Статистические методы изучения кредита
Оглавление
Введение
Теоретическая часть
§1. Понятие и классификация кредита
§2. Показатели статистики кредита
§3. Система статистических
показателей
Расчетная часть
Аналитическая часть
Заключение
Список литературы
Введение
Кредит представляет собой форму движения
ссудного капитала, т.е. денежного капитала, предоставляемого в ссуду.
Кредит обеспечивает трансформацию денежного капитала и выражает отношения между
кредиторами и заемщиками. При его помощи свободные денежные капиталы и доходы
предприятий, личного сектора и государства аккумулируются, превращаясь в ссудный
капитал, который передается за плату во временное пользование.
Кредитные отношения реализуются через кредитную
систему.
Кредитная система представлена банковским,
потребительским, коммерческим, государственным, международным кредитом. Всем
этим видам кредита свойственны специфические формы отношений и методы
кредитования. Реализуют и организуют отношения специализированные учреждения,
образующие кредитную систему. Ведущим звеном кредитной системы являются банки.
В народном хозяйстве для управления процессами
кредитования, выявления тенденций и закономерностей необходима статистическая
информация о кредитных вложениях и кредитных ресурсах, ее составе по видам
ссудозаемщиков, в разрезе отраслей и форм собственности, о размерах и составе
просроченных ссуд, об эффективности ссуд, оборачиваемости кредитов.
Сбором, обработкой и анализом информации об
экономических и социальных процессах в кредитовании занимается банковская
статистика. Она разрабатывает программы статистических наблюдений,
совершенствует систему показателей, методологию их исчисления и анализа, методы
статистического анализа конкретных явлений. Статистика кредита занимается также
обобщением сведений о кредитовании, выявлением закономерностей, изучением
взаимосвязи использования кредитных ресурсов с эффективностью использования
оборотных средств и т.п.
Кредитные ресурсы состоят из средств банков,
временно свободных денежных средств бюджета, предприятий и населения. Средства
банков складываются из уставного капитала, резервного и специальных фондов.
Средства предприятий состоят из остатков средств на расчетных и специальных
счетах, из средств заказчиков для расчета за выполненные работы, услуги, а
также средств в расчетах. Средства населения характеризуются остатками средств
на счетах в сберегательных и коммерческих учреждениях. При определении размера
кредитных ресурсов принимаются во внимание также ресурсы, мобилизуемые в
процессе внешнеэкономической деятельности, остатки средств на счетах бюджетных
учреждений и страховых организаций. Средства банков, временно свободные
денежные средства бюджетных учреждений, предприятий, населения, страховых
организаций и ресурсы от внешнеэкономической деятельности в совокупности
образуют ссудный фонд государства.
Теоретическая
часть
§1.
Понятие и классификация кредита
Кредит
(латинское creditum - ссуда, от credo - верю, доверяю) - предоставление на
основе возвратности, срочности и, как правило, с выплатой процентов финансовых
ресурсов одним хозяйствующим субъектом другому.
Видами кредита
в Российской Федерации являются:
Банковский кредит
- кредит, предоставляемый кредитными учреждениями заемщиком в виде денежных
ссуд.
Коммерческий кредит
- кредит, предоставляемый производителями друг другу в виде отсрочки платежа за
проданные товары.
Государственный кредит
- средства, привлеченные государством в виде займов, эмиссии ценных бумаг.
Межбанковский кредит
- размещаемые банками друг у друга денежные средства в форме депозитов и на
короткие сроки.
По срочности различают краткосрочный (на
срок до одного года), среднесрочный (от одного года до пяти лет) и долгосрочный
(свыше пяти лет) кредиты.
По обеспеченности кредиты могут быть
обеспеченными и необеспеченными. Обеспечение кредита может быть персональным,
банковским, государственным. Обеспечение предполагает наличие того или иного
залога (векселя, товарные документы, ценные бумаги, недвижимость и т.д.),
гарантии или его страхование. Гарантия - это согласие третьей стороны
погасить кредит в случае, если заемщик не способен сделать это сам. Как
источник погашения кредита гарантия надежна настолько, насколько гарант
способен и желает погасить кредит. Гарантии могут быть безусловными или
условными, покрывающими всю сумму кредита или только часть, могут быть
оформлены договором или передаточной надписью.
По направлениям использования ссуды бывают
потребительскими, промышленными, на формирование оборотных средств,
инвестиционными, сезонными, на устранение временных финансовых трудностей,
промежуточными, на операции с ценными бумагами, импортными, экспортными.
По способу предоставления различают кредиты:
вексельные, при помощи открытых счетов, кредитные линии, возобновляемые
(револьверные), обращаемые (роловерные), сезонные, консигнации.
В зависимости от размера ссуды бывают мелкими,
средними, крупными. Их размер относителен и зависит от возможностей кредитора
(соотношение размеров его уставного капитала, возможностей и конъюнктуры
рынка).
В зависимости от уровня кредитного риска
(вероятность невозврата кредита и процентов по нему в срок, отраженная в
кредитном договоре заемщиком по причине его неплатежеспособности) ссуды бывают
стандартными (безрисковыми), нестандартными (по которым существует умеренный
риск их невозврата), сомнительными и безнадежными.
Посредством кредита физическое или юридическое
лицо (кредитор или заимодавец) предоставляет средства на срок за определенное
вознаграждение (процент) другому лицу - физическому или юридическому (должнику
или заемщику). Кредитор приобретает финансовое требование, а должник принимает
обязательство.
Кредитные отношения
- это экономические отношения по поводу аккумуляции и предоставления в ссуду
временно свободных денежных средств на условиях возвратности, срочности и
платности.
Кредит является средством межотраслевого и
межрегионального перераспределения денежного капитала. Цель кредитной
политики - воздействие на экономическую конъюнктуру с помощью
кредита. Кредитная политика направлена либо на стимулирование кредита
(кредитная экспансия), либо на его ограничение (кредитная рестрикция). При
регулировании кредитования Центральный банк использует такой прием, как
изменение объема кредитов и уровня процентных ставок на рынке ссудного
капитала.
Задачи статистики кредита предопределены, прежде
всего, функциями кредита. Основные функции кредита включают:
1) перераспределение денежных потоков и
капиталов и выравнивание нормы прибыли;
2) аккумулирование свободных финансовых
ресурсов с последующей капитализацией и передачей в пользование заемщикам на
платной основе;
) экономию издержек обращения,
обеспечивающую снижение удельного веса непроизводительного (денежного и
товарного) капитала и повышение удельного веса производительного капитала;
) обслуживание некоторых видов платежей и
расчетов для физических лиц и институциональных единиц;
) осуществление ряда специальных
финансовых операций (трастовых, по обслуживанию механизма вексельного обращения
или сделок с недвижимостью);
) централизацию и концентрацию денежных
потоков (капитала).
В условиях современного рыночного хозяйства на
основе кредита аккумулируются не только денежный капитал, высвободившийся в
процессе воспроизводства промышленного и товарного капитала, но и денежные
доходы и сбережения различных социальных групп общества, временно свободные
средства государства.
Использование указанных средств на началах
кредита также не ограничивается обслуживанием кругооборота промышленного и
товарного капитала. Однако закономерности кругооборота этих капиталов
предопределяют особенности движения кредита во всех его формах независимо от
того, кто выступает субъектом кредитных отношений.
В качестве субъектов кредитных отношений
выступают кредитор и заемщик.
Кредиторы
- лица, имеющие по отношению к должнику права требования по денежным
обязательствам и иным обязательствам, об уплате обязательных платежей, о
выплате выходных пособий и об оплате труда лиц, работающих по трудовому
договору.
Кредиторами могут стать субъекты, выдающие
ссуду, т. е. реально предоставляющие нечто во временное пользование. Для этого
чтобы выдать ссуду, кредитору необходимо располагать определенными средствами.
Их источниками могут стать как собственные накопления, так и ресурсы,
позаимствованные у других субъектов воспроизводственного процесса. Во всех
случаях кредитор является собственником ссужаемых средств и за передачу их во временное
пользование он получает ссудный процент.
Заемщики
- получатель кредита, займа, принимающий на себя обязательство, гарантирующий
возвращение временно заимствованных средств, оплату предоставленного кредита.
С образованием банков происходит концентрация не
только кредиторов, но и значительное расширение состава заемщиков. В
современных условиях помимо банков заемщиками выступают предприятия, население
и государство. Традиционно банки при этом становятся коллективными заемщиками,
поскольку занимают не для себя, а для других.
В рамках кредитных отношений один и тот же
экономический субъект может одновременно выступать и как кредитор, и как
заемщик. В тех случаях, когда предприятие получает в банке ссуду, банк
выступает кредитором, а предприятие - заемщиком. Если предприятие хранит деньги
в банке, то кредитором выступает предприятие, а заемщиком - банк.
Отношения между кредитором и заемщиком строятся
как отношения юридически самостоятельных субъектов, обеспечивающих
имущественную ответственность друг перед другом. В основе отношений между
кредитором и заемщиком лежит взаимный экономический интерес к передаче
стоимости во временное пользование.
Экономическая зависимость от кредитора
заставляет заемщика рационально использовать ссуженные средства, выполнять свои
обязательства как ссудополучателя. Даже возвратив ссуженные средства, а также
уплатив приращение к ним в виде ссудного процента, заемщик не утрачивает своей
зависимости от заимодавца: потенциально в своем прежнем кредиторе он видит
нового кредитора, а поэтому должен полностью выполнить все обязательства,
вытекающие из договора о ссуде, создав основание для очередного получения
кредита.
Занимая зависимое от кредитора положение,
заемщик не теряет своей значимости в кредитной сделке как полноправной стороны.
Без заемщика не может быть и кредитора. Заемщик должен не только получить, но и
использовать полученные во временное пользование ресурсы, причем таким образом,
чтобы полностью рассчитываться по своим долгам. В этом смысле заемщик - такая
производительная сила, от которой зависит эффективное применение ресурсов,
полученных во временное пользование.
Помимо кредиторов и заемщиков, элементом
структуры кредитных отношений является объект передачи - то, что передается от
кредитора к заемщику и что совершает свой обратный путь от заемщика к
кредитору. Объектом передачи выступает ссуженная стоимость, как особая часть
стоимости. Прежде всего она представляет собой своеобразную нереализованную
стоимость.
§2.
Показатели статистики кредита
Статистика кредита занимается сбором и
обработкой информации о кредитных вложениях и кредитных ресурсах, о размерах и
составе просроченных ссуд, об эффективности ссуд в научно-технических
мероприятиях, об оборачиваемости кредитов. В задачи статистики кредита входят
характеристика кредитной политики банка, статистическое изучение форм кредита,
изучение ссудного процента.
Кредит охватывает движение каждого капитала
обычно лишь в денежной форме. Благодаря кредиту в хозяйстве эффективно
используются средства, высвобождаемые в ходе работы предприятий, в процессе
выполнения государственного бюджета, а также сбережения отдельных граждан и
ресурсы банков.
К наиболее важным показателям отечественной
статистики банковского кредита относятся:
· общий размер кредитования банками
отраслей экономики и населения с выделением краткосрочного и долгосрочного
кредитования;
· доля краткосрочных и долгосрочных
кредитов в общей сумме кредитных вложений;
· просроченная задолженность
предприятий и хозяйственных организаций по ссудам банков;
· процент за кредит и ставка
рефинансирования Центрального Банка Российской Федерации.
Общий размер кредитования
банками отраслей экономики и населения определяется за вычетом погашенной суммы
кредита (возврата денежных средств) банку, т.е. в виде остатка ссуд на определенный
момент времени (года, квартала, месяца).
Для изучения динамики кредитных вложений не
только используются индексы, характеризующие изменения номинальных объемов
кредитных вложений, но и определяется динамика кредитных вложений с
корректировкой на размер инфляции. В аналитических целях данные об объемах
кредитных ресурсов дефлятируются на индекс-дефлятор ВВП или на индекс
потребительских цен (ИЦП).
Для анализа структуры кредитования следует
выделить отрасли и отдельно население, получающие ссуды банков. Важное
аналитическое значение имеет группировка кредитов на краткосрочные и
долгосрочные.
Представление об эффективности государственных
кредитных операций дает показатель (Эг.кред), характеризующий
процентное отношение суммы превышения поступления над расходами по системе
государственного кредита:
где Пг.кред - поступления по системе
государственного кредита,
Рг.кред - расходы по системе
государственного кредита.
Так как кредит предоставляется конкретному
заемщику только при условии его кредитоспособности и платежеспособности, анализ
уровня кредитоспособности клиента (или уровня кредитного риска для заемщика) -
важнейшая составляющая аналитической работы. Существуют основные (желательные)
требования к заемщикам, характеристики которых должны отвечать следующим
нормативным показателям:
· коэффициент автономии (Ка) -
отношение общей величины собственных средств к итогу финансового баланса;
оптимальное значение Ка = 0,5-0,6
· коэффициент маневренности (Км) -
отношение собственного оборотного капитала к собственному капиталу заемщика;
величина Км не должна быть меньше 0,5
· коэффициент покрытия (Кп) -
отношение суммы оборотных средств заемщика к сумме краткосрочной задолженности;
Кп должен быть не меньше 2,0-2,5
· коэффициент ликвидности (Кл) -
отношение суммы средств высокой и средней ликвидности к краткосрочной
задолженности; Кл должен быть не меньше 0,6
· коэффициент иммобилизации (Ким) -
отношение основного капитала за вычетом износа к итогу баланса заемщика; Ким не
должен превышать 0,5
· коэффициент модернизации (Кмод) -
отношение начисленной модернизации к первоначальной стоимости основного
капитала клиента, включая нематериальные активы; Кмод оптимальное значение
равняется 0,3-0,5
· коэффициент задолженности (Кз) - отношение
величины заемных средств к сумме собственного капитала; оптимальное значение
примерно 0,3-0,5.
§3.
Система статистических показателей
Кредитные вложения в экономику - ссуды,
предоставленные банковской системой экономике РФ. В настоящее время кредитование
осуществляется как за счет собственных средств коммерческих банков, так и за
счет средств Банка России, предоставляемых через коммерческие банки
предприятиям и организациям для финансирования федеральных и межгосударственных
целевых программ.
Кредитные вложения представляют собой ссуды,
выдаваемые банковскими учреждениями предприятиям, организациям и населению для
производственного и социального развития.
Потребительские кредиты населению выдаются для
индивидуального жилищного строительства, строительства дач и освоения садовых
участков, приобретения товаров, для неотложных и других нужд.
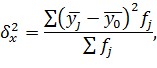
Для характеристики кредитных отношений
статистика использует показатели размера, состава, динамики кредитных вложений,
изучает взаимосвязь кредитных вложений с показателями объема производства,
капитальных вложений, размера товарно-материальных ценностей.
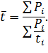
Средний размер кредита (ссуды) определяется по
формуле средней арифметической взвешенной (без учета числа оборотов за
год):
где
-
средний размер ссуды;
Pi
- размер i-й ссуды;
ti
- срок i-й ссуды.
Средний срок пользования ссудами (
),
т.е. время, в течение которого все ссуды оборачиваются один раз при условии их
непрерывной оборачиваемости, определяется по формулам:
· средней арифметической взвешенной (при
этом весами являются размеры выданных ссуд):
· средней гармонической взвешенной
(когда вместо размеров ссуд известна продолжительность одного оборота каждой
ссуды):
Среднее число оборотов ссуд за год составит:
где ni
- число оборотов i-й ссуды за
год;
Д - число дней (месяцев) в году.
Пример 1.
Коммерческий банк выдал предприятию четыре кредита.
|
Параметр
|
Ссуда
№1
|
Ссуда
№2
|
Ссуда
№3
|
Ссуда
№4
|
Итого
|
|
Размер
ссуды (Pi),
тыс. руб.
|
100
|
50
|
80
|
120
|
350
|
|
Срок
ссуды (ti),
мес.
|
6
|
4
|
3
|
7
|
20
|
Определить:
) средний размер кредита;
) средний срок пользования кредитом (при
условии их непрерывной оборачиваемости);
) среднее число оборотов ссуд за год.
Решение.
1. Средний размер кредита составил:
. Средний срок пользования ссудами равен:
3. Среднее число оборотов ссуд за год
равно:
Наряду со средними величинами выявляется доля
просроченной задолженности.
За пользование кредитом взимается плата в
размере процентных ставок.
Средняя процентная годовая ставка
кредита (
):
где i
- годовая ставка i-й ссуды,
ti
- срок i-й ссуды (в годах).
Пример 2.
Имеются следующие данные
|
Сумма
кредита Pi,
тыс. руб.
|
Срок
кредита ti
|
Годовая
процентная ставка i
|
|
месяцев
|
лет
|
|
|
50
|
3
|
0,4
|
30
|
|
100
|
6
|
0,5
|
25
|
Определить среднюю процентную ставку по двум
кредитам.
Решение.
Средняя процентная годовая ставка по двум кредитам:
В качестве показателей динамики при сравнении
можно использовать цепные, базисные и среднегодовые темпы роста и прироста,
коэффициент опережения и эластичности.
Состав кредитных вложений изучают по целевому
назначению, формам собственности, территориям, категориям заемщиков,
экономическим секторам, срока погашения, видам остатков задолженности и другим
признакам.
Большое внимание в статистике уделяется
показателям долгосрочных ссуд: остаткам задолженности, суммам выданных ссуд, их
составу и динамике.
Самостоятельным объектом в статистике кредита
является изучение простроченных ссуд по их объему, составу и динамике.
По состоянию на конец года определяют по банку в
целом:
) абсолютную сумму просроченных кредитов
(остатков задолженности):
2) относительные показатели просроченной
задолженности по ссудам:) по сумме:
) по
сроку:
где tiпр
- число просроченных дней по погашению i-го
кредита.) по сумме и сроку (интегральные средневзвешенный показатель
просроченной задолженности):
Выявление статистических закономерностей в
поведении ссудной задолженности является важным средством улучшения уровня
управления кредитными отношениями.
Пример 3.
Известны следующие данные по коммерческому банку
|
Заемщик
|
1998
г.
|
На
1 января 2000 г.
|
|
|
Сумма
выданных кредитов Pi,
тыс. руб.
|
Сроки
ti,
дни
|
Просроченная
задолженность Pi
пр., тыс. руб.
|
Число
просроченных дней ti
|
|
ЧП
«Иванов»
|
40
|
180
|
8
|
10
|
|
ЧП
«Петров»
|
60
|
90
|
12
|
30
|
Определить по банку в целом:
) абсолютную сумму просроченных кредитов;
) относительные показатели просроченной
задолженности: по сумме, по сроку, по сумме и по сроку.
Решение.
1. Абсолютная сумма просроченных кредитов:
. Относительные показатели просроченной
задолженности:
а) по сумме:
б) по срокам:
в) по сумме и сроку (интегральные показатель
просроченной задолженности):
Основным источником статистической информации о
кредитах, взаимоотношениях между банком и клиентом является финансовая
отчетность.
Финансовая отчетность отражает аналитические
виды кредитных договоров, сумму учтенных банком векселей и т.д., сведения о
крупных кредитах и кредитах, предоставленных акционерам (участникам); данные о
кредитном портфеле банка, сгруппированные по клиентам - юридическим лицам (по
видам деятельности) и физическим лицам.
кредит заемщик статистика
дебиторский задолженность
Расчетная
часть
Имеются следующие выборочные данные о
кредиторской и дебиторской задолженностях предприятий региона (выборка 5%-ная
механическая) на конец года, тыс. руб.:
|
№
предприятия п/п
|
Просроченная
дебиторская задолженность
|
Кредиторская
задолженность
|
|
1
|
2
671,1
|
9
243,8
|
|
2
|
141,5
|
27
113,7
|
|
3
|
125,5
|
4
119,9
|
|
4
|
126,5
|
4
132,8
|
|
5
|
134,5
|
4
140,8
|
|
6
|
115,0
|
4
106,0
|
|
7
|
157,1
|
8
254,8
|
|
8
|
2
557,6
|
17
291,2
|
|
9
|
2
587,1
|
28
362,0
|
|
10
|
2
582,5
|
18
446,1
|
|
11
|
4
024,5
|
10
046,2
|
|
12
|
2
490,3
|
14
215,5
|
|
13
|
5
010,9
|
18
257,3
|
|
14
|
6
884,5
|
18
570,7
|
|
15
|
5
608,8
|
10
245,6
|
|
16
|
2
487,3
|
10
308,2
|
|
17
|
6
337,9
|
12
009,9
|
|
18
|
2
595,5
|
12
442,1
|
|
19
|
4
105,3
|
17
013,8
|
|
20
|
4
813,6
|
16
301,0
|
|
21
|
6
900,5
|
22
564,6
|
|
22
|
6
461,4
|
23
169,4
|
|
23
|
8
389,7
|
19
642,8
|
|
24
|
11
613,6
|
22
862,5
|
|
25
|
5
284,1
|
27
761,5
|
|
26
|
7
656,1
|
28
107,6
|
|
27
|
7
546,5
|
18
390,4
|
|
28
|
11
596,9
|
22
066,0
|
|
29
|
11
980,0
|
23
186,8
|
|
30
|
8
125,3
|
25
836,0
|
|
31
|
7
017,0
|
22
944,0
|
|
32
|
10
550,6
|
22
932,2
|
|
33
|
7
410,6
|
23
064,0
|
Задание 1
Признак - кредиторская задолженность.
Число групп - пять.
Задание 2
Связь между признаками - сумма
просроченной дебиторской задолженности и сумма кредиторской задолженности.
Задание 3
С вероятностью 0,954 вычислите:
. Ошибку выборки среднего значения
кредиторской задолженности и границы, в которых будет находиться среднее
значение коэффициента в генеральной совокупности.
. Ошибку выборки доли предприятий с
кредиторской задолженностью 18659,6 тыс. руб. и более и границы, в которых
будет находиться генеральная доля.
Задание 4
Размер кредита на мероприятие по техническому
перевооружению и реконструкции двух предприятий фирмы составил соответственно 6
млн. и 5 млн. руб., а прирост прибыли - 2,75 млн. и 1,8 млн. руб.
Определите:
. Уровень эффективности кредита
мероприятия по техническому перевооружению по каждому предприятию фирмы.
. Превышение прироста прибыли на
предприятии 1 по сравнению с предприятием 2 за счет различий в уровне
эффективности кредита и размере выданного кредита.
Задание 1.
Признак - кредиторская задолженность.
Число групп - пять.
Решение.
Необходимо построить ряд распределения по
кредиторской задолженности, образовав пять групп с равными интервалами.
. Определим ширину группировочного ряда:
где Xmax
и Xmin
наибольшее
и наименьшее значения признака в исследуемой совокупности, n
- число групп интервального ряда.
При заданных n=5,
Xmax=28
362,0
тыс. руб., Xmin=4
106,0
тыс. руб.
2. Определим границы группировочных
интервалов:
Xmin - Xmax +
i
,0 - 4106,0
+ 4851,2 = 8957,2
8957,2 - 8957,2 + 4851,2
= 13808,4
,4 - 13808,4 + 4851,2 = 18659,6
,6 - 18659,6 + 4851,2 = 23510,8
,8 - 23510,8 + 4851,2 = 28362,0
Таблица 1. Группированные интервалы.
|
Номер
группы
|
Нижняя
граница, тыс. руб.
|
Верхняя
граница, тыс. руб.
|
|
1
|
4106,0
|
8957,2
|
|
2
|
8957,2
|
13808,4
|
|
3
|
13808,4
|
18659,6
|
|
4
|
23510,8
|
|
5
|
23510,8
|
28362,0
|
Распределим единицы
совокупности по группам:
Выполняется с помощью рабочей таблицы.
Таблица 2. Рабочая таблица.
|
4106,0-8957,2
|
8957,2-13808,4
|
13808,4-18659,6
|
18659,6-23510,8
|
23510,8-28362,0
|
|
4119,9
|
9234,8
|
17291,2
|
22564,6
|
27113,7
|
|
4132,8
|
10046,2
|
18446,1
|
23169,4
|
28362,0
|
|
4140,8
|
10245,6
|
14215,5
|
19642,8
|
27761,5
|
|
4106,0
|
10308,2
|
18257,3
|
22862,5
|
28107,6
|
|
8254,8
|
12009,9
|
18570,7
|
22066,0
|
25836,0
|
|
12442,1
|
17013,8
|
23186,8
|
|
|
|
63301,0
|
22944,0
|
|
|
|
18390,4
|
22932,2
|
|
|
|
|
23064,0
|
|
|
5
|
6
|
8
|
9
|
5
|
По данным рабочей таблицы заполняем таблицу ряда
распределения по кредиторской задолженности.
Таблица 3. Таблица ряда
распределения.
|
Группы
предприятий по кредиторской задолженности
|
Число
предприятий
|
Число
предприятий в %-ах к итогу
|
Число
предприятий в нарастающем итоге
|
|
4106,0-8957,2
|
5
|
|
5
|
|
8957,2-13808,4
|
6
|
|
5
+ 6 = 11
|
|
13808,4-18659,6
|
8
|
|
5
+ 6 + 8 = 19
|
|
18659,6-23510,8
|
9
|
|
5
+ 6 + 8 + 9 = 28
|
|
23510,8-28362,0
|
5
|
|
5
+ 6 + 8 + 9 + 5 = 33
|
|
Итого
|
33
|
100
|
-
|
Конкретное значение моды для интервального ряда
рассчитывается по формуле:
где xMo
- нижняя граница модального интервала,
h
- величина модального интервала,
fMo
- частота модального интервала,
fMo-1
- частота интервала, предшествующего модальному,
fMo+1
- частота интервала, следующего за модальным.
Согласно табл. 2 модальным интервалом
построенного ряда является интервал 18659,6-23510,8 тыс. руб., так как его
частота максимальна (f4
= 9).
В интервальном вариационном ряду модой
приближенно считается центральной значение модального интервала
(имеющего наибольшую частоту). Более точно моду можно определить графическим
методом по гистограмме ряда (рис. 1).
Медиану можно определить графическим методом по
кумулятивной кривой (рис. 2). Кумулята строится по накопленным частотам (табл.
3).
Рисунок 2. Определение медианы
графическим методом
Конкретное значение медианы для интервального
ряда рассчитывается по формуле:
где xMe
-
нижняя граница медианного интервала,
h
- величина медианного интервала,
- сумма всех
частот,
fMe
- частота медианного интервала,
SMe-1
- кумулятивная (накопленная) частота интервала, предшествующего медианному.
Для расчета медиан необходимо определить
медианный интервал, для чего используются накопленные частоты. Так как медиана
делит численность ряда пополам, она будет располагаться в том интервале, где
накопленная частота впервые равна полусумме всех частот
или
превышает ее (т.е. все предшествующие накопленные частоты меньше этой
величины).
Медианным интервалом является интервал
13808,4-18659,6 тыс. руб., так как именно в этом интервале накопленная частота Sj
=
19 впервые превышает величину, равную половине численности единиц совокупности
.
Расчет значения медианы:
Рисунок 3. Полигон ряда
распределения.
Вывод.
Анализ интервального ряда распределения изучаемой совокупности предприятий
показывает, что распределение предприятий по кредиторской задолженности не
является равномерным: большинство предприятий имеют кредиторскую задолженность
от 18596,6 до 23510,8 тыс. руб. Наименьшее число предприятий (пять) имеют
кредиторскую задолженность 4106,0-8957,2 и 23510,8-28362,0 тыс. руб.
Задание 2.
По исходным данным и данным из задания 1
определить связь между признаками сумма просроченной дебиторской задолженности
и сумма кредиторской задолженности и выполнить аналитическую группировку,
образовав пять групп с равными интервалами.
Решение.
1. Определим факторный признак.
За факторный признак принимаем кредиторскую
задолженность.
Сгруппируем интервалы по кредиторской
задолженности.
Таблица 4. Сгруппированные интервалы
по кредиторской задолженности.
|
Группы
предприятий по кредиторской задолженности
|
Число
предприятий
|
Число
предприятий в %-ах к итогу
|
Число
предприятий в нарастающем итоге
|
|
4106,0-8957,2
|
5
|
15,2
|
5
|
|
8957,2-13808,4
|
6
|
18,2
|
11
|
|
13808,4-18659,6
|
8
|
24,2
|
19
|
|
18659,6-23510,8
|
9
|
27,2
|
28
|
|
23510,8-28362,0
|
5
|
15,2
|
33
|
|
Итого
|
33
|
100
|
-
|
. Составим типологическую группировку.
Таблица 5. Типологическая
группировка.
|
4106,0-8957,2
|
8957,2-13808,4
|
13808,4-18659,6
|
18659,6-23510,8
|
23510,8-28362,0
|
|
Просроченная
дебиторская задолженность
|
Кредиторская
задолженность
|
Просроченная
дебиторская задолженность
|
Кредиторская
задолженность
|
Просроченная
дебиторская задолженность
|
Кредиторская
задолженность
|
Просроченная
дебиторская задолженность
|
Кредиторская
задолженность
|
Просроченная
дебиторская задолженность
|
Кредиторская
задолженность
|
|
125,5
|
4119,9
|
2671,1
|
9234,8
|
2557,6
|
17291,2
|
6900,5
|
22564,6
|
141,5
|
27113,7
|
|
126,5
|
4132,8
|
4024,5
|
10046,2
|
2582,5
|
18446,1
|
6461,4
|
23169,4
|
2587,1
|
28362,0
|
|
134,5
|
4140,8
|
2487,3
|
10245,6
|
2490,3
|
14215,5
|
8389,7
|
19642,8
|
5284,1
|
27761,5
|
|
115,0
|
4106,0
|
5608,8
|
10308,2
|
5010,9
|
18257,7
|
11613,6
|
22862,5
|
7656,1
|
28107,6
|
|
157,1
|
8254,8
|
6337,9
|
12009,9
|
6884,5
|
18570,7
|
11596,9
|
22066,0
|
8125,3
|
25836,0
|
|
|
2595,5
|
12442,1
|
4105,3
|
17013,8
|
11980,0
|
23186,8
|
|
|
|
|
|
|
4813,6
|
16301,0
|
7017,0
|
22944,0
|
|
|
|
|
|
|
7546,5
|
18390,4
|
10550,6
|
22932,2
|
|
|
|
|
|
|
|
|
7410,6
|
23064,0
|
|
|
|
658,6
|
5
|
23725,1
|
6
|
35991,2
|
8
|
81920,3
|
9
|
23794,1
|
5
|
. Составим аналитическую таблицу.
Таблица 6. Аналитическая таблица.
|
Группы
по кредиторской задолженности
|
Число
предприятий
|
Просроченная
дебиторская задолженность
|
|
|
|
всего
|
на
1 предприятие
|
|
4106,0-8957,2
|
5
|
658,6
|
|
|
8957,2-13808,4
|
6
|
23725,1
|
|
|
13808,4-18659,6
|
8
|
35991,2
|
|
|
18659,6-23510,8
|
9
|
81920,3
|
|
|
23510,8-28362,0
|
5
|
23794,1
|
|
|
Итого
|
33
|
166089,3
|
|
Применение метода корреляционной
таблицы.
Корреляционная таблица представляет собой
комбинацию двух рядов распределения. Строки таблицы соответствуют группировке
единиц совокупности по факторному признаку Х, а графы - группировке
единиц по результативному признаку Y.
На пересечении j-ой
строки и k-ой
графы указывается число единиц совокупности, входящих в j-ый
интервал по факторному признаку и в k-ый
интервал по результативному признаку. Концентрация частот около диагонали
построенной таблицы свидетельствует о наличии корреляционной связи между
признаками. Связь прямая, если частоты располагаются по диагонали, идущей от
левого верхнего угла к правому нижнему. Расположение частот по диагонали от
правого верхнего угла к левому нижнему говорит об обратной связи.
Для построения корреляционной таблицы необходимо
знать величины и границы интервалов по двум признакам X и Y.
Величина интервала и границы интервалов для факторного признака Х - Кредиторская
задолженность известны из табл. 2. Для результативного признака Y - Просроченная
дебиторская задолженность величина интервала определяется по формуле (1)
при k
=
5,
уmax
=11980 тыс. руб., уmin
= 115 тыс. руб.:
115 - 115 + 2 373 = 2 488
488 - 2 488 + 2 373 = 4 861
861 - 4 861 + 2 373 = 7 234
234 - 7 234 + 2 373 = 9 607
607 - 9 607 + 2 373 = 11
980
Таблица 7. Границы признака -
Просроченная дебиторская задолженность
|
Номер
группы
|
Нижняя
граница, тыс. руб.
|
Верхняя
граница, тыс. руб.
|
|
1
|
115
|
2488
|
|
2
|
2488
|
4861
|
|
3
|
4861
|
7234
|
|
4
|
7234
|
9607
|
|
5
|
9607
|
11980
|
Подсчитывая с использованием принципа полуоткрытого
интервала число банков, входящих в каждую группу (частоты групп),
получаем интервальный ряд распределения результативного признака
(табл. 8).
Таблица 8. Интервальный ряд
распределения результативного признака
|
Группы
предприятий по просроченной дебиторской задолженности
|
Число
предприятий в группе
|
|
115
- 2488
|
7
|
|
2488
- 4861
|
9
|
|
4861
- 7234
|
8
|
|
7234
- 9607
|
5
|
|
9607
- 11980
|
4
|
Используя группировки по факторному и
результативному признакам, строим корреляционную таблицу (табл. 9).
Таблица 9. Корреляционная таблица
|
Группы
предприятий по кредиторской задолженности, тыс. руб.
|
Группы
предприятий по просроченной дебиторской задолженности, тыс. руб.
|
|
|
115
- 2488
|
2488
- 4861
|
4861
- 7234
|
7234
- 9607
|
9607
- 11980
|
Итого
|
|
4106,0-8957,2
|
5
|
|
|
|
|
5
|
|
8957,2-13808,4
|
2
|
3
|
2
|
|
|
7
|
|
13808,4-18659,6
|
|
4
|
2
|
1
|
|
7
|
|
18659,6-23510,8
|
|
|
3
|
2
|
4
|
9
|
|
23510,8-28362,0
|
1
|
1
|
1
|
2
|
|
5
|
|
Итого
|
8
|
8
|
8
|
5
|
4
|
33
|
Вывод. По
результатам данных таблиц 6 и 9 можно сделать вывод, что между просроченной
дебиторской задолженностью и кредиторской задолженностью существует прямая
корреляционная взаимосвязь.
Значение показателя изменяются в пределах
Чем
ближе значение
к 1, тем теснее
связь между признаками. Для качественной оценки тесноты связи на основе
служит
шкала Чэддока (табл. 10):
Таблица 10. Шкала Чэддока
|
h
|
0,1
- 0,3
|
0,3
- 0,5
|
0,5
- 0,7
|
0,7
- 0,9
|
0,9
- 0,99
|
|
Характеристика
силы связи
|
Слабая
|
Умеренная
|
Заметная
|
Тесная
|
Весьма
тесная
|
Общая дисперсия
характеризует
вариацию результативного признака, сложившуюся под влиянием всех действующих на
Y факторов
(систематических и случайных). Этот показатель вычисляется по формуле:
где yi
- индивидуальные значения результативного признака,
- общая средняя
значений результативного признака,
n - число единиц
совокупности.
Общая средняя
вычисляется
как средняя арифметическая простая по всем единицам совокупности:
Для расчета общей дисперсии
применяется
вспомогательная таблица 11.
Таблица 11. Вспомогательная таблица
|
№
предприятия п/п
|
Просроченная
дебиторская задолженность
|
|
|
|
|
1
|
2
671,1
|
-2361,91
|
5578618,8481
|
7134775,21
|
|
2
|
141,5
|
-4891,51
|
23926870,0801
|
20022,25
|
|
3
|
125,5
|
-4907,51
|
24083654,4001
|
15750,25
|
|
4
|
126,5
|
-4906,51
|
24073840,3801
|
16002,25
|
|
5
|
134,5
|
-4898,51
|
23995400,2201
|
18090,25
|
|
6
|
115,0
|
-4918,01
|
24186822,3601
|
13225
|
|
7
|
157,1
|
-4875,91
|
23774498,3281
|
24680,41
|
|
8
|
2
557,6
|
-2475,41
|
6127654,6681
|
6541317,76
|
|
9
|
2
587,1
|
-2445,91
|
5982475,7281
|
6693086,41
|
|
10
|
2
582,5
|
-2450,51
|
6004999,2601
|
6669306,25
|
|
11
|
4
024,5
|
-1008,51
|
1017092,4201
|
16196600,25
|
|
12
|
2
490,3
|
-2542,71
|
6465374,1441
|
6201594,09
|
|
13
|
5
010,9
|
-22,11
|
488,8521
|
25109118,81
|
|
14
|
6
884,5
|
1851,49
|
3428015,2201
|
47396340,25
|
|
15
|
5
608,8
|
575,79
|
331534,1241
|
31458637,44
|
|
16
|
2
487,3
|
-2545,71
|
6480639,4041
|
6186661,29
|
|
17
|
6
337,9
|
1304,89
|
1702737,9121
|
40168976,41
|
|
18
|
2
595,5
|
-2437,51
|
5941455,0001
|
6736620,25
|
|
19
|
4
105,3
|
-927,71
|
860645,8441
|
16853488,09
|
|
20
|
4
813,6
|
-219,41
|
48140,7481
|
23170744,96
|
|
21
|
6
900,5
|
1867,49
|
3487518,9001
|
47616900,25
|
|
22
|
6
461,4
|
1428,39
|
2040297,9921
|
41749689,96
|
|
23
|
8
389,7
|
6580,59
|
43304164,7481
|
70387066,09
|
|
24
|
11
613,6
|
6573,99
|
43217344,5201
|
134875704,96
|
|
25
|
5
284,1
|
251,09
|
63046,1881
|
27921712,81
|
|
26
|
7
656,1
|
2623,09
|
6880601,1481
|
58615867,21
|
|
27
|
7
546,5
|
2513,49
|
6317631,9801
|
56949662,25
|
|
28
|
11
596,9
|
6563,89
|
43084651,9321
|
134488089,61
|
|
29
|
11
980,0
|
6946,99
|
48260670,0601
|
143520400
|
|
30
|
8
125,3
|
3092,29
|
9562257,4441
|
66020500,09
|
|
31
|
7
017,0
|
1983,99
|
3936216,3201
|
49238289
|
|
32
|
10
550,6
|
5517,59
|
30443799,4081
|
111315160,36
|
|
33
|
7
410,6
|
2377,59
|
5652934,2081
|
54916992,36
|
|
Итого
|
166 089,30
|
3 217,27
|
440 262 092,79
|
1 244 241 072,83
|
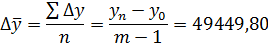
Расчет общей дисперсии:
Межгрупповая дисперсия
измеряет систематическую
вариацию результативного признака, обусловленную влиянием
признака-фактора Х (по которому произведена группировка). Воздействие
фактора Х на результативный признак Y проявляется
в отклонении групповых средних
от общей средней
. Показатель
вычисляется
по формуле:
где
- групповые средние,
- общая
средняя,
- число
единиц в j-ой группе, k - число
групп.
Для расчета межгрупповой дисперсии
строится
вспомогательная таблица 12. При этом используются групповые средние значения
из табл. 6
|
Группы
предприятий по кредиторской задолженности
|
Число
предприятий, fi
|
Среднее
значение в группе
|
|
|
|
4106,0-8957,2
|
5
|
131,72
|
-4901,29
|
120113218,3205
|
|
8957,2-13808,4
|
6
|
3954,18
|
-1078,83
|
6983245,0134
|
|
13808,4-18659,6
|
8
|
4498,9
|
-534,11
|
2282187,9368
|
|
18659,6-23510,8
|
9
|
9102,26
|
4069,25
|
149029160,0625
|
|
23510,8-28362,0
|
5
|
4758,82
|
-274,19
|
375900,7805
|
|
Итого
|
33
|
|
|
278783712,1137
|
Расчет межгрупповой дисперсии:
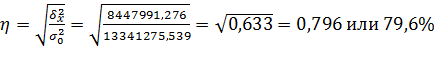
Вывод.
Согласно шкале Чэддока связь между просроченной дебиторской задолженностью и
кредиторской задолженностью является тесной.
Здание 3.
С вероятностью 0,954 вычислите:
. Ошибку выборки среднего значения
кредиторской задолженности и границы, в которых будет находиться среднее
значение коэффициента в генеральной совокупности.
. Ошибку выборки доли предприятий с
кредиторской задолженностью 18659,6 тыс. руб. и более и границы, в которых
будет находиться генеральная доля.
Решение.
. Для
того чтобы найти предельную ошибку выборки необходимо вычислить среднее
значение признака и дисперсию признака, вычисленную по выборочным данным.
где x
- значение признака,
- среднее
значение,
f
- частота.
. Рассчитаем среднее значение признака по
формуле средней арифметической взвешенной.
Таблица 12. Расчет среднего значения
признака.
|
Группы
по кредиторской задолженности
|
Число
предприятий, f
|
Середина
интервалов, x
|
xf
|
|
4106,0-8957,2
|
5
|
6531,6
|
32658
|
|
8957,2-13808,4
|
6
|
11382,8
|
68296,8
|
|
13808,4-18659,6
|
8
|
16234
|
129872
|
|
18659,6-23510,8
|
9
|
21085,2
|
189766,8
|
|
23510,8-28362,0
|
5
|
25936,4
|
129682
|
|
Итого
|
33
|
|
550275,6
|
2. Чтобы вычислить дисперсию признака
необходимо определить дополнительные значения. Для удобства составим расчетную
таблицу:
Таблица 13. Расчетная таблица.
|
Группы
по кредиторской задолженности
|
Число
предприятий, f
|
Середина
интервалов, x
|
xf
|
|
|
|
|
4106,0-8957,2
|
5
|
6531,6
|
32658,0
|
-10143,42
|
102888969,3
|
514444846,5
|
|
8957,2-13808,4
|
6
|
11382,8
|
68296,8
|
-5292,22
|
28007592,53
|
168045555,18
|
|
13808,4-18659,6
|
8
|
16234
|
129872,0
|
-441,02
|
194498,64
|
1555989,12
|
|
18659,6-23510,8
|
9
|
21085,2
|
189766,8
|
4410,18
|
19449687,63
|
175047188,67
|
|
23510,8-28362,0
|
5
|
25936,4
|
129682,0
|
9261,38
|
85773159,5
|
428865797,5
|
|
Итого
|
|
|
550275,6
|
|
|
1287959376,97
|
Вычислим коэффициент вариации:
. Вычислим предельную ошибку выборки.
Т.к. p
= 0,954, то следовательно t
= 2 по таблице интеграла вероятностей закона нормального распределения.
где t
- коэффициент доверия,
σ2
- дисперсия признака, вычисленная по выборочным данным,
N, n
- численность единиц в генеральной и выборочной совокупности.
Т.к. n
= 33 и выборка 5%, то отсюда следует, что N
= 660.
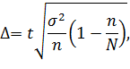
. Найдем границы, в которых будет
находиться среднее значение коэффициента в генеральной совокупности.
Вывод.
На основании проведенного выборочного обследования с вероятностью 0,954 можно
утверждать, что для генеральной совокупности предприятий средняя величина
кредиторской задолженности находится в пределах от 14555,06 до 18794,98 тыс.
руб. и имеет относительно невысокую колеблемость признака и однородную
статистическую совокупность.
. Средняя
ошибка выборки для доли определяется по формуле:

1-w
- доля единиц, не обладающая изучаемым признаком,
w(1-w)
- дисперсия альтернативного признака,
- относительная
численность выборки.
. Вычислим долю единиц совокупности,
обладающую заданным признаком по формуле:
где m
- число единиц совокупности, обладающих заданным свойством,
n
- общее число единиц в совокупности.
Т.к. необходимо найти ошибку выборки доли
предприятий с кредиторской задолженностью 18659,6 тыс. руб. и более, то,
следовательно, m=14.
Тогда
. Вычислим предельную ошибку выборки для
доли.
3. Определим границы, в которых будет
находиться генеральная доля.
Вывод.
С вероятностью 0,954 можно утверждать, что в генеральной совокупности
предприятий региона доля предприятий с кредиторской задолженностью 18659,6 тыс.
руб. и более будет находиться в пределах от 25,2% до 58,8%.
Задание 4.
Размер кредита на мероприятие по техническому
перевооружению и реконструкции двух предприятий фирмы составил соответственно 6
млн. и 5 млн. руб., а прирост прибыли - 2,75 млн. и 1,8 млн. руб.
Определите:
. Уровень эффективности кредита
мероприятия по техническому перевооружению по каждому предприятию фирмы.
. Превышение прироста прибыли на
предприятии 1 по сравнению с предприятием 2 за счет различий в уровне
эффективности кредита и размере выданного кредита.
Решение.
Таблица 14. Исходные данные.
|
Предприятие
|
Размер
кредита, млн. руб.
|
Прирост
прибыли, млн. руб.
|
|
1
|
6
|
2,75
|
|
2
|
5
|
1,8
|
Мероприятие считается выгодным там, где выше
эффективность.
Статистический анализ предполагает общую оценку
эффективности кредита, а также количественное измерение размера влияния
отдельных факторов на годовой выпуск (прирост) продукции или прибыли. Если
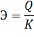
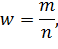
обозначить размер выданного кредита через К, годовой выпуск (прирост) продукции
(прибыли) - Q, то уровень
эффективности (Э) можно представить следующим выражением:
Уровень эффективности по 1му предприятию:
Уровень эффективности по 2му предприятию:
Отсюда, выпуск (прирост) продукции (прибыли)
будет равен:
Таким образом, выпуск (прирост) продукции (прибыли)
может быть получен в результате роста эффективности кредита и его размера.
Величина превышения годового выпуска (прироста) продукции (прибыли) в одной
отрасли по сравнению с другой за счет отклонений в эффективности кредита (QЭ)
можно получить по формуле:
а превышение годового выпуска (прироста)
продукции (прибыли) вследствие различий в размере выданного кредита в отраслях
(QК)
равно:
Э1 и Э2 в этих формулах
означают уровень эффективности кредита соответственно в первой и второй
отраслях, а К1 и К2 - размер выданного кредита.
Вывод: таким
образом, уровень эффективности кредита мероприятия по техническому вооружению
по Предприятию 1 составляет 0,46 , а по Предприятию 2 - 0,36.
Превышение прироста прибыли на Предприятии 1 по
сравнению с предприятием 2 за счет различий в уровне эффективности кредита
составляет 0,6, а за счет различий в размере выданного кредита - 0,36.
Аналитическая часть
1. Постановка задачи.
В течение года банк выдавал кредиты организациям
на разные сроки под 15% годовых.
По данным о выданных кредитах за 2010 год,
представленных в табл. 10, проведем анализ динамики выдачи кредитов, для чего
рассчитаем следующие показатели:
· средний размер кредита;
· средний срок пользования кредитом;
· абсолютный прирост;
· темп роста;
· темп прироста;
· цену одного процента прироста.
Таблица 15. Данные о выданных
кредитах.
|
Срок
погашения, мес.
|
Сумма
выданных кредитов по месяцам, млн. руб.
|
|
1.01
|
1.02
|
1.03
|
1.04
|
1.05
|
1.06
|
1.07
|
1.08
|
1.09
|
1.10
|
1.11
|
1.12
|
|
1
|
292
008
|
291
120
|
285
627
|
319
588
|
319
592
|
301
128
|
329
941
|
307
689
|
308
705
|
400
798
|
392
782
|
380
276
|
|
3
|
215
178
|
211
754
|
225
697
|
233
969
|
213
513
|
245
097
|
243
136
|
258
582
|
265
967
|
258
752
|
304
169
|
293
488
|
|
6
|
343
959
|
349
655
|
358
295
|
366
293
|
385
013
|
404
818
|
425
095
|
427
030
|
442
895
|
482
100
|
500
315
|
523
130
|
|
12
|
1968047
|
1949863
|
1892531
|
1931974
|
1943510
|
1916001
|
1872858
|
1914469
|
1945401
|
1986988
|
2049112
|
2116796
|
2. Методика решения задачи.
Расчет показателей анализа динамики осуществим
по формулам, представленным в табл. 11:
Таблица 16. Формулы расчета
показателей.
|
Показатели
|
Формула
|
|
Средний
размер кредита (хронологическая средняя)
|
|
|
Средний
срок пользования кредитом
|
|
|
Цепной
|
Базисный
|
|
Абсолютный
прирост
|
|
|
|
Темп
роста
|
|
|
|
Темп
прироста
|
|
|
Средний уровень в интервальном ряду динамики
вычисляется по формуле:
Для определения абсолютной величины, стоящей за
каждым процентом прироста прибыли, рассчитывают показатель абсолютного значения
1% прироста (А%):
Числовые обозначения:
yi
- данный уровень ряда.
yi-1
- предыдущий уровень ряда.
y0
- базисный уровень ряда.
y1
- начальный уровень ряда.
yn
- конечный уровень ряда.
- средний уровень
ряда.
3. Технология выполнения
компьютерных расчетов.
Расчеты показателей анализа динамики выполнены с
применением пакета прикладных программ обработки электронных таблиц MS
Excel в среде Windows.
Расположение на рабочем листе Excel
исходных данных (табл. 10) и расчетных формул представлено на рис. 2, 3.
Результаты расчетов приведены в табл. 12, 13.
Таблица 17. Результаты расчетов.
|
Показатель
|
Расчет
показателя
|
|
Средний
размер кредита
|
|
|
Средний
срок пользования кредитом
|
|
Рисунок 4. Исходные данные и
расчетные формулы
Таблица 18. Рассчитанные показатели.
|
месяц
|
|
показатель
|
1.01
|
1.02
|
1.03
|
1.04
|
1.05
|
1.06
|
1.07
|
1.08
|
1.09
|
1.10
|
1.11
|
1.12
|
|
сумма
|
2 819 192
|
2 802 392
|
2 762 150
|
2 851 824
|
2 861 628
|
2 867 044
|
2 871 030
|
2 907 770
|
2 962 968
|
3 128 638
|
3 246 378
|
3 313 690
|
|
абсолютный
прирост
|
|
цепной
|
-
|
-16800
|
-40242
|
89 674
|
9 804
|
5 416
|
3 986
|
36 740
|
55 198
|
165 670
|
117 740
|
67 312
|
|
базисный
|
-
|
-16800
|
-57042
|
32 632
|
42 436
|
47 852
|
51 838
|
88 578
|
143 776
|
309 446
|
427 186
|
494 498
|
|
темп
роста
|
|
цепной
|
-
|
0,994
|
0,986
|
1,032
|
1,003
|
1,002
|
1,001
|
1,013
|
1,019
|
1,056
|
1,038
|
1,021
|
|
базисный
|
-
|
0,994
|
0,980
|
1,012
|
1,015
|
1,017
|
1,018
|
1,031
|
1,051
|
1,110
|
1,152
|
1,175
|
|
темп
прироста
|
|
цепной
|
-
|
-0,006
|
-0,014
|
0,032
|
0,003
|
0,002
|
0,001
|
0,013
|
0,019
|
0,056
|
0,038
|
0,021
|
|
базисный
|
-
|
-0,006
|
-0,020
|
0,012
|
0,015
|
0,017
|
0,018
|
0,031
|
0,051
|
0,110
|
0,152
|
0,175
|
|
А%
прироста
|
-
|
28 191,92
|
28 023,92
|
27 621,50
|
28 518,24
|
28 616,28
|
28 670,44
|
28 710,30
|
29 077,70
|
29 629,68
|
31 286,38
|
32 463,78
|
Рисунок 5. Расчет показателей
Вычислим сумму процентной прибыли от выданных кредитов:
394 704 ∙ 15% = 5 309 205,6 млн. руб.
Рисунок 6. Доля кредитов по срокам
их погашения.
Рисунок 7. График выдачи кредитов.
Рисунок 8. Процент абсолютного
прироста
Рисунок 9. Темпы роста и прироста
4. Анализ результатов
статистических компьютерных расчетов.
Результаты проведенных расчетов позволяют
сделать следующие выводы.
Наблюдается положительная динамика в течение
всего изучаемого периода. Она носит довольно планомерный характер. Об этом
говорят ценные абсолютные приросты (к концу года они постоянно увеличиваются) и
цепные темпы роста и прироста.
В течение анализируемого периода средний размер
процентной прибыли полученной от выдачи кредитов составил 5 309 205 млн. руб.
Заключение
Итак, Кредит представляет систему экономических
отношений по мобилизации временно свободных в народном хозяйстве денежных
средств и использованию их на нужды воспроизводства.
Банки и кредитные организации предоставляют
кредиты, осуществляют расчеты, кассовое обслуживание клиентов, принимают и
размещают денежные вклады, а также обеспечивают иное банковское обслуживание.
Они строят свои взаимоотношения с клиентами на рыночной хозрасчетной основе.
Кредитные учреждения выполняют большой объем
работ, исчисляемый ежедневно миллионами операций по приему и выдаче ссуд
предприятиям, учреждениям, организациям и населению, по безналичным расчетам за
выполненные работы и услуги, по расчетно-кассовому обслуживанию предприятий, организаций
и населения, приему и выдаче вкладов населению.
Для управления процессами кредитования в
народном хозяйстве, выявления тенденций и закономерностей необходима
статистическая информация о кредитных вложениях и кредитных ресурсах, ее
составе по видам ссудозаемщиков, в разрезе отраслей и форм собственности, о
размерах и составе просроченных ссуд, об эффективности ссуд в
научно-технические мероприятия, оборачиваемости кредитов.
Сбором, обработкой и анализом информации об
экономических и социальных процессах в кредитовании занимается банковская
статистика. Она разрабатывает программы статистических наблюдений,
совершенствует систему показателей, методологию их исчисления и анализа,
разрабатывает методы статистического анализа конкретных явлений.
Статистика кредитования занимается также
обобщением сведений о кредитовании, выявлением закономерностей, изучением
взаимосвязи использования кредитных ресурсов с эффективностью использования
оборотных средств и т.п.
Список
литературы
1. В.М.
Гусаров, Е.И. Кузнецова. Статистика. 2-е издание. Учебник/М.: Юнити, 2008 г.,
480 с.
. Экономика
фирмы. Учебник для вузов./под ред. В.Я. Горфинкеля/М.: Юрайт, 2011 г.,679 с.
. Экономическая
теория. 2-е издание. Учебник./под ред. И.П. Николаевой/М.: Проспект, 2007 г.,
573 с.
. Гражданский
кодекс РФ, глава 42
5. www.wikipedia.ru
<http://www.wikipedia.ru>
6. www.economica-upravlenie.ru
<http://www.economica-upravlenie.ru>
7. www.glossary.ru
<http://www.glossary.ru>
8. dic.academic.ru
9. money.rin.ru
.
www.cbr.ru