Автоматизация бизнес-процессов телефонного маркетинга
Содержание
Введение
. Обзор информационных систем
телефонного маркетинга
.1 Информационные системы
.1.1 Определение
.1.2 Свойства
.1.3 История развития
.1.4 Значение и области применения
.2 Call-центры
.2.1 История развития
.2.2 Направления деятельности и
решаемые задачи
.2.3 Телефонный маркетинг
. Разработка системы
планирования звонков
.1 Общие требования к системе
планирования звонков
.2 Правила обзвона клиентов
.3 Используемые программные
технологии
.4 Архитектура системы планирования
звонков
. Эксплуатация системы
планирования звонков
.1 Интерфейс оператора
.2 Интерфейс супервайзера
.2 Генератора отчетов
Заключение
Библиография
Введение
Каждая компания, стремящаяся иметь конкурентоспособные рыночные позиции и
работать максимально эффективно, старается найти оптимальную модель работы для
своего бизнеса, способствующую совершенствованию организации производства,
оперативному и долгосрочному планированию, прогнозированию и анализу
деятельности компаний. В современных жестких рыночных условиях решением данных
задач нередко становится автоматизация бизнес-процессов.
Автоматизация бизнес-процессов приносит следующие преимущества:
· сокращение сроков исполнения задач;
· уменьшение трудозатрат;
· оптимизация процесса обработки информации;
· усовершенствование производственного процесса;
· рост эффективности взаимодействия с клиентами;
· оперативность финансовой отчетности и аналитики;
· повышение уровня командной работы.
Как результат - это приводит к повышению эффективности работы предприятия
в целом.
Задачи автоматизации бизнес-процессов можно решить, применив комплексные
информационные системы. Таким образом, использование баз данных и
информационных систем становится неотъемлемой составляющей деловой деятельности
современного человека и функционирования преуспевающих организаций.
1. Обзор
информационных систем телефонного маркетинга
.1
Информационные системы
.1.1
Определение
В информатике слово "система" широко распространено и имеет
множество смысловых значений. Чаще всего оно используется применительно к
набору технических средств и компьютерных программ: системой может называться
аппаратная часть компьютера, системой может также считаться множество программ
для решения конкретных прикладных задач, существуют системы процедур для
ведения документации и управления расчетами.
Под системой понимают также объект, который одновременно рассматривается
и как единое целое, и как совокупность разнородных элементов, объединенных в
интересах достижения поставленных целей. Системы различаются как по составу,
так и по главным целям. В Таблице 1 приведены примеры систем, состоящих из
разных элементов и направленных на реализацию разных целей.
|
Таблица 1. Примеры сложных
систем
|
|
Система
|
Элементы системы
|
Назначение системы
|
|
Компания
|
Структура, персонал,
финансы, помещения, оборудование, материалы
|
Производство товаров и
услуг
|
|
Компьютерная вычислительная
система
|
Компьютеры, архитектура,
конфигурация, электронные и электромеханические элементы, программное
обеспечение, линии связи, порты
|
Ввод, обработка, хранение и
вывод данных
|
|
Телекоммуникационная
система
|
Компьютеры, модемы, кабели,
сетевое программное обеспечение, персонал
|
Передача информации
|
|
Информационная система
|
Компьютеры, компьютерные
сети, информационное и программное обеспечение, персонал
|
Сбор, обработка, анализ, передача,
хранение, обеспечение безопасности информации
|
Добавление к понятию "система" слова "информационная"
отражает цель ее создания и функционирования. Информационные системы
обеспечивают процессы по сбору, хранению, обработке, поиску, выдаче информации,
необходимой в процессе принятия решений задач в любой области. Они помогают
анализировать проблемы, осуществлять стратегическое планирование и создавать
новые продукты.
Необходимо понимать разницу между компьютерами и информационными
системами. Компьютеры, оснащенные специализированными программными средствами,
являются технической базой и инструментом для информационных систем.
Информационная система немыслима без определения ее миссии, задач, архитектуры,
инфраструктуры, конфигурации, средств телекоммуникаций и персонала,
взаимодействующего с компьютерами.
В связи с этим можно сформулировать определение информационной системы
следующим образом:
Информационная система - взаимосвязанная совокупность концепций, методов,
технологий, технических и программных средств, используемых для сбора,
обработки, хранения и выдачи информации потребителю в интересах достижения
поставленной цели. Современное понимание информационной системы предполагает
использование компьютера и цифровой техники в качестве основного технического
средства переработки информации.
.1.2 Свойства
Информационная система определяется следующими свойствами:
· ИС может быть подвергнута анализу, построена и управляема на
основе общих принципов построения сложных систем;
· При построении ИС используется системный подход;
· ИС является динамичной и развивающейся системой;
· ИС следует воспринимать как систему обработки информации,
состоящую из компьютерных и телекоммуникационных устройств и реализованную на
базе современных технологий;
· Выходной продукцией ИС является информация, на основе которой
принимаются решения или производится автоматическое выполнение рутинных
операций;
· Участие человека зависит от сложности системы, типов и
наборов данных, степени формализации решаемых задач.
В крупных организациях, наряду с персональным компьютером, в состав
технической базы информационной системы может входить универсальная ЭВМ
(Mainframe), а также другие цифровые устройства и компоненты. Кроме того,
техническое воплощение информационной системы само по себе ничего не будет
значить, если не учтена роль человека, конечного пользователя, для которого
предназначена производимая информация и без которого невозможно ее получение и
представление.
.1.3 История
развития
Впервые понятие информационные системы появилось в 1950-х годах. В эти
годы ИС были предназначены для обработки счетов и расчета зарплаты, а
реализовывались на электромеханических бухгалтерских счетных машинах. Это
приводило к некоторому сокращению затрат и времени на подготовку бумажных
документов.
-е годы знаменовались изменением отношения к информационным системам.
Информация, полученная с их помощью, стала применяться для периодической
отчетности по многим параметрам. Для этого организациям требовалось
компьютерное оборудование широкого назначения, способное обслуживать множество
функций, а не только обрабатывать счета и считать зарплату, как было раньше.
В 1970-х и 1980-х гг. информационные системы начали широко использоваться
в качестве средства управленческого контроля, поддерживающего и ускоряющего
процесс принятия решений.
К середине 1990-х гг. концепция использования информационных систем снова
изменилась. Они стали стратегическим источником информации и применяются на
всех уровнях организации любого профиля. Информационные системы этого периода,
вовремя предоставляя нужную информацию, помогают организации достичь успеха в
своей деятельности, создавать новые товары и услуги, находить новые рынки
сбыта, обеспечивать себе достойных партнеров, организовывать выпуск продукции
по низкой цене и многое другое.
История развития информационных систем и цели их использования на разных
этапах представлены в Таблице 2 и на Рис. 1.
Таблица 2. Этапы развития
информационных систем
|
Период времени
|
Концепция использования
информации
|
Вид информационных систем
|
Цель использования
|
|
1950-1960 гг.
|
Бумажный поток расчетных
документов
|
Информационные системы
обработки расчетных документов на электромеханических бухгалтерских машинах
|
Повышение скорости
обработки документов. Упрощение процедуры обработки счетов и расчета зарплаты
|
|
1960-1970 гг.
|
Основная помощь в
подготовке отчетов
|
Управленческие ИС для
производственной информации
|
Ускорение процесса
подготовки отчетности
|
|
1970-1980 гг.
|
Управленческий контроль
производства и реализации
|
Системы поддержки принятия
решений
|
Выработка наиболее
рационального решения
|
|
1980 гг. - настоящее время
|
Управление стратегией
развития предприятия
|
Системы для высшего звена
управления
|
Поддержка управления
возможностями бизнеса
|
Рис. 1: Развитие концепции информационных систем
Продвижение на рынок новых видов продукции для большинства современных
компаний не может обеспечивать устойчивое конкурентное преимущество. В рамках
постоянно изменяющихся условий конкуренции и сбыта, системы автоматизации
производства быстро устаревают. И эффективная инновация не может быть сведена
только к новой продукции. Компаниям необходим набор конкурентных качеств -
дизайн продукта, направленность маркетинга, каналы сбыта и предоставление услуг
и т.д. Но главным из них в настоящее время, безусловно, является организация
производства, его оптимизация и автоматизация. Решение данных задач позволяет
предоставлять потребителям новое качество - более привлекательное соотношение
между воспринимаемой ценностью и действительной ценой.
Успешность стратегий, направленных на повышение ценности производимой
продукции и на ее удешевление, во многом характеризуется быстротой реакции на
требования рынка. Как правило, чем выше скорость этой реакции, тем выше
прибыль. Добиться данного эффекта возможно только при использовании максимально
гибкой и не дорогостоящей организации процессов.
Информационные технологии и
организация управления, производства и сбыта взаимно дополняют друг друга и
обеспечивают предоставление ожидаемого продукта или услуги с наибольшей
скоростью и с требуемым качеством.
Таким образом, IT и бизнес взаимно
влияют друг на друга. С одной стороны, информационные технологии и построенные
на их основе информационные системы должны быть полностью интегрированы в
деятельность предприятия. С другой стороны, бизнес должен постоянно поддерживаться
ИТ, открывать для себя новые возможности, но и развивать их, чтобы извлечь
максимальную выгоду из новых технологий. Таким образом, ИТ постепенно смещаются
в центр парадигмы управления предприятием.
Взаимодействие между технологиями и
бизнесом - сложная и комплексная проблема. Оно подвержено влиянию большого
числа факторов, включая структуру бизнеса, организационно-функциональное
построение предприятия, бизнес-правила, политику, корпоративную культуру, опыт
и знания управленцев, внутренние технологические процессы, внешнее окружение.
На данный момент вычислительные и
телекоммуникационные средства достигли достаточно высокого уровня развития, а
объемы перерабатываемой информации стали настолько велики, что информация стала
товаром и важнейшим стратегическим ресурсом.
Основные эффекты от применения
информационных систем в современном бизнесе приведены в Таблице 3.
|
Таблица 3. Потенциальные
эффекты применения информационных систем
|
|
Сфера применения
|
Потенциальный результат
|
|
Управление
|
сокращение количества уровней
управления и высвобождение работников среднего звена управления, упразднение
ряда функций; снижение административных расходов;
|
|
освобождение персонала от
большой части рутинной работы, высвобождение времени для интеллектуальной
деятельности;
|
|
рационализация решения
управленческих задач за счет внедрения математических методов обработки
данных и систем искусственного интеллекта;
|
|
создание современной
динамичной организационной структуры, повышение гибкости и управляемости
организации;
|
|
экономия времени на
планирование деятельности и принятие решений;
|
|
повышение квалификации и
информационной грамотности управленцев;
|
|
увеличение конкурентного
преимущества.
|
|
совершенствование структуры
потоков информации;
|
|
Информационная среда
|
эффективность координации
корпоративной деятельности;
|
|
обеспечение пользователей
достоверной информацией;
|
|
прямой доступ к
информационному продукту;
|
|
реализация информационных
систем общего и специального назначений на базе новейших
программно-аппаратных вычислительных и телекоммуникационных средств и
методов;
|
|
интеграция информационных
модулей для многопрофильных предприятий;
|
|
надежная защита информации.
|
|
оптимальное планирование
денежных ресурсов;
|
|
Финансы и документы
|
автоматизация обработки
планово-финансовых документов и производства транзакций;
|
|
эффективный
документооборот;
|
|
увеличение выручки,
уменьшение издержек - увеличение прибыли.
|
|
сокращение времени на
проектирование и развертывание производства;
|
|
Производство
|
расширение полезных свойств
продукта и сферы возможного применения; предоставление потребителю
уникальных, в том числе и информационных услуг;
|
|
совершенствование системы
качества предприятия, качества продуктов и услуг;
|
|
уменьшение совокупных
затрат на производство продукта, услуги;
|
|
повышение производительности
труда;
|
|
рационализация
материально-технического снабжения, сокращение запасов;
|
|
уменьшение времени, затрат
и количества труда на приемку, обработку и выполнение заказов.
|
|
создание новых возможностей
по получению и распределению информации (наглядность, скорость передачи
сообщений, достоверность);
|
|
Маркетинг
|
информационная поддержка
изучения рынка и поиска новых ниш;
|
|
более эффективное
взаимодействие с потребителем - возможность идентификации и изучения
потребителей конкретного продукта или услуги; повышение способности гибко
реагировать на спрос.
|
Наибольший эффект от применения современных ИС могут получить компании,
обладающие одним или несколькими из следующих признаков:
· большое число рутинных операций с формализованными данными;
· сложная логистика;
· большое количество поставщиков;
· широкая номенклатура производства;
· территориальная распределенность компании;
· большое число клиентов;
· высокая интеллектуальная (нематериальная) составляющая
продукта;
· непосредственное применение компьютерных вычислительных
систем в производстве и управлении;
· высокая скорость производственного цикла.
Этим характеристикам в первую очередь отвечают компании из отраслей
коммуникации, информационных услуг, торговли, финансов, транспорта, автомобиле-
и авиастроения, энергоснабжения, разработки программного обеспечения.
К данной категории относятся и компании, занимающиеся предоставлением
услуг аутсорсиноговых контакт-центров (call-центров).
.2
Call-центры
.2.1 История
развития
Жизнь современного общества достаточно тесно связана с call-центрами, но
несмотря на это, большинство граждан не имеют понятия о том, что такое
call-центр. Дело в том, что в случае возникновения проблемы, вопроса, претензии
или пожелания, клиенты просто обращаются по указанному телефонному номеру. При
этом особенности функционирования и организации данной системы, остаются в
тени.
Самое простое определение понятия «call-центр» звучит следующим образом:
Телефонный центр (в дальнейшем, ТЦ) - специально оборудованное место,
обрабатывающее большое количество входящих и исходящих телефонных звонков.
Однако теперь многие компании, работающие в этой сфере, значительно выходят за
рамки данного определения. Их функциональные возможности гораздо шире. Сейчас
call-центр - не просто скопление людей и телефонных аппаратов. Современные
операторы работают с факсами, интернетом, web-страницами, видеоматериалами и т.
д. А сам «центр» представляет собой распределенную сеть, способную объединять
call-центры в разных концах страны, а также подключать операторов, работающих с
помощью установленных дома компьютерно-телефонных систем.центры бывают
внутренними (созданными внутри компании) и аутсорсинговыми (нанятыми со
стороны). В контексте данной работы преимущественно будут рассматриваться
внешние контакт-центры.
Аутсорсинг - передача компанией-заказчиком ключевых функций другим
компаниям, специализирующимся на выполнении подобных задач.
Телефонные центры (контакт-центры) появились в мире бизнеса относительно
недавно, но уже стали важным рабочим инструментом. За рубежом call-центры
получили большее распространение, чем в нашей стране. Например, в Соединенных
Штатах Америки уже более 80 % компаний имеют собственные или аутсорсинговые
call-центры. И именно США является лидером во всем мире по применению call-центров
в рабочем процессе. По результатам исследований, можно сказать, что от 60 до 75
% общения клиента с компанией проходит посредством call-центров.
Велика роль контакт-центров и для государства в целом. По статистические
данным США в 2006 году в сфере call-центров было задействовано 3 %
трудоспособного населения Америки.
В России контакт-центры появились только к концу 90-х годов. Первыми
услугами call-центров воспользовались телекоммуникационные операторы
стационарной и мобильной связи в 1995 году. Именно в этой сфере деятельности
прослеживается наиболее динамичный рост числа рабочих мест персонала, что
объясняется высоким уровнем конкуренции. Контакт-центры позволяют расширить
уровень функциональности предоставляемых услуг, вводить новые технологии и предоставлять
клиентам дополнительные сервисные услуги.
Аутсорсинговые call-центры также нашли свое применение среди крупных
российских компаний. Специализированной организации занимались созданием
горячих линий для проведения акций и специальных предложений от лица
Заказчиков.
Первый аутсорсинговый call-центр появился в Москве в 1998 году. В это
время многие другие российские телекоммуникационные компании только начали
создавать внутрифирменные call-центры. Данный контакт-центр был организован в
следствие принятия дальновидного и плодотворного решения со стороны руководства
компании. Было решено сдавать в аренду часть внутрифирменного call-центра для
обслуживания клиентов сторонних организаций.
Вскоре аутсорсинг в области call-центров стал популярной услугой, и
растущая конкуренция подтолкнула компании к введению новых программ работы и
модернизации оборудования. Например, в 2000 году было создано объединение
нескольких компаний с общим пакетом услуг интеллектуальной сети с единой
торговой маркой. В начале 2002 года конкуренция заставила значительно увеличить
число линий связи, соединяющих интеллектуальную телефонную сеть компании (на
ней и базируется call-центр) и телефонную сеть общего пользования; был
приобретен и инсталлирован очередной телефонный сервер. Компания-пионер
российского аутсорсинга считает себя первооткрывателем и в области развития
услуг интеллектуальной связи.
Сейчас операторы сотовой связи в большинстве случаев не сдают в аренду
call-центры, а используют их для решения собственных задач. Однако в целом,
итогом развития ТЦ в России является сегментирование рынка на профессиональные
call-центры, действующие по принципу аутсорсинга (как правило, это крупные
телекоммуникационные операторы); и рынок корпоративных call-центров,
создаваемых на базе собственной инфраструктуры (сотовые операторы и банки).
По сравнению с внутрифирменными call-центрами, аутсорсинговая модель
показывает больший рост: за последние 2 года спрос на услуги call-центра
аутсорсинговых компаний повысился примерно на 200 %.
1.2.2
Направления деятельности и решаемые задачи
Еще совсем недавно большинство людей считали, что call-центр может быть
либо справочной службой компании, либо книгой жалоб и предложений, либо и тем и
другим одновременно.
Теперь руководство все большего количества компаний начинает понимать,
что call-центр способен не только формировать лояльность клиента, поддерживать
с ним обратную связь и предоставлять информацию для клиентских баз данных, но и
стимулировать спрос на выпускаемую продукцию (оказываемые услуги).центр - не
просто большое помещение с множеством операторских мест с многоканальными
телефонами. Call-центр - это звено, связующее компанию с ее потребителями
посредством телефонного аппарата.
Функции профессионального call-центра не ограничиваются простым
переключением телефонных линий, перераспределением звонков и фиксацией
информации от клиентов и о клиентах. Оператор профессионального call-центра
должен владеть исчерпывающей информацией о компании и товарах, производимых ею,
а также уметь эти товары продавать.
Однако call-центры нужны не только компаниям перечисленных сфер
деятельности. Они необходимы для бизнеса разных отраслей и размеров. Не имеет
значения, на каком этапе жизненного цикла находятся товар или услуга,
продвигаемые компанией на рынке. При правильном понимании работы call-центра и
правильной ее организации, call-центр в любом случае будет помогать компании
увеличивать размеры прибыли. Это объясняется тем, что call-центры - один из
важнейших инструментов популярной в последнее время маркетинговой концепции CRM
(Customer Relations Management).
Суть этой концепции состоит в том, что компания должна полностью
ориентироваться на своего потребителя, предугадывать его потребности и иметь
исчерпывающую информацию о нем.
Посредством call-центра можно решать следующие задачи:
• создать долгосрочную обратную связь с потенциальными и реальными
клиентами;
• узнавать объективное мнение клиентов о компании и предоставляемой
продукции;
• оценивать эффективность рекламной компании, промо-акции и т. д.;
• определить причины понижения спроса на продукцию;
• гибко и своевременно реагировать на изменения потребностей целевой
аудитории;
• отслеживать качество работы филиалов и подразделений компании;
• узнать возможную реакцию аудитория на выпуск новой продукции;
• предложить сопутствующие товары и услуги постоянным покупателям и
многое другое.
Помимо этого, наличие в компании контакт-центра положительно
воспринимается самими потребителями, так как оно отображает заинтересованность
фирмы в потребностях клиентов и готовность в связи с ними вносить изменения. На
сегодняшний день наличие call-центра в некоторой степени является показателем
статуса и имиджа компании.
Иначе говоря, для постоянного повышения уровня обслуживания и
информирования целевой аудитории, для отслеживания последних тенденций на рынке
современным компаниям просто необходим ТЦ. Если фирма работает на массовом
рынке или в сегменте малого и среднего бизнеса, ее товары или услуги нуждаются
в информационной поддержке или же продажи по телефону являются элементом
реализации стратегии деятельности этой компании; если она заботится о повышении
лояльности потребителей к ее торговой марке, контакт-центр может стать тем
инструментом, который позволит реализовать задуманные бизнес-стратегии и
достичь поставленных целей.
Наиболее часто с этой точки зрения услугами call-центров пользуются
компании, бизнес которых строится на продаже товаров или предоставлении услуг
большому числу конечных потребителей.
Рассмотрим отдельно преимущества от использования аутсорсинговых
контакт-центров. Компании западных стран, пользующиеся услугами
профессиональных аутсорсеров, давно подсчитали убытки на создание собственного
call-центра.
Аутсорсинговые контакт-центры позволяют значительно сэкономить деньги
Заказчиков, так как берут на себя все затраты, связанные с организацией и
содержанием ТЦ: прямые затраты на клиентское обслуживание, расходы на подбор,
обучение и мотивацию персонала, стоимость управленческого участия, стоимость
специального оборудования и помещения и многое другое. Помимо этого данные
телефонные центры обладают всеми необходимыми знаниями и навыками для
выполнения поставленных задач. Они используют четко прописанные алгоритмы
работы со звонками, их распределения по специалистам компании, а также имеют
проработанные схемы поведения с клиентами, все возможные вопросы и ответы.
Очевидна и экономическая целесообразность использования услуг телефонного
аутсорсинга. Лишь одно минимально оснащенное рабочее место оператора будет
стоить от 3 до 5 тысяч долларов; при полном оснащении стоимость операторского
места может достигать десятков тысяч долларов. Соответственно, расходы на
выделение отдельного помещения, покупку оборудования, подбор, обучение и
курирование персонала и т. д. при создании внутрифирменного call-центра
складываются в сумму, которая несоизмеримо больше затрат на услуги
компаний-аутсорсеров.
В западных странах передача call-центров на аутсорсинг крайне популярна.
Наибольшее распространение такой подход получил в США - больше половины
(примерно 65 %) американских компаний пользуются услугами аутсорсинговых
call-центров.
Услуги компаний-аутсорсеров, специализирующихся на call-центрах, могут
использоваться как на постоянной основе, так и во время максимальных сезонных
продаж или в поддержку рекламной акции.
Как правило, персонал аутсорсинговых call-центров проходит множество
специальных курсов тренингов: по психологии телефонного общения, по «холодным»
телефонным звонкам и по технике продаж. Обязательными являются тренинги, на
которых операторы получают полную информацию по ассортименту, истории и другие
сведения о компании-заказчике. В процессе таких тренингов, совместно с
маркетинговым подразделением клиента, разрабатываются сценарии контактов. Все
это позволяет обеспечить самое высочакое качество аутсорсинговых услуг, во
многом даже превосходящее внутренний контакт-центр. Более того, зачастую только
внешний колл-центр может работать 24 часа в сутки и семь дней в неделю (нет
проблемы выходных, отпусков, больничных). Также эти центры в состоянии
обеспечить продукту любую языковую поддержку. Без пропущенных звонков и ожидания
в очереди. Кроме этого, существуют различные варианты взаимодействия компании и
аутсорсингового call-центра, например, можно закреплять конкретных операторов
за конкретным проектом или сразу за несколькими. К тому же возможно частичное
использование аутсорсинга, т. е. аренда рабочих мест и оборудования для
собственных операторов, либо использование услуг профессиональных операторов,
кураторов, тренеров внутри собственного контакт-центра компании.
Собственный call-центр как правило создается тогда, когда для поддержания
соответствующего желаниям компании уровня обслуживания клиентов необходимо
внутрифирменное, эффективное и контролируемое взаимодействие операторов с
клиентами.
Как правило, контакт-центры используются для реализации следующих
функций:
) «Горячие линии», созданные в поддержку рекламной акции - во время
проведения маркетингового мероприятия, в частности рекламной акции, появляется
необходимость дополнительного информирования клиентов - эту необходимость
удовлетворяет «горячая линия». Клиент, который связался с оператором по данному
номеру, получает подробную информацию о том, как принять участие в акции, какой
приз и ответы на другие интересующие вопросы. Плюс к этому он может высказать
свое мнение и пожелания о конкретной акции или продукте и компании в целом.
Операторы создают списки наиболее часто встречающихся вопросов, пожеланий,
недовольств и другой информации, получаемой от клиента. Такие списки помогают
компании анализировать настроение потребителей и стараться ориентироваться на
них.
) Служба поддержки - потребители (потенциальные и реальные), позвонившие
по номеру службы поддержки, получают от операторов информацию о преимуществах,
свойствах, особенностях и способах применения новых или давно выпускающихся
продуктов или услуг. Можно узнать о месте расположении сервис-центров,
магазинов и офисов компании, об условиях участия в рекламной акции, если
таковая проводится и т. д.
) Информирование и анкетирование потребителей, повышение и поддержка
уровня их лояльности, стимулирование спроса - в предельно короткие сроки
операторы call-центра могут донести информацию до большого количества клиентов
компании. Например, проинформировать о новинках, скидках, новых ценовых
предложениях, рекламных акциях, мероприятиях и т. д. Помимо этого операторы от
лица компании-заказчика могут поздравить постоянных клиентов с днем рождения
или другими праздниками, таким образом повышая их лояльность. Также существует
возможность проводить через операторов социологические опросы и разного рода
исследования потенциальных и уже существующих клиентов, при этом операторы
могут использовать различные виды контактного инструментария: обычный или
мобильный телефон, факс, обычную и электронную почту, короткие текстовые
сообщения (SMS).
) Продажи по телефону - операторы call-центра могут брать на себя
обязанность обеспечения первого уровня контакта продажи путем массовых звонков
потенциальным клиентам. Это происходит по следующей схеме: по имеющейся базе
данных потенциальных клиентов оператор обзванивает указанных в ней людей,
создает с ними контакт, информирует их обо всем необходимом (предложение,
стоимость, свойства, преимущества и т. д.), фиксирует уровень лояльности и
готовности к сделке и координаты контактного лица.
) Информационно-техническая поддержка маркетинговых и социологических
опросов и исследований - операторы call-центра, как говорилось ранее, могут
проводить различного рода опросы и исследования, применяя при этом различные
способы контакта: e-mail и обычную почту, факс и телефон, SMS-сообщения. Все
полученные в процессе опроса сведения оператор будет заносить в базу данных,
интегрированную с CRM-системой. В перспективе это позволит использовать
полученную информацию для организации дальнейших опросов и исследований,
почтовой рассылки, составления аналитических отчетов и проведения телефонных
продаж.
Основные направления деятельности контакт-центров приведены на Рис. 2.
Рис. 2: Основные направления деятельности Call-центра
В рамках основных задач, выполняются также многие специализированные
задачи, представленные на рисунке 3.
Рис. 3: Специализированные задачи, решаемые с помощью call-центров
Изучение и разработка методов оптимизации и автоматизации
бизнес-процессов телефонного центра во всех указанным направлениях деятельности
представляется крайне обширной и сложной задачей, требующей огромных
материальных и трудовых затрат.
В связи с этим, в рамках данной дипломной работы будет рассмотрено только
одно из основных направлений деятельности call-центра, а именно прямые
телефонные продажи.
1.2.3
Телефонный маркетинг
Большое число компаний для продвижения своей продукции использует такой
способ продажи, как «холодный прозвон». Суть этого метода - в том, что
менеджеры не ждут, когда клиент сам позвонит им, будучи привлеченным рекламой,
а сами звонят клиенту и инициируют встречу с ним. Преимущество метода
заключается в следующем.
В отличие от рекламы, которая не дает гарантии того, что заказчик увидит
в числе своих клиентов именно тех, кто ему нужен, телемаркетинг предоставляет
возможность работать непосредственно с целевой аудиторией, не просто получать
новых клиентов, но и определенных клиентов.
"Холодные звонки" - это оптимальный и наиболее экономичный
способ организации постоянного поиска потенциальных клиентов. В результате
телефонного обзвона устанавливается контакт с клиентом, который принимает
решение о приобретении товара или услуги. От имени Заказчика специалист
телемаркетинга выясняет контактные данные, проводит презентацию предложения,
отвечает на вопросы, высылает информационные материалы по факсу или e-mail. В
ходе обзвона специалисты могут организовать личную встречу клиентов с
представителями компании-заказчика.
Телемаркетинг можно осуществлять как по всему бизнес-рынку, так и по
отдельным отраслям и рубрикам базы данных, выбрав только те отрасли, которые
представляют интерес для Заказчика - тем самым оптимизировав затраты на обзвон.
Телефонные продажи решают следующие задачи:
· Получение списка "горячих" клиентов, заинтересованных
предложением;
· Эффективные продажи ваших товаров/услуг;
· Назначение встреч по итогам переговоров;
· Получение информации об актуальности товара или улуги для
разных сегментов рынка;
· Актуализация клиентской базы данных;
· Получение отчётов по окончанию кампании со значительным
объёмом маркетинговой информации;
Телемаркетинг сегодня - наиболее популярный в мире способ поиска клиентов
как для мелких и средних компаний, так и для крупных корпораций.
Как правило, при организации работы ТЦ используется так называемая
проектная структура. Это позволяет достичь широкого спектра предоставляемых
возможностей и использовать индивидуальный подход к каждому клиенту
(Заказчику).
Данная структура предполагает разделение контакт-центра на отдельные
проекты, каждый из которых занимается предоставлением определенного вида работ,
как правило, для одного или нескольких заказчиков. При этом все проекты
образуют единый департамент Operations, управляемый и поддерживаемый другими
отделами компании, обеспечивающими выполнение процессов, не касающихся
непосредственного оказания услуг заказчику (например, бухгалтерия,
IT-департамент, HR и другие).
Типовая структура проекта телефонного центра представлена на Рис. 4.
Рис. 4: Типовая структура проекта телефонного центра
В рамках данной иерархии задействованы следующие роли:
· Менеджер проекта
Руководитель проекта. Отвечает за организацию всех операционных процессов
внутри проекта телефонного центра и за взаимодействие с представителями
компании Заказчика. Ответственен за финансовые показатели проекта и за
выполнение обязательств перед Клиентами аутсорсера.
· Координатор проекта
Руководит группой супервайзеров. Отвечает за организацию работы внутри
подразделения проекта телефонного центра. В случае расположения проекта на
нескольких площадках, координатор, как правило, является локальным
руководителем проекта в рамках данного филиала. На небольших проектах роль
координатора может выполняться непосредственно менеджером проекта. Тогда данные
позиции совмещены на схеме управления.
· Супервайзер
Отвечает за организацию и контроль работы группы операторов телефонного
центра (обычно от 10 до 20 человек). Ведет первичную отчетность по
эффективности работы проекта.
· Оператор телефонного центра
Обеспечивает непосредственное выполнение задачи проекта - взаимодействует
с клиентами компании Заказчика посредствам телефона. В зависимости от
разновидности проекта, могут быть диспетчерами, консультантами, специалистами
по продажам и т.д.
· Специалисты по обучению и контролю качества
Являются сотрудниками смежных департаментов аутсорсинговой компании.
Выполняют вспомогательные функции обучения и контроля качества работы
операторов в соответствии с требованиями менеджера проекта. Данные специалисты
могут быть как выделенными (направленными на конкретный проект), так и
невыделенными (обеспечивающими плановые работы по обучению и контролю качества
на нескольких проектах).
Для организации телефонного маркетинга создаются проекты телефонных
продаж (telesales-проекты). Следует заметить, что подобные проекты имеют
определенные особенности по сравнению, скажем, с входящими или «горячими»
линиями. Компании, способные предоставить своим клиентам данный вид сервиса,
испытывают особенно сильную конкуренцию со стороны других аутсорсинговых
контакт-центров.
В связи с этим перед Заказчиком встает выбор из нескольких кандидатов на
дальнейшее сотрудничество. В подобной ситуации возможны следующие варианты
поведения компании-клиента.
Во-первых она может разделить общий объем работ среди нескольких
аутсорсеров. Однако в этом случае возникает проблема контроля исполнения
поставленных задач в силу наличия множества независимых друг от друга
контакт-центров. Подобный подход применим в случае, если требуемые планы продаж
не могут быть выполнены в указанные сроки силами одного или даже нескольких
аутсорсинговых call-центров.
Во-вторых Заказчик может организовать тендер (соревнование) между
аутсорсерами за право получения полных объемов продаж. Такой подход позволяет
выявить наиболее эффективного партнера, тем самым обеспечить простоту контроля,
стабильность и гибкость совместной работы с дилером. Как правило, данный
вариант является наиболее приоритетным для большинства современных компаний.
Участие в тендере с точки зрения аутсорсера характеризуется организацией
и проведением так называемого «пилотного», т.е. предварительного проекта. Его
целью является обеспечение максимальной результативности и эффективности в
максимально сжатые сроки и при минимальных затратах.
Сложность выполнения данных задач обусловлена условиями проведения
тендера. Как правило, перед каждым участником соревнования ставятся одинаковые
задачи, выделяется равный срок на ее выполнение. При этом Заказчик либо
покрывает минимальные материальные затраты на организацию «пилотного» проекта,
либо предлагает поощрение только лучшему call-центру. Победителем тендера
становится аутсорсер, показавший наиболее высокие по результативности и
качеству результаты в течение отведенного срока.
Таким образом, потенциальный результат в случае победы в тендере
уравновешивается возможными рисками в случае поражения. Это заставляет
контакт-центры использовать при проведении «пилотных» проектов наиболее
эффективные и надежные, но при этом наименее трудоемкие и дорогостоящие методы
организации работы и средства автоматизации.
Описание проекта
Заказчик - крупная телекоммуникационная компания, Интернет-провайдер.
Исполнитель - аутсорсинговый контакт-центр.
Клиент предоставляет базу телефонных номеров потенциальных потребителей.
Исполнителю необходимо организовать «пилотный» проект телефонных продаж,
направленный на распространение услуг Заказчика: Интернет, Цифровое Телевидение,
Комплексная услуга (Интернет+ТВ). Для упрощения предположим, что каждая из них
представлена единственным тарифным планом. Соответственно, перечень продаваемых
услуг ограничивается тремя номинациями. Предоставление услуг возможно только
физическим лицам.
Количество рабочих мест и средства автоматизации выбираются аутсорсером
исходя из сроков, отведенных Клиентом, находящихся в распоряжении ресурсов и
размера базы номеров.
Операторам проекта необходимо связаться с абонентами, провести
презентацию продаваемых услуг по телефону и убедить клиентов дать согласие на
подключение выбранных услуг. В случае успешной работы, сотрудником должна быть
составлена Заявка на приобретение услуг с указанием всей необходимой для этого
информацией о клиенте.
Количество и корректность сделанных Заявок - главный критерий оценки
работы контакт-центра.
По окончанию каждого рабочего дня Исполнитель должен направить Заказчику
отчет о проделанной работе и информацию о заинтересованных клиентах, ожидающих
подключение. В дальнейшем провайдер производит подключение абонентов из
высланных списков. Контроль качества совершения продаж отслеживается путем
выборочного прослушивания записей разговоров с клиентами.
Схема основных бизнес-процессов в рамках описанного проекта представлена
на Рис.5.
Рис. 5: Бизнес-процесс продажи услуг по телефону (в нотации BPMN)
На данной диаграмме выделены ключевые процессы, автоматизация которых
приведет к значительному повышению эффективности проекта и упрощению работы его
сотрудников. Решить данную задачу позволит создание
2. Разработка
системы планирования звонков
.1 Общие
требования к системе планирования звонков
Разрабатываемая в данной работе система планирования звонков
предназначена для автоматизации рабочего места оператора отдела телефонного
маркетинга в рамках бизнес-процесса продажи услуг по телефону. Она затрагивает
такие этапы бизнес-процесса как коммуникация с клиентами компании, сбор и
занесение в базу данных полученной информации о клиентах, получение статистики
установленных контактов с клиентами и генерация отчетов по полученным данным.
Пользователями системы являются (Роли):
· Супервайзеры. Обеспечивают ввод базы данных номеров клиентов
и настройку параметров обзвона. При помощи генератора отчётов отслеживают
статистику Контактов.
· Операторы. Получают от Планировщика карточки клиентов,
осуществляют звонки по номерам из базы и заполняют карточки полученными
данными.
Система планирования звонков решает следующие задачи:
· Предоставление интерфейса Супервайзера для загрузки базы
данных номеров и управления параметрами обзвона клиентов.
· Предоставление интерфейса Оператора для заполнения данных о
клиенте, полученных во время контакта с клиентом.
· Планирование и распределение Контактов с Клиентами между
Операторами отдела телефонного маркетинга.
· Хранение данных о клиентах, полученных в результате
Контактов.
· Хранение данных о Контактах Операторов с Клиентами и
результатах этих контактов.
· Предоставление
средств генерации отчётов о Контактах с Клиентами.
Рис. 7:
Алгоритм обзвона клиентов
2.2 Правила
обзвона клиентов
Общий алгоритм обзвона клиентов представлен на Рис. 7: После выбора из
базы данных номера клиента, осуществляется звонок по этому номеру. В случае если
контакт состоялся, и состоялась презентация, оператор заполняет карточку
клиента (имя, фамилия, адрес и т.п.) и устанавливает соответствующий статус в
карточке клиента. Если презентация не состоялась, то устанавливается
соответствующий статус. В случае если контакт не состоялся, то после установки
соответствующего статуса звонок откладывается на заданное время.
Возможные статусы приведены в Таблице 4.
Таблица 4: Статусы контактов с клиентами
|
Статус
|
Пояснение
|
|
Занято
|
Соединение с абонентом не
состоялось. Слышны короткие губки
|
|
Телефон не отвечает
|
Соединение не состоялось.
Слышны длинные гудки
|
|
Неверная информация
|
Выставляется в случае
ошибки в базе/наличия «битого» номера
|
|
Отказ от разговора
|
Выставляется в случае
отказа клиента от прослушивания презентации, т.е. в самом начале разговора
|
|
Презентация
|
Клиент получил информацию
об услуге, не отказался но и не оставил заявки.
|
|
Отказ от предложения
|
Клиент отказался от
предложения после того, как его выслушал
|
|
Заявка
|
Клиент согласился
приобрести предлагаемую услугу
|
Время через которое необходимо перезвонить в случае статусов «Не
отвечает» и «Занято» определяется через интерфейс Супервайзера и является общим
для всех Операторов.
В случае если карточка клиента была выдана одному из Операторов, она уже
не может быть выдана другому Оператору, за исключением тех случаев, если по
истечении заданного времени Контакт так и не состоялся. В этом случае карточка
клиента возвращается в общий список и может быть отдана любому свободному
оператору. После завершения Контакта карточка персонифицируется, то есть
привязывается к определённому оператору.
Если по тем или иным причинам Оператор назначает повторный Контакт в
обговоренное с клиентом время, выставляется статус «Презентация». Подобные
карточки персонифицируются и имеют приоритет перед контактами из общего списка.
.3
Используемые программные технологии
телефонный маркетинг планирование звонок
В качестве программной платформы для реализации системы планирования
звонков выбрана Java 2 Enterprise Edition. Преимуществами выбранной платформы
является:
· Популярность данной платформы среди разработчиков
программного обеспечения, что позволяет в большинстве случаев найти готовое
решение, без необходимости самостоятельной разработки.
· Независимость от аппаратной платформы и операционной системы.
Создаваемые на платформе Java программные решения могут быть использованы на
самых различных устройствах и в самых различных конфигурациях. Что особо важно
в связи с большим разнообразием аппаратных решений для организации
Call-центров.
· Широкая распространённость платформы Java в области систем
автоматизации и информатизации предприятий, что значительно облегчает
интеграцию разрабатываемого продукта во многие CRM и ERP системы.
· Богатая библиотека классов платформы Java, дополняемая большим
количеством сторонних компонентов, разрабатываемых под открытыми лицензиями.
· Стандартизованность протоколов и высокая взаимозаменяемость
компонентов J2EE, позволяющая использовать решения от различных поставщиков
(Oracle, IBM, Red Hat, Adobe) без необходимости в разработке дополнительного
программного обеспечения.
· Стандартизованный Java Telephony API, позволяющий
интегрироваться с различными АТС и обеспечить управления звонками на
предприятиях различного масштаба.
· Богатый выбор средств разработки, в том числе
распространяющихся по свободным лицензиям, обеспечивающие комфорт, скорость и
надежность разработки программного обеспечения [Фаулер].
При реализации системы планирования звонков используется так называемая
«трёхзвенная архитектура», состоящая из «тонкого» web-клиента; сервера
приложений, реализующего бизнес-логику, и базы данных, обеспечивающую хранение
информации в долговременной памяти.Клиент. В качестве клиента может выступать
любой web-браузер. В его задачи входит отображение HTML-страницы, приходящей от
сервера. В процессе работы пользователь заполняет формы HTML-страницы и
отправляет их серверу в виде синхронного HTTP-запроса, в ответ на который
сервер, получивший данные, отправляет другую HTML-страницу. В отдельных случаях
используется язык сценариев JavaScript, при помощи которого реализуется
простейшая логика на стороне клиента.
Сервер приложений. Наиболее сложной частью системы планирования звонков
является сервер приложений. В качестве сервера приложений в данной работе
используется HTTP-сервер Apache Tomcat 6.0, но так как не используется никакой
его специфики для запуска разрабатываемого приложения может использоваться
любой другой HTTP-сервер, реализующий спецификации Java Server Pages 2.0 и
Servlets 2.4 (например Jetty, GlassFish, Weblogic, Jboss итп).
Классы-сервлеты получают поступающие от клиента http-запросы, при помощи
простых Java-классов, реализующих бизнес-логику обрабатывают их, после чего
передают управления JSP-страницам, которые согласно заложенным в них шаблонам
преобразуют полученные данные в HTML-страницы, которые передаются клиентам в
качестве ответа на HTTP-запрос.
При обработке бизнес логики для работы с базой данных используется Java
Persistence API и реализующая его библиотека Hibernate (тем не менее может быть
использована и любая другая реализация Java Persistence API, например, OpenJPA
или EclipseLink).Persistence API реализует концепцию Объектно-реляционного
отображения (Object-relational mapping(ORM)). Сущности(таблицы) базы данных
отображаются в классы языка программирования, что позволяет описать только
структуру базы данных, а классы-сущности генерировать автоматически, либо
наоборот описать классы-сущности и, используя поля классов связи между
классами, построить структуру таблиц базы данных. Это избавляет от
необходимости проводить синхронизацию вручную, в случае изменения в структуре
хранимых данных. Кроме этого предоставляется обобщённый язык запросов Java
Persistence API Query Language, похожий на SQL, но манипулирующий не таблицами
а объектами. Также предоставляется встроенный механизм транзакций и
кеширования.
База данных. За долговременное хранение в структурированном виде данных,
собранных в ходе работы системы планирования звонков, и обеспечение быстрого
доступа к ним отвечает база данных. Hibernate позволяет абстрагироваться от
конкретной системы управления базами данных и использовать любую из тех,
которые имеют JDBC-драйвер и поддерживаются библиотекой Hibernate. Система
планирования звонков тестировалась при использовании СУБД MySQL 5.0, но так существует
слой абстракции в виде JPA возможно использование многих других СУБД: Oracle,
MS SQL, DB2, Apache Derby, PostgreSQL и т. д.
Кроме этого используются следующие сторонние библиотеки:Commons
FileUpload 1.2.1 для обработки multipart-содержимого при отправки на сервер
файлов по протоколу HTTP. При этом реализуется интерфейс, аналогичный
интерфейсам классов-сервлетов и обработка данных происходит независимо от типа
кодирования HTTP-запроса.для контроля доступа и разграничения прав
пользователей системы в отсутствии интеграции с сервером, проводящим
авторизацию и аутентификацию пользователей. Функционирует как простой
фильтр-запросов.POI 3.6 для создания файлов в формате MS Excel при генерации
отчётов. Данная библиотека предоставляет кроcс-платформенный программный
интерфейс для работы с файлами в форматах MS Office без необхожимости в
установке MS Office.
.4
Архитектура системы планирования звонков
Сущностями являются:
·
Оператор.
Характеризуется идентификатором, логином, фамилией, именем и отчеством. Все эти
данные могут храниться отдельно от системы планировщика и использоваться этой
базой данных через LDAP-серверы. В этом случае таблица не используется, а
важной для системы информацией является только идентификатор Оператора.
·
Клиент. Главная
таблица базы данных планировщика. Содержит информацию о клиенте, получаемую в
ходе Контактов. Изначально в таблице хранятся исключительно телефонные номера,
в процессе обзвона данные пополняются. Клиент характеризуется: идентификатором;
оператором, с которым совершался контакт; фамилией, именем и отчеством;
телефонным номером; состоянием (открыт/закрыт), который указывает о
целесообразности дальнейших контактов с клиентами; контактной информацией,
которая включает в себя адреса, дополнительные телефонные номера и прочие
данные, которые сообщил о себе клиент; комментарии, содержащие прочую
информацию.
·
Контакт. Таблица
контактов, реализующая связь многие-ко-многим между Операторами и Клиентами.
Каждый контакт характеризуется: идентификаторами Клиента и Оператора, между
которыми он был произведён; статусом (согласно Таблица 4), который был получен
в результате текущего контакта; временем, на которое был запланирован данный
контакт и времем в который этот контакт реально состоялся.
На Рис. 9 представлена упрощённая диаграмма классов системы планирования
звонков. Архитектура системы состоит из трёх уровней:
Уровень доступа к базе данных. К нему относятся классы: Operator, Contact
и Client, отображающие сущности базы данных. Содержат поля, соответствующие
атрибутам таблиц базы данных и методы доступа к этим полям. Класс
DataBaseManager - класс, являющийся точкой доступа к базе данных. Предоставляет
метод getEntityManagerFactory - для получения фабрики объектов EntityManager
(объектов, обеспечивающих соединение с базой данных); и метод setClientDatabase
реализующий обновление всей базы данных клиентов, то есть заполнение её новыми
номерами.
Уровень бизнес-логики. К нему относится: Shelduler - класс планировщика.
Инкапсулирует логику работы планировщика. Представляет метод getNextClient для
получения карточки клиента, с которым оператор будет производить контакт в
ближайшее время; и метод processClientData, обеспечивающий обработку данных о
клиенте, после контакта с оператором. Кроме этого обладает полями: attemptsNumber
- количество попыток дозвониться до клиента; busyTimeShift - время, через
которое нужно перезвонить, если телефон клиента занят; noanswerTimeShift -
время, через которое нужно перезвонить, если телефон клиента не отвечает.
Уровень интерфейса пользователя. На данном уровне находятся client.jsp -
страница jsp, реализующая интерфейс карточки клиента (интерфейс оператора);
configuration.jsp - страница jsp, реализующая интерфейс настройки планировщика
и базы данных (интерфейс супервайзера); reports.jsp - страница jsp, реализующая
интерфейс диспетчера отчетов. Для каждого из этих jsp файлов существуют
классы-сервлеты, реализующие обработку поступающих от jsp данных.
В начальный момент, после авторизации в системе Оператора отправляет
запрос серверу-планировщику о выдаче ему свободной карточки клиента. В типовом
случае на ближайшее время для данного оператора нет запланированных звонков, и
планировщик формирует новый Контакт. Контакт планируется на текущее время плюс
некоторое зарезервированное время (как правило 15 минут), назначает созданный
контакт данному Оператору и заносит его в базу данных, тем самым закрепляя
данный контакт за выбранным оператором. После чего Контакт выдаётся Оператору в
виде страницы client.jsp.
Затем оператор осуществляет звонок клиенту и в процессе общения получает
информацию о клиенте. После чего вводит ей в карточку (client.jsp) и отправляет
на сервер, где информация заносится в базу данных, а объект контакта
уничтожается.

Для выдачи контакта используется метод getNextClient класса планировщика
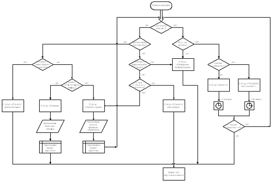
на Рис. 11 представлена блок-схема алгоритма работы данного метода: для
текущего оператора выполняется запрос к базе данных на выборку контактов,
запланированных для данного оператора и запланированное время которых меньше
текущего (т.е. «просроченных» контактов). В случае если такой контакт
существует, он выдаётся оператору. В противном случае из списка открытых
Клиентов, с которыми не запланировано контактов, либо контакт был запланирован
но не состоялся, выбирается клиент, и для этого клиента формируется новый
контакт, который назначается на данного оператора, заносится в базу данных и
отправляется оператору.
Для обработки данных полученных от клиента используется метод
processClientData планировщика, блок-схема которого представлена на Рис. 12.
Метод получает как аргумент объект типа contact с данными, которые оператор
заполнил в форму в процессе общения с клиентом. В случае если был установлен
статус «отказ от предложения», «заказ» или «неверная информация» то карточка
считается закрытой, о чём устанавливается соответсвующий атрибут у объекта
Клиент. Поступивший контакт считается состоявшимся - текущее время
устанавливается как фактическое время контакта. Далее определяется количество
неудачных попыток дозвониться до клиента (попытка считается неудачное в случае,
если телефон клиента занят или клиент не подходит к телефону). Если количетсво
попыток превысило заранее предустановленный порог (поле attemptsNumber класса
Shelduler) то карточка клиента закрывается и в дальнейшем не участвует в
планировании звонков. Если карточка клиента осталась открытой то в случае, если
требуется повторный контакт он создаётся планировщиком: новый контакт
назначается на того же Оператора контакт которого обрабатывается в данный момент
и в зависимости от статуса («занято» или «не отвечает») откладывается на
установленное для этого статуста в классе Shelduler время.
3. Эксплуатация
системы планирования звонков
3.1 Интерфейс
оператора
Данный интерфейс предназначен для занесения результатов звонков и
информации о клиентах в ходе обзвона базы операторами телефонного центра.
На странице интерфейса содержатся следующие поля и блоки:
·
«Оператор»
Отображает ФИ оператора. Данные определяется по логину оператора при
входе в систему.
·
Поля блока
«Контактное лицо»
Содержат информацию о ФИО клиента. В новых карточках клиентов данные поля
являются незаполненными (по умолчанию). В повторно вызванных карточках, данные
поля содержат информацию, занесенную ранее оператором. Для редактирования полей
необходимо перейти на страницу опроса.
·
Поля блока
«Адрес»
Ссодержат информацию об адресе проживания клиента.
Первые три поля («Район», «Улица», «Дом») заполняются автоматически по
сведениям из базы данных для обзвона («заливки»).
Поля «Квартира», «Подъезд», «Этаж» и «Домофон» - аналогично полям блока
«Контактное лицо» хранит в себе данные, занесенные оператором при предыдущем
вызове данной карточки клиента.
·
«Телефон»
Содержит телефонный номер абонента. Телефонный номер одновременно
является и уникальным идентификатором карточки клиента. При интеграции системы
Call2click, поле превращается в кнопку автоматического набора номера.
·
«Примечание»
Изменяемое поле для комментариев. Является вспомогательным при обработке
базы оператором.
·
«Результативность»
Содержит информацию об итогах звонка/решениях клиентов. В выплывающем
меню отображаются статусы из Таблицы 4.
·
«Дата и время
перезвона» - содержит информацию о времени и дате оговоренного с клиентом
повторного звонка.
Появляется в случае выбора статуса «Перезвонить» в поле
«Результативность».
·
«Услуги»
Содержит развернутый список продаваемых услуг.Появляется после выбора
статуса «Продажа»
·
Панель
инструментов - меню, состоящее из кнопок:
«Закрыть без сохранения» - закрытие страницы без сохранения изменений.
«Сохранить и опросить следующего» - сохранение результативности и
заполненных данных, переход к следующей анкете (карточки клиента).
«Поиск клиента» - открытие меню для поиска клиентской анкеты (заполняемой
ранее этим же оператором) по номеру телефона.
Внешний вид интерфейса представлен на Рис. 13.
Рис. 13: Использование интерфейса оператора
.2 Интерфейс
супервайзера
Интерфейс предназначен для управления параметрами обзвона и заливки баз
телефонных номеров. К нему имеют доступ только руководители групп операторов
(супервайзеры).
Состоит из следующих блоков:
1. Блок «Параметры обзвона»
Содержит поля для управления настройками обзвона:
· Количество попыток дозвона
Изменение данного параметра приводит к уменьшению или увеличению кол-ва
появлений открытых (находящихся в обзвоне) карточек клиентов у операторов.
После того, как все попытки исчерпаны, карточка становится закрытой и исчезает
из обзвона.
· Время переноса звонка в случае статуса «Занято»
Регулирует величину тайм-аута карточки со статусом «Занято» в процессе
обзвона. Через назначенное время карточки с данным статусом будут возвращены в
работу.
· Время переноса звонка в случае статуса «Телефон не отвечает»
Аналогично для статуса «Телефон не отвечает»
2. Блок «Загрузка базы»
Предназначено для добавления новых баз телефонных номеров для обзвона.
· Кнопка «Выбор базы»
При нажатии кнопки появляется диалоговое окно «Обзор». Пользователю
необходимо выбрать базу телефоны номеров для заливки. После выбора базы, адрес
файла с номерами появляется напротив поля «Выберите базу номеров для обзвона».
· Кнопка «Заливка базы»
Запускает процесс заливки новой базы в интерфейс операторов.
· Поле «Перезаливка»
Предназначено для выбора типа заливки: дозаливка (добавление новых
номеров в конец текущей базы) или перезаливка (загрузка новых номеров вместо
старых).
Внешний вид интерфейса представлен на Рис. 14.
Рис. 14: Использование интерфейса супервайзера
3.3
Генератора отчетов
Интерфейс генератора отчетов содержит следующие поля:
· Тип отчета
Позволяет выбрать один из трех видов отчетов: «Детальный отчет»,
«Результативность по операторам» или «Обработка базы». Описание данных отчетов
будет представлено позже.
· Дата для выгрузки отчета
В зависимости от типа отчета появляется либо поле для выбора определенной
даты (для отчета «Результативность по операторам»), либо поле для выбора
диапазон а дат (для «Детального отчета»). Данное поле характеризуется датой последнего
изменения карточек клиента. В случае выбора отчета «Обработка базы», данное
поле не появляется.
· Экспорт
Позволяет выгрузить нужный отчет в формате Excel.
· Выгрузка отчета
Нажатие на данную кнопку приводит к формированию отчета внутри
веб-интерфейса.
Как было описано ранее, генератор отчетов позволяет получить один из
следующих типом отчетов:
1) Детальный отчет
2) Результативность по операторам
) Обработка базы.
. Детальный отчет
Назначение:
Предназначен для получения полной информации о совершенных контактах за
указанный период времени. Содержит информацию всех полей карточек клиентов,
отображенных в интерфейсе оператора. Из данного отчета формируются данные для
ежедневной отправки Заказчику.
Внешний вид отчета представлен на Рис. 15.
Рис. 15: Детальный отчет
. Результативность по операторам
Назначение:
Предназначен для ежедневного мониторинга работы каждого оператора.
Содержит количественную оценку сотрудников, работавших на линии в указанный
день.
Внешний вид отчета «Результативность по операторам» представлен на Рис.
16.
Рис. 16: Отчет «Результативность по операторам»
Процент дозвона считается как процентное отношение кол-ва состоявшихся
контактов к общему количеству произведенных звонков. Продуктивность
определяется отношением количества заявок к общему количеству звонков.
. Обработка базы
Назначение:
Позволяет супервайзеру отслеживать процесс обработки базы телефонных
номеров, находящейся в обзвоне. По данным из отчета принимается решение о
необходимости загрузки новой базы. Формируется на основании разделения стутусов
карточек на «открытые», «закрытые состоявшиеся» и «закрытые несостоявшиеся».
Отчет по обработке базы изображен на Рис. 17.
Рис. 17: Отчет «Обработка базы»
Заключение
В результате проведенной работы была проанализирована работа проекта
телефонных продаж, выявлены ключевые направления для автоматизации; разработана
информационная система, состоящая из планировщика звонков, веб-интерфейсов
оператора и супервйзера, генератора отчетов.
По итогам внедрения информационной системы удалось уменьшить временные
затраты на обработку карточек клиентов, оптимизировать процесс распределения
звонков, оптимизировать и автоматизировать процесс сбора данных о клиентах и
формирования статистических отчетов. Итогом внедрения ИС является повышение
эффективности работы проекта телефонных продаж.
Библиография
1. Что
такое технология Java [Электронный ресурс] / Sun Microsystems - Электрон.
текстовые дан. - Режим доступа: http://www.java.com/ru/about/, свободный
2. Брилюк
Д.В. Нейросетевые методы распознавания изображений [Электронный ресурс] / Д.В.
Брилюк, В.В. Старовойтов; Рос. наука в Интернет - Электрон. дан. - М., 2006. -
Режим доступа: http://rusnauka.narod.ru/lib/author/briluk_d_b/1 , свободный
. Фаулер
М. Рефакторинг: улучшение существующего кода / М. Фаулер; пер. с англ. - Спб:
Символ-Плюс, 2006.- 432 с., ил.
. Перри
Б.У. Java сервлеты и JSP. Сборник рецептов / Б.У.Перри. - М.:КУДИЦ-Образ, 2006.
- 768 с.
. Bauer
С. Java Persistence with Hibernate / C.Bauer, G.King. - Manning, 2008 - 880 p.
. Хорстманн
К. Java 2. Библиотека профессионала: в 2 т./ К. Хорстманн, Г. Корнелл. -
Вильямс - 2 т.
. Буч
Г., Якобсон А., Рамбо Дж. UML. Классика CS. 2-е изд. / Пер. с англ.; Под общей
редакцией проф. С. Орлова - СПб.: Питер, 2006. - 736 с. ISBN 5-469-00599-2