|
Показатель
|
Период
|
|
База
|
Текущий
|
|
Пассажирский
парк
|
|
|
|
Пассажирское
движение
|
25335
|
22490
|
|
Грузовое
движение, включая передаточные и вывозные поезда
|
156
|
181
|
|
С
одиночными локомотивами
|
-
|
3
|
|
Грузовой
парк
|
|
|
|
Груженые
|
|
|
|
Пассажирское
движение
|
39
|
6
|
|
Грузовое
движение, включая передаточные и вывозные поезда
|
306945
|
312935
|
|
С
одиночными локомотивами
|
150
|
178
|
|
Порожние
|
|
|
|
Пассажирское
движение
|
137
|
62
|
|
Грузовое
движение, включая передаточные и вывозные поезда
|
203894
|
205434
|
|
С
одиночными локомотивами
|
499
|
506
|
|
Нерабочий
парк
|
|
|
|
Пассажирское
движение
|
7
|
7
|
|
Грузовое
движение, включая передаточные и вывозные поезда
|
999
|
922
|
|
С
одиночными локомотивами
|
59
|
47
|
Раздел 1. Анализ объема перевозок по
дороге
Объем грузовых перевозок, выполненных дорогой,
измеряется тарифными тонно-километрами, в основе определения которых лежит
кратчайшее расстояние перевозок. От величины тарифных тонно-километров зависят
доходы от грузовых перевозок.
Наряду с тарифными тонно-километрами
определяются эксплуатационные тонно-километры нетто. В их состав входят
тонно-километры нетто, выполненные в грузовом, пассажирском движении и в
одиночном следовании. С эксплуатационными тонно-километрами связаны
эксплуатационные расходы железных дорог. Он рассчитывается по формуле:
Таблица 7 - Расчет процента разрыва грузооборота
нетто эксплуатационного и тарифного
|
Показатель
|
Период
|
Изменение
|
|
Базисный
|
Текущий
|
Абсолютное
|
Относительное
|
|
Грузооборот
нетто, млн т-км
|
|
|
|
|
|
Тарифный,
млн т-км ∑pgl
|
14087,694
|
14165,265
|
77,571
|
100,55
|
|
Эксплуатационный
грузового и пассажирского движения ∑(pl)n, млн т-км
|
14744,948
|
14597,781
|
-147,167
|
|
Процент
разрыва грузооборота нетто эксплуатационного и тарифного k
|
104,67
|
103,05
|
-1,62
|
98,45
|
=(14744,948/14087,694)*100=104,67 - базисный
период=(14597,781/14165,265)*100=103,05 - текущий период
Тарифный грузооборот в текущем периоде по
сравнению с базисным увеличился на 77571 тыс. т-км, что означает увеличение
объема перевозок. Эксплуатационный грузооборот в текущем периоде снизился на
147167 т-км, следовательно, возросли эксплуатационные расходы дороги. В текущем
периоде уменьшился процент разрыва 
между тарифными и
эксплуатационными тонно-километрами и составил 1,62 %.
Раздел 2. Наличие и объем работы
тягового подвижного состава
.1. Наличие и структура парка
локомотивов
Расчетно-аналитической работе предшествует
теоретическое изучение существующей системы учета и группировки инвентарного и
фактического наличия локомотивов на дороге. Инвентарный учет локомотивов
осуществляется по сети, железным дорогам и локомотивным депо.
Наличный парк учитывается в разрезе дорог с
распределением по группам в зависимости от использования в перевозочном
процессе и технического состояния. В наличном парке выделяют парк локомотивов в
распоряжении дороги и вне распоряжения дороги.
В распоряжении дороги числятся локомотивы,
которые находятся в эксплуатируемом и неэксплуатируемом парках. Эксплуатируемый
парк локомотивов группируется по видам выполняемых работ: поездная работа (в
грузовом, пассажирском и хозяйственном движении), маневровая, прочая.
В неэксплуатируемом парке учитываются
неисправные локомотивы, ожидающие исключения из инвентаря, и исправные, которые
по различным причинам не могут быть использованы для перевозок (резерв дороги,
занятые как стационарные установки, находящиеся в процессе перемещения, приемки
после ремонта).
Вне распоряжения дороги учитываются локомотивы,
оставленные в запас МПС и находящиеся в аренде.
По исходным данным (Таб. 8) определяем
эксплуатируемый, неэксплуатируемый парки, в распоряжении дороги, вне
распоряжения дороги и целом наличный парк.
Таблица 8 - Распределение наличного парка
локомотивов
|
Группа
парка локомотивов
|
Текущий
период, всего
|
В
% к итогу
|
|
Эксплуатируемый
парк, в т.ч.:
|
998,65
|
71,57
|
|
Поездные,
из них:
|
741,57
|
53,15
|
|
Пассажирское
движение (с толк.)
|
150,47
|
10,78
|
|
Грузовое
движение
|
456,43
|
32,71
|
|
Хозяйственное
движение
|
134,67
|
9,65
|
|
Маневровая
работа
|
244,73
|
17,54
|
|
Прочая
работа
|
12,35
|
0,89
|
|
Неэксплуатир.
Парк:
|
306,45
|
21,96
|
|
-
неисправные
|
156,12
|
11,19
|
|
-
исправные
|
150,33
|
10,77
|
|
В
распоряжении дороги
|
1305,1
|
93,53
|
|
Вне
распоряжения дороги
|
90,28
|
6,47
|
|
Наличный
парк
|
1395,38
|
100
|
Поездные = в грузовом + пассажирском +
хозяйственном движении.
Поездные (тек.) =150,47+456,43+134,67=741,57
лок.
Исправные = используемые как стационарные
установки + в перемещении из ремонта, в ожидании запуска в эксплуатацию + ТО-2
и экипировка
Исправные (тек.) =7,09+63,93+79,31=150,33 лок.
Неисправные (тек.) =156,12 лок. - в ремонте, в
его ожидании, в перемещении в недействующем состоянии в ремонт, модернизации,
ожидающие исключение из инвентарного наличия.
Эксплуатируемый парк = поездная работа +
маневровая + прочая.
Эксплуатируемый парк (тек.) =741,57
+244,73+12,35=998,65 лок.
Неэксплуатируемый парк = неисправные локомотивы
+ исправные.
Неэксплуатируемый парк (тек.)
=150,33+156,12=306,45 лок.
В распоряжении дороги = эксплуатируемый парк +
неэксплуатируемый парк.
В распоряжении дороги (тек.) =998,65 +306,45
=1305,1 лок.
Вне распоряжения дороги = аренда + консервация
Вне распоряжении дороги (тек.)=11,78+78,5=90,28
лок.
Наличный парк = в распоряжении дороги + вне
распоряжения дороги.
Наличный парк (тек.) =1305,1 +90,28 =1395,38
лок.
Поездные локомотивы эксплуатируемого парка в учете
распределяются по элементам производственного цикла: работа на участке, простой
на станциях смены локомотивных бригад, простой на станциях приписки и станциях
оборота (в курсовой работе эта группировка выполняется только для локомотивов
грузового движения с передаточными и вывозными поездами).
К локомотивам, занятым в работе на участке,
относят локомотивы, находящиеся в движении на перегонах 
, простаивающие на
промежуточных станциях участка 
во главе поезда, в
двойной тяге, одиночном следовании, работающие по системе многих единиц, в
подталкивании:

= 
+
.
В простое на станциях приписки 
и станциях оборота 
учитываются
локомотивы, которые простаивают или выполняют маневровую работу, как на
станционных, так и на деповских путях.
По исходным данным (Таблица 9) распределим
локомотивы грузового движения по элементам производственного цикла.
Таблица 9 - Группировка локомотивов грузового
движения по элементам производственного цикла
|
Элемент
производственного цикла
|
Сивол
|
Период
|
Темп
роста, проц.
|
|
|
Базисный
|
Текущий
|
|
|
|
всего
|
в
проц. к итогу
|
всего
|
в
проц. к итогу
|
|
|
Работа
на участке
|
Σmulok
|
259,32
|
56,82
|
262,68
|
60,45
|
101,3
|
|
В
том числе: в движении
|
Σmdvlok
|
231,16
|
|
236,27
|
|
102,21
|
|
на
промежуточных станциях
|
Σmstlok
|
28,16
|
|
26,41
|
|
93,79
|
|
Простой
на станциях оборота
|
Σmob
|
129,83
|
28,45
|
106,97
|
24,62
|
82,39
|
|
Простой
на станциях приписки
|
Σmpr
|
12,88
|
2,82
|
14,56
|
3,35
|
113,04
|
|
Простой
на станциях смены бригад
|
Σmsm
|
41,7
|
9,14
|
38,05
|
8,76
|
91,25
|
|
Эксплуатируемый
парк грузового движения без толкачей
|
Mrb
|
443,73
|
97,22
|
422,26
|
9,72
|
95,16
|
|
Подталкивающие
локомотивы
|
|
12,7
|
2,78
|
12,3
|
2,83
|
96,85
|
|
Грузовое
движение с толкачами
|
Mrb
|
456,43
|
100
|
434,56
|
100
|
95,21
|
|
|
|
|
|
|
|
|
Работа на участке = во главе поездов + вторых
локомотивов, работающих по системе многих единиц + в двойной тяге + в одиночном
следовании.

(баз.) = 229,65
+4,41 +9,38 +15,88 =259,32 лок./сут.

(тек.) = 232,94
+3,43 +8,69 +17,62 =262,68 лок./сут.
На промежуточных станциях = во главе поездов на
промежуточных станциях (в простое, на маневрах) + вторых локомотивов на
промежуточных станциях, работающих по системе многих единиц + в двойной тяге на
промежуточных станциях + в одиночном следовании на промежуточных станциях.

(баз.) = 23,73 +
0,94 + 1,00 + 2,49 = 28,16 лок./сут.

(тек.) = 21,61 +
0,90 + 0,75 + 3,15 = 26,41 лок./сут.
В движении = работа на участке - на
промежуточных станциях.

(баз.) = 259,32 -
28,16 = 231,16 лок./сут.

(тек.) =262,68-
26,41 = 236,27 лок./сут.
Простой на станциях оборота = простой в
оборотном депо + простой и маневры на станционных путях + подталкивающие
локомотивы.

(баз.) = 49,6 +
80,23 =129,83 лок./сут.

(тек.) = 35,62 +
71,35 = 106,97 лок./сут.
Простой на станциях приписки = простой в
основном депо + простой и маневры на станционных путях.

(баз.) = 9,47+
3,41 = 12,88 лок./сут.

(тек.) = 11,42 +
3,14 = 14,56 лок./сут.
Эксплуатационный парк грузового движения без
толкачей = работа на участке + простой на станциях оборота + простой на
станциях приписки + простой на станциях смены локомотивных бригад.

(баз.) = 259,32 +
129,83 + 12,88 + 41,7 = 443,73 лок./сут.

(тек.) = 232,94 +
106,97 + 14,56 + 38,05 = 422,26 лок./сут.
Подталкивающие локомотивы = в подталкивании + в
подталкивании на станции оборота + подталкивающие локомотивы на станции
приписки = 4,84+6,84+1,02=12,7 лок/сут. (баз.)
Подталк. Лок. (тек.) = 4,42+7,83+0,05=12,3
лок/сут.
2.2 Объем работы локомотивов в
грузовом движении
Работа, выполненная локомотивами грузового
движения, измеряется тонно-километрами, локомотиво-километрами,
локомотиво-часами (сутками).
Грузооборот брутто 
включает
тонно-километры нетто эксплуатационные 
и тонно-километры
тары 
:

= 
+ 
.
Общий пробег локомотивов 
состоит из
линейного 
и условного 
:

= 
+ 
.
Линейный пробег 
отражает полное
расстояние, пройденное за отчетный период локомотивами при выполнении поездной
работы:

= 
+ 
+ 
,
где 
- пробег во главе
поезда; 
- линейный
вспомогательный пробег; 
- пробег вторых
локомотивов, работающих по системе многих единиц.

= 
+ 
+
,
где 
, 
, 
- пробег
локомотивов в двойной тяге, одиночном следовании и в подталкивании.
Условный пробег 
- это
локомотиво-часы маневровой и прочей работы или простоя в ожидании работы,
пересчитанные в локомотиво - километры пробега по условным коэффициентам.
Условный 
и линейный
вспомогательный 
пробеги
характеризуют общий объем вспомогательного (непроизводительного) пробега.
Затраты времени локомотивов измеряются в локомотиво-часах и являются основой
для распределения парка по элементам производственного цикла.
По исходным данным (Таб. 9) рассчитаем
показатели объема работы локомотивов, их абсолютное и относительное изменение
за текущий период по сравнению с базисным. Расчеты обобщить в Таблице 10. При
этом следует отметить, что чем меньше затрат тонна - километров брутто,
локомотиво-километров, локомотиво-часов приходится на единицу тарифного
грузооборота, тем ниже уровень себестоимости перевозок грузов, что
свидетельствует о повышении эффективности перевозочного процесса.
Таблица 10 - Показатели объема работы
локомотивов
|
Показатель
|
Символ
|
Период
|
Темп
роста, проц.
|
|
|
базисный
|
текущий
|
|
|
Грузооборот
грузового движения без одиночного следования, тыс.т-км
|
|
|
|
|
|
брутто
|
Σ(pl)'b
|
25856264
|
26401525
|
102,11
|
|
нетто
|
Σ(pl)'n
|
14736860
|
14587796
|
98,99
|
|
тары
|
Σ(pl)'t
|
11119404
|
11813729
|
106,25
|
|
Грузооборот
грузового движения с учетом одиночного следования, тыс. т-км
|
|
|
|
|
|
брутто
грузового движения
|
Σ(pl)b
|
25881948
|
26431522
|
102,12
|
|
нетто
грузового и пассажирского движения
|
Σ(pl)n
|
14744948
|
14597781
|
99,00
|
|
Пробеги
локомотивов, лок.-км:
|
|
|
|
|
|
во
главе поезда
|
Σms
|
7085973
|
7230225
|
102,04
|
|
в
двойной тяге
|
Σmdvs
|
127018
|
107785
|
84,86
|
|
в
одиночном следовании
|
Σmods
|
450566
|
436889
|
96,97
|
|
в
подталкивании
|
Σmts
|
132929
|
129487
|
97,41
|
|
по
системе многих единиц
|
Σmss
|
311190
|
331619
|
106,57
|
|
Линейный
вспомогательный пробег
|
Σmvspms
|
710513
|
674161
|
94,88
|
|
Линейный
пробег
|
Σmls
|
8107676
|
8236005
|
101,58
|
|
Условный
пробег
|
Σmus
|
188036
|
148236
|
78,83
|
|
Общий
пробег локомотивов
|
ΣMS
|
8295712
|
8384241
|
101,07
|
|
Вспомогательный
общий пробег локомотивов
|
Σmovspms
|
898549
|
822397
|
91,53
|
По данным Таблицы 10 видно, что расходные статьи
железной дороги, грузооборот брутто возросли, а грузооборот нетто снизились.
Возросли пробеги локомотивов во главе поезда, а в двойной тяге уменьшились, в
одиночном следовании, по системе многих единиц.
Пробег локомотивов во главе поездов является
одним из факторов и важнейшим составным элементом их линейного и общего
пробега, кроме того, линейный и общий пробег локомотивов зависит соответственно
от доли вспомогательного и условного пробега.
Вспомогательный общий пробег локомотивов
снизился на 76152, что говорит о положительных тенденциях в использовании
движущей силы локомотивов.
Брутто = тонно - километры грузового движения,
тыс. брутто - в том числе одиночными локомотивами.
Грузооборот брутто 
, включает
тонно-километры нетто эксплуатационные т тонно-километры тары 
.

=
+

(баз.) =25881948-
25684 = 25856264 тыс. тонно-км

(тек.) =26431522 -
29997 = 26401525 тыс. тонно-км

=тонно-км.
Грузового движения - в т.ч. одиночными локомотивами.
Нетто = тонно-километры грузового движения, тыс.
нетто - в том числе одиночными локомотивами

(баз.) =14744948 -
8088 = 14736860 тыс. тонно-км

(тек.) =145977815
- 9985 = 14587796 тыс. тонно-км
Тары = брутто-нетто

=
-

(баз.) =25856264 -
14736860 = 11119404 тыс. тонно-км

(тек.) =26401525 -
14587796 = 11813729 тыс. тонно-км
Нетто грузового и пассажирского движения = тонно
- километры грузового движения, тыс. нетто, в том числе одиночными локомотивами
+ тонно - километры пассажирского движения, тыс. нетто.

(баз.) =14743196 +
1752 = 14744948 тыс. тонно-км

(тек.) =14596576 +
1205 = 14597781 тыс. тонно-км
Линейный вспомогательный пробег, лок.-км =
пробег локомотивов в двойной тяге + в одиночном следовании без толкачей + в
подталкивании.

= Σmdvs +
Σmods + Σmts

(баз.) =127018 +
450566 + 132929 = 710513 лок.-км

(тек.) = 107785 +
436889 + 129487 = 674161 лок.-км
Линейный пробег, лок.-км = пробег локомотива во
главе поезда + линейный вспомогательный пробег + пробег вторых локомотивов,
работающих по системе многих единиц.

(баз.) = 7085973 +
710513 + 311190 = 8107676 лок.-км

(тек.) = 7230225 +
674161 + 331619 = 8236005 лок.-км
Условный пробег, лок.-км = маневры + прочий
условный пробег.
Маневры и прочий условный пробег из Таблицы 3
исходные данные.

(баз.) = 20665 +
167371 = 188036 лок.-км

(тек.) = 18795 +
129441 = 148236 лок.-км

=
+ 

(баз.) = 8107676 +
188036 = 8295712 лок.-км.

(тек.) = 8236005 +
148236 = 8384241 лок.-км
Вспомогательный общий пробег = линейный
вспомогательный пробег + условный пробег.

, лок.-км (баз.) =
710513 + 188036 = 898549 лок.- км.

лок.-км (тек.) =
674161 + 148236 = 822397 лок.-км.
Раздел 3. Качественные показатели
использования тягового подвижного состава
.1 Показатели качества использования
локомотивов
Обобщающие показатели качества использования
локомотивов являются производными от показателей объема работы. Они исчисляются
как относительные или средние величины динамического типа.
Показатели качества использования локомотивов
условно объединяются в группы:
Характеризующие использование мощности:
Масса поезда: брутто Qb, брутто условная Qbu,
нетто Qn, тары Qt;
Средний состав поезда: общий 
, число груженых 
, порожних вагонов 
в составе поезда;
Относительные величины, характеризующие
структуру линейного пробега: доля поездного пробега локомотивов b, доля
линейного вспомогательного пробега avspm и его составных элементов - доля
одиночного следования aod, доля двойной тяги adv, доля пробега подталкивающих
локомотивов at, доля пробега вторых локомотивов, работающих по системе многих
единиц as.
Характеризующих использование локомотивов во
времени:
Среднесуточный пробег локомотива Slok;
Участковая vloku, техническая vlokt скорости
локомотива и поезда vu и vt;
Средняя продолжительность элементов
производственного цикла - время работы на участке tu простой на станциях:
оборота tob, приписки tpr, смены локомотивных бригад tsm.
Обобщающий интегральный показатель -
производительность локомотива Flok.
Расчет показателей использования мощности
локомотивов
Средний вес поезда брутто 
(нетто 
, брутто условное 
или тары 
) - отношение
грузооборота брутто (нетто) без учета выполненных одиночно следующими
локомотивами к пробегу локомотивов во главе поезда.

/ 
.

(баз.)
=25856264*1000/7085973=3648,94 тонн.

(тек.)
=26401525*1000/7230225=3651,55 тонн.

/ 
.

(баз.)
=14736860*1000/7085973=2079,72 тонн.

(тек.)
=15315519*1000/7230225=2017,61 тонн.

.

(баз.)
=25856264*1000/8107676=3189,11 тонн.

(тек.)
=26401525*1000/8236005=3205,62 тонн.

/ 
.

(баз.)
=11119404*1000/7085973=1569,21 тонн.

(тек.)
=11813729*1000/7230225=1633,94 тонн.
Средний состав поезда (всего 
, груженых вагонов 
, порожних вагонов 
) - отношение
пробега вагонов грузового движения к пробегу локомотивов во главе поездов.

.

(баз.) =511994*1000
/ 7085973=72,26 ваг.

(тек.)
=519472*1000 / 7230225=71,85 ваг.

= 156 + 306945 +
203894 + 999 = 511994 ваг-км. (баз.)

= 181 + 312935 +
205434 + 922 = 519472 ваг-км. (тек.)
ngr = Σngrs' / Sms
ngr (баз.) = 306945/7085973*1000 = 43,32
ваг.(тек.) = 312935/7230225*1000 = 43,28 ваг.

.

(тек.) =205434 *
1000 / 7230225=28,41 ваг.
Доля поездного пробега в линейном
(рассчитывается с точностью до 0,0001)
b = Sms / Smls

(баз.)
=7088973/8107676=0,8740

(тек.)
=7230225/8236005=0,8779
Дополнением доли поездного пробега до единицы являются
доли вспомогательных пробегов в линейном 
и доля пробега
вторых локомотивов, работающих по системе многих единиц 
:
= Smvspms / Σmls

(баз.) = 710513 /
8107676= 0,0876

(тек.) = 647161 /
8236005= 0,0786
as = Smss / Smls

(баз.) = 311190 /
8107676 = 0,0384

(тек.) = 331619 /
8236005 = 0,0403
Для аналитических целей долю линейно
вспомогательного пробега можно распределить на составляющие:
В одиночное следование.
aod = Smods / Smls

(баз.) = 450566 /
8107676 = 0,0556

(тек.) = 436889 /
8236005 = 0,0531
В двойной тяге
adv = Smdvs / Smls

(баз.) = 127018 /
8107676 = 0,0157

(тек.) = 107785 /
8236005 = 0,0131
В подталкивании
at = Smts / Smls

(баз.) = 132929 /
8107676 =0,0164

(тек.) = 123487 /
8236005 = 0,0157
Удельный вес непроизводительного пробега
локомотивов в общем пробеге характеризует коэффициент вспомогательного общего
пробега:
°vspm = ∑m°vspms / ∑MS

(баз.) = 898549 /
8295712 = 0,1083

(тек.) = 822397 /
8384241 = 0,0981
Расчет показателей использования локомотивов во
времени
Среднесуточный пробег локомотива исчисляется по
данным:

.

(баз.) = 8107676 /
(443,73 * 30) = 609,06 км / сут.

(тек.) = 8236005 /
(422,26 * 30) = 650,15 км / сут.,
где t - число дней в отчетном периоде,
принимается равным 30 дням.
Показатели средней скорости движения поезда:
Средняя участковая 
и техническая 
скорости движения
поезда.
Vu = Sms / Smu
t*24
где Smu -
эксплуатируемый парк локомотивов во главе поезда на участке (исходные данные
табл. 2).(баз.) = 7085973/229,65*30*24 = 42,86 км/час(тек.) =
7230225/232,94*30*24 = 43,11 км/час

,
где 
- локомотивы во
главе поезда, простаивающие и выполняющие маневровую работу на промежуточных
станциях (исходные данные).

=
7085973/30*24*(229,65 - 23,73) = 47,79 км/час (баз.)

=
7230225/30*24*(232,94 - 21,61) = 47,52 км/час (тек.)
Показатели средней скорости движения локомотивов
vulok и vtlok исчисляются по данным табл.3 и табл. 4.
Vulok = Smls / 24t * Smulok=
Smls
/ 24t * Smdvlok
Vulok (баз.) = 8107676/30*24*259,32 = 43,42
км/час(тек.) = 8236005/30*24*262,68 = 43,55 км/час(баз.) =
8107676/30*24*231,16= 48,71 км/час(тек.) = 8236005/30*24*236,27 = 48,42 км/час
Средняя продолжительность элементов
производственного цикла за сутки: время работы на участке:
tulok = 24(Smulok / Mrb)
tulok (баз.) = 259,32*24/443,73 = 14,03
час.(тек.) = 262,68*24/422,26 = 14,93 час.
время простоя на станциях оборота:
tob = 24(Smob / Mrb)
tob (баз.) = 129,89*24/443,73 = 7,02 час.(тек.)
= 106,97*24/422,26 = 6,10 час.
время простоя на станциях приписки:
tpr = 24(Smpr / Mrb)
tpr (баз.) = 12,88*24/443,73 = 0,70 час.(тек.) =
14,56*24/422,26 = 0,83 час.
время простоя на станциях смены локомотивных
бригад:
tsm = 24(Smsm / Mrb)
sm (баз.) = 41,7*24/443,73 = 2,26 час.(тек.) =
38,05*24/422,26 = 2,16 час.
Обобщающий показатель использования локомотивов
- среднесуточная производительность локомотива Flok определяется по показателям
объема работы:
= S(pl)b / Mrbt
(баз.) = 25881948/443,73*30 = 1944,27
тыс.т.км./лок.сут.(тек.) = 26431522/422,26*30 = 2086,51 тыс.т.км./лок.сут.
Таблица 11 - Показатели использования
локомотивов
|
Показатель
|
Символ
|
Период
|
Изменение
(+,-)
|
|
|
Базисный
|
Текущий
|
|
|
Производительность
локомотива, т-км брутто
|
|
1944,27
|
2086,51
|
142,24
|
|
Масса
поезда, т:
|
|
|
|
|
|
брутто
|
|
3648,94
|
3651,55
|
2,61
|
|
нетто
|
|
2079,72
|
2017,61
|
-62,11
|
|
Тары
|
|
1569,21
|
1633,94
|
64,73
|
|
Брутто
условное
|
|
3189,11
|
3205,62
|
16,51
|
|
Средний
состав вагонов в поезде, ваг.:
|
|
72,26
|
71,85
|
-0,41
|
|
груженых
|
|
43,32
|
43,28
|
-0,04
|
|
порожних
|
|
28,77
|
28,41
|
-0,36
|
|
Доля
поездного пробега в линейном, %
|
|
0,8740
|
0,8779
|
0,0039
|
|
Доля
вспомогательного общего пробега в общем, %
|
|
0,1083
|
0,0981
|
-0,0102
|
|
Среднесуточный
пробег локомотива, км/сут.
|
|
609,06
|
650,15
|
41,09
|
|
Продолжительность
элементов производственного цикла в среднем за сутки, час:
|
|
работа
на участке
|
|
14,03
|
14,93
|
0,9
|
|
простой
на станциях смены локомотивных бригад
|
|
2,26
|
2,16
|
-0,1
|
|
простой
на станциях приписки
|
|
0,70
|
0,83
|
0,13
|
|
простой
на станциях оборота
|
|
7,02
|
6,10
|
-0,92
|
|
Средняя
скорость движения локомотива, км/час:
|
|
|
|
|
|
участковая
|
|
43,42
|
43,55
|
0,13
|
|
техническая
|
|
48,71
|
48,42
|
-0,29
|
|
|
|
|
|
|
|
|
Взаимосвязь показателей качества использования
локомотивов
Показатели качества использования локомотивов
находятся во взаимосвязи, которая является основой для анализа влияния факторов
на изменение производительности локомотива и проверки правильности расчетов.
. В составе поезда имеются груженые и порожние
вагоны:

(баз.) = 43,32 +
28,63= 71,95 ваг.

. (тек.) = 43,28 +
28,41 = 71,69 ваг.
Возможно незначительное расхождение данных за
счет прочих вагонов.
. Масса поезда брутто состоит из массы груза
(нетто) и тары вагонов:

.

(баз.)
=2079,72+1569,21=3648,93 тонн.

(тек.)
=2017,61+1633,94=3651,55 тонн.
Показатели массы поезда зависят от числа вагонов
в поезде и динамической нагрузки на каждый вагон:

= 
,
где 
- поправочный
коэффициент, учитывающий расхождение тонна - километров нетто без учета и с
учетом выполненных одиночно следующими локомотивами, рассчитывается с точность
до 0,00001; 
- поправочный
коэффициент, учитывающий расхождение пробега вагонов грузового движения и
пробега вагонов грузового парка во всех видах движения.

= 
/ 

(баз.)
=14736860/14744948=0,99945

(тек.)
=14587796/14597781=0,99932

.

(баз.)
=511664/511994=0,99936

(тек.)
=519124/519472=0,99933


/ 
.

(баз.) =14744948 /
511664 = 28,82 т/ваг.

(тек.) =14597781 /
519124 = 28,12 т/ваг.

(баз.) =71,95 *
28,82 * 0,99945 * 0,99936 = 2079,71 т.

(тек.) =71,69 *
28,12 * 0,99932 * 0,99933 = 2016,69 т.

.

(баз.) =71,95 *
21,72 * 0,99936 = 1569,19 т.

(тек.) =68,78 *
24,73 * 0,99859 = 1698,20 т.

.

(баз.) = 11119404
/ 511664 = 21,72 т/ваг.

(тек.) = 11813729
/ 519124 = 22,76 т/ваг.

= 
.

(баз.) = 71,95 *
0,99936 * (28,82 * 0,99945 + 21,72) = 3648,92 т.

(тек.) = 71,69 *
0,99933 * (28,12 * 0,99932 + 22,76) = 3651,54 т.
.Условная масса поезда зависит от фактической
массы брутто и доли поездного пробега в линейном пробеге локомотивов:

.

(баз.) = 3648,93 *
0,8740 = 3189,15 тонн.

(тек.) = 3651,55 *
0,8779 = 3205,66 тонн.
4. Участковая скорость зависит от технической.
Соотношение между ними определяется временем простоя поезда на промежуточных
станциях, которое находит отражение в коэффициенте участковой скорости 
,

.

(баз.) = 47,79 *
0,8969 = 42,86 км/час

(тек.) = 47,52 *
0,9072 = 43,11 км/час

=
/

(баз.) =
42,86/47,79 = 0,8969

(баз.) =
43,11/47,52 = 0,9072
5.Среднесуточный пробег локомотива зависит от
скорости движения на участке и от времени работы на участке в суточном бюджете
времени локомотива:

.

(баз.) = 43,42 *
14,03 = 609,08 км/сут.

(тек.) = 43,55 *
14,93 = 650,2 км/сут.
а также: 
, где 
- время в чистом
движении по участку в среднем за сутки, аналогично расчету 
:

.

(тек.) =
236,27/422,26*24 = 13,43 час.

(баз.) =48,71*12,5
=609,07 км / сут.

(тек.)
=48,42*13,43 =650,26 км / сут.
6.Производительность - интегральный показатель
качества использования локомотива. Она зависит от массы поезда брутто,
среднесуточного пробега локомотива, доли поездного пробега.

, где 
- поправочный
коэффициент, учитывающий расхождение грузооборота брутто с учетом и без учета
выполненного одиночно следующими локомотивами (рассчитывается с точностью до
0,00001)

.

(баз.) = 25881948
/ 25856264 = 1,00099

(тек.) = 26431522
/ 26401525 = 1,00114

(баз.) =3648,93 *
1,00099 * 0,8740 * 609,08 = 1944,38 тыс.т-км брутто

(тек.) =3651,55 *
1,00114 * 0,8779 * 650,2 = 2086,72 тыс.т-км брутто
Или

.

(баз.) =3189,16
*1,00099 *609,08 =1944,38 тыс.т-км брутто

(тек.) =3205,67
*1,00114 *650,26 =2086,89 тыс.т-км брутто
При анализе влияния факторов на изменение
производительности локомотива формула может быть детализирована:

.

(баз.)= 3648,93
*1,00099*(1-0,0556-0,0157-0,0164-0,0384)* 14,03 * 48,71 =1942,51 тыс.т-км
брутто

(тек.)= 3651,55
*1,00114*(1-0,0531-0,0131-0,0157-0,0403)* 14,93 *48,42 =2086,90 тыс.т-км
брутто.
Анализ влияния факторов на изменение
среднесуточной производительности локомотивов .Анализ влияния факторов на
изменение уровня среднесуточной производительности локомотива выполняется
методом цепных подстановок или методом разниц.
Таблица 12 - Исходная информация для анализа
влияния факторов
|
Показатель
|
Символ
|
Период
|
Абсолютное
изменение (+, -)
|
|
|
Базисный
|
Текущий
|
|
|
Масса
поезда брутто, т
|
|
3648,94
|
3651,55
|
2,61
|
|
Коэффициент
брутто
|
|
1,00099
|
1,00114
|
0,00015
|
|
Доля
одиночного пробега
|
|
0,0566
|
0,0531
|
-0,0035
|
|
Доля
пробега в двойной тяге
|
|
0,0157
|
0,0131
|
-0,0026
|
|
Доля
пробега подталкивающих локомотивов
|
|
0,0164
|
0,0157
|
-0,0007
|
|
Доля
пробега вторых локомотивов, работающих по системе многих единиц
|
|
0,0384
|
0,0403
|
0,0019
|
|
Время
работы локомотива на участке в среднем за сутки, ч
|
|
14,03
|
14,93
|
0,9
|
|
Участковая
скорость локомотива, км/ч
|
|
43,42
|
43,55
|
0,13
|
|
Доля
поездного пробега локомотива
|
|
0,8740
|
0,8779
|
0,0039
|
|
Среднесуточный
пробег локомотива, км/сут
|
|
609,06
|
650,2
|
41,14
|
|
Среднесуточная
производительность локомотива, тыс.т-км брутто/лок-сут
|
|
1944,27
|
2086,51
|
142,24
|
Метод цепной подстановки заключается в том, что
базовые значения последовательно заменяются на текущие. Влияние каждого фактора
определяют как разность последующего расчета и предыдущего. Воспользуемся
общепринятой формулой расчета производительности локомотива и применим метод
цепной подстановки:

.
где 
- доля поездного
пробега локомотива, которая зависит от вспомогательной работы:

.
. Базовая производительность локомотива:

.
,94 * 1,00099 * 0,8740 * 609,02 = 1944,32
тыс.т-км брутто/лок-сут.
Условная производительность локомотива:

.
,55*1,00099 * 0,8740 * 609,02 = 1945,71 тыс.т-км
брутто/лок-сут.
Условная производительность локомотива:

.

3651,55*1,00114
*0,8740*609,06 = 1946,00 тыс.т-км брутто/лок-сут. Условная производительность
локомотива:
,55*1,00114 *0,8779*609,06 = 1954,67 тыс.т-км
брутто/лок-сут.
Текущая производительность локомотива:

.
,55*1,00114 *0,8779*650,15 = 2086,55 тыс.т-км
брутто/лок-сут.
Расчет влияния каждого фактора:
Общее изменение производительности:

.

2086,55-1944,32 =
142,23
в том числе за счет:
Изменение веса поезда:

.

1945,71 - 1944,32 =
1,39
Изменение коэффициента брутто:

1946 - 1945,71 = 0,29
Изменение доли поездного пробега:

.

1954,67- 1946 =
8,67
Изменение среднесуточного пробега:

.
2086,55 - 1954,67= 131,88
Общее изменение производительности локомотива:

.
,39 +0,29 +8,67 + 131,88 = 142,23
Раздел 4. Наличие и объем работы
вагонов грузового парка
.1 Рабочий парк грузовых вагонов
В обеспечении перевозочного процесса наряду с
парком локомотивов важную роль играет и парк грузовых вагонов, группировка
которого имеет много общего с группировкой наличного парка локомотивов.
Рабочий парк - это вагоны, которые по своему
техническому состоянию могут быть использованы и фактически используются для
перевозки грузов. В нерабочем парке учитывают вагоны неисправные и
неиспользуемые для перевозок по другим причинам. Рабочий парк характеризуется
числом физических вагонов в среднем за сутки 
, вагоно-сутками
рабочего парка 
; вагоно - часами 
. Находясь в
рабочем парке, каждый вагон выполняет один из элементов производственного
цикла. Производственный цикл для вагона начинается с момента окончания погрузки
и заканчивается в момент завершения следующей погрузки. В учете в составе
производственного цикла для вагона выделяют следующие элементы: вагоно-часы
продвижения по участку в составе организованных поездов или с одиночными
локомотивами
; вагоно-часы
простоя местных вагонов на станциях под грузовыми операциями 
; вагоно-часы
простоя на технических станциях в составе транзитных поездов с переработкой 
и без переработки 
.
Вагоно-часы простоя под грузовыми и техническими
операциями учитываются на станциях. Вагоно-часы на участках определяются
расчетным путем, при этом скорость продвижения вагона по участку приравнивается
участковой скорости поезда:

511664*1000/42,86
= 11938030,8 ваг-час. (баз.)

519124*1000/43,11
= 12041846,44 ваг-час. (тек.)
Вагоно-часы рабочего парка за отчетный период
складываются из следующих элементов: простой на станциях местных вагонов под
грузовыми операциями 
; простой в составе
транзитных поездов с переработкой 
и без переработки 
на технических
станциях; вагоно-часы на участке 
в составе
организованных поездов.

(баз.)= 16855562 +
7218393 + 2364150 + 11938030,8 = 38376136 ваг-час.

(тек.)= 17993487 +
6958320 + 2189703 + 12041846,44 = 39183357 ваг-час.
По затратам вагоно-часов за месяц определяется:
среднесуточная величина рабочего парка вагонов в физических единицах nrb;
вагоно-сутки ntrb:
ntrb= Σ ntrb / 24
nrb= Σ ntrb / t*24
Величина рабочего парка грузовых вагонов
определяет объем их работы.(баз.) = 38376136/24 = 1599005,67 ваг-сут. (тек.) =
39183357/24 = 1632639,88 ваг-сут.(баз.) = 38376136/30*24 = 53300 ваг.(тек.) =
39183357/30*24 = 54421,33 ваг.
подвижной состав локомотив
производительность
Таблица 13 - Показатели объема работы вагонного
парка
|
Показатель
|
Символ
|
Период
|
Темп
изменения,%
|
|
|
Базисный
|
Текущий
|
|
|
|
|
|
на
участке с поездами
|
Σ
ntu
|
11938031
|
12041846
|
100,87
|
|
транзит
без переработки
|
Σ
nttr-br
|
2364150
|
2189703
|
92,62
|
|
транзит
с переработкой
|
Σ
nttr-r
|
7218393
|
6958320
|
69,4
|
|
местных
вагонов
|
Σ
ntgr
|
16855562
|
17993487
|
106,75
|
|
Вагоно-часы
рабочего парка вагонов за месяц, всего
|
Σ
ntrb
|
38376136
|
39183357
|
102,1
|
|
Рабочий
парк вагонов:
|
|
|
|
|
|
Вагонов
в среднем в сутки
|
nrb
|
53300
|
54421
|
102,1
|
|
Вагоно-сутки
за месяц
|
ntrb
|
1599006
|
1632639
|
102,1
|
|
Грузооборот,
тонно-километры нетто эксплуатационные грузового и пассажирского движения,
включая выполненные с одиночно следующими локомотивами, тыс
|
Σ(pl)n
|
14744948
|
14597781
|
99,00
|
|
Погружено
вагонов всего
|
Σ ugr
|
242290
|
246295
|
101,65
|
|
Погружено
вагонов в среднем в сутки
|
Ugr
|
10095
|
10262
|
101,65
|
|
Принято
груженых всего, ваг
|
Σ
upr
|
114613
|
103356
|
90,18
|
|
Принято
груженых в среднем в сутки
|
Upr
|
4476
|
4307
|
96,16
|
|
Работа
дороги, ваг:
|
|
|
|
|
|
всего
|
Σu
|
356903
|
349651
|
97,97
|
|
в
среднем в сутки
|
u
|
14871
|
14569
|
97,97
|
|
Выгружено
всего, ваг
|
Σur
|
181989
|
183468
|
100,81
|
|
Выгружено
в среднем в сутки
|
Ur
|
7583
|
7645
|
100,82
|
|
Количество
вагонов транзитных:
|
|
|
|
|
|
всего
|
Σztr
|
2352990
|
2269907
|
96,47
|
|
без
переработки
|
Σztr-br
|
1713417
|
1645707
|
96,05
|
|
с
переработкой
|
Σztr-r
|
639573
|
624200
|
97,6
|
|
Количество
грузовых операций
|
Σ
zgr
|
428776
|
431368
|
100,6
|
|
Пробег
вагонов в грузовом движении, тыс. ваг-км
|
|
|
|
|
|
всего
(общий) в т.ч.
|
Σngs,’
|
511994
|
519472
|
101,5
|
|
груженых
вагонов
|
Σngrs,’
|
306945
|
312935
|
101,95
|
|
порожних
вагонов
|
Σnrs’,
|
203894
|
205434
|
107,76
|
|
прочих
вагонов
|
Σ
nspr
|
1155
|
1103
|
95,5
|
|
Пробег
вагонов грузового парка во всех видах движения, тыс. ваг-км
|
|
|
|
|
|
всего
(общий) в т.ч.
|
Σngs
|
511664
|
519124
|
101,46
|
|
груженых
вагонов
|
Σngrs
|
307134
|
313119
|
101,9
|
|
порожних
вагонов
|
Σnrs
|
204530
|
206002
|
100,72
|
Σngs’ = Σnrs’ + Σnrs’ + Σ nprS
4.2 Объем работы вагонного парка
Работу, выполненную грузовыми вагонами,
характеризуют показателями: грузооборот нетто эксплуатационный, погрузка, прием
груженых вагонов, работа, выгрузка, пробег вагонов, число местных и транзитных вагонов,
вагоно-часы рабочего парка с распределением по элементам производственного
цикла.
Показателем, отражающим полезный эффект работы
вагонного парка, является грузооборот, выраженный эксплуатационными тонно -
километрами нетто. Грузооборот в значительной степени зависит от работы дороги
с вагонами.
Работа дороги 
представляет собой
число производственных циклов с вагонами и определяется суммированием погрузки 
и приема груженых
физических вагонов 
. Погрузка 
и выгрузка 
характеризуют размеры
грузовой работы дороги.

.

(баз.) = 242290 +
114613 = 356903 ваг.

(тек.) = 246295 +
103356 = 349651 ваг.
По исходным данным (таб.5) определяется число
грузовых операций с вагонами 
, число транзитных
вагонов без переработки 
, число транзитных
вагонов с переработкой 
, общее число
транзитных вагонов 
:

.

(баз.) = 1713417 +
639573 = 2352990 ваг.

(тек.) = 1645707 +
624200 = 2269907 ваг.
Эти данные используются при расчете средних
простоев вагонов на станциях.
Пробег вагонов измеряется в вагоно-километрах,
однако содержание пробега вагонов может быть различно в зависимости от того
объекта, к которому они относятся. В связи с этим в статистике рассчитываются
два показателя пробега вагонов, имеющие разные сферы применения и принципиально
отличающиеся друг от друга: пробег вагонов в грузовом движении 
и пробег вагонов
грузового парка во всех видах движения

.
Пробег вагонов в грузовом движении 
, включает пробег
вагонов грузового парка в груженом состоянии 
, порожнем
состоянии

и пробег прочих
вагонов 
, т.е.
пассажирского парка, вагонов - механизмов и недействующих локомотивов, если они
включаются в составы грузовых поездов:

.

(баз.) = 306945 +
203894+1155 = 511994 тыс. ваг.-км

(тек.) = 312935 +
205434+1103 = 519472 тыс. ваг.-км
Этот показатель используется для расчета
среднего состава поезда в грузовом движении 
.
Пробег вагонов грузового парка во всех видах
движения (грузовом, пассажирском, с одиночно следующими локомотивами) включает
вагоно - километры груженых 
и порожних 
пробегов. Он
используется для расчета динамических нагрузок 
и 
и других
показателей качества использования вагонов:

.

(баз.) = 307134 +
204530 =511664 тыс. ваг.-км

(тек.) =313119 +
206002 = 519124 тыс. ваг.-км
Раздел 5. Качественные показатели
использования грузовых вагонов и анализ
5.1 Показатели качества
использования грузовых вагонов
. На основании показателей объема работы
вагонного парка рассчитываются показатели качества использования вагонного парка.
Эти показатели приводятся в статистической отчетности: среднесуточная
производительность вагона грузового парка Fw , динамическая нагрузка груженого
qgr и рабочего qrb , статистическая нагрузка p, процент порожнего пробега
вагонов к груженому αw-gr и
общему пробегу αw, среднесуточный
пробег Sw, полный рейс Rw, коэффициент местной работы km, вагонное плечо Lw,
общее время работы оборота вагона T.
Для аналитических целей определяют показатели:
число технических станций ktr, проходимых вагонов за время оборота и структуру
транзитных вагонов wtr-r, wtr-br. Расчет показателей структуры транзитных
вагонов позволяет выявить качественные изменения, от которых в значительной
степени зависит величина среднего простоя транзитного вагона.
. Среднесуточная производительность вагона
грузового парка показывает, сколько тонно-километров нетто эксплуатационных
приходится в среднем на один вагон рабочего парка в среднем за сутки. Она
определяется как отношение грузооборота в тонно-километрах нетто грузового и
пассажирского движения Σ(pl)n к
рабочему парку в вагоно-сутках:
Fw = Σ(pl)n / ntrb
(баз.) = 14744948*1000/1599006 = 9221,32
т-км.(тек.) = 14597781*1000/1632639 = 8941,21 т-км.
3. Для оценки использования грузоподъемной силы
вагона рассчитываются несколько показателей, характеризующих загрузку вагона.
Динамическая нагрузка груженого вагона
характеризует загрузку на всем пути следования: рассчитывается делением
грузооборота в тонно-километрах нетто грузового и пассажирского движения на
пробег груженых вагонов во всех видах движения:
qgr = Σ(pl)n / Σ ngrs
(баз.) = 14744948/307134 = 48,01 т/ваг.(тек.) =
14597781/313119 = 46,62 т/ваг.
Динамическая нагрузка рассчитывается и на вагон
рабочего парка делением объема перевозок на общий пробег вагонов грузового
парка.
qrb = Σ(pl)n / Σ ngs
(баз.) = 14744948/511664 = 28,82 т/ваг.(тек.) =
14597781/519124 = 28,12 т/ваг.
Динамическая нагрузка тары грузового вагона qt
определяется делением тонно-километров тары Σ(pl)t на
общий пробег вагонов:
qt = Σ(pl)'t / Σ ngs
(баз.) = 11119404/511664 = 21,73 т/ваг.(тек.) =
11813729/519124 = 22,76 т/ваг.
. Ряд показателей характеризуют различные виды
расстояний, пройденных вагоном.
Полный Rw отражает расстояние, пройденное
вагоном в среднем за один производственный цикл. Полные производственные циклы
выполняются вагонами, как правило, в пределах нескольких дорог. В этой связи
для дороги полный рейс показывает, сколько километров в среднем проходит вагон
в границах дороги, выполняя один производственный цикл.
Rw= Σ ngs / Σ u
(баз.) = 511664*1000/356903 = 1433,62 км.(тек.)
= 519124*1000/349651 = 1484,67 км.
Часть расстояния за производственный цикл вагон
проходит в груженом состоянии, оно характеризуется груженым рейсом Rrg:
Rrg = Σ ngrs / Σ u
(баз.) = 307134*1000/356903 = 2387,55 км.(тек.)
= 313119*1000/349651 = 2461,43 км.
Расстояние, которое проходит вагон в среднем за
один производственный цикл в порожнем состоянии, называется порожним рейсом Rr.
Rr = Σ nrs / Σ u
(баз.) = 204530*1000/356903 = 573,07 км.(тек.) =
206002*1000/349651 = 589,16 км.
Вагонное плечо Lw - это расстояние, которое
проходит в среднем вагон между двумя техническими станциями, определяется
делением общего пробега вагонов на число транзитных вагонов:
Lw = Σ ngs / Σ ztr
(баз.) = 511664*1000/2352990 = 217,45 км.(тек.)
= 519124*1000/2269907 = 228,7 км.
Среднесуточный пробег вагона Sw отражает
расстояние, пройденное вагоном в среднем за сутки, определяется как отношение
общего пробега к вагоно-суткам рабочего парка:
Sw = Σ ngs / ntrb
(баз.) = 511664*1000/1599006 = 319,99
км/сут.(тек.) = 519124*1000/1632639 = 317,97 км/сут.
. Для оценки доли непроизводительного
(порожнего) пробега вагонов применяются относительные величины:
координации αw - соотношение
порожнего и груженого пробегов вагонов:
αw-gr = (Σ nrs / Σ ngrs)*100
αw-gr (баз.) =
204530*100/307134 = 66,59 %
αw-gr (тек.) =
206002*100/313119 = 65,79 %
структуры αw-gr - соотношение
порожнего и общего пробегов вагонов:
αw = (Σ nrs / Σ ngs)*100
αw (баз.) =
204530*100/511664 = 39,97 %
αw (тек.) =
206002*100/519124 = 39,68 %
. коэффициент местной работы km показывает,
сколько грузовых операций Σ zgr
приходится в среднем на единицу работы или на один производственный цикл:
km = Σ zgr /
Σ u
(баз.) = 428776/356903 = 1,2014
km (тек.) = 431368/349651 = 1,2337
В целом за один производственный цикл с вагоном
выполняется одна грузовая операция, т.е. по сети коэффициент местной работы
равен 1. Число технических станций, на которых производятся технические
операции с транзитными вагонами ktr, определяется по данным предыдущих расчетов
как отношение полного рейса к вагонному плечу:
= Rw / Lw
(баз.) = 1433,62/217,45 = 6,59(тек.) =
1484,67/228,7 = 6,49
. Структура транзитных вагонов характеризуется
долей транзитных вагонов без переработки wb-r и долей транзитных вагонов с
переработкой wtr-r в общем транзитном вагонопотоке.
. Оборот вагона рабочего парка Т характеризует
среднюю продолжительность производственного цикла. Для дорог оборот вагона
показывает, сколько времени вагон находился в пределах дороги при выполнении
одного производственного цикла. Определяется этот показатель как отношение
рабочего парка ntrb к работе Σ u и
переводится в часы:
Т = (ntrb / Σ u)*24
Т (баз.) = 1599006*24/356903 = 107,53 ч.
Т (тек.) = 1632639*24/349651 = 112,06 ч.
Продолжительность времени оборота вагона
определяется эффективностью работы коллективов всех подразделений
железнодорожного транспорта, поэтому оборот вагона является характеристикой
качества всей эксплуатационной работы. На практике постоянно выполняется анализ
изменения времени оборота вагона для выявления резервов его ускорения.
5.2 Взаимосвязь показателей качества
использования вагонов
Показатели качества использования вагонов
условно можно объединить в группы:
характеризующие использование грузоподъемной
силы:
статическая и динамическая нагрузки;
характеризующие использование вагонов во
времени: скорость движения; средний простой; среднесуточный пробег; среднее
время оборота и величина его элементов;
характеризующие объективные условия перевозок -
процент порожнего пробега, полный рейс, коэффициент местной работы, структура
транзитных вагонов, число технических станций, проходимых за время оборота;
обобщающий показатель - среднесуточная
производительность вагона 
.
Показатели качества использования вагонов
находятся во взаимосвязи, которая, во-первых, позволяет проверить правильность
расчетов и, во-вторых, является основой факторного анализа результативных
показателей (производительности, времени оборота вагона). Следует заметить, что
в некоторых случаях формулы взаимосвязи позволяют получить не тождество, а
приближенное равенство, так как состав объемных показателей может несколько
отличаться. Взаимосвязь показателей широко используется при составлении плана
работы подвижного состава.
Время оборота грузового вагона включает
продолжительность каждого элемента производственного цикла: время в чистом
движении по перегонам в составе организованных поездов или с одиночными
локомотивами 
, время простоя на
промежуточных станциях участка 
, время простоя под
грузовыми операциями 
, время простоя под
техническими операциями в составе транзитных поездов 
. Каждый из этих
элементов определяется на основе взаимосвязей показателей качества
использования вагонов:

.

(баз)= 1433,62
/47,79=30,00 ч.

(тек)=1484,67/47,52=31,24
ч.
(баз.) = 1433,62/42,86 - 1433,62/47,79 = 3,45
ч.(тек.) = 1484,67/43,11 - 1484,67/47,79 = 3,37 ч.
Сумма времени в чистом движении и простоя на
промежуточных станциях участка характеризует полное время нахождения вагона на
участке.
Время простоя под грузовыми операциями 
:

,
где 
- среднее время
простоя местного вагона под одной грузовой операцией определяется по данным
учёта станционного простоя:
tgr = Σntgr / Σzgr
(баз.) = 16855562/428776 = 39,31 ч.(тек.) =
17993487/431368 = 41,71 ч.(баз.) = 39,31*1,2014 = 47,23 ч.(тек.) = 41,71*1,2337
= 51,46 ч.
Время нахождения вагона на технических станциях
транзитных вагонов ttr:
ttr = (Rw / Lw)* ttr
где Rw / Lw - число технических станций,
проходимых вагоном за время оборота; ttr - средний простой транзитного вагона
под соответствующей технической операцией:
ttr = Σnttr / Σztr
(баз.) = 9582543/2352990 = 4,072 ч.(тек.) =
9148023/2269907 = 4,03 ч.(баз.) = 6,59*4,072 = 26,83 ч.(тек.) = 6,49*4,03 =
26,15 ч.
Т (баз.) = 30 + 3,45 + 47,23 +26,83 = 107,51 ч.
Т (тек.) = 31,24 + 3,37 + 51,46 + 26,15 = 112,22
ч.
Таким образом, в составе времени оборота вагона
для аналитических целей можно выделить пять элементов, которые определяются на
основе взаимосвязей показателей качества использования грузовых вагонов во
времени:

,
где 
- полный рейс
вагона, 
- коэффициент
местной работы, 
- вагонное плечо, 
- скорость
движения на участке, 
-техническая
скорость.

(баз.)=1433,62/47,79+(1433,62/42,86-1433,62/47,79)
+1,2014* 39,31+ 1433,62/217,45 *4,072 = 107,53 ч.

(тек.)=1484,67/47,52+(1484,67/43,11-1484,67/47,52)
+ 1,2337 *41,71 + 1484,67 /228,698*4,03=112,21 ч.
. Уровень статической нагрузки влияет на
динамическую нагрузку груженого вагона, но находится с ней в корреляционной
связи.
Динамическая нагрузка на вагон рабочего парка
зависит от динамической нагрузки груженого вагона 
и коэффициента
порожнего пробега к груженому 
:

.

(баз.)
=48,01/(1+0,6659)=28,82 т. / ваг.

(тек.)
=46,62/(1+0,6579)=28,12 т. / ваг.
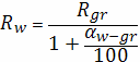
Полный рейс вагона связан с груженым рейсом 
и процентом
порожнего пробега вагонов 
:

.

(баз.)
=860,55*(1+0,6659)=1433,61 км.

(тек.)
=895,52*(1+0,6579)=1484,68 км.
Среднесуточная производительность вагона
рабочего парка зависит от динамической нагрузки груженого вагона 
, среднесуточного
пробега 
и коэффициента
порожнего пробега вагонов 
:

= 
* 
/ (1 + 
/ 100).

(баз.) =
48,01*319,99/(1+0,6659)=9221,87 т-км / ваг. сут.

(тек.) =
46,62*317,97/(1+0,6579)=8941,29 т-км / ваг. сут.
Таблица 14 - Средний простой вагонов
|
Базовый
|
Вагоно-часы
|
Вагоны
|
Средний
простой
|
|
Транзит
без переработки
|
2364150
|
1713417
|
1,38
|
|
Транзит
с переработкой
|
7218393
|
639573
|
11,29
|
|
Общий
транзит
|
9582543
|
2352990
|
4,07
|
|
Грузовые
операции
|
16855562
|
428776
|
39,31
|
|
Текущий
|
|
|
|
|
Транзит
без переработки
|
2189703
|
1645707
|
1,33
|
|
Транзит
с переработкой
|
6958320
|
624200
|
11,15
|
|
Общий
транзит
|
9148023
|
2269907
|
4,03
|
|
Грузовые
операции
|
17993487
|
431368
|
41,71
|
средний простой вагонов определяется для
категорий: транзит без переработки, транзит с переработкой, общий транзит,
грузовые операции.
Расчеты:
Базовый
=2600873/1617396=1,38
=7907733/579933=11,29
=10508606/2197329=4,07
=17073084/427858=39,31
Текущий
=2809343/1480095=1,33
=7367753/602669=11,15
=10177096/2082784=4,03
=17958126/400918=41,71
5.3 Анализ влияния факторов на
изменение времени оборота вагонов
Время оборота вагона зависит от большого числа
факторов. Поэтому факторный анализ ведется по каждому элементу отдельно, а
затем обобщается. При этом все факторы условно классифицируют на две группы:
. зависящие от условий работы предприятия:
полный рейс, вагонное плечо, коэффициент местной работы, структура транзитных
вагонов
. зависящие от качества работы предприятия:
скорость, средний простой каждой категории вагона.
Таблица 15 - Факторы, влияющие на оборот вагона
|
Показатель
|
Символ
|
Период
|
Изменение(+,-)
|
|
|
Базисный
|
Текущий
|
|
|
Полный
рейс, км
|
1433,62
|
1484,67
|
51,05
|
|
Скорость
движения, км/час:
|
|
|
|
|
|
техническая
|
|
47,79
|
47,52
|
-0,27
|
|
участковая
|
|
42,86
|
43,11
|
0,25
|
|
Коэффициент
местной работы
|
|
1,2014
|
1,2337
|
0,0323
|
|
Вагонное
плечо, км
|
|
217,45
|
228,698
|
11,25
|
|
Средний
простой под одной операцией, час.:
|
|
|
|
|
|
Грузовой
- местного вагона
|
|
39,31
|
41,71
|
2,4
|
|
Технической
- транзитного вагона
|
|
4,072
|
4,03
|
-0,042
|
Время чистого движения 
:

30 ч.

1484,67 / 47,79 =
31,07 ч.

1484,67 / 47,52
=31,24 ч.
Общее изменение: 
1,24 ч. в том
числе за счет:
а) 
1,072 ч.
б) 
0,17 ч.

1,242 ч.
Время простоя на промежуточных станциях:

3,37 - 3,45= -0,08
ч.
Время простоя под грузовыми операциями 
:

1,2014 * 39,31
=47,23 ч.

1,2014 * 41,71 =50,11
ч.

1,2337 * 41,71
=51,46 ч.
Общее изменение: 
4,23 ч. в том числе
за счет:
а) 
2,88 ч.
б) 
1,35 ч.

4,23ч.
Время простоя на технических станциях (транзит) 
:

1433,62 
26,83 ч.

1484,67 
27,8 ч.

1484,67 
26,43 ч.

1484,67 
26,15 ч.
Общее изменение: 
-0,68 ч., в том
числе за счет:
а) 
0,97 ч.
б) 
-1,37 ч.
в) 
-0,28 ч.

-0,68 ч.
Таблица 16 - Изменение элементов оборота вагона
|
Элементы
оборота вагона
|
Базовый
|
Текущий
|
Изменение
(+/-)
|
|
Время
чистого движения
|
30
|
30,24
|
1,24
|
|
Простой
на промежут. станциях
|
3,45
|
3,37
|
-0,08
|
|
Простой
под грузовыми операциями
|
47,23
|
51,46
|
4,23
|
|
Простой
в составе транзитных поездов
|
26,83
|
26,15
|
-0,68
|
|
Итого
:Время оборота вагона
|
107,51
|
111,22
|
3,71
|
5.4 Анализ изменения среднесуточной
производительности грузового вагона рабочего парка
Таблица 17 - Исходная информация для анализа
влияния факторов на изменение среднесуточной производительности вагона рабочего
парка
|
Символ
|
Период
|
Изменение
(+, -)
|
|
|
Базисный
|
Текущий
|
|
|
Динамическая
нагрузка груженого вагона, т/ваг
|
|
48,01
|
46,62
|
-1,39
|
|
Доля
порожнего пробега к груженому, %
|
|
66,59
|
65,79
|
-0,8
|
|
Среднесуточный
пробег вагона, км/сут
|
|
319,99
|
317,97
|
-2,02
|
|
Среднесуточная
производительность вагона, т-км нетто/ваг-сут
|
|
9221,87
|
8941,29
|
-280,58
|
Среднесуточная производительность вагона
определяется по формуле

.

9221,87 т-км нетто
/ваг-сут.

8954,88 т-км нетто
/ваг-сут.

8998,09 т-км
нетто/ваг-сут

8941,29 тыс. т. /
ваг. сут.
Общее изменение: 
т-км
нетто/ваг-сут, в том числе за счет:
изменения динамической нагрузки груженого вагона

-266,99 т-км
нетто/ваг-сут
изменения порожнего пробега

43,21 т-км
нетто/ваг-сут
) изменения среднесуточного пробега вагона

-56,8 т-км
нетто/ваг-сут.

-280,58 т-км
нетто/ваг-сут.
Раздел 6. Пути улучшения
использования подвижного состава на дороге
Для улучшения использования подвижного состава
железной дороги была разработана комплексная программа повышения эффективности
организации и дисциплины труда на предприятии. Она предусматривает коренную
перестройку организации в целом и нормирование труда, более рациональное
использование рабочего времени, повышение качества выполнения работ, ликвидацию
простоев.
Для сокращения эксплуатационных расходов
изменяются тяговые плечи, удлиняются участки следования грузовых поездов без
технического обслуживания. Программой укрепления дороги были предусмотрены:
стимулирование роста перевозок, принципы работы на рынке транспортных услуг,
повышение экономичности хозяйственной деятельности на основе строжайшего
соблюдения экономии. Внедрение ресурсно-организационных технологий,
рационализация организации производства, привлечение региональных финансовых
ресурсов на покрытие убытков от пригородных, пассажирских перевозок.
Для характеристики объема работы локомотивного
парка применяется система показателей, которые являются суммарными величинами.
Объемные показатели отражают затраты транспорта на перевозочный процесс. С
показателями объема работы связаны расходы транспорта на смазочные, обтирочные
материалы, на ремонт, на расходы топлива, электроэнергии.
В настоящее время для локомотивных работ в
грузовом и пассажирском движении учитываются следующие моменты
производственного цикла: работа на участке (во главе поезда, в двойной тяге, в
одиночном следовании, в подталкивании и по системе многих единиц), время в
чистом движении по перегонам, время простоя, производительность локомотива, так
как ее величина зависит от эффективности использования локомотива, обобщающие
показатели качества использования локомотивов. Все показатели качества
использования локомотивов представляют взаимосвязанную систему. Это позволяет
выполнять их расчеты не только через объемные величины, но и через их
взаимосвязи.
Важнейшими показателями объема работы вагона
грузового парка служат эксплуатационный грузооборот. Пробег вагонов учитывается
по главным путям на перегонах в составе организации поездов и одиночных
локомотивов. Повышение среднесуточного пробега является важнейшим фактором
увеличения объемов перевозок грузов, способствует увеличению доходов и прибыли
железной дороги. Продолжительность производственного цикла зависит от состояния
пути, подвижного состава, от технологической организации эксплутационной
работы, т.е. практически все подразделения транспорта влияют на
продолжительность производственного цикла. Вследствие этого, время оборота
считается не только показателем качества использования грузовых вагонов, но и
является характеристикой качества всей эксплуатационной деятельности
железнодорожного транспорта.
Транспорт как вид экономической деятельности.
Роль железнодорожного транспорта в транспортной системе страны.
Транспорт является частью экономической
деятельности, которая связана с увеличением степени удовлетворения потребностей
людей при помощи изменения географического положения товаров и людей. Он может
доставлять сырье к местам, где потребители могут их лучше использовать.
Транспорт существенно зависит от географических
условий, особенно от топографических особенностей горных цепей, равнин, долин и
береговой полосы, являясь средством заполнения географических разрывов между
производством и потребителем. Транспорт призван связывать производство и
потребителя и должен для этого создавать соответствующие средства и во многих
случаях выступает как катализатор, повышая уровень активности экономики. Он
позволяет расширить масштабы производства, связать производство и потребителей.
Транспорт нужен для достижения уровня личного благосостояния, невозможного в
прошлом.
Транспорт создает условия для формирования
местного и общегосударственного рынка. В условиях перехода к рыночным
отношениям роль рационализации транспорта существенно возрастает. С одной
стороны от транспортного фактора зависит эффективность работы предприятия, что
в условиях рынка напрямую связано с его жизнеспособностью, а с другой стороны,
сам рынок подразумевает обмен товарами и услугами, следовательно, невозможен и
сам рынок. Поэтому транспорт является важнейшей составной частью рыночной
инфраструктуры.
Основное звено транспортной системы России -
железнодорожный транспорт - обеспечивает около 40% грузооборота и 43%
пассажирооборота. Это обусловлено соответствием главных магистралей основным
транспортно-экономическим связям, а также технико-экономическими преимуществами
железнодорожного транспорта перед другими видами транспорта.
Железнодорожный транспорт - особая сфера
материального производства и самостоятельная отрасль народного хозяйства. С его
помощью осуществляются связи внутри отраслей и между различными отраслями,
внутри экономических районов и между ними, формируются межгосударственные
связи.
Железнодорожный транспорт в Российской Федерации
состоит из железнодорожного транспорта общего пользования, железнодорожного
транспорта необщего пользования, а также технологического железнодорожного
транспорта организаций, предназначенного для перемещения товаров на территориях
указанных организаций и выполнения начально-конечных операций с железнодорожным
подвижным составом для собственных нужд указанных организаций. Российские
железные дороги играют значительную роль в экономике России.
К железнодорожному транспорту относится
структурный комплекс, состоящий их железнодорожных транспортных средств,
сопутствующей производственной структуры, чья деятельность основана на
осуществлении перевозок по железной дороге.
Преимуществом железнодорожного транспорта
является независимость от природных условий (строительство железных дорог
практически на любой территории, возможность ритмично осуществлять перевозки во
все времена года, в отличие от речного транспорта). «Эффективность
железнодорожного транспорта становится ещё более очевидной, если учесть такие
его преимущества, как высокие скорости подвижного вагонопотока, универсальность,
способность осваивать грузопотоки практически любой мощности. Среди
существующих показателей наиболее точно характеризуют уровень мобильности
железнодорожного транспорта следующие: удовлетворение потребностей народного
хозяйства в перевозках за определенный период времени, соблюдение сроков
доставки грузов, оборот вагона, участковая и техническая скорость, коэффициент
участковой скорости, средний простой вагона под одной грузовой операцией. В
пассажирских перевозках наиболее важны такие показатели, как соблюдение графика
и расписания движения, выполнение плана пассажирских перевозок».
Несмотря на то, что по многим показателям (таким
как грузооборот, интенсивность движения и т.п.) российские железные дороги не
уступают или даже опережают железные дороги других стран, сектор нуждается в
реформировании. «Основными проблемами системы железных дорог являются
неэффективная система регулирования, отсутствие конкуренции, высокий износ
инфраструктуры и подвижного состава и отсутствие достаточного объема инвестиций,
а также высокие социальные расходы.
Роль железнодорожного транспорта в экономике
России
Железнодорожный транспорт - ведущий в
транспортной системе России. «Его ведущее значение обусловлено двумя факторами:
технико-экономическими преимуществами над большинством других видов транспорта
и совпадением направления и мощности основных транспортно-экономических
межрайонных и межгосударственных связей России с конфигурацией, пропускной и
провозной способностью железнодорожных магистралей (в отличие от речного и
морского транспорта)». Так же это обусловлено географическими особенностями
нашей страны.
«Главная задача железных дорог России -
обеспечить надежную транспортную связь европейской части страны с её восточными
районами. Нужно отметить, что важнейшие транспортные линии перегружены. Средняя
скорость движение на железных дорогах около 30 км/ч и постоянно снижается.
Наиболее густая и разветвленная сеть железных дорог расположена в европейской
части Российской Федерации».
«Железные дороги - крупнейшая государственная
монополия в России. Железнодорожная отрасль, по разным оценкам, обладает от 4%
до 15% всех основных средств производства в российской экономике, в ней заняты
1,2 миллиона человек. Железнодорожный транспорт является в целом прибыльным,
хотя пассажирские перевозки (и особенно пригородные) являются убыточными.
Убытки от пассажирских перевозок покрываются за счет доходов от грузовых
операций. Основные потребители услуг железных дорог - производители массовых
грузов (угля, строительных материалов, черных и цветных металлов и др.). Их
спрос на услуги железнодорожного транспорта имеет низкую эластичность, а
среднее расстояние перевозки этих грузов так велико, что грузоотправители
фактически не имеют другой альтернативы: автомобильный транспорт оказывается
слишком дорогим при перевозках на такие расстояния, а водный транспорт может
конкурировать с железнодорожным только на некоторых маршрутах.
Сегодня отрасль переживает инвестиционный
кризис. Хотя объем инвестиций в последние несколько лет составил около 100
миллиардов рублей в год, износ подвижного состава и инфраструктуры продолжает
расти. Подвижной состав не только изношен, но и технически устарел.
Железнодорожный транспорт нуждается не только в «омоложении» основных средств,
но в приобретении технически современных и более совершенных подвижного состава
и путевого оборудования.
В современном обществе очень немногие
потребности человека могут быть удовлетворены без помощи транспорта, который
используется либо для перевозки грузов к местам их использования, либо людей к
местам потребления товаров и услуг.
В последнее время доля железнодорожного
транспорта в общем грузообороте снизилась, но он сохраняет свое ведущее
значение в ЕТС, что обусловлено в первую очередь соответствием главных
магистралей основным транспортно-экономическим связям, а также его
технико-экономическими преимуществами в условиях РФ над другими видами
наземного транспорта.
Заключение
Цель работы состояла в изучении системы учета и
анализа показателей, характеризующих наличие, работу и качество использования
подвижного состава на дороге. Так же были определены и проанализированы
показатели работы и использования локомотивного и вагонного парков за два
периода времени (базисный и текущий), определено абсолютное и относительное
изменения показателей, а также был произведен расчет влияния факторов на
изменение важнейших из них.
Кроме того, были выполнены такие задания
курсового проекта, как:
Изложить основные положения методологии
статистического исследования перевозок эксплуатации тягового подвижного состава
и вагонного парка.
Рассчитать основные показатели объема и качества
использования подвижного состава.
Проанализировать влияние факторов на изменение
важнейших показателей, включаемых в бюджет производства - среднесуточную
производительность локомотива, оборот вагона грузового парка, среднесуточную
производительность вагона рабочего парка.
Выполнить работу по вопросу: Статистическое
исследование деятельности железнодорожного транспорта.
Так же была выполнена учебно-исследовательская
работа по одному из актуальных вопросов статистики железнодорожного транспорта.
Список литературы
1. Круглова
В.Г., Полосаткина Е.А. Статистика железнодорожного транспорта: Учебное пособие.
- Новосибирск: Изд-во СГУПСа, 2001. - 148 с.
2. Железнодорожный
транспорт
. http://www.transportall.ru/railways
. http://www.vedco.ru