Характеристика грузовой и перевозочной работы железной дороги
Содержание
Введение
1. Корректировка задания
2. Характеристика грузовой и перевозочной работы дороги
3. Оперативный анализ отклонения отчетных значений показателя
объема грузовых перевозок от их расчетной величины
4. Факторный анализ объема грузовых перевозок
5. Анализ использования подвижного состава (грузовых вагонов)
методом цепного разложения
6. Анализ влияния изменений показателей использования подвижного
состава (грузовых вагонов) на связанные с ними показатели методом цепных
подстановок
Выводы и предложения
Список литературы
Введение
Термин «статистика»
означает определенное состояние, положение вещей. Под статистикой обычно
понимают числовые данные о явлениях общественной жизни, полученные на научной
основе, имеющей свой предмет и метод исследования.
Статистика изучает
размеры, объемы, уровни и количественные соотношения (пропорции, темпы роста и
т.п.) явлений общественной жизни: численность населения и его состав по полу,
месту проживания, возрасту, занятиям и ряду других признаков; объем
произведенной продукции; величину внутреннего валового продукта и его частей;
количество перевезенных грузов и пассажиров и многое другое. Все эти явления
изучаются в конкретных условиях места и времени во взаимосвязи с их
качественной стороной. Например, при оценке работы железнодорожного транспорта
необходимо знать не только общий объем перевозок, но и состав его по родам
грузов, направлениям перевозок. Статистика выявляет закономерности, которые
присущи явлениям общественной жизни. Например, статистика отображает развитие
экономики страны — подъемы и спады, сопровождающиеся изменением уровня
безработицы.
Статистика также изучает
влияние природных причин и научно-технического прогресса на общественные
явления и воздействие общественного производства на условия жизни общества.
Следовательно, статистика
— это наука, изучающая размеры и количественные соотношения определенных
общественных явлений и наблюдаемые в их изменениях закономерности, влияние
природных и технических факторов на количественные характеристики явлений
общественной жизни, а также влияние общества на окружающую среду. Из этого
определения следует, что статистика связана со многими другими науками, и в
первую очередь с общественными.
Современная
государственная статистика выполняет разнообразные функции: управление различными
сферами общественной жизни; предоставление материалов для разработки
бизнес-планов и контроль их выполнения; оценка эффективности внедрения новой
техники, использования машин, оборудования, материальных ресурсов, рабочей силы
и т.п.
Статистические данные о
массовых общественных явлениях служат средством социально-экономического
познания, дают возможность устанавливать закономерности, широко используются
при принятии решений на всех уровнях управления.
В настоящее время перед
статистическими органами стоят задачи совершенствования методологии расчета
статистических показателей, комплексно характеризующих становление современной
национальной модели экономики России с учетом международных стандартов;
приведения их в системный вид, соответствующий потребностям современного этапа
социально-экономического развития. В условиях рыночного развития экономики
страны одной из актуальных задач становится дальнейшее совершенствование
аналитической работы, что требует особого внимания статистических органов.
Разработка и установление необходимых форм и методов статистической работы,
широкое применение математических методов и персональных электронных
вычислительных машин (ПЭВМ) в экономических расчетах и анализе позволяют
повысить качество и оперативность статистической информации, ее познавательные
и аналитические возможности.
Структура
статистических органов железнодорожного транспорта
1.
Корректировка задания
На основании исходных
данных табл. 1, согласно варианту №2, приводим данные плана и отчета (табл.1).
1. Рассчитаем коэффициент
корректировки
, величина которого
представляет собой отношение фактического и расчетного грузооборота, т.е.
Коэффициент корректировки
=1,173 – заданный объем перевозки перевыполнен, поэтому требуется корректировка
показателей, которые планируются в зависимости от заданного грузооборота. К
таким показателям от относятся: рабочий парк вагонов
,
эксплуатируемый парк локомотивов
, пробеги вагонов
,
,пробеги
локомотивов
, пробеги поездов
, тонно-километры брутто
, контингент локомотивных бригад
.
2. Умножаем плановую
величину всех зависящих от грузооборота показателей на коэффициент
корректировки.
1) Рабочий парк вагонов
=15357*1,173=18013,76
2) Эксплуатируемей парк
локомотивов
=191*1,173=224,04
3) Пробеги вагонов
=1082255*1,173=1269485,12
=1406932*1,173=1650331,24
4) Пробеги локомотивов
=28952*1,173=33960,7
5) Пробеги поездов
=27056*1,173=31736,69
6) Тонно-километры брутто
=75974*1,173=89117,5
7) Контингент
локомотивных бригад
=563*1,173=660,4
Результаты корректировки
поместим в гр.5 табл.1. Остальные расчетные показатели, величина которых не подлежит
корректировке, перенесем из гр.4 табл.1 в гр.5 без изменения.
Таблица 1
Корректировка заданных
расчетных значений показателей и определение процента их выполнения
|
№
п/п
|
Показатели и их обозначения
|
Единица
измерения
|
Данные
|
Формулы для расчета показателей
|
|
плана
|
Скоррект.
расчета
|
отчета
|
%
выполнения
расчета
|
|
1
|
2
|
3
|
4
|
5
|
6
|
7
|
8
|
|
0
|
Приведенная продукция
|
млн. ткм прив.
|
45810
|
45810
|
53309
|
116,4
|
|
|
1
|
Грузооборот нетто
|
млн. ткм нетто экспл
|
42208
|
42208
|
49509
|
117,3
|
|
|
2
|
Пассажирооборот
|
млн. пасс.-км
|
3602
|
3602
|
3800
|
105,5
|
|
|
3
3а
3б
3в
|
Работа дороги в среднем в суткиU, в том числе:
погрузка
прием груженых
выгружено
|
вагон
вагон
вагон
вагон
|
7835
3266
4569
2500
|
7835
3266
4569
2500
|
8891
4445
4446
3445
|
113,5
136,1
97,3
137,8
|
|
|
4
|
Рабочий парк вагонов
|
вагон
|
15357
|
18013,76
|
13336
|
74,03
|
|
|
5
|
Общий пробег вагонов
|
тыс. вагоно-км
|
1406932
|
1650331,24
|
1518704
|
92,02
|
|
|
6
|
Пробег груженых вагонов
|
тыс. вагоно-км
|
1082255
|
1269485,12
|
1124967
|
88,6
|
|
|
7
|
Грузооборот брутто
|
млн. ткм брутто
|
75974
|
89117,5
|
85958
|
96,5
|
|
|
8
|
Пробег поездов
|
тыс. поездо-км
|
27056
|
31736,69
|
30994
|
97,7
|
|
|
9
|
Процент вспомогательного (линейного) пробега локомотива к
пробегу во главе поездов
|
%
|
7
|
7
|
4,2
|
60
|
|
|
10
|
Пробег локомотивов (линейный)
|
тыс. локомотиво-км
|
28952
|
33960,7
|
32336
|
95,2
|
|
|
11
|
Эксплуатируемый парк локомотивов
|
лок.
|
191
|
224,04
|
162
|
72,3
|
|
|
12
|
Полный рейс вагона
|
км.
|
495
|
495
|
463
|
93,5
|
|
|
13
|
Груженый рейс вагона
|
км
|
380
|
380
|
343
|
90,3
|
|
|
14
|
Техническая скорость
|
км/ч
|
50
|
50
|
44
|
88
|
|
|
15
|
Участковая скорость
|
км/ч
|
40
|
40
|
38
|
95
|
|
|
16
|
Среднесуточная производительность вагона
|
ткм.
|
7530
|
7530
|
10170
|
135,1
|
|
|
17
|
Среднее время оборота вагона
В том числе:
|
сутки
ч
|
1,96
47,1
|
1,96
47,1
|
1,5
36,0
|
76,5
76,4
|
|
|
17а
|
в движении
|
ч
|
9,9
|
9,9
|
10,5
|
106,1
|
|
|
17б
|
на промежуточных станциях
|
ч
|
2,5
|
2,5
|
1,7
|
68
|
|
|
17в
|
на технических станциях
|
ч
|
19,2
|
19,2
|
12,8
|
66,7
|
|
|
17г
|
под грузовыми операциями
|
ч
|
15,5
|
15,5
|
11,0
|
71
|
|
|
18
18а
|
Число грузовых операций за оборот
средний простой под грузовой операцией
|
операция
ч
|
20,95
|
20,95
|
14,29
|
68,2
|
|
|
19
|
Число технических операций за оборот
|
операция
|
4,95
|
4,95
|
4,63
|
93,5
|
|
|
20
|
Средний простой под технической операцией
|
ч
|
3,83
|
3,83
|
2,76
|
72,1
|
|
|
21
|
Среднесуточный пробег вагона рабочего парка
|
км
|
251
|
251
|
312
|
124,3
|
|
|
22
|
Процент порожнего пробега вагонов
|
%
|
30
|
30
|
35
|
116,7
|
|
|
23
|
Динамическая нагрузка груженого вагона
|
т
|
39
|
39
|
44
|
112,8
|
|
|
24
|
Динамическая нагрузка вагона рабочего парка
|
т
|
30
|
30
|
32,6
|
108,7
|
|
|
25
|
Масса тары вагона
|
т
|
24
|
24
|
24
|
100
|
|
|
26
|
Масса вагона брутто
|
т
|
54
|
54
|
104,8
|
|
|
27
|
Состав поезда
|
вагон
|
52
|
52
|
49
|
94,2
|
|
|
28
|
Масса поезда брутто
|
т
|
2808
|
2808
|
2774
|
98,8
|
|
|
29
|
Среднесуточный пробег локомотива
|
км
|
415
|
415
|
546
|
131,6
|
|
|
30
|
Среднесуточная производительность локомотива
|
тыс. ткм брутто
|
1089
|
1089
|
1454
|
133,5
|
|
|
31
|
Контингент локомотивных бригад
|
бригада
|
563
|
660,4
|
630
|
95,4
|
|
2.
Характеристика грузовой и перевозочной работы дороги
Для определения
значимости дороги сопоставляется объем перевозов на обследуемой со средним
грузооборотом, приходящимся на одну дорогу сети. Величина среднего приведенного
грузооборота, приходящегося на одну дорогу сети рассчитывается по формуле:
,
где
- приведенный грузооборот, выполняемый
дорогами сети в текущем году; 16 – число железных дорог сети в текущем году.
По заданию в текущем году
приведенный грузооборот сети составил 400 млрд. приведенных ткм.
Вывод: Объем выполняемой на дороге
перевозочной работы считается значительным, т.к. ее грузооборот превышает
среднесетевую величину.
Для характеристики вида
движения, преобладающего на дороге, определяется удельный вес грузовых и
пассажирских перевозок в приведенной продукции из соотношения грузовых (или
пассажирских) перевозок и приведенного грузооборота:
;
.
Результаты расчетов
заносим в таб. 2 гр. 5
Процент выполнения
расчета = отношение данных отчета к данным плана.
Таблица 2
Структура грузовой и
перевозочной работы и ее выполнение на дороге в 2008 году
Для
характеристики района тяготения дороги определим транспортное сальдо дороги.
Его рассчитаем как разницу показателей «отправлено» и «прибыло» или «вывоз» и
«ввоз». Ввиду отсутствия в задании данных о величине отправления на дороге, о
значении этого показателя можно судить по размеру «погружено вагонов», а о
прибытии - по числу выгруженных транспортное сальдо положительное, т.е.
Это
свидетельствует о том, что дорога обслуживает район добывающей промышленности.
Характер
перевозочной работы дороги отражает структура перевозок по видам сообщения.
Однако в исходных данных объем перевозок по видам сообщения отсутствует. О
структуре перевозок по видам сообщения с определенной условностью можно судить
по размерам «погружено», «выгружено» и «прием груженых вагонов». Условно
приняв, что объем перевозок в местном сообщении равен «вывозу»
можно
считать что погружено на дороге на половину в местном сообщении, а на половину
предназначено на вывоз. Тогда запишем
и
определим удельный вес местного сообщения в работе дороги:
,
.
Результаты
расчета занесем в таблицу 2 гр., 5. Поскольку в местном сообщении «погрузка»
равна «выгрузке»
,
а
«выгрузка на дороге» состоит из «выгрузки в местном сообщении» и «выгрузки
груженых вагонов, принятых с других дорог»
запишем,
что вывоз
равен выгружено всего на дороге»
минус «выгружено в местном сообщении»
, которое равно половине
«погружено на дороге»
,
ваг.;
,
.
Тогда
транзит на дороге определим по формуле
ваг.
Удельный
вес транзита на дороге определим по формуле:
,
.
Результаты расчетов
занесем в таблицу 2 гр., 5.
Т. к. доля транзита не
превышает 50 % объема перевозок, и больше 25 % - грузовой, то работу дороги
считают смешанной.
Характер
перевозочной работы на дороге также отражает коэффициент местной работы. Его
определим по формуле:
,
.
,
Он
характеризует число грузовых операций, приходящихся на работу дороги.
Дорогу
отнесем к дорогам со смешанным характером работы.
Результаты
расчетов занесем в табл. 1.
Используя
таб. 1.опишем грузовую и перевозочную работы обследуемой дороги:
Приведенный
грузооборот ж. д. в отчетном году больше планового задания на 7449 млн. ткм. и
что составило 16,4% и достигает 49509 млн. ткм. Перевыполнение плана по
приведенному грузообороту обусловлено увеличением грузооборота тарифного на 7301млн.
ткм., что составило 17,3 % от плана и увеличение пассажирооборота на 198
млн-км., при общем выполнении плана по видам сообщения . Абсолютный размер
грузооборота по видам сообщений распределяется неравномерно: 136,1% -
приходится на долю местного сообщения; 141% - на ввоз и 87,1% - на долю
транзита.
Изменение
структуры грузооборота по видам сообщений обусловлено значительным уменьшением
доли транзитных перевозок.
В целом
работа дороги по погрузке и приеме груженных вагонов перевыполнена на 1056
вагонов, в т.ч. выполнение по погрузке вагонов - 1179 вагонов, невыполнение по
приеме груженных вагонов – 123 вагона, перевыполнение по выгрузке вагонов – 945
вагонов .
В
дальнейшем необходимо уделить внимание на работу по приему груженных вагонов.
3. Оперативный анализ отклонения фактического уровня показателей объема перевозок
и эксплуатации подвижного состава от их расчетных значений
Процент
выполнения расчетных значений (или темп роста) показателей объема работы и
использования подвижного состава определим как относительную величину.
Например, процент выполнения приведенной продукции определим по формуле:
темп
роста приведенного грузооборота по формуле:
где
,
–
приведенный грузооборот в отчетном и базовом периодах.
Аналогично
рассчитываем все показатели, характеризующие изменение фактического уровня
показателей работы дороги относительно их расчетных значений. Результаты
расчетов занесем в табл. 1, гр. 7.
На
основании полученных результатов сделаем оценку выполнения плана грузовой и
перевозочной работы, использования подвижного состава.
Приведенная
продукция ж.д. в отчетном году достигла указанной величины, плановое задание
выполнено на 116%. Выполнение плана по приведенной продукции обусловлено увеличением
грузооборота на 7301 млн. ткм., и увеличением пассажирооборота на 198 млн.
пасс-км.
План по
грузообороту выполнен на 117%, что положительно сказалось на приведенный
грузооборот, который в отчетном периоде увеличился по сравнению с расчетным, т.
е. плановым заданием. Увеличение грузооборота связан с увеличением работы
дороги на 13,5 % от плана и за счет увеличения среднесуточной производительности
вагона на 2640 тонн-км., а среднесуточный пробег вагона рабочего парка увеличился
на 61 км., и влияет на увеличение среднесуточной производительности вагонов,
увеличением динамической нагрузки вагона рабочего парка на 2,6 т. или на 8,6%
по сравнению с планом.
Увеличение
среднесуточного пробега вагона рабочего парка обусловлено уменьшением полного
рейса вагона на 32 км.
В
отчетном периоде увеличился грузооборот брутто на 13,1% за счет увеличение
пробега поездов на 14,5% повлияло также уменьшение массы поезда брутто на 1,2%.
На увеличение
пробега локомотива на 11,6% повлияло снижение эксплуатируемого парка
локомотивов на 15,1% и увеличение среднесуточного пробега локомотива на 31,6%.
Пробег
вагона увеличился на 7,9%.
Анализ
показывает, что увеличение по отчету приведенного грузооборота,
эксплуатационного оборота и его расчетной величины расценивается как достоинство
в работе дороги, которое обеспечивает снижение расходов дороги.
К
недостаткам в работе дороги следует отнести снижение эксплуатируемого парка
локомотивов, увеличение процента порожнего пробега вагонов на 16,6%, что с
точки зрения интересов ж. д. расценивается как отрицательное явление.
4. Факторный анализ отклонения отчетных значений показателей объема
грузовых перевозок от их расчетной величины
Анализ
произведем исходя из взаимосвязи показателей статистики перевозок грузов.
Изменение эксплуатационного грузооборота
тесно
связано с тарифным грузооборотом
, который в свою
очередь функционально связан с показателями «отправлено тон
и средней дальностью
, используя формулу:
Однако
данные об отправлении и средней дальности в задании отсутствуют. Поэтому об их
влиянии на тарифный грузооборот можно судить только косвенно.
Об
изменении средней дальности можно судить по величине груженого рейса, величину
темпа прироста которого возьмем из табл. 2, гр. 4, 6:
Об
изменении размеров отправления можно судить по изменению показателей работы
дороги
статической нагрузки
. Их зависимость выражается
формулой:
Насколько
изменился объем перевозок за счет определяющих его факторов определим на основе
использования взаимосвязи темпов роста ix темпов прироста mx индексов Ix.
Исходя
из взаимосвязи темпов прироста, изменение отправления за счет определяющих его
факторов рассчитаем по формуле
Но
поскольку статическая нагрузка в исходных данных отсутствует, то о ее изменении
можно судить по динамической нагрузке груженого вагона qgr
.
.
Темпы
прироста работы дороги
динамической нагрузки
груженого вагона ,берем из табл. 2, гр. 7 (тх =ix-100%).
Определив,
на сколько процентов отчетное значение отправления выше (ниже) его расчетной
величины за счет отклонения отчетного уровня динамической нагрузки груженого
вагона от расчетного уровня и на сколько процентов за счет изменения работы
дороги, подсчитаем долю влияния собственного отправления
и приема груженых вагон
с соседних дорог в изменении
объема перевозок соответственно по формулам:
,
Правильность
проделанных расчетов проверим, пользуясь взаимосвязью темпов прироста работы
дороги, собственной погрузки и приема груженых вагонов (эти показатели возьмем
из табл. 2, гр. 7)
,
.
Об
изменении средней дальности
можно судить по
величине груженого рейса Rgr
величину которого берем из табл. 2,
гр. 7.
Пользуясь
темпами прироста груженого рейса и отправления, проверим правильность
выполняемых расчетов об изменении тарифного грузооборота
определяющих его факторов:
;
.
5 анализ использования подвижного состава методом цепного разложения
Чтобы
установить, за счет каких факторов и в какой мере достигнуто улучшение или
допущено ухудшение показателей использования локомотивов и вагонов,
воспользуемся методом последовательного исключения (методом цепного
разложения). Метод основывается на взаимосвязи показателей использования
подвижного состава. Схемы взаимосвязи показателей приведены на рис. 1,2. Этот
метод применяется при условии, что факторные показатели независимы друг от
друга.
Рис. 1.
Схема взаимосвязи показателей использования грузовых вагонов
Рис. 2 Схема взаимосвязи
показателей использования локомотивов
Наиболее
общим синтетическим показателем использования грузовых вагонов является
среднесуточная производительность вагона. С нее начнем анализ. Этот показатель
на обследуемой дороге по отчету выше его расчетного значения на 2640 ткм, т.е.
на 35 %.
Производительность
вагона, как видно по схеме 1, зависит от динамической нагрузки вагона рабочего
парка и среднесуточного пробега вагона. Аналитически эта зависимость выражается
формулой
Fw = qfbSw.
Таблица
3
Расчет изменения
производительности вагона от определяющих его факторов
На
обследуемой дороге эти факторы по-разному повлияли и величину
производительности вагона.
Если
динамическая нагрузка вагона рабочего парка выше расчетной нормы в среднем на 2,6
т, т.е. на 8,7 %, и положительно повлияла на среднесуточную производительность
вагона, то среднесуточный пробег вагона выше его расчетной величины на 61км в
сутки, что положительно сказалось на производительности вагона.
Меру
влияния каждого из этих факторов на среднесуточную производительность вагона
определим методом взаимного исключения. Снижение относительно расчетного
значения отчетного уровня производительности вагона за счет снижения его среднесуточного
пробега рассчитаем по формуле:
ткм,
а за
счет превышения динамической нагрузки груженого вагона рассчитаем по формуле:
ткм.
Общий
результата влияния этих факторов составляет:
ткм.
Он
отличается от фактического изменения производительности вагона относительно ее
расчетного значения на величину:
ткм,
называемую
«неувязкой». Неувязку перераспределяем по факторам поровну или пропорционально
их величине, если влияние факторов значительно различается по абсолютной
величине:
ткм
ткм,
После
распределения неувязки общее изменение производительности вагона за счет
факторов составило:
ткм.
Таким
образом, за счет превышения расчетной нормы динамической нагрузки вагона
рабочего парка на 2,6 т, т.е. на 8,7 %, среднесуточная производительность
вагона увеличена относительно ее расчетной величины на 694 ткм, а за счет увеличения
среднесуточного пробега вагонов на 61 км в сутки, т.е. на 24,3 %, среднесуточная производительность вагона увеличена на 1946 ткм. Все результаты расчетов занесены
в табл. 3.
В свою
очередь динамическая нагрузка вагона рабочего парка зависит от динамической
нагрузки груженого вагона qg, и от
процента порожнего пробега вагона aw. Эту зависимость математически запишем так:
.
Рассмотрим
степень влияния каждого фактора в отдельности (табл. 4).
Таблица 4
Расчет
изменения динамической нагрузки вагона рабочего парка от определяющих ее
факторов
Определяем
влияние qgr на qrb:

т.
Определяем влияние awна qrb:
т.
Из
проделанных расчетов следует, что qgr положительно повлияла на уровень qrb тогда как показатель aw оказал отрицательное влияние. В итоге
общее влияние составило:
т.
Данные
снижения динамической нагрузки вагона рабочего парка по отчету и по расчету не
совпадают:
т,
т.е.
имеет место «неувязка».
Распределим
нагрузку по факторам:
где
;
т;
т.
Таким образом, из
расчетов следует, что за счет превышения расчетной нормы динамической нагрузки
груженого вагона на 5 т, т.е. на 12,8 % динамическая нагрузка вагона рабочего
парка увеличена на 3,74 т, а за счет превышения процента порожнего пробега
вагона рабочего парка - снижена на 1,14т. Общая сумма влияния двух факторов
составила 2,6 т.
Данные эксплуатационной
статистики не позволяют продолжить анализ использования мощности вагонов. Для
выяснения причин отклонения отчетных значений динамической нагрузки груженого
вагона от их расчетной величины необходимо привлекать данные статистики
перевозки грузов, которые в исходных данных отсутствуют. Однако можно условно
определить влияние условий и успешности работы коллектива дороги на уровень
динамической нагрузки груженого вагона и вагона рабочего парка.
Примем,
что влияние условий эксплуатации и качества работы коллектива на среднюю
статическую нагрузку, а через нее и на динамическую нагрузку груженого вагона,
соответственно пропорционально доле приема груженых вагонов
и погрузке в работе дороги:
;
;
то
влияние условий эксплуатации на динамическую нагрузку груженых вагонов
рассчитаем следующим образом (см. табл. 1):
т,
а
влияние качества работы коллектива дороги на динамическую нагрузку груженого
вагона так:
т.
Как показали расчеты, за
счет благоприятно сложившихся условий работы, выразившихся в приеме на дорогу
вагонов, динамическая нагрузка которых выше нормы, динамическая нагрузка
груженых вагонов на дороге выше ее расчетной величины на 2,9 т. А за счет
усилий коллектива динамическая нагрузка груженых вагонов повышена на 2,1т. На
сколько обеспечен рост динамической нагрузки вагона рабочего парка за счет
увеличения динамической нагрузки груженого вагона благодаря успешной работе
коллектива дороги рассчитаем следующим образом:
т,
а на
сколько за счет объективных условий - так:
т.
Как
видно из расчетов, благодаря усилиям коллектива динамическая нагрузка вагонов
рабочего парка в среднем выше ее расчетной величины на 1,56т, а за счет
благоприятно сложившихся условий - на 2,18т. Однако превышение расчетной
величины процента порожнего пробега вагонов на 16,7% неблагоприятно отразилось
на величине динамической нагрузки вагона рабочего парка. Это вызвало ее увеличение
на 2,6 т.
Среднесуточный
пробег вагона, который является обобщающим показателем использования вагонов во
времени, зависит от полного рейса вагона и среднего времени оборота вагона. Эта
связь выражается формулой:
Данная
зависимость не может быть рассмотрена непосредственно, так как время оборота
вагона зависит от полного рейса:
.
Поэтому
при анализе меры влияния факторов на величину среднесуточного пробега вагонов
воспользуемся формулой:
.
Из этой
формулы следует, что анализу среднесуточного пробега вагонов должен
предшествовать анализ полного рейса вагона и времени оборота вагона, а затем
методом цепных подстановок можно определить их влияние на среднесуточный пробег
вагона.
Полный
рейс вагона зависит от груженого рейса и доли порожнего пробега вагонов.
Аналитически эту зависимость выразим формулой:
Таблица
5
Расчет изменения полного
рейса вагона от определяющих его факторов
Подсчет меры влияния этих
факторов на полный рейс произведем методом цепного разложения. Влияние груженого
рейса на полный рейс рассчитаем по формуле:
км.
а
влияние порожнего пробега по формуле:
ткм,
км.
Общее
изменение полного рейса вагона по расчету составило 29,1 км. Оно отличается от фактического снижения полного рейса вагона на:
км.
Распределим
неувязку:
,
.
км.
Как
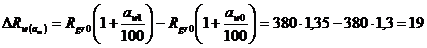
показали расчеты, за счет снижения груженого рейса полный рейс вагона
уменьшился на 50,18км, а за счет роста порожнего пробега вагонов полный рейс
увеличился на 18,18 км. В итоге общее снижение полного рейса вагона составило 32 км.
Анализ
времени оборота вагона Tw начнем с изучения его поэлементной структуры. Время оборота вагона
состоит из времени в движении tdv ,времени
простоя на промежуточных станциях tst под грузовыми tgr и транзитными ttr
операциями. Это выражается формулой:
Таблица
6
Анализ
времени оборота вагона
Каждый
из этих элементов зависит от элементарных факторов, складывающихся либо под
влиянием условий (рейс вагона, вагонное плечо, число грузовых и транзитных
операций за оборот), либо под влиянием качества работы дороги (техническая
скорость, средняя продолжительность простоя вагона под одной операцией на
промежуточных, грузовых и технических станциях).
Для
анализа влияния этих факторов на время оборота вагона воспользуемся следующей
аналитической формулой:
Анализ
элементов времени оборота вагона сначала произведем в зависимости от факторов,
отражающих условия работы, т.е. от полного рейса, от числа грузовых и
технических операций.
Изменение
времени в движении от полного рейса рассчитываем по формуле:
Как
показали расчеты, в нашем примере время в движении в связи со снижением полного
рейса на 32 км снизилось на 0,64 ч:
время на
промежуточных станциях - на 0,16 ч:
,
ч.
Время
под грузовыми операциями в связи с уменьшением коэффициента местной работы увеличилось
на 3,14 ч:
ч.
Время
под техническими операциями в связи со снижением числа технических операций
уменьшилось на 1,23ч:
ч.
Затем
произведем анализ элементов времени оборота вагона от факторов, отражающих
качество работы коллектива дороги, т.е. технической скорости, времени простоя
под одной грузовой, под одной технической операцией, на одной промежуточной
станции.
В связи
со снижением технической скорости на 6 км/ч время в движении увеличилось на 1,26 ч:
ч.
В связи со
снижением времени простоя на одной промежуточной станции время простоя на
промежуточных станциях уменьшилось на 0,66 ч:
,
ч.
В связи
со снижением времени простоя под одной грузовой операцией на 1,07 ч время под
грузовыми операциями уменьшилось на 5,93 ч:
ч.
В связи со
снижением времени под одной технической операцией на 0,32ч время под
техническими операциями увеличилось на 4,95 ч:
ч.
Результаты
расчетов занесем в табл. 7, в которой приводятся расчетные Tw0 , отчетные Tw1 и
скорректированные Tw значения
времени оборота вагона, его элементов и факторов, их определяющих, изменение
времени оборота вагона в целом и каждого его элемента как под влиянием условий,
так и качества использования вагонов. Правильность расчетов проверим, сравнив
сумму изменений каждого из элементов времени оборота вагонов под влиянием
условий и качества работы с общим изменением времени оборота вагона (гр. 6,7, 8
табл. 7):
,
а также
сравнив по каждому элементу их изменение под влиянием условий с разницей их
расчетных и откорректированных значений:
ч,
ч,
и их
изменений под влиянием качества работы с разницей их отчетных и
откорректированных значений:


ч,
ч.
Сумма
отклонений расчетных значений от откорректированных и откорректированных от
фактических равняется сумме изменения времени оборота под влиянием условий и
качества работы.
При
анализе влияния качества работы коллектива на время оборота вагона и его
элементов укажем на недостатки и достижения в работе коллектива. Так, в нашем
примере, снижение времени простоя под одной грузовой операцией и на
промежуточной станции рассматривается как достоинство в работе дороги, не
вызвавший рост времени оборота вагона. В то же время снижение технической
скорости, снижение времени под одной технической операцией позволили сократить
время оборота вагона на 0,46ч.
6. Анализ влияния показателей использования грузовых вагонов на связанные с ними
показатели методом цепных подстановок
Проведенный
анализ полного рейса и времени оборота вагона позволяет проследить изменение
среднесуточного пробега от определяющих его факторов. Анализ проведем методом
цепных подстановок. Сущность метода цепных подстановок заключается в следующем:
1. На
основе взаимосвязи показателей выявим, на каких показателях отражается
невыполнение (перевыполнение) показателя, принятого за факторный. При этом
воспользуемся либо схемами взаимосвязи показателей (см. рис. 1, 2), либо
формулами их аналитической зависимости из табл. 2, гр.8.
Таблица
7
Влияние
условий и качества работы на изменение времени оборота вагона
Например, сокращение
среднего времени простоя под одной грузовой операцией
отражается
на времени простоя вагонов под грузовыми операциями tgr на времени оборота вагона Tw его среднесуточном пробеге Sw производительности вагона Fw величине рабочего парка вагонов
.
2.
Произведем расчет изменения всех показателей, на величине которых отражается
изменение факторного показателя. При этом величину всех показателей, входящих в
формулу аналитической зависимости в качестве весов, возьмем на уровне отчета,
если они отражают условия работы, и на уровне базы, если они отражают качество
работы. Например, при анализе изменения времени в движении от изменения полного
рейса техническую скорость берут на уровне базы
поскольку
она отражает качество работы. При анализе изменения времени в движении от
изменения технической скорости относительно базы полный рейс берем на уровне
отчета
поскольку
он отражает условия работы.
3.
Расчет каждого последующего показателя цепочки аналитической зависимости
произведем по формуле, в которой имеется либо факторный, либо ранее
пересчитанный показатель. Например, расчет времени оборота вагона можно
произвести по формулам:
,
,
.
Если надо
проанализировать влияние изменения времени под грузовыми операциями tgr на время оборота вагона Tw то расчет ведется по последней
формуле, где имеется показатель, принятый за факторный tgr
Влияние
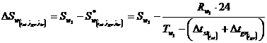
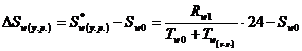
изменения рейса вагона на среднесуточный пробег вагона рассчитаем по формуле:
,
км/с.
Как
видно из расчета, в связи с уменьшением полного рейса вагона на 32 км среднесуточный пробег вагона снизился на 10,87 км в сутки, и это несмотря на то, что уменьшение
полного рейса положительно отразилось на времени в движении и простоя на
промежуточных станциях, обусловив его снижение.
Анализ
влияния элементарных факторов, определяющих время оборота вагона, на
среднесуточный пробег вагона ведется отдельно по факторам, отражающим условия
работы и качество использования подвижного состава на дороге.
Влияние
условий и качества работы на среднесуточный пробег вагона рассчитаем
соответственно следующим образом:
км/с;
,
км/с.
Как видно из расчетов,
под влиянием изменения условий работы среднесуточный пробег вагона снизился на 17,5 км в сутки, а за счет работы коллектива дороги среднесуточный пробег вагона перевыполнен на 77,3 км сутки.
В
использовании подвижного состава на дороге могут быть как достижения, так и
недостатки. Поэтому при оценке качества работы коллектива проанализируем
влияние достижений в использовании вагонов на среднесуточный пробег вагона и
недостатков
В нашем случае за счет уменьшения
технической скорости и снижения времени под одной технической операцией
позволивших сократить время оборота вагона, среднесуточный пробег вагона вырос
на 83,4 км в сутки.
,
км/сут.
Напротив,
превышение нормы простоя на промежуточной станции и под одной грузовой
операцией, вызвав увеличение оборота вагона, обусловило снижение
среднесуточного пробега вагона на 8,249 км в сутки:
,
км/с.
При этом
может иметь место неувязка суммы изменения результативного показателя по
факторам и его фактического изменения. Так,
в нашем примере:
,
км/сут.
Ее можно
распределить по факторам или поровну, или пропорционально их величине.
Среднесуточный
пробег вагона, как видно из схемы 1, непосредственно влияет на среднесуточную производительность
вагона. Изменение производительности вагона рассчитаем также отдельно под
влиянием факторов, отражающих изменение условий работы и характеризующих
изменение качества использования вагонов:
,
ткм,
ткм.
Из
расчетов видно, что за счет условий работы производительность вагона снизилась
на 282,16 ткм нетто эксплуатационных, а за счет качества работы выросла на 2884,912
ткм. нетто эксплуатационных. Но если считать по факторам, то имеет место
неувязка:
ткм.
по
отчету
ткм,ткм.
по плану
и факторам (2)
ткм.
ткм.
В
использовании вагонов имеют место как определенные достижения, обеспечивающие
рост производительности вагона, так и недостатки, обусловившие ее снижение.
Поэтому рассчитаем изменение производительности вагона как за счет высокого
качества использования вагона, так и за счет недостатков в работе дороги:
,
ткм;
,
ткм;
ткм;
ткм.
Или
рассчитаем
иначе:
ткм;
ткм;
.
Как
показали расчеты, за счет достижений в использовании вагонов по мощности и во
времени производительность вагона увеличилась на 3155,032 ткм, а за счет
передержки вагонов под техническими операциями и на промежуточных станциях
производительность вагона снизилась на 270,12 ткм нетто эксплуатационных.
Изменение
производительности вагона отражается на затрате парка вагона. При выполнении
заданного объема работ с изменением производительности вагона рабочий парк
вагонов изменится на величину:
,
ваг.
Выводы и предложения
На
основе выявленных причин невыполнения планового задания и условий,
способствующих перевыполнению плана, а также на основе результатов факторного
анализа методом цепных подстановок произведем окончательную оценку работы
дороги. Разработаем предложения по выполнению расчетного задания, по повышению
качества работы дороги. На основе анализа недостатков в работе дороги и их
причин выявляются резервы дороги по улучшению ее работы. При этом резервами
дороги следует рассматривать только первичные показатели, такие, как элементы
времени оборота вагона, техническая скорость, доля порожнего пробега вагона,
динамическая нагрузка груженого вагона, процент вспомогательного пробега локомотива,
средний состав поезда, среднесуточный пробег локомотива.
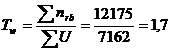
В заключение рассчитаем
эффект от устранения недостатков в работе дороги, т. е. реализации резервов
улучшения работы дороги. При условии устранения недостатков в использовании
вагонов их производительность можно довести до следующего уровня:
ткм.
Повышение
производительности вагона дает возможность освоить грузооборот меньшим парком.
Возможная экономия парка составит:
ваг.
В
условиях роста грузооборота создается возможность без пополнения парка вагонов
освоить дополнительный грузооборот. В нашем примере он составит за месяц:
ткм.
Список литературы
1.
Козлов Т.И., Поликарпов Е.П. Статистика железнодорожного транспорта
Учебник для вузов — Транспорт, 1990.
2.
Глущенко И.Н.,
Феоктистов В.А. Методика анализа эксплуатационной деятельности железной дороги
и пути повышения эффективности и качества ее работы. М.: ВЗИИТ, 1986.
3.
Глущенко И.Н.
Статистический анализ работы железной дороги и пути повышения ее эффективности
в новых условиях хозяйствования. М.: ВЗИИТ, 1990.
4.
Поликарпов А.А., Вовк А.А. Статистика железнодорожного транспорта.
Учебник. — М.: Маршрут, 2006.
5.
Методические указания по статистике железнодорожного транспорта,
Москва,1999.