|
Тип
портфеля
|
Доля
акций, %
|
Доля
государственных ценных бумаг, %
|
Доля
корпоративных облигаций, %
|
Доля
производных ценных бумаг, %
|
|
Консервативный
|
-
|
более
50
|
менее
50
|
-
|
|
Агрессивный
|
более
50
|
-
|
менее
30
|
до
10
|
|
Сбалансированный
|
30
|
30
|
30
|
менее
10
|
Долгосрочные инвестиционные цели определяют
разнообразие видов и структуру портфеля.
. Портфель консервативного роста
Основная цель: получение сравнительно невысокого
стабильного дохода при максимальной надежности вложений с возможностью изъятия
средств в любой момент и с минимальным риском потери доходности.
Задача такой стратегии - сохранение капитала от
инфляции. Если вкладывать в бумаги с наибольшим сроком погашения, то прибыль
может вырасти в несколько раз.
Объект инвестирования - государственные ценные
бумаги.
. Портфель умеренного роста
Основная цель: получение среднего стабильного
дохода при невысоком риске.
Объектами для инвестиций должны быть те же
госбумаги и в небольшом объеме - наиболее ликвидные акции. Риск в этом случае
увеличивается, для его снижения нужно приобретать акции из списка
приблизительно 6-8 наиболее надежных эмитентов, по которым наблюдаются самые
большие объемы торгов. Высокая доходность корпоративных акций служит неплохой
прибавкой к невысокой доходности госбумаг. Главным фактором при выборе объектов
вложений является ликвидность ценных бумаг, т.е. возможность продать их в любой
момент с наименьшими потерями.
. Портфель умеренно консервативного роста
Основная цель: получение достаточно высокого
прироста стоимости капитала при заранее известном сроке инвестиций с
возможностью проведения ограниченного круга рискованных инвестиций.
В этом случае акции предприятий составляют
большую часть портфеля. Долгосрочные вложения в акции предприятий с хорошей
перспективой в стратегически важных отраслях промышленности, а также
реинвестиции (вложения промежуточной прибыли) обеспечат достижение цели
инвестора. При такой стратегии портфель в большей степени подвержен риску
изменения курсовой стоимости акций и в меньшей степени - процентному риску.
Возрастает роль риска краткосрочного падения
рыночной цены акций, что можно сгладить увеличением срока инвестиций, с одной
стороны, и выбором наиболее ликвидных из корпоративных акций перспективных
предприятий - с другой. Государственные бумаги, имеющие заведомо более высокую,
чем ценные бумаги предприятий, ликвидность, являются консервативной частью
портфеля, в то время как акции составят его доходную часть.
Акции предпочтительней невысокого и среднего
уровня риска, по которым выплачиваются дивиденды, из наиболее стабильно
развивающихся отраслей, таких как энергетика и связь.
. Портфель долгосрочного роста
Основная цель: получение значительного прироста
стоимости капитала в долгосрочной перспективе при заранее известном сроке
инвестирования с возможностью проведения рискованных операций.
Основную часть портфеля составляют акции
предприятий, а небольшую - госбумаги.
При таком подходе инвестор принимает риск потери
основной суммы инвестиций. Но его можно уменьшить за счет длительного срока
вложений. При распределении средств по конкретным акциям предполагается, что
основной доход принесут акции, а госбумаги необходимы для придания портфелю
большей ликвидности и для неинфляционного хранения средств.
. Портфель агрессивного роста
Основная цель: достижение максимального прироста
капитала при согласии инвестора на очень высокий риск. Это обеспечивается
проведением высокорискованных и спекулятивных операций, не рекомендуемых при
остальных стратегиях.
Основной объект инвестиций - недооцененные акции
и/или фьючерсные контракты. Основные операции - наиболее рискованные
краткосрочные спекулятивные операции, позволяющие получить высокий доход при
среднем сроке вложений, и менее рискованные операции типа «купил и жди». К уже
перечисленным рискам прибавляется риск торговой площадки, т.е. риск
невыполнения взаимных обязательств участниками торгов. Но при увеличении срока
инвестиций до 2-3 лет высокие риски, изначально присущие этой стратегии, могут
быть снижены до уровня стратегий долгосрочного и даже умеренно консервативного
роста.
1.2
Стратегии управления инвестиционным портфелем
Типу портфеля соответствует и тип избранной
инвестиционной стратегии: активной, направленной на максимальное использование
возможностей рынка или пассивной.
Первым и одним из наиболее дорогостоящих,
трудоемких элементов управления, является мониторинг, представляющий собой
непрерывный детальный анализ фондового рынка, тенденций его развития, секторов
фондового рынка, инвестиционных качеств ценных бумаг. Важным принципом проведения
мониторинга является сопоставимость результатов, для обеспечения которой
необходимо применять единую методику и использовать ее через равные интервалы
времени.
Пассивной стратегии придерживаются менеджеры,
которые полагают, что рынок является эффективным. В таком случае нет
необходимости часто пересматривать портфель, поскольку эффективный рынок всегда
"правильно" оценивает активы, а одинаковые ожидания инвесторов
относительно доходности и риска говорят о том, что все они ориентируются на одинаковые
линии рынка актива и линии рынка капитала. Пассивный портфель пересматривается
только в том случае, если изменились установки инвестора или на рынке
сформировалось новое общее мнение относительно риска и доходности рыночного
портфеля. Пассивный менеджер не ставит перед собой цель получить более высокую
доходность, чем в среднем предлагает рынок для данного уровня риска.
Пассивное управление портфелем состоит в
приобретении активов с целью держать их длительный период времени. Если в
портфель включены активы, выпущенные на определенный период времени, например
облигации, то после их погашения они заменяются аналогичными бумагами и тому
подобными до окончания инвестиционного горизонта клиента.
Активную стратегию проводят менеджеры,
полагающие, что рынок не всегда, по крайней мере в отношении отдельных бумаг,
является эффективным, а инвесторы имеют различные ожидания относительно их
доходности и риска. В итоге цена данных активов завышена или занижена. Поэтому
активная стратегия сводится к частому пересмотру портфеля в поисках финансовых
инструментов, которые неверно оценены рынком, и торговле им с целью получить
более высокую доходность.Формируя портфель, менеджер должен определить, в каких
пропорциях включать в него активы различных категорий, например акции, облигации
и т. п. Такое решение называется решением по распределению средств. Оно зависит
от оценок менеджером доходности и риска по данным группам активов и
коэффициента допустимости (толерантности) риска клиента.
Активную стратегию менеджер может строить на
основе приобретения рыночного портфеля в сочетании с кредитованием или
заимствованием. Вследствие изменения конъюнктуры рынка менеджер периодически
будет пересматривать портфель. Покупка и продажа активов повлечет
дополнительные комиссионные расходы. Поэтому, определяя целесообразность
пересмотра портфеля, ему следует учесть в издержках данные расходы, поскольку
они будут снижать доходность портфеля.
Активное управление предполагает высокие затраты
специализированного финансового учреждения, которое берет на себя все вопросы
по купле-продаже и структурному построению портфеля ценных бумаг клиента.
Формируя и оптимизируя портфель из имеющихся в его распоряжении средств
инвестора, управляющий осуществляет операции с фондовыми ценностями,
руководствуясь своим знанием рынка, выбранной стратегии и т. д. Прибыль будет в
значительной степени зависеть от инвестиционного искусства менеджера, а
следовательно, комиссионное вознаграждение будет определяться процентом от
полученной прибыли.
Пассивная модель управления подразумевает
передачу денежных средств специализированному учреждению, которое занимается
портфельными инвестициями с целью вложения этих средств от имени и по поручению
их владельца в различные фондовые инструменты с целью извлечения прибыли.
1.3
Этапы и принципы формирования инвестиционного портфеля
Выделяют несколько ключевых этапов
инвестиционного процесса и управления портфелем ценных бумаг.
) Определение инвестиционных целей и типа
портфеля.
) Определение стратегии управления портфелем.
) Проведение анализа ценных бумаг и формирование
портфеля.
) Оценка эффективности портфеля.
) Ревизия портфеля.
Первый этап - определение инвестиционных целей
Все инвесторы, как индивидуальные, так и
институциональные, покупая те или иные ценные бумаги, стремятся достичь
определенных целей. Основными целями могут быть, в частности, безопасность
вложений, их доходность, рост капитала. Под безопасностью понимается
«неуязвимость капитала от потрясений на рынке и стабильность получения дохода».
Безопасность обычно достигается в ущерб доходности и росту вложений, т.е. эти
цели в известной степени альтернативны. Самыми надежными и безопасными являются
государственные ценные бумаги, которые практически исключают риск инвестора.
Более доходными считаются ценные бумаги акционерных компаний, но в них
заключена и большая степень риска. Самыми рискованными являются вложения в
акции молодых наукоемких компаний, зато они могут оказаться самыми выгодными с
точки зрения прироста капитала (на основе роста курсовой стоимости). Приоритет тех
или иных целей определяет тип портфеля. Например, если основная цель инвестора
- обеспечить безопасность вложений, то в свой консервативный портфель он будет
включать ценные бумаги, выпущенные известными и надежными эмитентами, с
небольшими рисками и стабильными средними или небольшими доходами, а также
обладающие высокой ликвидностью. И наоборот, если для инвестора наиболее важным
является наращивание капитала, то предпочтение будет отдано агрессивному
портфелю, состоящему из высокорискованных ценных бумаг молодых компаний.
Второй этап - определение стратегии управления
портфелем
Различают следующие стратегии:
· активная или пассивная стратегия
управления портфелем;
· управление собственными силами или
передача портфеля в доверительное управление;
Существует определенная взаимосвязь между целями
инвестирования, типом портфеля и стратегией управления им. Максимальную
доходность нельзя обеспечить без активных торговых операций. Консервативному
портфелю более свойственна пассивная стратегия без активных торговых операций.
Если у предприятия нет своих специалистов по
ценным бумагам, аналитиков, трейдеров, то более рационально передать свободные
денежные средства для формирования портфеля ценных бумаг и управления им в
доверительное управление банку, инвестиционной компании, имеющим
соответствующую лицензию, специалистов и опыт портфельного управления.
Доверительное управление средствами клиента для вложений в ценные бумаги
профучастник рынка ценных бумаг осуществляет на основе договора доверительного
управления с клиентом. В договоре предусмотрены права и обязанности сторон по
формированию портфеля ценных бумаг клиента и управлению им.
Третий этап формирования портфеля - проведение
анализа ценных бумаг и их приобретение.
Фондовый рынок можно представить себе как
гигантскую машину по обработке информации. Успех инвестиций целиком зависит от
информации, причем информации не столько о прошлой, сколько о будущей
доходности тех или иных акций. Обладая прямым доступом к международным рынкам,
мы теперь можем видеть, как биржевые курсы практически моментально отражают
все, что происходит в самых отдаленных уголках мира. Важно уметь отличить
устаревшую информацию от свежей. Старая информация уже привела к изменению
курса акций. Новая информация, касающаяся будущего роста, еще только должна
инициировать такое изменение. Получив собственные сведения и проведя
собственный анализ, миллионы инвесторов постоянно голосуют, как бы участвуя в
гигантском опросе общественного мнения, результатом которого и является
рыночный курс акций. С появлением новых данных разворачивается борьба за
возможность извлечь из них выгоду, и курс приспосабливается к этому вновь
установившемуся равновесию.
Таким образом, фондовый рынок - это сфера
конкурентной борьбы между инвесторами за самую лучшую информацию. Если ничего
нового нет, то на фондовом рынке наступает затишье. Когда же возникает «свежий»
информационный импульс, его энергия снова приводит рынок в движение.
Лучшая информация позволяет выполнить
качественный анализ и извлечь больше выгод из отклонения нынешнего биржевого
курса от того значения, которое он, как вы считаете, будет иметь со временем.
Своими покупками или продажами вы лишаете менее прозорливых инвесторов
возможности сыграть на разнице в курсах и в то же время (как, впрочем, и
другие) подталкиваете курс к тому уровню, при котором получить прибыль уже
нельзя.
На современном фондовом рынке новая информация о
компаниях сначала поступает к узкому кругу аналитиков, журналистов,
специалистов из фирм по связям с общественностью и с инвесторами и только под
конец - к институциональным и мелким инвесторам.
Четвертый этап - оценка эффективности портфеля
Четвертый этап процесса управления портфелем
ценных бумаг связан с периодической оценкой эффективности портфеля с точки
зрения фактически полученного дохода и риска, которому подвергался инвестор, и
сопоставления полученных результатов с целями клиента (инвестора). С этой целью
рассчитываются показатели доходности и надежности портфеля и сопоставляются с
принятыми критериями его эффективности.
Пятый этап - ревизия портфеля
Портфель подлежит периодической ревизии
(пересмотру), с тем, чтобы его содержимое не пришло в противоречие с
изменившейся экономической обстановкой, инвестиционными качествами отдельных
ценных бумаг, а также целями инвестора. Институциональные инвесторы проводят
ревизию своих портфелей довольно часто, нередко - ежедневно [15].
Основными принципами построения классического
консервативного (малорискового) портфеля являются: принцип консервативности,
принцип диверсификации и принцип достаточной ликвидности.
Принцип консервативности
Соотношение между высоконадежными и рискованными
долями поддерживается таким, чтобы возможные потери от рискованной доли с
подавляющей вероятностью покрывались доходами от надежных активов.
Инвестиционный риск, таким образом, состоит не в потере части основной суммы, а
только в получении недостаточно высокого дохода. Естественно, не рискуя, нельзя
рассчитывать и на какие-то сверхвысокие доходы. Однако практика показывает, что
подавляющее большинство клиентов удовлетворены доходами, колеблющимися в
пределах от одной до двух депозитных ставок банков высшей категории надежности,
и не желают увеличения доходов за счет более высокой степени риска.
Принцип диверсификации
Диверсификация вложений - основной принцип
портфельного инвестирования. Идея этого принципа хорошо проявляется в старинной
английской поговорке: do not put all eggs in one basket - "не кладите все
яйца в одну корзину". На нашем языке это звучит - не вкладывайте все
деньги в одни бумаги, каким бы выгодным это вложением вам ни казалось. Только
такая сдержанность позволит избежать катастрофических ущербов в случае ошибки.
Диверсификация уменьшает риск за счет того, что возможные невысокие доходы по
одним ценным бумагам будут компенсироваться высокими доходами по другим
бумагам. Минимизация риска достигается за счет включения в портфель ценных
бумаг широкого круга отраслей, не связанных тесно между собой, чтобы избежать
синхронности циклических колебаний их деловой активности. Оптимальная величина
-от 8 до 20 различных видов ценных бумаг. Распыление вложений происходит как
между теми активными сегментами, о которых мы упоминали, так и внутри них. Для
государственных краткосрочных облигаций и казначейских обязательств речь идет о
диверсификации между ценными бумагами различных серий, для корпоративных ценных
бумаг - между акциями различных эмитентов. Упрощенная диверсификация состоит
просто в делении средств между несколькими ценными бумагами без серьезного
анализа. Достаточный объем средств в портфеле позволяет сделать следующий шаг -
проводить так называемые отраслевую и региональную диверсификации.
Принцип отраслевой диверсификации состоит в том,
чтобы не допускать перекосов портфеля в сторону бумаг предприятий одной
отрасли. Дело в том, что катаклизм может постигнуть отрасль в целом. Например,
падение цен на нефть на мировом рынке может привести к одновременному падению
цен акций всех нефтеперерабатывающих предприятий, и то, что ваши вложения будут
распределены между различными предприятиями этой отрасли, вам не поможет. То же
самое относится к предприятиям одного региона. Одновременное снижение цен акций
может произойти вследствие политической нестабильности, забастовок, стихийных
бедствий, введения в строй новых транспортных магистралей, минующих регион, и
т.п. Представьте себе, например, что в октябре 1994 года вы вложили все
средства в акции различных предприятий Чечни. Еще более глубокий анализ
возможен с применением серьезного математического аппарата.
Статистические исследования показывают, что
многие акции растут или падают в цене, как правило, одновременно, хотя таких
видимых связей между ними, как принадлежность к одной отрасли или региону, и
нет. Изменения цен других пар ценных бумаг, наоборот, идут в противофазе.
Естественно, диверсификация между второй парой бумаг значительно более
предпочтительна. Методы корреляционного анализа позволяют, эксплуатируя эту
идею, найти оптимальный баланс между различными ценными бумагами в портфеле.
Принцип достаточной ликвидности
Он состоит в том, чтобы поддерживать долю
быстрореализуемых активов в портфеле не ниже уровня, достаточного для
проведения неожиданно подворачивающихся высокодоходных сделок и удовлетворения
потребностей клиентов в денежных средствах. Практика показывает, что выгоднее
держать определенную часть средств в более ликвидных (пусть даже менее
доходных) ценных бумагах, зато иметь возможность быстро реагировать на
изменения конъюнктуры рынка и отдельные выгодные предложения. Кроме того,
договоры со многими клиентами просто обязывают держать часть их средств в
ликвидной форме.
Глава
2
2.1
Проблемы выбора инвестиционного портфеля
Для формирования инвестиционного портфеля
главным является определение инвестиционной цели инвестора. Согласно
современной теории портфеля цели инвестора проявляются в его отношении к риску
и ожидаемой доходности. Одним из широко применяемых методов определения таких
целей является построение кривой безразличия (indifference
curve), характеризующей
предпочтения инвестора. На рис. 1 обозначены кривые безразличия u1,
u2, u3.
На горизонтальной оси откладывается значение риска, а на вертикальной -
ожидаемые доходности.
Рис.
1 - Кривые безразличия
Сравнение портфелей, оценки которых лежат на
разных кривых, свидетельствуют, что любой портфель с оценкой на одной кривой
предпочтительнее портфеля с оценкой на другой кривой. Кривые безразличия
никогда не пересекаются. Исходя из отношения инвестора к риску и доходности и
их оценок инвестор может иметь бесконечное число кривых безразличия. Характер
расположения кривых означает индивидуальную для инвестора взаимозаменяемость
доходности и риска. Крутые кривые безразличия означают более осторожного
инвестора, чем пологие кривые (рис. 2, рис. 3).
Рис.
2 Рис. 3
В первом случае инвестор готов допустить малое
увеличение риска лишь с компенсацией в виде значительного увеличения
доходности. Во втором случае инвестор ради небольшого увеличения доходности
готов принять значительное увеличение риска.
Таким образом, менеджер в работе по формированию
и управлению портфелем должен определить ожидаемую доходность и риск для
каждого потенциального портфеля, построить график и выбрать один портфель. При
выборе портфеля на базе кривых безразличия менеджер исходит из двух
предположений: о не насыщаемости и об избежание риска. Предполагается, что
инвестор всегда предпочитает увеличение уровня своего благосостояния. Инвестор,
делающий выбор между двумя одинаковыми по всем (кроме ожидаемой доходности)
портфелями, выберет портфель с большей доходностью. Однако если инвестору нужно
выбрать между портфелями с одинаковым уровнем ожидаемой доходности, но разным
уровнем риска, то он выберет портфель с меньшим риском.
Итак, главными параметрами при управлении
портфелем, которые необходимо определить менеджеру, являются ожидаемая
доходность и риск. Формируя портфель, менеджер не может точно определить
будущую динамику его доходности и риска, поэтому свой выбор он строит на
ожидаемых значениях. Данные величины оцениваются на основе статистических
отчетов за предыдущие периоды времени. Полученные оценки менеджер может
корректировать согласно своим представлениям о развитии будущей конъюнктуры.
2.2
Определение уровня доходности портфеля
Поскольку портфель, формируемый инвестором,
состоит из набора различных ценных бумаг, его доходность и риск будут зависеть
от доходности и риска каждой отдельной ценной бумаги. Кроме того, ожидаемая
доходность портфеля зависит от размера начального капитала, инвестированного в
конкретные ценные бумаги.
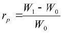
Ожидаемая доходность портфеля может быть
вычислена двумя способами. Первый способ основан на основании стоимостей на
конец периода и заключается в вычислении ожидаемой цены портфеля в конце
периода и уровня доходности:
гдеp
-ожидаемая доходность портфеля;- начальная стоимость портфеля;- ожидаемая
стоимость портфеля в конце периода.
Второй способ построен на использовании
ожидаемой доходности ценных бумаг и включает вычисление ожидаемой доходности
портфеля как средневзвешенной ожидаемых доходностей ценных бумаг, входящих в
портфель. Относительные рыночные курсы ценных бумаг портфеля используются в
качестве весов:
Где:i
- доля начальной стоимости портфеля, инвестированная в i ценную бумагу;
ri - ожидаемая
доходность i ценной бумаги;- количество ценных бумаг в портфеле.
Инвестор, который желает получить наибольшую
возможную доходность, должен иметь портфель, состоящий из одной ценной бумаги,
у которой ожидаемая доходность наибольшая. Однако менеджер посоветует инвестору
диверсифицировать свой портфель, т.е. включить в него несколько ценных бумаг,
снижая тем самым риск.
Инвестиционный риск портфеля определяется как
изменчивость доходности, которая измеряется стандартным отклонением
(дисперсией) распределения доходности портфеля.
Ожидаемый риск портфеля представляет собой
сочетание стандартных отклонений (дисперсий) входящих в него ценных бумаг.
Однако в отличие от ожидаемой доходности риск портфеля не является обязательно
средневзвешенной величиной стандартных отклонений (дисперсий) доходности ценных
бумаг. Дело в том, что различные ценные бумаги могут по-разному реагировать на
изменение конъюнктуры рынка. В результате стандартные отклонения (дисперсии)
доходности различных ценных бумаг в ряде случаев будут гасить друг друга, что
приведет к снижению риска портфеля. Риск портфеля зависит от того, в каком
направлении и в какой степени меняются доходности входящих в него ценных бумаг
при изменении конъюнктуры рынка.
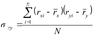
Для определения взаимосвязи и направления
доходностей ценных бумаг используют показатель конвертации и коэффициент
корреляции.
где
σxy - ковариация
доходности ценных бумаг X и Y;i-
норма дохода по ценной бумаге X в i период;i
-ожидаемая норма дохода по ценной бумаге Y в i период;- число наблюдений
(периодов) за доходностью ценных бумаг.
Положительное значение ковариации
свидетельствует, что доходность ценных бумаг изменяется в одном направлении,
отрицательное - что в обратном. Нулевое значение ковариации означает, что
взаимосвязь между доходностями активов отсутствует.
2.3
Оценка эффективности инвестиционного портфеля
Оценка эффективности управления портфелем,
проведенная определенным образом, может заставить менеджера лучше соблюдать
интересы клиента, что, вероятно, скажется на управлении его портфелем в
будущем. Инвестиционный менеджер может выявить причины своей силы или слабости,
проводя оценку эффективности деятельности.
Причиной высокой эффективности управления в
прошлом может являться высокое мастерство инвестиционного менеджера. Низкая
эффективность управления может быть результатом, как стечения обстоятельств,
так и чрезмерного оборота, высокого вознаграждения за управление или других
причин, связанных с низкой квалификацией менеджера. Первичной задачей оценки
эффективности управления является определение того, было ли управление в
прошлом высокоэффективным или низкоэффективным. Затем необходимо определить,
является ли данная эффективность следствием везения или мастерства.
Обычно эффективность управления портфелем
оценивается на некотором временном интервале (один года, два года и т.д.),
внутри которого выделяются периоды (месяцы, кварталы). Этим обеспечивается
достаточно представительная выборка для осуществления статистических оценок.
Для оценки эффективность управления портфелем
необходимо измерить доходность и уровень его риска.
Определение доходности не представляет
сложности, если на протяжении всего периода владения и управления портфелем он
оставался неизменным, т.е. не было дополнительных инвестиций или изъятия
средств. В этом случае доходность определяется на основе рыночной стоимости портфеля
в начале и в конце рассматриваемого периода.
В общем случае рыночная стоимость портфеля в
определенный момент времени вычисляется как сумма рыночных стоимостей ценных
бумаг, входящих в портфель на данный момент времени. Например, процедура
определения рыночной стоимости портфеля, состоящего из обыкновенных акций,
состоит из следующих этапов: определения рыночной стоимости одной акции каждого
типа; умножения цены каждой акции на количество акций данного типа в портфеле;
сложения всех полученных произведений. Рыночная стоимость портфеля в конце
периода определяется аналогичным образом, исходя из рыночных стоимостей и
количества акций различных типов, входящих в портфель на конец периода.
Зная исходную и конечную стоимость
портфеля, можно вычислить его доходность (r), вычтя его
исходную стоимость (V0) из конечной
и разделив
данную разность на исходную стоимость:
Измерения доходности портфеля
осложняются тем, что клиент может как добавить, так и забрать часть денег из
портфеля. Это означает, что изменение рыночной стоимости портфеля за период,
выраженное в процентах, не всегда является адекватной мерой доходности портфеля
за данный период.
Для измерения доходности портфеля
важным является то, в какой момент вносятся или изымаются деньги. Если данные
действия производятся прямо перед концом рассматриваемого периода, то
вычисление доходности нужно производить с помощью коррекции конечной рыночной
стоимости портфеля. В случае внесения денег конечная стоимость должна быть
уменьшена на величину внесенной суммы, как это и было проделано в предыдущем
примере. В случае изъятия денег конечная стоимость должна быть увеличена на
изъятую сумму.
Если внесение или изъятие денег
происходит сразу после начала рассматриваемого периода, то доходность портфеля
должна быть рассчитана с помощью коррекции его исходной рыночной стоимости. В
случае внесения денег исходная стоимость должна быть увеличена на внесенную
сумму, а в случае изъятия уменьшена на величину изъятой суммы.
Определение годовой доходности
портфеля может быть осуществлено двумя способами. Можно использовать
обыкновенное суммирование квартальной доходности. Однако более точным значением
годовой доходности будет являться ставка, исчисленная по формуле сложных
процентов, так как в ней учитывается стоимость одного рубля в конце года при
условии, что он был вложен в начале года, и предполагается возможность,
реинвестирования как самого рубля. Так и любой прибыли, полученной на него в
начале каждого нового квартала:
Годовая доходность = [(1+r1)(1+ r2)(1+ r3)(1+ r4)] - 1
(2.2)
Для оценки эффективности управления
портфелем необходимо также оценить уровень его риска за выбранный временной
интервал. Обычно оценивают два вида риска: рыночный с помощью
бета-коэффициента, и общий, измеряемый стандартным отклонением. Правильный
выбор анализируемого риска имеет большое значение. Если оцениваемый портфель
инвестора является его единственной инвестицией, то наиболее подходящей мерой
риска будет общий риск, измеряемый стандартным отклонением. Если же инвестор
имеет несколько финансовых активов, то правильным будет оценка рыночного риска
портфеля, измеряемого бета-коэффициентом, и его влияния на общий уровень риска.
Для оценки общего риска портфеля за
выбранный временной интервал используется формула:
(2.3),
где
rpt - доходность
портфеля за период t;
arp- средняя
доходность портфеля;
T -
количество периодов, на которые разбит временной интервал.
Средняя доходность портфеля
определяется по формуле:
Из двух портфелей, обладающих
одинаковым уровнем дохода наиболее эффективен тот, который обеспечивает
наименьший риск и/или срок инвестирования, т.е. из двух портфелей с одинаковым
сроком и/или риском выбирают тот, который обладает наибольшей доходностью.
Для этого инвестор должен оценить
ожидаемую доходность дюрацию и стандартное отклонение каждого портфеля, а затем
выбрать «лучший» из них. Дюрация - важный показатель, позволяющий выбрать
вариант формирования портфеля долговых ценных бумаг. Если сравнивать портфели
только по их абсолютным значениям, то, как правило, сложно сделать правильную
оценку. Например, доходность одного портфеля составляет 150% годовых, а второго
- 100%. Результаты по формированию первого портфеля кажутся более
предпочтительными. Однако, если его риск в два раза выше риска второго
портфеля, то второй более эффективен.
Глава
3. Расчетная часть
7.10.2010 года на рынке ММВБ был сформирован
портфель на сумму 500000 т.р. состоящий из 7-ми эмитентов. Через месяц,
11.11.2010 года портфель был закрыт. Посчитать доходность портфеля 2-мя
способами.
Вычисление доходности и стандартных отклонений
портфеля.
Ожидаемая доходность портфеля может быть
вычислена двумя способами.
Первый способ
основан на основании стоимостей на конец периода и заключается в вычислении
ожидаемой цены портфеля в конце периода и уровня доходности:
гдеp
-ожидаемая доходность портфеля;- начальная стоимость портфеля;- ожидаемая
стоимость портфеля в конце периода.
|
Наименование
ц/б
|
Кол-во
акций в портфеле
|
Начальная
цена 1-ой акции (07.11.10)
|
Сумма
инвестиций
|
Доля
в нач-ой рын-ой ст-ти портфеля
|
|
Лукойл
|
100
|
1742,95
|
174295
|
35%
|
|
Роснефть
|
248
|
208,5
|
51708
|
10%
|
|
Сбербанк
|
540
|
90,4
|
48816
|
10%
|
|
Газпром
|
500
|
162,49
|
81245
|
16%
|
|
Ростел-ао
|
450
|
135,86
|
61137
|
12%
|
|
Сургутнефтегаз
|
497
|
29,905
|
14862,8
|
3%
|
|
Уралкалий
|
500
|
135,84
|
67920
|
14%
|
=499983,8
|
Наименование
ц/б
|
Количество
акций
|
Стоим-ть
акций в конце периода (11.11.10)
|
Совокупная
ожид-ая стоим-ть
|
|
Лукойл
|
100
|
1754,88
|
175488
|
|
Роснефть
|
248
|
216,90
|
53791,2
|
|
Сбербанк
|
540
|
103,30
|
55782
|
|
Газпром
|
500
|
170,19
|
85095
|
450
|
138,20
|
62190
|
|
Сургутнефтегаз
|
497
|
30,431
|
15124,20
|
|
Уралкалий
|
500
|
135,60
|
81300
|
W1=528770.40
rp=
=
0,06 (6%)
Второй способ построен на
использовании ожидаемой доходности ценных бумаг и включает вычисление ожидаемой
доходности портфеля как средневзвешенной ожидаемых доходностей ценных бумаг,
входящих в портфель. Относительные рыночные курсы ценных бумаг портфеля
используются в качестве весов:
Где:i - доля
начальной стоимости портфеля, инвестированная в i ценную бумагу;
ri - ожидаемая
доходность i ценной бумаги;- количество ценных бумаг в портфеле.
|
Наименование
ц/б
|
Доля
в начальной стоимости портфеля
|
Доходность
ц/б
|
Вклад
в ожидаемую доходность
|
|
Лукойл
|
35%
|
0,007
|
0,0024
|
|
Роснефть
|
10%
|
0,053
|
0,0053
|
|
Сбербанк
|
10%
|
0,135
|
0,0135
|
|
Газпром
|
16%
|
0,047
|
0,0075
|
|
Ростел-ао
|
12%
|
0,016
|
0,0019
|
|
Сургутнефтегаз
|
3%
|
0,014
|
0,0042
|
|
Уралкалий
|
14%
|
0,19
|
0,0266
|

Лукойл
0,007;

Роснефть
0,053;

Сбербанк
0,135;

Газпром
0,047;

Ростел-ао
0,016;

Сургутнефтегаз
0,014;

Уралкалий
0,09

p
Вывод: Доходность
портфеля 6%
Котировка цен Ц/Б Лукойл с
7.10.2010-11.11.2010 г.
Котировка цен Ц/Б Роснефть с
7.10.2010-11.11.2010 г.
Котировка цен Ц/Б Сургутнефтегаз с
7.10.2010-11.11.2010 г.
Котировка цен Ц/Б Сбербанк с
7.10.2010-11.11.2010 г.
Заключение
В курсовой работе были рассмотрены основные
принципы формирования инвестиционного портфеля и способы управления им.
Принципами формирования инвестиционного портфеля являются безопасность и
доходность вложений, их рост, ликвидность вложений. Цель любого инвестора -
найти наиболее приемлемое сочетание доходности и рисков.
При формировании инвестиционного портфеля
инвестор должен:
Выбрать адекватные ценные бумаги, то есть такие,
которые бы давали максимально возможную доходность и минимально допустимый
риск;
Важно определить, в ценные бумаги, каких
эмитентов следует вкладывать денежные средства;
Диверсифицировать инвестиционный портфель.
Инвестору целесообразно вкладывать деньги в различные ценные бумаги, а не в
один их вид. Это делается для того, чтобы снизить риск вложений. Но
диверсификация должна быть разумной и умеренной. Вложение в большое число
разнообразных ценных бумаг может повлечь за собой и большие расходы на
отслеживание необходимой информации для принятия инвестиционного решения.
Оценка эффективности управления портфелем,
проведенная определенным образом, может заставить инвесторов лучше соблюдать
интересы клиента, что, вероятно, скажется на управлении его портфелем в
будущем. Для оценки эффективность управления портфелем необходимо измерить
доходность и уровень его риска.
Формируя свой портфель, инвестор должен иметь,
некоторый механизм отбора для включения в портфель тех или иных видов ценных
бумаг, т.е. уметь оценивать их инвестиционные качества посредством методов
фундаментального и технического анализа. Основной задачей методов служит
выявление среди множества ценных бумаг той их совокупности, в которую можно
инвестировать средства, не подвергая свои вложения высокому риску.
Список
использованной литературы
1. Шарп У., Александер Г., Бейли Дж.
Инвестиции. - М. Инфра-М, 2007.
. Лукасевич И.Я. Анализ финансовых
операций. Методы, модели, техника вычислений.- М.:Финансы; ЮНИТИ, 2008.
. Бланк И.А. Основы инвестиционного
менеджмента. В 2 томах- 2-е изд., перераб. - К.: Эльга, Ника-Центр, 2009.
. Абрамова А.Е. Инвестиционные
фонды: доходность и риски, стратегии управления портфелем, объекты
инвестирования в России / Абрамова А.Е. - М.: Альпина Бизнес Букс, 2009.
. Боди З., Кейн А. Принципы
инвестиций. - М.: Вильямс, 2008.
. Буренин А.Н. Рынок ценных бумаг и
производных финансовых инструментов. - М.: НТО им. Вавилова, 2009.
. Алексеев М.Ю. Рынок ценных бумаг:
Учебник. - М.: 2007.
. Рухлов Алексей. Принципы
портфельного инвестирования. Учебное пособие. - М.: Финансы. Ценные бумаги. -
2009.
. Гитман Лоренс Дж., Джонк Майкл Д.
Основы инвестирования: Учебник. - М.: Инфра, 2008.
. Ковалева В.В., Иванова В.В.,
Лялина В.А. Инвестиции: Учебник. - М.: ООО «ТК Велби», 2009.
. Фабоцци Ф. Управление
инвестициями: Учебное пособие: Перев. с англ. - М.: Инфра-М, 2008.
. Бакрунов Ю.О. Проблемы эффективного
управления инвестиционным портфелем // Региональная экономика. - М.: 2007.