|
|
|
|
|
0
|
0
|
118,1
|
|
0,042
|
0,108
|
112,1
|
|
0,082
|
0,225
|
109,13
|
|
0,12
|
0,289
|
106,3
|
|
0,158
|
0,356
|
104,6
|
|
0,194
|
0,433
|
101,4
|
|
0,226
|
0,564
|
94,3
|
|
0,236
|
0,58
|
92,5
|
|
0,26
|
0,617
|
90,22
|
|
0,28
|
0,642
|
88,33
|
|
0,294
|
0,66
|
87
|
|
0,32
|
0,706
|
85,5
|
|
0,36
|
0,769
|
83,2
|
|
0,4
|
0,807
|
80,9
|
|
0,44
|
0,843
|
78,6
|
|
0,538
|
0,92
|
74,2
|
|
0,668
|
0,966
|
65,6
|
|
0,761
|
0,981
|
63,6
|
|
0,935
|
0,997
|
60,7
|
|
1
|
1
|
56,1
|
.2
Материальный баланс
Зная массовый расход исходной смеси и мольные концентрации потоков,
определим массовый расход дистиллята и массовый расход кубового остатка (
и
), на основании уравнений
материального баланса.
(1)
(2)
(3)
где
- массовая доля легколетучего компонента в исходной смеси,
дистилляте и кубовом остатке соответственно;
- массовый расход исходной смеси, дистиллята и кубового
остатка соответственно.
Выразим из уравнения (3) массовый расход дистиллята и кубового остатка:
(4)
(5)
Найдем молекулярные массы смесей по уравнению:
(6)
где j - F,D или W.
Затем пересчитаем мольные доли легколетучего компонента в исходной смеси,
дистилляте и кубовом остатке в массовые соответственно:
(7)
Далее по формулам (4) и (5) найдем массовый расход дистиллята и кубового
остатка:
Пересчитаем массовые расходы питания, дистиллята и кубового остатка в
мольные расходы соответственно по формуле:
(8)
Нагрузка ректификационной колонны по пару и жидкости определяется рабочим
флегмовым числом. Для его расчета используют приближенные вычисления по
формуле:
(9)
где
- минимальное флегмовое число.
При этом:
(10)
где
- мольные доли легколетучего компонента в жидкости, а
- концентрация легколетучего
компонента в паре, находящаяся в равновесии с жидкостью (питанием исходной смеси).
По диаграмме «Равновесное состояние жидкости и пара» (приложение 1)
находим
при соответствующем значении
, таким образом
0,289.
Тогда:
3.3
Определение средних физических величин потоков пара и жидкости
Для определения основных размеров колонны (аппарата), расходов греющего
пара и воды требуется найти средние мольные, массовые составы, мольные, массовые
и объемные расходы по жидкости и пару, а также некоторые физические величины.
Для простой полной колонны, обогреваемой глухим паром (горячей водой) или
острым паром, средние составы и расходы по жидкости и пару, а также физические
величины определяют отдельно для верхней и нижней части колонны.
) Для жидкой фазы в верхней и нижней частях колонны:
- мольные
составы
определяют как средние
арифметические:
тогда мольные составы
вычисляются по формуле:
(11)
- мольные массы
определяют по формуле:
(12)
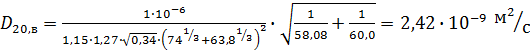
где
= 58,08
- мольная масса ацетона;
= 60,00
- мольная масса уксусной кислоты.
- массовые составы компонентов А и В определяют по уравнению:
(13)
где
- мольная масса смеси; индекс А или В указывает на компонент.
В этой и последующих формулах индекс i относится либо к верхней, либо к нижней частям
колонны.
- средние температуры
определяют по диаграмме
при соответствующих значениях
.
- плотности
определяют по уравнению:
(14)
- плотности легколетучего и труднолетучего компонентов при
соответствующих температурах,
;
динамические коэффициенты вязкости
рассчитывают по уравнению:
(15)
где
- динамические коэффициенты вязкости легколетучего и
труднолетучего компонентов при соответствующих температурах, Па ∙ с.
Для верхней части колонны:
,
Для нижней части колонны:
,
- прежде чем рассчитывать коэффициенты диффузии, определим
коэффициенты диффузии бинарной смеси
при
и температурные коэффициенты
, а для этого нам необходимо по
формулам (14) и (15) рассчитать плотности и динамические коэффициенты вязкости
веществ при
:
-
(16)
где
- динамический коэффициент вязкости жидкости при
, мПа∙с;
- мольные массы исходных веществ,
;
- мольные объёмы растворённого вещества и растворителя,
;
А=1,15 и В=1,27 - коэффициенты, зависящие от свойств растворённого
вещества и растворителя.
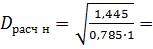
(17)
где
- динамический коэффициент вязкости жидкости при
, мПа∙с;
- плотность жидкости при
,
.
- теперь по приближенной формуле рассчитаем коэффициенты
диффузии
:
(18)
где
- коэффициент диффузии бинарной смеси при
,
.
- поверхностные натяжения
определяют по уравнению:
(19)
где
- поверхностные натяжения исходных веществ при
соответствующих температурах,
.
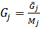
- мольные расходы
рассчитывают по уравнениям:
где
- мольные расходы питания и дистиллята,
;
- флегмовое число.
- массовые расходы
рассчитывают по уравнениям:
где
- массовые расходы питания и дистиллята,
.
- объемные расходы
рассчитывают по соотношению:
(20)
2) Для паровой фазы в верхней и нижней частях колонны:
- мольные составы
определяют по уравнениям рабочих
линий при подстановке в них соответственно
:
- уравнение рабочей линии для верхней части (21)
колонны.
- уравнение рабочей линии для нижней (22)
части колонны.
мольные составы
определим по формуле (11):
- мольные массы
определяют по уравнению (12) при соответствующих значениях
:
- массовые составы
определяют по уравнению:
- средние температуры
определяют по диаграмме
при соответствующих значениях
:
- плотности смесей
определяют по уравнению Клапейрона:
(23)
где
- плотность пара при нормальных условиях (
=273 К,
),
;
- средняя температура пара, К;
- среднее давление в колонне, мм рт. ст.
- динамические коэффициенты вязкости
рассчитывают по приближенной
формуле:
(24)
- коэффициенты диффузии
рассчитывают по приближенной
формуле:
(25)
где
- средняя температура пара, К;
- среднее давление в колонне, мм рт.
ст.
мольный расход пара, который
принимается постоянным по высоте колонны, определяют по уравнению:
(26)
где
- массовый расход дистиллята,
- массовые расходы
определяют по уравнению:
(27)
- объемные расходы пара
рассчитывают по соотношению:
(28)
3.4 Тепловой
расчёт установки
Тепловой баланс ректификационной колонны выражается общим уравнением:
, (29)
где
- тепловая нагрузка куба;
-количество теплоты, передаваемой от пара к воде;
- тепловые потери (5%);
-теплоёмкости соответствующие дистилляту, кубовому остатку и
исходной смеси;
- температуры соответствующие дистилляту, кубовому остатку и
исходной смеси (находим из диаграммы «Зависимость температуры от равновесных
составов пара и жидкости» приложение 1):
Найдем удельную теплоту конденсации паров дистиллята по аддитивной
формуле:
,
где
- удельная теплота парообразования ацетона и уксусной кислоты
при температуре дистиллята
.
Определим тепловую нагрузку дефлегматора по формуле:
Определим теплоёмкости смеси по формуле:
, (30)
где
- теплоемкости ацетона и уксусной
кислоты при
По монограмме для определения теплоемкостей жидкостей определили
теплоемкости уксусной кислоты при температурах
:
Т.к. экспериментальные данные по удельной теплоемкости ацетона при
температурах
отсутствуют, воспользуемся соотношением Ватсона (погрешность
- 10%):
(31)
где
удельная теплоемкость жидкости,
;
коэффициент, значения которого
приведены в табл.11;
приведенная температура,
определяется по формуле:
(32)
где
критическая температура, К.
Критическая температура ацетона
и значение коэффициента
По формуле (32) определим
при температурах
:
Теперь по формуле (31) найдем удельные теплоемкости ацетона при
температурах
:
Затем по формуле (30) рассчитаем удельные теплоёмкости смесей при
температурах
:
По формуле (29) определим тепловую нагрузку куба:
Определим расход греющего пара в кубе испарителе, имеющего давление
и влажность 5%:
где
удельная теплота конденсации греющего пара;
- степень сухости;
Расход охлаждающей воды в дефлегматоре при нагреве её на
:
где
теплоемкость воды при
;
плотность воды при
.
3.5 Гидравлический
расчет
3.5.1 Расчет
скорости пара и диаметра колонны
Диаметр колонны D
по объёмному расходу пара:
(33)
где
объемный расход пара,
скорость пара в колонне,
Зададимся
и рассчитаем диаметр колонны D:
1,36 м
Результат округлим до ближайшего стандартного значения
. при рассчете процесса ректификации,
как правило, выбирают один и тот же диаметр колонны для обеих частей: верхней и
нижней. Расстояние между тарелками
Гидравлический расчет колпачковых тарелок начинают с определения скорости
газа (пара). Однако сначала необходимо рассчитать максимальную скорость газа
(пара) по соотношению:
, (34)
где
максимальная (предельная) скорость газа (пара), отнесенная к
единице площади поперечного сечения колонны,
расстояние между тарелками, м;
линейная плотность орошения,
Коэффициент
для тарелок с круглыми колпачками, при атмосферном давлении
,
.
Линейная плотность орошения
рассчитывается по уравнению:
(35)
где
расход жидкости,
длина сливной перегородки (планки), м.
По каталогу для выбранного диаметра определим длину сливной перегородки
.
Если линейная плотность орошения
или
, то в уравнение (34) подставляют
значения
, равные соответственно
или
.
Определим по формуле (35) линейную плотность орошения для верхней и
нижней частей колонны:
- примем
Далее по формуле (34) определим максимальную скорость пара:
Уточним скорость пара по формуле:
(36)
Рассчитаем коэффициент
:
Коэффициенты
для верхней и нижней части колонны удовлетворяют условию
.
3.5.2 Расчет
высоты газожидкостного (барботажного) слоя жидкости
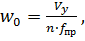
Скорость газа (пара) в прорезях колпачка определяется по соотношению:
(37)
где
скорость газа (пара) в прорезях колпачка,
объемный расход газа (пара),
число колпачков на тарелке;
площадь прорезей колпачка,
.
По каталогу для выбранного диаметра определим диаметр колпачка
и число колпачков на тарелке
. Высота прорезей
, следовательно
.
По формуле (37) определим
:
Значение
, рассчитанное по уравнению (37),
должно удовлетворять условию:
; (38)
Минимально допустимая скорость газа (пара) в прорезях колпачка
определяется по соотношению:
(39)
где
высота прорезей, м;
плотность жидкости и пара,
;
коэффициент гидравлического сопротивления.
Максимально допустимая скорость газа (пара) в прорезях колпачка
соответствует полному открытию прорезей и определяется по соотношению:
(40)
По уравнениям (39) и (40) рассчитаем минимально и максимально допустимые
скорости пара в прорезях колпачка для верхней и нижней части колонны:
Т.к.
и в верхней и в нижней частях колонны, то следует либо
увеличить высоту прорези колпачка
, либо колпачки установить с зазором.
В последнем случае дополнительное открытие прорезей
определяется по соотношению:
(41)
где
диаметр колпачка, м;
площадь прорезей колпачка,
;
дополнительное открытие прорези, м;
число колпачков.
Величина
не должна превышать величину зазора между тарелкой и
колпачком
.
Найдём
из уравнения (41):
Определение слоя жидкости на тарелке
для исполнения колпачка 2
выполняется по соотношению:
, (42)
Для выбранной тарелки стандартного
диаметра рабочая скорость пара, т.е. скорость пара, отнесенная к единице
рабочей площади тарелки
определяется:
(43)
Рабочая площадь тарелки определяется по формуле:
, (44)
где
площадь переливного сегмента;
По уравнению (44) найдем рабочую площадь тарелки:
Определим рабочую скорость пара:
Определим среднюю длину пути жидкости на тарелке:
Плотность орошения рассчитывается по формуле:
(45)
Средняя линейная плотность орошения определяется по соотношению:
(46)
где
плотность орошения (приведённая скорость жидкости),
отнесенная к единице рабочей площади тарелки,
средняя длина пути жидкости на тарелке, м;
число потоков жидкости на тарелке.
Высота светлого слоя жидкости
определяется по соотношению:
(47)
где
высота светлого слоя жидкости на тарелке, м;
высота сливной планки, м;
рабочая скорость пара отнесенная к единице рабочей площади
тарелки,
;
средняя линейная плотность орошения,
.
Определим критерий Фруда для верхней и нижней частей колонны:
Рассчитаем газосодержание барботажного слоя:
Высота газожидкостного (барботажного) слоя
определяется по формуле:
(48)
где
высота светлого слоя жидкости, м;
газосодержание барботажного слоя.
Высота уровня жидкости над сливной планкой определяется по соотношению:
(49)
3.5.3 Брызгоунос
Брызгоунос для колпачковых тарелок рассчитывается по соотношению:
(50)
где
брызгоунос,
высота сепарационного пространства, м;
массовый расход газа(пара),
рабочая площадь тарелки,
;
динамический коэффициент вязкости
жидкости, мПа∙с;
поверхностное натяжение,
скорость газа(пара), отнесённая к единице площади
поперечного сечения колонны,
.
Высота сепарационного пространства определяется по формуле:
(51)
По формуле (50) определим брызгоунос для верхней и нижней части колонны:
3.5.4 Захлебывание
Чтобы убедиться в том, что колонна работает без захлёбывания, необходимо
проверить высоту слоя жидкости в сливном устройстве, определить вылет
ниспадающей струи жидкости и рассчитать время пребывания жидкости в переливном
устройстве. Можно ограничиться расчетом времени пребывания по соотношению:
ректификация колпачковый тарелка дефлегматор
(52)
и сравнить его с допустимым
значением:
(53)
где
расстояние между тарелками, м;
площадь сечения перелива,
коэффициент, характеризующий вспениваемость жидкости в
переливном устройстве;
время, выраженное в с.
Для нормальной работы без захлёбывания необходимо, чтобы выполнялось
условие
.
Максимально допустимая скорость жидкости в переливном устройстве выбирается
по наименьшей величине
рассчитанной по трём соотношениям:
(54)
(55)
(56)
где
максимально допустимая скорость жидкости в переливном
устройстве,
расстояние между тарелками, м;
коэффициент, значения которого зависят от свойств разделяемой
смеси и изменяется в пределах от 0,6 до 1.
Для проектного расчёта рекомендуется принять
.
По соотношениям (54)-(56) рассчитаем максимально допустимая скорость
жидкости в переливном устройстве:
Фактическая скорость жидкости в переливном устройстве определяется по
соотношению:
(57)
где
объемный расход жидкости,
площадь сечения перелива,
.
При этом должно выполняться условие:
.
3.5.5 Определение
кинетических параметров
Независимо от того, каким способом находятся число реальных тарелок или
ступеней, необходимо определить коэффициенты массоотдачи. Сложность расчета
коэффициентов массоотдачи заключается прежде всего в том, что отсутствуют
обобщенные закономерности для определения кинетических коэффициентов процесса
ректификации. В наибольшей степени это относится к колоннам диаметром более 0,8
м. Большинство рекомендаций сводится к использованию для расчета
ректификационных колонн кинетических зависимостей, полученных при исследованиях
абсорбционных процессов.
Коэффициент масоотдачи пара
можно рассчитать по следующему
соотношению:
, (58)
где
диффузионный критерий Пекле;
рабочая скорость газа (пара), отнесенная к единице рабочей
площади тарелки,
;
высота газожидкостного (барботажного) слоя, м;
коэффициент диффузии для газовой (паровой) фазы,
Теперь по соотношению (58) рассчитаем коэффициент массоотдачи
:
Коэффициент масоотдачи жидкости
можно рассчитать по следующему
соотношению:
, (59)
где
диффузионный критерий Пекле;
высота газожидкостного (барботажного)
слоя, м;
коэффициент диффузии для жидкой фазы,
;
плотность орошения,
Теперь по соотношению (59) рассчитаем коэффициент массоотдачи
:
3.5.6 Локальная
эффективность тарелки
Локальная эффективность
зависит от модели структуры потока, принятой для
газовой(паровой) фазы (для жидкости предполагается полное перемешивание):
для модели идеального вытеснения:
, (60)
где
общее число единиц переноса по газовой (паровой) фазе на
тарелке.
Общее число единиц переноса можно рассчитать по уравнению:
(61)
где
число единиц переноса по газовой (паровой) и жидкой фазам на
тарелке;
тангенсы угла наклона соответственно рабочей и равновесной
линий.
Частные числа единиц переноса
определяются либо по эмпирическим
формулам, либо по уравнениям:
(62)
(63)
где
коэффициенты массоотдачи по газовой (паровой) и жидкой фазам,
отнесенные к единице рабочей площади тарелки,
;
рабочая скорость газа (пара), отнесенная к единице рабочей
площади тарелки,
;
плотность орошения,
Определим тангенс угла наклона рабочей линии:
- для верхней части колонны:
(64)
- для нижней части колонны:
(65)
Определим тангенс угла наклона равновесной линии по формуле:
(66)
Рассчитаем общее число единиц переноса по уравнению (61):
А по уравнению (60) определим локальные эффективности тарелок:
3.5.7 Расчет
высоты колонны
Определим число реальных ступеней по формуле:
(67)
где
число теоретических тарелок в колонне;
локальная эффективность тарелки.
Реальное число тарелок в верхней части колонны 7, в нижней - 9, всего 16
тарелок.
Определение высоты тарельчатой части колонны проводится по уравнению:
(68)
где
число реальных ступеней;
расстояние между тарелками, м.
м
3.5.8 Определение
высоты колонны и гидравлического сопротивления
Общая высота колонны включает высоту ее тарельчатой части
и определяют по формуле:
(69)
где
расстояния между верхней тарелкой и крышкой колонны и между
днищем колонны и нижней тарелкой, м.
Гидравлическое сопротивление тарелки можно определить как сумму
сопротивлений:
(70)
где
сопротивление сухой тарелки, Па;
сопротивление, обусловленное силами поверхностного натяжения,
Па (т.к. его значение пренебрежимо мало в проектировочных расчётах его не
учитывают);
сопротивление газожидкостного(барботажного) слоя, Па.
Сопротивление сухой тарелки определяется по уравнению:
(71)
где
скорость газа (пара) в свободном сечении тарелки;
коэффициент сопротивления (для
колпачковых тарелок
).
Па
Па
Сопротивление газожидкостного (барботажного) слоя принимают равным
статическому давлению слоя:
(72)
где
плотность жидкости,
высота светлого слоя жидкости,м.
Па
Па
По уравнению (70) определим сопротивление тарелок:
Па
Па
Гидравлическое сопротивление колонны
для процесса ректификации в простой
полной колонне определяют по формуле:
(73)
где
гидравлическое сопротивление тарелки соответственно верхней и
нижней части колонны, Па;
число реальных тарелок (ступеней) в верхней и нижней частях
колонны.
3.6
Подробный расчет дефлегматора
3.6.1
Температурная схема процесса
Рассчитаем среднюю движущую силу теплопередачи:
Определяющие температуры:
3.6.2
Выбор теплообменника
Теплофизические свойства воды при определяющей температуре:
(74)
где
удельная теплоемкость воды при
,
;
коэффициент динамической вязкости
воды при
;
коэффициент теплопроводности воды
при температуре,
Теплофизические свойства дистиллята при определяющей температуре:
По уравнению (14) плотность смеси:
По уравнению (15) Рассчитаем коэффициент динамической вязкости:
Рассчитаем коэффициент теплопроводности:

(75)
где
коэффициенты теплопроводности ацетона и уксусной кислоты при
температуре
,
;
массовая доля дистиллята.
Из пункта 3.4 «Тепловой расчет установки»
, определим расход охлаждающей воды
при нагреве на
градусов:
(76)
где
расход теплоты, отдаваемой охлаждающей воде в дефлегматоре,
Вт;
удельная теплоемкость воды при
,
;
начальная и конечная температура
воды,
Примем
и рассчитаем площадь теплообмена:
(77)
где
расход теплоты, отдаваемой охлаждающей воде в дефлегматоре,
Вт;
коэффициент теплопередачи,
;
средняя температура теплопередачи,
.
Задаваясь значением критерия Рейнольдса Re = 10 000 (что соответствует
развитому турбулентному режиму течения воды в трубах), определим
ориентировочную площадь проходного сечения одного хода по трубам для
конденсатора из труб диаметром d =
20× 2 мм:
(78)
где
расход охлаждающей воды при нагреве на
градусов,
внутренний диаметр труб, м;
коэффициент динамической вязкости воды при
.
По ГОСТу 15121-79 выбрала конденсатор, у которого площадь теплообмена
больше
, а площадь проходного сечения
одного хода меньше
:
|
Поверхность теплообмена (по наружному диаметру труб), м2
|
63
|
|
D кожуха, мм
|
600
|
Общее число труб
|
334
|
|
d труб, мм
|
20×2
|
Длина труб L, м
|
3
|
|
Число ходов
|
4
|
St, м2
|
1,6
|
|
Число рядов труб,
|
18
|
3.6.3
Расчет коэффициентов теплоотдачи
Определим скорость воды в трубном пространстве, а затем и число Re для воды, которая подается в трубное
пространство:
(79)
где
расход охлаждающей воды при нагреве на
градусов,
плотность воды при
площадь проходного сечения одного хода, выбранного
конденсатора, м.
(80)
где
внутренний диаметр труб,м;
плотность воды при
коэффициент динамической вязкости воды при
.
Рассчитаем критерий Нуссельта:
(81)
где
критерий Рейнольдса;
критерий Прандтля для воды при
;
отношение
в этом уравнении примем равным 1.
Зная критерий Нуссельта, определим коэффициент теплоотдачи воды по
формуле:
(82)
где
коэффициент теплопроводности воды при температуре,
внутренний диаметр труб,м.
Рассчитаем коэффициент теплоотдачи при конденсации пара на пучке горизонтальных
труб:
(83)
где
множитель, учитывающий влияние числа труб по вертикали;
примем равной 1;
коэффициент теплопроводности смеси при температуре
,
плотность смеси,
удельная теплота конденсации смеси,
;
ускорение свободного падения,
;
коэффициент динамической вязкости
смеси при температуре
,
;
наружный диаметр труб,м.
3.6.4
Термическое сопротивление стенки и загрязнений
Примем тепловые проводимости загрязнений со стороны органического пара:
и со стороны воды среднего качества
Толщину слоя загрязнения примем равной 2мм. В качестве материала труб
выберем сталь с коэффициентом теплопроводности λ = 46,5 Вт/(м ⋅К).
Тогда термическое сопротивление загрязнений труб:
(84)
где
толщина слоя загрязнения, м;
коэффициент теплопроводности стенки.
3.6.5
Метод итераций
1. Задаемся tст1=56,67 0С:
2. Уточним коэффициент
и найдем тепловой поток первой
стенки:
3. Рассчитаем
:
4. Рассчитаем
:
Определение погрешности сходимости тепловых потоков:
Дальнейшие итерационные действия и расчеты занесены в таблицу1.
Таблица 1
|
|
|
|
|
|
|
|
|
|
|
|
|
60,35
|
56,67
|
3,68
|
1974,6
|
7266,5
|
53,22
|
24,94
|
4444,1
|
28,29
|
125721,2
|
16,3
|
|
60,35
|
52,99
|
7,36
|
1660,4
|
12220,8
|
47,19
|
24,94
|
4444,1
|
22,26
|
98930,9
|
7,1
|
|
60,35
|
49,31
|
11,04
|
1500,4
|
16564,1
|
41,46
|
24,94
|
4444,1
|
16,52
|
73427,7
|
3,4
|
|
60,35
|
45,63
|
14,72
|
1396,3
|
20552,8
|
35,89
|
24,94
|
4444,1
|
10,95
|
48671,3
|
1,4
|
|
60,35
|
41,95
|
18,4
|
1320,5
|
24297,1
|
30,43
|
24,94
|
4444,1
|
5,49
|
24429,9
|
0,005
|
3.6.6
Уточнение коэффициентов теплопередачи и поверхности теплоотдачи
Уточним
при
=30,43
:
(85)
где
коэффициент теплоотдачи смеси,
;
термическое сопротивление загрязнений труб,
коэффициент теплоотдачи воды,
.
Теперь уточним поверхность теплопередачи и определим запас поверхности:
Выводы
В данной курсовой работе был произведен расчет ректификационной колонны
для разделения смеси «ацетон-уксусная кислота» при атмосферном давлении. В
качестве ректификационной колонны используется аппарат с колпачковыми тарелками
высотой H= 9 м и диаметром D =1400 мм .
Был произведен подробный расчет дефлегматора, в результате чего был
выбран четырехходовой кожухотрубчатый теплообменник по ГОСТ 15121-79 с
диаметром кожуха D=600 мм и общим числом труб 20 ×2 n=334, при длине труб 3 м.
Список
использованной литературы
1. Примеры и
задачи по курсу процессов и аппаратов химической технологии/Учебное пособие/,
К.Ф. Павлов, П.Г. Романков, А.А. Носков, 10-ое изд. перераб. и дополнен. Л.
Химия,1987-575с.
. Основные
процессы и аппараты химической технологии /Пособие по проектированию/, Г.С.
Борисов, В.П. Брыков, Ю.И. Дытнерский и др. Под. ред. Ю.И. Дытнерского, 2-ое
изд. Перераб. и дополнен. М: Химия, 1991 - 496с
. Волжинский
А.И., Константнов В.А. Ректификация: колонные аппараты с колпачковыми
тарелками: Методическое пособие к курсовому проектированию. СПб,
СПбГТИ(ТУ),2005- 36с.
. Фролов В.Ф.
Лекции по курсу:”Процессы и аппараты химической технологии”.- СПб: ХИМИЗДАТ,
2003. - 608 с.
. Волжинский
А.И., Флисюк О.М. Определение средних физических величин, потоков пара и
жидкости: Методические указания. СПбГТИ (ТУ), СПб.: 2001 -6 с.
.КасаткинА.Г.
Основные процессы и аппараты химической технологии, 8-е изд., М.: Химия, 1971.
- 784 с.
.Яблонский
П.А., Озерова Н.В/ Проектирование тепло- и массообменной аппаратуры химической
промышленности: Учебное пособие/СПб,1993-92с.