|
j / i
|
1
|
2
|
3
|
4
|
|
|
1
|
1
|
2
|
2
|
1
|
50
|
|
2
|
2
|
2
|
1
|
2
|
70
|
|
3
|
1
|
2
|
1
|
3
|
30
|
|
|
40
|
25
|
60
|
25
|
|
1. Построить
математическую модель транспортной задачи.
. Найти опорный план перевозок транспортной задачи методом
северо-западного угла.
. Найти опорный
план перевозок транспортной задачи методом минимального элемента.
. Решить методом
потенциалов транспортную задачу дважды, используя найденные в пунктах 2 и 3
опорные планы перевозок.
Решение:
Задача
№1:
.
Графический метод
Преобразуем задачу
на минимум к задаче на максимум:

= 
Основные ограничения
задачи содержат 3 уравнения с 5-ю неотрицательными переменными. Так как число
переменных n = 5 и число ограничений т = 3 отличаются на 2, то можно
предположить, что эту задачу можно решить графическим методом. Соотношение n-m = 2 сохранится, если основные ограничения задачи линейно
независимые.
Преобразуем исходную
задачу, разделив переменные на базисные и свободные, предварительно записав
целевую функцию как уравнение
Все вычисление проведём
в таблице, используя метод полного исключения (Метод Жардана - Гаусса). ∑
- контрольная сумма.
|
X1
|
X2
|
X3
|
X4
|
X5
|
B
|
|
1
|
4
|
1
|
0
|
1
|
15
|
|
4
|
-3
|
-1
|
1
|
1
|
6
|
|
2
|
-4
|
-1
|
1
|
0
|
-3
|
|
-1
|
1
|
-1
|
-2
|
1
|
0
|
|
1
|
4
|
1
|
0
|
1
|
15
|
|
0
|
-19
|
-5
|
1
|
-3
|
-54
|
|
0
|
-12
|
-3
|
1
|
-2
|
-33
|
|
0
|
5
|
0
|
-2
|
2
|
15
|
|
1
|
4
|
1
|
0
|
1
|
15
|
|
0
|
-19
|
-5
|
1
|
-3
|
-54
|
|
0
|
7
|
2
|
0
|
1
|
21
|
|
0
|
-33
|
-10
|
0
|
-4
|
-93
|
|
1
|
-3
|
-1
|
0
|
0
|
-6
|
|
0
|
2
|
1
|
1
|
0
|
9
|
|
0
|
7
|
2
|
0
|
1
|
21
|
|
0
|
-5
|
-2
|
0
|
0
|
-9
|
|
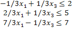
-1/3
|
1
|
1/3
|
0
|
0
|
2
|
|
2/3
|
0
|
1/3
|
1
|
0
|
5
|
|
7/3
|
0
|
-1/3
|
0
|
1
|
7
|
|
-5/3
|
0
|
-1/3
|
0
|
0
|
1
|
Выполнив 4 шага
вычислений метода полного исключения, мы получили следующую систему уравнений:
Разрешив эту систему
относительно базисных переменных 
, 
, 
и 
учитывая, что 
мы получим следующую
задачу:
Эта задача содержит 2
переменных и её можно решить графическим методом. Запишем уравнения границ
области, точки для их построения и укажем полуплоскости, определяемые
неравенствами основных ограничений задачи
(1) 
(0; 6) (-6; 0)
(2) 
(0; 15) (7,5; 0)
(3) 
(0; - 21) (3; 0)
Строим область
допустимых решений системы неравенств в прямоугольной системе 
.
Область D - это точки 1-ой четверти. Вектор L в данном случае имеет вид L
= (1,6; 0,3).
Строим прямую Z перпендикулярно вектору L. Таким образом, получаем пересечение перпендикуляра с прямыми 2) и
3), в результате чего получаем точку А. В соответствии в этим составляем
систему уравнений. Решая систему уравнении: 
находим координаты этой
точки.
А = (4; 7), подставим в
целевую функцию 
получим следующие
значения:

, 
, получим: 
.
2. Симплекс метод
Разделим переменные на
базисные и свободные методом полного исключения (см. Графический метод),
получим:
Составим таблицу
итераций:
|
БАЗИС
|
С
|
A0
|
ВЕКТОРЫ
|
|
|
|
|
A1
|
A2
|
A3
|
A4
|
A5
|
|
A2
|
0
|
2
|
-1/3
|
1
|
1/3
|
0
|
0
|
|
A4
|
0
|
-5
|
2/3
|
0
|
1/3
|
1
|
0
|
|
A5
|
0
|
7
|
7/3
|
0
|
-1/3
|
0
|
1
|
|
∆
|
|
1
|
-5/3
|
0
|
-1/3
|
0
|
1
|
|
2-я итерация
|
|
А2
|
0
|
3
|
0
|
1
|
1/21
|
0
|
1/7
|
|
А4
|
0
|
3
|
0
|
0
|
3/7
|
1
|
-2/7
|
|
А1
|
5/3
|
3
|
1
|
0
|
-1/7
|
0
|
5/7
|
|
∆
|
|
6
|
0
|
0
|
-12/21
|
0
|
5/7
|
|
3-я итерация
|
|
А2
|
0
|
8/3
|
0
|
1
|
0
|
-1/9
|
11/63
|
|
А3
|
1/3
|
7
|
0
|
0
|
1
|
7/3
|
-2/3
|
|
А4
|
5/3
|
4
|
1
|
0
|
0
|
1/3
|
1/3
|
|
∆
|
|
10
|
0
|
0
|
0
|
4/3
|
1/3
|
На первой итерации
видим, что среди ∆ есть отрицательные - это значит что решение не
оптимально. Вектор А1 выводим в базис, так как 
. Для того чтобы выбрать
какой элемент мы будем выводить из базиса делаем следующее: элемент столбца 
делим на элемент
столбца 
по принципу первый на
первый, второй на второй. Из полученных результатов деления выбираем наименьшее
положительное.
Из этого следует что
выводим элемент 
. Далее пересчитываем
таблицу по методу Жардано-Гаусса и получаем таблицу второй итерации.
Видим, что среди ∆
есть отрицательные - это значит что решение не оптимально. Вектор 
выводим в базис потому,
что 
. По вышеизложенному
принципу выбираем элемент для вывода из базиса. Выводим из базиса 
. Далее пересчитываем
таблицу по методу Жардана-Гаусса и получаем таблицу третей итерации.
Видим, что среди ∆
нет отрицательных - это значит что решение оптимально.
3. Двойственная задачи
Любая задача
математического программирования имеет обратную ей задачу, так называемую
двойственную ей задачу, причем соблюдается условие: 
и на оборот.
Строим двойственную
задачу по такому принципу: A
[
] - матрица задачи,
тогда матрица обратной задачи будет
, причем
.
Разделим переменные на
базисные и свободные методом полного исключения (см. Графический метод),
получим:
Тогда двойственная этой
задачи будет иметь вид:
4. Решение двойственной
задачи с помощью первой основной теоремы теории двойственности
Первая теорема
двойственности позволяет решить двойственную задачу по решению прямой задачи,
используя полученные симплекс таблицы.
Теорема: Если одна из
двойственных задач имеет оптимальное решение, то и двойственная ей задача имеет
оптимальное решение, причем 
- эти задачи совпадают.
Из доказательства
теоремы следует, что 
. Матрица решений 
получается
перемножением матриц 
(вектор-строка
коэффициентов в целевой функции при базисных переменных); 
(матрица обратная
матрицы 
, составленная из
векторов оптимального базиса, тоесть матрица на исходных векторах, но взятых из
последней симплекс таблицы).
Решаем двойственную
задачу с помощью симплексных таблиц (см. Симплекс метод).
|
БАЗИС
|
С
|
A0
|
ВЕКТОРЫ
|
|
|
|
|
A1
|
A2
|
A3
|
A4
|
A5
|
|
A2
|
0
|
2
|
-1/3
|
1
|
1/3
|
0
|
0
|
|
A4
|
0
|
-5
|
2/3
|
0
|
1/3
|
1
|
0
|
|
A5
|
0
|
7
|
7/3
|
-1/3
|
0
|
1
|
|
∆
|
|
1
|
-5/3
|
0
|
-1/3
|
0
|
1
|
|
2-я итерация
|
|
А2
|
0
|
3
|
0
|
1
|
1/21
|
0
|
1/7
|
|
А4
|
0
|
3
|
0
|
0
|
3/7
|
1
|
-2/7
|
|
А1
|
5/3
|
3
|
1
|
0
|
-1/7
|
0
|
5/7
|
|
∆
|
|
6
|
0
|
0
|
-12/21
|
0
|
5/7
|
|
3-я итерация
|
|
А2
|
0
|
8/3
|
0
|
1
|
0
|
-1/9
|
11/63
|
|
А3
|
1/3
|
7
|
0
|
0
|
1
|
7/3
|
-2/3
|
|
А4
|
5/3
|
4
|
1
|
0
|
0
|
1/3
|
1/3
|
|
∆
|
|
10
|
0
|
0
|
0
|
4/3
|
1/3
|
Отсюда следует, что:
5.
Решение двойственной задачи с помощью второй основной теоремы теории
двойственности
Вторая теорема
двойственности также позволяет решить двойственную задачу, используя решение
первой задачи и используя ограничения.
Разделим переменные
на базисные и свободные методом полного исключения (см. Графический метод) и
возьмем точку А (см. Графический метод) получим:

А=(4; 7)

Отсюда следует, что
необходимо искать 
и 
.

Решив, систему уравнений
получим: 
.
Отсюда 
Ответ:
Максимальная прибыль будет равна 10.
Задача
№2
1. Построение
математической модели транспортной задачи
Транспортные задачи
- это задачи в которых нужно решить проблему: доставку продукции от множества
поставщиков к множеству потребителей с минимальными затратами на
транспортировку.
Для решения этих задач
нужно знать матрицу поставщиков 
, матрицу потребителей 
и матрицу перевозок 
. Матрица перевозок
показывает стоимость перевозки от i
поставщика к j потребителю.
Обычно условие такой
задачи задается или сводится к таблице перевозок. Верхняя строчка таблицы
показывает ресурсы поставщиков, самый левый столбец указывает потребности
потребителя. Остальная матрица таблицы показывает затраты на доставку продукции
от поставщиков к потребителям.
Решение задачи будет
определение количество товара, которое необходимо поставить от каждого
поставщика к каждому потребителю.
Исходя из условий задачи
получаем:
Матрица поставщиков
имеет вид: 
Матрица потребителей
имеет вид: 
Матрица перевозок имеет
вид: 
Система ограничений по поставки
имеет вид: 
Система ограничений по
потреблению имеет вид: 
Функция цели имеет вид:

2. Поиск опорного
плана транспортной задачи методом северо-западного угла
Выбираем первую пустую
северо-западную клетку, и заполняем ее максимальным допустимым значением. После
выбираем следующую северо-западную клетку и заполняем. Процедура повторяется до
тех пор, пока не будут удовлетворены все поставщики и потребители. В итоге
получаем опорный план методом северо-западного угла:
|
i / j
|
40
|
25
|
60
|
25
|
|
50
|
1 40
|
2 10
|
2
|
1
|
|
70
|
2
|
2 15
|
1 55
|
2
|
|
30
|
1
|
2
|
1 5
|
3 25
|
Стоимость перевозок: L=40+20+30+55+5+75=225
3. Поиск опорного плана
транспортной задачи методом минимального элемента
Выбираем клетку с наименьшей
стоимостью перевозки и заполняем ее максимально допустимым значением. После
выбираем следующую клетку и заполняем ее. Процедура повторяется до тех пор,
пока не будут удовлетворены все поставщики и потребители. В итоге получаем
опорный план методом минимального элемента.
|
i / j
|
40
|
25
|
60
|
25
|
|
50
|
1 40
|
2
|
2
|
1 10
|
|
70
|
2
|
2
|
1 60
|
2 10
|
|
30
|
1
|
2 25
|
1
|
3 5
|
Стоимость перевозок: L=40+50+60+10+20+15=195
4. Решение транспортной
задачи методом потенциалов
Введем для обозначения
потенциалов буквы: для обозначения потенциала строки букву «U», обозначения потенциалов столбца букву «V».
Возьмем опорный план, найденный в третьем пункте задачи, и заполним таблицу с
учетом потенциалов. Причем для потенциалов будет выполняться условие: 
.
|
i / j
|
40
|
25
|
60
|
25
|
U
|
|
50
|
1 40
|
2
|
2
|
1 10
|
U1
|
|
70
|
2
|
2
|
1 60
|
2 10
|
U2
|
|
30
|
1
|
2 25
|
1
|
3 5
|
U3
|
|
V
|
V1
|
V2
|
V3
|
V4
|
|
Составить систему уравнений по
заполненным клеткам.

Поскольку уравнений
шесть, а неизвестных переменных семь, зададим потенциал 
. Отсюда 
,

, 
и

, 
, 
, 
.
Составляем косвенные
стоимости (
) для пустых клеток по
найденным потенциалам.
Определяем оценки (г)
для пустых клеток по формуле: прямая минус косвенная стоимость.
Поскольку отрицательных
оценок есть, то данный план не оптимален. Составляем новый план с другим позиционированием
коэффициентов.
|
i / j
|
40
|
25
|
60
|
25
|
U
|
|
50
|
1 25
|
2
|
2
|
1 25
|
U1
|
|
70
|
2
|
2 10
|
1 60
|
2
|
U2
|
|
30
|
1 15
|
2 15
|
1
|
3
|
U3
|
|
V
|
V1
|
V2
|
V3
|
V4
|
|
Составить систему уравнений по
заполненным клеткам.

Поскольку уравнений
шесть, а неизвестных переменных семь, зададим потенциал 
. Отсюда 
,

, 
и

, 
, 
, 
.
Составляем косвенные
стоимости (
) для пустых клеток по
найденным потенциалам.
Определяем оценки (г)
для пустых клеток по формуле: прямая минус косвенная стоимость.
Так как отрицательных
оценок нет, то план перевозок оптимален. L=175
Ответ:
Себестоимость перевозок равна L=175.