазии.

-9 баллов ребенок получает тогда, когда придуманная им вещь достаточно оригинальная, но детально не проработанная.

баллов по этому заданию ребенок может получить лишь в том случае, если придуманная им вещь весьма оригинальна, детально проработана и отличается хорошим художественным вкусом.

Приложение № 3

Картинка к тесту «Странная картинка»


Обработка данных. В ходе исследования фиксируются особенности подхода ребенка к содержащемуся в задании противоречию. Решения оцениваются по четырехбальной системе:

·  Ребенок считает картинку правильной, игнорируя имеющееся в ней противоречие, - 0 баллов.

·        Ребенок видит противоречие, но не знает, как его устранить и тем самым исправить картинку, - 1 балл.

·        Ребенок замечает противоречие и пытается его избежать путем разрушения целостного изображения, разделения одной картинки на две. При этом он предлагает разделить линией человечка и «небесные тела» или разбить изображение на два сектора, в одном из которых окажется человечек и солнце, а в другом - луна со звездами (и наоборот). Возможен более простой вариант ответа: стереть (зачеркнуть) либо солнце, либо луну со звездами - 2 балла.

·    Ребенок предлагает переделать рисунок так, чтобы одни элементы изображения остались прежними, а другие были превращены в нечто принципиально иное, например: из звезд сделать птичек, из луны - мячик; солнце оставить; луну - оставить, а из солнца сделать фонарь - 3 балла.

·        Ребенок творчески преобразует целостное изображение. Он предлагает вписать «небесные тела» в рамки или овалы, «тогда это будут картинки, которые могут висеть на стене комнаты, где живет человечек». Таким же способом, по мнению ребенка, можно превратить солнце в «картинку на стене», а луну со звездами - в «вид из окна». То есть ребенком создается целостный контекст ситуации - «комната». Возможен и другой вариант: дорисовать шарик, на котором будет изображена луна со звездами, а человечек будет с ним гулять под солнцем - 4 балла.

Примечание. Некоторые дети могут считать картинку «правильной», ссылаясь на то, что они видели, как солнце и луна одновременно находятся на небосклоне. В этом случае следует обратить внимание ребенка на то, что расстояние между ними на картинке слишком маленькое (т.е. оно не эквивалентно наблюдаемому в действительности).

Приложение № 4

Уровень интеллекта дошкольников по результатам теста «Прогрессивные матрицы Равенна»

имя ребёнка

номер матрицы

баллы


1

2

3

4

5

6

7

8

9

10



средний уровень интеллекта


Ульяна Ю.

1

1

0

0

1

0

1

1

0

0

5

Саша В.(д)

1

1

0

1

0

0

0

1

0

0

4


низкий уровень интеллекта


Оля А.

1

1

0

1

0

0

0

0

0

0

3

Гена Д.

1

0

0

1

0

0

0

1

0

0

3

Лиза Ж.

1

0

1

0

0

0

0

1

0

0

3

Боря К.

1

1

0

0

0

1

0

0

0

0

3

Кира М.

0

1

0

1

0

0

0

1

0

0

3

Максим Н.

1

1

0

1

0

0

0

0

0

0

3

Соня О.

1

0

0

1

0

0

0

1

0

0

3

Алёша П.

0

1

1

0

0

0

0

1

0

0

3

Олег К.

0

1

0

1

0

0

0

0

0

0

2

Катя П.

1

0

0

0

0

0

1

0

0

0

2


очень низкий уровень интеллекта


Саша Д.(м)

0

0

0

1

0

0

0

0

0

1

Женя С.(д)

1

0

0

0

0

0

0

0

0

0

1



Приложение № 5

Результаты теста «Скульптура»

имя ребёнка

название теста

поделка


«Скульптура»


Алёша П.

10

избушка на курьих ножках

Саша Д.(м)

9

танк

Лиза Ж.

9

ваза с цветком

Максим Н.

9

енот

Катя П.

9

кустик клубники

Ульяна Ю.

9

мельница

Боря К.

8

дерево

Кира М.

8

морж

Женя С.(д)

8

собачка

Оля А.

7

вишни на ветке

Гена Д.

7

цыплёнок

Соня О.

7

уточка

Саша В.(д)

6

цветок

Олег К.

5

самолёт



Приложение № 6

Результаты теста «Странная картинка»

имя ребёнка

название теста

решение теста


"Странная картинка"


Саша Д.(м)

4

Преобразование целостности изображения

Лиза Ж.

4


Боря К.

4


Максим Н.

4


Ульяна Ю.

4


Оля А.

3

Изменение рисунка разными способами

Гена Д.

3


Кира М.

3


Алёша П.

3


Катя П.

3


Саша В.(д)

2

Закрыть луну

Олег К.

1

Не знают как устранить противоречие

Соня О.

1


Женя С.(д)

1



Похожие работы на - Творческие способности детей дошкольного возраста

 

Не нашли материал для своей работы?
Поможем написать уникальную работу
Без плагиата!
Без нейросетей!