Статистические методы изучения кредитных операций коммерческих банков

  • Вид работы:
    Курсовая работа (т)
  • Предмет:
    Банковское дело
  • Язык:
    Русский
    ,
    Формат файла:
    MS Word
    1,77 Mb
  • Опубликовано:
    2010-02-23
Вы можете узнать стоимость помощи в написании студенческой работы.
Помощь в написании работы, которую точно примут!

Статистические методы изучения кредитных операций коммерческих банков

Министерство образования РФ

Всероссийский заочный финансово-экономический институт

Кафедра статистики









курсовая работа

по дисциплине «Статистика»

на тему: «Статистические методы изучения кредитных операций коммерческих банков»

Вариант№22









Калуга 2009

Содержание

Введение

1.Теоретическая часть

1.1 Операции коммерческого банка

1.2 Необходимость управления кредитными операциями

1.3 Статистические методы изучения кредитных операций

2. Расчетная часть

2.1 Постановка задачи

2.2 Задание 1

2.3 Задание 2

2.4 Задание 3

2.5 Задание 4

3. Аналитическая часть

3.1 Постановка задачи

3.2 Методика решения задачи

3.3 Технология выполнения компьютерных расчетов

3.4 Анализ результатов статистических компьютерных расчетов

Заключение

Список литературы

 

Введение

 

Кредитование производства и товарооборота является наиболее важной и отличительной чертой деятельности банков по сравнению с другими финансовыми и нефинансовыми организациями. Но в то же время в России долгое время подход к кредитованию предпринимательской деятельности являлся чисто формальным. Это проявлялось и в том, что и средства банков и средства предприятий являлись собственностью государства, и поэтому банк не мог проводить полноценную кредитную политику. Поэтому перед российскими коммерческими банками при увеличении конкурентной борьбы за потенциальных заемщиков возникла необходимость планирования своей кредитной деятельности. Они должны научиться управлению кредитными операциями таким образом, чтобы они приносили максимально возможную доходность, но в то же время банки должны стремиться снизить кредитные риски, которые непосредственно связаны с проведением кредитных операций.

Поэтому целью данной работы является исследование всех аспектов управления кредитными операциями и анализ эффективности кредитных операций коммерческого банка.

Для достижения этой цели в работе решались следующие задачи: рассмотрение статистики денежного обращения и кредита; – определение сущности и видов кредитных операций; – рассмотрение целесообразности управления кредитными операциями; – оценка эффективности различных методов управления кредитными операциями; проведение анализа управления кредитными операциями.

В расчетной части работы было необходимо провести исследование структуры совокупности, выявить наличие корреляционной связи, применить выборочный метод для определения статистических характеристик генеральной совокупности.

Для расчетов использовался пакет прикладных программ обработки электронных таблиц MS Excel в среде Windows.

1. Теоретическая часть

1.1 Операции коммерческого банка

В настоящее время в РФ функционирует двухуровневая банковская система, состоящая из Центрального банка (ЦБ) РФ и системы коммерческих банков.

В механизме функционирования кредитной системы государства большая роль принадлежит коммерческим банкам. Они являются многофункциональными организациями, действующими в различных секторах рынка ссудного капитала. Банки аккумулируют основную долю кредитных ресурсов и предоставляют своим клиентам полный комплекс финансовых услуг, включая кредитование, прием депозитов, расчетное обслуживание, покупку-продажу и хранение ценных бумаг, иностранной валюты и др.

Повышение экономической роли коммерческих банков в настоящее время проявляется и в расширении сферы их деятельности и развитии новых видов финансовых услуг. Сегодня коммерческие банки отдельных стран способны оказывать клиентам до 300 услуг.

Коммерческие банки могут осуществлять комплекс разнообразных операций. Рассмотрим более подробно характер основных операций совершаемых коммерческими банками.

· привлечение вкладов (депозитов) и предоставление кредитов по погашению с заемщиками. Кредит – предоставление на основе возвратности, срочности и, как правило, с выплатой процента финансовых ресурсов одним хозяйствующим субъектом другому. Статистика кредита использует различные показатели, изучающие объем, состав, структурные сдвиги, динамику, взаимосвязи и эффективность кредитных вложений.

· ведение счетов клиентов и банков-корреспондентов;

· осуществление расчетов по поручению клиентов и банков-корреспондентов;

· финансирование расчетов по поручению клиентов, а также за счет собственных средств;

· кассовое обслуживание клиентов и банков-корреспондентов;

· выпуск платежных документов и иных ценных бумаг;

· покупка поручительств, гарантий и прочих обязательств за третьих лиц, предусматривающих их исполнение в денежной форме;

· покупка у организаций и граждан и продажа им иностранной валюты.

Есть еще одна неотъемлемая функция коммерческих банков. Они обязаны выполнять операции по кассовому исполнению федерального бюджета и бюджетов республик по поручению банка России. Следует иметь ввиду, что отношения между банками и клиентами носят договорной характер. Все перечисленные операции могут производиться как в рублях, так и в иностранной валюте при наличии соответствующей лицензии.

Коммерческие банки самостоятельно выбирают банк для хранения средств и совершения операций и открывают в нем корреспондентский счет. При открытии этого счета заключается договор о корреспондентских отношениях.

Для проведения операций коммерческими банками и их клиентами по привлечению и размещению средств в иностранной валюте в форме кредитов, займов, депозитов, вкладов и в других формах требуется лицензионное разрешение ЦБ РФ.

Существуют определенные особенности организации кредитования  и финансирования коммерческими банками. Их кредитные отношения  с предприятиями, организациями, кооперативами должны способствовать укреплению хозяйственного расчета, платежной дисциплины и денежного обращения, развитию предприимчивости, расширению банковских услуг. Банки всемерно стимулируют кредитом инициативу предприятий, организаций и кооперативов в повышении технического уровня производства, в наращивании выпуска новых высокоэффективных видов продукции, оказании разнообразных услуг населению, производстве товаров для населения и на экспорт.

Все операции коммерческого банка можно разделить на пассивные и активные. Пассивной операцией является получение ими централизованных кредитных ресурсов. Кредиты центральных банков предоставляются коммерческим банкам в порядке рефинансирования и на конкурсной основе, а также в форме ломбардных кредитов. Размещение мобилизованных ресурсов банка с целью получения дохода и обеспечения ликвидности определяет содержание его активных операций.

Коммерческие банки осуществляют расчеты в народном хозяйстве страны в формах, устанавливаемых ЦБ РФ, либо принятых в международной банковской практике.

1.2 Необходимость управления кредитными операциями


Банковская деятельность подвержена многочисленным рискам и именно поэтому в большинстве стран эта деятельность является наиболее регулируемым видом предпринимательства. При этом регулирование имеет ярко выраженные национальные особенности, отражающие специфику формирования национальной банковской системы. Эффективность банковской деятельности существенным образом влияет на развитие экономики страны.

Банки выполняют разнообразные функции и вступают в сложные взаимоотношения между собой и другими субъектами хозяйственной жизни.

Основными видами операций банка являются прием вкладов, выдача кредитов, операции с ценными бумагами и иностранной валютой. Банк имеет ряд дочерних компаний, которые осуществляют деятельность на финансовом и банковском рынках. В состав дочерних компаний банка входят дочерние компании, которые зарегистрированы в различных странах и занимаются операциями с ценными бумагами и производными финансовыми инструментами, а также 3 дочерних банка, расположенных в странах СНГ.

Кредитная деятельность банка является одним из основополагающих критериев, который отличает его от небанковских учреждений. В мировой практике именно с кредитованием связана значительная часть прибыли банка.

 

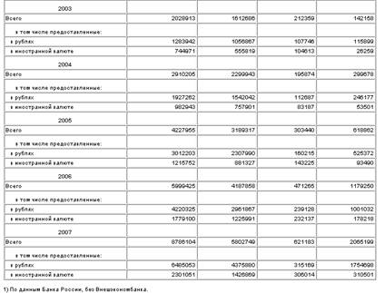
Таблица 2

Кредиты, предоставленные государственным и частным организациям, банкам и физическим лицам

(на начало года; миллионов рублей)

 

Одновременно невозврат кредитов, особенно крупных, может привести банк к банкротству, а в силу его положения в экономике, к целому ряду банкротств, связанных с ним предприятий, банков и частных лиц. Поэтому управление кредитными операциями является необходимой частью стратегии и тактики выживания и развития любого коммерческого банка. Портфель банковских ссуд подвержен всем основным видам риска, которые сопутствуют финансовой деятельности: риску ликвидности, риску процентных ставок, риску неплатежа по ссуде (кредитному риску).

Управление кредитным риском требует от банкира постоянного контроля за структурой портфеля ссуд и их качественным составом. В рамках дилеммы «доходность-риск» банкир вынужден ограничивать норму прибыли, страхуя себя от излишнего риска. Он должен проводить политику рассредоточения риска и не допускать концентрации кредитов у нескольких крупных заемщиков, что чревато серьезными последствиями в случае непогашения ссуды одним из них Банк не должен рисковать средствами вкладчиков, финансируя спекулятивные (хотя и высокоприбыльные) проекты. За этим внимательно наблюдают банковские контрольные органы в ходе периодических ревизий.

Качество кредитного портфеля банка и разумность его кредитной политики являются теми аспектами деятельности банка, на которые особое внимание обращают контролеры при проверке банка.

 

1.3 Статистические методы изучения кредитных операций


Кредитные операции коммерческих банков изучаются с использованием ряда статистических методов. Среди них большое значение имеет метод группировок: классификация межбанковского, банковского кредита, получение кредита в виде ценных бумаг, группировка по срокам предоставления кредита. Кроме перечисленных группировок используются и другие. Среди них группировка кредитов выданных по отраслям экономики, которые используются для изучения структуры кредитного портфеля банка в динамике.

К наиболее важным показателям отечественной статистики банковского кредита относятся:

- общий размер кредитования банками отраслей экономики и населения с выделением краткосрочного и долгосрочного кредитования;

- доля краткосрочных и долгосрочных кредитов в общей сумме кредитных вложений;

- просроченная задолженность предприятий и хозяйственных организаций по ссудам банков;

- процент за кредит и ставка рефинансирования (ЦБ РФ).

Кредитные вложения банка группируются по категории заемщиков и изучаются при помощи структурной группировки. Одним из принципов кредитования является обеспеченность кредита. Для его характеристики используются группировки кредитов по формам его обеспечения.

По обеспеченности кредиты могут быть обеспеченными и необеспеченными. Обеспечение кредита может быть персональным, банковским, государственным. Обеспечение предполагает наличие того или иного залога (под залог векселей, товарные документы, ценные бумаги, недвижимость (ипотечные) и т.д., гарантии или его страхование (перестрахование).

Выдача кредита может осуществляться как в национальной, так и в иностранной валюте. Банки, выдающие кредиты не только в российских рублях, но и в иностранной валюте делают группировку и расчет структуры кредитного портфеля по видам валют в динамике.

Для характеристики кредитных отношений статистика использует показатели размера, состава, динамики кредитных вложений, изучает взаимосвязь кредитных вложений с показателями объема производства, капитальных вложений, размера товарно-материальных ценностей.

Средний размер кредита (ссуды) определяется по формуле среднеарифметической взвешенной (без учета числа оборотов за год):

= , (1)

где  – средний размер ссуды;

Рi – размер i-й ссуды;

ti – срок i-й ссуды.

Средний срок пользования ссудами (), т.е. время, в течение которого все ссуды оборачиваются один раз при условии их непрерывной оборачиваемости, определяется по формулам:

- средней арифметической взвешенной (при этом весами являются размеры выданных ссуд):

; (2)

 

- средней гармонической взвешенной (когда вместо размеров ссуд известна продолжительность одного оборота каждой ссуды):

 

. (3)

 

Среднее число оборотов ссуд за год составит:

, (4)

,

где  - число оборотов i-ой ссуды за год;

Д – число дней (месяцев) в году.

Наряду со средними величинами выявляется доля просроченной задолженности.

За пользование кредитом взимается плата в размере процентных ставок:

Средняя процентная годовая ставка кредита ():

, (5)

где iгодовая ставка i-ой ссуды;

 - срок i-й ссуды (в годах).

В качестве показателей динамики при сравнении можно использовать цепные, базисные и среднегодовые темпы роста и прироста, коэффициенты опережения и эластичности.

Состав кредитных вложений изучают по целевому назначению, формам собственности, территориям, категориям заемщиков, экономическим секторам, срокам погашения, видам остатков задолженности и другим признакам. Большое внимание в статистике уделяется показателям долгосрочных ссуд: остаткам задолженности, суммам выданных ссуд, их составу и динамике.

Самостоятельным объектом в статистике кредита является изучение просроченных ссуд по их объему, составу и динамике. По состоянию на конец года определяют по банку в целом:

1.   Абсолютную сумму просроченных кредитов (остатков задолженности):

. (6)

2.   Относительные показатели просроченной задолженности по ссудам:

а) по сумме: ; (7)

б)по сроку: , (8)

где  - число просроченных дней по погашению i-го кредита.

в)по сумме и сроку (интегральный средневзвешенный показатель просроченной задолженности):

. (9)

Уровень оборачиваемости кредита определяется двумя показателями: средней длительностью пользования кредитом и количеством оборотов, совершенных кредитом за период.

Средняя длительность пользования кредитом по отраслям промышленности (с учетом не возвращенных в срок в банк ссуд) определяется по формуле:

 (10)

где  - средние остатки кредитов (невозвращенных в срок в банк);

– оборот кредита по погашению (сумма погашенных кредитов);

Д – число дней в периоде.

Этот показатель характеризует среднее число дней пользования кредитом. Он является обратной величиной оборачиваемости ссуд: чем меньше продолжительности пользования кредитов, тем меньше ссуд потребуется банку для кредитования одного итого же объема производства.

Среднее число оборотов кредита определяется путем деления оборота ссуд по погашению на средний их остаток:

. (11)

Экономический смысл этого показателя заключается в том, что он характеризует число оборотов, совершаемых краткосрочным кредитом за изучаемый период. Если известна длительность пользования кредитом, то количество оборотов ссуд можно определить, пользуясь взаимосвязью этих показателей, т.е. по формуле:

,

На ряду со средними величинами выявляется доля просроченной задолженности в общей задолженности – доля несвоевременно возвращенных ссуд.

Средняя длительность просроченных кредитов позволяет установить меру устойчивости задолженности заемщика на основе следующего выражения:

 (12)

где  - средние остатки просроченной задолженности за рассматриваемый период;

 - сумма погашенной просроченной задолженности за тот же период;

Д – число дней в периоде.

Для изучения влияния отдельных факторов на изменение средней длительности пользования кредитом строится система взаимосвязанных индексов, состоящих из индексов переменного состава, постоянного состава и структурных сдвигов:

 (13)

Индекс средней длительности пользования кредитом переменного состава:

, (14)

где m – однодневный оборот по погашению кредита, равный .

Если принять  - показатель структуры однодневного оборота по погашению, то формула этого индекса примет вид:

. (15)

На величину индекса переменного состава оказывает влияние два фактора: изменение длительности пользования кредитом в отраслях и структурных сдвигов в отдельном обороте по погашению кредита.

Абсолютное изменение средней длительности пользования кредитом за счет двух факторов:

Δ= 1 - 0. (16)

Индекс средней длительности пользования кредитом постоянного состава используют для определения влияния только первого фактора на изменение средней длительности пользования кредитом:

. (17)

Абсолютное изменение средней длительности пользования кредитом за счет изменения длительности пользования кредитом в отраслях составит:

Δt=1 -  (18)

Индекс структурных сдвигов позволяет определить влияние второго фактора – структурных изменений в составе однодневного оборота по погашению на изменение средней длительности пользования кредитом:

, (19)

Абсолютное изменение средней длительности пользования кредитом за счет структурных сдвигов в однодневном обороте составит:

Δстр = 0. (20)

Изучение динамики оборачиваемости кредита по отраслям промышленности можно производить с помощью индексов среднего числа оборотов ссуд.

Индекс среднего числа оборотов кредита переменного состава определяется по формулам:

, (21)

,(22)

Δ=1- 0. (23)

Этот индекс показывает относительные и абсолютные изменения среднего числа оборотов кредита за счет двух факторов: изменения числа оборотов по отраслям и структурных сдвигов в средних остатках кредита.

Индекс среднего числа оборотов кредита постоянного состава определяется по формулам:

, (24)

, (25)

Δn=-. (26)

Этот индекс показывает абсолютные и относительные изменения среднего числа оборотов кредита за счет одного фактора – изменения оборачиваемости кредита в отраслях. Индекс структурных сдвигов определяется по формулам:

; (27)

; (28)

Δстр=. (29)

Этот индекс показывает относительные и абсолютные изменения средней оборачиваемости кредита за счет структурных сдвигов в средних остатках кредита.

Абсолютное изменение среднего числа оборотов кредита за счет двух факторов составит:

Δnстр. (30)

2. Расчетная часть

2.1 Постановка задачи

Имеются следующие выборочные данные за отчетный год об объемах кредитных вложений и прибыли коммерческих банков (выборка 1,5%-ная механическая), млн руб.:

Таблица 3

№ п/п

Объем выданных ссуд

Прибыль

№ п/п

Объем выданных ссуд

Прибыль

1

122371

8566

16

34208

1710

2

31140

1557

17

35920

1995

3

47783

2655

18

82625

5050

4

28305

1415

19

88254

5903

5

38520

2140

20

9848

501

6

104004

6933

21

35915

1952

7

135054

9003

22

78550

4800

8

9054

453

23

59445

3301

9

33030

1652

24

64910

3965

10

117054

8069

25

54961

3064

11

47797

2660

26

36212

2012

12

33038

1658

27

45036

2502

13

39501

2155

28

84636

5170

14

108319

7220

29

34254

1903

15

84654

5640

30

59454

3640


2.2 Задание 1


По исходным данным:

1. Постройте статистический ряд распределения коммерческих банков по признаку - объем выданных ссуд коммерческими банками, образовав пять групп с равными интервалами.

2. Рассчитайте характеристики интервального ряда распределения: среднюю арифметическую, среднее квадратичное отклонение, коэффициент вариации, моду и медиану.

Сделайте выводы по результатам выполнения задания.

РЕШЕНИЕ:

Для построения статистического ряда распределения определим величину интервала по формуле:

, (1)

где nчисло групп

 млн.р. - величина интервала

Таблица 4

Ряд распределения банков по объему выданных ссуд коммерческими банками

Исходные данные

Расчетные значения

Группы банков по объему выданных ссуд коммер. банками, млн.р

Число банков в группе

f

Середина интервала

x

Накопленные частоты

9054-34254

7

21654

151578

-37800

10001880000

7

34254-59454

11

46854

515394

-12600

1746360000

18

59454-84654

5

72054

360270

12600

793800000

23

84654-109854

4

97254

389016

37800

5715360000

27

109854-135054

3

122454

367362

63000

11907000000

30

Итого

30

-

1783620

-

30164400000

-


1.   Найдем среднюю арифметическую.

Для расчета, в качестве значений признаков в группах примем середины этих интервалов (х), так как значения осредняемого признака заданы в виде интервалов. Рассчитаем и подставим полученные значения в таблицу.

 млн.руб. (2)

Итак, средний объем выданных ссуд коммерческими банками составляет 59454 млн.руб.

2.   Найдем среднее квадратичное отклонение по формуле:

(3)

Для этого сделаем промежуточные расчеты и подставим их в таблицу.

 млн.руб.

3.   Найдем коэффициент вариации по формуле:

% (4)

4.   Найдем моду  по формуле:

, (5)

где  - нижняя граница модального интервала;

 - модальный интервал;

 - частоты в модальном, предыдущем и следующим за модальным интервалах (соответственно).

Модальный ряд определяется по наибольшей частоте. Из таблицы видно, что данным интервалом является (34254 – 59454 млн.руб.).

 млн.руб.

5.   Найдем медиану  по формуле:

, (6)

где - нижняя граница медианного интервала;

 - медианный интервал;

 - половина от общего числа наблюдений;

 - число наблюдений в медианном интервале.

Прежде всего, найдем медианный интервал. Таким интервалом будет (34254 – 59454 млн.руб.).

 млн.руб.

 

Выводы:

Так как V>33%, то это говорит о значительной колеблемости признака, о не типичности средней величины, об неоднородности совокупности.

Так как > 0, т.е. (59454 - 44334) > 0, то наблюдается правосторонняя ассиметрия.

2.3 Задание 2

По исходным данным:

1. Установите наличие и характер связи между объемом выданных ссуд и прибылью коммерческих банков методом аналитической группировки, образовав, пять групп с равными интервалами по объему выданных ссуд коммерческими банками.

2. Измерьте тесноту корреляционной связи между названными признаками с использованием коэффициентов детерминации и эмпирического корреляционного отношения.

Сделайте выводы по результатам выполнения задания.

РЕШЕНИЕ

Для построения корреляционной таблицы необходимо знать величины и границы интервалов по двум признакам X и Y. Для факторного признака ХОбъем выданных ссуд эти величины известны из задания 1. Определяем величину интервала для результативного признака  YПрибыль коммерческих банков при n = 5, уmax = 9003 млн руб.,  уmin = 453 млн руб.:

, (7)

 млн.руб. - величина интервала

Таблица 5 Распределение банков по объему выданных ссуд коммерческих банков

 

На основании таблицы 5 построим итоговую таблицу 6 аналитической группировки.

Таблица 6 Зависимость прибыли от объема выданных ссуд коммерческими банками

Номер группы

Группы банков по объему выданных ссуд, млн.руб.

Число банков в группе

Прибыль, млн руб.

Всего

В среднем на один банк



f

y

1

9054 - 34254

7

8946

1278

2

34254-59454

11

26339

2395

3

59454-84654

5

22625

4525

4

84654-109854

4

25696

6424

5

109854-135054

3

25638

8546

ИТОГО

30

109244

3642


Общую среднюю результативного признака по совокупности в целом можно определить следующим способом:

 млн.руб. (8)

Анализ таблицы 6 показывает, что с ростом объема выданных ссуд от группы к группе возрастает и средняя прибыль банка. Следовательно, между объемом выданных ссуд и прибылью коммерческих банков существует прямая корреляционная взаимосвязь.

Опираясь на исходные данные таблицы 3 и на данные таблицы 6, измерим тесноту корреляционной связи с использованием коэффициента детерминации и эмпирического корреляционного отношения.

РЕШЕНИЕ

Коэффициент детерминации:

 (9)

Вычислим межгрупповую дисперсию по формуле:

(10)

Расчеты произведем в таблице.

Таблица 7

Группы банков по объему выданных ссуд, млн.руб.

Число банков в группе

Прибыль, млн.руб.

Расчет показателей

В среднем на один банк


f




9054 - 34254

7

1278,000

-2363,467

5585974,684

39101822,791

34254-59454

11

2394,455

-1247,012

1555039,230

17105431,535

59454-84654

5

4525,000

883,533

780631,151

3903155,756

84654-109854

4

6424,000

2782,533

7742491,751

30969967,004

109854-135054

3

8546,000

4904,533

24054447,218

72163341,653

ИТОГО

30

3641,467

-

-

163243718,739


 млн.руб.


Теперь вычислим общую дисперсию на основе несгруппированных данных из таблицы 3 по формуле:

(11)

Для этого в начале возведем данные по прибыли в квадрат:

Таблица 8

№ п/п

Прибыль, млн.руб.


№ п/п

Прибыль, млн.руб.


y

y

1

8566

73376356

16

1710

2924100

2

1557

2424249

17

1995

3980025

3

2655

7049025

18

5050

25502500

4

1415

2002225

19

5903

34845409

5

2140

4579600

20

501

251001

6

6933

48066489

21

1952

3810304

7

9003

81054009

22

4800

23040000

8

453

205209

23

3301

10896601

9

1652

2729104

24

3965

15721225

10

8069

65108761

25

3064

9388096

11

2660

7075600

26

2012

4048144

12

1658

2748964

27

2502

6260004

13

2155

4644025

28

5170

26728900

14

7220

52128400

29

1903

3621409

15

5640

31809600

30

3640

13249600

ИТОГО

385001616

ИТОГО

184267318

ВСЕГО


 или 95,2 %.

Эмпирическое корреляционное отношение находим по формуле:


Для изучения связи между явлениями и их признаками строим групповую корреляционную таблицу . По данным таблицы 5 определяем существует ли зависимость между объемами выданных ссуд (факторный признак X) и размером прибыли коммерческих банков (результативный признак Y). Построим корреляционную таблицу, образовав пять групп по факторному и результативному признакам.

Таблица 9

Групповая корреляционная таблица

Объем выданных ссуд

Размер прибыли, млн. руб.

453-2155

2155-3640

3640-5170

5170-7220

7220-9003

Итого

9054-34254

7





7

34254-59454

5

6




11

59454-84654



5



5

84654-109854




4


4

109854-135054





3

3

Итого

12

6

5

4

3

30


Вывод: Коэффициент детерминации говорит о том, что вариация прибыли на 95,2% зависит от вариации объема выданных ссуд и на 4,8% от прочих признаков.

Эмпирическое корреляционное отношение по своей величине близко к единице, что свидетельствует о весьма тесной взаимосвязи между объемом выданных ссуд и прибыли коммерческих банков.

2.4 Задание 3


По результатам выполнения задания 1 с вероятностью 0,954 определите:

1.   Ошибку выборки среднего объема выданных ссуд и границы, в которых будет находиться этот показатель в генеральной совокупности.

2.   Ошибку выборки доли коммерческих банков, имеющих объем выданных ссуд 59 454 млн руб. и более и границы, в которых будет находиться генеральная доля.

РЕШЕНИЕ:

1) По результатам выполнения задания 1 и с учетом, что выборка 1,5%-механическая, определим с вероятностью 0,954 ошибку выборки среднего объема выданных ссуд и границы, в которых будет находиться показатель в генеральной совокупности:

Имеются данные: n = 30; p = 0,954; t = 2; n/N = 0,015; 31709

Так как выборка механическая, то используем следующую формулу:

 млн.руб.

Пределы для средней

59454-1149159454+11491

4796370945 (млн.руб.)

б) По результатам выполнения задания 1 имеем данные:

n = 30; m = 12; W = m/n = 12/30 = 0,4; n/N = 0,015.

Ошибку выборки доли коммерческих банков, имеющих объем выданных ссуд 59454 млн.р. и более найдем по следующей формуле:


Пределы для доли

0,4 – 0,178  0,4+0,178; 0,222 ≤ р ≤ 0,578 или 22,2≤ р ≤57,8 (%)

Вывод: Таким образом, с вероятностью 0,954 можно ожидать, что средний объем выданных ссуд в генеральной совокупности будет не менее 47963 и не более 70945.

С вероятностью 0,954 можно утверждать, что доля коммерческих банков, имеющих объем выданных ссуд 59454 млн.руб. и более, по всей совокупности составит от 22,2 до 57,8 %.

2.5 Задание 4


Имеются следующие данные о краткосрочном кредитовании предпринимателей региона коммерческим банком, млн руб.:

Таблица 6

Отрасли

Средняя длительность пользования кредитом, дней

Структура однодневного оборота кредита по погашению, %

Базисный год

Отчетный год

Базисный год

Отчетный год

Промышленность

38

40

16

15

Торговля

12

10

58

60

Общественное питание

15

15

26

25


Определите:

1.   Индексы средней длительности пользования кредитом переменного состава, постоянного состава и структурных сдвигов.

2.   Абсолютное изменение средней длительности пользования кредитом за счет изменения длительности пользования кредитом по отраслям и изменения структуры однодневного кредита.

Сделайте выводы.

РЕШЕНИЕ:

Для того, чтобы рассчитать индексы переменного, постоянного состава и структурных сдвигов рассчитаем необходимые значения и приведем их в таблицу.

Таблица 7

Данные о выпуске и себестоимости продукции по предприятиям

Отрасли

Средняя длительность пользования кредитом,

дней

Структура однородного оборота кредита погашения, доля

t0d0

t1d1

t0d1


базисный год, t0

отчетный год, t1

базисный год, d0

отчетный год, d1




Промышленность

38

40

0,16

0,15

6,08

6,00

5,70

Торговля

12

10

0,58

0,60

6,96

6,00

7,20

Общественное питание

15

15

0,25

3,90

3,75

3,75




1

1

16,94

15,75

16,65


1. Индекс средней длительности пользования кредитом переменного состава:

= =  или 93,0%

 

Индекс средней длительности пользования кредитом постоянного состава:

 

==  или 94,6%

 

Индекс структурных сдвигов

= =  или 98,3%

 или 93,0%

2. Абсолютное изменение средней длительности пользования кредитом

 дня

а) за счет изменения длительности пользования кредитом по отраслям:

 = = 15,75-16,65 = -0,9 дня

б) за счет изменения структуры однодневного кредита:

дня

Вывод: Следовательно, в отчетном году средняя длительность пользования кредитом по отраслям в целом уменьшилась на 7% или на 1,19 дня. За счет только изменения длительности пользования кредитом уменьшилась на 5,4% или на 0,9 дня. А за счет только структурных сдвигов уменьшилась на 1,7% или на 0,29 дня.

3. Аналитическая часть

3.1 Постановка задачи

Банковский кредит – это экономические отношения, в процессе которых банки предоставляют заемщикам денежные средства с условием их возврата. Эти отношения предполагают движение стоимости (ссудного капитала) от банка (кредитора) к ссудозаемщику (дебитору) и обратно. Заемщиками выступают предприятия всех форм собственности (акционерные предприятия и фирмы, государственные предприятия, частные предприятия, частные предприниматели и т.д.)

Возврат полученной заемщиком стоимости (погашение долга банку) в масштабах одного предприятия и всей экономики должен быть результатом воспроизводства в возрастающих размерах. Это определяет экономическую роль кредита и служит одним из важнейших условий получения банком прибыли от кредитных операций. Задолженность по кредитам, предоставляемым населению, может погашаться за счет уменьшения накопления и даже сокращения потребления по сравнению с предыдущим годом. В тоже время кредитование населения обеспечивает рост потребления, стимулирует повышение спроса на товары (особенно дорогостоящие, длительного пользования) и зависит от уровня доходов населения, определяющих возможность получения банками прибыли от этих операций.

Кредитные операции занимают наибольшую долю в структуре статей банковских активов.

По данным отчетов о прибылях и убытках ОАО «Альфа-Банк» (официальный сайт банка www.alfabank.ru) проведем анализ динамики доходов банка от ссуд, предоставленных клиентам за пять лет (Таблица 3.1).

Таблица 3.1

Год

2004

2005

2006

2007

2008

доходы банка от ссуд, предоставленных клиентам ,

млн. руб.

14308,36

15557,87

20576,51

22934,11

23515,79


Для анализа рассчитаем следующие показатели:

- абсолютный прирост;

- темп роста;

- темп прироста;

- абсолютное значение 1% прироста;

- средние за период уровень ряда, абсолютный прирост, темпы роста и прироста.

Методика решения задачи

Для расчета показателей анализа ряда динамики используем формулы, представленные в таблице 3.2.

Таблица 3.2

Показатель

Базисный

Цепной

Средний

Абсолютный прирост

 

 

 

Темп роста

 

 

 

Темп прироста

 

 

 


Средний уровень в интервальном ряду динамики вычисляется по формуле:


Для определения абсолютной величины, стоящей за каждым процентом прироста прибыли, рассчитывают показатель абсолютного значения одного процента прироста (А%) по формуле:


Числовые обозначения:

y1 – уровень первого периода;

yi – уровень сравниваемого периода;

yi-1 – уровень предыдущего периода;

yn – уровень последнего периода;

n – число уровней ряда динамики.

3.2 Технология выполнения компьютерных расчетов

Статистические расчеты анализа динамики можно представить с использованием прикладных программ обработки электронных таблиц MS Excel.

Расположение на рабочем листе исходных данных таблицы 3.1 и результаты расчета показателей динамики доходов банка от ссуд, предоставленных клиентам за пять лет представлены на рисунках 3.1. и 3.2.

Рисунок 3.1


Рисунок 3.2


Графическое изображение динамики дохода банка от ссуд, предоставленных клиентам за пять лет представлено на рисунке 3.3.

Рисунок 3.3


3.3 Анализ результатов статистических компьютерных расчетов

Сделаем следующие выводы по результатам проведенных расчетов.

Доходы банка за пять лет выросли на 64,4%, что в абсолютном выражении составляет 733,7685 млн. руб.

Положительная динамика наблюдается в течение всего периода. Она носит скачкообразный характер. Об этом говорят цепные абсолютные приросты (от года к году они увеличивались, наибольший прирост наблюдается в 2006г. на 40% ) и цепные темпы роста и прироста (в 2006г. наибольшее увеличение на 32,3%). Это же подтверждает и графическое изображение динамики прибыли (рис.3.3).

В течение анализируемого пятилетнего периода деятельности банка средний размер дохода от ссуд, предоставленных клиентам составил 96892,64 млн. руб., в среднем за год она увеличивалась на 2301,86 млн. руб. (или на 13,2%).

Рост дохода банка от ссуд, предоставленных клиентам можно увидеть и по увеличивающемуся абсолютному значению одного процента прироста.

Заключение

В современной рыночной экономике деятельность коммерческих банков имеет огромное значение благодаря их связям со всеми секторами экономики. Задачи банков заключаются в обеспечении бесперебойного денежного оборота и оборота капитала, кредитовании промышленных предприятий, государства и населения, создания условий для народнохозяйственного накопления. Основными показателями финансового состояния коммерческого банка являются: показатели платёжеспособности и ликвидности, прибыль, рентабельность, обеспеченность кредитов вкладами.

Современные коммерческие банки, выступая в роли финансовых посредников, выполняют важную народнохозяйственную функцию, обеспечивая межотраслевое и межрегиональное перераспределение денежного капитала. Банковский механизм распределения и перераспределения капитала по сферам и отраслям позволяет развивать хозяйство в зависимости от объективных потребностей производства и содействует структурной перестройке экономики. Кредит опосредствует в стоимостной форме движение материальных ценностей в процессе производства, распределения, потребления и обмена, так как он предстовляет систему экономических отношений по мобилизации временно свободных в экономике денежных средств и использованию их на нужды воспроизводства.

Проведённый анализ динамики доходов банка от ссуд филиала ОАО «Альфа-Банк» позволил сделать следующие выводы.

Доходы банка за пять лет выросли на 64,4%, что в абсолютном выражении составляет 733,7685 млн. руб.

Положительная динамика наблюдается в течение всего периода. Она носит скачкообразный характер.

В течение анализируемого пятилетнего периода деятельности банка средний размер дохода от ссуд, предоставленных клиентам составил 96892,64 млн. руб., в среднем за год она увеличивалась на 2301,86 млн. руб. (или на 13,2%).

Рост дохода банка от ссуд, предоставленных клиентам можно увидеть и по увеличивающемуся абсолютному значению одного процента прироста.

Список литературы

1. Статистика: Учеб. пособие для вузов. / Под ред. Гусарова В.М. – М.: ЮНИТИ-ДАНА, 2002.

2. Общая теория статистики: Статистическая методология в изучении коммерческой деятельности: Учебник / Под ред. О.Э. Башиной, А.А. Спирина. – М.: Финансы и статистика, 2005

3. Финансовая статистика: Учебное пособие / Под ред. Т.Ю. Теймуровой, «Эйдос», 2003 год

4.Статистика. Учебник/ Под ред. проф. И.И. Елисеевой – М.: ООО «ВИТРЭМ», 2002

5. Финансовая статистика : учебник /Под.ред. Геймуровой Т.Ю., 2003

6. Экономическая статистика: учебник /Под.ред. Иванова Ю.Н. 2000

7. Статистика финансов Учебник / под редакцией В.Н. Салина. – М:Финансы и статистика, 2001

8.Финансовая статистика: Учебное пособие/Под. ред. Т.В. Тимофеевой. - М.: Финансы и статистика, 2006.

9.www.alfabank.ru

10.Общая теория статистики: Статистическая методология в изучении комерческой деятельности: Учебник/ Под ред. О.Э. Башиной, А.А.Спирина. – М.: Винансы и статистика,2005

11.Теория статистикм : Учебник / Под ред. Р.А.Шмойловой. – М.: Финансы и статистика,2004

12. Статистика: Учебник / Под ред. В.С. Мхиторяна. – М.:Экономисть, 2005

13. http://www/.gks.ru


Не нашли материал для своей работы?
Поможем написать уникальную работу
Без плагиата!
Без нейросетей!