Методы и способы измерений
Национальный
технический университет Украины
"Киевский
политехнический институт"
Курсовая
работа
по курсу:
Методы и способы измерений
Киев 2008
Содержание
. Измерительные трансформаторы переменного тока. Схема
включения, векторная диаграмма, погрешности
2. Измерительные трансформаторы постоянного тока
3. Схемы мостов переменного тока для измерения индуктивности. Вывод
условий равновесия. Особенности
Задачи
1. Измерительные трансформаторы
переменного тока. Схема включения, векторная диаграмма, погрешности
Измерительные трансформаторы переменного тока являются измерительными
масштабными преобразователями и используются для преобразования больших токов в
относительно малые, допустимые для измерения приборами с пределами измерения ориентировочно
0,5÷1 А.
Измерительные трансформаторы переменного тока состоят из двух и больше
изолированных обмоток, помещенных в магнитопровод.
Рис
35.1.1 - Схема включения измерительного трансформатора переменного тока
На рис.35.1.1 обозначено: Л1 и Л2
- начало и конец первичной обмотки трансформатора тока (ТТ). Для ТТ принято специальное условное изображение на
электрических схемах:
Рис 35.1.2 - Условное изображение
трансформатора тока на электрических схемах
Для
ТТ
, следовательно
.Для
токов
(см. рис. 35.1.3.).
Рис
35.1.3
Для ТТ сечение провода первичной обмотки больше, чем вторичной обмотки. Векторная диаграмма трансформатора тока (ТТ). Векторная диаграмма ТТ помогает выяснить, от каких параметров
зависит погрешность ТТ, а также некоторые эксплуатационные характеристики.
Рис 35.2.1 - Схема измерения при помощи ТТ
На рис.35.2.1 обозначено:
ФМ ― магнитный поток магнитопровода.M ―
магнитодвижущая сила
(МДС).1,W2 ― число витков первичной и вторичной
обмоток.
Нарисуем эквивалентную схему ТТ с учетом активных и реактивных
сопротивлений обмотки.
Риc 35.2.2 - Схема измерения при помощи
ТТ с учетом активных и реактивных сопротивлений обмотки
На рис.35.2.2 обозначено:1,
X2 ― реактивное сопротивление первичной и вторичной обмоток.1,
R2 ― активное сопротивление первичной и вторичной обмоток.н,
Rн ― реактивное и активное сопротивление на выходе.
w― угловая частота.
Рис.
35.2.3 - Векторная диаграмма ТТ
На
векторной диаграмме
представлено в виде тока
. От этого значения зависит
.
Основные
метрологические и технические характеристики ТТ.
Номинальный
первичный ток для ТТ
в пределах 0,1÷60000А.
Номинальные
вторичные токи для ТТ: 1; 2; 2,5; 5А.
Номинальный
коэффициент трансформации для ТТ
.
Применяется
для расчета первичного тока по результатам измеренных токов на вторичной
обмотке.
,
где
- результаты измерения тока и напряжения.
Действительный
коэффициент трансформации отличается от номинального, что приводит к
погрешности измерений.
.
Токовая погрешность ТТ определяется по формуле:

.
Абсолютная
погрешность
.
Угловая
погрешность.
В
идеальных трансформаторах первичный ток повернут относительно вторичного на 180˚.
Угловая
погрешность - это угол между
и
.
Рис.
35.3.3.1
Если
вектор тока
опережает
, то
- положительно. Если - отстает, то
- отрицательно.
Угловая
погрешность учитывается в схемах, где важны фазовые соотношения (измерители cos
φ,
вольтметры, счетчики измерения
напряжения).
Комплексная погрешность ТТ.
Рис.
35.3.4.1
Так
как погрешность ТТ
и угловая погрешность
-
комплексные величины, то естественно представить погрешность трансформатора в
комплексной форме, которая позволяет упростить поверку ТТ.
Абсолютную
комплексную погрешность можно записать в виде:
Так
как α
- угол мал (десятки секунд), то
.
Относительная
погрешность

где
-действительная часть комплексной относительной
погрешности для тока - токовая погрешность, обусловленная отклонением
действительного значения
от номинального
.
- угловая
погрешность в радианах.
Эту
формулу можно использовать для создания прибора поверки измерительных
трансформаторов. Как видно из формулы, величину пропорциональную
нужно разложить на две составляющие. Чтобы выделить
используем образцовый трансформатор, класс точности
которого в 3,5 раз меньше поверяемого ТТ. Для выделения разности используем
маленькое сопротивление
, по которому проходят токи
от образцового измеряемого трансформатора.
Падение
напряжения измеряем компенсатором переменного тока. КПТ - компенсатор
поверяемого трансформатора. Рабочий ток должен совпадать с током
.
При
нормальной работе ТТ МДС
составляет доли процентов от
. Часть этой МДС
идет на
создание магнитного потока,
определяет
потери в сердечнике на перемагничивание.
Если
вторая цепь разомкнута
, тогда 
.
Следовательно в несколько сотен раз увеличивается
и
.
Увеличение
приводит к резкому увеличению потока
, что в свою очередь приводит к резкому увеличению
.
При
нормальной работе
―доли вольт. При разомкнутой обмотке
― достигает несколько сотен вольт (В). Увеличение
приводит к резкому увеличению потерь на
перемагничивание, что может привести к тепловому разрушению ТТ. В
некоторых ТТ есть специальное устройство для закорачивания первичной
обмотки при необходимости коммутации во второй цепи ― ТТ работает в режиме короткого замыкания,
т.е. меньше погрешность трансформатора. В схеме часто во вторичную обмотку
включают несколько приборов (амперметр, ваттметр, фазометр, счетчик), поэтому
сопротивление этих приборов суммируется и для того чтобы погрешность ТТ не
вышла за допустимое значение, нормируют максимальное сопротивление, которое
можно включать во вторичную обмотку, т.е. сопротивление Zн является
метрологической характеристикой.
На
рисунке 35.4.1 приведены типовые для ТТ зависимости
и
при
Рис. 35.4.1
― погрешность ТТ возрастает с увеличением
― уменьшение магнитной индукции приводит к уменьшению
, поэтому в ТТ индукция выбирается значительно меньше,
чем в силовых трансформаторах (от 0.005 до 0.1 тесла).
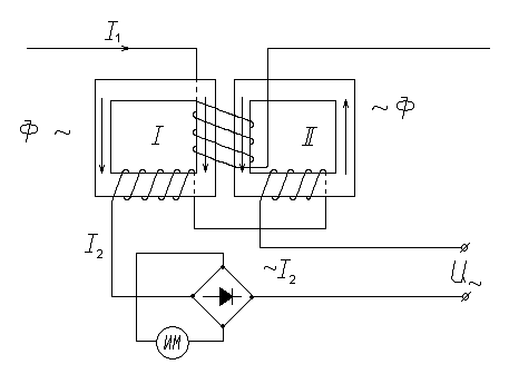
. Измерительные
трансформаторы постоянного тока
Принцип
действия и устройство трансформаторов постоянного тока
Измерительные
трансформаторы постоянного тока и постоянного напряжения нашли применение при
измерениях токов и напряжений в высоковольтных установках электропередач
Энергии
постоянным током, а также во всех случаях, когда использование шунтов
невозможно или не целесообразно. Последнее имеет место при измерениях
постоянных токов очень большой величины (свыше 10000 А). Такие токи
встречаются, например, в алюминиевой промышленности, и шунты для них получаются
весьма громоздкими и дорогими.
Принцип
действия и устройство трансформаторов постоянного тока существенно отличается
от обычных измерительных трансформаторов, но выполняют они одну и ту же задачу
и могут обеспечить высокую точность измерений при надлежащей изоляции
измерительных цепей по отношению к высоковольтным. Принципиальная схема
трансформатора постоянного тока, иллюстрирующая идею устройства, показана на
рис.48.1.1.
Рис.48.1.1 Принципиальная схема измерительного трансформатора постоянного тока
Сердечники I и II трансформаторов, совершенно одинаковые по своим
размерам, изготовляют из ферромагнитного материала с высокой магнитной
проницаемостью (например, из пермаллоя).
Первичные
обмотки этих сердечников соединяют последовательно, и по ним протекает
измеряемый постоянный ток
. Вторичные обмотки соединяют параллельно или
последовательно (последний случай показан на схеме рис.1) и через выпрямители
подключают к вспомогательному источнику переменного тока
.
Предположим,
что основная кривая намагничивания сердечников имеет вид, показанный на верхней
части рис.48.1.2, на которой действительная плавная кривая заменена
"идеальной кривой".
Под
действием постоянного тока сердечники намагнитятся; рабочую точку на основной
кривой намагничивания обозначим А.
Вторичные
обмотки включены так, что в течение каждого полупериода вспомогательного
переменного тока
в одном сердечнике переменная составляющая магнитного
потока направлена навстречу потоку от постоянного тока в первичных обмотках,
тогда как в другом сердечнике в это время оба магнитных потока совпадают по
направлению.
Рис.48.1.2.
Построение кривой вторичного тока
Пусть,
например, вычитание переменной составляющей из постоянной происходит в
сердечнике I (рис.48.1.1). Тогда, как видно на рис.48.1.1, до момента равенства
ампер-витков
постоянного и
переменного
токов измерений магнитного потока не происходит. При равенстве ампер-витков происходит
резкое изменение магнитного потока, и во вторичной обмотке возникает э. д. с.,
которая и уравновешивает приложенное напряжение, если только пренебречь,
вследствие его малости, падением напряжения в обмотках и в нагрузке
трансформатора. Очевидно, что потоки сердечника II в этом полупериоде никакого
влияния на значение тока в цепи не оказывают, так как из-за совпадения в этом
сердечнике по направлению потоков постоянного и переменного рабочая точка А
переместится вправо и никаких изменений индукции в сердечнике II не происходит.
В
следующий полупериод напряжение вспомогательного источника питания
уравновешивается э. д. с. во вторичной обмотке сердечника II.
Если
ток
изменится, например, увеличится, то рабочая точка А
на кривой намагничивания переместится вправо и, следовательно, ток во вторичной
цепи будет нарастать до большего значения, так как ограничивающая э. д. с.
возникает лишь при изменении потока в сердечнике, при равенстве:
(48.1.1)
Из
формулы (48.1.1) следует, что ток во вторичных обмотках не зависит от
напряжения и частоты вспомогательного источника питания, если только напряжение
последнего достаточно для получения требуемого равенством (48.1.1) значения
вторичного тока.
Таким
образом, описанное устройство действительно ведет себя как трансформатор. Из
рис.48.1.2 видно, что во вторичных обмотках переменный ток должен иметь
прямоугольную форму, а в диагонали моста, где включен измерительный механизм,
будет протекать постоянный ток.
При
рассмотрении принципа действия измерительного трансформатора постоянного тока
предполагалось, что кривая намагничивания
сердечников
имеет вид, показанный на рис.48.1.2.
Действительная
кривая намагничивания ферромагнитных материалов с высокой начальной магнитной
проницаемостью отступает от приведенной идеализированной кривой, и это
обстоятельство наряду с наличием рассеяния во вторичных обмотках сердечников и
сопротивления вторичной цепи является источником погрешности трансформаторов, а
именно погрешности коэффициента трансформации.
Под
номинальным коэффициентом трансформации измерительного трансформатора
постоянного тока понимают коэффициент, на который следует умножить значение
тока во вторичной цепи, чтобы получить ток первичной обмотки. Номинальный
коэффициент трансформации принимается равным отношению номинальных значений
токов в первичной и вторичной обмотках, т. е.
,
Где
- среднее значение выпрямленного тока.
Действительным
коэффициентом трансформации измерительного трансформатора постоянного тока называется
отношение величин токов в первичной обмотке и выпрямленного, т. е.
,
Где
- среднее значение выпрямленного тока.
Относительной
погрешностью
коэффициента трансформации трансформатора постоянного
тока, так же как и измерительного трансформатора переменного тока, называется
разность значений действительного коэффициента трансформации, т. е.
.
На
рис.48.1.3 показаны кривые погрешностей коэффициента трансформации
трансформатора постоянного тока с номинальным коэффициентом трансформации
при неизменном напряжении вспомогательного источника
питания и сопротивлениях нагрузки
и
.
Увеличение
погрешности с уменьшением измеряемого тока
объясняется
наибольшим отступлением реальной кривой намагничивания от идеализированной
кривой при малых значениях напряженности поля.
Рис.48.1.3. Погрешность коэффициента трансформации при различных нагрузках во вторичной цепи
Уменьшение погрешности трансформатора постоянного тока может быть
достигнуто применением ферромагнитного материала с возможно меньшей
коэрцитивной силой и кривой намагничивания, наиболее близкой к идеализированной
кривой, а также возможно осуществление различных компенсационных схем.
Например,
могут быть использованы потоки рассеяния для дополнительного перемагничивания
сердечников и другие способы, позволяющие расширить пределы измерения тока
.
Измерительный
трансформатор напряжения постоянного тока
Принцип
действия измерительного трансформатора напряжения постоянного тока такой же,
как и у трансформатора постоянного тока, но в его устройстве имеются некоторые
отличия. В целях уменьшения тока
,
потребляемого от измеряемого источника (например, этот ток может быть равен 10
мА), первичные обмотки сердечников делаются из тонкой проволоки с большим
числом витков. Первичные обмотки соединяются последовательно и через добавочное
сопротивление подключаются к измеряемому напряжению.
Вторичные
обмотки сердечников соединяются параллельно и встречно для взаимной компенсации
в первичных обмотках индуктированных э. д. с., которые могут достигнуть
значительной величины из-за большого числа витков первичных обмоток.
Трансформаторы напряжения постоянного тока, так же как и трансформаторы
постоянного тока, имеют погрешность коэффициента трансформации, которая главным
образом зависит от характеристик материала сердечника.
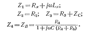
3.
Схемы мостов переменного тока для измерения индуктивности. Вывод условий
равновесия. Особенности
трансформатор ток
конденсатор индуктивность
Основные соотношения.
Мостовые схемы широко применяются в
электроизмерительной технике для измерения сопротивления, индуктивности,
емкости, добротности катушек, угла потерь конденсаторов, взаимной индуктивности
и частоты. На основе мостовых схем создаются приборы для измерения
неэлектрических величин(например, температуры, малых перемещений) и различные
автоматические и телемеханические устройства.
Широкое применение мостовых схем обьясняется
большой точностью измерений, високой чувствительностью, возможностью измерения
различних величин и т. д.
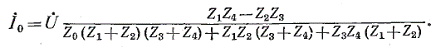
Схема одинарного моста переменного
тока приведена на рис. 67.1.1. Плечи моста а-б, б-в, а-г и
г-в содержат в общем случае комплексние сопротивления Z1, Z2,Z3 и Z4.
В диагональ б-г, называемую выходной, включается нагрузка
(в частном случае - нуль-индикатор) с сопротивлением Z0.
Зависимость тока І0 в нагрузке от параметров моста и
напряжения питання U, найденная
каким-либо способом, например с помощью законов Кирхгофа, равна:
(67.1.2)
Равновесие моста имеет место при
подборе плеч, так чтобs I0 = 0, т. є. при:
(67.1.3)
В развернутой форме выражения
комплексов полных сопротивлений плеч имеют вид:
(67.1.4)
Подставив значення Z1, Z2,Z3 и Z4. в (67.1.3), получим два равенства для
мнимых и вещественных членов:
(67.1.5)
Наличие двух уравнений равновесия
означает необходимость регулирования не менее двух параметров моста переменного
тока для достижения равновесия.
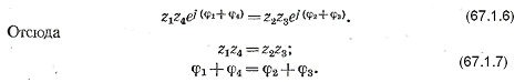
Условия равновесия моста могут быть
выраженны иным способом, указывающим, как должны быть расположены плечи моста.
Учитывая, что
где z1,z2,z3,z4- модули полннх сопротивлеиий
плеч; φ1,
φ2, φ3, φ4- углы сдвига тока относительно напряжения в соответствующих
плечах, равенство (67.1.3) можно представить так:
Уравнения (67.1.5) и (67.1.7) равносильны и обязательны для достижения равновесия
моста.
Последнее условие
указывает, при каком расположении
плеч, в зависимости от их характера, можно уравновесить схему. Если смежные
плечи, например третье и четвертое имеют чисто активные сопротивления R3 и R4,
т.е. два других смежных плеча могут иметь или индуктивный или емкостный характер.
Если противоположные плечи чисто
активные, то одно из двух других должно быть индуктивным, а другое - емкостным.
В мостах переменного тока часто
применяются злектронные нуль-индикаторы, входное сопротивление которых
приближенно можно считать равным бесконечности. Для этого случая напряжение
между точками б и г можно определить по формуле
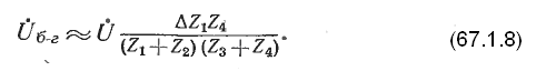
Если в уравновешенном мосте
какое-нибудь плечо, например Z1, получит малое прираідение ΔZ1, то, лренебрегая величиной ΔZ1 в знаменатели запишем:
Мосты, в которых измеряемая величина
определяется из условия равновесия (67.1.3), называются уравновешенными. В ряде случаев измеряемая величина может
определяться по значенню тока или напряжения выходной диагонали моста. Такие
моста называются неуравновешенными.
Плечи моста постоянного тока а - б, б
- в, а - г и г - в имеют соответственно активные сопротивления R1,R2,R3 и R4, а в диагональ б - г включается нуль-индикатор постоянного тока, например
магнитозлектрический гальванометр с сопротивле-нием Rг.
Ток в цепи гальванометра для моста
постоянного тока
Если мост уравновешен, ток в диагонали
б - г равен нулю; для зтого необходимо, чтобы:
Равенство (67.1.10) показьівает возможность
подключения измеряемого сопротивления в любое плечо моста и определение его
значення через сопротивления трех других плеч.
Процесс измерения с помощью моста
заключаетея в том, что в одно из плеч моста (например, а - б) включают резистор
с неизвестным сопротивлением Rх и, изменяя одно или несколько сопротивлений плеч, добиваютcя отсутствия тока в цепи
гальванометра. Тогда на основании (67.1.10)
Принято R3 и R4 називать плечами отношения, R2 - плечом сравнения.
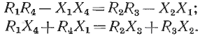
Мости для измерения индуктивности и
добротности катушек
Одно из плеч моста образовано испытуемой катушкой с индуктивностью Lх и активним сопротивлением RХ а другое - образцовой катушкой с
индуктивностью Ln и сопротивлением Rn. Резистор R при помощи переключателя может бьіть
включен последовательно с образцовой катушкой или с катушкой с измеряемой
индуктивностью в зависимости от соотношения R и Rn. Если для получения равновесия
включить резистор R
последовательно с катушкой Lх то сопротивления плеч моста
По условию равновесия моста:
Что приводит к следующим равенствам:
Если же для получения равновесия
включить резистор R
последователько с катушкой Ln,Rn, то условия равновесия моста принимают вид:
При проведении измерения следует обращать
внимание на то, чтобы катушки индуктивности Ln и Lх были расположеньї на достаточно большом расстоянии для уменьшения взаимной
индуктивности.
Для измерения индуктивности Lх можно использовать также и
образцовьій конденсатор С.
В плечо, противололожное плечу с
измеряемой индуктивностью LХ включен образцовьій конденсатор С с
параллельно присоединенньш к нему резистором R. В остальньїе два плеча включеньї
магазиньї сопротивлений R1 и R2.
Полные сопротивления плеч моста:
При равновесии моста:
Это равновесие приводит к условиям равновесия:
По полученным значемниям Rx и Lx или
С и R можно определить добротность катушки
Четырехплечие мостовые схемы с
использованием в их плечах конденсаторов постоянной емкости и переменньїх
резисторов дает удобньїе прямьіе отсчеты значений измеряемьіх индуктивностей и
коэффициентов добротности Q катушек, но обладают плохой сходимостью при мальїх значеннях ко’ффициентов добротности. Процесc уравновновешивания становится
затруднительным
при Q = 1, а при Q < 0,5 приведение
моста в состояние равновесия практически невыполнимо.Хорошую
сходимость при измерениях малых значений коэффициента
добротности катушек имеют шестиплечие МОСТЬІ. Схема шестиплечего моста для
измерения индуктивности и добротности катушек приведена на рис. 67.2.1. Для нахождения услрвия равновесия моста заменим имеющуюся схему
соединения в треугольник вгд эквивалентной схемой соединения в звезду с
сопротивлением сторон
Эта замена преобразует шестиплечий мост в
четырехплечий с плечами:
Из общего условия равновесия моста находим:
Хорошая сходимость моста обьясняется
независимостью второго условия равновесия от солротивления резистора R5. Позтому RХR4 = R2Rз не нарушается дальнейшей
регулировкой моста резистором R5, необходимой для вьшолнения первого условия.
Задачи
1. Определить
напряжение на сопротивлении
и
расширенную неопределенность абсолютной погрешности результата (рис. 17.1),
если напряжение сети равно
, а
напряжение на сопротивлении
равно
. Для измерения используются вольтметры класса
точности 1,0 на 250 В.
рис. 17.1
Схема включения соответствует схеме последовательного соединения
резисторов r1 и r2. Уравнение измерения напряжения на резисторе r2 имеет вид:
где
- напряжение сети,
-
напряжение на резисторе r1, U2
- напряжение на резисторе r2.
Вычисление
погрешности результата измерений.
Зная
класс точности вольтметра, определим абсолютную погрешность измерения:
В
где
- относительная погрешность измерения напряжения
вольтметром V1,
- номинальное значения напряжения.
Определение
коэффициентов влияния.
Коэффициент влияния напряжения Uс
Коэффициент влияния напряжения U2:
Составление
формул неопределенности результата измерения
Для
нахождения расширенной неопределенности результата измерения с уровнем доверия
Р= 0,95 воспользуемся формулой:
В
Результат
измерения с указанием расширенной неопределенности:
Ответ:
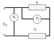
2. Привести
схему и рассчитать шунт к амперметру для измерения тока
15 А. Измерительный механизм имеет напряжение полного
отклонения
150 мВ и внутреннее сопротивление
2 Ом. Определить относительную погрешность при
измерении тока
10 А, если прибор подключить по схеме рис. 26.1, а
сопротивление переходных контактов в точках А и Б принять равным
5·10-3 Ом (сопротивлением проводов
пренебречь).
Рис. 26.1
Схема включения амперметра приведена на рис. 26.2.
Расчет
шунта:
Возможный
максимальный ток, проходящий через амперметр без шунта:
;
Коэффициент
шунтирования:
;
Сопротивление
шунта:
Ом;
Полное
сопротивление шунтирующей цепи:
Коэффициент
шунтирования с учетом сопротивления соединительных контактов:
Определим
относительную погрешность при измерении тока
:
.
Амперметр с сопротивлением
и
вольтметр
применяются для измерения сопротивления якоря
электродвигателя. Классы точности приборов 0,2. Предел измерения амперметра 10
А, вольтметра 1,5 В.Составить схемы измерения методом амперметра и вольтметра.
Определить погрешность включения. Наиболее вероятное значение тока и
напряжения, полученные в результате повторных измерений, следующие: I = 8,5 A, U=
1,25 В. Выбрать схему с минимальной погрешностью. Оценить стандартную неопределенность
результата измерения.
Погрешность
метода зависит от мощности, потребляемой приборами, и схемы включения. Для
схемы включения по методу амперметра падение вольтметра соответствует падению
напряжения на резисторе
, сопротивление которого измеряется.
Схема
включения по методу амперметра:
Измеряемое
сопротивление определяется так:
Относительная
погрешность метода
Предположим
что все абсолютные погрешности имеют равномерный закон распределения. Находим
стандартную комбинированную неопределенность результата измерения:
(31.2.3.1)
где
- абсолютная погрешность измерения напряжения
вольтметром V,
-абсолютная
погрешность измерения амперметром A. В данном случае они
вычисляются так:
(31.2.3.2)
(31.2.3.3)
Подставив
формулу (31.2.3.2) и (31.2.3.3) в формулу (31.2.3.1) получим:
Результат
измерения с указанием стандартной неопределенности:
;
Схема
включения по методу вольтметра:
Измеряемое
сопротивление определяется так:
Относительная
погрешность метода
Предположим
что все абсолютные погрешности имеют равномерный закон распределения. Находим
стандартную комбинированную неопределенность результата измерения:
(31.3.3.1)
где
- абсолютная погрешность измерения напряжения
вольтметром V,
-абсолютная
погрешность измерения амперметром A. В данном случае они
вычисляются так:
(31.3.3.2)
(31.3.3.3)
Подставив
формулу (31.3.3.2) и (31.3.3.3) в формулу (31.3.3.1) получим:
Результат
измерения с указанием стандартной неопределенности:
;
Ответ:
Относительная
погрешность метода амперметра
Результат
измерения с указанием стандартной неопределенности:
;
Относительная
погрешность метода вольтметра
.
Результат
измерения с указанием стандартной неопределенности:
;
Как
видно из уравнений (1) и (2), пользоваться схемой включения по методу
вольтметра стоит только тогда, когда сопротивление
велико по сравнению с сопротивлением
, а схемой включения по методу амперметра - когда
сопротивление
мало по сравнению с измеряемым сопротивлением.
Другими словами, схему включения по методу вольтметра целесообразно
использовать при измерении малых сопротивлений, а схему включения по методу
амперметра - для измерения больших.