|
№ вала
|
1
|
2
|
3
|
4
|
|
Р, кВт
|
12,79
|
12,026
|
11,43
|
11,098
|
|
n, 975
312 62,4 64,1
|
|
|
|
|
|
w, с-1
|
102,5
|
32,656
|
6,53
|
6,53
|
|
Т, Н×м
|
125,3
|
368,26
|
1750,38
|
1690,396
|
.
Расчет передач редуктора
.1 Выбор материалов, термообработки и
определение допускаемых напряжений для передач
Желая получить сравнительно небольшие габариты и невысокую стоимость
редуктора, выбираем для изготовления шестерен и колес сравнительно недорогую
легированную сталь 40Х.Назначаем термообработку: для шестерен - улучшение НВ
260…280; для колес - улучшение НВ 230..260.При данной термообработке
обеспечивается приработка зубьев.
Определяем допускаемые напряжения.
Допускаемые контактное напряжение шестерни рассчитываем по ф. из табл.
2.1[2]:

610∙1/1,1=554,5
МПа,
Где

- предел
контактной выносливости шестерни, определенной по ф. из табл. 1.1 [3]

=2∙НВ+70=2∙270+70=610
МПа,
где
НВ=260+280/2=270 - твердость,

-
коэффициент долговечности шестерни, определяется по ф. из табл. 1.2 [3]
где
- предел контактной выносливости шестерни,
определяемый по формуле
=30


=30


=2,05
где
- расчетное число циклов напряжений при постоянном σ
=
60
n
с
t=60∙0,125∙1∙13029
312=
Где

-коэффициент
режима работы, для колеса равен 0,125
c - число
зацеплений зуба за один поворот колеса
t - суммарный
срок службы в часах, называемый ресурсом
n - частота
вращения,
передачи;
=
=
где

-
количество лет службы (по условию 
)




Так
как ZN
1,
принимаем ZN=1=1,1 - коэффициент запаса прочности шестерни по
табл. 2.1 [3].
Находим
допускаемое контактное напряжение колеса по формуле

560∙1,175/1,1=598
МПа,
где

=2∙HB+70=2∙245+70=560
МПа,
где НВ=245,
Принимаем
ZN2=1,175 ; SN=1,1.
За
допускаемое контактное напряжение передачи берем наименьшее допускаемое
напряжение 
=554,5Мпа
Находим
допускаемые изгибные напряжения шестерни по ф.табл. 2.1 [3]

486∙1∙1/1,75=267
МПа
где

- предел
изгибной выносливости шестерни, определяемый по ф. табл. 1.3 [3],

=1,8∙270=486
МПа,
где
=4∙
- базовое
число циклов перемены напряжений, по табл. 1.4 [3]
=
60∙n∙с∙t=0,038
60
Где

-коэффициент
режима работы(для легкого режима 
=0,038)=1
- коэффициент, учитывающий влияние двухстороннего приложения нагрузки к
шестерне, по табл. 2.1 [3],=1,75 - коэффициент запаса прочности шестерни, по
табл. 2.1 [3].

принимаем
равной единице
Допускаемые
изгибные напряжения колеса определим по формуле
δFP2=
Flim2∙YN2∙YA2/SF2=441∙1,15∙1/1,75=289,8
МПа,
где
δFlim2=1,75∙HB=1,8∙245=441 МПа,
где
=
60∙n∙с∙t=0,038
60
2.2 Проектный расчет всех
передач редуктора
Сначала рассчитываем зубчатую передачу тихоходной ступени, как
более нагруженную и в основном определяющую габариты редуктора.
Расчёт ведём относительно делительного диаметра шестерни:
где Епр=2,1.1011 - приведенный модуль упругости, МПа;
Тш- крутящий момент на валу шестерни, Н·м;
-
коэффициент распределения нагрузки между зубьями;
;
где
- степень точности изготовления колёс по нормам
плавности;
=8;
;
KHb=1.07 - коэффициент концентрации нагрузки в зависимости от Ybd (рис.8.15, с.130 [2]);
Ybd-
коэффициент ширины колеса относительно делительного диаметра,
где
Yba-
коэффициент ширины колеса относительно межосевого расстояния; по табл. 8,4[2]
принимаем Yba
=0,35(H<350HB);
.
Определяем ширину колеса:
мм,
принимаем
мм
Определяем
модуль:
,
где
Ym=25
- коэффициент модуля, в зависимости от жёсткости (табл. 8.4, с136, [2]);
по
ГОСТ 9563-80 принимаем m=4мм.
Находим
число зубьев:
принимаем
26 зубьев;
Уточним
передаточное число
.
Вычисляем
межосевое расстояние:
мм.
Делительные
диаметры
мм
мм
Определяем
диаметры вершин зубьев:
мм
мм
где
- коэффициент высоты головки зуба, по ГОСТ 13755-81
=1.
Определяем
диаметры впадин зубьев:
мм
мм
Определяем
ширину шестерни:
мм.
Расчет геометрии конической передачи быстроходной ступени:
Делительный
диаметр определяем по формуле стр.155
:
где
[sн] - допускаемое контактное напряжение,
КHb-коэффициент,
учитывающий неравномерность распределения нагрузки по ширине венца КHb= 1,1(по графику
стр.155(8.33) в зависимости от 
)=0,5,где

коэффициент
ширины зубчатого венца принимаем по рекомендациям стр.155 
),
-коэффициент
вида конических колес.
(для колес с тангенциальным зубом).
Принимаем
de = 155 мм
Углы
делительных конусов:
;
Ширина
зубчатого венца шестерни и колеса:
мм
Принимаем
b=70мм
Расчетное
внешнее конусное расстояние:
мм
По
графику (8.36) на странице 158 выбираем 
, тогда
число зубьев 
(для
косого зуба при 
350НВ)
Внешний
окружной модуль:


Где

- угол
наклона зуба, по рекомендациям стр.157 принимаем
Принимаем

Число
зубьев колеса:
Делительные
диаметры колес:
мм
мм
Диаметры
вершин:
Диаметры
впадин:
2.3 Проверочные расчеты передач
2.3.1 Проверочный расчет по контактным напряжениям
тихоходной ступени
Проверочный
расчет будем вести по формуле с 135
.
где
- коэффициент, учитывающий неравномерность
распределения нагрузки между зубьями
=1,18;
-
коэффициент неравномерности нагрузки по длине зуба;
=1,07;
-
коэффициент динамической нагрузки выбирается в зависимости от окружной
скорости. Окружную скорость зубчатых колес определим по формуле:


Выбираем
=1,15;
Сравним
действительное контактное напряжение с допускаемым:
Условие
соблюдается
2.3.2 Проверочный расчет по напряжениям изгиба тихоходной
ступени
Проверочный
расчет по напряжениям изгиба ведем по формуле стр.140
Где
коэффициент динамической нагрузки
коэффициент
неравномерности нагрузки по длине зуба
коэффициент,
учитывающий распределение нагрузки между зубьями
При
степени точности 8(v=1,7м/с) и
,
принимаем:


YFS -
коэффициент формы зуба, выбирается при коэффициенте смещения x=0:

YFS1=3,95

YFS1=3,73
Находим
отношение 
Для
шестерни 
Для
колеса 
Расчет
ведется по шестерне
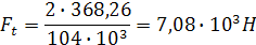
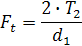
Ft - окружная
сила в зацеплении
Условие
выполняется.
3. Расчет тихоходной передачи с помощью ЭВМ
Для
расчета передачи, запускается программа:
Вводятся
исходные данные:
Запускается
обработка данных, в результате анализа, получаем:
Следовательно,
все необходимые условия соблюдены и в данной передаче, зубья не испытывают
перегрузки.
4. Расчет валов привода
.1 Проектный расчет всех валов привода
Предварительно оценим средний диаметр тихоходного вала из расчета только
на кручение при пониженных допускаемых напряжениях.
Напряжения кручения формуле 15.1 [2]:
откуда
мм;
Диаметр
вала под колесо принимаем d =90мм;
где
[
] = (10…15) МПа для редукторных валов.
После
оценки диаметра вала разработаем его конструкцию.
Посадочный
диаметр под подшипник принимаем на 5 миллиметров меньше чем диаметр валов под
колесо dn=85 мм.
Диаметр
буртика
мм
Принимаем
мм
Диаметр
выходного конца вала:
мм; где
;
Принимаем
мм
Для
быстроходной ступени:
Диаметр
вала
мм;
принимаем
d =40мм;
Посадочный
диаметр под подшипник принимаем dn=35 мм.
Диаметр
выходного конца вала:
мм;
Принимаем
стандартное значение для посадки в муфту
=32
Для
промежуточной ступени:
Диаметр
вала под колесо:
мм;
принимаем
d =50мм;
Посадочный
диаметр под подшипник принимаем dn=45 мм.
Диаметр
буртика
мм
4.2 Проверочный расчет тихоходного вала редуктора на
усталостную выносливость
Исходные
данные:
Делительный
диаметр колеса d = 520 мм.
Крутящий
момент на валу T = 1690 Н*м.
Промежуточные
длины вала 
=72 мм, 
=137 мм, 
=124,5
мм,
Определяем силы в зацеплении
Окружная
сила по формуле 8.5
:
Н
Радиальная
сила по формуле 8.6
:
Н
Где

-угол
наклона зубьев 
=0

-угол
профиля по ГОСТ 13755-81 
=
Осевая
сила:
привод подшипник вал передача
Н
Сила в месте посадки муфты стр. 263 [2]:
Материал
Сталь 45 улучшенная
Предел
прочности 
Предел
текучести 
Определим реакции в вертикальной плоскости

=1053 Н
0

=2004
Реакции
в горизонтальной плоскости

=11688 Н

14752 Н
Строим
эпюру изгибающих моментов в горизонтальной и вертикальной плоскостях, а также
суммарную эпюру моментов.
Просчитываем
опасное сечение по формулам 15.9
:
Где
d - диаметр опасного сечения ,мм
М
- максимальный изгибающий момент ,Н
м
Где

-
нормальное напряжение

-
касательное напряжение
Пределы
выносливости для стали 45 по формуле 15.7 [2]:
При
изгибе 
МПа
При
кручении 
МПА
Коэффициент безопасности по формуле 15.3, с.299, [1] :
Где

-
коэффициенты безопасности при изгибе и кручении по формулам 15.3, с.299, [1]:


МПа

Где

-амплитуды
постоянных и переменных составляющих циклов напряжений.

-
коэффициент, характеризующий влияние постоянной составляющей циклов напряжений
на сопротивление усталости для среднеуглеродистых сталей 
=0,05
По
формулам стр.306

-
эффективные коэффициенты концентрации напряжений

-
коэффициенты учитывающие размеры вала.

-
коэффициенты учитывающие шероховатость поверхности.


-
коэффициент упрочнения 
Для
посадки подшипника с натягом:

=3,3
Где



-
давление посадки на вал. По рекомендациям стр.306
P=15
МПа

Для
канавки для выхода шлифовального круга стр.307
:

=0,807

=0,741
Где


Для
галтели: 
; 
По
таблице 15.2
, при 
МПа,
находим 
Условие
соблюдается.
5.
Подбор подшипников для всех валов
привода
5.1 Предварительный выбор подшипников качения для всех валов привода
и его обоснование
В зависимости от испытуемой нагрузки, подбираем подшипники на
быстроходный, промежуточный и тихоходный валы редуктора.
Таблица 2 - Подшипники шариковые радиально-упорные ГОСТ 831-75
|
Назначение вала
|
Вид, Обозначение Подшипника
|
D, мм
|
D, мм
|
B, мм
|
C, кН
|
r, мм
|
|
Быстроходный
|
радиально-упорный 36207
|
35
|
72
|
17
|
30,8
|
2,0
|
|
Промежуточный
|
радиально-упорный 36209
|
45
|
85
|
19
|
41,2
|
2,0
|
|
Тихоходный
|
Радиальный 36117К
|
85
|
130
|
22
|
49,4
|
2,0
|
5.2 Проверочный расчет подшипников качения
тихоходного вала на динамическую грузоподъемность
Проверка производится по формуле стр.332 [2]:
Где p=3 (для шариковых подшипников)

коэффициент
надежности, по рекомендациям стр.333
,
принимаем 

коэффициент
влияния качества метала и условий эксплуатации.
По
таблице 16.3
принимаем 
.
L-ресурс работы
подшипника 
, где n =
62,4 мин -1 , ресурс t=13029 ч
-эквивалентная
динамическая нагрузка, для шариковых радиально-упорных подшипников формуле
стр.338 [2]: P= 
= (
2 + Ray 2) 1/2 = (11688 2 + 20042) 1/2 =11858 Н,
Условие
соблюдается.
6. Расчет всех шпоночных соединений привода
Для закрепления деталей на валах редуктора используем призматические
шпонки. Размеры поперечного сечения шпонок выбираем по ГОСТ 23360-78 в
соответствии с диаметром вала в месте установки шпонок. Расчётную длину
округляем до стандартного значения, согласуя с размером ступицы.
Таблица 3 - Шпонки призматические ГОСТ 23360-78
|
Вал
|
Т, Н.м
|
d, мм
|
b, мм
|
h, мм
|
l, мм
|
t1, мм
|
t2, мм
|
|
Быстроходный
|
1690,396
|
32
|
10
|
8
|
30
|
5,0
|
3,3
|
|
Промежуточный
|
368,26
|
50
|
16
|
10
|
40
|
5,5
|
3,8
|
|
Тихоходный (2 шпонки)
|
125,3
|
90 71
|
25 20
|
14 12
|
75 75
|
9 7,5
|
5,4 4,9
|
Выбранные шпонки проверяем на смятие по формуле 6.1 (с. 88, [1]):

длинна
рабочей части шпонки.

h - высота шпонки.
Проверяем
шпонки, установленные на быстроходном валу:
МПа
-
проверочное напряжение на смятие шпонки, расположенной на быстроходном валу,
соединяющей вал с муфтой.
МПа
-
напряжение на смятие шпонки расположенной на промежуточном валу.
МПа
-
напряжения смятия шпонки, расположенной на тихоходном валу, крепящей колесо.
-
напряжения смятия шпонки, тихоходного вала, соединяющей муфту с валом.
МПа
Все
выбранные шпонки удовлетворяют напряжениям смятия, так как при посадках с
натягом, для углеродистых сталей
МПа.
7. ВЫБОР И РАСЧЁТ МУФТ
Упругая втулочно-пальцевая муфта (МУВП) - одна из самых распространённых
и имеет много разновидностей. Наиболее широкое её применение имеет в приводах
для присоединения электродвигателей. Простота изготовления, монтажа и замены
изнашивающихся резиновых втулок дают ей преимущество перед многими другими
конструкциями, несмотря на её недостатки. МУВП имеет сравнительно жёсткую
характеристику из-за небольшого объёма деформируемых упругих элементов
(резиновых втулок). Достаточно чувствительна к смещению валов, хотя и допускает
радиальное смещение в пределах 0,3…0,4 мм, угловое - до 1° и значительное осевое - до 5 мм.
Муфта выбирается по расчётному моменту:
Где
К - коэффициент режима работы, в нашем случаи при легком режиме по
рекомендациям стр.362
принимаем К=1,25.
-
расчетное значение крутящего момента, на быстроходном валу
=0,1253, на тихоходном
=1,690396.
кН∙м
кН∙м
По
найденным значениям, подбираем муфты:
Таблица
3 - МУВП ГОСТ 1050-88.
|
вал
|
Тр, кН∙м
|
d, мм
|
 , мм , мм , ммz
|
|
|
|
|
быстроходный
|
0,156
|
32
|
100
|
16
|
70
|
6
|
|
тихоходный
|
2,1
|
71
|
180
|
28
|
40
|
6
|
Проверка осуществляется для резиновых втулок по напряжениям смятия, а
пальцев - по изгибу, как консольных балок, закреплённых в полумуфте.
Упругие элементы проверяются на смятие по формуле стр.314 [1]:
sСМ = 2
103 
Тк / (Zc
D0
dП
lВТ) £[s]СМ; (8.1)
где
Тк - вращательный момент;
Zc - количество
пальцев;
D0 - диаметр
окружности расположения пальцев;
dП - диаметр
пальца;
lВТ - длина
упругого элемента;
[s]СМ = 2,0 МПа - допускаемые напряжения , стр.314 [1];
Для
муфты, соединяющей тихоходный вал с приводным со звездочкой:
sСМ1=
180
1,597£ [s]СМ = 2;
Для
муфты, соединяющей быстроходный вал с двигателем:
sСМ2=
100
0,62£ [s]СМ = 2;
Условие
выполняется.
Пальцы
муфты изготавливают из Стали 45 и рассчитывают на изгиб по формуле стр. 314
[1]:
sИ = 2103 
Тк (0,5
lВТ +
С) / (Zc
D0 
0,1dП3) £[s]И; (8.2)
где
С = 5 мм - зазор между полумуфтами ;
[s]И = 60…80 МПа - допускаемые напряжения изгиба,
стр.314 [1] ;
sИ1= 2
103 
1690,39(0,5
70 + 5) /
(6
180
0,1
283) =
57,23£[s]И
sИ1= 2
103 
125,3(0,5
40 + 5) /
(6
100
0,1
163) =
25,49£[s]И
Условие выполняется.
8. Смазка редуктора
В редукторе применяют наиболее простой способ смазки - картерный
непроточный (окунание зубьев зубчатых колёс в масло, залитое в корпус). Этот
способ смазки был выбран потому, что окружные скорости не превышают 12..15 м/с.
Глубина погружения в масляную ванну зубчатого колеса принимают обычно от
2 до 6 модулей.
Зубчатое колесо следует погружать на высоту его витка, при этом уровень
масла не должен быть выше центра нижнего шарика подшипника качения. Это
ограничение обеспечивает уменьшение потерь в подшипниках и упрощает уплотнения
выходного конца вала.
Объём заливаемого масла определяем по формуле:
,
где
- внутренняя длина редуктора
-
внутренняя ширина редуктора
- высота
масла в редукторе
л.
Принимаем
для смазки редуктора масло автотракторное АК-10 ГОСТ 17472-85, имеющее
кинематическую вязкость
.
Подшипники
подбираем закрытого типа, не требующие внешней смазки.
9. Порядок сборки привода, выполнение
необходимых регулировочных работ
Редуктор и двигатель устанавливается на платики, которые привариваются к
швеллеру рамы. Сварка платиков производится сварочным швом 8№1, сварка
швеллеров производится сварочным швом №2 ГОСТ 5264-80. Диаметры отверстий под
болты для крепления редуктора 24 мм, под болты для крепления электродвигателя
14 мм, под болты для крепления рамы 24 мм.
В процессе установки редуктора, двигателя и приводного вала со звездою,
на концы валов со шпоночными пазами одеваются полумуфты, которые затем
соединяются втулочными пальцами.
При сборке и в последующем, необходимо регулировать путем поджима пальцев
муфт соостное расположение валов, т.к. поворот одного вала относительно другого
на незначительный угол, значительно изменит передаваемый крутящий момент и
нагрузку на муфту, может произойти разрушение.
Так же необходимо регулировать зажим болтов, гаек, уровень масла в
редукторе и заменять его при необходимости во избежание повышенного износа и
нагревания редуктора.
10. Составление компоновочной схемы редуктора
Компоновочный чертеж выполняем в одной проекции - разрез по осям валов
при снятой крышке редуктора; масштаб 1:2, чертим в тонких линиях.
Примерно посередине листа параллельно его длинной стороне проводим
горизонтальную осевую линию; затем две вертикальные линии - оси валов на
расстоянии аw=312 мм.
Вычерчиваем упрощенно шестерню и колесо в виде прямоугольников; шестерня
выполнена за одно целое с валом; длина ступицы колеса равна ширине венца и не
выступает за пределы прямоугольника.
Очерчиваем внутреннюю стенку корпуса:
а) принимаем зазор между торцом ступицы колеса и внутренней стенкой
корпуса с=1,2δ=1,2×10,8=12,96 мм, принимаем 13 мм;
б) принимаем зазор от окружности вершин зубьев колеса до внутренней
стенки корпуса с=13 мм;
в) принимаем расстояние между наружным колесом подшипника ведущего вала и
внутренней стенкой корпуса с1=5 мм;
Намечаем подшипники по диаметру вала в месте посадки подшипников dп1=35
мм и dп2=45 мм, габариты подшипников указаны в таблице 1,построенной ранее.
Толщину фланца Δ крышки подшипника принимаем 10 м.
Второй этап компоновки имеет целью конструктивно оформить зубчатые
колеса, валы, корпус, подшипниковые узлы и подготовить данные для проверки
прочности валов и некоторых других деталей.
Примерный порядок выполнения следующий.
Вычерчиваем шестерню и колесо по конструктивным размерам, найденным
ранее.
Конструируем узел быстроходного вала:
а) наносим осевые линии, удаленные от середины редуктора на расстояние
l1. Используя эти осевые линии, вычерчиваем в разрезе подшипники качения;
в) вычерчиваем крышки подшипников с уплотнительными прокладками и
болтами.
Аналогично конструируем узлы промежуточного и тихоходного вала, имея
некоторые особенности:
а) для фиксации зубчатого колеса в осевом направлении предусматриваем
наличие упорного буртика на валу с одной стороны и установку распорной втулки -
с другой;
б) вычерчиваем подшипники, крышки подшипников с уплотнительными
прокладками и болтами.
На ведущем и ведомом валах применяем шпонки призматические со
скругленными торцами по ГОСТ 23360-78. Вычерчиваем шпонки, принимая их длины на
5-10 мм меньше длин ступиц.
11. Техника безопасности
Вся работа по охране труда и техники безопасности ведется в соответствии
с утвержденным директором (руководителем) «Приложением об организации работы по
охране труда».
Согласно положению общее руководство и ответственность за состояние охраны
труда, обеспечение должных санитарно-гигиенических условий труда и быта на
производстве, за использование материальных и денежных средств, выделяемых на
эти цели, возлагается на руководителя предприятия.
Непосредственное руководство и ответственность за правильную организацию
работы по охране труда, внедрение и соблюдение стандартов, правил и норм по
охране труда и техники безопасности в целом возлагается на главного инженера.
Проведение организаторской и методической работы по охране труда,
осуществление контроля за выполнением мероприятий по созданию безопасных
условий труда возлагается на исполняющего обязанности инженера по технике
безопасности.
Ответственность за несчастные случаи или профессиональные заболевания,
произошедшие на предприятии, несут лица административно-технического персонала,
которые своими распоряжениями или действиями нарушали соответствующие правила
или инструкции по технике безопасности и производственной санитарии и не
приняли зависящих от них мер для предотвращения несчастных случаев и
профессиональных заболеваний.
Каждый работающий, служащий и научно-технический работник, как вновь
принятый, так и переводимый инженером по технике безопасности с одной работы на
другую, получает следующие виды инструктажа:
)вводный инструктаж по охране труда и противопожарной безопасности,
проводимый инженером по технике безопасности;
2) первичный инструктаж по технике безопасности, промсанитарии и пожарной
безопасности на рабочем месте, проводимый мастером и руководителем
подразделения с условиями работы, с опасными местами и моментами в работе, с
действующими инструкциями и правилами внутреннего распорядка.
Кроме того не реже одного раза в квартал проводится повторный инструктаж
руководителями подразделения.
На все виды инструктажа и для видов работ для рабочих, служащих и
научно-технических работников (НТР) разработаны и утверждены соответствующие
инструкции.
Обязанности по ТБ каждого рабочего:
проводить работу в соответствии с заданием, нарядом-допуском, инструкцией
по рабочему месту и другими документами и соблюдать требования безопасности при
выполнении этих работ;
проверить на своем рабочем месте до начала работы исправность
оборудования, приборов, средств защиты, устройств защитного заземления,
ограждений, противопожарных средств, инструмента, приспособлений;
содержать в чистоте свое рабочее место и оборудования, работать с
использованием требуемых средств защиты, приспособлений и спецодежды;
не допускать присутствия посторонних лиц на свое рабочее место;
·
вести техническую
документацию предусмотренную инструкцией по рабочему месту.
Требования безопасности при ведении технологического процесса.
.Основным условием, обеспечивающим безопасность работы, является строгое
соблюдение параметров технологического процесса, знание обслуживающим
персоналом и точное ведение установленного технологического режима, а также
инструкций по правилам ведения работ, технике безопасности и противопожарной
безопасности.
. Запорная регулирующая арматура, исполнительные механизмы, участвующие в
схемах контроля, управления после ремонта и перед установкой по месту должны
проходить периодические испытания на быстроту действия, прочность, плотность
закрытия с оформлением актов или с записью в журнале.
. Запрещается ведение технологического процесса и работа оборудования с
неисправными или отключенными системами контроля управления, противоаварийной
защиты. Допускается в исключительных случаях по письменному разрешению
руководителя производства кратковременное отключение защиты по отдельному
параметру только в дневную смену. Действие тока на организм человека.
Электрический ток невидим, неслышим, не имеет цвета и запаха.
Наличие тока можно определить только специальными приборами.
Переменный ток силой: 0,6 - 5 мА - вызывает болезненное ощущение;
- 10 мА - является отпускающим; 10 - 15 мА - является удерживающим;
- 100 мА - смертельным.
Производит термическое, электролитическое и биологическое действие.
Термическое действие проявляется в ожогах отдельных участков тела,
нагреве кровеносных сосудов, сердца, нервов, мозга.
Электролитическое действие выражается в разложении органической жидкости,
крови.
Биологическое действие проявляется в раздражении и возбуждении живых
тканей организма, нарушении внутренних биоэлектрических процессов.
ЗАКЛЮЧЕНИЕ
При выполнении курсового проекта по “Деталям машин” были закреплены
знания, полученные за прошедший период обучения в таких дисциплинах как:
теоретическая механика, сопротивление материалов, материаловеденье.
Целью данного проекта является проектирование привода конвейера, который
состоит как из стандартных (двигатель, муфта, болты, звёздочка, подшипники и
т.д.) деталей, так и из деталей форма и размеры которых определяются на основе
конструктивных, технологических, экономических и других нормативов (корпус и
крышка редуктора, валы и др.).
В ходе решения поставленные передом мной задач, была основана методика
выбора элементов привода, получены навыки проектирования, позволяющие
обеспечить необходимый технический уровень, надёжность и долгий срок службы
механизма.
Опыт и навыки, полученные в ходе выполнения курсового проекта, будут
востребованы при выполнении как курсовых проектов по специальным дисциплинам,
так и при выполнении дипломного проекта.
Список использованных источников
1.
Рогачевский Н.И.,
Кравец Н.Ф. Проектирование узлов и деталей машин: Техническое предложение и
эскизный проект. - Могилев: ММИ, 1997. - 24с.
2.
Иванов М.Н.
Детали машин: Учебник для машиностроительных специальностей ВУЗов. - М.: Высшая
школа, 1984. - 336 с.
3.
Кузьмин А.В. и
др. Расчеты деталей машин. - Мн.: Высшая школа, 1986. - 400 с.
4.
Рогачевский Н.И.
Расчет цилиндрических зубчатых передач на ЭВМ в режиме диалога: Методические
указания. - Могилев: ММИ, 1992. - 23 с.
5.
Чернавский С.А.,
Снесарев Г.А., Козинцов Б.С и др. Проектирование механических передач - М.:
Машиностроение, 1984. - 560 с.